Построение фазовых портретов динамических систем
МИНИСТЕРСТВО
ОБРАЗОВАНИЯ И НАУКИ, МОЛОДЕЖИ И СПОРТА УКРАИНЫ
ХАРЬКОВСКИЙ
НАЦИОНАЛЬНЫЙ ЭКОНОМИЧЕСКИЙ УНИВЕРСИТЕТ
Кафедра
экономической кибернетики
Дисциплина:
«Моделирование экономической динамики»
Лабораторная
работа№5
«Построение фазовых портретов динамических систем»
Выполнила студентка гр. 5-1
Факультета экономической информатики
Пимонова Г.В.
Проверила к.э.н., доцент
Чернова Н.Л.
Харьков, 2012
Цель: получение студентами навыков построения фазовых
портретов двумерных автономных динамических систем и анализа характера
устойчивости точек равновесия системы.
Вариант 13
определим
выражения для правых частей системы уравнений:
>
определим начальные условия:
> 
Фазовый портрет(совокупность всех фазовых траекторий
системы) будет иметь вид:
Рис. 1 Фазовый портрет системы 1
Попробуем изменить начальные условия:
Фазовый портрет примет следующий вид:
Рис. 2 Фазовый портрет системы 2
Классификация
состояний равновесия динамических систем второго порядка
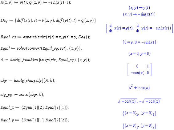
Определение правых частей автономной системы:
>
Определение автономной системы дифференциальных уравнений:
>
Получение уравнений равновесия (функция subst осуществляет подстановку
новых значений или переменных в указанное выражение):
>
Поиск координат точек равновесия (функция solve осуществляет поиск
решений заданной системы уравнений относительно заданных переменных, функция
convert преобразует массив выражений в систему уравнений):
> 
Вычисление матрицы линеаризации системы (функция jacobian из пакета
линейной алгебры linalg вычисляет Якобиан векторной функции, в данном случае
матрицу устойчивости для заданной системы):
>
Вычисление характеристического многочлена (вычисление проведено в символьном
виде):
>
Вычисление корней характеристического многочлена - собственных чисел
матрицы А в символьном виде:
>
Выделение из множества равновесий их координаты:
>
>
Вычисление собственных чисел матрицы устойчивости для обеих точек
равновесия подстановкой в выражения для собственных чисел - eig_eq - значений
координат точек равновесия (функция simplify обеспечивает максимально возможное
упрощение получаемых выражений):
> 
Построение фазового портрета системы Лотки - Вольтерра:
>
>
Рис. 3 Глобальный фазовый портрет системы Лотки -
Вольтерра 1
Корни - чисто мнимые числа. Соответственно состояние
равновесия - центр.
Изменим условие:
>
Рис. 43 Глобальный фазовый портрет системы Лотки -
Вольтерра 2
динамический система матрица равновесие
На фазовом портрете центр с точкой устойчивости (0;0).
Вывод: получены навыки построения фазовых портретов
двумерных автономных динамических систем и анализа характера устойчивости точек
равновесия системы.