Производство пшеничного хлеба из замороженных полуфабрикатов

  • Вид работы:
    Дипломная (ВКР)
  • Предмет:
    Другое
  • Язык:
    Русский
    ,
    Формат файла:
    MS Word
    2,44 Мб
  • Опубликовано:
    2012-11-02
Вы можете узнать стоимость помощи в написании студенческой работы.
Помощь в написании работы, которую точно примут!

Производство пшеничного хлеба из замороженных полуфабрикатов

Оглавление

1.ОБЗОР ЛИТЕРАТУРЫ

.1 Современное состояние рынка замороженных полуфабрикатов хлебобулочных изделий

.2 Технологии замороженных полуфабрикатов хлебобулочных изделий

.2.1 Требования к сырью

.2.2 Виды замороженных полуфабрикатов и их технологии

.3 Инновационные методы заморозки хлеба

.4 Микробиологическая безопасность замороженных полуфабрикатов

.5 Маркировка и упаковка

.Цель, задачи и методика проведения исследований

.ЭКСПЕРИМЕНТАЛЬНАЯ ЧАСТЬ

.1 Схема опыта и технологические расчёты

.2 Технологический процесс

. Расчет экономической эффективности производства хлеба пшеничного из замороженных полуфабрикатов

. Защита окружающей среды

.1 Краткая характеристика антропогенного влияния хлебопекарного участка

.1.1 Уровень выброса загрязняющих веществ допускается не выше установленных норм по ПДК, ПДС, БПК.

.2 Характеристика источников выбросов в атмосферу

.3 Характеристика технологической воды

.4 Характеристика твёрдых отходов

.5 Характеристика экологической безопасности сырья и продукции

. БЕЗОПАСНОСТЬ ЖИЗНЕДЕЯТЕЛЬНОСТИ

.1 Правовые и организационные вопросы

.2 Производственная санитария и гигиена труда

.3 Техника безопасности

.4 Противопожарная профилактика

.5 Расчет естественного освещения

ВЫВОДЫ И ПРЕДЛОЖЕНИЯ К ПРОИЗВОДСТВУ

Список используемой литературы

Введение

Особенностью современного развития хлебопекарного производства в России является внедрение интенсивных технологий и в первую очередь на предприятиях малой мощности, так как эти технологии более гибкие, чем традиционные. Новым способом производства хлебобулочной продукции является приготовление хлебобулочных изделий из замороженных полуфабрикатов. В последние годы технология приготовления хлебобулочных изделий из замороженных тестовых полуфабрикатов получает все большее распространение, поскольку позволяет оперативно реагировать на потребности рынка в обеспечении населения свежими изделиями в широком ассортименте, сократить затраты на транспортировку готовой продукции, централизованно контролировать качество и безопасность хлебобулочных изделий на стадии приготовления замороженных полуфабрикатов, значительно расширить сеть пекарен в местах реализации за счет создания мини-пекарен с неполным набором оборудования.

Замораживание теста является одним из наиболее эффективных способов решения важнейшей задачи сохранения биологической ценности, питательных и вкусовых качеств продукта.

Выполнения всех этих требований требует создания и применения новых интенсивных методов замораживания. Эти методы применимы не только к исходному сырью, но и к полуфабрикатам, кулинарным изделиям и готовым консервным блюдам. Как показывает опыт развитых стран производство и реализация быстрозамороженной продукции с различной степенью готовности эффективны не только с экономической, но и с социальной точки зрения, так как в значительной степени сокращают затраты в быту и в сфере общественного питания.

Успешному решению этих задач препятствует отсутствие серийно выпускаемых отечественных морозильных аппаратов. Приобретение подобной техники у зарубежных стран связано со значительными валютными затратами.

Замороженное тесто - пока малоизвестный товар на российском рынке, поэтому изучение отношения потребителей к нему имеет большое значение. Замороженное тесто и заготовки изделий из него привлекают покупателей возможностью всегда иметь свежую выпечку.

Ассортимент предлагаемого покупателю замороженного теста в настоящее время невелик. В основном это сдобное дрожжевое или слоеное бездрожжевое тесто, фасованное массой по 1 кг. Исключение составляет ассортимент изделий из слоеного теста, регулируемый через систему супермаркетов.

Ценовой фактор на сегодня уже не является главным, а наибольшее значение приобретает показатель качества готовых изделий.

В настоящее время потребители предпочитают покупать готовые изделия. Однако степень свежести готовых изделий в торговой сети не всегда устраивает потребителей. Срок реализации сдобных хлебобулочных изделий составляет 16 ч, поэтому существует проблема возврата просроченных изделий из торговой сети. В некоторых случаях просроченные изделия просто продолжают реализовывать потребителю.

Технология замораживания теста и тестовых заготовок дает возможность всегда иметь свежую выпечку. Причем цена замороженных тестовых заготовок может быть ниже цены готовых изделий, выпеченных в производственных условиях.

Технология производства хлеба из замороженных полуфабрикатов является актуальной и перспективной в свете быстрого ритма современной жизни. Производство хлеба и хлебобулочных изделий за короткий срок дома, в кафе, в ресторанах и т.д. является более чем востребованным и перспективным, а так же очень быстро развивается не только в России, но и по всему миру. Поэтому эта проблема актуальна и рассматривается в данной дипломной работе.

1.ОБЗОР ЛИТЕРАТУРЫ


1.1 Современное состояние рынка замороженных полуфабрикатов хлебобулочных изделий


По данным коммерческого директора GFB GmbH, Германия Х. Грана [18], состояние и структура хлебопекарной промышленности в России с 1990г. сильно изменились. Открытие страны для Западной Европы изменило и ситуацию на внутреннем рынке. Рост числа платежеспособных потребителей способствовал спросу на новые хлебобулочные изделия. Это привело к стремительному расширению ассортимента, в том числе и на хлебозаводах, специализирующихся на массовом производстве ограниченного количества сортов хлеба. В результате изменилась политика больших хлебозаводов в сфере инвестиций. Средства продолжали вкладывать в российское оборудование, однако все больше росла доля техники из Европы.

Инвестиции в импортные машины и установки активно росли вплоть до 1998 г. Однако они почти прекратились вследствие обвала рубля в августе 1998 г., а также вследствие его слабой покупательной способности.

Политические изменения и связанный с ними экономический расцвет способствовали увеличению инвестиций с Запада.

Международный экономический кризис осенью 2008 г. вновь привел к сильному сокращению инвестиционной активности. Насколько долго сохранится данная ситуация, предсказать сейчас не представляется возможным.

Примерно 90% хлебопекарных изделий в России производится на крупных промышленных предприятиях, оснащенных автоматизированными линиями. Такой опыт насчитывает почти 80-летнюю традицию в отличие от истории малых пекарен.

Потребители хорошо знакомы с данным ассортиментом. Благодаря высокой степени автоматизации производство требует относительно низких затрат. Этот факт имеет также и политическое значение, так как при нынешней ситуации в России необходимо, чтобы производство хлебобулочных изделий, прежде всего хлеба, было недорогим. Изготовление хлебобулочных изделий и их продажу уже поэтому нельзя рассматривать с чисто рыночной точки зрения. Первостепенное значение имеет обеспечение населения данным продуктом. При этом нужно учитывать, что уровень развития разных городов и частей страны сильно различается. Распределение и торговля хлебобулочными изделиями стали почти полностью другими. Хлебобулочные изделия продаются сегодня большей частью через предприятия торговли (под это понятие попадают также небольшие торговые точки, отдельные палатки). Между тем существует ряд производителей хлебобулочных изделий, владеющих собственными сетями магазинов. Потребителям реализуются в основном свежая выпечка и хлебобулочные изделия в упаковке. Свежая выпечка хранится недолго и тоже должна продаваться в упаковке. В среднем цены на хлебобулочные изделия, по сравнению с европейскими, находятся на более низком уровне.

Развитие небольших булочных с пекарнями происходит еще очень медленно. Причинами этого являются, прежде всего, плохо отрегулированная система снабжения сырьем, неквалифицированный персонал и высокая стоимость капиталовложений в машины и печи. Существование рынка разнообразных свежих и недорогих хлебобулочных изделий позволяет говорить о развивающейся, однако, еще очень чувствительной к изменениям рынка области.

Доля производства замороженных хлебобулочных изделий в России по сравнению с Западной Европой еще очень незначительна. Большое количество имеющихся на рынке хлебобулочных изделий глубокой заморозки импортируется из Европы.

Преимущества продуктов глубокой заморозки для русского рынка в России долго не замечали и до сих пор не признали полностью. Потребители не привыкли к тому, чтобы самим разогревать в печи или жарить недо- выпеченные или замороженные изделия. Тем не менее, строятся предприятия для глубокой заморозки, а также создаются мощности для выпечки продуктов в супермаркетах и торговых предприятиях. У большого количества потребителей требования к свежести продуктов еще не сформировались. Лишь в больших мегаполисах - Москве или Санкт-Петербурге - делаются первые шаги. Причину этих различий с западноевропейским рынком можно объяснить просто: в Европе замороженные хлебобулочные изделия уже на протяжении более чем 15 лет представляют собой самый активно развивающийся рыночный сегмент. Их доля составляет в Германии уже более чем 25% общего производства хлебобулочных изделий.

Преимущество замороженного хлебобулочного изделия - высокоэффективное, автоматизированное производство и возможность долгого хранения продукта. В этом случае весь ассортимент может готовиться, реализовываться и употребляться непосредственно у самого клиента независимо от места и времени. При этом выпекаются лишь те продукты, которые будут реализованы.

Маркетинговые мероприятия и выпечка свежих изделий непосредственно в торговых точках (булочных, пекарнях) способствовали популяризации и привыканию к замороженным продуктам. Эффективное централизованное производство и высокая доступность свежих хлебобулочных изделий стали повсеместными. При этом затраты на глубокую заморозку и логистику оказались еще ниже, чем ожидалось. Повышение затрат окупается эффективностью автоматизированного производства и отсутствием возврата продавцу нереализованной продукции.

В современных условиях проблема производства хлеба с удлиненными сроками хранения приобретает все большую значимость, и одним из способов решения этой задачи является его замораживание.

Разработка технологии хлебобулочных изделий на основе замораживания в России интенсивно проводилась в 60-80 гг., что было связано с необходимостью перевода хлебозаводов с трехсменного на двух- и односменный режим работы.

Метод замораживания имеет давние традиции, особенно на Урале и в Сибири. С этой целью зимой изделия выносили на холод. Замораживание хлебобулочных изделий широко применяется в США, Канаде, Швейцарии, Нидерландах и других странах.

В настоящее время на рынке продовольственных товаров в России появились специальные хлебобулочные изделия, которые завозятся из европейских стран в упакованном и замороженном виде и реализуются населению в освеженном виде с использованием для размораживания печей конвекционного типа, а также СВЧ - печей.

В связи с оснащением многих хлебопекарных предприятий в России морозильным оборудованием появилась возможность производства замороженных изделий и в нашей стране, но отсутствие в настоящее время необходимой технической документации сдерживает их выработку и реализацию.

Исследованиям и практическому применению замораживания хлебобулочных изделий посвящен ряд работ, обзор которых приводится в монографии Л.В. Ким [31], книгах Р.В. Кузьминского, А.Ф. Горячевой [17] и в других публикациях [20, 21, 22].

 

1.2 Технологии замороженных полуфабрикатов хлебобулочных изделий


Преимущество замораживания перед другими способами консервирования в том, что замораживание способствует более полному сохранению первоначальных свойств хлеба (цвет, запах, структура мякиша), подавлению развития микроорганизмов. Основным условием данной технологии является сохранение качества продукта: усушка должна быть наименьшей, а восстановление свойств продукта после размораживания - наилучшим.

В ГОСНИИХП (б. ВНИИХП), в МГУПП (б. МТИПП) и в других организациях проводились работы по определению технологических режимов замораживания, хранения, размораживания хлебобулочных изделий, производство которых было организованно в 70-80 гг. на двух хлебозаводах Санкт-Петербурга.

Хлебобулочные изделия замораживаются после их охлаждения. Известно, что при температуре 25°С изделия черствеют быстро. Однако доказано, что хлебобулочные изделия, замороженные без предварительного охлаждения (с температурой мякиша не более 40 °С), отличаются лучшими свойствами мякиша, который после размораживания остается более мягким.

Замораживание хлеба заключается в полном или частичном превращении содержащейся в продукте влаги в лед вследствие отвода тепла при понижении температуры ниже криоскопической. Скорость замораживания зависит от интенсивности теплоотвода, а скорость снижения температуры хлебных изделий зависит от скорости превращения воды в лед.

Хлеб может замораживаться различными способами, отличающимися параметрами процесса. Условно их разделяют на медленный, быстрый и сверхбыстрый, или глубокий, методы [4]. Медленное замораживание проводится при температуре до -24 °С и при естественной циркуляции воздуха, быстрое - при температуре ниже -24 'С и с усиленной циркуляцией воздуха; сверхбыстрое, или глубокое, замораживание хлеба проводится в среде азота при температуре около -195”С.

На практике замораживание осуществляется обычно двумя первыми способами.

Медленное и быстрое замораживание различаются по скорости превращения влаги в лед, сопровождаемой тепловыделением, и по структуре кристаллов, образующихся в продукте [73].

Считается, что повышение скорости замораживания способствует образованию более мелких кристаллов льда и, следовательно, меньшему нарушению структуры изделий.

В зависимости от количества замораживаемого продукта и оснащенности предприятия применяют различное морозильное оборудование: шкафы, камеры, тоннели.

На хлебопекарных предприятиях небольшой мощности обычно используют морозильные шкафы и камеры без циркуляции воздуха или с циркуляцией его, поскольку циркуляция воздуха ускоряет процесс замораживания. Практикуется замораживание при температурах от -20 до -30 °С и различных скоростях воздуха.

Предприятия большой мощности оснащаются непрерывно действующими установками тоннельного типа, в которых хлебобулочные изделия замораживаются в условиях интенсивной циркуляции воздуха с температурой -25°С и ниже.

В Австрии разработано и используется специальное устройство, с помощью которого изделия автоматически мгновенно замораживаются и перед употреблением размораживаются до температуры 40 °С в центре изделия по заранее заданной программе. Установлено, что хлеб, замороженный в этом агрегате, значительно дольше сохраняет свою свежесть [22].

Срок сохранения свежести замороженных изделий в значительной мере определяется режимом замораживания.

Исследованиями установлено, что изделия черствеют наиболее быстро в интервале температур от +21 до -7°С, поэтому преодоление данного диапазона температур в минимально короткое время дает возможность лучше сохранить свежесть хлеба. В этой связи быстрое замораживание хлебобулочных изделий имеет преимущество в сравнении с медленным. Качество изделий, при быстром замораживании, после размораживания выше, чем при медленном.

В настоящее время распространен метод замораживания при температурах от -18 до -40 "С.

Криогенное замораживание [22] (в среде жидкого азота) позволяет значительно ускорить этот процесс, а следовательно, и замедлить черствение изделий, однако широкого распространения этот способ пока не получил по экономическим соображениям.

Хлеб всегда считался продуктом с очень коротким сроком хранения: 2-3 дня. Если речь идет о некоторых европейских видах хлеба с хрустящей корочкой, то счет идет на часы. И всегда люди стремились к тому чтобы как-то продлить срок в течение, которого можно было бы употреблять хлеб в пищу - и как один из вариантов: сушили сухари. В хлебе параллельно идет три процесса: высыхание, черствение и микробиологическая порча.

Неупакованный хлеб уже в течение первых суток становится жестким и малопривлекательным для употребления в пищу. Применение различного рода упаковки позволило решить эту проблему и уберечь хлеб от высыхания.

Однако, как бы ни были герметично упакованы изделия - со временем они также становятся тверже. Это результат черствения: кристаллизации гранул крахмала, в ходе которого крахмал связывает воду и мякиш становится сухим на ощупь, твердым, крошащимся. Применение разного рода дополнительного сырья, сдобящих веществ, а также добавок, препятствующих черствению, позволяет значительно продлить ощущение свежести готовой продукции.

Но невидимые глазу бактерии и плесени начинают атаку на хлеб с момента, как тот вышел из печи. И как это ни печально, через какое-то время хлеб становится не пригодным в пищу. Борьба ведется в прямом смысле не на жизнь, а на смерть: специальные меры по обеспечению санитарной чистоты производства, применение специальных технологических приемов при производстве, использование антисептиков при упаковке и консервантов непосредственно в тесто при замесе, также позволяет значительно продлить «микробиологические» сроки годности изделий.

И вот примерно в середине прошлого века в Европе стали проводиться исследования на предмет возможности замораживания теста и готового хлеба на разных этапах производства. Ближе к концу столетия определились основные методы замораживания полуфабрикатов и были наработаны

технологии, которые теперь успешно применяются:

. Замораживание теста после замеса в кусках и блоках;

. Замораживание тестовых заготовок сразу после формования;

. Замораживание тестовых заготовок после расстойки;

. Замораживание изделий после частичной или полной выпечки.

Применение замораживания дает значительные преимущества как «производителям» полуфабрикатов, так и их «потребителям» (магазинам, предприятиям общественного питания, домохозяйкам).

«Производители» освобождаются от необходимости каждый день производить и доставлять «потребителям» весь ассортимент продукции, что позволяет оптимизировать производство, максимально сократить издержки за счет потерь времени и образования брака при переходах с сорта на сорт. Позволяет оптимизировать логистику и расширить географию поставок.

«Потребители» получают возможность при минимальных инвестициях в оборудование, производственные площади и персонал получать готовую выпечку быстро, стабильного качества и в широком ассортименте.

 

1.2.1 Требования к сырью

Прежде чем углубляться в технологию рассмотрим основные требования к сырью. В первую очередь на качество замороженных полуфабрикатов влияют качество муки и дрожжей.

Мука. В производстве замороженных полуфабрикатов лучше использовать муку с более высоким содержанием белка, чем обычно: примерно 12-14% или не менее 30% сырой клейковины - как принято у нас в стране. Также показатели ИДК должны быть не ниже 70. Амилазная активность средняя (ЧП = 250 - 300 с).

Дрожжи. Дрожжи лучше использовать прессованные. Максимально свежие - так как старые дрожжи хуже переносят замораживание и длительное хранение при низких температурах, ухудшают реологию теста, увеличивают расплываемость заготовок и выделяют мало газа при расстойке, придают неприятный запах готовым изделиям.

Соль. Лучше использовать соль марки экстра. Соль улучшает вкус, консистенцию и газоудерживающие свойства теста.

Сахар. Жир - в некоторых рецептурах например таких как багет - не используются. Тем не менее, их внесение в другие рецептуры благоприятно сказывается на реологии теста, сохранности заготовок при хранении и вкусовые качества продукта.

Клейковина. При замораживании происходит не только гибель дрожжей (потеря газообразования) но и повреждение клейковины (ухудшение газоудерживающих свойств теста), поэтому внесение клейковины благоприятно сказывается на стабильности хранения заготовок, возможном сроке хранения в заморозке и внешнем виде изделий.

Свежие яйца. За счет дополнительных эмульгирующих свойств - благоприятно сказываются на качестве изделий. Яичный порошок на качество влияет значительно меньше - в основном используется для вкуса.

Сухое молоко. Также источник белка, положительно влияющий на объем изделий, стабильность при хранении и скорость образования цвета корки - что важно в некоторых случаях.

Специализированные улучшители. Выбор улучшителя зависит от применяемой технологии и желаемого срока хранения изделий в заморозке.

По данным международного журнала «Food News Week» от 21 марта 2010 года [72] технологии замораживания тестовых полуфабрикатов и частично выпеченных изделий немногим отличается от предлагаемой компанией «Саф-Нева»[73], за исключением активного использования хлебопекарных улучшителей компании «Пуратос» и натуральных термоустойчивых заквасок.

В любой технологии замораживания, как правило, используется прямой ускоренный метод, с минимальным брожением теста. Следствием этого является недостаточное накопление вкусо-ароматических веществ. Помимо этого длительное хранение в морозильной камере также приводит к потере влаги, а вместе с ней и летучих ароматических молекул… также в заготовках протекают физико-химические процессы, приводящие к ухудшению вкуса и аромата хлеба. Таким образом, можно сделать вывод, что при всех своих достоинствах методика замораживания полуфабрикатов имеет существенный недостаток - изделия получаются менее вкусными и ароматными.

Компания «Пуратос», как мировой лидер в производстве натуральных заквасок, готовых к использованию, предлагает решение данной проблемы в виде широкой линейки натуральных заквасок объединенных брендом «Сапоре». Закваски производятся на современном оборудовании, из муки разных сортов и разных регионов, с применение штаммов бактерий характерных для различных уголков мира.

В настоящее время в России доступны к использованию несколько видов натуральных заквасок (табл. 1.1).

Таблица 1.1. Натуральные закваски "Сапоре"

Наименование

Дозировка, % к массе муки

Кислотность, град/100 мл

Характеристика

Область применения

Фиделио

1 - 10

90

Жидкая пастеризованная закваска на основе пшеничной муки

Пшеничные сорта, сдобные и слоеные изделия

Фигаро

2 - 6

200

Ржаная закваска, высушенная на барабанной сушилке с обжаркой

Ржаные, ржано-пшеничный сорта

Травиата

1 - 3

80

Ржаная закваска высушенная методом распылительной сушки

Пшеничные сорта хлеба, и сорта с небольшим содержанием ржаной муки

Риголетто

0,5 - 2

10

Пшеничная опара, высушенная методом распылительной сушки

Пшеничные сорта хлеба

После выбраживания до определенных условий, закваски пастеризуются или высушиваются разными способами, что дает в итоге широкую гамму цвета, вкуса и ароматов заквасок, а также технологических свойств. Закваски вносятся непосредственно при замесе теста, и не только позволяют получить великолепный вкус и аромат изделий, но и благоприятно влияют на реологические свойства теста и продлевают сохранение свежести выпеченных изделий.

По данным кандидата технологических наук Московского государственного университета пищевых производств Н. Лабутиной [41], одной из важнейших задач хлебопекарной отрасли России является выпуск высококачественных продуктов здорового питания и изделий, одновременно выполняющих лечебно-профилактические функции.

Технология приготовления хлебобулочных изделий на основе замороженных полуфабрикатов - относительно новая технология в хлебопечении. В последнее десятилетие в экономически развитых странах быстрое замораживание утвердилось как промышленный метод, обеспечивающий долгосрочное хранение замороженных полуфабрикатов хлебопекарного производства и готовых изделии из них. Широкое распространение получила технология хлебобулочных изделий из замороженных пшеничных полуфабрикатов.

Проблема повышения эффективности технологии хлеба на основе замороженных полуфабрикатов с использованием ржаной муки [42] обострилась ввиду того, что на многих хлебопекарных предприятиях возникла необходимость создания пополняющегося запаса тестовых заготовок в ассортименте, позволяющем гибко реагировать на запросы рынка и поставлять продукцию свежей к моменту реализации. Имеющиеся технологические решения не могут обеспечить необходимое качество полуфабрикатов и готовых изделий, приготовленных на их основе.

Природа и состав различных компонентов оказывают определенное воздействие как на процессы замораживания исходных полуфабрикатов, объем и состав жидкой фазы, количество незамерзающей влаги, область оптимальных температур структурообразования, так и на свойства и текстуру формируемых полуфабрикатов, их поведение в процессе хранения и размораживания, качество готового хлеба [44].

Криопротекторы - защищающие от переохлаждения вещества - используют благодаря их потенциальной возможности стабилизировать свойства тестовых заготовок во время хранения путем предотвращения или снижения денатурации белков, имеющей место во время хранения полуфабрикатов в замороженном виде. Основываясь на механизмах действия криопротекторов, обусловленных их химическим строением и функциональными свойствами, можно полагать, что использование криопротекторов как низкомолекулярной, так и высокомолекулярной природы, позволяет получить больший эффект, чем замораживание без них.

Жировые продукты широко используют в хлебопечении в качестве рецептурных ингредиентов для улучшения качества хлеба и реологических свойств теста. Известно, что жировые продукты - это не только источник энергии, но и ингредиенты, обладающие лечебно-профилактическими свойствами. Липиды являются носителями полиненасыщенных жирных кислот, жирорастворимых витаминов и каротиноидов, а также являются структурной частью клеток (мембран) и тканей, в том числе и нервных. Они способствуют синтезу в организме арахидоновой кислоты, которая регулирует работу печени, сердечно-сосудистой системы, нормализует уровень холестерина в крови и активизирует метаболические процессы.

Наукой установлена целесообразность создания композиций на основе натуральных, гидрогенизированных и фракционированных масел, способных обеспечить сочетание технологической и физиологической ценности жировых продуктов. Введение в рецептуру теста растительных масел, сбалансированных по жирно-кислотному составу, позволит повысить биологическую эффективность хлеба.

Установлено, что жировые продукты, внесенные в рецептуру замороженного пшеничного теста (до 3.5% к массе муки), не только стабилизируют реологические характеристики размораживаемых тестовых заготовок, но и выступают в качестве криопротектора для дрожжей.

Кроме того, криопротекторы имеют способность снижать энергетический барьер вращения отдельных звеньев макромолекул и обеспечивать молекулярной цепочке большую гибкость. Указанные изменения в процессе замораживания и размораживания системы были определены методом дифференциальной сканирующей микрокалориметрии.

В качестве криопротекторов использовали жировые продукты растительного происхождения: подсолнечное масло; смеси рапсового, пальмового, подсолнечного масел в соотношении 50:40:10: смеси рапсового, пальмового, подсолнечного масел в соотношении 50:40:10, после обработки в механохимическом активаторе.

Реологические свойства теста существенно зависят от дозировок криопротекторов. Использование жировых продуктов приводило к изменению реологических характеристик теста и, по-видимому, к снижению механодеструкции цепей высокомолекулярных соединений белков под действием динамических напряжений, возникающих при кристаллизации низкомолекулярного растворителя. Иными словами, криопротекторы являются действенным регуляторным фактором формирования структуры полуфабрикатов в результате низкотемпературного воздействия.

Основной целью, которую преследует технолог в процессе замораживания пищевых продуктов, является сохранение тестом способности проявлять рабочие свойства при низких температурах.

Весьма существенная роль в определении специфических свойств криопротекторов в процессе замораживания ржано-пшеничного теста принадлежит дозировке ингредиентов.

Технология производства хлебобулочных изделий из замороженных полуфабрикатов или отложенной выпечки в настоящее время активно развивается.

Появилась она в 30-е годы двадцатого века, когда хлебопеки впервые предприняли попытку охладить тесто. Но только через полвека эту технологию стали использовать для изготовления сдобных рецептур. Сегодня технология отложенной выпечки используется для изготовления различных видов изделий, как традиционных, так и оригинальных сортов.

По данным компании «Саф-Нева», входящей в холдинг «Lesaffre» [73], технология производства хлебобулочных изделий из замороженных полуфабрикатов включает в себя несколько способов приготовления самих полуфабрикатов и подготовки их к реализации, а так же «Саф-Нева» предоставляет список продуктов, наиболее подходящих для изготовления замороженных полуфабрикатов (рис.1.1).

Рис.1.1. Схема технологии отложенной выпечки

Вне зависимости от того, где расположена пекарня - в супермаркете, в булочной, кофейне - производитель может выбрать множество вариантов выпечки хлебобулочных изделий.

 


 

.2.2 Виды замороженных полуфабрикатов и их технологии

Для достижения успеха, -ООО «Русский Проект  Технология» <#"583501.files/image002.gif"> , (1)

где V - объем раствора гидроксида натрия, израсходованного на титрование;

К - поправочный коэффициент приведения используемого раствора гидроксида натрия к раствору точной молярной концентрации 0,1 моль/дм3 .

Определение титруемой кислотности полуфабрикатов. Титруемая кислотность полуфабрикатов характеризует суммарное содержание кислот и кислотреагирующих веществ как распавшиеся на тоны, так и недиссоциированных.

Титруемая кислотность полуфабриката определяют методом титрования (5 ± 0,01)г пробы отвешивают на технических весах. Навеску переносят в фарфоровую ступку и растирают с 50 см3 дистиллированной воды. Прибавляют 3-5 капель фенолфталеина 1% и титруют 0,1 моль/дм3 раствором гидроксида натрия до появления розовой окраски, не исчезающей в течении 1 минуты. Кислотность К, град, рассчитывается по формуле (1).

Определение влажности мякиша проводят по ГОСТ 21094 путем высушивания в сушильном шкафу СЭШ-1 (или других марок) при определенных условиях и выражают в процентах.

Определение влажности хлеба и хлебобулочных изделий массой более 0,2 кг осуществляется следующим образом: лабораторный образец разрезают поперек на две приблизительно равные части и от одной части отрезают ломоть толщиной 1-3 см, отделяют мякиш от корок на расстоянии около 1 см, удаляют все включения (изюм, повидло, орехи и др., кроме мака). Масса выделенной пробы должна быть не менее 20 г.

Подготовленную пробу быстро и тщательно измельчают ножом, теркой или механическим измельчителем, перемешивают и тотчас же взвешивают в заранее просушенных и тарированных металлических чашечках с крышками две навески, по 5 г каждая, с погрешностью не более 0,05 г. Навески в открытых чашечках с подложенными под дно крышками помещают в сушильный шкаф. В шкафах марок СЭШ-1 и СЭШ-ЗМ навески высушивают при температуре 130°С в течение 45 мин с момента загрузки до момента выгрузки чашечек. Продолжительность понижения и повышения температуры до 130°С после загрузки сушильного шкафа не должна быть более 20 мин. Высушивание проводят при полной загрузке шкафа.

Для более ровного высушивания навесок в сушильном шкафу марки СЭШ-1 в процессе сушки производят двух- , трехкратный поворот диска с чашечками, в шкафу марки СЭШ-ЗМ диск вращается автоматически с включением основного нагрева.

Допускается высушивать навески в электрошкафах других марок. При этом навески в открытых чашечках с подложенными под дно крышками помещают в предварительно нагретый шкаф и сушат в течение 40 мин при температуре 130° С.

Температура 130° С с момента загрузки чашечек в сушильный шкаф должна быть достигнута в течение не более 10 мин.

После высушивания чашечки вынимают, закрывают крышками и переносят в эксикатор для охлаждения. Продолжительность охлаждения не должна быть менее 20 мин и более 2 ч. После охлаждения чашечки взвешивают.

Определение влажности хлебобулочных изделий массой 0,2 кг и менее осуществляется следующим образом: из середины отобранного лабораторного образца вырезают ломти толщиной 3-5 см, отделяют мякиш от корок и удаляют все включения (изюм, повидло, орехи, и др., кроме мака). Масса выделенной пробы должна быть не менее 20 г.

Изделия, влажность которых определяют вместе с корочкой (например, ржаные лепешки, майская лепешка и т. п.), разрезают на четыре примерно равные части (сектора), затем выделяют одну часть от каждого лабораторного образца и удаляют все включения (кроме мака). Масса выделенной пробы должна быть не менее 50 г.

Далее влажность определяют как описано ранее.

Влажность (W) в процентах вычисляют по формуле (2).

, (2)

где m1 - масса чашечки с навеской до высушивания, г;2 - масса чашечки с навеской после высушивания, г;- масса навески изделия, г.

За окончательный результат принимают среднее арифметическое результатов двух параллельных определений. Допускаемые расхождения между результатами параллельных определений влажности в одной лаборатории, а также между результатами одновременных определений влажности лабораторных образцов, отобранных из одной и той же средней пробы в разных лабораториях, не должны превышать 1%.

Определение пористости хлеба по ГОСТ 5669-96. Под пористостью хлеба подразумевают отношение общего объема пор мякиша, к общему объему хлебного мякиша выраженного в процентах. Пористость хлеба с учетом ее структуры (величины пор, однородности, толщины стенок) характеризует важное свойство хлеба - его усвояемость. Хлеб с хорошей тонкостенной пористостью быстрее пропитывается желудочным соком и лучше усваивается.

Из куска мякиша на расстоянии не менее 1 см от корок делают выемки цилиндром Журавлева, для чего острый край цилиндра, предварительно смазанный растительным маслом, вводят вращательным движением в мякиш куска. Заполненный мякишем цилиндр укладывают на лоток так, чтобы ободок его плотно входил в прорезь, имеющую на лотке. Затем хлебный мякиш выталкивают из цилиндра втулкой, примерно на 1 см, и срезают его края цилиндра острым ножом. Отрезанный кусочек мякиша удаляют. Оставшийся в цилиндре мякиш выталкивают втулкой до стенки лотка и также отрезают у края цилиндра. Для определения пористости пшеничного хлеба делают три цилиндрических выемки.

Пористость (П), в %, вычисляют по формуле(3).

, (3)

где V - общий объем выемок хлеба, см3масса выемок, г;

ρ- плотность беспористой массы мякиша, ρ=1,31

Определение величины упёка. Определяется разность между массой тестовой заготовки перед посадкой в печь и массой вышедшего из печиготового горячего изделия, выраженная в % к массе заготовки (4).

=100*, (4)

где Муп- величина упека,%;

Мтз- масса тестовой заготовки, кг;

Мгхп - масса горячего хлеба, кг.

Определение КМАФАнМ. Для микробиологических исследований использовалась следующая аппаратура, материалы и реактивы:

-        Весы лабораторные 2-го класса точности;

-        Термостат, поддерживающий температуру 37 оС;

-        Установка титровальная для определения кислотности, а также реактивы: 1 % фенолфталеин и 0,1 н NaOH;

-        Петля бактериологическая;

-        Чашки Петри по ГОСТу 25336;

-        Колбы вместимостью 250, 500 см3 2-го класса точности ГОСТу ;

-        Пробирки типов П1 диаметров 16 мм, высотой 150 мм по ГОСТу 25336;

-        Спирт этиловый ректифицированный по ГОСТу 5962, 96 %-ный раствор;

-        Физиологический раствор;

-        Среды питательные синтетические для культивирования микроорганизмов :МПА и Сабуро.

КМАФАнМ определяли ГОСТ 10444.15-94. Метод определения количества мезофильных аэробных и факультативно-анаэробных микроорганизмов посевом в агаризованные питательные среды основан на высеве продукта или разведения навески продукта в питательную среду, инкубировании посевов, подсчете всех выросших видимых колоний.

Метод определения НВЧ мезофильных аэробных и факультативно-анаэробных микроорганизмов основан на высеве продукта и (или) разведений навески продукта в жидкую питательную среду, инкубировании посевов, учете видимых признаков роста микроорганизмов, пересеве, при необходимости, культуральной жидкости на агаризованные питательные среды для подтверждения роста микроорганизмов, подсчете их количества с помощью таблицы НВЧ. Из навески продукта готовят исходное и ряд десятикратных разведений по ГОСТ 26669 так, чтобы можно было определить в продукте предполагаемое количество мезофильных аэробных и факультативно-анаэробных микроорганизмов или количество, указанное в нормативно-технической документации на конкретный продукт. При определении количества мезофильных аэробных и факультативно-анаэробных микроорганизмов посевом в агаризованные питательные среды из продукта и (или) из каждого соответствующего разведения по 1 куб. см высевают в две параллельные чашки Петри. Посевы заливают по ГОСТ 26670 одной из агаризованных сред по п. 5.2. Если ожидают ползучий рост микроорганизмов из родов Bacillus или Proteus, посевы заливают по ГОСТ 26670 вторым слоем питательной среды или голодного агара (приблизительно 4 куб. см). При определении количества мезофильных аэробных и факультативно-анаэробных микроорганизмов по методу НВЧ высевают три последовательные навески продукта и (или) его разведения, отличающиеся по количеству высеваемого продукта в 10 раз.

Каждую навеску продукта и (или) его разведения в трехкратной повторности высевают в колбы или пробирки с одной из жидких питательных сред. Соотношение между количеством высеваемого продукта или его разведением и количеством питательной среды от 1:5 до 1:7. Посевы инкубируют при температуре (30 +/- 1) °C в течение (72 +/- 3) ч в аэробных условиях. После инкубирования посевов подсчитывают количество колоний, выросших на чашках Петри. Для подсчета отбирают чашки Петри, на которых выросло от 15 до 300 колоний. В жидких питательных средах отмечают наличие или отсутствие видимых признаков роста (газообразование, появление мути, осадок). Если рост микроорганизмов в жидких питательных средах выражен недостаточно четко, то проводят микроскопирование посевов методом раздавленной или висячей капли с одновременным подтверждением возможности роста микроорганизмов путем пересева культуральной жидкости по ГОСТ 26670 внутрь или на одну из агаризованных сред. При установлении промышленной стерильности полных консервов, при выяснении причин возникновения их дефектов, если нет специальных указаний в нормативно-технической документации, устанавливают морфологию выросших микроорганизмов. При необходимости, из колоний готовят мазки, окрашивают по Граму (по ГОСТ 10444.3) и микроскопируют, определяют наличие каталазы (по ГОСТ 10444.3)

Определение дрожжей и плесневых грибов. При определении количества дрожжей и плесневых грибов руководствовались ГОСТ 10444.12-88. Из подготовленной пробы продукта и (или) его разведения отбирают навеску объемом (1±0,1) см3.

Продукт и (или) его разведения высевают по ГОСТ 26670 параллельно в две чашки Петри. Посевы заливают расплавленной и охлажденной до температуры (45±1) 0С средой. Параллельно с этим заливают чашку А Петри 15-20 см3 среды для проверки ее стерильности.

Допускается при установлении промышленной стерильности консервов и при выявлении возбудителей порчи в продуктах по 2,0 см3 исследуемого материала высевать параллельно в две пробирки с 5 см3 жидкого солодового сусла.

Посевы термостатируют при температуре |24±1) 0С в течение 5 сут. посевы на чашках Петри термостатируют дном вверх.

Через 3 сут термостатирования проводят предварительный учет типичных колоний или появления характерных признаков роста па ж паки ч питательных средах.

Если в посевах на агаризованных средах присутствуют мукоровые, очень быстро растущие грибы, то снятие предварительных результатов необходимо проводить очень осторожно, не допуская того, чтобы споры этих грибов осыпались и дали рост вторичных колоний. Через 5 сут проводят окончательный учет результатов термостатирования посевов. Колонии дрожжей и плесневых грибов разделяют визуально.

Рост дрожжей на агаризованных средах сопровождается образованием крупных, выпуклых, блестящих, серовато-белых колоний с гладкой поверхностью и ровным краем. Развитие дрожжей в жидкой среде сопровождается появлением мути, запаха брожения и газа.

Развитие плесневых грибов на питательных средах сопровождается появлением мицелия различной окраски.

Для количественного подсчета отбирают чашки, на которых выросло от 15 до 150 колоний дрожжей и (или) от 5 до 50 колоний плесневых грибов.

При необходимости для разделения колоний дрожжей и плесневых грибов проводят микроскопические исследования. Для этого из отдельных колоний или из посевов на жидкую среду готовят препараты методом раздавленной капли. На предметное стекло наносят каплю стерильной водопроводной воды. Затем в эту каплю прокаленной иглой вносится часть колонии или петлей наносят каплю культуральной жидкости. Полученная суспензия покрывается покровным стеклом. Результаты микроскопирования оценивают, пользуясь характеристикой дрожжей и плесневых грибов, указанной в приложении к ГОСТу.

 

.ЭКСПЕРИМЕНТАЛЬНАЯ ЧАСТЬ


3.1 Схема опыта и технологические расчёты


В современных условиях одним из основных направлений решения проблемы продовольственной безопасности является производство хлебобулочных изделий длительного хранения. Технологии хлебобулочных изделий на основе замораживания полуфабрикатов включают: замораживание тестовых заготовок после разделки и формовки; тестовых заготовок после расстойки; производство замороженных полуфабрикатов высокой степени готовности (75% выпечки); замораживание готовых изделий после выпечки.

Схема исследований приведена в таблице 3.1.

Таблица 3.1. Схема опыта: «Холодная интенсивная технология с различными температурными режимами»

Варианты опыта

Температура брожения теста,0С

Продолжительность брожения, ч

Окончательная расстойка, мин, 0С

№1 с улучшителем интенсивный замес в течении 8 мин

 18-20

 0,5

70-90 32-350

№2

 6-7

 72

Предварит.расстойка 40 Окончат.расстойка 40 32-350

№3

 6-7

 96

Предварит.расстойка 40 Окончат.расстойка 40 32-350

№4

  -18

  168(7 суток)

Дефростация 40 При комнатной t0 Окончат.расстойка40-45 32-350

№5

  -18

  336(14 суток)

Дефростация 40 При комнатной t0 Окончат.расстойка40-45 32-350

В ходе маркетинговых исследований установлено, что высокозначимыми критериями для потребителей при покупке хлеба является свежесть и качество (70% респондентов).

Большинство респондентов (56,1%) положительно относятся к использованию в хлебопекарном производстве улучшителей, 22,5% покупателей относятся к этому негативно и 21,4% - безразлично.

Установлено положительное отношение потребителей к замороженным хлебобулочным изделиям - 45% опрошенных респондентов, из них 13,3% замораживают хлеб, который не успевают употреблять (рисунок 3.1).

Рисунок 3.1. Отношение респондентов к замороженным хлебобулочным изделиям (%)

Объектом исследований было сдобное хлебобулочное изделие из пшеничной муки высшего сорта, приготовленное по методике пробной лабораторной выпечки.

Технологические расчеты произведены также в соответствии с методикой пробной лабораторной выпечки.

Для проведения выпечки требуется:

вода питьевая по ГОСТ 2874;

соль поваренная пищевая по ГОСТ 13830;

дрожжи хлебопекарные прессованные по ГОСТ 171 с подъемной силой не более 70 мин;

температура воды не должна превышать 45єС;

влажность теста из муки высшего сорта 43,5 %.

Количества вносимой в тесто воды определяется, исходя из влажности всех компонентов рецептуры. Для этого вначале определили влажность муки методом обезвоживания навески в сушильном шкафу СЭШ-3М. Влажность дрожжевой суспензии и соли стандартная - 93,75 % и 5 % соответственно.

Методика расчета массы сухих веществ и влаги в сырье (5).

с.в. = (5)

где Gс - масса сырья, кг;- содержание сухих веществ в сырье, %

Количество муки общей - 1000 г. Дрожжи хлебопекарные прессованные используют в виде дрожжевой суспензии (6).

др.сусп. =  (6)

где С - масса прессованных дрожжей, кг;

х - количество частей воды, приходящее на 1 часть дрожжей.

Соотношение дрожжей и воды в дрожжевой суспензии 1:3, т.е. х=3.др.сусп. =г,

т.е. получается 30 г. дрожжей и 90 г. воды в дрожжевой суспензии.

Влажность дрожжевой суспензии рассчитывают по формуле (7).др.сусп. = (7)

где Gдр.- масса прессованных дрожжей, г;др. - влажность прессованных дрожжей, %;в - масса воды в дрожжевой суспензии, г; Wв - влажность воды, %.др.сусп. =

Затем рассчитываем массу соли, г.:с = г.

замороженный полуфабрикат хлеб пшеничный

Таблица 3.2. Расход сырья на замес теста

Наименование сырья

Количество сырья, г

Влажность сырья, %

Содержание СВ в сырье, %

Масса, г





Сухих веществ

влаги

Мука пшеничная хлебопекарная

1000,0

14,5

85,5

1710

290

Дрожжевая суспензия

50

93,75

6,25

6,25

93,75

Соль

10

5,0

95,0

19

1

Сахар-песок

260

0,15

99,85

519,2

0,8

Маргарин столовый

150

84,0

16,0

48

252

Молоко

150

100

-

-

300

Яйцо

130

75

25

65

195

Ванилин

0,25

5

95

0,47

0,03

Итого

1750,25

-

-

2367,9

1132,6

Вода

190,5

100,0

-

-

381,3

Всего (теста)

1940,75

39,0

61,0

2367,9

1513,9


Выход теста, г:

Вт =

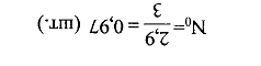
Проверяем влажность теста, %:т =

3.2 Технологический процесс


Замес теста для образца №1с хлебопекарным улучшителем “Olimpia soft” производили на тестомесильной машине «LABOMIX 1000».

Рисунок 3.2. Лабораторная тестомесильная машина"LABOMIX 1000"

Далее брожение теста в расстойном шкафу при температуре 30 -32єС и относительной влажности воздуха 85 %, две обминки через 60 и 120 мин от начала брожения.

Выбродившее тесто разделили на 2 равных по массе куска и поместили их на смазанный подсолнечным маслом противень.

После окончания расстойки тестовые заготовки отправляем в печь: продолжительность выпечки подового хлеба 30 - 35 мин.

Выпечку тестовых заготовок проводили в лабораторной хлебопекарной печи « UNOX XF 135» (рис.3.3) при температуре 1800 С.

Полученное готовое изделие по результатам физико-химических анализов и органолептической оценке является контрольным.

Рисунок 3.3. Конвекционная печь UNOX XF 135

Для остальных образцов тесто замешивалось вручную (рис.3.4).

Рисунок 3.4.Замес теста

Далее вся масса теста делилась на 4 части (рис.3.5). Две части хранились в холодильнике при температуре +6-7оС 72 и 96 часов (рис.3.6), а оставшиеся 2 хранились в морозильной камере (рис.3.7) при температуре -18-20оС 7 и 14 суток соответственно.

Рисунок 3.5. Деление тестовой массы на части

Рисунок 3.6. Хранение полуфабрикатов в холодильной камере при температуре +6…+8оС

Рисунок 3.7. Хранение тестовых полуфабрикатов в морозильной камере при температуре -18…-20 оС

Полученные результаты физико-химического анализа представлены в таблицу 3.3.

Таблица 3.3. Физико-химические показатели качества теста и готовой продукции

Варианты опыта

Масса тестовых заготовок до выпечки

Масса хлеба после выпечки

Упек, %

Кислотность теста, град

Кислотность хлеба, град

Влажность мякиша,%

Пористость,%

№1

228

209

8

1,19

0,68

29

46

№2

231

214

7

1,87

0,85

31

57

№3

510

485

5

3,91

2,21

35

64

№4

500

470

6,4

1,64

1,32

37

63

№5

520

495

4,8

2

1,87

36

64


Из таблицы 5 видно, что упёк образцов №4 и 5 (рис.3.8), которые были заморожены в морозильной камере, меньше, чем у образцов №2 и 3 (рис. 3.9),

Рисунок 3.8. Образцы №4(слева) и №5(справа)

Рисунок 3.9. Образцы №2(слева) и №3(справа)

которые хранились в холодильной камере и гораздо меньше, чем у образца №1 (рис. 3.10), который является контрольным.

Рисунок 3.10. Образец №1(контроль)

Влажность мякиша образцов №4 и 5 так же выше, чем у остальных. Эти два параметра тесно связаны между собой и их высокое значение у образцов №4 и 5 объясняется тем, что при замораживании при температуре -18…-20 0С влага, содержащаяся в тестовых заготовках, не испаряется, а переходит в твёрдое агрегатное состояние, то есть появляются кристаллики льда. У образцов №2 и 3, которые хранились при температуре +6…+8оС, влага постепенно испарялась из тестовых заготовок, что в конечном итоге привело к увеличению упёка, а, следовательно, и к потере влажности мякиша готовых изделий.

Нельзя не заметить кислотность образца №3 (рис. 3.11), которая ярко выделяется на фоне остальных образцов. Органолептическая оценка этого образца тоже оставляет желать лучшего, также как и микробиологическая безопасность. В связи с этим можно сделать вывод о том, что хранение тестового полуфабриката в холодильной камере при температуре +6…+80С более 72 часов (3-е суток) не целесообразно и приводит к ухудшению потребительских свойств готового изделия.

Рисунок 3.11. Образец №3

При хранении более 72 часов у полуфабриката появляется резкий запах, что свидетельствует о том, что начался процесс порчи.

При балльной оценке учитывали следующие показатели качества хлеба: объем формового хлеба, формоустойчивость подового хлеба, окраску корок, состояние поверхности корки, цвет мякиша, структуру пористости, реологические свойства мякиша, аромат, вкус, разжевываемость мякиша.

Результаты органолептической оценки качества готовой продукции представлены в табл. 3.4.

Таблица 3.4. Органолептическая оценка качества готовой продукции с учётом коэффициента весомости

Показатель качества хлеба

№1

№2

№3

№4

№5

Окраска корок

4 - 4

4 - 4

3 - 3

5 - 5

5 - 5

Состояние поверхности корки

4 - 4

5 - 5

3 - 3

5 - 5

5 - 5

Цвет мякиша

4 - 8

5 - 7,5

3 - 5

5 - 7,5

5 - 7,5

Структура пористости

3 - 4,5

5 - 7,5

3 - 5

5 - 7,5

5 - 7,5

Реологические свойства мякиша

4 - 10

4 - 10

2- 5

4 - 10

5 - 12,5

Аромат хлеба

4 - 10

5 - 12,5

2 - 5

5 - 12,5

5 - 12,5

Вкус

4 - 10

4 - 10

2 - 5

5 - 12,5

5 - 12,5

Разжёвываемость мякиша

4 - 4

5 - 5

3 - 3

4 - 4

5 - 5

Итого:

54,5

61,5

34

64

67,5


Рисунок 3.12. Результаты органолептической оценки

При бактериологическом анализе образцов теста готовили разведение 10-1 и 10-3 физиологическом растворе.

Для этого 1 грамм теста растворяли в 9 мл физ. Растворе, затем 0,1 разведение переносим в 10 мл физ.раствора. После из каждого разведения 0,1 газоном засевали на 2 чашки с МПА и Сабуро, тем самым получаем конечное разведение на чашках 10-1 и 10-3 соответственно посевы инкубировали в термостате 24-48 часа. Результаты учитывали по подсчетам количества колоний, выросших на чашках (табл.3.5).

Таблица 3.5. Результаты микробиологического исследования теста

  №

Образцы

Разведение 10-2

Разведение 10-4



Дрожжи/ Плесень Требования СанПиН 2.3.2.1078

КМАФАнМ, КОЕ/ г Требования СанПиН 2.3.2.1078

Дрожжи/ Плесень Требования СанПиН 2.3.2.1078

КМАФАнМ, КОЕ/ г Требования СанПиН 2.3.2.1078

1

Образец с улучшителем

17/-

100

-/-

1

2

Хранение при t 6-70С,72 часа

25/1

200

-/-

2

3

Образец хранения при t 6-70С,96часов

Сплошной рост/сплошной рост

Сплошной рост

-/-

10

4

Хранение при t 18-200С,7 суток

48/-

141

-/-

1

5

Хранение при t 18-200С,14 суток

50/-

Сливной рост 150

-/-

1


При бактериологическом анализе готового продукта из одного грамма хлеба аналогичным образом готовим разведение 10-1 и 10-3 на физ.растворе.

Из разведения 10-1делали высевы на МПА и Сабуро 1 и 0,1 мл получая конечные разведения 10-1и10-2 на чашки Петри, а из разведения 10-3 высевали 0,1, получали разведение 10-4. Учет результатов аналогично.

Из таблиц видно, что количество мезофильных аэробных и факультативно анаэробных микроорганизмов, а так же плесневых и дрожжевых грибов в полуфабрикатах и в готовой продукции не превышает пределы, установленные СанПиН. Однако количество плесневых и дрожжевых грибов в образцах теста №4 и 5 значительно выше, чем у образца №2 и контрольного образца. Следовательно, дрожжи при температуре -18…-20оС снижают свою активность, но не погибают. Это значит, что при разморозке полуфабриката процесс брожения продолжается без каких-либо внешних катализаторов.

Таблица 3.6. Результаты микробиологического исследования готового продукта

Образцы

Разведение 10-1

Разведение 10-2

Разведение 10-4



Дрожжи/ Плесень Требования СанПиН 2.3.2.1078

КМАФАнМ, КОЕ/ г Требования СанПиН 2.3.2.1078

 

Дрожжи/ Плесень Требования СанПиН 2.3.2.1078

КМАФАнМ, КОЕ/ г Требования СанПиН 2.3.2.1078

1

Образец с улучшителем

-/-

7

-

1

80

2

Хранение при t 6-70С,72 часа

-/-

10

-

1

100

3

Образец хранения при t 6-70С,96часов

-/-

26

-

1

200

4

Хранение при t 18-200С,7 суток

-/-

10

-

1

90

5

Хранение при t 18-200С,14 суток

-/-

14

-

1

110


Количество дрожжевых и плесневых грибов (рис.3.13) в готовом продукте (табл. 3.6), близко к нулю, так как при тепловой обработке, в процессе выпечки изделия, они погибают. Следует выделить образец №3, в котором количество дрожжевых и плесневых грибов, а так же количество мезофильных аэробных и факультативно анаэробных микроорганизмов значительно выше, чем у остальных образцов, что свидетельствует о том, что при хранении полуфабриката при температуре +6…+80С более 72 часов активно развивается вредная и патогенная микрофлора. Это в конечном итоге может привести к нежелательным последствиям.

Рисунок 3.13. Колонии плесневых и дрожжевых грибов

Изученные технологии позволяют наиболее выгодно спланировать производство, поддерживать стабильность качества готовых изделий и реализовывать их в свежем виде. Результаты исследования подтверждают, что сдобные хлебобулочные изделия произведённые по «холодной интенсивной технологии не уступают по качеству традиционной технологии, и даже имеют более выраженный вкус и аромат.

 

. Расчет экономической эффективности производства хлеба пшеничного из замороженных полуфабрикатов


В рыночной экономике решающим фактором коммерческого успеха является эффективность хозяйственной деятельности предприятия. Эффективность основной деятельности предприятия связана с оптимальным управлением затратами производства, объемами продаж и ценами реализации.

Эффективность производства - соотношение между полученными результатами производства - продукцией и услугами, с одной стороны, и затратами труда и средств производства - с другой. Является важнейшим качественным показателем экономики, ее технического оснащения и квалификации труда. Сопоставление затрат и результатов используется в практике управления фирмами, предприятиями и другими хозяйствующими субъектами. Основными показателями эффективности производства являются: производительность труда; капиталоемкость единицы ВВП или конкретных видов продукции; фондоотдача единицы основных фондов; материалоемкость единицы ВВП или конкретных видов продукции; соотношение экстенсивных и интенсивных факторов в приросте ВВП; конкурентоспособность выпускаемой продукции; срок окупаемости затрат и др.

Показатель экономической эффективности дает представление о том, какой ценой предприятие получает прибыль.

Показатели экономической эффективности характеризуют эффективность работы предприятия в целом, доходность различных направлений деятельности, т.е. производственной, предпринимательской, инвестиционной. Они более полно, чем прибыль, характеризуют окончательные результаты хозяйствования, поэтому их величина показывает соотношение эффекта с наличными или использованными ресурсами. Показатели экономической эффективности служат не только для оценки деятельности предприятия, но и как инструмент в инвестиционной политике и ценообразовании.

Так как производственное помещение и оборудование на предприятии уже имеется в наличие стоимость их приобретения не рассчитываем.

.        Рассчитаем показатели трудоёмкости

Трудоёмкость представляет собой затраты времени на единицу или весь объём изготовленной продукции.

Техническая трудоёмкость продукции по формуле (8).

t = Кс*Ч/О, (8)

где: Кс - продолжительность смены, ч.

Ч - численность рабочих, чел.

О - объём произведенной продукции, кг.

Рассчитаем трудоемкость продукции по базовому и экспериментальному вариантам:= 8*10000/8350=0,17 чел/час.

. Расчет себестоимости по калькуляционным статьям.

Себестоимость - все издержки (затраты), понесённые предприятием на производство и реализацию (продажу) продукции или услуги.При определении себестоимости единицы продукции применяется калькуляция статей.

.1 Сырьё и основные материалы (9).

Со = ∑Сi*Ki, (9)

где Со - стоимость сырья, руб.;

Сi - стоимость i-го вида сырья, руб. за кг;i - норма расхода i-го вида сырья на 1 кг продукции.

Таблица 4.1. Затраты на производство хлеба пшеничного из замороженных полуфабрикатов

Виды продукции

Показатели


1т. продукции, тыс. руб.

всего, тыс. руб.

Мука пшеничная хлебопекарная сорта, кг

0,75

6,26

Соль поваренная пищевая, кг

0,05

0,38

Сахар-песок, кг

0,36

3,04

Молоко

0,21

1,75

Дрожжевая суспензия

3,03

25,26

Маргарин столовый

0,21

1,75

Яйцо

0,21

1,74

Ванилин,г

0,03

0,21

Вода, кг

0,14

1,15

Итого затрат

4,97

41,54


Из таблицы видно, что затраты на сырье и материалы составят 4,97 тыс. руб.

Затраты на весь объем продукции будут равны определяются произведением стоимости израсходованного сырья на объем производства. Таким образом общие затраты на сырье будут равняя:

,97*8350=41,54 тыс. руб.

.2.Стоимость вспомогательных материалов принимаем равным 10% от стоимости сырья и основных материалов Св= 0,1С

Св=4,97*0,1=0,497руб.

.3.Стоимость энергоносителей.

Затраты на оплату электроэнергии определяются как произведение расхода электроэнергии (Сэ) на тарифную стоимость 1 кВт - час. электроэнергии, в свою очередь (10)

Сэ = Wi*t, (10)

где Wi - установленная мощность электродвигателя,- время для производства 1 кг продукции.

Сэ1=220*0,2+ 220*0,015=4,7 руб.

.4 Заработная плата - денежная компенсация, которую работник получает в обмен за свой труд (11).

Зп =Ч*Зсм*12/Q, (11)

где Ч - численность производственно-промышленного персонала;

Зсм - среднемесячная зарплата;годовойобъём производства.

Зп1= 4,19 руб.

.5 Единый социальный налог 34,28%:

,19 * 0,3428 = 1,44руб.

.6 Амортизационные отчисления - средства в виде денег, направляемых на ремонт или строительство, изготовление новых основных средств. Сумма амортизационных отчислений включается в издержки производства (себестоимость) продукции и тем самым переходит в цену.

Сумма амортизационных отчислений равна:

Ра = 0,014

.7 Содержание и текущий ремонт оборудования:

Рж = 0,003

.8 Стоимость тары принимается в размере 0,5% от стоимости сырья и материалов:

Ст= 4,19*0,005 = 0,03руб.

.9. Прочие расходы связанны с осуществлением предпринимательской деятельности. К ним относятся расходы на рекламу, на сертификацию продукции, расходы на оплату консультационных и юридических услуг и т.д.

Пр=26руб.

.10 Себестоимость 1 кг продукции (12).

С = Со в + Сэ + Рз + Нз/п + Ра + Рж + Т, (12)

С1=18,05 руб.

. Выручка от реализации продукции определяется как произведение цены на объём производства (13).

Вр=Ц*Q, (13)

Вр=18*5350=150,3 тыс.руб.

. Общая себестоимость определяется произведением себестоимости одногокилограмма произведенной продукции на объем производства (14).

Собщ.=С*Q, (14)

Собщ=132,56 тыс.руб.

. Прибыль - это один из наиболее важных показателей финансовых результатов хозяйственной деятельности предприятия и предпринимателей. Прибыли определяется как разница между выручкой от продаж и общей себестоимостью продукции (15).

П=Вробщ., (15)

П = 150,3- 132,56 = 17,74тыс.руб.

.        Чистая прибыльопределяется (16).

ЧП=П-Нп, (16)

где Нп- налог на прибыль.

ЧП = 13,48тыс.руб.

7. Уровень рентабельноститорговых предприятий на практике обычно определяется отношением прибыли к выручке. Он показывает, сколько процентов составляет прибыль в товарообороте. Данный показатель выражается в процентах (17).

Ур = П/Собщ.*100% (17)

Ур=13,38%

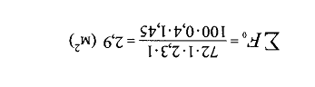
. Определение точки безубыточности (18).

= Пост. затр./ (Ц-Перем. затр.), (18)

где Пост. затр - постоянные затраты на весь объем,

Ц - цена за единицу,

Перем.затр. - переменные затраты на единицу.

К постоянным затратам относят те, которые не зависят от объёма производства. Переменные затраты - те, которые завися от объёма производства.1 = 5771 кг,

Точка безубыточности в денежном выражении - такая минимальная величина дохода, при которой полностью окупаются все издержки.

Таблица 4.2. Показатели экономической эффективности производства хлеба пшеничного из замороженных полуфабрикатов

Показатели

Значение

Затраты на 1 кг продукции, руб.

15,88

Затраты, всего, тыс.руб.

132,56

Потери при хранении, кг, в т.ч. естественная убыль

0,18

Количество реализованной продукции, кг

8350

Трудоёмкость, чел.-час.

0,15

Цена реализации, руб./кг.

18

Выручка от реализации, тыс. руб.

150,3

Прибыль, тыс. руб.

17,74

Чистая прибыль, тыс. руб.

13,48

Уровень рентабельности, %

Точка безубыточности ,кг.

5771

Из проведенного анализа видно, что затраты на производство 1 кг хлеба пшеничного из замороженных полуфабрикатов составляют 15,88руб., а общие затраты на производство объёма продукции составят132,56тыс. руб. Выручка от продаж и прибыль составляет соответственно 150,3 и 17,74тыс. руб. Рентабельность производства при этом составит 13,38% Доля потерь сокращается до 0,18кг. Для сравнения, затраты на производство 1 кг хлеба пшеничного из муки 1-го сорта составляют 21,65 руб., а общие затраты на производство объёма продукции составят 292,89 тыс. руб. Выручка от продаж и прибыль составляет соответственно 334 и 41,11тыс. руб. Рентабельность производства при этом составит 14,04% (табл. 4.3).

Таблица 4.3. Показатели экономической эффективности производства пшеничного хлеба 1-го сорта

Показатели

Значение показателя

Затраты на 1 кг продукции, руб.

21,65

Затраты, всего, тыс.руб.

292,89

Количество реализованной продукции, тонн

8350

Трудоёмкость, чел/час.

0,39

Цена реализации, руб./кг.

25

Выручка от реализации, тыс. руб.

334

Прибыль, тыс. руб.

41,11

Чистая прибыль, тыс. руб.

31,24

Уровень рентабельности, %

14,04

Точка безубыточности, кг.

5327

 

Из таблиц видно, что себестоимость 1 кг пшеничного хлеба из замороженных полуфабрикатов ниже, чем себестоимость 1 кг пшеничного хлеба при традиционном способе выпечки. Однако при одинаковом объеме выпускаемой продукции прибыль от реализации пшеничного хлеба по традиционной технологии гораздо больше, всвязи с чем и точка безубыточности предприятия меньше. Это и обуславливает более высокий уровень рентабельности традиционной технологии по сравнению с «интенсивной холодной технологией».

5. ЭКОЛОГИЯ


5.1 Краткая характеристика антропогенного влияния хлебопекарного участка


Место выполнения дипломной работы - ФГБОУ ВПО "Саратовский

государственный аграрный университет имени Н. И. Вавилова", кафедра "Технология хранения и переработки продукции растениеводства".

Поскольку место выполнения дипломной работы является не промышленное предприятие, а научно-исследовательская лаборатория, не занимающаяся производством какой-либо продукции в промышленных масштабах, поэтому отходы от ее деятельности невелики.

Научно-исследовательская лаборатория кафедры "Технология хранения и переработки продукции растениеводства" представляет собой помещение, состоящее из одной комнаты, общей площадью 73 м2 (табл.1 приложение 1). Лаборатория оснащена необходимым оборудованием - лабораторными столами, химической посудой, расположенной в шкафах и приборами, необходимыми для проведения опытов. В ней имеется сушильный шкаф, для высушивания различных объектов, электронные весы НВ-400, а для проведения более точных измерений аналитические весы.

Для мытья грязной химической посуды и других нужд в лаборатории имеется мойка, для хранения сухих рассыпчатых веществ - шкаф.

В ходе проведения дипломных исследований мной было использовано следующее оборудование: сушильный шкаф, электронные и аналитические весы.

Уровень выброса загрязняющих веществ допускается не выше установленных норм по ПДК, ПДС, БПК.

Вся деятельность предприятия проходит в соответствии с Законом РФ «Об охране окружающей среды» от 2007 года.

 

5.2 Характеристика источников выбросов в атмосферу


Данные занесены в таблицу 2 и 3 (приложение 2 и 3 )

у

Количество вредных веществ в воздухе лаборатории не превышает норм, установленных ГОСТ 12.1.005-88. Испаряясь, в воздух лаборатории могут попадать вредные для человека химические вещества (бензол, кислоты, щелочи). Во избежание этого все химические реактивы хранятся в герметически закрытой посуде.

Залповых, аварийных выбросов и условий, при которых они возможны, в лаборатории нет.

Концентрация загрязняющих веществ в воздухе не превышает предельно допустимых значений.

Вывод: на основании анализа таблицы 2 можно заключить, что фактическая концентрация вредных веществ не превышает ПДК.

Согласно СанПиН 2.2.1/2.1.1.1200-03 санитарно-защитная зона для данного производства составляет 50 м.

Жилые здания в санитарно-защитной зоне отсутствуют. Ближайшие жилые дома находятся на расстоянии более 150 м в северо-западном направлении от предприятия.

Метеорологические характеристики региона учитываются при определении выбора территории предприятия по отношению к жилым массивам населенного пункта. Они способствуют рассеиванию загрязнителей и восстановлению естественного состояния приземного слоя воздуха на территории предприятия.

 

5.3 Характеристика технологической воды


Источником водоснабжения лаборатории является городская водопроводная сеть.

Вода расходуется на приготовление химических реактивов, на мытье лабораторной посуды и инструментов, на хозяйственно-бытовые нужды и противопожарные цели.

Вода поступает в соответствии с договором из «Водоканала» и соответствует качеству «Вода питьевая» - ГОСТ-2874-82. Использование воды представлено в таблице 4 приложение 4.

Загрязненные воды после мойки оборудования, других технологических операций, а также бытовые стоки отводятся в канализацию.

Лимит воды определён по договорным обязательствам.

Характеристика сточных вод приведена в таблице 5 приложение 5.

Сточные воды образуются при мытье лабораторной посуды и уборке помещения. Загрязнены они в основном моющими средствами и жидкими бытовыми отходами. Сточные воды поступают в городскую канализационную сеть без какой-либо предварительной очистки.

 

5.4 Характеристика твёрдых отходов


Данные о твердых отходах, получаемых в лаборатории, сводим в таблицу 6 приложение 6.

Для временного сбора и хранения твердых бытовых отходов установлены контейнеры. Площадка для контейнеров забетонирована.

В результате работы предприятия образуются отходы основного производства:

Вывоз отходов осуществляется согласно договорам. Воздействие объекта на атмосферный воздух является допустимым, приземные концентрации по выбрасываемым в атмосферу веществам не превышают ПДК населенных мест.

Бытовые и производственные стоки перекачиваются на очистные сооружения МП "Водоканал", что исключает загрязнение водного бассейна.

 

5.5 Характеристика экологической безопасности сырья и продукции


Экологически безопасное питание - основная проблема населения, что обязывает при проектировании предприятий общественного питания соблюдать определённые мероприятия технологического и организационного характера.

Здоровье человека зависит от использования экологически чистых продуктов питания. Получают данные продукты при соблюдении технологии выращивания, хранения и переработки для потребления, и при оценке качества отвечают параметрам органолептического, токсикологического исследования технологии подготовки.

Предприятия-поставщики сельскохозяйственного сырья, продуктов по долгосрочным договорам с организациями общественного питания обязаны соблюдать технологии по выращиванию и получению продуктов без применения ядохимикатов, стимуляторов роста, белково-витаминных добавок, трансгенных продуктов.

Приготовление продуктов к потреблению на предприятиях общественного питания исключает загрязнение их веществами, влияющими на здоровье человека. Оборудование, инвентарь и посуда, которые применяются при обработке сырья должны быть выполнены из нержавеющей стали или материалов не разрушающихся в процессе использования. Особое внимание следует уделять при использовании моющих веществ. Мытьё посуды и оборудования и т.д. проводится с использованием 2%-го раствора кальцинированной соды или щёлочи. Дезинфицирующие вещества применяют только при санитарной обработке помещений.

6. Безопасность жизнедеятельности

Жизнедеятельность - это повседневная деятельность и отдых, способ существования человека.

Безопасность - это состояние деятельности, при которой с определенной вероятностью исключено проявление опасностей.

Безопасность - это цель, а безопасность жизнедеятельности - средства, пути, методы ее достижения.

Безопасность жизнедеятельности - наука о комфортном и безопасном взаимодействии человека с техносферой. Поэтому основная ее цель - защита человека от негативных воздействий антропогенного и естественного происхождения и достижение нормальных условий жизнедеятельности.

БЖД - неотъемлемая составная и общеобразовательная часть подготовки всесторонне развитой личности. БЖД изучает общие опасности, угрожающие каждому человеку и разрабатывает соответствующие способы защиты от лиц в любых условиях обитания человека. БЖД - не решает специальных проблем безопасности, это идеи специальных дисциплин, но БЖД обеспечивает общую грамотность в области безопасности это научно- методический фундамент для всех без исключения специальных дисциплин безопасности.

БЖД изучает и решает вопросы безопасного взаимодействия человека со средой обитания (производственная, бытовая, городская, природная) и вопросы защиты от негативных опасных факторов чрезвычайных ситуаций.

Человек, освоивший БЖД, надежно защищен от опасностей, не навредит другому, способен грамотно действовать в условии опасности.

6.1 Правовые и организационные вопросы

Правовые основы охраны труда имеют иерархическое строение. Это значит: требования верхних уровней должны учитываться в последующих звеньях.

Важнейшие положения по охране труда закреплены в конституции Российской Федерации, “Основах законодательства Российской Федерации о труде”, “Строительных нормах и правилах”.

Конституция Российской Федерации принята всенародным голосованием 12 декабря 1993 года. Статья 37

1.       Труд свободен. Каждый имеет право свободно распоряжаться своими способностями к труду, выбирать род деятельности и профессию.

2.       Принудительный труд запрещен.

3.       Каждый имеет право на труд в условиях, отвечающих требованиям безопасности и гигиены, на вознаграждение за труд без какой бы то ни было дискриминации и не ниже установленного федеральным законом минимального размера оплаты труда, а также право на защиту от безработицы.

Признается право на индивидуальные и коллективные трудовые споры с использованием установленных федеральным законом способов их разрешения, включая право на забастовку.

Каждый имеет право на отдых. Работающему по трудовому договору гарантируются установленные федеральным законом продолжительность рабочего времени, выходные и праздничные дни, оплачиваемый ежегодный отпуск.

Трудовой кодекс Российской Федерации регулирует трудовые отношения всех работников, содействуя росту производительности труда, улучшению качества работы, повышению эффективности общественного производства и подъему на этой основе материального и культурного уровня жизни трудящихся, укреплению трудовой дисциплины и постепенному превращению труда на благо общества в первую жизненную потребность каждого трудоспособного человека. Трудовой Кодекс РФ устанавливает высокий уровень условий труда, всемирную охрану трудовых прав работников.

Режим труда и отдыха.

Труд подростков моложе 18 лет строго используется в соответствии с действующим законодательством.

Своевременное обеспечение рабочих спецодеждой, спецобувью, средствами индивидуальной защиты, организование стирки, замена при износе не по вине работающих.

Выделение средств на подготовку кадров и повышение квалификации.

Ежегодный основной отпуск для рабочих предоставлять продолжительностью 25 рабочих дней.

Отпуск без содержания заработной платы по желанию работника предоставить в обязательном порядке, женщинам по уходу за ребенком до достижении трех летнего возраста.

Оказывание работникам материальную помощь в случае необходимости: длительная болезнь, рождение ребенка, юбилеи, свадьба, похороны и т. д.

Систематизированное изложение норм безопасности приводится в ССБТ. ССБТ - это комплекс взаимосвязанных стандартов, направленных на обеспечение безопасности труда, задачей которого является установление общих требований и норм по видам опасных и вредных производственных факторов, общих требований к производственному оборудованию и производственным процессом, требований к средствам защиты работающих и методов оценки безопасности труда.

Правила и нормы конкретизируют требования безопасности. На основании правил и норм разрабатываются инструкции по охране труда, обязательные для рабочих и служащих, устанавливающие правила выполнения работ и поведения в производственных помещениях и на строительных площадках.

Локальные нормы трудового законодательства содержатся в коллективных договорах, соглашениях, контрактах и других документах. Вопросы безопасности отражаются и в других документах, например, в регламентах.

В настоящее время разрабатывается Закон РФ “Об охране труда”. Введен в действие с 29 мая 1991 года Закон РФ “О санитарно- эпидемиологическом благополучии населения”.

На административно-технический персонал предприятия возлагаются обязанности по обеспечению безопасности в соответствии с должностным положением.

Организация охраны труда на предприятии складывается из следующих видов работ: разработка перспективных и текущих планов по дальнейшему улучшению и оздоровлению условий труда и закрепление их в коллективных договорах; обеспечение работающих спецодеждой, спецобувью, защитными приспособлениями, спецмылом, питьевой водой и др.; систематическая проверка выполнения плановых и внеплановых мероприятий по охране труда; создание комиссий по приемке в эксплуатацию новых цехов и участков. Сюда же относится: инструктирование и обучение работающих безопасным приемам труда; разработка и утверждение инструкций; организация пропаганды охраны труда, обучения и периодической аттестации административно-технического персонала; повседневного технадзора за соблюдением работающими требований охраны труда и технологической дисциплины; предварительного и периодического осмотра лиц, принимаемых на определенные виды работ; расследование и анализ случаев производственного травматизма и профессиональных заболеваний; ведение документации и составление отчетности.

Надзор и контроль за соблюдением законодательства об охране труда.

В соответствии с “Основами законодательства Российской Федерации о труде” надзор и контроль за соблюдением правил по охране труда осуществляют специально уполномоченные на то государственные органы и инспекции, не зависящие в своей деятельности.

6.2 Производственная санитария и гигиена труда


Загрязнение атмосферы. Основные вещества, загрязняющие атмосферу, делят на две группы - газы и твердые частицы. При этом газы составляют 90%, а твердые частицы 10% от общей массы загрязнений.

Основным источником загрязнения атмосферы являются природные и производственно-бытовые процессы. Природные - пыльные или черные бури, вулканические извержения, космическая пыль и т. п.; искусственные - теплоэлектростанции (выбрасывают сернистый и углекислый газ), металлургические предприятия (выбрасывают окислы азота, сероводород, сероуглерод, хлор, фтор, аммиак, соединения фосфора, ртуть, мышьяк), химические, цементные заводы и другие промышленные предприятия.

Основным документом, регламентирующим деятельность по охране воздушного бассейна, является закон Российской Федерации “Об охране атмосферного воздуха”.

Для уменьшения загрязненности воздуха промышленными выбросами применяют химические и физические методы очистки. С этой целью используют различные устройства, работающие по принципам инерционной сепарации, фильтрации через пористые материалы, мокрой очистки, электростатического осаждения пыли и т. д. Для рассеивания вредных веществ в атмосфере и снижения концентрации до уровня ПДК применяют высокие трубы (до 300м). Применение высоких труб не сокращает количества вредных выбросов.

Все более актуальной становится проблема защиты атмосферного воздуха от выхлопных газов автомобилей и реактивных самолетов. Одним из мероприятий по санитарной охране атмосферного воздуха является устройство санитарно-защитных зон, которыми жилые застройки отделяют от предприятий и сооружений. Ширина санитарно-защитных зон меняется от 50 до 1000 м в зависимости от вида и мощности производства. ГОСТ 12.0.002-80 - производственная санитария. Это система организованных мероприятий и технических средств, предотвращающих или уменьшающих воздействие на работающих вредных производственных факторов.

Гигиена труда - изучает трудовую деятельность, разрабатывает методы и нормативы, направленные на здоровье труда.

Микроклимат - метеорологические условия, комплекс физических факторов внешней среды, оказывающих влияние на терморегуляцию организма (табл. 6.1).

Таблица 6.1 - Микроклимат в лаборатории

Период года

Температура воздуха, °С

Влажность воздуха, %

Скорость движения воздуха,'м/с

Холодный

19

56

0,2

Теплый

21

50

0,2


Измерения показателей микроклимата проводят не менее 3 раз в Освещение.

Лаборатория состоит из двух смежных комнат, общей площадью 72 м2. Высота помещения 3,5 м. Имеется 3 больших окна, высота которых составляет 2 м, длина 3 м. Следовательно, площадь одного окна составляет 6 м. Это естественное освещение. Общее количество светильников 14 штук, тип ЛБ-40. В каждом светильнике имеется 2 лампы, каждая мощностью 80 Ватт. Высота подвеса отсутствуют, светильники прикреплены к потолку.

Шум и вибрация.

Шум - одна из форм физического загрязнения окружающей среды, адаптация организмов к которому практически невозможна. В настоящее время шум рассматривается как серьезная опасность и необходимо предусматривать мероприятия по борьбе с ним.

Шум характеризуется уровнем давления и частотой. Чем больше уровень давления, тем значительней физиологический отрицательный эффект.

Защита от шума осуществляется несколькими путями:

а)       снижение шума в источнике;

б)      создание шумозащитных экранов в виде зданий, создающих акустическую тень внутри микрорайонов;

в)      применений растений в виде живых изгородей и др.

Вибрация высокой интенсивности при продолжительном воздействии приводит к серьезным изменениям деятельности всех систем организма и при определенных условиях может вызвать тяжелое заболевание. При небольшой интенсивности и длительности воздействия вибрация может быть полезна, уменьшает утомляемость, повышает обмен веществ, увеличивает мышечную силу.

В нашем случае в лаборатории шум и вибрация отсутствует.

Средства индивидуальной защиты.

Для защиты работников от опасных и вредных производственных факторов имеется наличие спецодежды (халаты, безрукавки, фартуки); спецобуви (сапоги, галоши). Для предохранения лица и глаз от брызг различного металла применяют очки. В качестве средств для защиты рук выдаются перчатки, а для органов дыхания применяют противогазы и фильтрующие респираторы.

В лаборатории имеются респираторы, т.к. работа ведется с различными кислотами. Каждый работник снабжен халатами, очками. Имеются аптечки.

 

6.3 Техника безопасности


Правила техники безопасности:

Работу в лаборатории нужно выполнять в халатах из хлопчатобумажной ткани, застегивающихся спереди.

Все опыты с концентрированными кислотами, щелочами, газообразными веществами, органическими^растворителями (спиртом, ацетоном, бензином, и др.) производить под тягой.

Запрещается набирать кислоты и другие агрессивные жидкости в пипетку ртом, в этом случае следует использовать резиновую грушу или градуированные шприцы и бюретки.

Запрещается выливать в раковину крепкие кислоты, щелочи, органические растворители, ртуть и ее соединения, сильно пахнущие вещества. Их собирают в отдельную посуду с надписью.

При нагревании пробирок с растворами их следует держать специальными держателями открытым концом от себя и от стоящих рядом людей. Не пользоваться пробирками с трещинами.

При работе с химическими веществами запрещается пробовать их на вкус.

Запрещается оставлять без присмотра включенные электроприборы и газ.

Работа на центрифуге, аппарате для электрофореза и другом лабораторном оборудовании разрешается после детального ознакомления с техническим описанием его и инструкций по эксплуатации. Следует обеспечивать безопасное хранение и транспортировку сильнодействующих реактивов.

В рабочих помещениях должны соблюдаться чистота, запрещается хранить верхнюю одежду. принимать пищу.

Во время работы лаборант должен работать с чистой посудой, так как от этого зависит результат анализа, содержать в чистоте и экономично расходовать реактивы.

Содержать в порядке и чистоте весы и разновески. Разновески нельзя брать руками, для этого необходим пинцет.

Запрещается перегружать весы сверх допускаемой нагрузки.

После окончания работы лаборант обязан убрать рабочее место, все реактивы убрать в шкаф, кислоты и щелочи в вытяжной шкаф. Вентиляцию и свет в лаборатории выключить после окончания работы.

В установленные сроки проводят медицинское свидетельствование сотрудников, работающих во вредных условиях труда.

Первая помощь при несчастных случаях.

При попадании на кожу щелочи обожженное место обильно промывают 2% раствором уксусной или борной кислоты.

Меры безопасности при утечке газа и тушении локального пожара и горячей одежды.

При обнаружении запаха газа необходимо отключить газовую магистраль, электроприборы и тщательно проверить лабораторию. Категорически запрещается пользоваться спичками и включать электрический свет.

При возникновении пожара нужно быстро убрать все горючие вещества подальше от места возгорания, отключить газовую магистраль, все электроприборы и прекратить активный доступ воздуха в лабораторию.

Пламя следует тушить песком или противопожарным одеялом. Тушение пожара водой может привести к расширению очага пожара. В случае более обширной площади возгорания следует пользоваться огнетушителем.

Если на ком-либо загорится одежда, необходимо плотно накрыть загоревшуюся ткань противопожарным одеялом. При возгорании одежды нельзя бежать, так как это способствует распространению пламени.

6.4 Противопожарная профилактика

Пожары наносят значительный ущерб народному хозяйству и могут быть причиной гибели людей. Защита промышленных предприятий и других

объектов от пожаров представляет серьезную инженерную задачу, связанную с осуществлением комплекса профилактических мероприятий [].

В зависимости от степени пожарной опасности объекты народного хозяйства охраняют военизированные и профессиональные пожарные части, а также пожарно-сторои:езая охрана.

Ответственность за соблюдение противопожарного режима и своевременное выполнение профилактических мероприятий возлагается на руководителя предприятия и начальников соответствующих объектов. Руководитель предприятия приказом назначает пожарно-техническую комиссию (ПТК, в состав которой входят главный инженер (председатель), начальник пожарной охраны, энергетик, технолог, механик, инженер по технике безопасности и другие специалисты.

Задачами ПТК являются разработка мероприятий по устранению недостатков в пожарной профилактике, содействие органам пожарного надзора и организация разъяснительной работы среди персонала предприятия.

В соответствии с действующим положением на промышленных предприятиях создаются добровольные пожарные дружины. Все трудящиеся при поступлении на работу проходят вводный и первичный инструктаж о мерах пожарной безопасности по утвержденной программе с соответствующей регистрацией.

Задачи, которые решает пожарная безопасность, можно разделить на 4 группы:

1)      профилактика, т.е. предупреждение пожаров;

2)      локализация, т.е. ограничение масштабов возникших пожаров;

3)      защита людей и материальных ценностей от огня;

4)      тушение пожара.

Пожаро- и взрывопредупреждение по существу основано на

соблюдении двух условий:

а)       предотвращение образование горючей и взрывоопасной среды;

б)      исключение источников, способных воспламенить среду.

В лаборатории пожаров и взрывов за последние 3-4 года не наблюдалось.

При возникновении пожара диспетчер сообщает в пожарную часть по телефону “01” и оповещает руководящий состав АТП, в вечернее время директору по домашнему телефону. Предприятие имеет в наличие огнетушители, пожарные ведра, ящики с песком и пожарным инструментом: топорами, ломами, расположенных на пожарных щитах. Для тушения электроустановок и электропроводов, находившиеся под напряжением, применяют углекислые огнетушители. Имеются в наличии пожарные водопроводы, которые объединены с хозяйственно-питьевыми и производственными водопроводами.

Правила поведения и действий при пожаре:

)        не входить в зону задымления, если видимость менее 10 м;

)        прежде чем войти в горящее помещение, закрыться с головой мокрым покрывалом, полотенцем, куском плотной ткани;

)        дверь в задымленное помещение открывать осторожно, чтобы избежать вспышки пламени от быстрого притока свежего воздуха;

)        в сильно задымленном помещении двигаться ползком, или пригнувшись;

)        для защиты от угарного газа дышать через увлажненную ткань;

)        если загорелась одежда, ложиться на землю, перекатываться, бежать нельзя;

)        эвакуация людей из горящих зданий (выход людей на улицу в безопасное место через окна и двери).

 

6.5 Расчет естественного освещения


Естественного освещения обеспечивается наличием окон (боковое освещение), благодаря которым солнечные лучи проникают внутрь помещения.

Естественное освещение нормируется коэффициентом естественной освещенности (КЕО), который представляет собой выраженное в процентах отражение фактической освещенности в какой-либо точки помещения к освещенности рассеянным светом небосвода точки, лежащей на открытой местности.

Расчет сводится к определению суммарной площади световых проемов. Суммарную площадь световых проемов, F0, м2, по коэффициенту естественной освещенности для боковых проемов определяют по формуле(19).

(19)

где Fn - площадь пола, м2;

lmin минимальная величина коэффициента естественной освещенности;

ƞ0- световая характеристика окна;

К - коэффициент, учитывающий затенение окон соседними зданиями;

τ - общий коэффициент светопропускания оконного проема с учетом его загрязнения;1 - коэффициент, учитывающий повышение освещенности за счет света отраженного от стен и потолков.

Количество световых проемов (окон), N0, штук, определяют по формуле (20).

(20)

где F0 - площадь окна по ГОСТ, м2.

Лаборатория длиной 12 м, шириной 6 м, высота от пола до потолка 3,5 м, Все коэффициенты, используемые в формуле (8.1) берутся из таблиц (lmin=l; ƞ0=2,3; К=1; τ =0,4; r1=l,45). Площадь окна по ГОСТ 3 м2.

Суммарную площадь световых проемом определяют по формуле

Количество световых проемов (окон) определяют по формуле (8.2):

Принимаем один световой проем (окно).

Выводы и предложения к производству

1.  Маркетинговыми исследованиями установлено положительное отношение потребителей к замороженным хлебобулочным изделиям (45%) и применению пищевых добавок - улучшителей при производстве хлеба (56,1%).

2. Оптимизированы параметры приготовления теста: температура - 20°С, продолжительность брожения - 20 мин., обеспечивающие улучшение качества хлеба. Установлено, что хранение полуфабрикатов теста при температуре +6…+8оС более 72 часов не допустимо. Хранение тестовых полуфабрикатов при температуре -18…-20оС возможно и более 14 суток.

3.  Выявлено положительное влияние исследуемой технологии на формирование потребительских свойств хлеба, что подтверждает и балльная оценка органолептических показателей готовой продукции.

4.       Физико-химические показатели готовой продукции отличаются незначительно и соответствуют требованиям ГОСТ.

5.       Микробиологическая обсеменённость полуфабрикатов и готовой продукции находится в пределах нормы. Однако длительность хранения полуфабриката более трех суток при температуре +6-70С приводит к увеличению генетических бактерий и обсемененности, как полуфабриката, так и готового продукта, а так же к ухудшению органолептических свойств хлеба.

6.       При сравнении технологий было установлено, что интенсивная холодная технология приготовления хлеба является перспективной, легко исполняемой, выручка и прибыль обеспечивают высокий уровень рентабельности (13,38%), о чем свидетельствуют результаты расчёта экономической эффективности.

 

Список используемой литературы


1.       Андреева Л.В. Сравнительная эффективность методов пробной выпечки хлеба и его улучшителей в связи с селекцией пшеницы и хлебопечением/ Л.В. Андреева/ Автореферат. - Саратов. 2004. - 23 с.

.        Анникова Т.Ю. Функциональные ингредиенты для оптимизации производства хлебобулочных изделий/ Т.Ю. Анникова// Хлебопечение России. - 2001.-№5.-с. 22-23.

.        Апет Т.К. Хлеб и хлебобулочные изделия (технология приготовления, рецептура, выпечка)/ Т.К. Апет, З.Н. Пащук/ Спр. Пособие. - Минск: ООО «Попурри». 1997. - 320 с.

.        Ауэрман Л.Я. Технология хлебопекарного производства/ Л.Я. Ауэрман/ 8-е изд., перераб. и доп. - М.: Легкая и пищевая пром-сть, 1984. - 416 с.

.        Ауэрман Л.Я. Технология хлебопекарного производства/ Л.Я. Ауэрман/ 9-е изд., перераб. и доп. - СПб.: Профессия. 2002. -415 с.

.        Белибова Ю. Корректировка пшеничной муки ферментными препаратами/ Ю. Белибова, И.В. Матвеева// Хлебопродукты. - 2006. - №3. - с-52-55.

.        Белов С.В. Безопасность жизнедеятельности/ С.В. Белов/ М.: Высшая школа. 1999. - 448 с.

.        Булдаков А. Пищевые добавки/ А. Булдаков/ Справочник. - СПб.1996.

.        Вагина Л.М. Контроль качества хлебных изделий в торговле/ Л.М. Вагина/ М.: Экономика. 1982. -48 с.

.        Вершинина О.Л. Применение пищевых добавок в технологии хлебопечения/ О.Л. Вершинина, Н.Н. Корнен// Пищевая технология. - 200. - №5-6.- с 27-28.

.        Волков О.И. Экономика предприятия/ О.И. Волков, В.К. Скляренко/ М.: ИНФРА. 1999.

.        Волохова М.А. Методические указания к экономической части дипломных проектов студентов специальности 110305 - Технология производства и переработки сельскохозяйственной продукции/ М.А. Волохова, Е.М. Душевина/ Саратов: ФГОУ ВПО «Саратовский ГАУ». 2006. - 12 с.

.        Гатько Н.Н. Влияние органических кислот на процессы брожения дрожжевого теста и качество сдобных булочек/ Н.Н. Гатько, И.А. Сиверцева// Деп. науч. работы ВНИИТИ. 1989.

.        Гатько Н.Н. Влияние добавок на качество хлебобулочных изделий/ Н.Н. Гатько// Пищевая технология. - 2004. - №5-6. -с 37-39.

.        Гигиенические требования к качеству и безопасности продовольственного сырья и пищевых продуктов. СанПиН 2.3.2.560-96. М., 1997. - 269 с.

16.     Гордеев А.В. Экономика предприятия пищевой промышленности/ А.В. Гордеев, О.А. Масленникова, С.В. Донскова, Н.К. Долгушкин, А.Х. Заверюхина, Е.В. Ульянов/ Учебник, 2-е изд., испр. и доп. - М.: Агроконсалт. 2003.

.        Горячева А.Ф., Кузьминский Р.В. Сохранение свежести хлеба/А.Ф. Горячева// Легкая и пищевая промышленность.- 1990.- №3.- С.61-70.

.        Гран Х. ситуация на рынке хлебопекарного производства в России и перспективы его развития/Х. Гран// Хлебопечение России.2009.№3.С.10-13

.        Донченко Л.В. Безопасность пищевого сырья и продуктов питания/ Л.В. Донченко, В.Д. Надыкта/ -М.: Пищевая промышленность. 1999.-352 с.

.        Дубровская Н.О. Оптимизация качества хлебобулочных изделий полученных с использованием нетрадиционного сырья/ Н.О. Дубровская, Л.П. Нилова, Н.В. Науменко// Вестник Южно-Уральского государственного университете. Серия «Экономика и менеджмент». - 2007. - Вып. 4 - №27. - с. 70-75.

.        Егорова А.Г.Сохранение качества хлебобулочных изделий замораживанием/ А.Г. Егорова/. Никольский В.В., Александрова Е.П.- М.: ЦНИИТЭИпищепром,1972.- 336 с.

.        Зельман Г.С. Технология замораживания хлебобулочных и мучных кондитерских изделий/ Зельман Г.С. , Ильинская Т.Н.// Пищевая промышленность.1969.№2.С. 51-55.

.        Илюхин В,Д. Замораживание хлебобулочных изделий сжиженными газами/ Илюхин В,Д., Н.А. Александрова, Ю.П. Ермаков, В.Н. Зайцева. - М.: ЦНИИТЭИпищепром,1974.- 250 с.

.        Санина Т.В. Повышение пищевой ценности хлебобулочных изделий массового потребления/ Санина, Т.В., Пономарева, Е.И Воропаева О.Н// Хлебопечение России - №10 -2006. С. 70-71.

.        Дубровская Н.О. Разработка рецептуры и технологии хлебобулочных изделий, обогащенных рябиновым порошком/ Н.О. Дубровская/ Автореферат. - СПб. 2009.

.        Дубровская Н.О. Экономическая целесообразность использования нетрадиционного сырья в хлебопекарном производстве/ Н.О. Дубровская// Организационно-экономические проблемы стабилизации и развития аграрного сектора экономики: сб. материалов научно-практической конференции, 2005. -Мичуринск: Изд-во ФГОУ ВПО МичГАУ, 2005. -Т. 1. - с. 126-130.

.        Дубцова Г.Н. Использование белковых продуктов пшеницы в пищевых производствах/ Г.Н. Дубцова, В.В. Колпакова, А.П. Нечаев/ М.: ЦНИИТЭИ хлебопродуктов. 1992.

.        Зверева Л.Ф. Технология хлебопекарного производства/ Л.Ф. Зверева/ 2-е изд., перераб. и доп.- М.: Пищевая промышленность. 1979. -304 с.

.        Зотов Б.И. Безопасность жизнедеятельности/ Б.И. Зотов, В.И. Курдюшов/ М.: Колос. 200. - 424 с.

.        Зотов Б.И. Проектирование и расчет средств обеспечения безопасности/ Б.И. Зотов, В.И. Курдюшов/ М.: Колос. - 1997. - 136 с.

.        Ингредиенты для улучшения качества хлебобулочных и мучных кондитерских изделий// Хлебопродукты. 2007 -№12. - с. 40-41.

.        Ким Л.В. Основы замораживания, хранения и размораживания хлебобулочных изделий/Л. В. Ким.- Воронеж: Изд-во ВГУ, 1984 - 95 с.

.        Клайд Е.С. Соевые белки в хлебопечении/ Е.С. Клайд// Пищевая промышленность. 2003. -№1. - с. 48-49.

.        Ковальская Л.П. Технология пищевых производств/ Л.П. Ковальская/ М.: Колос. 1999. - 752 с.

.        Колпакова В. Сухая пшеничная клейковина - эффективный улучшитель муки/ В. Колпакова, Т. Юдина// Хлебопродукты. - 2006. - №10. - с. 50-51.

.        Колупаева Т. Сохранение свежести хлеба и снижение крошковатости с пименением препарата «Новамил Л»/ Т. Колупаева, И. Матвеева// Хлебопродукты. - 2008. - №3. - с. 46-47.

.        Корнилов, И.И. Технология производства и переработки продукции растениеводства/ И.И. Корнилов, О.В. Лощинин/ учеб.-метод. пособие для студентов 4 курса специальности 110305 - «Технология производства и переработки сельскохозяйственной продукции» - Ч. 1. Саратов: ФГОУ ВПО «Саратовский ГАУ». 2007. - 136 с.

.        Косованов А.П. Правила организации и ведения технологического процесса на хлебопекарных предприятиях/ А.П. Косованов, Г.Ф. Дремучева, Р.Д. Поландова, Е.Н. Лукач, Л.Т. Волохова/ М.: ГОСНИИХП. 1999. - 215 с.

.        Краус С.В. Улучшитель - не просто часть рецептуры/ С.В. Краус// Хлебопродукты. - 2002. - №12. - с. 40-42.

.        Кузнецова С.В. Бакалейные, кондитерские, хлебобулочные товары (товароведение)/ С.В. Кузнецова, А.М. Новикова, Н.Т. Прохорова/ М.: Экономика. 1983. - 184 с.

.        Лабутина, Н.В. Технология производства хлебобулочных изделий из замороженных полуфабрикатов Текст. : монография / Н.В. Лабутина. -Смоленск: Универсум, 2004. 236 с. - 300 экз. - ISBN 5-88984-063-0.

.        Лабутина, Н.В. Ржано-пшеничный хлеб из замороженных полуфабрикатов Текст. / Н.В. Лабутина // Хлебопродукты. 2004. - № 12. - С.30-32.

.        Лабутина, Н.В. Повышение эффективности технологии хлебобулочных изделий из замороженных полуфабрикатов с использованием ржаной муки Текст. : дис. . докт. техн. наук / Н.В. Лабутина. Москва, 2004. -307 с.

.        Лабутина, Н.В. Оптимизация процесса замораживания-размораживания полуфабрикатов ржано-пшеничного хлеба Текст. / Н.В. Лабутина, C.B. Китаевская и др. // Известия вузов. Пищевая технология. - 2003. № 4. - С. 34-37.

.        Лабутина, Н.В. Совершенствование криотехнологии ржано-пшеничного хлеба Текст. / Н.В. Лабутина, C.B.Китаевская и др. // Известия вузов. Пищевая технология. 2003. - № 5-6. - С. 46-48.

.        Лабутина, Н.В. Оптимизация процесса «замораживание-дефростация» полуфабрикатов хлебопекарного производства Текст. / Н.В. Лабутина, C.B. Китаевская, O.A. Решетник // Известия вузов. Пищевая технология. - 2003.-№2-3.-С. 60-62.

.        Лабутина, Н.В. Влияние способа энергоподвода при выпечке на качество пшеничного хлеба Текст. / Н.В. Лабутина, Л.И. Пучкова, Ю.К. Губиев и др. // Хлебопекарная и кондитерская промышленность. 1982. - № 8. - С. 23-24.

.        Лабутина, Н.В. Влияние срока хранения на свойства замороженных ржаных заквасок Текст. / Н.В. Лабутина, В.Я. Черных, Т.В. Воронцова, A.A. Бочарников // Хлебопродукты. 2001. - № 1. - С. 20-22.

.        Лабутина, Н.В. Использование дифференциальной сканирующей микрокалориметрии при оптимизации соотношения ржаной и пшеничной муки в технологии замороженных полуфабрикатов

.        Текст. / H.B. Лабутина, А.Б. Свешников, O.A. Суворов // Известия вузов. Пищевая технология. 2006. - № 1. - С. 108 - 110.

.        Леонтьева Н.А. Комплексные пищевые добавки с лецитином для хлебопечения/ Н.А. Леонтьева// Хлебопечение России. - 2004. - №2. -с. 25-26.

.        Лисовенко А.Т. Процесс выпечки и тепловые режимы в современных хлебопекарных печах/ А.Т. Лисовенко/ М.: Пищ. пром-сть. 1976. - 214 с.

.        Малыш М.Н. Аграрная экономика/ М.Н. Малыш/ Учебник. СПб.: Издательство «Лань». 2002.

.        Матвеева И.В. Концепция корректировки качества муки на основе ферментных препаратов/ И.В. Матвеева, Ю. Белибова// Хлебопродукты. - 2006. - №12.- с. 43-44.

.        Матвеева И.В. Пищевые добавки и хлебопекарные улучшители в производстве мучных изделий/ И.В. Матвеева, И.Г. Белявская/ Учеб. Пособие. -М.: МГУПП. 2000. - 115 с.

.        Мелешкина Е. Пищевые добавки для муки/ Е. Мелешкина// Хлебопродукты. - 2005. -№12. -с. 34-35.

.        Немцова З.С. Основы хлебопечения/ З.С. Немцова/ М.: Агропромиздат.1986. - 278 с.

.        Нечаев А.П. Пищевые добавки/ А.П. Нечаев, А.А. Кочеткова, А.И. Зайцев/ М.: Колос. 2001. - 254 с.

.        Никофорова Г.А. Научно-технический прогресс в производстве пищевых добавок/ Г.А. Никофорова// Хранение и переработка сельхозсырья. -2004. - №6. - с. 22-25.

.        Пащенко Л.П. Технология хлебобулочных изделий/ Л.П. Пащенко, И.М. Жаркова/ М.: Колос. 2006. - 389 с.

.        Пащенко Л.П. Регулирование хлебопекарных свойств пшеничной муки с помощью продуктов переработки сои/ Л.П. Пащенко, И. Черемисина// Хлебопродукты. 2008. - №4. - с. 40-41.

.        Пучкова Л.И. Лабораторный практикум по технологии хлебопекарного производства/ Л.И. Пучкова/ 4-е изд., перераб. и доп. - СПб.: ГИОРД. 2004. - 264 с.

.        Пучкова Л.И. Хлебобулочные изделия/ Л.И. Пучкова/ Учеб.-метод. пос. -М.: МГУПП. 2000. - 59 с.

.        Побегай Т.В. Улучшители, хлебопекарные смеси/.Т.В. Побегай// Хлебопечение России. - 2003. - №3. - с. 34-35.

.        Поландова Р.Д. Рекомендации по улучшению качества хлеба из муки с пониженными хлебопекарными свойствами/ Р.Д. Поландова, А.И. Быстрова, Т.И. Шкваркина/ М.: АгроНИИТЭИММП. 1991. - 74 с.

.        Продукты пищевые. Информация для портебителя. Общие требования. ГОСТ 51074-97.

.        Производство хлеба, хлебобулочных и кондитерских изделий: Санитарные правила и нормы. - М.: Информационно-издательский центр Госкомсанэпиднадзора России. 1996. - 64 с.

.        Садыгова М.К. Методы улучшения качества хлебобулочных изделий/М.К. Садыгова, А.С. Алдаева// Материалы конференции по итогам научно-исследовательской и производственной работы студентов ФГОУ ВПО «СГАУ им. Н. И. Вавилова». 2007. - с. 301-302.

.        Сборник рецептур на хлебобулочные изделия, выработанные по государственным стандартам. - М.: ГОСНИИХП. - 1998. - 85 с.

.        Сборник технологических инструкции для производства хлебобулочных изделий. - М.: Прейскурантиздат. 1989. - 490 с.

.        Смертина Е.С. «Трибо» - комплексный хлебопекарный улучшитель на основе гречневой муки/ Е.С. Смертина, О.Г. Чижикова// Хлебопечение России. - 2002.- №2. - с. 22-23.

.        Фахретдинов Р. Влияние жировых улучшителей на свойства теста/ Р. Фахретдинов, И.В. Матвеева// Хлебопродукты. - 2006. - №1. - с. 46-48.

.        Фахретдинов Р. Хлебопекарные улучшители на жировой основе/ Р. Фахретдинов И.В. Матвеева// Хлебопродукты. - 2006. - №5. - с. 53-55.

.        Ферменты - многогранные улучшители муки// Хлебопродукты. - 2007. - №3. - с. 43-44.

.        Хлебобулочные изделия. Методы анализа. - М.: ИПК Издательство стандартов. 1996. - 107 с.

.        Хлебобулочные изделия. Технические условия. - М.: ИПК Издательство стандартов. 1998. -295 с.

.        Цыганова Т.Б. Справочное пособие по контролю за качеством хлебобулочных и макаронных изделий/ Т.Б. Цыганова, И.В. Матвеева И.М. Чекмезов/ Спр. пособие - М.: Росгосхлебинспекция. 1999. - 111 с.

.        Цыганова Т.Б. Технология хлебопекарного производства/ Т.Б. Цыганова/ Учеб. для нач. проф. образования. - М.: ПрофОбрИздат. 2002. - 432 с.

.        Черных В.Я. Регулирование состояния углеводно-амилазного комплекса хлебопекарной муки/ В.Я. Черных, М.Я. Ширшиков/ Учеб. пос. - М.: МГУПП. 2003. - 137 с.

.        Чижова К.Н. Справочник для работников лабораторий хлебопекарных предприятий/ К.Н. Чижова/ М.: Пищевая промышленность. 1978. - 192 с.

.        Шапошников И.И. оценка объёма и структуры производства хлебобулочных изделий в Российской Федерации/И.И. Шапошников/ М.: Хлебопечение России.2010.№1.С.22-25.

.        Шкрабак В.С. Безопасность жизнедеятельности в сельскохозяйственном производстве/ В.С. Шкрабак/ М.: Колос. 2002.

83.     <http://www.foodnewsweek.ru/>

.        <http://www.lesaffre.ru/>

.        <http://www.rp1990.ru/technology/>

Похожие работы на - Производство пшеничного хлеба из замороженных полуфабрикатов

 

Не нашли материал для своей работы?
Поможем написать уникальную работу
Без плагиата!
Без нейросетей!