Исследование методов решения систем дифференциальных уравнений с постоянными коэффициентами
ФЕДЕРАЛЬНОЕ АГЕНТСТВО ПО ОБРАЗОВАНИЮ
Государственное образовательное
учреждение высшего профессионального образования
«НАЦИОНАЛЬНЫЙ ИССЛЕДОВАТЕЛЬСКИЙ
ТОМСКИЙ ПОЛИТЕХНИЧЕСКИЙ УНИВЕРСИТЕТ»
Институт Кибернетики
Кафедра Прикладной математики
Курсовая работа
по дисциплине «Дифференциальные
уравнения»
на тему:
ИССЛЕДОВАНИЕ МЕТОДОВ РЕШЕНИЯ СИСТЕМ
ДИФФЕРЕНЦИАЛЬНЫХ УРАВНЕНИЙ С ПОСТОЯННЫМИ КОЭФФИЦИЕНТАМИ
Выполнил
Студент группы 8Б80 - Шпак Ю.К.
Проверил - Козловских А.В.
Томск 2011
Введение
Рассмотрим систему линейных дифференциальных уравнений первого порядка с
постоянной матрицей, записанной в виде:
(1)
где
коэффициенты ai,j - постоянные вещественные величины (i, j =
1, 2, …n), а функции yi(t) - неизвестные
функции переменной t.
Если
все функции bi(t)≡0, где (i = 1, 2, …n),
то система (1) является однородной системой линейных дифференциальных
уравнений.
(2)
Запишем
систему (1) в матричной форме, обозначая матрицу системы за A, а
вектор свободных функций B =
, тогда
система (1) примет вид:
(3)
Если
B=0, то запишем соответствующую систему однородных
уравнений
(4)
1. Понятие
решения
Всякая совокупность n
функций


определенных
и непрерывно дифференцируемых в интервале (a;b),
называется решением системы (1) в этом интервале, если она обращает все
уравнения системы (1) в тождества:

справедливые
при всех значениях x из интервала (a,b).
Общее решение неоднородной системы представляет собой сумму общего решения
соответствующей однородной системы и частного решения неоднородной.
2.
Постановка задачи
Цель работы: Исследование методов решения системы дифференциальных
уравнений с постоянной матрицей:
Задание:
Дана матрица А системы (1) и вектор начальных условий В
В точке t0=0
1. Найти собственные числа и построить фундаментальную систему
решений (ФСР)
2. Построить фундаментальную матрицу методом Эйлера
. Найти приближенное решение в виде матричного ряда
. Построить общее решение матричным методом. Исследовать
зависимость Жордановой формы матрицы А от ее собственных чисел
. Решить задачу Коши
. Найти координаты особых точек и определить их тип
. Проинтегрировав численно не линейную систему в MATLAB, построить фазовый портрет
Нелинейная система:
dx/dt =x2 - y
dy/dt = cos(x)
3.
Нахождение собственных чисел и построение ФСР
матрица эйлер коши matlab
Запишем однородную систему линейных дифференциальных уравнений:
Если
в матрице системы
все
=const,
то данная система называется системой с постоянными коэффициентами или с
постоянной матрицей.
Фундаментальной
системой решений однородной линейной системы уравнений называется n линейно
независимых решений этой системы.
Для
построения фундаментальной системы решений дифференциального уравнения
необходимо найти собственные числа характеристического полинома, так как в
зависимости от их вида (характеристические числа могут быть действительными
разными, кратными, комплексными) строится фундаментальная система решений.
Для
того чтобы эта система n линейных однородных уравнений с n неизвестными имела
нетривиальное решение, необходимо и достаточно, чтобы определитель системы был
равен нулю:
(5)
Из этого уравнения степени n определяется значение λ, при которых система имеет
нетривиальные решения. Уравнение (5) называется характеристическим.
Запишем характеристический полином, для этого воспользуемся формулой для
его вычисления DET(A-λE)=0, где А - исходная матрица, Е -
еденичная матрица:
Получили полином четвертого порядка, следовательно, корней характеристчисекого
полинома должно быть 4.
Для нахождения собственных чисел воспользуемся функцией SOLVE, которая
возвращает характеристические числа матрицы А в вектор l. Получим:
Получили два действительных корня, что не соответствует порядку полинома,
значит, среди них есть кратные. Разложим многочлен на простые множители с
помощью функции FACTOR:
Теперь видим, что имеем действительные разные корни кратности 2.
Тогда функции, образующие ФСР примут вид:
Матрицу y(x),
столбцами которой являются решения, образующие фундаментальную систему,
называют фундаментальной матрицей.
И
общее решение системы будет выглядеть следующим образом:
Найдем
решение данной системы с помощью метода Эйлера.
4.
Построение фундаментальной матрицы методом Эйлера
Метод Эйлера заключается в следующем.
Решение системы (1) находится в виде:
(6)
Функция
(6) является решением системы (1), если
-
собственное значение матрицы А, а а- собственный вектор этой матрицы,
соответствующей числу
.
Случай
действительных разных корней
Если собственные значения λ 1, λ 2, …, λ n матрицы А действительные разные и α1, α2, …, αn соответствующие собственные векторы
этой матрицы, то общее решение системы (2) определяется формулой:
(7)
где
c1, c2, …, cn - произвольные константы.
Случай
кратных корней
Пусть λ k m - кратный корень, тогда решение
системы принимает вид:
(8)
n - порядок
системы, в нашем случае n = 4. Pi(x) - полиномы в степени m-1,
имеющие в совокупности m произвольных коэффициентов. Среди коэффициентов этих
полиномов m коэффициентов являются произвольными, а оставшиеся n·m-m
выражаются через них. Для отыскания коэффициентов полиномов подставим решение
(8) в исходную систему уравнений (2), приравняем коэффициенты при одинаковых
функциях. Решим систему по отношению к n·m-m
коэффициентов. Получим выражение всех коэффициентов через свободные.
Если
для кратного собственного значения λ матрицы А, имеется столько линейно независимых собственных векторов α1, α2, …, αm,
какова его кратность, то ему соответствует m независимых
решений исходной системы:
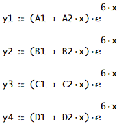
Проемонстрируем
метод Эйлера для заданной системы А
Общее решение системы выглядит следующим образом:
Утверждая,
что это решение, подставляем в исходную систему 
,
предварительно вычислив производные от вектора решений у, и, сократив на
е6х , получим:
Приравнивая коэффициенты при одинаковых степенях, получим:
Теперь выразим 6 коэффициентов через два свободных, то есть разрешим
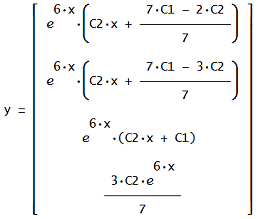
полученную систему относительно коэффициентов С1 и С2. Далее запишем вектор у с
найденными коэффициентами:
Это будет являться решением для первого корня кратности 2 и проделаем
тоже для второго корня кратности 2. Получим:
Теперь построим фундаментальную матрицу:
Доопределяя коэффициенты С1, С2, С3 и С4 равными 1, получим
фундаментальную матрицу решений:
Таким образом, домножая транспонированную фундаментальную матрицу на
столбец свободных коэффициентов, получаем общее решение однородной системы
дифференциальных уравнений:
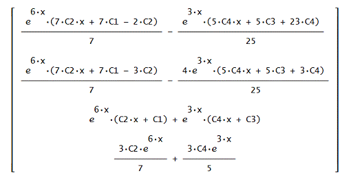
Сделаем проверку найденного решения с помощью формулы:
(*)
Получили
нулевой вектор, значит, фундаментальная матрица найдена правильно.
5.
Нахождение приближённого решения в виде матричного ряда
Дадим определение матричному ряду и экспоненциальной функции матрицы.
Матричные
ряды. Рассмотрим бесконечную последовательность матриц
,
,
. Будем говорить, что последовательность матриц
сходится к матрице А:
,
если
при
. Из
определения нормы следует, что сходимость матриц эквивалентна поэлементной
сходимости. Матричным рядом называется символ
, причем
говорят, что этот ряд сходится к сумме
, если к f
сходится последовательность частичных сумм Sk, где
Пусть
, тогда можно определить степень матрицы А обычным
образом:
(k
раз).
Рассмотрим
ряд, называемый степенным:
,
,
,
где
по определению положим A0 = En.Экспоненциальная функция матрицы. В качестве примера
рассмотрим степенной ряд, равный:
.
Так
как радиус сходимости соответствующего числового ряда
Равен
бесконечности, то ряд сходится при всех А. Сумма ряда называется
экспоненциальной функцией (экспонентой) и обозначается через еА, если ехр{А}.
Приближенно вектор решений можно найти как произведение матричного ряда:
и
вектора начальных условий y0=[y1,y2, …..yk].Формула является матричной задачей Коши в
приближенном виде.
Экспонентой
матрицыА называется сумма ряда
где
Е - единичная матрица.
Матрица
является решением матричной задачи Коши:
т.е.
является фундаментальной матрицей системы.
Найдем
разложение матричного ряда по семи первым членам:
Вектор приближенных решений для семи членов ряда:
Первый столбец:
Второй столбец:
Третий столбец:
Четвертый столбец:
Результатом будет являться матрица 4*4:
Для проверки правильности разложения подставим нулевые условия. В
результате получим единичную матрицу:
6.
Построение общего решения матричным методом
Матричный метод решения системы уравнений (1) основан на непосредственном
отыскании фундаментальной матрицы этой системы.
где Е - единичная матрица.
Свойство матричной экспоненты:
а) если АВ=ВА, то еА+В=еА*еВ= еВ *еА;
б) если SB=AS, то естьА=S-1*B*S, то еА=S-1*eB*S, где матрица S -
это матрица преобразования переменных из собственного базиса в базис исходных
переменных.
Исследование
зависимости жордановой формы матрицы А от свойств матрицы системы
Пусть J - жорданова клетка матрицы А. Для
случая действительных разных корней жорданова клетка будет выглядеть следующим
образом:
Пусть среди действительных собственных чисел матрицы А есть кратные.
Жорданова клетка будет находиться по следующей формуле:
Например,
если кратность k=2, то жорданову клетку матрицы мы можем записать:
Если
кратность k=3, то жорданову клетку матрицы мы можем записать так:
Если
же среди трех собственных чисел
являются
корнями кратности 2, то жорданова форма будет выглядеть следующим образом:
Если
два собственных числа матрицы А являются комплексными сопряженными, то запись
жордановой клетки будет выглядеть, где
-
действительная,
- мнимая часть собственного числа
, так:
В нашем случае, мы получили 2 корня кратности 2, значит матрица В примет
вид:
А матрицу Sв общем виде
представим как:
Из уравнения A*S-S*В=0 получим:
Для того, чтобы полученная матрица была равна 0, приравняли все
коэффициенты к 0. Затем доопределили некоторые из них
,
,
,
. Получили матрицу Sв следующем виде:
Сделаем проверку SB-AS=0:
Получили нулевую матрицу, значит, матрица S преобразования переменных из
собственного базиса в базис исходных переменных, найдена верно.
Для
нахождения вектора решений y необходимо умножить матрицу S на
, где
- это
вектор, элементы которого зависят от корней характеристического многочлена.
. Представим B как
, тогда получим:
, где ∆
- матрица без диагональных элементов, которая для нашего случая запишется как:
Как
и в поиске приближенного решения в виде матричного ряда найдем
и
как сумму
матричного ряда с числом членов ряда, равным четырем. Для
запишем:
И получим:
Очевидно,
что
запишется в виде:
Тогда
запишется в следующем виде:
И, окончательно, получим:
Отсюда найдем
общее решение
,получим:
(**)
Выполним проверку по формуле (*):
Получили
нулевой вектор, из этого следует, что решение (**) найдено верно.
7. Решение задачи Коши для метода Эйлера
Формулировка
задачи Коши: из всех решений системы уравнения найти такое решение
, в котором
принимает
заданное числовое значение
при
заданном числовом значении
. Для
решения задачи Коши подставляем вектор начальных условий в вектор решений системы
дифференциальных уравнений, приравниваем независимую переменную t к
нулю.
Приравниваем
к вектору начальных условий [1, 1, 2, 2]:
С
помощью функции SOLVE получим коэффициенты:
Подставим
полученные коэффициенты в общее решение и получим частное решение однородной
системе в точке х=0
Теперь
выполним проверку по формуле (*), подставив в исходное:
Получили нулевой вектор, значит, задача Коши решена правильно.
8. Нахождение координат особых точек и определение их типов
Нелинейная
система - динамическая система
<#"700073.files/image115.gif">
При
этом 
и 
таковы,
что в точке 
обращаются
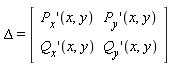
в нуль. Введем следующие обозначения:
Тогда
определитель матрицы

(***)
является
характеристическим полиномом, при подстановке в который особых точек можно
определить их тип по виду характеристических чисел, а именно:
|
Собственные значения
|
Тип особых точек
|
Фазовая траектория
|
|
Чисто мнимые
|
Центр
|
<#"700073.files/image122.gif"> <#"700073.files/image123.gif"> <#"700073.files/image124.gif">
|
|
Действительные
положительные
|
|
|
Действительные разных
знаков
|
Седло
|
|
Исследуем нелинейную систему:
dx/dt =x2 - y
dy/dt = cos(x)
Разрешим ее относительно x,y:
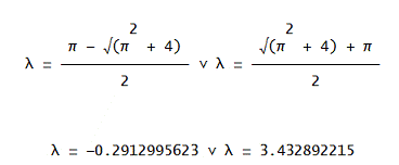
Получили 3 особых точки с координатами x и y. Построим
определитель для данной системы вида:
Приравняв его к нулю, поочередно подставляя найденные ранее точки,
разрешим относительно собственных значений λ.
Для первой особой точки:
Для второй точки:
Для третьей:
Анализируя найденные значения λ, определим типы особых точек и типы
фазовых траекторий.
В результате вышеизложенных действий получили следующие типы особых
точек: первый тип особой
точки - седло (тип фазовой траектории - гиперболы); второй тип особой точки -
устойчивый узел (тип фазовой траектории - параболы); третий - неустойчивый узел
(тип фазовой траектории - параболы).
9.
Построение фазового портрета
Фазовый портрет - графическое изображение системы на фазовой плоскости
(или в многомерном пространстве), по координатным осям которого отложены
значения величин переменных системы. Поведение переменных во времени при таком
способе представления для каждой начальной точки описывается фазовой траекторией.
Совокупность таким фазовых траекторий для любых начальных условий представляет
собой фазовый портрет.
Построение фазового портрета необходимо для того, чтобы мы могли наглядно
проследить за поведением системы в окрестности особой точки и в удалении от
нее.
Для нелинейных систем дифференциальных уравнений не существует общих
аналитических методов решения. Поэтому для нахождения решений и оценки их
поведения используются разнообразные численные методы. Численные методы
позволяют найти решение задачи Коши для данных начальных условий.
Многие из этих методов реализованы в виде специальных функций в пакете
прикладных программ MATLAB.
Эти функции имеют следующий вид
[T,Y] = solver(odefun,tspan,y0),
где solver - это одно из следующих имен
функций: ode45, ode23, ode113,
ode15s, ode23s, ode23t, или
ode23tb.
Аргументы:
· odefun - имя функции, вычисляющей правую часть
дифференциального уравнения.
· tspan - вектор,
задающий интервал интегрирования 
.
· y0 - вектор
начальных условий.
Возвращаемые значения:
· T - вектор-столбец моментов времени.
· Y - вектор-столбец решений. Каждый ряд в Y соответствует решению, полученному в
момент времени в соответствующем ряду T.
Предварительный анализ системы показал, что чтобы получить достаточно
полное представление об общем решении данной системы необходимо рассмотреть
начальные условия из ограниченной области, содержащей все особые точки.
Правая часть нелинейной системы представлена следующей функцией:
function dy = Shpak18(t,y); = zeros(2,1);
% вектор-столбец нулевых элементов
dy(1) = y(1)^2-y(2);(2) = cos(y(1));
end
Необходимо написать файл-функцию для обработки значения, вычисленного на текущем
шаге интегрирования. Солвер (ode113)
будет вызывать эту функцию после каждого шага и осуществлять дальнейшие
действия в зависимости от возвращаемого ей значения. Назовем эту функцию solproc. Входной аргумент flag является строковой переменной. В результате
работы функции solproc
формируется выходной аргумент status,
который может быть 1 либо 0. Если солвер обнаруживает, что функция solproc вернула 1, то процесс интегрирования
прекращается, а если 0 продолжается. Таким образом, функция solproc, которая проверяет критерий останова
солвера выглядит следующим образом:
function status = solproc(t,y, flag )
%UNTITLED Summary of this function goes here
% Detailed explanation goes here=
(length(flag)==0)&&((abs(y(1))>3)|(abs(y(2))>4))
end
Теперь можем говорить о построении фазового портрета - сочетании особых
точек и наборе фазовых траекторий. Фазовые траектории, в свою очередь, это
траектория точки в фазовом пространстве, изображающая как изменяется со
временем t состояние динамической системы.
Тогда построение фазового портрета определяется как:
= 0; %время= 1;;(i=-3:9/19:6) %общий фазовый портрет(j=0:22.6/19:22.6)
options=odeset('OutputFcn',@solproc);
[t,y]= ode113(@Shpak18,[tn, tf],[i
j],options);(y(:,1),y(:,2))on;(y(1,1),y(1,2),'o')on;
hold on;
В результате получим фазовый портрет:
Данный фазовый портрет, содержащий все особые точки, не ясно отображает
все фазовые траектории. Поэтому, построим фазовый портрет для каждой особой
точки отдельно.
Рассмотрим первую особую точку [π/2; π^2/4], тип которой является седло.
Для второй особой точки [-π/2; π^2/4] с типом - устойчивый узел,
фазовый портрет будет выглядеть так:
Неустойчивый узел просматривается на портрете с точкой [3π/2; 9π^2/4]
Таким образом, мы построили фазовый портрет и убедились в том, что
правильно определили характер особых точек.
Заключение
В ходе проделанной работы было изучен метод решения нелинейной системы и
3 метода нахождения общего решения однородной системы линейных дифференциальных
уравнений: метод Эйлера, решение в виде матричного ряда и матричный метод. В
ходе нахождения решения в виде матричного ряда мы убедились, что при увеличении
числа членов ряда решение приближается к решению Коши. По сравнению с методом
Эйлера и матричным методом, метод разложения в матричный ряд прост в
реализации, но дает приближенное решение. Также была изучена задача Коши,
которая была использована для нахождения частного решения однородной системы
линейных дифференциальных уравнений для данного вида начальных условий. Для
установления правильности проведенных вычислений была проведена проверка с
помощью подстановки полученных решений в исходную систему уравнений.
Была исследована нелинейная система: численно проинтегрирована в MATLAB, определены характеры особых точек и
построен фазовый портрет.
Для реализации этой работы в DERIVE были использованы следующие функции пакета:
1. SOLVE (Pm=0,
) - решение уравнения Pm=0, где Pm -
полином степени m: Pm=p0*
mp1*
m-1+…+pm-1*
+pm, а
- переменная, относительно которой решается данное
уравнение.
2. DIF(A,x,n) -
дифференцирование A по xn раз.
. VECTOR(u,k,n)-
задание (вычисление) вектора значений при k изменяющемся от 1 до n.
А также функции меню:
1. SOLVE/SYSTEM -решение системы с последующим заданием в диалоговом окне
количества уравнений, самих уравнений и переменных, относительно которых
решается данное уравнение.
2. Simplify > Expand- раскрытие выражений.
Команда Expand используется для раскрытия математических выражений.: #n:
где n - номер строки выражения (операнда).: #n .
. Для построения графиков использовали функцию 2D-plot.
Список литературы
1. Матвеев
Н.М. - Дифференциальные уравнения / Просвещение - 1999 г,
2. Эльсгольц
Л.Э. Дифференциальные уравнения и вариационное исчисление.-М.:Наука,1969.
. А.Н.
Тихонов, А.Б. Васильева, А.Г. Свешникова - Дифференциальные уравнения
-М.:Наука, 1989.
. Поршнев,
Сергей Владимирович. MATLAB 7: основы работы и программирования : учебное
пособие для вузов / С. В. Поршнев. - М. : Бином, 2006.
. Ануфриев
И.Е., Смирнов А.Б., Смирнова Е.Н. MATLAB 7.-СПб.: БХВ, 2005
Построив графики решений задачи Коши и решения в виде матричного ряда для
7, 10 и 5 членов, мы видим, что при увеличении n членов матричного ряда, график приближается к графику
решения задачи Коши. На рисунке изображены графики этих решений для четвертой
функции в решении.