Анализ состояния электрических цепей
Содержание
Введение
1. Анализ электрического состояния линейных и нелинейных
электрических цепей постоянного тока
1.1 Составления на основание закона Кирхгофа системы уравнения для
всех цепей тока
1.2 Определение токов во всех ветвях методом контурных токов
2. Расчет однофазных цепей переменного тока
2.1 Определяем реактивное сопротивление элементов цепи
2.2 Выразим действующие значение напряжения в комплексной форме
2.3 Уравнение мгновенного значения тока источника
2.4 Составим баланс мощностей
2.5 Для построения векторной диаграммы токов, совмещенной с
топографической диаграммой напряжений, рассчитаем напряжение на каждом элементе
схемы замещения
3. Расчет трехфазных электрических цепей переменного тока
Заключение
Список литературы
Введение
Электротехника - это наука о процессах, связанных с
практическими применением электрических и магнитных явлений. Так же называют
отрасль техники, которая применяет их в промышленности, медицине, военном деле
и т.д.
Большое значение электротехники во всех областях деятельности
человека объясняется преимуществами электрической энергий перед другими видами
энергий, а именно:
) Электрическую энергию легко преобразовать в другие
виды энергии (механическую, тепловую, световую, химическую и т.д.), и наоборот,
в электрическую энергию легко преобразуются любые другие виды энергий;
2) Электрическую энергию можно предавать практически на
любые расстояние. Это дает возможность строить электростанций в местах, где
имеются природные энергетические ресурсы;
) Электрическую энергию удобно дробить на любые части
в электрических цепях;
) Процессы получения, передачи и потребителя
электроэнергий легко поддаются автоматизаций;
В настоящее время электрическая энергия является практически
единственным видом энергий для искусственного освещения. Можно, что без
электрической энергии невозможна нормальная жизнь современного общества.
Единственным недостатком электрической энергии является
невозможность запасать ее в больших количествах и сохранять эти запасы в
течение длительного времени.
электрическая цепь ток мощность
1.
Анализ электрического состояния линейных и нелинейных электрических цепей
постоянного тока
1.1
Составления на основание закона Кирхгофа системы уравнения для всех цепей тока
Рисунок 1.1 - Схема электрической цепи постоянного тока
Таблица 1.1 - Числовые параметры электрической цепи
постоянного тока
|
E1, В
|
Е2, В
|
R1ьОм
|
R2, Ом
|
R3, Ом
|
R4, Ом
|
R5, Ом
|
R6, Ом
|
r01, Ом
|
r02, Ом
|
|
20
|
40
|
64
|
48
|
32
|
25
|
51
|
15
|
1
|
2
|
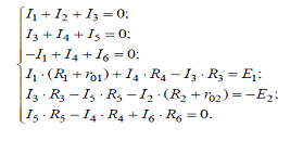
) Составить систему уравнений, применяя законы
Кирхгофа для определения токов во всех ветвях
Метод узловых и контурных уравнений основан на применений
первого и второго законов Кирхгофа. Он не требует никаких преобразований схемы
и пригоден для расчета любой цепи.
При расчете данным методом произвольно задали направления
токов в ветвях I1, I2, I3, I4, I5
Составим систему уравнений. В системе должно быть столько
уравнений, сколько в цепи ветвей (неизвестных токов)
В заданной цепи шесть ветвей, значит, в системе должно быть
шесть уравнений (m=6). Сначала составляем уравнения для узлов по первому закону
Кирхгофа.
Для цепи с n-узлами можно составить (n=1) независимых
уравнений. В нашей цепи при узлах (A,B,C), значит, число уравнений: n-1=4-1=3
Составляем два уравнения для любых 2-х узлов, например для
узлов А, В и С
Всего в системе должно быть шесть уравнений. Три уже есть.
Три недостающих уравнения составляю по второму закону Кирхгофа, выбрав для
этого определенные контуры. Принимаю обход контура по часовой стрелки и,
учитывая правила знаков, получаю три недостающих уравнения:
ЭДС в контуре берется со знаком "+”, если направление
ЭДС совпадает с обходом контура, если не совпадает знак С.
Падение напряжения на сопротивлении контура берется со знаком
"+”, если направление тока в нем совпадает с обходом контура, со знаком
"-”, если не совпадает.
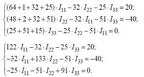
Мы получим систему из шести уравнений с шестью неизвестными:
1.2
Определение токов во всех ветвях методом контурных токов
Рисунок 1.2
Метод контурных токов основан на использовании только второго
закона Кирхгофа. Это позволяет уменьшить число уравнений.
Итак, в заданной цепи можно рассмотреть три контурных -
ячейки и ввести для них контурные токи I11, I22, I33
Записываю систему контурных уравнения, составленных по
второму закону Кирхгофа, для трех контуров:
Подставляю значения сопротивлений и ЭДС и получаю следующую
систему:

Используя соотношения между токами контуров и ветвей, получаю
значение токов ветвей:
Для заданной схемы составляю баланс мощностей и проверяю
правильность расчета:
,38
15,377 Вт - баланс мощностей сходится, что
говорит о правильности расчета.
2. Расчет
однофазных цепей переменного тока
К зажимам электрической цепи подключен источник
синусоидального напряжения u = Um*sin (wt + y/u) B частотой f=50Гц. Заданы
амплитуда, начальная фаза напряжения и параметры элементов цепи. Амплитуда,
начальной фазы напряжения n параметры элементов цепи заданы в таблицу 2.1
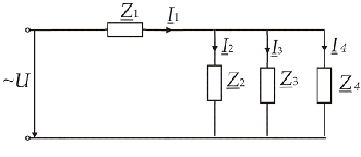
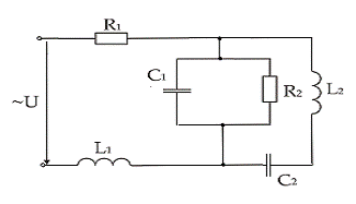
Схема однофазной электрической цепи переменного тока
Таблица 2.1
Числовые параметры схем однофазных электрических цепей
|
Uм В
|
y/u
|
R1, Ом
|
R2, Ом
|
L1, мГн
|
L2, мГн
|
С1, мкФ
|
С2, мкФ
|
|
20
|
600
|
10
|
15
|
63,6
|
31,8
|
318
|
318
|
Определить: XL1, XL2, X C1, X C2, I1, I 2, I 3, I 4, i
Рисунок 2.1
2.1
Определяем реактивное сопротивление элементов цепи
XL1 = 314*63,6*
= 20=314*31,8*
= 10
X C1
X C2
=10
Расчет токов в ветвях цепи выполняем методом эквивалентных
преобразований
Представим схему приведенную на рисунке 2.1 в следующим виде
Запишем комплексное сопротивление ветвей:

Ом



Ом
Определяем эквивалентное комплексное сопротивление цепи: 
2.2
Выразим действующие значение напряжения в комплексной форме

Вычисляем ток ветвей и общей ток цепи:


A

Действующие значение тока:
= 1,703 А
2.3
Уравнение мгновенного значения тока источника
.
Находим максимально токовое значение:
=
Начальная фаза вектора тока
=
Запишем мгновенное значение тока источника для данной цепи:
A
2.4 Составим
баланс мощностей
Q
BA
Активная мощность источника
Вт
Реактивная мощность источника
Вар
Находим активную мощность приемников
Вт
Находим реактивную мощность приемников:
Вар
Баланс мощностей сходится
.5 Для
построения векторной диаграммы токов, совмещенной с топографической диаграммой
напряжений, рассчитаем напряжение на каждом элементе схемы замещения
В
В
В
В
В
3. Расчет
трехфазных электрических цепей переменного тока
Таблица 3.1
Числовые параметры и схема соединения трехфазной
электрической цепи переменного тока
|
В В
|
Сопротивление
фаз
|
Схема
соединения
|
|
Ом
|
Ом
|
|
|
|
|
|
220
|
24
|
20
|
32
|
36
|
30
|
Y
|
Расчет буду вести символическим методом.
. Комплексы фазных напряжений записываю из условия, что
вектор
совмещен с
действительной осью комплексной плоскости.
В
В
В
2. Вычисляю комплексы фазных сопротивлений:
Ом
Ом
Ом
Ом;
;
Ом;
;
Ом;
;
3. Определяю ток в нулевом проводе:
A;
;
A;
A;
;
A;
A;
;
Заключение
В данном курсовом проекте мной был произведен расчет линейных
электрических цепей постоянного тока, расчет однофазных линейных электрических
цепей переменного тока и расчет трехфазных линейных цепей синусоидального тока.
При расчете линейных электрических цепей постоянного тока
наиболее точным и простым методом является метод контурных токов. Однако, и
метод наложения, дает такие же результаты расчетов токов. Поэтому, каким - бы
методом мы не рассчитывали линейную электрическую цепь постоянного тока, каждый
из них будет справедлив.
При расчете однофазных линейных электрических цепей
синусоидального тока использовал символический метод расчета (т.е. при помощи
комплексных чисел). Т.к. эти цепи представляют собой смешанное соединение
элементов, то только этот метод может дать наиболее точные расчеты.
Расчет трехфазных линейных электрических цепей
синусоидального тока производил в зависимости от схемы соединения однофазных
приемников - звезда.
С помощью курсового проекта я наиболее тонко закрепил
теоретические знания по дисциплине "Теоретические основы
электротехники" и приобрел практические навыки по расчету линейных
электрических цепей.
Список
литературы
1. Атабеков
Г.И. - Теоретические основы электротехники. - М., 1978.
2. Буртаев
Ю.В., Овсянников П.Н. - Теоретические основы электротехники. - М., 1984.
. Гилицкая
Л.Н. - Теоретические основы электротехники. Курсовое проектирование - Мн.,
1997.
. Государственные
стандарты Республики Беларусь.
. Евдокимов
Ф.Е. Теоретические основы электротехники. - М., 1981.
. Зайчик
М.Ю. - Сборник задач и упражнений по теоретической электротехнике. - М., 1989.