Исследование устойчивости системы автоматического регулирования
Оглавление
1 Исходные данные
Разработка математического описания САР.
Передаточные функции отдельных звеньев.
Преобразование структурной схемы
Передаточная функция системы по задающему воздействию.
Передаточная функция системы по возмущающему воздействию.
Общее дифференциальное уравнение САР.
Исследование устойчивости САР
Оценка запасов устойчивости критерием Найквиста.
Оценка качества регулирования САР.
Оценка точности САР в установившемся режиме.
Оценка точности САР в переходном режиме.
Построение кривой переходного процесса методом
трапецеидальных вещественных частотных характеристик
Построение кривой переходного процесса методом разностных
уравнений.
Оценка точности моделирования САР
Заключение.
Список литературы
Приложения
Приложение А
Приложение Б
Приложение В
Приложение Г
1 Исходные
данные
Система автоматического регулирования
Рисунок 1 -Функциональная схема.
Уравнения элементов системы
I:
:
:
:
:
:
Таблица 1 Значения параметров САР
|
k1
|
k2
|
k3
|
k4
|
k5
|
k6
|
T1
|
Т2
|
Т3
|
Т4
|
Т5
|
Т6
|
|
6,0
|
0,7
|
2,2
|
1,9
|
0,5
|
1,0
|
0,1
|
0,18
|
1,15
|
0, 1
|
1,8
|
6,0
|
2 Разработка
математического описания САР
Математическое описание САР включает в себя:
передаточные функции системы по задающему и возмущающему воздействию;
общее дифференциальное уравнение САР.
Передаточные
функции отдельных звеньев.
Преобразование
структурной схемы
Выполнив элементарные преобразования со схемой САР (рисунок 1) получаем
упрощенную функциональную схему (рисунок 2)
Рисунок 2 -Упрощённая функциональная схема.
Так-как общая передаточная функция зависит от 2 входных воздействия,
чтобы найти общую передаточную функцию придётся искать 2 передаточные функции:
по задающему и возмущающему воздействию.
Передаточная
функция системы по задающему воздействию.
Находим общую передаточную функцию САР по задающему воздействию, считая
возмущающее воздействие равным нулю.
Рисунок 3 -Преобразования функциональная схема.
Проведя ряд преобразований получаем
(1)
После упрощений получаем следующую передаточную функцию по задающему
воздействию.
(2)
Передаточная
функция системы по возмущающему воздействию
Определим
передаточную функцию по возмущающему воздействию Рис. 4. Для этого примем 
.
Рисунок 4 -Преобразование передаточной функции системы по возмущающему
воздействию.
Произведём ряд преобразований после, которых мы получим функцию по
возмущающему воздействию.
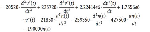
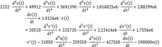
(3)
Общее
дифференциальное уравнение САР
Для линейных САР при наличии нескольких входных воздействий на основе
принципа суперпозиции находятся передаточные функции относительно каждого
входного воздействия порознь. Затем они умножаются на изображение
соответствующих воздействий и складываются.
Путём обратного преобразования Лапласа находим Общее дифференциальное уравнение
САР.

(4)
3
Исследование устойчивости САР
Для проверки устойчивости системы я применил критерий устойчивости
Михайлова, так как он очень нагляден и легко реализуем в пакете Mathcad.
Рисунок 5 -годограф Михайлова
Так как функция резко ускоряется, пришлось показать 2 графика с разными
границами параметра а. На годографах видно, что функция проходит против часовой
стрелки 4 четверти и возвращается в 1 четверть, что подтверждает -устойчивость
САР.
Оценка запасов устойчивости критерием Найквиста
Передаточная функция покритерия Найквиста определяется по разомкнутой
функции задающего воздействия(1).
Рисунок 6 -Годограф Найквиста
По данному годографу видно, что он не пересекает точку [0,-1j] и пересекает отрицательную мнимую
ось в точке большей чем -1, что подтверждает, что наша система устойчива. Так
как система устойчива мы можем опередить запасы устойчивости.
Запас по фазе = 1-0,16 =0,84
Arctg(0,85853,-0,5127)=-2,603
Запас
по углу 
4 Оценка
качества регулирования САР
Качество регулирования САР определяется в двух режимах: установившемся и
переходном.
Оценка точности САР в установившемся режиме
Для оценки САР в установившемся режиме вычисляют коэффициенты статической
ошибки, скоростной ошибки и ошибки по ускорению (C0, C1 и C2 соответственно) из
функции(1).
Формулы для расчёта данных коэффициентов:
Оценка точности САР в переходном режиме
Оценка качества регулирования в переходном режиме производится с
использованием прямых оценок качества регулирования, которые вычисляются двумя
различными способами - методом типовых ТВЧХ и методом разностных уравнений.
Построение кривой переходного процесса методом трапецеидальных
вещественных частотных характеристик
Для построения кривой переходного процесса методом ТВЧХ возьмём
передаточной функции системы по задающему воздействию (2).
По заданной передаточной функции строим вещественную частотную
характеристику (рис. 7).
Рисунок 7 - Вещественная частотная характеристика
Вещественная частотная характеристика разбивается на типовые трапецеидальные
вещественные частотные характеристики (сокращённо - типовые ТВЧХ).
На (рисунке 8) вещественная частотная характеристика разбита на 3 типовых
ТВЧХ.



Рисунок
8 -Типовые ТВЧХ
В
(табл. 2) приведены параметры типовых ТВЧХ.
Таблица
2 - Параметры трапеций
|
Трапеция
|
ri
|
ωn
|
ωd
|
Hi
|
|
1
|
0,908
|
2,48
|
2,88
|
0,8611
|
|
2
|
0,95
|
3,45
|
6,5
|
0,5308
|
|
3
|
-0,95
|
2,88
|
3,45
|
0,8348
|
Данные по построению кривых переходного процесса типовых ТВЧХ приведены в
приложении. Данные расчетов приведены в приложениях А и Б.
Рисунок 9 - кривая переходного процесса ТВЧХ
По рисунку (9) определенны основные значения переходного процесса
Таблица 3 - Значения переходного процесса ТВЧХ
|
Время регулирования
|
3,75
|
|
Перегулирование
|
28,08%
|
|
Число колебаний
|
1
|
|
Максимальное отклонение
|
1,167492
|
|
Устоявшееся значение
|
0,911506
|
|
частота
|
1,675467
|
Построение
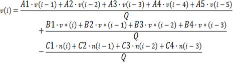
кривой переходного процесса методом разностных уравнений
Из дифференциального уравнения системы
Составляем разностное уравнение путём замены дифференциалов на левые
разности
Где при ∆t =0,2
коэффициенты принимают следующие значения
Q = 45461,55= -83119,301=41887,429= -2363,281= 384,929=
-19,326=670,89= -723,216= 275,082= 17,5561 = -304
C2 =
350,55
C3 =
-48,45
C4 =
-1,9
Рисунок 10 кривые переходного процесса
На рисунке 10 показаны, кривые переходного процесса по нему вычислено.
Данные расчетов приведены в приложении В.
Таблица 4 - Значения переходного процесса методом разностных уравнений
|
Время регулирования
|
13,75
|
|
Перегулирование
|
32,02%
|
|
Число колебаний
|
1
|
|
Максимальное отклонение
|
1,142688
|
|
Устоявшееся значение
|
0,865572
|
|
частота
|
0,456945
|
|
Период
|
11
|
Анализ качества САР - весьма трудная задача метод кривых переходного
процесса и методом разностных уравнений весьма трудоёмкие процессы, так как оба
требуют высокого количества вычислений, но при помощи компьютера процесс
вычисления точности происходит значительно быстрее.
Но точность построения методом разностных уравнений выглядит более
точнее, чем метод ТВЧХ
5 Оценка
точности моделирования САР
Для оценки точности моделирования САР необходимо построить кривую
переходного процесса на основе алгоритма моделирования
Алгоритм моделирования по структурной схеме состоит из разностных
уравнений элементов системы: динамических звеньев, сумматоров и элементов
сравнения, расположенных в порядке следования с входа САР на выход.
Разностные уравнения:
1) Сумматор

) Динамическое
звеноI
) Сумматор

) Динамическое
звеноII
) Динамическое
звеноIII
) Динамическое
звеноVI
) Сумматор
) Сумматор
) Динамическое
звеноV
) Динамическое
звено IV
Считая при времени большим чем 0 задающее воздействие равное 1 ,а
возмущающее воздействие равное 0,1 , строим график(11).Данные расчетов
приведены в приложении Г
Рисунок 11 кривые переходного процесса методом моделирования
Таблица 5 - Значения переходного процесса методом разностных уравнений
|
Время регулирования
|
1,2
|
|
Перегулирование
|
25,97%
|
|
Число колебаний
|
3
|
|
Максимальное отклонение
|
1,093556
|
|
Устоявшееся значение
|
0,868112
|
|
частота
|
15
|
|
Период
|
0,4
|
Оценим точность моделирования САР методами: разностных уравнений и
методом моделирования.
— Для этого будем использовать: модульную интегральную оценку, квадратичную
интегральную оценку, среднюю модульную оценку, среднюю квадратичную оценку,
медианную оценку.
— модульная интегральная оценка:
;
—
квадратичная интегральная оценка:
.
— средняя модульная оценка
;
— средняя квадратичная оценка
;
— медианная оценка
система автоматический регулирование устойчивость
med D = {Dy (1), Dy (2), ... ,Dy(i)},
где Dy (i) = y(i) - y(i-1).
Интегрируя методом прямоугольников и используя встроенные функции Excel, получаю следующие результаты
Таблица 4 - Значения переходного процесса методом разностных уравнений
|
Интегральная оценка
|
Квадратичная
|
Средне модульная
|
Средне квадратичная
|
Медианная
|
|
Разностные уравнения
|
3,17308225
|
1,40365656
|
0,008655725
|
0,025271
|
0,001950147
|
|
Метод моделирования
|
0,357049
|
0,176238056
|
0,0142313
|
0,161163
|
9,606E-10
|
Вывод: в таблице показано, что по большинству параметров значение ошибки
у метода моделирования гораздо меньше, чем у метода разностных уравнений.
6 Заключение
В данной работе была исследована САР. Сначала было выявлено общее
дифференциальное уравнение САР с двумя входными сигналами. В ходе работы была
выявленная устойчивость по критериям Найквиста и Михайлова. Критерий Михайлова
доказал свою наглядность в 2 рисунках было доказано, что САР устойчива.
Критерий Найквиста был менее нагляден, но по нему были определены запасы
устойчивости. После определения устойчивости было определенно, проводилась
оценка качества регулирования в установившемся и переходном режимах. В ходе
оценки установившегося режима было определенно, что САР не астатическая.
Переходный режим проверялся методом ТВЧХ и разностных уравнений. Метод ТВЧХ
показал себя не с лучшей стороны, так как при его использовании приходилось
пользовать большим количеством приближенных данных. Разностные уравнения
потребовали меньшее количество ручных вычислений и показали большую точность
моделирования. В конце исследования САР была проверенна точность моделирования
- был проведен анализ методом моделирования. Для метод моделирования потребовалось
вычисли все разностные уравнения звеньев САР, результат был очень хорошим -
метод моделирования показал наибольшее точных результат. Точность метода
моделирования подтвердили оценки ошибок.
Список
литературы
1. Алексеева
Г.А., Теория автоматического управления: Методические указания к выполнению
курсовой работы. - Кемерово: КузГТУ, 2011г.
. Алексеева
Г.А., Оценка качества регулирования САР: Методические указания. - Кемерово:
КузГТУ, 2011г.
. Алексеева
Г.А., Математическое описание цифровых систем управления: Методические
указания. - Кемерово: КузГТУ, 2011г.
Приложения
Приложение А
|
t
|
H
|
t1
|
H1
|
t
|
H
|
t2
|
H2
|
t
|
H
|
t3
|
H3
|
|
0
|
0
|
0
|
0
|
0
|
0
|
0
|
0
|
0
|
0
|
0
|
0
|
|
0,2
|
0,118
|
0,069444
|
0,107144
|
0,2
|
0,099
|
0,030769
|
0,09405
|
0,2
|
0,083
|
0,057971
|
-0,07885
|
|
0,4
|
0,241
|
0,138889
|
0,218828
|
0,4
|
0,196
|
0,061538
|
0,1862
|
0,4
|
0,165
|
0,115942
|
-0,15675
|
|
0,6
|
0,347
|
0,208333
|
0,315076
|
0,6
|
0,292
|
0,092308
|
0,2774
|
0,6
|
0,246
|
0,173913
|
-0,2337
|
|
0,8
|
0,457
|
0,277778
|
0,414956
|
0,8
|
0,386
|
0,123077
|
0,3667
|
0,8
|
0,325
|
0,231884
|
-0,30875
|
|
1
|
0,561
|
0,347222
|
0,509388
|
1
|
0,476
|
0,153846
|
0,4522
|
1
|
0,402
|
0,289855
|
-0,3819
|
|
1,2
|
0,659
|
0,416667
|
1,2
|
0,562
|
0,184615
|
0,5339
|
1,2
|
0,476
|
0,347826
|
-0,4522
|
|
1,4
|
0,751
|
0,486111
|
0,681908
|
1,4
|
0,644
|
0,215385
|
0,6118
|
1,4
|
0,546
|
0,405797
|
-0,5187
|
|
1,6
|
0,834
|
0,555556
|
0,757272
|
1,6
|
0,72
|
0,246154
|
0,684
|
1,6
|
0,613
|
0,463768
|
-0,58235
|
|
1,8
|
0,908
|
0,625
|
0,824464
|
1,8
|
0,791
|
0,276923
|
0,75145
|
1,8
|
0,674
|
0,521739
|
-0,6403
|
|
2
|
0,974
|
0,694444
|
0,884392
|
2
|
0,856
|
0,307692
|
0,8132
|
2
|
0,733
|
0,57971
|
-0,69635
|
|
2,2
|
1,031
|
0,763889
|
0,936148
|
2,2
|
0,914
|
0,338462
|
0,8683
|
2,2
|
0,789
|
0,637681
|
-0,74955
|
|
2,4
|
1,078
|
0,833333
|
0,978824
|
2,4
|
0,966
|
0,369231
|
0,9177
|
2,4
|
0,839
|
0,695652
|
-0,79705
|
|
2,6
|
1,115
|
0,902778
|
1,01242
|
2,6
|
1,011
|
0,4
|
0,96045
|
2,6
|
0,883
|
0,753623
|
-0,83885
|
|
2,8
|
1,143
|
0,972222
|
1,037844
|
2,8
|
1,049
|
0,430769
|
0,99655
|
2,8
|
0,924
|
0,811594
|
-0,8778
|
|
3
|
1,162
|
1,041667
|
1,055096
|
3
|
1,081
|
0,461538
|
1,02695
|
3
|
0,958
|
0,869565
|
-0,9101
|
|
3,2
|
1,173
|
1,111111
|
1,065084
|
3,2
|
1,107
|
0,492308
|
1,05165
|
3,2
|
0,988
|
0,927536
|
-0,9386
|
|
3,4
|
1,177
|
1,180556
|
1,068716
|
3,4
|
1,126
|
0,523077
|
1,0697
|
3,4
|
1,014
|
0,985507
|
-0,9633
|
|
3,6
|
1,173
|
1,25
|
1,065084
|
3,6
|
1,14
|
0,553846
|
1,083
|
3,6
|
1,035
|
1,043478
|
-0,98325
|
|
3,8
|
1,164
|
1,319444
|
1,056912
|
3,8
|
1,148
|
0,584615
|
1,0906
|
3,8
|
1,052
|
1,101449
|
-0,9994
|
|
4
|
1,15
|
1,388889
|
1,0442
|
4
|
1,151
|
0,615385
|
1,09345
|
4
|
1,066
|
1,15942
|
-1,0127
|
|
4,2
|
1,131
|
1,458333
|
1,026948
|
4,2
|
1,15
|
0,646154
|
1,0925
|
4,2
|
1,076
|
1,217391
|
-1,0222
|
|
4,4
|
1,109
|
1,527778
|
1,006972
|
4,4
|
1,145
|
0,676923
|
1,08775
|
4,4
|
1,082
|
1,275362
|
-1,0279
|
|
4,6
|
1,086
|
1,597222
|
0,986088
|
4,6
|
1,137
|
0,707692
|
1,08015
|
4,6
|
1,086
|
1,333333
|
-1,0317
|
|
4,8
|
1,062
|
1,666667
|
0,964296
|
4,8
|
1,127
|
0,738462
|
1,07065
|
4,8
|
1,088
|
1,391304
|
-1,0336
|
|
5
|
1,037
|
1,736111
|
0,941596
|
5
|
1,114
|
0,769231
|
1,0583
|
5
|
1,087
|
1,449275
|
-1,03265
|
|
6
|
0,934
|
2,083333
|
0,848072
|
6
|
1,036
|
0,923077
|
0,9842
|
6
|
1,065
|
1,73913
|
-1,01175
|
|
7
|
0,909
|
2,430556
|
0,825372
|
7
|
0,975
|
1,076923
|
0,92625
|
7
|
1,037
|
2,028986
|
-0,98515
|
|
8
|
0,955
|
2,777778
|
0,86714
|
8
|
0,952
|
1,230769
|
0,9044
|
8
|
1,021
|
2,318841
|
-0,96995
|
|
9
|
1,023
|
3,125
|
0,928884
|
9
|
0,962
|
1,384615
|
0,9139
|
9
|
1,017
|
2,608696
|
-0,96615
|
|
10
|
1,059
|
3,472222
|
0,961572
|
10
|
0,984
|
1,538462
|
0,9348
|
10
|
1,018
|
2,898551
|
-0,9671
|
|
11
|
1,044
|
3,819444
|
0,947952
|
11
|
1,001
|
1,692308
|
0,95095
|
11
|
1,013
|
3,188406
|
-0,96235
|
|
12
|
1
|
4,166667
|
0,908
|
12
|
1,007
|
1,846154
|
0,95665
|
12
|
1,004
|
3,478261
|
-0,9538
|
|
13
|
0,965
|
4,513889
|
0,87622
|
13
|
1,006
|
2
|
0,9557
|
13
|
0,993
|
3,768116
|
-0,94335
|
|
14
|
0,961
|
4,861111
|
0,872588
|
14
|
1,005
|
2,153846
|
0,95475
|
14
|
0,987
|
4,057971
|
-0,93765
|
|
15
|
0,987
|
5,208333
|
0,896196
|
15
|
1,006
|
0,9557
|
15
|
0,987
|
4,347826
|
-0,93765
|
|
16
|
1,018
|
5,555556
|
0,924344
|
16
|
1,008
|
2,461538
|
0,9576
|
16
|
0,99
|
4,637681
|
-0,9405
|
|
17
|
1,03
|
5,902778
|
0,93524
|
17
|
1,007
|
2,615385
|
0,95665
|
17
|
0,993
|
4,927536
|
-0,94335
|
|
18
|
1,019
|
6,25
|
0,925252
|
18
|
1,001
|
2,769231
|
0,95095
|
18
|
0,994
|
5,217391
|
-0,9443
|
|
19
|
0,995
|
6,597222
|
0,90346
|
19
|
0,995
|
2,923077
|
0,94525
|
19
|
0,994
|
5,507246
|
-0,9443
|
|
20
|
0,98
|
6,944444
|
0,88984
|
20
|
0,991
|
3,076923
|
0,94145
|
20
|
0,994
|
5,797101
|
-0,9443
|
|
21
|
0,982
|
7,291667
|
0,891656
|
21
|
0,992
|
3,230769
|
0,9424
|
21
|
0,996
|
6,086957
|
-0,9462
|
|
22
|
0,997
|
7,638889
|
0,905276
|
22
|
0,997
|
3,384615
|
0,94715
|
22
|
1
|
6,376812
|
-0,95
|
|
23
|
1,011
|
7,986111
|
0,917988
|
23
|
1,002
|
3,538462
|
0,9519
|
23
|
1,003
|
6,666667
|
-0,95285
|
|
24
|
1,015
|
8,333333
|
0,92162
|
24
|
1,004
|
3,692308
|
0,9538
|
24
|
1,005
|
6,956522
|
-0,95475
|
|
25
|
1,008
|
8,680556
|
0,915264
|
25
|
1,004
|
3,846154
|
0,9538
|
25
|
1,004
|
7,246377
|
-0,9538
|
|
26
|
0,996
|
9,027778
|
0,904368
|
26
|
1,002
|
4
|
0,9519
|
26
|
1,003
|
7,536232
|
-0,95285
|
|
27
|
0,989
|
9,375
|
0,898012
|
27
|
1,001
|
4,153846
|
0,95095
|
27
|
1,003
|
7,826087
|
-0,95285
|
|
28
|
0,992
|
9,722222
|
0,900736
|
28
|
1,001
|
4,307692
|
0,95095
|
28
|
1,003
|
8,115942
|
-0,95285
|
|
29
|
1
|
10,06944
|
0,908
|
29
|
1,001
|
4,461538
|
0,95095
|
29
|
1,004
|
8,405797
|
-0,9538
|
|
30
|
1,006
|
10,41667
|
0,913448
|
30
|
1
|
4,615385
|
0,95
|
30
|
1,003
|
8,695652
|
-0,95285
|
|
31
|
1,007
|
10,76389
|
0,914356
|
31
|
0,998
|
4,769231
|
0,9481
|
31
|
1,001
|
8,985507
|
-0,95095
|
Приложение Б
Здесь представлены данные результирующей функции ТВЧХ
|
t
|
H(t)
|
|
0,061538
|
0,214494
|
|
0,138889
|
0,428778
|
|
0,208333
|
0,618126
|
|
0,277778
|
0,784506
|
|
0,347222
|
0,925488
|
|
0,405797
|
1,040122
|
|
0,463768
|
1,126508
|
|
0,57971
|
1,151522
|
|
0,637681
|
1,167414
|
|
0,695652
|
1,167492
|
|
0,763889
|
1,155598
|
|
0,923077
|
1,05802
|
|
1,043478
|
0,998096
|
|
1,230769
|
0,947284
|
|
1,388889
|
0,9245
|
|
1,736111
|
0,880796
|
|
2,028986
|
0,818622
|
|
2,318841
|
0,811122
|
|
2,777778
|
0,85099
|
|
3,188406
|
0,908934
|
|
3,478261
|
0,959672
|
|
3,768116
|
0,958402
|
|
4,153846
|
0,9213
|
|
4,615385
|
0,88572
|
|
4,861111
|
0,877338
|
|
5,208333
|
0,899996
|
|
5,555556
|
0,928144
|
|
5,902778
|
0,93714
|
|
6,25
|
0,923352
|
|
6,597222
|
0,89871
|
|
6,944444
|
0,88319
|
|
7,638889
|
0,900526
|
|
7,986111
|
0,913238
|
|
8,333333
|
0,91592
|
|
8,680556
|
0,910514
|
|
9,027778
|
0,901518
|
|
9,375
|
0,895162
|
|
9,722222
|
0,897886
|
|
10,06944
|
0,90515
|
|
10,41667
|
0,910598
|
|
10,76389
|
0,911506
|
Приложение В
|
i
|
t
|
u*
|
n
|
u
|
|
-5
|
-1
|
0
|
0
|
0
|
|
-4
|
-0,8
|
0
|
0
|
0
|
|
-3
|
-0,6
|
0
|
0
|
0
|
|
-2
|
-0,4
|
0
|
0
|
0
|
|
-1
|
-0,2
|
0
|
0
|
0
|
|
0
|
0
|
0
|
0
|
0
|
|
1
|
0,2
|
1
|
0,1
|
0,037319
|
|
2
|
0,4
|
1
|
0,1
|
0,053841
|
|
3
|
0,6
|
1
|
0,1
|
0,07275
|
|
4
|
0,8
|
1
|
0,1
|
0,101716
|
|
5
|
1
|
1
|
0,1
|
0,139435
|
|
6
|
1,2
|
1
|
0,1
|
0,184457
|
|
7
|
1,4
|
1
|
0,2356
|
|
8
|
1,6
|
1
|
0,1
|
0,291692
|
|
9
|
1,8
|
1
|
0,1
|
0,351572
|
|
10
|
2
|
1
|
0,1
|
0,414111
|
|
11
|
2,2
|
1
|
0,1
|
0,478231
|
|
12
|
2,4
|
1
|
0,1
|
0,54291
|
|
13
|
2,6
|
1
|
0,1
|
0,607201
|
|
14
|
2,8
|
1
|
0,1
|
0,670231
|
|
15
|
3
|
1
|
0,1
|
0,731212
|
|
16
|
3,2
|
1
|
0,1
|
0,789444
|
|
17
|
3,4
|
1
|
0,1
|
0,84432
|
|
18
|
3,6
|
1
|
0,1
|
0,895326
|
|
19
|
3,8
|
1
|
0,1
|
0,942039
|
|
20
|
4
|
1
|
0,1
|
0,984131
|
|
………………………………………………………………………………………………………………..
|
|
80
|
16
|
1
|
0,1
|
0,894548
|
|
81
|
16,2
|
1
|
0,1
|
0,895945
|
|
82
|
16,4
|
1
|
0,1
|
0,896812
|
|
83
|
16,6
|
1
|
0,1
|
0,897176
|
|
84
|
16,8
|
1
|
0,1
|
0,897072
|
|
85
|
17
|
1
|
0,1
|
0,896535
|
|
86
|
17,2
|
1
|
0,1
|
0,895606
|
|
87
|
17,4
|
1
|
0,1
|
0,894329
|
|
88
|
17,6
|
1
|
0,1
|
0,892747
|
|
89
|
17,8
|
1
|
0,1
|
0,890905
|
|
90
|
18
|
1
|
0,1
|
0,888851
|
|
91
|
18,2
|
1
|
0,1
|
0,886627
|
|
92
|
18,4
|
1
|
0,1
|
0,884279
|
|
93
|
18,6
|
1
|
0,1
|
0,881849
|
|
94
|
18,8
|
1
|
0,1
|
0,879376
|
|
95
|
19
|
1
|
0,1
|
0,8769
|
|
96
|
19,2
|
1
|
0,1
|
0,874455
|
|
97
|
19,4
|
1
|
0,1
|
0,872073
|
|
98
|
19,6
|
1
|
0,1
|
0,869782
|
|
99
|
19,8
|
1
|
0,1
|
0,867608
|
|
100
|
20
|
1
|
0,1
|
0,865572
|
Приложение Г
|
i
|
t(i)
|
y*(i)
|
n(i)
|
ε(i)
|
x1(i)
|
ε1(i)
|
x2(i)
|
x3(i)
|
x6(i)
|
x4(i)
|
x5(i)
|
y1(i)
|
y(i)
|
|
-2,0
|
|
0,0
|
0,0
|
0,000
|
0,000
|
0,000
|
0,000
|
0,000
|
0,000
|
0,000
|
0,000
|
0,000
|
0,000
|
|
-1,0
|
|
0,0
|
0,0
|
0,000
|
0,000
|
0,000
|
0,000
|
0,000
|
0,000
|
0,000
|
0,000
|
0,000
|
0,000
|
|
0,0
|
0,0
|
0,0
|
0,0
|
0,000
|
0,000
|
0,000
|
0,000
|
0,000
|
0,000
|
0,000
|
0,000
|
0,000
|
0,000
|
|
1,0
|
0,2
|
1,0
|
0,1
|
1,000
|
6,000
|
6,000
|
0,700
|
1,027
|
0,800
|
1,827
|
1,727
|
0,863
|
1,094
|
|
2,0
|
0,4
|
1,0
|
0,1
|
-0,094
|
-0,561
|
-1,425
|
-0,166
|
0,098
|
-0,990
|
-0,892
|
-0,992
|
-0,496
|
0,721
|
|
3,0
|
0,6
|
1,0
|
0,1
|
0,279
|
1,675
|
2,171
|
0,253
|
0,404
|
0,479
|
0,884
|
0,784
|
0,392
|
1,057
|
|
4,0
|
0,8
|
1,0
|
0,1
|
-0,057
|
-0,344
|
-0,735
|
-0,086
|
0,009
|
-0,388
|
-0,379
|
-0,479
|
-0,239
|
0,785
|
|
5,0
|
1,0
|
1,0
|
0,1
|
0,215
|
1,292
|
1,532
|
0,179
|
0,265
|
0,302
|
0,567
|
0,467
|
0,234
|
0,946
|
|
6,0
|
1,2
|
1,0
|
0,1
|
0,054
|
0,321
|
0,087
|
0,010
|
0,103
|
-0,193
|
-0,089
|
-0,189
|
-0,095
|
0,812
|
|
7,0
|
1,4
|
1,0
|
0,1
|
0,188
|
1,127
|
1,222
|
0,143
|
0,244
|
0,151
|
0,395
|
0,295
|
0,147
|
0,904
|
|
8,0
|
1,6
|
1,0
|
0,1
|
0,096
|
0,574
|
0,426
|
0,050
|
0,154
|
-0,106
|
0,048
|
-0,052
|
-0,026
|
0,839
|
|
9,0
|
1,8
|
1,0
|
0,1
|
0,161
|
0,967
|
0,993
|
0,116
|
0,221
|
0,076
|
0,297
|
0,197
|
0,888
|
|
10,0
|
2,0
|
1,0
|
0,1
|
0,112
|
0,673
|
0,574
|
0,067
|
0,172
|
-0,056
|
0,116
|
0,016
|
0,008
|
0,854
|
|
11,0
|
2,2
|
1,0
|
0,1
|
0,146
|
0,878
|
0,870
|
0,101
|
0,206
|
0,039
|
0,246
|
0,146
|
0,073
|
0,879
|
|
12,0
|
2,4
|
1,0
|
0,1
|
0,121
|
0,728
|
0,655
|
0,076
|
0,181
|
-0,029
|
0,152
|
0,052
|
0,026
|
0,861
|
|
13,0
|
2,6
|
1,0
|
0,1
|
0,139
|
0,836
|
0,810
|
0,094
|
0,199
|
0,021
|
0,220
|
0,120
|
0,060
|
0,874
|
|
14,0
|
2,8
|
1,0
|
0,1
|
0,126
|
0,759
|
0,699
|
0,082
|
0,186
|
-0,015
|
0,171
|
0,071
|
0,036
|
0,864
|
|
15,0
|
3,0
|
1,0
|
0,1
|
0,136
|
0,815
|
0,779
|
0,091
|
0,195
|
0,011
|
0,206
|
0,106
|
0,053
|
0,871
|
|
16,0
|
3,2
|
1,0
|
0,1
|
0,129
|
0,774
|
0,721
|
0,084
|
0,189
|
-0,008
|
0,181
|
0,081
|
0,040
|
0,866
|
|
17,0
|
3,4
|
1,0
|
0,1
|
0,134
|
0,804
|
0,763
|
0,089
|
0,193
|
0,006
|
0,199
|
0,099
|
0,049
|
0,870
|
|
18,0
|
3,6
|
1,0
|
0,1
|
0,130
|
0,783
|
0,733
|
0,086
|
0,190
|
-0,004
|
0,186
|
0,086
|
0,043
|
0,867
|
|
19,0
|
3,8
|
1,0
|
0,1
|
0,133
|
0,798
|
0,755
|
0,088
|
0,192
|
0,003
|
0,195
|
0,095
|
0,048
|
0,869
|
|
……………………………
|
|
41,0
|
8,2
|
1,0
|
0,1
|
0,132
|
0,791
|
0,746
|
0,087
|
0,191
|
0,000
|
0,191
|
0,091
|
0,046
|
0,868
|
|
42,0
|
8,4
|
1,0
|
0,1
|
0,132
|
0,791
|
0,746
|
0,087
|
0,191
|
0,000
|
0,191
|
0,091
|
0,046
|
0,868
|
|
43,0
|
8,6
|
1,0
|
0,1
|
0,132
|
0,791
|
0,746
|
0,087
|
0,191
|
0,000
|
0,191
|
0,091
|
0,046
|
0,868
|
|
44,0
|
8,8
|
1,0
|
0,1
|
0,132
|
0,791
|
0,746
|
0,087
|
0,191
|
0,000
|
0,191
|
0,091
|
0,046
|
0,868
|
|
45,0
|
9,0
|
1,0
|
0,1
|
0,132
|
0,791
|
0,746
|
0,087
|
0,191
|
0,000
|
0,191
|
0,091
|
0,046
|
0,868
|
|
46,0
|
9,2
|
1,0
|
0,1
|
0,132
|
0,791
|
0,746
|
0,087
|
0,191
|
0,000
|
0,191
|
0,091
|
0,046
|
0,868
|
|
47,0
|
9,4
|
1,0
|
0,1
|
0,132
|
0,791
|
0,746
|
0,087
|
0,191
|
0,000
|
0,191
|
0,091
|
0,046
|
0,868
|
|
48,0
|
9,6
|
1,0
|
0,1
|
0,132
|
0,791
|
0,746
|
0,087
|
0,191
|
0,000
|
0,191
|
0,091
|
0,046
|
0,868
|
|
49,0
|
9,8
|
1,0
|
0,1
|
0,132
|
0,791
|
0,746
|
0,087
|
0,191
|
0,000
|
0,191
|
0,091
|
0,046
|
0,868
|
|
50,0
|
10,0
|
1,0
|
0,1
|
0,132
|
0,791
|
0,746
|
0,087
|
0,191
|
0,000
|
0,191
|
0,091
|
0,046
|
0,868
|
|
51,0
|
10,2
|
1,0
|
0,1
|
0,132
|
0,791
|
0,746
|
0,087
|
0,191
|
0,000
|
0,191
|
0,091
|
0,046
|
0,868
|
|
52,0
|
10,4
|
1,0
|
0,1
|
0,132
|
0,791
|
0,746
|
0,087
|
0,191
|
0,000
|
0,191
|
0,091
|
0,046
|
0,868
|
|
53,0
|
10,6
|
1,0
|
0,1
|
0,132
|
0,791
|
0,746
|
0,087
|
0,191
|
0,000
|
0,191
|
0,091
|
0,046
|
0,868
|
|
54,0
|
10,8
|
1,0
|
0,1
|
0,132
|
0,791
|
0,746
|
0,087
|
0,191
|
0,000
|
0,191
|
0,091
|
0,046
|
0,868
|
|
55,0
|
11,0
|
1,0
|
0,1
|
0,132
|
0,791
|
0,746
|
0,087
|
0,191
|
0,000
|
0,191
|
0,091
|
0,868
|
|
56,0
|
11,2
|
1,0
|
0,1
|
0,132
|
0,791
|
0,746
|
0,087
|
0,191
|
0,000
|
0,191
|
0,091
|
0,046
|
0,868
|
|
57,0
|
11,4
|
1,0
|
0,1
|
0,132
|
0,791
|
0,746
|
0,087
|
0,191
|
0,000
|
0,191
|
0,091
|
0,046
|
0,868
|
|
58,0
|
11,6
|
1,0
|
0,1
|
0,132
|
0,791
|
0,746
|
0,087
|
0,191
|
0,000
|
0,191
|
0,091
|
0,046
|
0,868
|
|
59,0
|
11,8
|
1,0
|
0,1
|
0,132
|
0,791
|
0,746
|
0,087
|
0,191
|
0,000
|
0,191
|
0,091
|
0,046
|
0,868
|
|
60,0
|
12,0
|
1,0
|
0,1
|
0,132
|
0,791
|
0,746
|
0,087
|
0,191
|
0,000
|
0,191
|
0,091
|
0,046
|
0,868
|
|
61,0
|
12,2
|
1,0
|
0,1
|
0,132
|
0,791
|
0,746
|
0,087
|
0,191
|
0,000
|
0,191
|
0,091
|
0,046
|
0,868
|