Производство хлеба по интенсивной технологии

  • Вид работы:
    Отчет по практике
  • Предмет:
    Другое
  • Язык:
    Русский
    ,
    Формат файла:
    MS Word
    1,05 Мб
  • Опубликовано:
    2012-11-10
Вы можете узнать стоимость помощи в написании студенческой работы.
Помощь в написании работы, которую точно примут!

Производство хлеба по интенсивной технологии

Введение

Учебный комплекс №3 Саратовского государственного аграрного университета им. Н.И. Вавилова расположен в Кировском районе г. Саратова.

Предприятие граничит: с севера - территория завода резинотехники; с запада - проезжая часть, с юга - стадион «Темп»; с востока - проезжая часть.

На территории УК №3 СГАУ на сегодняшний день находится комплекс по разведению и выращиванию сельскохозяйственных животных (свиней, КРС, МРС и лошадей). В здании университета работают: колбасный цех, производящий колбасу и копченые мясные деликатесы; масло-цех, производящий масла льняное, рыжиковое и масло расторопши. Кроме того, в СГАУ имеется хлебопекарный участок, который специализируется на выпечке хлебных изделий.

Хлебопекарный цех и лаборатория кафедры «Технология переработки продукции растениеводства» являются экспериментальной базой для исследований в области хлебопечения, разработки композитных добавок, применения нетрадиционного сырья, а также разработки рецептур функциональных хлебов. На сегодняшний день оформлены ТУ на «Батон студенческий» и патент на булочки с добавлением тыквенного порошка и экстракта шиповника.

Основным сырьем для производства хлебобулочных изделий является: мука, дрожжи, соль, вода; дополнительным - сахар, яйца маргарин, подсолнечное масло и т.д. Изготовление хлебобулочных изделий включает следующие стадии: прием и хранение дополнительного сырья; подготовка сырья к производству; замес теста и его брожение; разделка и формовка тестовых заготовок; расстайка и выпечка. Хлебопекарные печи работают от электричества. Сырье, полуфабрикаты и готовую продукцию перевозят на автомобилях с двигателем внутреннего сгорания.

1. Технология переработки продукции растениеводства

.1 Характеристика сырья

продукция сырье растениеводство дрожжи

Мука. В производстве замороженных полуфабрикатов лучше использовать муку с более высоким содержанием белка, чем обычно: примерно 12-14% или не менее 30% сырой клейковины - как принято у нас в стране. Также показатели ИДК должны быть не ниже 70. Амилазная активность средняя (ЧП = 250 - 300).

Дрожжи. Дрожжи лучше использовать прессованные. Максимально свежие - так как старые дрожжи хуже переносят замораживание и длительное хранение при низких температурах, ухудшают реологию теста, увеличивают расплываемость заготовок и выделяют мало газа при расстойке, придают неприятный запах готовым изделиям.

Соль. Лучше использовать соль марки экстра. Соль улучшает вкус, консистенцию и газоудерживающие свойства теста.

Сахар. Жир. - в некоторых рецептурах например таких как багет - не используются. Тем не менее, их внесение в другие рецептуры благоприятно сказывается на реологии теста, сохранности заготовок при хранении и вкусвые качества продукта.

Клейковина. При замораживании происходит не только гибель дрожжей (потеря газообразования) но и повреждение клейковины (ухудшение газоудерживающих свойств теста), поэтому внесение клейковины благоприятно сказывается на стабильности хранения заготовок, возможном сроке хранения в заморозке и внешнем виде изделий.

Свежие яйца. За счет дополнительных эмульгирующих свойств - благоприятно сказываются на качестве изделий. Яичный порошок на качество влияет значительно меньше - в основном используется для вкуса.

Сухое молоко. Также источник белка, положительно влияющий на объем изделий, стабильность при хранении и скорость образования цвета корки - что важно в некоторых случаях.

Специализированные улучшители. Выбор улучшителя зависит от применяемой технологии и желаемого срока хранения изделий в заморозке.

Криопротекторы - защищающие от переохлаждения вещества - используют благодаря их потенциальной возможности стабилизировать свойства тестовых заготовок во время хранения путем предотвращения или снижения денатурации белков, имеющей место во время хранения полуфабрикатов в замороженном виде. Основываясь на механизмах действия криопротекторов, обусловленных их химическим строением и функциональными свойствами, можно полагать, что использование криопротекторов как низкомолекулярной, так и высокомолекулярной природы, позволяет получить больший эффект, чем замораживание без них.

Жировые продукты широко используют в хлебопечении в качестве рецептурных ингредиентов для улучшения качества хлеба и реологических свойств теста. Известно, что жировые продукты - это не только источник энергии, но и ингредиенты, обладающие лечебно-профилактическими свойствами. Липиды являются носителями полиненасыщенных жирных кислот, жирорастворимых витаминов и каротиноидов, а также являются структурной частью клеток (мембран) и тканей, в том числе и нервных. Они способствуют синтезу в организме арахидоновой кислоты, которая регулирует работу печени, сердечно-сосудистой системы, нормализует уровень холестерина в крови и активизирует метаболические процессы.

.2 Технологический процесс производства продукции

Рассмотрим имеющиеся на рынке варианты:

Частично выпеченные замороженные изделия

Технология частичной выпечки позволяет «Потребителю» получить готовое выпеченное изделие в максимально короткие сроки - иногда до 5 минут. Данная технология чаще всего применяется в предприятиях общественного питания, ресторанах, гостиницах и т.д.

Часто данную технологию называют «Метод полувыпечки» и ошибочно полагают, что изделия выпекаются в течение времени составляющего половину от стандартного времени выпечки. Однако это не так. Опыты показали, что скорость образования мякиша не сильно зависит от температуры в печи, в то время как толщина и влажность корки весьма чувствительны к параметрам выпечки. Поэтому время выпечки изделий в большинстве случаев составляет не менее 80-90% от стандартного. Зато значительно меняются условия при которых выпекается изделие: температура выпечки становится меньше и необходимо обеспечить регулярное пароувлажнение. Т.е. основные задачи при частичной выпечке это:

полностью пропечь мякиш изделия, с одной стороны;

избежать образования корки, с другой.

Если мякиш недостаточно пропечен, то изделия будут просаживаться под собственным весом (по этой же причине не рекомендуется изготавливать изделия большого объема и массы по даной технологии). Если же началось образование корки, то в дальнейшем увеличивается вероятность ее отшелушивания. Регулярное пароувлажнение позволяет обеспечить условия при которых корка будет долгое время оставаться влажной, тонкой и относительно холодной (<100°С.). Однако избыток пара может также привести к тому, что изделие будет проседать при охлаждении. Для примера приведем сравнительную таблицу выпечки полубагета (160 г.) обычным методом и методом частичной выпечки:

после выпечки изделия необходимо охладить до температуры в центре изделия 30 - 35°С, после чего замораживаем пи температуре - 35°С до достижения в центре изделия температуры - 10°С. Изделия также должны быть твердыми на ощупь. После этого упаковываем изделия и переносим их на склад хранения при температуре -18°С. Медленное замораживание, а также периодическое оттаивание с последующим замораживанием приводят к образованию прослойки льда непосредственно под корочкой, что в дальнейшем будет приводить к сильному отшелушиванию корки! Размораживание изделий осуществляется при комнатной температуре в течение 20-30 минут. Для порционных мелкоштучных изделий размораживание не требуется.

Допекание осуществляется как можно быстрее. Для этого используется довольно высокая температура: порядка 220-230 градусов в течение 5-6 минут.

Быстрое доведение до готовности изделий в данном случае - основной большой плюс. Однако минусом технологии является то, что после допекания изделия быстро черствеют. Это связано со следующими факторами:

количество воды на замес теста меньше на 2-3% (чтобы обеспечить прочность мякиша и избежать проседания после выпечки)

теряется влага в процессе первой выпечки

теряется влага в процессе замораживания и хранения изделий

теряется влага в процессе допекания.

Таким образом мякиш изделия более сухой. Как правило время жизни изделий после допекания составляет несколько часов. А для мелкоштучных порционных изделий не более двух - трех часов.

Технолония частичной выпечки применяется обычно для производства изделий с хрустящей корочкой: багет, кайзеровская булочка, чиабатта и т.д.

Быстрозамороженные расстоенные тестовые заготовки

В данном методе замораживание заготовок производится после их частичной расстойки. Основное преимущество метода заключается в том, что «Потребитель» получает полуфабрикат максимально готовый к выпечке. На конечной точке достаточно просто разморозить тестовые заготовки на листах для выпечки при комнатной температуре, в течение 20-30 минут, после чего произвести выпечку. Температуру выпечки рекомендуется снизить на 10 градусов, относительно стандартных режимов. Таким образом достигается максимальная простота и скорость работы на конечной точке. Нет нужды в расстойной камере и квалифицированных пекарях.

Недостаток метода заключается в том, что изделия более чувствительны к перепадам температуры при хранении и транспортировке (при оттаивании изделия быстро деформируются и слипаются), объем и внешний вид, готовых изделий относительно хуже, чем при заморозке полуфабрикатов замороженных после формования. Но при четком соблюдении технологии позволяет получать изделия очень хорошего качества. Так же к недостаткам следует отнести и тот фактор, что требуется больше упаковки, транспорта и камер для хранения для того же количества изделий - поскольку после расстойки их объем увеличивается. Важно и то что при использовании этого метода воды берут на 2-3% меньше, чтобы предотвратить расплываемость изделий. Однако это уменьшает выход готовой продукции.

Поскольку процесс замораживания длится в течение некоторого времени - во внутренних слоях изделий расстойка продолжается, когда изделия уже находятся в морозильной камере. Дополнительно к этому под воздействием низкой температуры и давления струи воздуха от вентиляторов заготовки могут сжиматься и морщиться. Поэтому крайне важно определить правильный момент для прекращения расстойки и начала замораживания. Обычно расстойку ведут на 60-75% от нормы. Перестоявшие изделия после разморозки и выпечки будут более подвержены расплываемости и оседанию.

Процесс заморозки расстояных полуфабрикатов ведут уже с учетом того, что дрожжи почти выполнили свою функцию - т.е. подняли тесто, а вот клейковина находится в растянутом состоянии - стенки пор более тонкие и больше подвержены повреждению при замораживании. Поэтому замораживание ведут при более низкой температуре - около -35°С. Затем изделия также упаковывают и перемещают в камеру хранения -18°С.

Нерасстоенные тестовые заготовки

Метод весьма распространенный из-за своей относительной простоты. Из оборудования требуется 2-х скоростная тестомесильная машина, разделочное оборудование - в зависимости от видов изделий, Камера шоковой заморозки, Камера хранения готовых изделий.

Основная задача при данной технологии - максимально сохранить жизнедеятельность дрожжей. Для этого необходимо обеспечить температуру теста не выше 20-22°С - выше этой температуры дрожжи начнут «работать», что негативно скажется на их дальнейшей сохранности в заморозке. Для снижения температуры используют оборудование с рубашками, углекислоту и сухой лед, «чешуйчатый» лед в смеси с водой, охлаждение основного сырья (муки). Однако, при температуре ниже 16-18°С будет ухудшаться образование структуры теста, что скажется негативно на газоудерживающих свойствах теста.

На сохранность дрожжей влияет также время экспозиции теста при положительных температурах. Поэтому важно максимально быстро разделать, сформовать тестовые заготовки и отправить их в заморозку, до минимума сократив продолжительность отлежек и других операций. Так, если продолжительность процесса от момента замеса до заморозки составляет пол часа, то срок хранения может быть 6 месяцев. 1 час - и время стабильно хранения сокращается до одного месяца.

Количество дрожжей в зависимости от предполагаемого срока хранения следует увеличивать на 25 - 100%.

Замораживание заготовок также ведется с учетом акцента на сохранность дрожжей. Дело в том, что при слишком быстром замораживании (при очень низких температурах), образуются крупные кристаллы льда, которые разрушают оболочку дрожжевой клетки и вызывают ее гибель. Мертвые клетки, мало того, что больше не могут выделять газ, но также и выделяют в тесто глютатион, который активизирует протеолиз белков, что в конечном счете дополнительно ухудшает газоудерживающие свойства теста и его вкус. Изделия получаются малообъемными и расплывчатыми. Однако, при слишком медленном замораживании (при температуре -18°С) может произойти плазмолиз дрожжей - что также пагубно, а также образование большого количества мелких кристаллов льда приводит в процессе хранения к повреждению клейковины.

Поэтому замораживание ведется в идеале при температуре -25°С в камере Шоковой заморозки (необходимое условие также обеспечение равномерной циркуляции воздуха со скоростью 4 м/с для лучшего теплообмена). Продолжительность замораживания зависит от размера и массы изделий. Но в любом случае должны соблюдаться два условия:

а) температура в центре изделия -7-10°С;

б) внешние слои заготовки должны быть твердыми для предотвращения сминания заготовок при упаковке.

По достижении этих условий заготовки должны быть упакованы и помещены на хранение при температуре -18°С.

Передержка в камере шоковой заморозки приводит к перемораживанию внутренних слоев изделия, что в дальнейшем дает более плотный мякиш в центре изделий или даже закал и уменьшение объема выпеченных изделий.

Для обеспечения оптимального развития теста и обеспечения его сохранности при замораживании и хранении в любом случае необходимо использовать специальные улучшители.

Очень важно при этой технологии правильное размораживание на конечной точке. Часто непрофессиональное мнение персонала - что чем теплей расстойка - тем быстрей расстоится тесто и тем лучше - приводит к браку. Если изделия сразу из заморозки помещаются из морозильной камеры на лист и в расстойку, расстойка идет не равномерно. Во первых, во влажной среде расстойной камеры на поверхности изделий образуется большое количество конденсата, что приводит к образованию пузырей; Во вторых, внешние слои изделий быстро нагреваются и кажутся уже расстоявшимися, в то время как внутренние слои, к этому моменту могут только разморозиться. В результате изделие неравномерно пропекается, мякиш внутри может быть сырым. Для обеспечения правильной разморозки иногда используют специальные программируемые камеры, позволяющие постепенно и в идеальных условиях разморозить и расстоять заготовки и получить максимальное качество готовой выпечки. Но в большинстве случаев достаточно хотя-бы 20-30 минут разморозить изделия выложив их на листы при комнатных условиях, а затем уже перемещать заготовки в расстойный шкаф. Из-за того, что заготовки поступают в расстойку относительно холодными - продолжительность расстойки увеличивается, по сравнению с обычными методами. Выпечка ведется стандартным для каждого вида изделий способом.

Частично выпеченные незамороженные продукты

Частично выпеченные изделия доставляются в магазины, где они хранятся не в морозильных камерах, а при комнатной температуре (до 25о С) не более 2 дней, в течение которых они должны быть выпечены. Используя этот метод, можно сэкономить на хранении (нет надобности в морозильной камере).

Преимущества:

Не требуется установка расстоечного шкафа и морозильной камеры.

Персоналу не нужно следить за процессом расстойки заготовок.

Очень короткое время выпечки.

Постоянное качество.

Очень быстрая отдача в часы пик.

Самые низкие технические требования к печи.

Не требуется автомобиль - рефрижератор

Недостатки:

Максимальный срок хранения 3 дня, что требует более частой доставки.

Более сильное высушивание продукта из-за двойной выпечки.

Трещины на поверхности изделий из-за транспортировки.

Полностью выпеченные замороженные изделия.

Полная выпечка - это можно сказать частный крайний случай частичной выпечки - выпечка на 100%. Этот метод применяют для изделий с большим содержанием сахара и жира (от 15% суммарно), например булочек для гамбургеров, слойки, берлинеров и влажных ржаных и зерновых сортов хлеба. Поскольку в изделиях с отсдобкой корка мягкая - такие изделия можно отпекать и потом замораживать без опасения отшелушивания корки. Ржаные сорта хлеба наоборот обладают излишне толстой коркой. И при использовании технологии частичной выпечки они получаются очень сухими.

Также замечено, что в нарезанных изделиях сжатие мякиша при замораживании происходит не от корки к центру а перпендикулярно плоскости нарезки - и в нарезанных изделиях отшелушивание корки значительно ниже. Поэтому рекомендуем замораживать целиком упакованные нарезанные изделия: зерновые хлеба, тостовые и т.п. В дальнейшем при необходимости из упаковки вынимается несколько ломтиков и после размораживания или обжаривания в тостере получаются великолепные тосты.


2. Технология хранения продукции растениеводства

.1 Приемка и размещение продукции

Все сырье, поступающее на предприятие, должно отвечать требованиям ГОСТ, ОСТ, ТУ и другой нормативно-технической документации. Оно подвергается контролю по показателям качества в соответствии с Положением о производственных лабораториях и объемом работы лаборатории по анализу сырья.

От каждой партии принимаемого сырья, сотрудники лаборатории предприятия отбирают пробы для анализа и проверки соответствия нормативам качества.

Каждая партия сырья должна сопровождаться документом о качестве, иметь упаковку и маркировку в соответствии с действующей НТД.

К основному сырью относят муку, воду, соль, дрожжи, а к дополнительному сахар, жировые продукты, яйца и другие виды сырья, предусмотренные рецептурой вырабатываемых хлебопекарных изделий.

Основное сырье

Хранение и подготовка муки к производству

Свежесмолотая мука не годится для выпечки хлеба, так как образует мажущееся, расплывающееся тесто и хлеб получается плохого качества (малого объема, пониженного выхода и т.п.), поэтому такую муку в хлебопечении никогда не применяют. Она должна пройти отлежку или созревание в благоприятных условиях, при которых ее хлебопекарные свойства улучшатся.

Созревание пшеничной муки проводят на мелькомбинатах в течение 1,5…2 мес. При этом меняется влажность муки в зависимости от параметров окружающего воздуха; цвет ее становится светлее в результате окисления каротиноидов; увеличивается кислотность в основном за счет разложения жира и образования жирных кислот, а также в результате накопления других

кислотореагирующих веществ (кислых фосфатов, продуктов гидролиза белков и др.). Следствием возрастания кислотности являются глубокое изменение белков, укрепление структурно-механических свойств клейковины, уменьшение ее растяжимости и увеличение упругости. Слабая непосредственно после помола клейковина при отлежке приобретает свойства средней; средняя по силе становится сильной, а сильная - очень сильной.

Длительность созревания муки зависит от ее сорта, влажности и условий хранения. Повышение выхода муки, ее влажности и температуры хранения ускоряет процесс созревания, так как создаются более благоприятные условия для окислительно-восстановительных процессов. Для ускорения созревания используют химические улучшители, а также пневматическое перемещение муки с помощью сжатого, особенно нагретого, воздуха.

Созреванию подвергают только пшеничную муку; ржаная мука при отлежке свои хлебопекарные свойства не изменяет, поэтому в созревании не нуждается.

Существует два способа транспортирования и хранения муки на предприятиях: тарный, когда муку перевозят и хранят в мешках, и бестарный, когда муку перевозят в автомуковозах и хранят в бункерах или силосах. Бестарный способ перевозки и хранения) муки имеет ряд преимуществ перед тарным, так как позволяет механизировать и автоматизировать операции по разгрузки и управлять ими с пульта. Кроме того, при тарном способе хранения возникают дополнительные потери муки, связанные ее распылом и остатками в опорожненных метках.

Муку можно транспортировать на производство механическим, пневматическим или аэрозольным транспортом (с помощью сжатого воздуха по трубопроводам). На предприятиях пищевой промышленности предпочтение отдают аэрозольному транспортированию, так как оно обеспечивает высокую концентрацию муки в смеси с воздухом, уменьшает

удельный расход воздуха и позволяет при малых сечениях трубопроводов достигать высокой производительности. При пневматическом транспортировании 1 м³ воздуха перемещает 5…6 кг муки, а при аэрозольном

-        примерно 60…120 кг.

Перед подачей муки для приготовления теста производится ее подготовка к производству, которая заключается в подсортировке отдельных партий, их просеивании и магнитной очистке. Отдельные партии муки могут значительно отличаться по своим хлебопекарным качествам, поэтому перед подачей на производство принято составлять смесь различных партий муки в пределах одного сорта. Муку со слабой клейковиной смешивают с сильной; муку, темнеющую в процессе переработки, - с нетемнеющей и т.д. Соотношение компонентов в мучной смеси определяет лаборатория на основании анализа. При этом исходят из необходимости улучшить свойства одной партии муки за счет другой. Обычно смешивают две или три партии муки в простых соотношениях (1:1, 1:2, 1:3 и т.д.) на специальных машинах

—      мукосмесителях.

Для просеивания муки с целью удаления случайных посторонних примесей применяют бураты, вибросита или просеиватетели других конструкций. Муку просеивают через сито из стальной сетки с ячейками определенного размера.

Для очистки муки от металломагнитных примесей в выходных каналах просеивающих машин устанавливают магнитные уловители, которые очищают через каждые 4 ч работы. При использовании аэрозольтранспорта вместо слабых постоянных магнитов применяют электромагнитные сепараторы.

Вода. Качество питьевой воды определяется ГОСТ 2874. На каждом хлебозаводе должен быть запас холодной воды, рассчитанный на 8 ч работы предприятия, и запас горячей воды на 4 ч работы.

Соль. Соль доставляют на хлебозавод в мешках или насыпью и хранят в отдельных помещениях. Раствор соли готовят в солерастворителе, который представляет собой бак из двух отделений. Одно заполнено слоем соли, в который поступает вода, образуя насыщенный раствор 26%-й концентрации; второе служит отстойником раствора соли после фильтрования. В настоящее время применяют новый (мокрый) способ хранения соли, для этого ее ссыпают в металлический или бетонный бункер - растворитель, к которому подведена вода. В хранилище образуется раствор соли плотностью 1,16…1,2 кг/л. Перед подачей на производство раствор соли фильтруют и перекачивают в расходные баки.

Приготовление дрожжей. В хлебопечении применяют прессованные, сушеные и жидкие дрожжи и дрожжевое молоко.

Прессованные дрожжи представляют собой выращенные в особых условиях дрожжевые клетки, выделенные из среды, в которой они размножались. В соответствии с ГОСТ 171 влажность их составляет до 75%, поэтому они являются скоропортящимся продуктом и требуют хранения при температуре 0…4°С в течение не более 12 сут. Важным показателем качества дрожжей является их подъемная сила, или быстрота подъема теста, характеризующая способность дрожжей разрыхлять тесто. Хорошие дрожжи поднимают тесто за 60…65 мин.

Расход прессованных дрожжей для приготовления пшеничного теста составляет 0,5…3% к массе муки и зависит от ряда факторов:

•         подъемной силы дрожжей. Чем она ниже, тем больше требуется дрожжей;

•         длительности процесса брожения теста и способа его приготовления. Чем больше длительность брожения, тем меньше расход дрожжей; для безопарного способа приготовления теста требуется 1,5…3%,

•         количества сахара и жира, содержащихся в тесте. Эти продукты угнетают жизнедеятельность дрожжей, поэтому увеличивают количество вводимого разрыхлителя.

Подготовка прессованных дрожжей к производству состоит в освобождении их от упаковки, предварительном грубом измельчении и приготовлении хорошо размешанной однородной массы (суспензии) в теплой воде температурой 30…35°С.

Сушеные дрожжи получают из прессованных путем высушивания в определенных условиях до влажности 8…10%. Сушеные дрожжи могут храниться продолжительное время (при температуре не более 10°С до 1 года). Они имеют светло-желтый или светло-коричневый цвет с дрожжевым запахом, подъемная сила их составляет до 90 мин. Сушеные дрожжи применяют в тех случаях, когда невозможно доставить на завод или сохранить прессованные дрожжи.

В последнее время на хлебозаводах, расположенных недалеко от дрожжевых предприятий, применяется дрожжевое молоко. Дрожжевое молоко - это жидкая суспензия дрожжей в воде, полученная при сепарировании культуральной среды после размножения в ней дрожжей. Дрожжевые клетки в этом продукте находятся в более активном биологическом состоянии, чем в прессованных дрожжах. Кроме того, на дрожжевых заводах в этом случае исключаются такие операции, как прессование и упаковывание. Дрожжевое молоко доставляют на завод в термоизолированных цистернах - молоковозах, из которых оно поступает в приемные металлические емкости, оборудованные мешалками, где хранится в течение 1,5…2 сут. при температуре 6…10°С. Качество дрожжевого молока должно соответствовать ОСТ 18-369.

Жидкие дрожжи представляют собой мучную среду, в которой находятся активные дрожжевые клетки и молочнокислые бактерии. Жидкие дрожжи готовят непосредственно на хлебозаводах. Они применяются для разрыхления пшеничного теста в количестве 20…35% к массе муки.

К дополнительному сырью относятся сахар-песок, жир.

Сахар-песок. В хлебопечении применяют сахар-песок и сахарную пудру, качество которых определяется ГОСТ 21 и ГОСТ 22. Сахар-песок добавляют в тесто при изготовлении булочных и сдобных изделий в количестве 2,5…30% к массе муки, сахарную пудру используют для отделки поверхности сдобных изделий.

Сахар-песок оказывает существенное влияние на качество теста и готового хлеба. Он разжижает тесто, поэтому надо делать поправку на количество вносимой воды; его добавление в небольшом количестве (до 10%

к массе муки) ускоряет брожение теста, а при повышенной дозировке - угнетает. Поэтому если по рецептуре требуется большое количество сахара - песка и жира, то их вносят в тесто в конце брожения. Эта операция называется отсдобкой. Кроме того, сахар-песок улучшает вкус, аромат, окраску хлеба, повышает его энергетическую ценность.

На хлебозаводе, как правило, хранят 15-суточный запас сахара-песка, который обычно поступает в мешках. При подготовке к производству сахар - песок растворяют в воде в бачках с мешалками при температуре около 40°С до концентрации раствора 55%, а затем перекачивают б сборники. Возможно поступление сахара на завод в виде сахарного сиропа.

Жир. Жир вносят в тесто в количестве до 20…30%. Для приготовления большинства изделий используется маргарин, для некоторых видов сдобных изделий - животное масло, для горчичного хлеба и горчичных баранок - растительное (горчичное) масло. Растительные масла применяются также при разделке теста, для смазки форм и листов. Качество маргарина должно соответствовать ГОСТ 240, подсолнечного масла - ГОСТ 1128.

Жиры повышают энергетическую ценность изделий, улучшают их вкусовые качества, увеличивают объем хлеба, повышают пластичность теста, несколько укрепляют клейковину. В то же время они снижают интенсивность брожения теста. Желательно, чтобы жиры, применяемые в хлебопечении, были безводными и хорошо эмульгировались в воде, имели пластичную структуру и невысокую температуру плавления.

Твердые жиры растапливают в бачках с водяной рубашкой и мешалкой. Температура маргарина при этом не должна превышать 40…45°С, иначе произойдет расслоение массы на воду, что нарушит равномерное распределение жира в тесте.

Жир (растительное масло, маргарин) улучшит качество, если его вносить в тесто в виде предварительно приготовленной тонкодисдерсной эмульсии с применением пищевого эмульгатора, например фосфатидного концентрата (ФК) следующего состава (%): маргарин - 50, фосфатидный концентрат - 5…7, вода - 45. Такая эмульсия устойчива, она не расслаивается в течение 2…3 сут., хорошо транспортируется по трубам. Внесение эмульсии позволит значительно улучшить качество хлеба, задерживая его черствение. Яйца и маргарин хранятся в холодильной камере. На предприятии используют яйца столовые, которые хранятся не более 25 суток. Яйца должны соответствовать требованиям ГОСТ 2758-88.

Маргарин хранится при температуре от -9 до 10°С в течении 75 суток. Маргарин соответствует ГОСТ 240-85 и поступает на завод в картонных ящиках.

Доставка дополнительного сырья на предприятие осуществляется с помощью автотранспорта.

3. Технохимический контроль

.1 Технохимический контроль сырья

В условиях современной действительности (засушливая погода в летний период, истощенность почвы и невозможность внесения удобрений из-за их дороговизны, а так же низкий уровень агротехники и т.д.) все чаще предприятия вырабатывают муку низкого качества. Показатели качества используемой нами муки отражены в таблице 16.

Таблица 1. Технохимический контроль сырья

№ п/п

Показатели качества сырья

Методы анализа (с указанием стандарта)

Применяемое оборудование

1

Кислотность муки

ГОСТ 27493-87 «Методы определения кислотности по болтушке»

Химическая посуда, прибор для титрования

2

Зольность

ГОСТ 27494-87 «Мука и отруби. Методы определения зольности»

Весы, муфельная печь

3

Цвет, запах, вкус, хруст

ГОСТ 27558-87 «Мука и отруби. Методы определения цвета, запаха, вкуса и хруста»

Белизномер, водяная баня

4

Загрязненность и зараженность вредителями

ГОСТ 27559-87 «Мука и отруби. Методы определения зараженности и загрязненности вредителями»

В ручную

5

Крупность

ГОСТ 27560-87 «Мука. Методы определения крупности»

Сита соответствующих номеров

6

Хлебопекарные свойства муки

ГОСТ 27669-88 «Мука пшеничная хлебопекарная. Метод пробной лабораторной выпечки»

Labomix-1000, печь, расстойный шкаф, измеритель объема хлеба, весы, линейка.

7

Количество и качество клейковины

ГОСТ 27839-88 «Мука пшеничная. Методы определения количества и качества клейковины»

Весы, МОК, ИДК, мерный цилиндр

8

Газообразующая способность

Не гостирован

Весы, прибор Яго - Островеого, мерный цилиндр, термостат

9

Расплываемость шарика теста

Не гостирован

Весы, линейка, прибор для определения расплываемости шарика, термостат

10

Автолитическая активность

Экспрессный метод

Весы, водяная баня, стекло круглое, термометр

.2 Технохимический контроль полуфабрикатов

Приборы и материалы:

.        Шпатель и тара для отбора проб.

.        Термометр со шкалой до 50-150°С в металлической оправе.

.        Влагомер ПИВИ-1.

.        Стакан химический вместимостью 200-250 см.

.        рН-метр.

.        1%-ный спиртовой раствор фенолфталеина.

.        Гидроксид натрия.

Методика выполнения

1.      Органолептическая оценка полуфабрикатов Органолептическую оценку полуфабриката следует проводить непосредственно в цехе, осматривая всю массу полуфабриката.

Качество теста оценивают по следующим органолептическим показателям:

         состояние поверхности (выпуклая, плоская, осекшая, заветренная и др);

         степень подъема и разрыхленности;

         консистенция (слабая, крепкая, нормальная) и промесс;

         степень «сухости» (влажное, сухое, мажущееся, липкое);

         вкус, запах, цвет.

2.      Определение температуры. Температуру полуфабриката t,°С, измеряют техническим термометром со шкалой до 50-150°С, погружая его не менее чем на 15-20 см в полуфабрикат. По истечении 2-3 мин делают отсчет до 1 С.

Для производственного контроля рекомендуется пользоваться специальными небьющимися термометрами в металлической оправе из коррозионно-стойкого материала, либо термометрами, имеющими на верхнем конце пробку или диск, предохраняющие их от опускания в тесто.

3. Определение влажности. Влажность полуфабриката определяют на приборе ПИВИ-1 ускоренным методом. Для этого объект исследования обезвоживают в предварительно заготовленных и просушенных бумажных пакетах. Для изготовления этих пакетов используют бумагу типа роторной или газетной.

Если прибор с греющимися поверхностями прямоугольной формы, то предварительно заготавливают листы бумаги размером 20x15 см, складывают их пополам, затем края пакета загибают примерно на 1,5 см. Если прибор с поверхностями круглой формы берут квадратные листы со стороной равной 16 см и сгибают их пополам в виде треугольника, загибая края также примерно на 1,5 см.

Параллельно проводят два определения. Приготовленные пакетики предварительно сушат в приборе при температуре 160°С в течение 3 мин и затем помещают в эксикатор. После высушивания и охлаждения пакетики взвешивают и хранят в эксикаторе не более 2 ч.

В предварительно просушенный и взвешенный пакетик берут навеску полуфабриката влажностью выше 20% - 5 г и влажностью ниже 20% - 4 г, распределяя ее по возможности равномерно по всей поверхности пакета.

В прибор, доведенный до температуры 160°С, помещают пакетики с навеской и проводят обезвоживание в течение срока, который определяется содержанием влаги в полуфабрикате и его свойствами.

Высушенный пакет переносят в эксикатор для охлаждения на 1-2 мин, затем взвешивают и вычисляют влажность полуфабриката.

4. Определение подъемной силы. Подъемную силу полуфабриката определяют методом «шарика». Под подъемной силой полуфабриката условно понимается промежуток времени (мин) с момента опускания в воду шарика теста, замешанного из полуфабриката, до момента всплывания его на поверхность.

Тесто формуют в шарики по (10,2±0,01) г без добавления муки. Полуфабрикат в указанных соотношениях тщательно замешивают в фарфоровой чашке в тесто, делят точно пополам (на весах), формуют шарики с гладкой поверхностью без трещин - Шарики одновременно опускают в стакан вместимостью 200-250 см, наполненной водой температурой 32 С, помещают в термостат при той же температуре и засекают время до момента всплывания шариков.

Перемешанные с мукой полуфабрикаты делят на две равные части, т.е. результат анализа выражают как среднеарифметическое двух параллельных определений.

Отклонение между ними не должно быть более 2 мин.

5. Определение титруемой кислотности. Титруемая (общая) кислотность полуфабрикатов характеризует суммарное содержание кислот и кислотореагирующих веществ как распавшихся на ионы, так и недиссоциированных.

Титруемую кислотность полуфабриката определяют методом титрования (5±0,01) г пробы отвешивают на технических весах на алюминиевой пластинке или чашке. Навеску переносят в фарфоровую ступку и растирают с 50 см³ дистиллированной воды, не отмывая клейковину. Прибавляют 3-5 капель спиртового раствора с массовой долей фенолфталеина 1% и тируют 0,1 моль/ дм раствором гидроксида натрия до появления розовой окраски, не исчезающего в течение 1 мин.

3.3 Технохимический контроль готовой продукции

Таблица 2. Технохимический контроль полученных образцов

Вид готовой продукции

Показатели качества

Методы анализа (с указанием стандарта)

Применяемое оборудование

Хлеб пшеничный ВС

Поверхность

ГОСТ 27842-88 «Хлеб из пшеничной муки. Технические условия», ГОСТ 5667-65 «Хлеб и хлебобулочные изделия. Правила приемки, методы отбора образцов, методы определения органолептических показателей и массы изделий»

Органолептически


Форма

ГОСТ 27842-88 «Хлеб из пшеничной муки. Технические условия» ГОСТ 5667-65 «Хлеб и хлебобулочные изделия. Правила приемки, методы отбора образцов, методы определения органолептических показателей и массы изделий»

Органолептически


Цвет

ГОСТ 27842-88 «Хлеб из пшеничной муки. Технические условия» ГОСТ 5667-65 «Хлеб и хлебобулочные изделия. Правила приемки, методы отбора образцов, методы определения органолептических показателей и массы изделий»

Органолептически






Мякиш

ГОСТ 27842-88 «Хлеб из пшеничной муки. Технические условия», ГОСТ 5667-65 «Хлеб и хлебобулочные изделия. Правила приемки, методы отбора образцов, методы определения органолептических показателей и массы изделий»

Органолептически


Вкус

ГОСТ 27842-88 «Хлеб из пшеничной муки. Технические условия», ГОСТ 5667-65 «Хлеб и хлебобулочные изделия. Правила приемки, методы отбора образцов, методы определения органолептических показателей и массы изделий»

Органолептически


Запах

ГОСТ 27842-88 «Хлеб из пшеничной муки. Технические условия». ГОСТ 5667-65 «Хлеб и хлебобулочные изделия. Правила приемки, методы отбора образцов, методы определения органолептических показателей и массы изделий»

Органолептически


Масса хлеба

ГОСТ 5667-65 «Хлеб и хлебобулочные изделия. Правила приемки, методы отбора образцов, методы определения органолептических показателей и массы изделий»

Весы


Объем хлеба

ГОСТ 5667-65 «Хлеб и хлебобулочные изделия. Правила приемки, методы отбора образцов, методы определения органолептических показателей и массы изделий»

Прибор для измерения объема


Влажность

ГОСТ 21094-75 «Хлеб и хлебобулочные изделия. Методы определения влажности»

Весы, СЭШ-ЗМ, нож, чашечки


Кислотность

ГОСТ 5670-96 «Хлеб и хлебобулочные изделия. Методы определения кислотности»

Весы, терка, прибор для титрования



ГОСТ 5667-65 «Хлеб и хлебобулочные изделия. Правила приемки, методы отбора образцов, методы определения органолептических показателей и массы изделий»

Прибор Журавлева, весы



4. Основы биотехнологии переработки продукции растениеводства

.1 Сфера и технология применения хлебопекарных дрожжей

Хлебопекарные дрожжи являются биологическими разрыхлителями и им принадлежит ведущая роль в формировании качества хлеба. Их главная функция обусловлена самим составом дрожжей, которые на 44-75% состоят из белков, на 30-50% - из углеводов, и на 5-10% - из минеральных неорганических веществ, на 5-12% - из азота. Так что будучи особыми белками дрожжи прежде всего обладают всеми их свойствами. При этом содержание витаминов (витамины группы В - В1, В2, В6; РР - никотиновая кислота, биотин, фоливоевая и пара-аминобензойная кислоты, пантеонат кальция, инозит и др.) в дрожжах во много раз больше чем в овощах, молоке или плодах. Особенно много витаминов содержится в сухих дрожжах, так как процесс удаления влаги при сушке и обработка их ультрафиолетом не сказывается на качественном и количественном состоянии витаминов, а наоборот, способствует их сохранению. Количество витаминов, синтезируемыми отдельными видами и штаммами дрожжей варьируются в широких пределах и на сдвиги накопления витаминов особенное влияние оказывает характер источника углерода в питательной среде и при выращивании дрожжей на средах, содержащих витамины, увеличивается и их содержание в готовых дрожжах за счет адсорбции их из среды.

Наличие в дрожжах большой группы витаминов стимулирует не только витаминные, но и ферментативные свойства дрожжей, так как являясь белками дрожжи сохраняют все их свойства.

Для производства прессованных хлебопекарных дрожжей используют различные расы дрожжей-сахаромицетов вида Saccharomyces cerevisiae (JI-l, ЛВ-7, ЛК-14, ЛТ-17) и гибриды 608, 616, 722, 739. По характеру брожения - это верховые дрожжи; при брожении они долго не опускаются на дно и частично поднимаются на поверхность бродящей жидкости в виде пены. Эти

расы имеют крупные клетки, которые быстро размножаются в мелассной питательной среде, стойкие при хранении в прессованном и сушеном виде, обладают высокой ферментативной (мальтазной и зимазной) активностью.

Дрожжевое тесто готовят безопарным и опарным способами. При безопарном способе воду или молоко подогревают до 26-30 градусов, растворяют в жидкости дрожжи, соль и засыпают просеянную муку. Подготовленное тесто вымешивают 5-10 минут, в конце вымешивания добавляют растопленное масло. Замешанное тесто оставляют для брожения в на 2,5-3,5 часа. За это время тесто 1-2 раза обминают.

Таблица 3. Физико-химические свойства дрожжей

Массовая доля влаги%

не более 75,0

Подъемная сила (подъем теста до 70 мм) мин.

не более 70,0

Кислотность 100 г. дрожжей в пересчете на уксусную кислоту, мг.

не более 120,0

Гарантийный срок хранения

не более 12 суток

.2 Ферментные препараты (КХУ).

Ферментные препараты различного принципа действия позволяют регулировать спиртовое брожение в тесте, улучшать окраску корки хлеба, повышать водопоглотительную способность теста, интенсифицировать созревание теста.

Ферментные препараты - улучшители, функциональная особенность которых состоит в форсировании биохимических процессов, протекающих при брожении теста, катализируемых ферментами, содержащимися в них.

Внесение ферментных препаратов в полуфабрикаты хлебопекарного производства приводит к изменению их реологических свойств, а также к изменению газо- и сахарообразующей способности муки.

Широкое применение в нашей стране и за рубежом находят ферментные препараты и продукты, обладающие амилолитической активностью (таблица 4). В нашей стране выпускают следующие амилолитические ферментные препараты: с активной а-амилазой - Амилоризин П10Х, Амилосубтилин Г10Х; глюкоамилазой - Глюкоамилаза очищенная. Кроме того, производятся белый солод и солодовые экстракты с активной а - амилазой, которые вырабатываются из проросшего зерна ржи или ячменя.

Таблица 4. Ферменты для улучшения свойств муки и качества хлеба

Фермент

Технологическая функция

а-амилаза: грибная

Источник энергии для дрожжей

бактериальная

Разжижитель теста

средней жаростойкости

Предотвращение черствения хлеба

Амилоглюкозидаза (глюкоамилаза)

Стабилизатор цвета и ароматизатор, источник энергии

Глюкотранефераза

Влагоудерживающий агент

Целлюлаза

То же

Фуранозидаза, арабинофуранозидаза

Текстуратор, влагоудерживающий агент

Эстеразы феруловой и кумаровой кислот

Тоже

Г лютационоксидаза

Усилитель протеинов

Гликолипаза, галактолипаза

Стабилизатор теста, разрыхлитель

(З-глюконаза

Текстуратор, разжижитель

Глюкозооксидаза, галактооксидаза, гексооксидаза

Усилитель протеинов

Хемицеллюлаза, ксиланаза, пентозаназа

Текстуратор, влагоудерживающий агент, разрыхлитель

Лаюсаза, полифенолоксидаза

Стабилизатор теста

Липоксигеназа, липоксидаза

Текстуратор, осветлитель

Эксо-пептидаза

Стабилизатор цвета, ароматизатор

Пероксидаза

Усилитель протеинов

Фосфолипаза

Структуратор пор и разрыхлитель

Протеаза, протеиназа

Расслабление протеинов, разжижитель

Пуллуланаза

Структуратор, влагоудерживающий агент

Сульфогидроксидаза

Усилитель протеинов

Сульфогидротрансфераза

Тоже

Т рансглютаминаза

Объединение протеинов в сеть. Стабилизатор глютена



5. Оборудование для переработки сырья

Характеристика оборудования хлебопекарного цеха Саратовский ГАУ.

Устройство У1-МОК-ЗМ 1.

Принцип работы основан на механическом воздействии вращающегося рабочего органа специальной конфигурации на отмываемую пробу теста, помещенную в отмывочную камеру, в результате чего при непрерывной подаче в камеру воды, происходит выделение сырой клейковины, а отмытый крахмал и оболочки выносятся на ловушечное сито приемной ванны.

Рис. 1. Устройство У1-МОК-ЗМ:

- основание; 2 - регулятор зазора; 3 - отмывочный узел; 4 - привод; 5 - шкив вала; 6 - узел шкивов; 7 - реле времени; 9 - пульт управления; 10 - электроблок; 11 - рабочий орган; 12 - штуцер подачи воды; 13 - патрубок слива; 14 - ванна; 15 - сито ловушечное; 16 - зажим; 17 - кожух верхний; 18 - кожух задний; 19 - отражатель; 20 - выключатель сети с индикатором сети; 21 - регулятор воды; 22 - кнопка пуск-стоп.

Лабораторный белизномер. Лабораторный белизномер предназначен для измерения направленного зонального коэффициента отражения муки и определения ее белизны при последующей статистической обработке результатов измерений, проводимых в автоматическом режиме. Лабораторный белизномер предназначен для оценки сортности муки по белизне по ГОСТ 26361, для оперативного контроля технологического процесса производства муки на предприятиях мукомольной промышленности, для входного контроля качества муки на хлебопекарных предприятиях.

Тестомесилка лабораторная У1-ЕТВ

Применяется в лабораториях мукомольных, хлебопекарных предприятий, Госхлебинспекции и других предприятий и организаций, научно-исследовательских учреждений, занимающихся оценкой качества хлеба. Тестомесилка лабораторная У1-ЕТВ предназначена для замеса теста при проведении лабораторных выпечек хлеба из муки массой 0,7-1,2 кг. Тестомесилка лабораторная для замеса теста У1-ЕТВ выгодно отличается от ранее выпускаемой продукции У1-ЕТП: формой дежи, креплением крышки дежи и рабочего органа, а также конструкцией блокировки. Дежа устанавливается на заточку корпуса и вместе с крышкой фиксируется замками. Замок связан с механизмом блокировки запуска электродвигателя. Блокировка срабатывает при открытии любого из замков.

Рис. 2. Тестомесилка лабораторная У1-ЕТВ

Прибор Журавлева для определения пористости хлеба.

Прибор предназначен для определения пористости хлеба согласно ГОСТ 5669-96 (Хлебобулочные изделия. Метод определения пористости). Прибор используется в лабораториях в хлебопекарной промышленности. Прибор позволяет из куска хлеба вырезать определенный объем и по результатм его взвешивания произвести расчет пористости хлеба. Прибор состоит из калибровочного цилиндра, вытавкивателя, отрезного стакана и отрезного ножа.

Рис. 3. Внешний вид прибора Журавлева

Объемометр ОХЛ-2.

Объемометр ОХЛ-2 - прибор для определения объема хлеба предназначен для оценки одного из показателей качества муки по объемному выходу, выпеченного формового хлеба при пробной лабораторной выпечке. Объемометр используется в лабораториях хлебоприемных, мукомольных, хлебопекарных предприятий, государственных хлебных инспекциях, сельскохозяйственных предприятиях, научно-исследовательских учреждениях, занимающихся оценкой качества зерна пшеницы и продуктов его переработки.

Объемометр представляет собой емкость, дно которой состоит из двух шторок, шарнирно закрепленных на оси и управляемых от ручного привода, а также бункер, установленный на опорах. В комплект входят дополнительные емкости. Мерные цилиндры поставляются по заказу.

Рис. 4. Объемометр ОХЛ-2

Весы электронные настольные общего назначения МКА Весы предназначены для определения массы сырья, полуфабрикатов и готовых изделий (рис 35).

Технические данные

Класс точности весов по ГОСТ 29329 и МР МОЗМ Р 76 - средний.

Наименьший предел взвешивания (НмПВ), наибольший предел взвешивания (Н11В), цена поверочного деления (е), дискретность отсчета (d), предел выборки массы тары и пределы допускаемой погрешности варьируются в зависимости от модификации весов.

Размах результатов измерений не должен превышать абсолютных значений пределов допускаемой погрешности.

Погрешность весов при нецентральном положении груза массой равной 1/3 от НПВ на грузоприёмной платформе не должна превышать пределов допускаемой погрешности для данной нагрузки.

16.

Средний срок службы весов 8 лет.


17.

Драгоценных металлов не содержится.



Измеритель деформации клейковины лабораторный ИДК-1М Назначение изделии.

Измеритель деформации клейковины лабораторный ИДК-1М предназначен для определения группы качества клейковины пшеницы по ее способности сопротивляться деформирующей нагрузке определенной величины при сжатии между двумя плоскостями в течение определенного времени в соответствии с ГОСТ 13586.1-68 (рис. 36).

Прибор может быть использован в лабораториях хлебоприемных пунктов, элеваторов, мельниц, хлебозаводов и других предприятий системы заготовок, сельского хозяйства и пищевой промышленности.

Технические характеристики.

Электрическое питание прибора осуществляется от сети переменного тока напряжением (220 +33) В, частотою (50 + 1) Гц или (60 ± 1) Гц.

Собственное потребление энергии при номинальном напряжении, не более 20 В А.

Основная погрешность прибора при измерении перемещения пуансона от 2,15 до 10,55 мм не более ± 2,5 условных единиц.

Изменение показаний прибора не превышает половины значения основной погрешности при изменении питающего напряжения в пределах от 187 до 242 В.

Габаритные размеры прибора, мм,         не более 220x214x220.

Масса прибора не, кг,                                                не более 5,0.

Время воздействия пуансона на клейковину с.          (30+1,5)

Величина деформирующей нагрузки г                       (120+ 5)

Величина хода пуансона мм  (20+1)

Тормозное устройство удерживает дополнительно к пуансону груз   (40+1) г.

Прибор работоспособен при температуре окружающего воздуха от+10 до +35°С.

Прибор устойчив к воздействию относительной влажности окружающего воздуха до 80% при температуре +25 С.

Срок службы прибора не менее 8 лет.

Расстоечный шкаф UNOX Расстоечный шкаф (рис. 38) имеет следующие преимущества: возможность стационарного подключения к водопроводу, для контроля степени расстойки - есть стеклянная дверь с уплотнителями, расстояние между направляющими из нержавеющей пищевой стали - 75 мм позволяет использовать расстоечный шкаф для различных выпечек. Модели не имеют отдельной панели управления, потому рекомендованы в комплекте с кондитерскими шкафами.

Конвекционная печь UNOX XF 135

Конвекционная печь имеет электронную панель управления, 4 уровня размером 460х330 мм., расстояние между уровнями 75 мм. Максимальная температуры 260°С. Печь позволяет работать в двух режимах: конвекция, конвекция с добавлением пара. Внутри рабочей камеры печи действует система «cool touch» (использование естественной конвекции воздуха внутри стеклопакета двери для предотвращения перегрева). Внутренняя подсветка пекарной камеры. Система охлаждения внешних поверхностей печей. Внешние панели и задняя стенка пекарной камеры выполнены из нерж. стали. Вес 31 кг.

Рис. 5. Конвекционная печь UNOX XF 135

6. Экономика и организация

.1 Расчёт экономической эффективности производства хлеба пшеничного из замороженных полуфабрикатов

В рыночной экономике решающим фактором коммерческого успеха является эффективность хозяйственной деятельности предприятия. Эффективность основной деятельности предприятия связана с оптимальным управлением затратами производства, объемами продаж и ценами реализации.

Эффективность производства - соотношение между полученными результатами производства - продукцией и услугами, с одной стороны, и затратами труда и средств производства - с другой. Является важнейшим качественным показателем экономики, ее технического оснащения и квалификации труда. Сопоставление затрат и результатов используется в практике управления фирмами, предприятиями и другими хозяйствующими субъектами. Основными показателями эффективности производства являются: производительность труда; капиталоемкость единицы ВВП или конкретных видов продукции; фондоотдача единицы основных фондов; материалоемкость единицы ВВП или конкретных видов продукции; соотношение экстенсивных и интенсивных факторов в приросте ВВП; конкурентоспособность выпускаемой продукции; срок окупаемости затрат и др.

В экономике предприятия эффективность в самом общем виде означает результативность производственно-хозяйственной деятельности, соотношение между достигнутыми результатами и затратами живого и овеществленного труда. Уровень эффективности характеризует уровень развития производительных сил и является важнейшим показателем развития экономики. На предприятии затраты имеют форму авансируемого основного и оборотного капитала, а конечные результаты - форму прибыли. Таким образом, показатель экономической эффективности дает представление о том, какой ценой предприятие получает прибыль.

Показатели экономической эффективности характеризуют эффективность работы предприятия в целом, доходность различных направлений деятельности, т.е. производственной, предпринимательской, инвестиционной. Они более полно, чем прибыль, характеризуют окончательные результаты хозяйствования, поэтому их величина показывает соотношение эффекта с наличными или использованными ресурсами. Показатели экономической эффективности служат не только для оценки деятельности предприятия, но и как инструмент в инвестиционной политике и ценообразовании.

Так как производственное помещение и оборудование на предприятии уже имеется в наличие стоимость их приобретения не рассчитываем.

. Рассчитаем показатели трудоёмкости

Трудоёмкость представляет собой затраты времени на единицу или весь объём изготовленной продукции.

Техническая трудоёмкость продукции равна:

t = Кс*Ч/О,

где Кс - продолжительность смены, ч.

Ч - численность рабочих, чел.

О - объём произведенной продукции, кг.

Рассчитаем трудоемкость продукции по базовому и экспериментальному вариантам:

t= 8*10000/8350=0,17 чел.-час.

. Расчет себестоимости по калькуляционным статьям.

Себестоимость - все издержки (затраты), понесённые предприятием на производство и реализацию (продажу) продукции или услуги. При определении себестоимости единицы продукции применяется калькуляция статей.

.1 Сырьё и основные материалы.

Со = ∑Сi*Ki,

где Со - стоимость сырья, руб.; Сi - стоимость i-го вида сырья, руб. за кг; Ki - норма расхода i-го вида сырья на 1 кг продукции.

Таблица 5. Затраты на производство хлеба пшеничного из замороженных полуфабрикатов

Виды продукции

Показатели


1 кг. продукции, тыс. руб.

всего, тыс. руб.

Мука пшеничная хлебопекарная сорта, кг

0,75

6,26

Соль поваренная пищевая, кг

0,05

0,38

Сахар-песок, кг

0,36

3,04

Молоко

0,21

1,75

Дрожжевая суспензия

3,03

25,26

Маргарин столовый

0,21

1,75

Яйцо

0,21

1,74

Ванилин, г

0,03

0,21

Вода, кг

0,14

1,15

Итого затрат

4,97

41,54


Из таблицы видно, что затраты на сырье и материалы составят 4,97 руб.

Затраты на весь объем продукции будут равны определяются произведением стоимости израсходованного сырья на объем производства. Таким образом общие затраты на сырье будут равняя:

,97*8350=41,54 тыс. руб.

.2. Стоимость вспомогательных материалов принимаем равным 10% от стоимости сырья и основных материалов Св= 0,1С

Св=4,97*0,1=0,497 руб.

.3. Стоимость энергоносителей.

Затраты на оплату электроэнергии определяются как произведение расхода электроэнергии (Сэ) на тарифную стоимость 1 кВт - час. электроэнергии, в свою очередь:

Сэ = Wi*t,

где Wi - установленная мощность электродвигателя,

t - время для производства 1 кг продукции.

Сэ1=220*0,2+ 220*0,015=4,7 руб.

.4 Заработная плата - денежная компенсация, которую работник получает в обмен за свой труд.

Зп =Ч*Зсм*12/Q,

где Ч - численность производственно-промышленного персонала;

Зсм - среднемесячная зарплата;

Q - годовойобъём производства.

Зп1= 4,19 руб.

.5 Начисления на заработную плату - платежи, отчисления во внебюджетные фонды со стороны юридических и физических лиц, размер которых устанавливается в процентах от суммы (фонда) заработной платы.

Единый социальный налог 34,28%:

4,19*0,3428=1,44 руб.

2.6 Амортизационные отчисления - средства в виде денег, направляемых на ремонт или строительство, изготовление новых основных средств. Сумма амортизационных отчислений включается в издержки производства (себестоимость) продукции и тем самым переходит в цену.

,

Сумма амортизационных отчислений равна:

Ра=0,014

2.7 Содержание и текущий ремонт оборудования:

,

Рж=0,003

.8 Стоимость тары принимается в размере 0,5% от стоимости сырья и материалов:

Ст= 4,19*0,005 = 0,03 руб.

.9. Прочие расходы связанны с осуществлением предпринимательской деятельности. К ним относятся расходы на рекламу, на сертификацию продукции, расходы на оплату консультационных и юридических услуг и т.д.

Пр=26 руб.

.10 Себестоимость 1 кг продукции:

С = Со в + Сэ + Рз + Нз/п + Ра + Рж + Т

С1=18,05 руб.

. Выручка от реализации продукции определяется как произведение цены на объём производства:

Вр=Ц*Q.

Вр=18 *5350=150,3 тыс. руб.

4. Общая себестоимость определяется произведением себестоимости одногокилограмма произведенной продукции на объем производства.

Собщ.=С*Q.

Собщ         =132,56 тыс. руб.

. Прибыль - это один из наиболее важных показателей финансовых результатов хозяйственной деятельности предприятия и предпринимателей. Прибыли определяется как разница между выручкой от продаж и общей себестоимостью продукции:

П=Вробщ..

П = 150,3 - 132,56 = 17,74 тыс. руб.

. Чистая прибыльопределяется:

ЧП=П-Нп,

где Нп - налог на прибыль.

ЧП = 13,48 тыс. руб.

. Уровень рентабельноститорговых предприятий на практике обычно определяется отношением прибыли к выручке. Он показывает, сколько процентов составляет прибыль в товарообороте. Данный показатель выражается в процентах.

Ур = П/Собщ.*100%

Ур=13,38%

8. Определение точки безубыточности:

Q = Пост. затр./ (Ц-Перем. затр.),

где Пост. затр - постоянные затраты на весь объем. Ц - цена за единицу, Перем.затр. - переменные затраты на единицу.

К постоянным затратам относят те, которые не зависят от объёма производства. Переменные затраты - те, которые завися от объёма производства.

Q1 = 5771 кг,

Точка безубыточности в денежном выражении - такая минимальная величина дохода, при которой полностью окупаются все издержки.

Таблица 6. Показатели экономической эффективности производства хлеба пшеничного из замороженных полуфабрикатов

Показатели

Значение

Затраты на 1 кг продукции, руб.

15,88

Затраты, всего, тыс. руб.

132,56

Потери при хранении, кг, в т.ч. естественная убыль

0,18

Количество реализованной продукции, кг

8350

Трудоёмкость, чел.-час.

0,15

Цена реализации, руб./кг.

18

Выручка от реализации, тыс. руб.

150,3

Прибыль, тыс. руб.

17,74

Чистая прибыль, тыс. руб.

13,48

Уровень рентабельности, %

13,38

Точка безубыточности, кг.

5771


Из проведенного анализа видно, что затраты на производство 1 кг хлеба пшеничного из замороженных полуфабрикатов составляют 15,88 руб., а общие затраты на производство объёма продукции составят132,56 тыс. руб. Выручка от продаж и прибыль составляет соответственно 150,3 и 17,74 тыс. руб. Рентабельность производства при этом составит 13,38% Доля потерь сокращается до 0,18 кг.


7. Безопасность жизнедеятельности

Жизнедеятельность - это повседневная деятельность и отдых, способ существования человека.

Безопасность - это состояние деятельности, при которой с определенной вероятностью исключено проявление опасностей.

Безопасность - это цель, а безопасность жизнедеятельности - средства, пути, методы ее достижения.

Безопасность жизнедеятельности - наука о комфортном и безопасном взаимодействии человека с техносферой. Поэтому основная ее цель - защита человека от негативных воздействий антропогенного и естественного происхождения и достижение нормальных условий жизнедеятельности.

БЖД - неотъемлемая составная и общеобразовательная часть подготовки всесторонне развитой личности. БЖД изучает общие опасности, угрожающие каждому человеку и разрабатывает соответствующие способы защиты от лиц в любых условиях обитания человека. БЖД - не решает специальных проблем безопасности, это идеи специальных дисциплин, но БЖД обеспечивает общую грамотность в области безопасности это научно - методический фундамент для всех без исключения специальных дисциплин безопасности.

БЖД изучает и решает вопросы безопасного взаимодействия человека со средой обитания (производственная, бытовая, городская, природная) и вопросы защиты от негативных опасных факторов чрезвычайных ситуаций.

Человек, освоивший БЖД, надежно защищен от опасностей, не навредит другому, способен грамотно действовать в условии опасности.

7.1 Правовые и организационные вопросы

Правовые основы охраны труда имеют иерархическое строение. Это значит: требования верхних уровней должны учитываться в последующих звеньях.

Важнейшие положения по охране труда закреплены в конституции Российской Федерации, «Основах законодательства Российской Федерации о труде», «Строительных нормах и правилах».

Конституция Российской Федерации принята всенародным голосованием 12 декабря 1993 года. Статья 37

1.       Труд свободен. Каждый имеет право свободно распоряжаться своими способностями к труду, выбирать род деятельности и профессию.

2.       Принудительный труд запрещен.

3.       Каждый имеет право на труд в условиях, отвечающих требованиям безопасности и гигиены, на вознаграждение за труд без какой бы то ни было дискриминации и не ниже установленного федеральным законом минимального размера оплаты труда, а также право на защиту от безработицы.

Признается право на индивидуальные и коллективные трудовые споры с использованием установленных федеральным законом способов их разрешения, включая право на забастовку.

Каждый имеет право на отдых. Работающему по трудовому договору гарантируются установленные федеральным законом продолжительность рабочего времени, выходные и праздничные дни, оплачиваемый ежегодный отпуск.

Трудовой кодекс Российской Федерации регулирует трудовые отношения всех работников, содействуя росту производительности труда, улучшению качества работы, повышению эффективности общественного производства и подъему на этой основе материального и культурного уровня жизни трудящихся, укреплению трудовой дисциплины и постепенному превращению труда на благо общества в первую жизненную потребность каждого трудоспособного человека. Трудовой Кодекс РФ устанавливает высокий уровень условий труда, всемирную охрану трудовых прав работников.

Режим труда и отдыха.

Труд подростков моложе 18 лет строго используется в соответствии с действующим законодательством.

Своевременное обеспечение рабочих спецодеждой, спецобувью, средствами индивидуальной защиты, организование стирки, замена при износе не по вине работающих.

Выделение средств на подготовку кадров и повышение квалификации.

Ежегодный основной отпуск для рабочих предоставлять продолжительностью 25 рабочих дней.

Отпуск без содержания заработной платы по желанию работника предоставить в обязательном порядке, женщинам по уходу за ребенком до достижении трех летнего возраста.

Оказывание работникам материальную помощь в случае необходимости: длительная болезнь, рождение ребенка, юбилеи, свадьба, похороны и т.д.

Систематизированное изложение норм безопасности приводится в ССБТ. ССБТ - это комплекс взаимосвязанных стандартов, направленных на обеспечение безопасности труда, задачей которого является установление общих требований и норм по видам опасных и вредных производственных факторов, общих требований к производственному оборудованию и производственным процессом, требований к средствам защиты работающих и методов оценки безопасности труда.

Правила и нормы конкретизируют требования безопасности. На основании правил и норм разрабатываются инструкции по охране труда, обязательные для рабочих и служащих, устанавливающие правила выполнения работ и поведения в производственных помещениях и на строительных площадках.

Локальные нормы трудового законодательства содержатся в коллективных договорах, соглашениях, контрактах и других документах. Вопросы безопасности отражаются и в других документах, например, в регламентах.

В настоящее время разрабатывается Закон РФ «Об охране труда». Введен в действие с 29 мая 1991 года Закон РФ «О санитарно - эпидемиологическом благополучии населения».

На административно-технический персонал предприятия возлагаются обязанности по обеспечению безопасности в соответствии с должностным положением.

Организация охраны труда на предприятии складывается из следующих видов работ: разработка перспективных и текущих планов по дальнейшему улучшению и оздоровлению условий труда и закрепление их в коллективных договорах; обеспечение работающих спецодеждой, спецобувью, защитными приспособлениями, спецмылом, питьевой водой и др.; систематическая проверка выполнения плановых и внеплановых мероприятий по охране труда; создание комиссий по приемке в эксплуатацию новых цехов и участков. Сюда же относится: инструктирование и обучение работающих безопасным приемам труда; разработка и утверждение инструкций; организация пропаганды охраны труда, обучения и периодической аттестации административно-технического персонала; повседневного технадзора за соблюдением работающими требований охраны труда и технологической дисциплины; предварительного и периодического осмотра лиц, принимаемых на определенные виды работ; расследование и анализ случаев производственного травматизма и профессиональных заболеваний; ведение документации и составление отчетности.

Надзор и контроль за соблюдением законодательства об охране труда.

В соответствии с «Основами законодательства Российской Федерации о труде» надзор и контроль за соблюдением правил по охране труда осуществляют специально уполномоченные на то государственные органы и инспекции, не зависящие в своей деятельности от администрации предприятий.

.2 Производственная санитария и гигиена труда

Загрязнение атмосферы.

Основные вещества, загрязняющие атмосферу, делят на две группы - газы и твердые частицы. При этом газы составляют 90%, а твердые частицы 10% от общей массы загрязнений.

Основным источником загрязнения атмосферы являются природные и производственно-бытовые процессы. Природные - пыльные или черные бури, вулканические извержения, космическая пыль и т.п.; искусственные - теплоэлектростанции (выбрасывают сернистый и углекислый газ), металлургические предприятия (выбрасывают окислы азота, сероводород, сероуглерод, хлор, фтор, аммиак, соединения фосфора, ртуть, мышьяк), химические, цементные заводы и другие промышленные предприятия.

Основным документом, регламентирующим деятельность по охране воздушного бассейна, является закон Российской Федерации «Об охране атмосферного воздуха».

Для уменьшения загрязненности воздуха промышленными выбросами применяют химические и физические методы очистки. С этой целью используют различные устройства, работающие по принципам инерционной сепарации, фильтрации через пористые материалы, мокрой очистки, электростатического осаждения пыли и т.д. Для рассеивания вредных веществ в атмосфере и снижения концентрации до уровня ПДК применяют высокие трубы (до 300 м). Применение высоких труб не сокращает количества вредных выбросов.

Все более актуальной становится проблема защиты атмосферного воздуха от выхлопных газов автомобилей и реактивных самолетов. Одним из мероприятий по санитарной охране атмосферного воздуха является устройство санитарно-защитных зон, которыми жилые застройки отделяют от предприятий и сооружений. Ширина санитарно-защитных зон меняется от 50 до 1000 м в зависимости от вида и мощности производства. ГОСТ 12.0.002-80 - производственная санитария. Это система организованных мероприятий и технических средств, предотвращающих или уменьшающих воздействие на работающих вредных производственных факторов.

Гигиена труда - изучает трудовую деятельность, разрабатывает методы и нормативы, направленные на здоровье труда.

Микроклимат - метеорологические условия, комплекс физических факторов внешней среды, оказывающих влияние на терморегуляцию организма.

Таблица 7. Микроклимат в лаборатории

Период года

Категория работ

Температура воздуха, 0С

Относительная влажность, %

Скорость движения воздуха, м/с

Холодный

лёгкая

21

60

0,2

Тёплый

лёгкая

23

55

0,2


Измерения показателей микроклимата проводят не менее 3 раз в Освещение.

Лаборатория состоит из двух смежных комнат, общей площадью 72 м². Высота помещения 3,5 м. Имеется 3 больших окна, высота которых составляет 2 м, длина 3 м. Следовательно, площадь одного окна составляет 6 м. Это естественное освещение. Общее количество светильников 14 штук, тип ЛБ-40. В каждом светильнике имеется 2 лампы, каждая мощностью 80 Ватт. Высота подвеса отсутствуют, светильники прикреплены к потолку.

Шум и вибрация.

Шум - одна из форм физического загрязнения окружающей среды, адаптация организмов к которому практически невозможна. В настоящее время шум рассматривается как серьезная опасность и необходимо предусматривать мероприятия по борьбе с ним.

Шум характеризуется уровнем давления и частотой. Чем больше уровень давления, тем значительней физиологический отрицательный эффект.

Защита от шума осуществляется несколькими путями:

а)       снижение шума в источнике;

б)      создание шумозащитных экранов в виде зданий, создающих акустическую тень внутри микрорайонов;

в)      применений растений в виде живых изгородей и др.

Вибрация высокой интенсивности при продолжительном воздействии приводит к серьезным изменениям деятельности всех систем организма и при определенных условиях может вызвать тяжелое заболевание. При небольшой интенсивности и длительности воздействия вибрация может быть полезна, уменьшает утомляемость, повышает обмен веществ, увеличивает мышечную силу.

В нашем случае в лаборатории шум и вибрация отсутствует.

.3 Средства индивидуальной защиты.

Для защиты работников от опасных и вредных производственных факторов имеется наличие спецодежды (халаты, безрукавки, фартуки); спецобуви (сапоги, галоши). Для предохранения лица и глаз от брызг различного металла применяют очки. В качестве средств для защиты рук выдаются перчатки, а для органов дыхания применяют противогазы и фильтрующие респираторы.

В лаборатории имеются респираторы, т.к. работа ведется с различными кислотами. Каждый работник снабжен халатами, очками. Имеются аптечки.

7.4 Техника безопасности.

Правила техники безопасности:

.        Работу в лаборатории нужно выполнять в халатах из хлопчатобумажной ткани, застегивающихся спереди.

.        Все опыты с концентрированными кислотами, щелочами, газообразными веществами, органическими^растворителями (спиртом, ацетоном, бензином, и др.) производить под тягой.

.        Запрещается набирать кислоты и другие агрессивные жидкости в пипетку ртом, в этом случае следует использовать резиновую грушу или градуированные шприцы и бюретки.

.        Запрещается выливать в раковину крепкие кислоты, щелочи, органические растворители, ртуть и ее соединения, сильно пахнущие вещества. Их собирают в отдельную посуду с надписью.

.        При нагревании пробирок с растворами их следует держать специальными держателями открытым концом от себя и от стоящих рядом людей. Не пользоваться пробирками с трещинами.

.        При работе с химическими веществами запрещается пробовать их на вкус.

.        Запрещается оставлять без присмотра включенные электроприборы и газ.

.        Работа на центрифуге, аппарате для электрофореза и другом лабораторном оборудовании разрешается после детального ознакомления с техническим описанием его и инструкций по эксплуатации.

.        Следует обеспечивать безопасное хранение и транспортировку сильнодействующих реактивов.

.        В рабочих помещениях должны соблюдаться чистота, запрещается хранить верхнюю одежду, принимать пищу.

.        Во время работы лаборант должен работать с чистой посудой, так как от этого зависит результат анализа, содержать в чистоте и экономично расходовать реактивы.

.        Содержать в порядке и чистоте весы и разновески. Разновески нельзя брать руками, для этого необходим пинцет.

.        Запрещается перегружать весы сверх допускаемой нагрузки.

.        После окончания работы лаборант обязан убрать рабочее место, все реактивы убрать в шкаф, кислоты и щелочи в вытяжной шкаф. Вентиляцию и свет в лаборатории выключить после окончания работы.

.        В установленные сроки проводят медицинское свидетельствование сотрудников, работающих во вредных условиях труда.

Первая помощь при несчастных случаях.

При попадании на кожу щелочи обожженное место обильно промывают 2% раствором уксусной или борной кислоты.

Меры безопасности при утечке газа и тушении локального пожара и горячей одежды.

При обнаружении запаха газа необходимо отключить газовую магистраль, электроприборы и тщательно проверить лабораторию. Категорически запрещается пользоваться спичками и включать электрический свет.

При возникновении пожара нужно быстро убрать все горючие вещества подальше от места возгорания, отключить газовую магистраль, все электроприборы и прекратить активный доступ воздуха в лабораторию.

Пламя следует тушить песком или противопожарным одеялом. Тушение пожара водой может привести к расширению очага пожара. В случае более обширной площади возгорания следует пользоваться огнетушителем.

Если на ком-либо загорится одежда, необходимо плотно накрыть загоревшуюся ткань противопожарным одеялом. При возгорании одежды нельзя бежать, так как это способствует распространению пламени.

7.5 Противопожарная профилактика

Пожары наносят значительный ущерб народному хозяйству и могут быть причиной гибели людей. Защита промышленных предприятий и других

объектов от пожаров представляет серьезную инженерную задачу, связанную с осуществлением комплекса профилактических мероприятий [].

В зависимости от степени пожарной опасности объекты народного хозяйства охраняют военизированные и профессиональные пожарные части, а также пожарно-сторои: езая охрана.

Ответственность за соблюдение противопожарного режима и своевременное выполнение профилактических мероприятий возлагается на руководителя предприятия и начальников соответствующих объектов. Руководитель предприятия приказом назначает пожарно-техническую комиссию (П7К; в состав которой входят главный инженер (председатель), начальник пожарной охраны, энергетик, технолог, механик, инженер по технике безопасности и другие специалисты.

Задачами ПТК являются разработка мероприятий по устранению недостатков в пожарной профилактике, содействие органам пожарного надзора и организация разъяснительной работы среди персонала предприятия.

В соответствии с действующим положением на промышленных предприятиях создаются добровольные пожарные дружины. Все трудящиеся при поступлении на работу проходят вводный и первичный инструктаж о мерах пожарной безопасности по утвержденной программе с соответствующей регистрацией.

Задачи, которые решает пожарная безопасность, можно разделить на 4 группы:

.        профилактика, т.е. предупреждение пожаров;

.        локализация, т.е. ограничение масштабов возникших пожаров;

.        защита людей и материальных ценностей от огня;

.        тушение пожара.

.        Пожаро- и взрывопредупреждение по существу основано на

.        соблюдении двух условий:

.        а)       предотвращение образование горючей и взрывоопасной среды;

.        б)      исключение источников, способных воспламенить среду.

.        В лаборатории пожаров и взрывов за последние 3-4 года не

.        наблюдалось.

.        При возникновении пожара диспетчер сообщает в пожарную часть по телефону «01» и оповещает руководящий состав АТП, в вечернее время директору по домашнему телефону. Предприятие имеет в наличие огнетушители, пожарные ведра, ящики с песком и пожарным инструментом: топорами, ломами, расположенных на пожарных щитах. Для тушения электроустановок и электропроводов, находившиеся под напряжением, применяют углекислые огнетушители. Имеются в наличии пожарные водопроводы, которые объединены с хозяйственно-питьевыми и производственными водопроводами.

.        Правила поведения и действий при пожаре:

.        - не входить в зону задымления, если видимость менее 10 м;

.        прежде чем войти в горящее помещение, закрыться с головой мокрым покрывалом, полотенцем, куском плотной ткани;

.        дверь в задымленное помещение открывать осторожно, чтобы избежать вспышки пламени от быстрого притока свежего воздуха;

.        в сильно задымленном помещении двигаться ползком, или пригнувшись;

.        для защиты от угарного газа дышать через увлажненную ткань;

.        если загорелась одежда, ложиться на землю, перекатываться, бежать нельзя;

.        эвакуация людей из горящих зданий (выход людей на улицу в безопасное место через окна и двери).

7.6 Расчет естественного освещения

Естественное освещение обеспечивается наличием окон (боковое освещение), благодаря которым солнечные лучи проникают внутрь помещения.

Естественное освещение нормируется коэффициентом естественной освещенности (КЕО), который представляет собой выраженное в процентах отражение фактической освещенности в какой-либо точки помещения к освещенности рассеянным светом небосвода точки, лежащей на открытой местности.

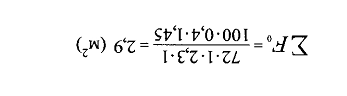
Расчет сводится к определению суммарной площади световых проемов. Суммарную площадь световых проемов, ƩF0, м², по коэффициенту естественной освещенности для боковых проемов определяют по формуле:


где Fn - площадь пола, м²;

lmin минимальная величина коэффициента естественной освещенности;

ƞ0 - световая характеристика окна;

К - коэффициент, учитывающий затенение окон соседними зданиями;

τ - общий коэффициент светопропускания оконного проема с учетом его загрязнения;

r1 - коэффициент, учитывающий повышение освещенности за счет света отраженного от стен и потолков.

Количество световых проемов (окон), N0, штук, определяют по формуле:


где F0 - площадь окна по ГОСТ, м».

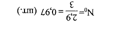
Лаборатория длиной 12 м, шириной 6 м, высота от пола до потолка 3,5 м, Все коэффициенты, используемые в формуле (8.1) берутся из таблиц (lmin=l; ƞ0=2,3; К=1; τ =0,4; r1=l, 45). Площадь окна по ГОСТ 3 м².

Суммарную площадь световых проемом определяют по формуле:

Количество световых проемов (окон) определяют по формуле:

Принимаем один световой проем (окно).


8. Результаты исследований (экспериментов) по теме дипломной работы и их экономическая эффективность

Таблица 8. Схема опыта: «Холодная интенсивная технология с различными температурными режимами»

Варианты опыта

Температура брожения теста,0С

Продолжительность брожения, ч

Окончательная расстойка, мин, 0С

№1 с улучшителем интенсивный замес в течении 8 мин

18-20

0,5

70-90 32-350

№2

6-7

72

Предварит.расстойка 40 Окончат.расстойка 40 32-350

№3

6-7

96

Предварит.расстойка 40 Окончат.расстойка 40 32-350

№4

-18

168 (7 суток)

Дефростация 40 При комнатной t0 Окончат.расстойка40-45 32-350

№5

-18

336 (14 суток)

Дефростация 40 При комнатной t0 Окончат.расстойка40-45 32-350


Технологические расчеты произведены в соответствии с методикой пробной лабораторной выпечки.

Для проведения выпечки требуется:

вода питьевая по ГОСТ 2874;

соль поваренная пищевая по ГОСТ 13830;

дрожжи хлебопекарные прессованные по ГОСТ 171 с подъемной силой не более 70 мин;

температура воды не должна превышать 45ºС;

влажность теста из муки высшего сорта 43,5%.

Количества вносимой в тесто воды определяется, исходя из влажности всех компонентов рецептуры. Для этого вначале определили влажность муки методом обезвоживания навески в сушильном шкафу СЭШ-3М. Влажность дрожжевой суспензии и соли стандартная - 93,75% и 5% соответственно.

Методика расчета массы сухих веществ и влаги в сырье следующая:

с.в. =

где Gс - масса сырья, кг; a - содержание сухих веществ в сырье, %.вл. = Gс - Gс.в.

Количество муки общей - 1000 г. Дрожжи хлебопекарные прессованные используют в виде дрожжевой суспензии.

др.сусп. =

где С - масса прессованных дрожжей, кг; х - количество частей воды, приходящее на 1 часть дрожжей. Соотношение дрожжей и воды в дрожжевой суспензии 1:3, т.е. х=3.др.сусп. =г, т.е. получается 30 г. дрожжей и 90 г. воды в дрожжевой суспензии.

Влажность дрожжевой суспензии рассчитывают по формуле:

др.сусп. =

где Gдр. - масса прессованных дрожжей, г; Wдр. - влажность прессованных дрожжей, %; Gв - масса воды в дрожжевой суспензии, г; Wв - влажность воды, %.др.сусп. =

Затем рассчитываем массу соли, г.:с = г.

Таблица 9. Расход сырья на замес теста

Наименование сырья

Количество сырья, г

Влажность сырья, %

Содержание СВ в сырье, %

Масса, г





Сухих веществ

влаги

Мука пшеничная хлебопекарная

1000,0

14,5

85,5

1710

290

Дрожжевая суспензия

50

93,75

6,25

6,25

Соль

10

5,0

95,0

19

1

Сахар-песок

260

0,15

99,85

519,2

0,8

Маргарин столовый

150

84,0

16,0

48

252

Молоко

150

100

-

-

300

Яйцо

130

75

25

65

195

Ванилин

0,25

5

95

0,47

0,03

Итого

1750,25

-

-

2367,9

1132,6

Вода

190,5

100,0

-

-

381,3

Всего (теста)

1940,75

39,0

61,0

2367,9

1513,9


Выход теста, г:

Вт =

Проверяем влажность теста, %:т =

Замес теста для образца №1с хлебопекарным улучшителем «Olimpia soft» производили на тестомесильной машине У1-ЕТВ. Далее брожение теста в расстойном шкафу при температуре 30 -32ºС и относительной влажности воздуха 85%, две обминки через 60 и 120 мин от начала брожения.

Выбродившее тесто разделили на 2 равных по массе куска и поместили их на смазанный подсолнечным маслом противень.

После окончания расстойки тестовые заготовки отправляем в печь: продолжительность выпечки подового хлеба 30 - 35 мин.

Выпечку тестовых заготовок проводили в лабораторной хлебопекарной печи при температуре 1800 С.

При балльной оценке учитывали следующие показатели качества хлеба: объем формового хлеба, формоустойчивость подового хлеба, окраску корок, состояние поверхности корки, цвет мякиша, структуру пористости, реологические свойства мякиша, аромат, вкус, разжевываемость мякиша.

Результаты органолептической оценки качества готовой продукции представлены в табл. 6.

Для замороженных образцов №5и №6 проводим дефростацию при комнатной температуре в течение 40 мин и помещаем в расстойный шкаф при температуре 22-28ºС. Образцы №2 и №5 из холодильной камеры помещаем тоже в расстойный шкаф. После того, как тесто поднимется, обминаем и формуем круглые тестовые заготовки. По окончании растойки тестовые заготовки направляем в хлебопекарную печь. Температура выпечки 180ºС, продолжительность - 25 мин.

После остывании изделий проводим оценку их качества по балльной методике.

При бактериологическом анализе образцов теста готовили разведение 10-1 и 10-3 физиологическом растворе.

Для этого 1 грамм теста растворяли в 9 мл физ. растворе, затем 0,1 разведение переносим в 10 мл физ. раствора. После из каждого разведения 0,1 газоном засевали на 2 чашки с МПА и Сабуро, тем самым получаем конечное разведение на чашках 10-1 и 10-3 соответственно посевы инкубировали в термостате 24-48 часа. Результаты учитывали по подсчетам и количества колоний выросших на чашках.

Таблица 10. Результаты микробиологического исследования теста

Образцы

Разведение 10-2

Разведение 10-4



Дрожжи/ Плесень Требования СанПиН 2.3.2.1078

КМАФАнМ, КОЕ/ г Требования СанПиН 2.3.2.1078

Дрожжи/ Плесень Требования СанПиН 2.3.2.1078

КМАФАнМ, КОЕ/ г Требования СанПиН 2.3.2.1078

1

Образец с улучшителем

17/-

100

-/-

1

2

Хранение при t 6-70С, 72 часа

25/1

200

-/-

2

3

Образец хранения при t 6-70С, 96 часов

Сплошной рост / сплошной рост

Сплошной рост

-/-

10

4

Хранение при t 18-200С, 7 суток

48/-

141

-/-

1

5

Хранение при t 18-200С, 14 суток

50/-

Сливной рост 150

-/-

1


При бактериологическом анализе готового продукта из одного грамма хлеба аналогичным образом готовим разведение 10-1 и 10-3 на физ. растворе.

Из разведения 10-1делали высевы на МПА и Сабуро 1 и 0,1 мл получая конечные разведения 10-1и10-2 на чашки Петри, а из разведения 10-3 высевали 0,1 получали разведение 10-4. Учет результатов аналогично.

Таблица 11. Результаты микробиологического исследования готового продукта

Образцы

Разведение 10-1

Разведение 10-2

Разведение 10-4



Дрожжи/ Плесень Требования СанПиН 2.3.2.1078

КМАФАнМ, КОЕ/ г Требования СанПиН 2.3.2.1078

 

Дрожжи/ Плесень Требования СанПиН 2.3.2.1078

КМАФАнМ, КОЕ/ г Требования СанПиН 2.3.2.1078

1

Образец с улучшителем

-/-

7

-

1

80

2

Хранение при t 6-70С, 72 часа

-/-

10

-

1

100

3

Образец хранения при t 6-70С, 96 часов

-/-

26

-

1

200

4

Хранение при t 18-200С, 7 суток

-/-

10

-

1

90

5

Хранение при t 18-200С, 14 суток

-/-

14

-

1

110


Таблица 12. Физико-химические показатели качества готовой продукции

Варианты опыта

Масса тестовых заготовок до выпечки

Масса хлеба после выпечки

Упек, %

Кислотность теста, град

Кислотность хлеба, град

Влажность мякиша, %

Пористость, %

№1

228

209

8

1,19

0,68

29

46

№2

231

214

7

1,87

0,85

31

57

№3

510

485

5

3,91

2,21

35

64

№4

500

470

6,4

1,64

1,32

37

63

№5

520

495

4,8

2

1,87

36

64

Таблица 13. Органолептическая оценка качества готовой продукции с учётом коэффициента весомости

Показатель качества хлеба

№1

№2

№3

№4

№5

Окраска корок

3 - 3

4 - 4

5 - 5

5 - 5

5 - 5

Состояние поверхности корки

3 - 3

5 - 5

5 - 5

5 - 5

5 - 5

Цвет мякиша

4 - 8

5 - 7,5

5 - 7,5

5 - 7,5

5 - 7,5

Структура пористости

3 - 4,5

5 - 7,5

5 - 7,5

5 - 7,5

5 - 7,5

Реологические свойства мякиша

3 - 7,5

4 - 10

5 - 12,5

4 - 10

5 - 12,5

Аромат хлеба

3 - 7,5

5 - 12,5

5 - 12,5

5 - 12,5

5 - 12,5

Вкус

3 - 7,5

4 - 10

5 - 12,5

5 - 12,5

5 - 12,5

Разжёвываемость мякиша

3 - 3

5 - 5

5 - 5

4 - 4

5 - 5

Итого:

44

61,5

67,5

64

67,5


Изученные технологии позволяют наиболее выгодно спланировать производство, поддерживать стабильность качества готовых изделий и реализовывать их в свежем виде. С помощью опытов определилось, что сдобные хлебобулочные изделия и при «холодной интенсивной технологии» и при шоковой заморозке не уступают по качеству традиционной технологии, и даже имеют более выраженные вкус и аромат.

Заключение

Качество сырья, используемого для приготовления полуфабрикатов, соответствует требованиям ГОСТ.

При сравнении технологий было установлено, что заморозка, охлаждение и интенсивная холодная технология являются перспективными, легко исполняемыми и имеют высокий уровень рентабельности, о чём свидетельствуют результаты расчёта экономической эффективности.

Физико-химические и микробиологические показатели готовой продукции отличаются незначительно и соответствуют требованиям ГОСТ.

Микробиологическая обсеменённость полуфабрикатов и готовой продукции находится в пределах нормы. Однако длительность хранения полуфабриката более трех суток при температуре +6-70С приводит к увеличению генетических бактерий и обсемененности, как полуфабриката так и готового продукта, а так же к ухудшению органолептических свойств хлеба.

Затраты на производство 1 кг хлеба пшеничного из замороженных полуфабрикатов составляют 15,88 руб., а общие затраты на производство объёма продукции составят 132,56 тыс. руб. Выручка от продаж и прибыль составляет соответственно 150,3 и 17,74 тыс. руб. Рентабельность производства при этом составит 13,38% Доля потерь сокращается до 0,18 кг.

Список использованной литературы

1.   Андреева, JI.B. Сравнительная эффективность методов пробной выпечки хлеба и его улучшителей в связи с селекцией пшеницы и хлебопечением/ Л.В. Андреева/ Автореферат. - Саратов. 2004. - 23 с.

2.       Апет, Т.К. Хлеб и хлебобулочные изделия (технология приготовления, рецептура, выпечка)/ Т.К. Апет, З.Н. Пащук/ Спр. Пособие. - Минск: ОСЮ «Попурри». 1997. - 320 с.

.        Ауэрман, Л.Я. Технология хлебопекарного производства/ Л.Я. Ауэрман/ 8-е изд., перераб. и доп. - М.: Легкая и пищевая пром-сть, 1984. - 416 с.

.        Белибова, Ю. Корректировка пшеничной муки ферментными препаратами/ Ю. Белибова, И.В. Матвеева // Хлебопродукты. - 2006. - №3. - с-52-55.

.        Белов, С.В. Безопасность жизнедеятельности/ С.В. Белов/ М.: Высшая школа. 1999. - 448 с.

.        Булдаков, А. Пищевые добавки/ А. Булдаков/ Справочник. - СПб. 1996

.        Вершинина, О.Л. Применение пищевых добавок в технологии хлебопечения/ О.Л. Вершинина, Н.Н. Корнен // Пищевая технология. - 200. - №5-6. - с 27-28.

.        Волков, О.И. Экономика предприятия/ О.И. Волков, В.К. Скляренко/ М.: ИНФРА. 1999.

.        Волохова М.А. Методические указания к экономической части дипломных проектов студентов специальности 110305 - Технология производства и переработки сельскохозяйственной продукции/ М.А. Волохова, Е.М. Душевина/ Саратов: ФГОУ ВПО «Саратовский ГАУ». 2006. -12 с.

.        Г ордеев, А.В. Экономика предприятия пищевой промышленности/ А.В. Г ордеев, О.А. Масленникова, С.В. Донскова, Н.К.

Долгушкин, А.Х. Заверюхина, Е.В. Ульянов/ Учебник, 2-е изд., испр. и доп. - М.: Агроконсалт. 2003.

.     Дубровская, Н.О. Разработка рецептуры и технологии хлебобулочных изделий, обогащенных рябиновым порошком/ Н.О. Дубровская/ Автореферат. - СПб. 2009.

12.     Зотов, Б.И. Безопасность жизнедеятельности/ Б.И. Зотов, В.И. Курдюшов/ М.: Колос. 200. - 424 с.

.        Ковальская, Л.П. Технология пищевых производств/ Л.П. Ковальская/ М.: Колос. 1999. - 752 с.

.        Корнилов, И.И. Технология производства и переработки продукции растениеводства/ И.И. Корнилов, О.В. Лощинин/ учеб.-метод. пособие для студентов 4 курса специальности 110305 - «Технология производства и переработки сельскохозяйственной продукции» - Ч. 1. Саратов: ФГОУ ВПО «Саратовский ГАУ». 2007. - 136 с.

.        Пащенко, Л.П. Технология хлебобулочных изделий/ Л.П. Пащенко, И.М. Жаркова/ М.: Колос. 2006. -389

.        Пучкова, Л.И. Лабораторный практикум по технологии хлебопекарного производства/ Л.И. Пучкова/ 4-е изд., перераб. и доп. - СПб.: ГИОРД. 2004. - 264 с.

.        Цыганова, Т.Б. Справочное пособие по контролю за качеством хлебобулочных и макаронных изделий/ Т.Б. Цыганова, И.В. Матвеева, И.М. Чекмезов/ Спр. пособие - М.: Росгосхлебинспекция. 1999. -111 с.

.        Чижова, К.Н. Справочник для работников лабораторий хлебопекарных предприятий/ К.Н. Чижова/ М.: Пищ. пром-сть. 1978. - 192 с.

Похожие работы на - Производство хлеба по интенсивной технологии

 

Не нашли материал для своей работы?
Поможем написать уникальную работу
Без плагиата!
Без нейросетей!