Теоретические основы электротехники
Теоретические основы электротехники
Программа обучения для студента
на 2010-2011 учебный год по дисциплине
Теоретические основы электротехники
|
1. Основная информация
|
|
Факультет
|
Инженерно-физический
|
|
Специальность
|
050718
|
|
Курс
|
2
|
Семестр
|
3
|
Форма об.
|
очная
|
Программа
|
основная
|
|
Цикл дисциплины
|
БД
|
Компонент
|
обязательный
|
|
Кол-во кредитов
|
3
|
Количество часов
|
135
|
|
Место проведения занятий
|
согласно расписанию и
графику консультаций на кафедре
|
|
Лектор
|
Глущенко Татьяна Ивановна
|
|
Преподаватель
|
Глущенко Татьяна Ивановна
|
|
Время консультаций (СРСП
оф.)
|
1-я неделя
|
2-я неделя
|
3-я неделя
|
|
-
|
Пятница 10.30-14.00
|
-
|
|
2 Пререквизиты и
постреквизиты
|
|
Пререквизиты
|
Высшая математика, физика,
информатика, ТОЭ 1
|
|
Постреквизиты
|
Электрические машины,
электроэнергетика, информационно-измерительная техника
|
|
3 Цель и задачи дисциплины
|
|
Цель
|
Формирование системы знаний
научно-технических основ теории, изучение, как с качественной, так и с
количественной стороны установившихся процессов теории электрических цепей,
методы расчета и анализа переходных процессов в электрических цепях,
нелинейных цепях и цепях с распределенными параметрами.
|
|
Основные задачи дисциплины:
- иметь представление о многообразии методов расчета электрических цепей и
основных требованиях, предъявляемых к оформлению расчетов; -знать__методы
расчета установившихся и переходных процессов в линейных электрических цепях;
основные уравнения и характеристики цепей с распределенными параметрами;
методы анализа нелинейных электрических и магнитных цепей; основные соотношения,
описывающие электромагнитные поля; - уметь рассчитывать и анализировать
установившиеся и переходные процессы в линейных электрических цепях.
|
|
4 Распределение
академических часов
|
|
Всего
|
Лек.
|
Практ.
|
Лаб.
|
СРСП ауд.
|
СРСП оф.
|
СРС
|
Форма контроля
|
|
_3__кредита, _135__часов
|
15
|
15
|
30
|
15
|
15
|
45
|
Экзамен
|
|
5 Содержание дисциплины
|
|
Дисциплина «Теоретические
основы электротехники 2» является обязательным компонентом. Предмет позволяет
изучить и усвоить качественные и количественные параметры установившихся
процессов в линейных электрических цепях постоянного тока, однофазного
синусоидального, трехфазного тока и несинусоидального тока.
|
|
6 Политика курса
|
|
Для успешного усвоения
курса и получения высоких итоговых оценок необходимы: - посещаемость без
опозданий; при отсутствии по уважительной причине необходимо своевременно
предоставлять справки; - дисциплина на занятиях: не разговаривать без
разрешения преподавателя, не пользоваться сотовым телефоном и др. техникой
без необходимости для учебного процесса, находиться в аудитории в верхней
одежде; - активное участие в учебном процессе: до начала каждого занятия
изучить основные моменты темы лекций, практики, СРС, точно и в срок выполнять
индивидуальные и групповые задания (не в срок выполненные задания оцениваются
в рейтинговых баллах ниже установленного - с коэффициентом 0,8); готовность к
контролю полученных знаний, умений и навыков (контроль может проводиться без
предварительного предупреждения, полученные оценки включаются в итоговую
оценку); отработка пропущенных занятий в течение семестра в установленное
преподавателем время.
|
|
7 Список рекомендуемой
литературы
|
|
Основная
|
1. Зевеке Г.В., Ионкин
П.А., Нетушил А.В., Страхов С.В. Основы теории цепей.- М.: Энергоатомиздат.,
1989,-528с. 2. Бессонов Л.А. Теоретические основы электротехники. -М.:
Гардарики, 1999.-638 с. 3. Демирчян К.С., Нейман Л.Р., Коровкин Н.В., Чечурин
В.Л. Теоретические основы электротехники. - т.2,3.- СПб.: Питер, 2003.-463 с.
4. Теоретические основы электротехники. - т.2,3./ Основы теории цепей. -М.: Высшая
школа, 1976.-544 с.
|
|
|
|
|
|
|
|
|
|
|
|
|
|
|
|
|
|
|
|
|
|
8 Календарно-тематический план
|
№ недели
|
Темы лекционных занятий
|
Часы
|
Темы практических занятий
|
Часы
|
Темы лабораторных занятий
|
Часы
|
Темы СРСП ауд.
|
Часы
|
|
1 аттестационный период
|
|
1
|
Переходные процессы в
электрических цепях.
|
1
|
Расчет переходных процессов
цепей постоянного тока классическим методом.
|
1
|
Исследование переходных
процессов в электрических цепях с R,L,C.
|
2
|
Переходные процессы в
электрических цепях.
|
1
|
|
2
|
Переходные процессы в
электрических цепях.
|
1
|
Расчет переходных процессов
цепей постоянного тока классическим методом.
|
1
|
Исследование переходных
процессов в электрических цепях с R,L,C.
|
2
|
Переходные процессы в
электрических цепях.
|
1
|
|
3
|
Переходные процессы в
электрических цепях.
|
1
|
Расчет переходных процессов
цепей постоянного и переменного тока операторным методом.
|
1
|
Исследование переходных
процессов в электрических цепях с R,L,C.
|
2
|
Переходные процессы в
электрических цепях.
|
1
|
|
4
|
Переходные процессы в
электрических цепях.
|
1
|
Расчет переходных процессов
цепей постоянного и переменного тока операторным методом.
|
1
|
Исследование переходных
процессов в электрических цепях с R,L,C.
|
2
|
Определение законов
изменения функций переходного процесса.
|
1
|
|
5
|
Переходные процессы в
электрических цепях.
|
1
|
Расчет переходных процессов
цепей постоянного и переменного тока операторным методом.
|
1
|
Исследование
четырехполюсника.
|
2
|
Определение законов
изменения функций переходного процесса.
|
1
|
|
6
|
Переходные процессы в
электрических цепях.
|
1
|
Определение коэффициентов
четырехполюсников и параметров их схем замещения и параметров фильтров.
|
1
|
Исследование
четырехполюсника.
|
2
|
Определение законов
изменения функций переходного процесса.
|
1
|
|
7
|
Четырехполюсники и
частотные электрические фильтры.
|
1
|
Определение коэффициентов
четырехполюсников и параметров их схем замещения и параметров фильтров.
|
1
|
Исследование цепей с
распределенными параметрами.
|
2
|
Четырехполюсники.
|
1
|
|
8
|
Четырехполюсники и
частотные электрические фильтры.
|
1
|
Расчет нелинейных цепей.
|
1
|
Исследование цепей с
распределенными параметрами.
|
2
|
Четырехполюсники.
|
1
|
|
Всего часов за 1 аттестацию
|
8
|
|
8
|
|
16
|
|
8
|
|
2 аттестационный период
|
|
9
|
Электрические цепи с
распределенными параметрами при установившемся режиме.
|
1
|
Расчет нелинейных цепей.
|
1
|
Исследование электрической
цепи постоянного тока с нелинейными элементами
|
2
|
Уравнение длинной линии.
|
1
|
|
10
|
Электрические цепи с
распределенными параметрами при установившемся режиме.
|
1
|
Расчет нелинейных цепей.
|
1
|
Исследование электрической
цепи постоянного тока с нелинейными элементами
|
2
|
Уравнение длинной линии.
|
1
|
|
11
|
Нелинейные электрические
цепи.
|
1
|
Расчет цепей с
распределенными параметрами.
|
1
|
Исследование электрической
цепи постоянного тока с нелинейными элементами
|
2
|
Нелинейные цепи.
|
1
|
|
12
|
Нелинейные электрические
цепи.
|
1
|
Расчет цепей с
распределенными параметрами.
|
1
|
Исследование электрической
цепи постоянного тока с нелинейными элементами
|
2
|
Нелинейные цепи.
|
1
|
|
13
|
Нелинейные электрические
цепи.
|
1
|
Расчет цепей с
распределенными параметрами.
|
1
|
Исследование
плоскопараллельного потенциального поля.
|
2
|
Нелинейные цепи.
|
1
|
|
14
|
Теория электромагнитного
поля.
|
1
|
Расчет электростатических
полей. Определение механических сил магнитного поля.
|
1
|
Исследование
плоскопараллельного потенциального поля.
|
2
|
Электромагнитное поле.
|
1
|
|
15
|
Теория электромагнитного
поля.
|
1
|
Расчет электростатических
полей. Определение механических сил магнитного поля.
|
1
|
Исследование
плоскопараллельного потенциального поля.
|
2
|
Электромагнитное поле.
|
1
|
|
Всего часов за 2 аттестацию
|
7
|
|
7
|
|
14
|
|
7
|
|
Итого часов
|
15
|
|
15
|
|
30
|
|
15
|
Распределение баллов по видам и формам контроля
|
Виды занятий
|
Виды контроля
|
Форма контроля
|
Баллы
|
Недели
|
Рейтинг
|
|
|
|
|
1
|
2
|
3
|
4
|
5
|
6
|
7
|
8
|
1 атт.**
|
9
|
10
|
11
|
12
|
13
|
14
|
15
|
2 атт**.
|
семестр
|
итогов.
|
общий
|
|
Ауди-торная работа
|
ТК
|
Выполнение практ. работ
|
100
|
*
|
*
|
*
|
*
|
*
|
*
|
*
|
*
|
100
|
*
|
*
|
*
|
*
|
*
|
*
|
*
|
100
|
|
|
|
|
|
Выполнение лабораторных
работ
|
100
|
*
|
*
|
*
|
*
|
*
|
*
|
*
|
*
|
100
|
*
|
*
|
*
|
*
|
*
|
*
|
*
|
100
|
|
|
|
|
СРС
|
|
ИДЗ (№ 1,2)
|
100
|
|
|
|
|
|
|
*
|
|
100
|
|
|
|
|
|
*
|
|
100
|
|
|
|
|
Ауд., СРС
|
ТК
|
Тестовый опрос
|
100
|
|
|
|
*
|
|
*
|
|
|
|
|
|
|
*
|
|
*
|
|
100
|
|
|
|
|
РК
|
Контрольная работа
|
100
|
|
|
|
|
|
|
|
*
|
100
|
|
|
|
|
|
|
*
|
100
|
|
|
|
|
ИК
|
Комплексный экзамен
|
40
|
|
|
|
|
|
|
|
|
|
|
|
|
|
|
|
|
|
|
40
|
|
|
|
Всего
|
|
|
|
|
|
|
|
|
|
30
|
|
|
|
|
|
|
|
30
|
60
|
40
|
100
|
Примечание 1. Студент, набравший по итогам семестра не менее 50%
максимального сем рейтинга и набравший по всем видам контроля положительные
оценки, допускается к сдаче экзамена. Для получения положительной оценки
необходимо на экзамене набрать не менее 50% максимального итогового рейтинга.
Примечание 2. При наличии пропусков практических занятий действует
система отработок через выполнение и защиту работ по пропущенным занятиям.
Критерии оценки
|
Традиционная оценка
|
Отлично
|
Хорошо
|
Удовлетворительно
|
Неудовлетворительно
|
|
Баллы (max = 100 баллов))
|
90-100
|
75-89
|
50-74
|
0-49
|
**Все учебные достижения обучающегося оцениваются по 100 балльной шкале
за каждое выполненное задание (ответ на занятиях, сдача домашнего задания,
выполнение контрольной работы и др.), окончательный итог по аттестации
подводится расчетом среднеарифметической суммы всех оценок, умноженной на 0,3
(максимальное количество баллов за одну аттестацию 30, за две - 60)
Задания на СРС
|
№ п/п
|
Тема, задание, виды работ
|
Литера-тура
|
Форма отчетности
|
Сроки сдачи, неделя
|
|
|
|
|
|
|
|
1
|
ИДЗ «Расчет переходных
процессов операторным методом».
|
4
|
1-9
|
Доклад на СРСП ауд.
|
3-7; 9-15
|
|
2
|
Подготовить доклад по теме
«Фильтры»
|
4
|
1-9
|
Защита реферата.
|
3-7; 9-15
|
|
3
|
ИДЗ «Расчет нелинейных
цепей»
|
4
|
1-9
|
Защита семестрового задания
|
7,15
|
|
4
|
Изучить тему «Линии без
потерь»
|
4
|
1-9
|
|
|
|
5
|
ИДЗ «Расчет цепей с
несинусоидальными периодическими токами и напряжениями»
|
3
|
1-9
|
|
|
|
Другие виды работ по СРС
|
|
Подготовка к лекционным
занятиям
|
7,5
|
|
|
|
|
Подготовка к практическим
занятиям
|
7,5
|
|
|
|
|
Подготовка к лабораторным
занятиям
|
15
|
|
|
|
|
Подготовка к текущим
контрольным мероприятиям
|
7
|
|
|
|
|
Подготовка к рубежному
контролю
|
4
|
|
|
|
|
Итого часов по СРС
|
60
|
|
|
|
Программа составлена Глущенко Т.И., доцентом
____._____. 201_г. ____________________
Рассмотрена и утверждена на заседании кафедры электроэнергетики
протокол от ___.____201_ г. №___
Зав. кафедрой В.Ткаченко.
ТЕЗИСЫ ЛЕКЦИЙ
Тема 1: Переходные процессы в электрических
цепях с сосредоточенными параметрами
Цель: Уяснить причины возникновения переходных процессов, основные
определения и два закона коммутации, на которых основаны исследования
переходных процессов
План:
. Общие сведения о переходных процессах;
. Причины возникновения переходных процессов;
. Первый закон коммутации;
. Второй закон коммутации.
. В установившемся режиме напряжения и токи во всех участках
электрической цепи остаются неизменными в течение сколь угодно большого
промежутка времени. В понятие неизменных напряжений и токов в данном случае
включаются не только постоянные, но и синусоидальные напряжения и токи с
постоянными амплитудой и частотой.
По условиям эксплуатации и характеру работы электроустановок или по
другим (в том числе случайным) причинам изменяются режимы в электрических
цепях.
Для перехода от одного установившегося режима к другому требуется
некоторый переходный период, в течение которого изменяются величины токов и
напряжений в электрической цепи. С большей или меньшей скоростью эти величины
приходят в соответствие с условиями нового режима.
Для изучения переходных процессов в простой или сложной цепи необходимо
рассмотреть общие сведения о них. В числе таких сведений отметим причины
возникновения переходных процессов, основные определения и два закона
коммутации, на которых основаны исследования переходных процессов.
. Причины возникновения переходных процессов. Переходные процессы
возникают вследствие изменения ЭДС в цепи, напряжения, приложенного к цепи, или
в связи с изменением ее параметров - сопротивления, индуктивности или емкости.
Непосредственными причинами возникновения переходных процессов могут
быть: коммутационные изменения режимов, т. е. включение и выключение источников
питания, приемников энергии; короткие замыкания на участках электрических
цепей; изменения механической нагрузки электродвигателей и др.
Электромагнитные процессы, происходящие в электрических цепях при
переходе от одного установившегося режима к другому, называют переходными
процессами.
Электрические токи, напряжения в цепи во время переходного процесса
называют переходными токами или напряжениями.
Продолжительность переходных процессов в электрических цепях (переходный
период) чаще всего составляет десятые и сотые, доли секунды. Однако знание
характера их очень важно, так как и за малое время возможны резкие увеличения
токов и напряжений, которые могут оказаться опасными для электрических
установок. В устройствах связи, автоматики, счетно-решающей техники,
радиотехники с помощью переходных процессов формируются импульсы - сигналы,
несущие определенную информацию.
Излучение переходных процессов в этих устройствах необходимо для оценки
тех изменений, которые они могут внести в электрические сигналы.
Соотношение длительностей установившихся и переходных режимов может быть
самым различным и зависит от условий эксплуатации и назначения электрических
цепей. Одни из них по продолжительности практически все время работают в
установившемся режиме (двигатели с длительной неменяющейся нагрузкой, лампы
электрического освещения), другие, наоборот, непрерывно находятся в переходном
режиме (двигатели с повторно-кратковременной нагрузкой, линии связи во время
передачи информации, импульсные устройства автоматики, счетно-решающие машины в
период работы).
. Первый закон коммутации. Первый закон коммутации применяется к цепям,
обладающим индуктивностью.
Ток в индуктивности не может измениться скачком. Поэтому мгновенный тем в
ветви с индуктивностью в первый момент переходного периода остается таким,
каким он был в последний момент предшествующего установившегося режима
Справедливость первого закона коммутации следует из простых рассуждений,
которые изложим применительно к случаю включения катушки индуктивности на
постоянное напряжение U
(рис. 1.1).
До замыкания рубильника Р установившийся режим характеризуется тем, что
ток в цепи, напряжения активное uR и
индуктивное uL равны нулю.
С момента замыкания рубильника возникает переходный процесс, в течение
которого ток в катушке увеличивается до некоторой величины i = I, изменяются и напряжения uR и uL.
Электрическое состояние цепи по схеме рис. 1.1 в любой момент переходного
периода характеризуется уравнением
(1.1)
Это
уравнение выражает баланс напряжений в цепи: часть приложенного к цепи
напряжения компенсирует падение напряжения в сопротивлении (iR),
а другая часть (
) уравновешивает возникающую при изменении тока ЭДС
самоиндукции.
В
установившемся режиме при замкнутом рубильнике Р ток в цепи постоянный, т. е.
скорость изменения тока равна нулю:
, поэтому
и индуктивное напряжение uL равно нулю.
Напряжение
источника полностью приложено к сопротивлению R, и ток в цепи
определяется согласно закону Ома:
(1.2)
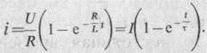
Предположим,
что переходный период отсутствует и ток в катушке мгновенно (dt =
0) увеличился от 0 до конечной величины I. Тогда
скорость изменения тока должна быть равна бесконечности (
). Но это противоречит уравнению (1.1), в котором
напряжение источника U - конечная величина. Изменение тока скачком означало
бы также, что энергия магнитного поля катушки увеличилась скачком от 0 до WM = L∙I2/2.
Для мгновенного изменения запаса энергии в магнитном поле цепи требуется
источник бесконечно большой мощности
, это
лишено физического смысла.
Из
первого закона коммутации следует, что в начальный момент после замыкания
рубильника (при t = 0) ток в цепи равен нулю (tо = 0), падение
напряжения в сопротивлении ioR = 0, а индуктивное напряжение - напряжению источника uoL =
U цепь как бы разомкнута индуктивностью.
.
Второй закон коммутации. Второй закон коммутации применяется к цепям,
обладающим емкостью.
Напряжение
на емкости не может измениться скачком. Поэтому напряжение на емкости в первый
момент переходного периода остается таким, каким оно было в последний момент
предшествующего установившегося режима.
Рассуждения,
подтверждающие второй закон коммутации, приведем применительно к случаю зарядки
конденсатора через резистор (включение цепи с R и С на
постоянное напряжение, рис. 1.2). До замыкания рубильника Р установившийся
режим характеризуется тем, что ток в цепи, напряжения на резисторе и
конденсаторе равны нулю. С момента замыкания рубильника возникает переходный
процесс, в течение которого напряжение на конденсаторе увеличивается до
напряжения источника U (конденсатор заряжается), изменяются ток в цепи и
напряжение на резисторе.
Электрическое
состояние цепи (рис. 1.2) в любой момент переходного периода характеризуется
уравнением, составленным по второму закону Кирхгофа:
Ток
в цепи пропорционален скорости изменения напряжения Е на конденсаторе:
(1.3)
Учитывая
это, получаем
(1.4)
Приложенное
к цепи напряжение (напряжение источника) делится на две части: одна из них
компенсирует падение напряжения в резисторе, а другая
(uс) равна напряжению в конденсаторе.
В
установившемся режиме при замкнутом рубильнике Р напряжение на конденсаторе не
изменяется, т. е. скорость изменения напряжения на конденсаторе равна нулю
, поэтому и ток в цепи равен нулю (iу =
0). Напряжение на резисторе равно нулю, и, следовательно, напряжение источника
полностью приложено к конденсатору: uСу = U (т. е. цепь
разомкнута конденсатором).
Доказательства
существования переходного периода при зарядке конденсатора аналогичны тем,
которые были ранее приведены для цепи с катушкой индуктивности.
Предположим,
что в момент замыкания рубильника Р напряжение на конденсаторе изменилось
скачком от 0 до U. Такое предположение означает конечное изменение
напряжения за время, равное нулю, т.е.
, что
противоречит уравнению (1.4), в котором напряжение источника - конечная
величина. Кроме того, при изменении напряжения на конденсаторе скачком энергия
электрического поля должна увеличиться мгновенно от 0 до
. Для такого скачкообразного изменения энергии
требуется источник бесконечно большой мощности, чего в действительности быть не
может. Из второго закона коммутации следует, что в начальный момент переходного
периода (при t = 0) напряжение на конденсаторе равно нулю (Uсо =
0) (конденсатор как бы замкнут накоротко). Напряжение на резисторе равно
напряжению источника iоR=U, а ток в цепи io = U/R.
Контрольные
вопросы:
.
Почему возникают переходные процессы в электрических цепях?
.
Что называют переходными процессами?
.
Назовите первый закон коммутации.
.
Назовите второй закон коммутации.
Литература:
1. стр. 434-438, 2. стр. 360-368, 3. стр. 422-430.
Тема 2: Включение катушки индуктивности на постоянное
напряжение
Цель:
Изучить процессы, протекающие при включении катушки индуктивности на постоянное
напряжение
План:
.
График переходного тока;
.
Постоянная времени электрической цепи;
.
Уравнение кривой переходного тока;
.
Принужденная и свободная составляющие переходного тока;
.
Отключение катушки индуктивности от источника постоянного напряжения.
После
включения катушки к источнику постоянного напряжения ток в цепи рис. 1.1
увеличивается, но не мгновенно. Перейдем к более подробному анализу переходного
процесса.
.
График переходного тока. Закон изменения тока в катушке после замыкания
рубильника в схеме рис. 1.1 можно выяснить, используя уравнение (1.1) в
преобразованном виде:
(2.1)
В
первый момент переходного периода ток в цепи с R и L
равен нулю (io = 0).
Поэтому
независимо от величины сопротивления R скорость изменения тока в
начальный момент переходного периода выражается отношением напряжения к индуктивности:
(2.2)
Из
этого выражения следует, что сразу после включения цепи ток начинает
увеличиваться по линейному закону с наибольшей в данных условиях скоростью.
Но
так происходит лишь в начальный момент переходного периода. Как только в цепи
появился ток, хоть и малого значения, одновременно возникло падение напряжения iR
[см. уравнение (1.1)], а индуктивное напряжение соответственно уменьшилось.
Уменьшение индуктивного напряжения немедленно вызовет снижение скорости
изменения тока.
Таким
образом, рассматриваемый переходный процесс в катушке (при постоянных величинах
U, R, L) отличается тем, что с увеличением тока уменьшается
скорость его изменения.
По
этой причине график тока (кривая i на рис. 2.1) с течением времени все более отклоняется
от прямой iL, которая соответствует начальной скорости переходного
процесса. Прямая iL, как нетрудно заметить, является касательной к кривой
переходного тока i реальной цепи, а наклон ее к оси абсцисс
характеризует наибольшую скорость изменения тока, возможную при заданных
условиях.
Теоретически
переходный процесс продолжается бесконечно долго, а ток в цепи асимптотически
стремится к установившемуся I = U/R.
.
Постоянная времени электрической цепи. Если предположить, что при наличии в
цепи сопротивления R ток изменялся бы по линейному закону с наибольшей
скоростью (прямая iL), то установившегося значения I он
достиг бы за наименьшее время t = τ. Этот промежуток времени является важной характеристикой и называется
постоянной времени электрической цепи. Постоянную времени можно определить
графически (рис. 2.1). Для этого нужно провести касательную Оа к кривой тока в
начале координат; точку а пересечения касательной с асимптотой спроектировать
на ось времени. Отрезок Оа" в масштабе времени выражает постоянную времени
т.
Такую
же длину имеет отрезок а'b', который можно получить, если провести касательную к
кривой тока в любой точке аb найти точку b пересечения касательной с
асимптотой и спроектировать точки ах и b на ось
времени.
Из
рис. 2.1 можно получить аналитическое выражение для определения постоянной
времени. Прямая Оа представляет собой график изменения тока (iL) в
идеальной катушке без сопротивления.
Это
следует из уравнения (2.1):
при
R = 0
Отсюда
По
графику iL(t) при r = τ i = I.
Так
как U=IR, то постоянная времени
(2.3)
Постоянная
времени, как видно из последней формулы, определяется только параметрами R, L
данной цепи.
.
Уравнение кривой переходного тока. Уравнение кривой переходного тока в катушке
после замыкания рубильника в схеме рис. 1.1 можно получить, используя уравнение
(1.1) в таком виде:
Проинтегрируем
обе части этого дифференциального уравнения:
В
результате интегрирования получим
или
(постоянная
интегрирования взята в форме LnK2 для упрощения окончательного выражения переходного
тока). Потенцируя, находим
Постоянная
интегрирования К2 определяется из начальных условий: согласно первому закону
коммутации, в начальный момент переходного периода ток в цепи равен нулю, так
как он был равен нулю в последний момент до включения рубильника.
Подставив
в последнее равенство t = 0 и r = 0, найдем
Определив
К2 из начальных условий, получим окончательно уравнение для переходного тока
(2.4)
В
этом уравнении τ = L/R-уже
известная постоянная времени цепи.
Уравнению
(25.8) соответствует график переходного тока (кривая на рис. 25.3).
Как
было отмечено, переходный процесс продолжается бесконечно долго. Это
подтверждается уравнением (2.4), согласно которому ток устанавливается при t = ∞.
В практике переходный период считается законченным по истечении времени,
равного (4…5)τ, когда ток отличается от установившегося примерно на
1 %.
.
Принужденная и свободная составляющие переходного тока
Из
уравнения (2.4) видно, что переходный ток можно рассматривать как
алгебраическую сумму двух составляющих:
Первая
составляющая представляет собой ток, установившийся в цепи по окончании
переходного процесса (прямая iпр на рис. 2.1):
(2.5)
Этот
ток определяется непрерывным действием постоянного напряжения U в
переходном и установившемся режимах. Его принято называть принужденным током.
Вторая
составляющая возникает в начале переходного процесса и постепенно затухает до
нуля, после чего переходный процесс считается законченным (кривая iCB на
рис. 2.1). Эта составляющая переходного тока называется свободным током. Он
изменяется по закону
(2.6)
Из
уравнения (2.6) следует постоянная времени электрической цепи равна интервалу
времени, в течение которого свободный ток в этой цепи убывает в е раз.
График
переходного тока (рис. 2.1) можно получить, сложив графики принужденного и
свободного токов. Однако нужно помнить, что физически реальным в течение
переходного процесса является общий ток, постепенно нарастающий от начального (i =
0) до установившегося (i = I).
Одновременно
с увеличением тока происходит процесс постепенного изменения (в данном случае
накопления) энергии
- в магнитном поле.
.
Отключение катушки индуктивности от источника постоянного напряжения.
Отключение приемников электрической энергии от источника или от сети
осуществляется в большинстве случаев разрывом цепи в одной или нескольких
точках. Встречаются случаи, когда. элементы цепи, обладающие большой индуктивностью,
при разрыве цепи одновременно замыкаются накоротко или на разрядное
сопротивление. Размыкание электрической цепи с катушкой индуктивности. При
замыкании электрической цепи с катушкой индуктивности (рис. 2.2, а) в момент
разрыва цепи напряжение между расходящимися контактами выключателя резко
увеличивается от нуля до U + uL. Скорость изменения тока в момент разрыва цепи
, поэтому значение
может
быть весьма большим. Воздушный промежуток между контактами пробивается и
образуется искра. Таким образом, ток в цепи сохраняется некоторое время после
начала расхождения контактов. При большой мощности источника искровой разряд
может перейти в дуговой. Для гашения электрической дуги отключающие аппараты,
как правило, снабжаются дугогасительными приспособлениями, конструкция которых
зависит от мощности цепи и рабочего напряжения установки.
В
некоторых случаях (например, при выключении обмоток возбуждения электрических
машин) напряжение может достигать значений, опасных для изоляции.
Рисунок
2.2
Значительного
повышения напряжения можно избежать, если одновременно с отключением
индуктивной катушки от источника замкнуть ее на разрядное сопротивление.
Контрольные
вопросы:
.
Каков закон изменения тока в катушке после замыкания рубильника в схеме рис.
1.1?
.
Что такое постоянная времени электрической цепи?
.
Из каких составляющих состоит переходной ток?
Литература:
1. стр. 438-448, 2. стр. 368-367, 3. стр. 432-438.
Тема 3: Зарядка конденсатора
Цель:
Изучить процессы, протекающие при зарядке конденсатора постоянным напряжением
План:
.
Анализ процесса зарядки конденсатора;
.
Уравнение кривых переходного тока и напряжения на конденсаторе;
.
Разрядка конденсатора на сопротивление;
.
Уравнение напряжения на конденсаторе и тока в цепи при разрядке конденсатора
.
Анализ процесса зарядки конденсатора от источника постоянного напряжения во
многом совпадает с анализом переходного процесса после включения катушки на
постоянное напряжение, так как исходные уравнения (1.1) и (1.4) по своей
структуре аналогичны.
.
Уравнение кривых переходного тока и напряжения на конденсаторе
Закон
изменения напряжения на конденсаторе и зарядного тока можно найти, решив
дифференциальное уравнение (1.4). Путем разделения переменных это уравнение
приводится к виду, удобному для интегрирования
Интегрирование
и последующие преобразования, выполненные в том же порядке, как для цепи с
катушкой индуктивности, приводят к решению уравнения в виде
где
К4 - постоянная интегрирования.
Из
начальных условий (t = 0, uсо = 0) находим K4 = - U.
Уравнение
кривой напряжения на конденсаторе принимает вид
(3.1)
Уравнение
зарядного тока легко найти из предыдущего уравнения (3.1), если учесть
выражение (1.3)
(3.2)
В
дальнейшем для анализа переходных процессов при зарядке конденсаторов
потребуется выражение скорости изменения напряжения на конденсаторе в начальный
момент времени. Это выражение нетрудно получить, используя формулы (1.3) и
(3.1):
(3.3)
Графики
зависимости напряжения на конденсаторе uс и зарядного uа
тока i3 от времени изображены на рис. 3.1.
Рисунок
3.1
Как
видно из этих графиков, скорость увеличения напряжения на конденсаторе и
скорость уменьшения зарядного тока непрерывно снижаются. Напряжение uс и
зарядный ток асимптотически стремятся к своим пределам: uс -
к значению напряжения источника U, а ток i - к нулю. Теоретически переходный процесс
продолжается бесконечно долго, что подтверждают уравнения (3.1) и (3.2) (uc = U и i = 0
при t = ∞). Однако практически считают, что
переходный процесс заканчивается за время, равное (4…5) τ. Величина τ в уравнениях (3.1) и (3.2) - постоянная времени цепи
τ = RC. (3.4)
Постоянная
времени, которая зависит от параметров цепи R, С, как и в
цепи с индуктивностью, является показателем продолжительности переходного
процесса.
В
уравнении (3.1) можно выделить принужденную и свободную составляющие напряжения
на конденсаторе:
(3.5)
(3.6)
Зарядный
ток состоит только из свободной составляющей
(3.7)
а
принужденная составляющая
.
Разрядка конденсатора на сопротивление. Переходный процесс при разрядке
конденсатора рассмотрим по схеме рис. 3.1, предполагая, что заряженный до
напряжения uсу= U конденсатор емкостью С отключается от источника
энергии и его обкладки замыкаются на сопротивление R (переключатель
П в положении 2).
Переходный
процесс при разрядке конденсатора. После переключения по схеме рис. 3.1
конденсатор не может разрядиться мгновенно, т. е. напряжение uс не
может уменьшиться скачком до нуля, а поддерживается в течение переходного
периода за счет энергии, накопленной в электрическом поле конденсатора.
При
этом в активном сопротивлении R совершается необратимый процесс превращения
электрической энергии в тепловую. Запас энергии в электрическом поле непрерывно
сокращается, а вместе с этим уменьшается и напряжение на конденсаторе. Во время
переходного периода конденсатор является источником энергии.
Характер
изменения напряжения на конденсаторе при его разрядке можно установить пока без
математического анализа несложными рассуждениями, предположив, что конденсатор
замкнут на то же сопротивление R, через которое он заряжается.
В
начальный момент переходного периода значение напряжения на конденсаторе
сохраняется, как и следует из второго закона коммутации. В дальнейшем закон
уменьшения напряжения uс будет определяться изменением энергии в
электрическом поле конденсатора, подобно тому как при зарядке изменением
энергии электрического поля определяется свободная составляющая напряжения на
конденсаторе.
Отличие
заключается лишь в том, что при зарядке энергия в электрическом поле
накапливалась, а при разрядке она расходуется. Выражением этого отличия служит
изменение направления разрядного тока в конденсаторе по сравнению с зарядным
током (на рис. 3.1 направления; тока, напряжений на конденсаторе и резисторе
при разрядке показаны сплошными, а при зарядке - пунктирными стрелками). График
разрядного тока можно получить, повернув график зарядного тока на 180° вокруг
оси времени (рис. 3.2)
Так
же можно получить график напряжения на конденсаторе, который по форме повторяет
график свободной составляющей напряжения на конденсаторе при зарядке (на рис.
3.2 графики, относящиеся к процессу зарядки, показаны пунктиром, а графики при
разрядке - сплошными линиями). Касательная к графику uс в точке с
координатами r = 0, uc = U отсечет на оси времени отрезок т, выражающий
постоянную времени цепи, которая и при разрядке алгебраически определяется
формулой (3.4)
.
Уравнение напряжения на конденсаторе и тока в цепи при разрядке конденсатора.
Для математического анализа переходного процесса при разрядке конденсатора
исходным является уравнение, в котором для этого случая напряжение источника
нужно считать равным нулю
отсюда
После
разделения переменных получим
После
интегрирования
Отсюда
где
К5 - постоянная интегрирования, определяемая из начальных условий: при t = 0
ucо = U.
I Подставляя
начальные условия в последнее уравнение "найдем K5 = U.
Следовательно,
напряжение на конденсаторе при разрядке выражается уравнением
(3.8)
где
τ
= RC - постоянная времени цепи при разрядке конденсатора.
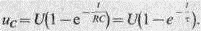
Итак,
напряжение на конденсаторе при разрядке уменьшается по экспоненциальному закону
от uсо = U до установившегося uСу = 0.
Сравнивая
формулу (3.8) с выражением свободного напряжения на конденсаторе при зарядке
[см. формулу (3.7)], убеждаемся в том, что они одинаковы, если не учитывать
изменения знака.
Длительность
переходного процесса, как и при зарядке, теоретически равна бесконечности, а
практически разрядка считается законченной при t = (4…5) τ.
Для
разрядного тока выражение получается на основе закона Ома:
Вопрос
о влиянии начального напряжения и параметров цепи на продолжительность
переходного процесса можно проанализировать, используя три основные
характеристики переходного процесса: начальное напряжение на емкости uC0 =
U; начальную скорость изменения uс:
постоянную
времени τ
= RC.
Эти
выражения совпадают соответственно с формулами (3.3), (3.4), (3.5). Только знак
в формуле начальной скорости изменился на обратный. Объясняется это тем, что
конденсатор теперь разряжается, а не заряжается, и напряжение uс
уменьшается, а не увеличивается, поэтому касательная к кривой uс в
начальный момент наклонена к оси времени под углом, большим 90°.
Контрольные
вопросы:
.
Каков закон изменения напряжения на конденсаторе после замыкания рубильника в
схеме рис. 1.2?
.
Чему равна постоянная времени электрической цепи с конденсатором?
.
Из каких составляющих состоит напряжение на конденсаторе?
Литература:
1. стр. 450-454, 2. стр. 369-372, 3. стр. 440-446.
Тема 4: Четырехполюсники при переменных токах и
напряжениях
Цель: Изучить методы расчета четырехполюсника
План:
. Уравнения четырехполюсника;
2. Основные уравнения четырехполюсника;
. Свойства четырехполюсников;
. Режимы четырехполюсника.
Нередко возникает задача исследовать изменение режима
одной ветви сложной электрической цепи при изменении i: электрических характеристик в другой ветви.
Решение такой задачи облегчается с помощью понятия о
четырехполюснике, так как в анализе рассматриваются только две ветви, а режим
остальной части цепи может оставаться неизвестным.
Такой метод применяется при исследовании линий
электропередачи, трансформаторов, электрических машин, усилителей и др.
. Уравнения четырехполюсника. Каждая из двух ветвей
электрической цепи, которые предполагается рассмотреть во взаимосвязи,
присоединены к остальной части цепи двумя зажимами или, как еще говорят, в двух
полюсах (рис. 4.1, а).
Часть электрической цепи, имеющая две пары зажимов,
одна из которых является входной, а другая - выходной, называется
четырехполюсником.
Внутреннее содержание и схемы четырехполюсников могут
быть разнообразны. Задача состоит в том, чтобы написать общие выражения,
пригодные для любого четырехполюсника.
Четырехполюсник, имеющий в своих ветвях источники
электрической энергии, называется активным, а четырехполюсник, не имеющий в
своих ветвях источников энергии,- пассивным.
Рисунок 4.1
Режим работы четырехполюсника относительно двух
ветвей, которые присоединяются к его зажимам, вполне определен, если известны
напряжения и токи на входе и выходе: u1, u2, i1, i2.
Задача ставится так: из четырех величин, определяющих
режим четырехполюсника, две величины заданы; их можно рассматривать как
заданные воздействия на цепь. Необходимо найти две другие величины, которые
являются откликами на эти воздействия.
На практике чаще приходится рассматривать схемы, в
которых одна из ветвей, присоединенных к четырехполюснику, содержит источник
энергии, а другая - приемник.
Зажимы, к которым присоединяется ветвь с источником,
будем считать входными, а зажимы, к которым присоединяется приемник -
выходными.
Входными зажимами может быть любая пара зажимов -
первичная 1-1 или вторичная 2-2 (рис. 4.1,б).
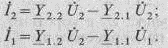
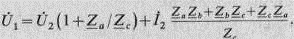
. Основные уравнения четырехполюсника. Обозначим
комплексы напряжения и тока со стороны первичных зажимов U1, I1, со стороны вторичных зажимов - U2, I2, U1 = E1, U2 = I2Z2
В режиме четырехполюсника ничего не изменится, если
вместо приемника Z2 ко вторичным
зажимам присоединить источник, ЭДС которого Е2 = - U2 (рис. 4.1, в).
После такой замены можно применить метод наложения для
нахождения зависимости между входными и выходными напряжениями и токами.
При коротком замыкании зажимов 2-2 (источник Е2
исключен) частные токи в схеме вызывает ЭДС Е1. Величины их пропорциональны
напряжению U1:
При наличии источника Е2 и коротком замыкании зажимов
1-1 величины токов пропорциональны U2:
Коэффициенты пропорциональности имеют размерность
проводимости: Y1A, Y22 - входные
проводимости; Y21, Y12 - взаимные проводимости.
В соответствии с принципом взаимности взаимные
проводимости равны между собой: Y21 = Y12.
Применяя принцип наложения токов, находим
или
(4.1)
Из этих уравнений можно получить другие уравнения, у
которых заданными можно считать напряжение и ток на выходе четырехполюсника, а
искомыми - напряжение и ток на входе. Для этого систему (4.1) надо решить
относительно U1, il:
(4.2)
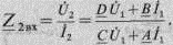
В этих уравнениях комплексы А, В, С, D называются коэффициентами или
параметрами четырехполюсника:
(4.3)
Уравнения в форме (4.2) удобно применять в тех
случаях, когда четырехполюсник выполняет роль передаточного звена между
источником и приемником энергии.
. Свойства четырехполюсников. Между коэффициентами
четырехполюсника имеется такая связь:
(4.4)
Это нетрудно доказать, если в формулу (4.3) подставить
выражения (4.2). Если поменять местами входные и выходные зажимы (рис. 4.1, г),
то уравнения вида (4.1) можно записать, поменяв I индексы при всех величинах:
Решение этих уравнений относительно U2 и /2 дает
(4.5)
Сопоставление (4.5) и (4.2) показывает, что при перемене местами входных
и выходных зажимов в уравнениях четырехполюсника меняются местами коэффициенты
А и D.
Рисунок 4.2
Отсюда следует, что при равенстве коэффициентов А и D четырехполюсник имеет одинаковую
цепь со стороны той и другой пары зажимов. Такой четырехполюсник называется
симметричным;
. Режимы четырехполюсника. Для практики наибольший
интерес представляет нагрузочный режим четырехполюсника. Однако раньше
рассмотрим режимы холостого хода и короткого замыкания на выходе четырехполюсника,
которые используются, в частности, для определения его параметров.
Рисунок 4.3
Холостой ход и короткое замыкание. В режиме холостого
хода на выходе четырехполюсника (рис. 4.3, а) I2 = 0; U2 = U2x. При коротком замыкании вторичных зажимов (рис. 4.3, б) U2 = 0; 12 = 12к-
Из уравнений (4.2) следует
(4.6)
Из этих выражений предоставляется возможным выразить
параметры четырехполюсника:
(4.7)
Если провести опыты холостого хода и короткого
замыкания, измерить напряжения и токи (модули и фазы) на входе и выходе
четырехполюсника, то параметры его легко определить по формулам (4.7).
Из опыта холостого хода можно также найти входное
сопротивление при разомкнутых вторичных зажимах [см. (4.6)]:
(4.8)
Из опыта короткого замыкания [см. (4.6)] находят
входное сопротивление при замкнутых накоротко вторичных зажимах:
(4.9)
Если известны внутренняя схема и сопротивления всех
ветвей пассивного четырехполюсника, то параметры его можно найти расчетом,
применяя известные методы преобразования схем. Сначала определяют входные
сопротивления Zlx и ZlK и дополнительно - входное сопротивление со стороны
вторичных зажимов при разомкнутых первичных зажимах (I1 = 0). Из уравнений (4.5)
(4.10)
Совместным решением четырех уравнений (4.4), (4.8), (18.9), (4.10)
определяют коэффициенты четырехполюсника.
В качестве контрольного можно использовать уравнение,
полученное на основе режима короткого замыкания на первичной стороне.
Входное сопротивление со стороны вторичных зажимов при
коротком замыкании на первичной стороне из (4.5) при Ul = 0
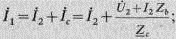
Режим при нагрузке. Напряжение и ток на входе
четырехполюсника (4.2) состоят из двух слагаемых. Учитывая выражения (4.7),
основные уравнения четырехполюсника можно записать так:
(4.11)
Из уравнений видно, что напряжение и ток на входе
четырехполюсника в режиме при нагрузке определяют наложением соответствующих
величин, известных по режимам холостого хода и короткого замыкания.
Рабочий режим четырехполюсника в некоторых случаях
характеризуется входным сопротивлением со стороны первичных зажимов (ZlBX) и со стороны вторичных зажимов (Z2ax).
Разделим первое уравнение (4.2) на второе
Но
поэтому
где Z2 -
сопротивление нагрузки на вторичной стороне.
Входное сопротивление со стороны вторичных зажимов
найдем из уравнений (4.5)
Учитывая, что
, где Z1 - сопротивление нагрузки на первичной стороне, найдем
(4.13)
Контрольные вопросы:
. Что называется четырехполюсником?
. Какой четырехполюсник называется активный, а какой пассивным?
. Назовите основные уравнения четырехполюсника.
. Каковы основные свойства четырехполюсника?
. Какие Вы знаете основные режимы четырехполюсника?
Литература: 1. стр. 317-320, 2. стр. 310-318, 3. стр. 392-396.
Тема 5: Схемы замещения пассивного
четырехполюсника
Цель: Изучить схемы замещения пассивного
четырехполюсника
План:
. Т-образная схема замещения;
. П-образная схема замещения;
. Приведение любой схемы четырехполюсника к одной из
эквивалентных схем.
Пассивный четырехполюсник, у которого сопротивления
элементов схемы постоянны, можно привести к одной из эквивалентных схем
замещения с тремя ветвями, соединенными звездой или треугольником.
. Т-образная схема замещения. Три ветви пассивного
четырехполюсника, соединенные звездой, образуют Т-образную схему замещения
(рис. 5.1, а). Для этой схемы ток на входе
(5.1)
Рисунок 5.1
Напряжение на входе
Подставляя Д из (18.14), получим

(5.2)
Сопоставим полученные уравнения входных величин тока
(5.1) и напряжения (5.2) с уравнениями четырехполюсника, найдем выражения
коэффициентов Т-образной схемы замещения пассивного четырехполюсника:
(5.3)
. В схеме рис. 5.1, а звезду сопротивлений Za, Zb, Zc можно заменить
эквивалентным треугольником сопротивлений Zab, Zbc>
Zca. После такой замены получим
эквивалентную П-образную схему замещения пассивного четырехполюсника (рис.
5.1,б).
Выразим входные величины этой схемы
или
(5.4)
или
(5.5)
Сопоставляя полученные уравнения напряжения (5.4) и
тока (5.5) с основными уравнениями четырехполюсника, найдем выражения
коэффициентов для П-образной схемы замещения пассивного четырехполюсника:
(5.6)
. Приведение любой схемы четырехполюсника к одной из
эквивалентных схем. Параметры схем замещения и постоянные пассивного
четырехполюсника связаны формулами (5.3) и (5.6). Из них нетрудно выразить
сопротивления Т- и П-образных схем. Параметры: Т-образной схемы из (5.3)
П-образной схемы из (5.6)
Отсюда следует путь приведения любой заданной схемы
пассивного четырехполюсника к одной из эквивалентных схем:
. Определить расчетом или на основе опыта коэффициенты
А, В, С, D заданного четырехполюсника.
. По формулам (5.5) или (5.6) найти параметры
эквивалентной схемы замещения.
Далее эквивалентную схему можно использовать для анализа заданного
четырехполюсника наравне с исходной схемой.
Контрольные вопросы:
. Какие Вы знаете схемы замещения пассивного четырехполюсника?
. Каков путь приведения любой заданной схемы пассивного четырехполюсника
к одной из эквивалентных схем?
Литература: 1. стр. 323-325, 2. стр. 320-323, 3. стр. 396-402.
Тема 6: Уравнения длинной
линии
Цель: Изучить схемы замещения, основные уравнения и
характеристики длинной линии
План:
. Схемы замещения длинных линий;
. Основные уравнения длинной линии;
. Характеристики длинной линии.
Длинные линии строят для передачи электрической
энергии, для электросвязи (передачи информации). Их рассматривают как объекты с
распределенными параметрами при низких частотах и длине в десятки и сотни
километров.
В радиотехнике при высоких частотах распределение
параметров по длине учитывают в более коротких участках проводов (единицы и
доли метра), например в антеннах.
. Схемы замещения длинных линий. На рис. 6.1
изображена схема электрической цепи, состоящей из источника и приемника
электрической энергии, связанных двухпроводной линией. Эту цепь можно
рассматривать неразветвленной, с одинаковым током во всех ее элементах, если не
учитывать двух обстоятельств: скорость распространения электромагнитных
возмущений конечна; имеются токи, обусловленные емкостью между проводами
(емкостный ток) и проводимостью изоляции (ток утечки через изоляцию). В данном случае
первое обстоятельство можно не учитывать, так как скорость распространения
электромагнитных возмущений действительно велика (в вакууме равна скорости
света).
Рисунок 6.1
Емкостные токи и токи утечки пропорциональны
напряжению между проводами; кроме того, емкостный ток увеличивается с ростом
частоты, так как уменьшается емкостное сопротивление. Поэтому при высоком
напряжении или большой частоте, а также при большой длине линии емкостные токи
и токи утечки становятся значительными по величине и их нельзя исключить из
расчета.
Рисунок 6.2
Токи между проводами существуют на сколь угодно малом
отрезке линии, поэтому ток в проводах уменьшается по мере удаления от начала
линии.
Вдоль линии напряжение между проводами тоже
неодинаково. Оно уменьшается в направлении от начала к концу линии, так как
растет падение напряжения, обусловленное активным и индуктивным сопротивлениями
проводов.
Для расчета можно составить схему замещения линии, изображенную
на рис. 6.2. На схеме замещения бесконечно малый участок двухпроводной линии
длиной dx представлен ячейкой с активным
сопротивлением Rodx прямого и
обратного проводов, индуктивностью Lodx, проводимостью Godx и
емкостью Codx между проводами. Вся линия
изображается электрической схемой последовательного соединения таких ячеек.
Активное сопротивление, индуктивность, проводимость и емкость считают
равномерно распределенными вдоль линий, a Ro, Lo, Go, Co - величины этих параметров на единицу длины.
Линия с равномерным распределением параметров
называется однородной. Реальные линии можно считать однородными лишь
приближенно, так как параметры их все же распределены неравномерно. Например,
проводимость воздушной линии сосредоточена в основном на опорах, а благодаря
провесу проводов емкость по отношению к земле вдоль пролета неодинакова.
В зависимости от целей и требуемой точности расчета
можно учитывать все четыре параметра или некоторые из них. Так, при
рассмотрении линии электропередачи с напряжением до 35 кВ и при частоте 50 Гц
часто не учитывают емкостные токи и токи утечки, т. е. считают равными нулю
параметры Со и Go.
При высокой частоте (например, в радиотехнических
устройствах) или при коротких импульсах напряжения в линиях, возникающих от
грозовых разрядов, емкостные токи между проводами могут быть сравнительно
большими и ими пренебрегать нельзя.
Рисунок 6.3
Вместе с тем при высокой частоте и малой длине линии в
отдельных случаях можно пренебречь активным сопротивлением Ro и проводимостью Go. При таком упрощении получается
линия без потерь, схема замещения которой показана на рис. 6.3.
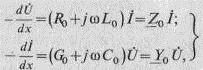
. Основные уравнения длинной линии. При синусоидальном
напряжении источника питания напряжение и ток в линии на любом расстоянии х от
ее начала изменяются во времени. Вместе с тем напряжение и ток изменяются вдоль
линии. Установившийся режим в длинной линии представляется довольно сложной
пространственно-временной картиной, для изучения которой необходимо получить
аналитическую зависимость напряжения и тока от двух независимых переменных -
времени и расстояния.
Решить такую задачу можно используя схему замещения
однородной линии (см. рис. 6.2). На схеме кроме параметров некоторого элемента
длины линии dx обозначены напряжение и ток в начале
и конце этого элемента, расположенного на расстоянии х от начала линии.
Падение напряжения в элементе длины dx линии
Разность токов в начале и конце того же элемента равна
сумме тока утечки и емкостного тока:
Из этих выражений получают дифференциальные уравнения
однородной линии, в которые входят комплексы токов и напряжений, изменяющихся
во времени по синусоидальному закону, а также их производные по переменной
координате х:
(6.1)
где Z0 = B0+jωL0 - полное сопротивление единицы
длины линии (определяется продольными параметрами линии); Yо = Go + jωCo - полная проводимость единицы длины
линии (определяется поперечными параметрами линии).
Продольные Ro, Lo и поперечные Go, Co параметры линии характеризуют совершенно различные
физические явления, поэтому между собой не связаны.
Далее можно составить уравнения, в которых переменными
будут напряжение или ток. Для этого дифференцируем по x уравнения (6.1):
учитывая выражения (26.1), получим линейные
дифференциальные уравнения второго порядка с постоянными коэффициентами
(6.2)
Решением первого уравнения из (26.2) является
выражение
(6.3)
Уравнение тока получим из (26.1) и (26.3):
(6.4)
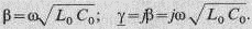
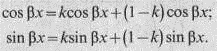
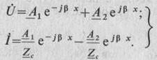
. Характеристики длинной линии. В выражениях (6.3) и
(6.4) А1 и А2 - постоянные коэффициенты, определяемые условиями в начале или
конце линии; γ - коэффициент распространения электромагнитной волны по линии
(коэффициенты выражаются комплексными числами):
(6.5)
Учитывая формулу (6.5), запишем другое уравнение тока:
или
(6.6)
где величина
(6.7)
имеет размерность сопротивления и называется волновым
сопротивлением линии.
Постоянные коэффициенты A1 и
А2 нетрудно найти, если известен режим в начале линии, т. е. даны U1 и I1.
Рисунок 6.4
Из уравнений (6.3) и (6.6) при х = 0
Отсюда
(6.8)
Отношение комплекса напряжения к комплексу тока в
начале линии называется входным сопротивлением линии.
Входное сопротивление линии при нагрузке Z2 можно определить через входные
сопротивления при холостом ходе Zx и
коротком замыкании ZK:
(6.9)
Коэффициент распространения электромагнитной волны у
как комплексную величину можно представить в алгебраической форме у=δ
+ jβ
Этот коэффициент, имея два слагаемых, характеризует
две стороны электромагнитного процесса в линии: затухание амплитуд и изменение
фазы напряжения и тока в зависимости от расстояния от начала линии.
В соответствии с этим действительная часть комплекса δ
называется коэффициентом
затухания, а мнимая часть β - коэффициентом фазы.
Коэффициент затухания δ показывает степень затухания
амплитуды колебаний при распространении волны на единицу длины.
На рис. 6.4 показан график распределения напряжения
вдоль линии в некоторый фиксированный момент времени. Из графика видно, что
напряжение вдоль линии распределено по периодическому закону, а амплитуды
напряжения затухают по экспоненциальному закону в направлении от начала к концу
линии.
Контрольные вопросы:
. Какая линия называется однородной?
. Какие основные уравнения длинной линии?
. Что называется входным сопротивлением линии?
. Что называется коэффициентом затухания?
Литература: 1. стр. 463-468, 2. стр. 330-335, 3. стр. 404-408.
Тема 7: Установившийся режим
в длинной линии без потерь
Цель: Уяснить установившийся режим в длинной линии без
потерь
План:
. Уравнения длинной линии без потерь;
. Холостой ход;
. Короткое замыкание;
. Стоячая волна;
. Бегущая волна;
. Волновое сопротивление, длина волны.
Линия без потерь, как уже было отмечено, не имеет
активных сопротивления Ro и
проводимости Go. В радиотехнике длинные линии с
малыми потерями встречаются часто, поэтому рассмотрение линии при Ro = 0 и Go = 0 имеет практическое значение.
. Уравнения длинной линии без потерь. Согласно
формулам (6.5) и (6.9), для линии без потерь коэффициент затухания δ
= 0, а коэффициент
распространения волны оказывается равным коэффициенту фазы:
Поэтому график распределения напряжения вдоль линии в
некоторый фиксированный момент времени представляет собой синусоиду.
Рисунок 7.1
Амплитуда напряжения вдоль линии остается постоянной
(рис. 6.5).
Волновое сопротивление [см. формулу (6.7)]
(7.1)
Уравнения напряжения и тока в линии без потерь,
согласно уравнениям (6.3), (6.6),
(7.2)
Вместо коэффициента А1 и А2 подставим их значения из
(26.8), определенные по известным величинам напряжения U1 и тока I1 в
начале линии (х = 0). Кроме того, сделаем замену:
После преобразования из уравнений (26.11) получим:
(7.3)
Из этих уравнений можно также получить выражения
напряжения и тока в любой точке линии, если известны напряжение U2 и ток I2 в конце линии, при условии отсчета расстояния от конца
линии:
(7.4)
С помощью уравнений (7.3) и (7.4) можно исследовать
различные режимы длинной линии без потерь.
. Холостой ход. При холостом ходе линии (I2 = 0)
(7.5)
Напряжение и ток вдоль линии в любой момент времени
распределены по синусоидальному закону, причем в пунктах, где напряжение равно
нулю, ток имеет наибольшую величину, а в пунктах с наибольшим напряжением ток
равен нулю (рис. 7.2, а, б).
Точки линии, в которых напряжение или ток равны нулю,
называются узлами, а точки с наибольшей величиной напряжения или тока -
пучностями.
Таким образом, узлы напряжения по месту расположения
на линии совпадают с пучностями тока, а пучности напряжения - с узлами тока.
Положение узлов напряжения и пучностей тока найдем,
приравняв нулю напряжение в первом уравнении (7.5): U = 0 при βх = k + π/2, где k - любое целое число или нуль, т. е. βх = π/2;
3/2π, 5/2π и т. д.
Положение на линии узлов тока и пучностей напряжения
определяется из второго уравнения (7.5) при I = 0.
Напряжение и ток, распределяясь вдоль линии по
синусоидальному закону без затухания, по такому же закону изменяются во
времени.
Рисунок 7.2
3. Короткое замыкание. Аналогичная картина наблюдается
и при коротком замыкании конца линии без потерь. Отличие электромагнитных
процессов в линии без потерь в режимах холостого хода и короткого замыкания
состоит лишь в том, что изменяется расположение пучностей и узлов напряжения и
тока по длине линии: в тех пунктах, где при холостом ходе находятся пучности
напряжения и узлы тока, при коротком замыкании обнаруживаются пучности тока и
узлы напряжения. В частности, в конце разомкнутой линии имеется пучность
напряжения и узел тока (I2 =
0), а в конце короткозамкнутой линии имеются пучность тока и узел напряжения (U2 = 0).
. Стоячая волна. Пусть вектор напряжения в конце
разомкнутой линии направлен по действительной оси комплексной плоскости, т. е.
начальная временная фаза напряжения равна нулю:
В этом случае мгновенные значения напряжения и тока в
линии можно выразить уравнениями
(7.6)
При ωt = 0 во всех точках линии напряжение отсутствует (u = 0). Затем напряжение растет во
всех пунктах линии, кроме узлов, и при ωt
= π/2 достигает
амплитуды.
Но эта амплитуда напряжения во всех пунктах линии
разная. В месте пучности напряжение достигает наибольшего значения U2m, а в узле оно всегда равно нулю.
Электромагнитный процесс, подчиняющийся уравнениям
(7.6), называется стоячей волной, характерной особенностью которой является
неподвижность узлов и пучностей на линии.
. Бегущая волна
Из тригонометрии известно, что
Следовательно, напряжение и ток в линии можно
представить суммой двух составляющих, каждая из которых является уравнением
бегущей волны:
(7.7)
Первое слагаемое в этих уравнениях - прямая волна,
распространяющаяся от начала к концу линии; второе - обратная волна с такой же
амплитудой.
В этом можно убедиться, рассмотрев подробно одну из
составляющих, например первую в уравнении напряжения.
Предположим, что некоторая величина напряжения и' в
момент времени t имеет место в
пункте, пространственное положение которого определяется расстоянием х от конца
(или начала) линии (см. рис. 7.2)
Распространение волны напряжения означает, что через
бесконечно малый промежуток времени dt такое же напряжение и' возникает в другом пункте линии, отстоящем от
первого на бесконечно малое расстояние dx:
Равенство напряжений в моменты времени, отстоящие на dt, возможно при равенстве аргументов
синусов в обоих уравнениях, т. е. при
Отсюда
или
(7.8)
Отношение
характеризует скорость
распространения волны напряжения вдоль линии и называется фазовой скоростью
волны.
Знак минус указывает на то, что волна движется от
начала к концу линии (расстояние х уменьшается).
Аналогично можно показать, что вторая составляющая
напряжения в уравнении (7.7) представляет собой волну, распространяющуюся в
обратном направлении (х увеличивается).
Волна, распространяющаяся от начала к концу линии, называется прямой или
падающей, а волна, распространяющаяся в обратном направлении (от конца линии к
началу),- обратной или отраженной.
Те же рассуждения можно отнести к составляющим тока во
втором уравнении (7.7).
Таким образом, стоячая волна напряжения представляет
собой сумму, а волна тока - разность прямой (падающей) и обратной (отраженной)
волн одинаковой амплитуды.
. Волновое сопротивление. Длина волны.
Уравнения (7.7) запишем в таком виде:
Отсюда
Волновое сопротивление линии выражается отношением
напряжения к току падающих волн или аналогичным отношением для отраженных волн.
Волновое сопротивление линии можно определить через
входные сопротивления при холостом ходе и коротком замыкании
(7.9)
Большой интерес представляет также расстояние, на
которое бегущая волна распространяется за время одного периода синусоидально
изменяющегося напряжения или тока.
Из формулы (7.8) видно, что фазовая скорость
постоянна, поэтому х = ωt/β.
Пусть, пройденный волной за время периода Т=2π/ω называется длиной волны
В линии без потерь фазовая скорость
(7.10)
а длина волны
Найдем величину фазовой скорости для воздушной линии
без потерь, подставляя в формулу (26.19) Lo и Со двухпроводной линии, определенные ранее [см. формулы (7.31),
(8.29)]:
Фазовая скорость электромагнитной волны в воздушной
линии без потерь равна скорости света.
Если среда, в которой распространяется
электромагнитная волна, характеризуется величинами диэлектрической εr и магнитной проницаемости μr, то
Принимая ν = Cо, при частоте f = 50
Гц получим длину волны λ = Cо/f =3·105)/50 = 6000 км.
Нетрудно заметить, что при частоте f = 50 Гц в реальных линиях
электропередачи 6 - 220 кВ, длина которых значительно меньше 6000 км,
укладывается только небольшая часть длины волны. Поэтому волнообразное
изменение напряжения и тока вдоль этих линий при такой частоте практически не
наблюдается.
В линиях дальних передач с номинальным напряжением 500 кВ и более
изменения величины напряжения вдоль линии становятся заметными и приходится
принимать меры к его выравниванию. С увеличением частоты длина волны
уменьшается. В технике связи, где применяются высокие частоты, длина волны
может быть во много раз меньше длины линии.
Контрольные вопросы:
1. Какое основное уравнение длинной линии без потерь?
2. Что называется стоячей волной?
. Что называется фазовой скоростью волны?
. Что называется прямой или падающей волной?
. Что называется волновым сопротивлением линии?
Литература: 1. стр. 468-476, 2. стр. 335-338, 3. стр. 408-412.
Тема 8: Нагрузочные режимы длинной линии без
потерь
Цель: Уяснить нагрузочные режимы длинной линии без потерь
План:
. Режим с согласованной нагрузкой;
. Режим с несогласованной нагрузкой;
. Коэффициенты отражения и преломления.
Кроме крайних режимов холостого хода и короткого замыкания для практики
еще более интересными являются нагрузочные режимы, когда в конце линии
включается приемник электромагнитной энергии. Из различных нагрузочных режимов
рассмотрим режимы с согласованной и несогласованной активными нагрузками.
. Режим с согласованной нагрузкой. Режим в линии называется
согласованным, если сопротивление нагрузки в конце линии равно ее волновому
сопротивлению: Z2 = Zс. В этом случае U2 = I2Zc, а уравнения
(7.3) записывают так:
(8.1)
Учитывая, что
уравнения (8.1) можно записать в виде
(8.2)
Предположим, что синусоидальное напряжение в конце линии имеет начальную
фазу ψ
= 0, тогда U2 = U2mejωt.
Если нагрузка линии активная (R2 = Zc), ток и напряжение совпадают по
фазе: I2 = I2ejωt.
Уравнения напряжения и тока в линии:
(8.3)
В этом случае мгновенные величины напряжения и тока в любом пункте линии
на расстоянии jc от ее концов определяются
уравнениями
(8.4)
Это уравнения бегущих волн напряжения и тока, распространяющихся от
начала к концу линии (прямые волны) с фазовой скоростью ν
= ω/β.
При согласованной нагрузке отраженных волн в линии нет, следовательно,
энергия, которую несет падающая электромагнитная волна, полностью поглощается в
нагрузке.
. Режим с несогласованной нагрузкой. Нагрузка линии называется
несогласованной, если нагрузочное сопротивление в конце линии Z, отличается от
т.е.
Рассмотрим случай, когда линия замкнута на активное сопротивление R2 > ZC. Напряжение в конце линии определяется произведением U2 = I2R2. Уравнения
(7.4) для этого случая
(8.5)
Отношение ZC/R2 = k называется коэффициентом бегущей волны.
С введением этого коэффициента уравнения (8.5) принимают следующий вид:
Вместо cos βx в уравнении напряжения и sin βx в уравнении тока подставим
тождественные им выражения:
После подстановки получим
(8.6)
Первые слагаемые в этих уравнениях аналогичны уравнениям (8.1). Анализ их
ранее показал, что они выражают бегущие волны напряжения и тока. Вторые
слагаемые аналогичны уравнениям (8.4), которые являются уравнениями стоячих
волн. Опуская промежуточные выводы, выполненные ранее для бегущих и стоячих
волн, напишем уравнения для мгновенных величин напряжения и тока при
несогласованной нагрузке:
(8.7)
Таким образом, режим в линии без потерь при несогласованной нагрузке
можно рассматривать как наложение бегущих и стоячих волн напряжения и тока.
Наличие бегущих волн в направлении от начала к концу пинии указывает на
потребление энергии в нагрузке. Однако потребляется лишь часть энергии
электромагнитной волны, другая часть отражается от конца линии. Режимы
холостого хода и с согласованной нагрузкой линии без потерь являются частными
случаями, соответствующими значениями коэффициента бегущей волны k = 0 (холостой ход) и k = 1 (согласованная нагрузка).
. Коэффициенты отражения и преломления. Представление электромагнитного
процесса в линии как наложение прямых (падающих) и обратных (отраженных) волн
напряжения и тока возможно не только в рассмотренных частных случаях. Оно
соответствует общим уравнениям напряжения и тока в линии (7.3), в правой части
которых записана сумма (разность) двух составляющих.
При анализе электромагнитных процессов в длинных линиях вводится понятие
о коэффициенте отражения ρ, который равен отношению комплекса напряжения
отраженной волны к комплексу напряжения падающей волны или аналогичному
отношению комплексов токов:
Выразим напряжение и ток в конце линии их падающими и отраженными
составляющими в соответствии с уравнениями (7.2):
При совместном решении этих уравнений найдем коэффициент отражения:
(8.8)
Подставим найденное выражение ρ в уравнения напряжения U2 и тока I2:
(8.9)
Множители
(8.10)
называются коэффициентами преломления волн напряжения (тока).
Согласно выражениям (8.9), коэффициент преломления равен отношению
комплексов напряжения (тока) в рассматриваемом пункте линии к комплексу
напряжения (тока) падающей волны
Анализ этих формул показывает:
) при холостом ходе линии (R2 = ∞)
коэффициент отражения ρ = 1, а коэффициенты преломления в конце
линии mu = 2, mi = 0; напряжение в конце линии равно удвоенной величине
напряжения падающей волны, а ток равен нулю: U2 = mu U2пад = 2Uпад; I2 = mi I2пад = 0;
) при коротком замыкании линии (R2 = 0) коэффициент отражения ρ = - 1; коэффициент преломления mu = 0; mi = 2; напряжение в конце линии равно нулю, а ток равен удвоенной
величине тока падающей волны: U2 =
0; I2 = 2I2пад;
) при согласованной нагрузке (R2 = Zc) коэффициент отражения ρ
= 0, коэффициент
преломления mu = 0; mi = 1; напряжение и ток в конце линии равны своим падающим
составляющим: U2 = U2пад; I2 = mi I2пад при несогласованной активной нагрузке (R2 > Zc) коэффициент отражения
где k - коэффициент бегущей волны;
или
или
Контрольные вопросы:
. Какая нагрузка линии называется несогласованной?
. Что называются коэффициентами преломления волн напряжения (тока).
. Что называется коэффициентом отражения?
Литература: 1. стр. 476-479, 2. стр. 338-342, 3. стр. 412-418.
Тема 9: Нелинейные электрические цепи
постоянного тока
Цель: Рассмотреть принципы решения некоторых задач расчета электрических
цепей с нелинейными элементами на основе их вольт-амперных характеристик.
План:
1. Эквивалентные схемы простейших нелинейных цепей;
. Статическое и динамическое сопротивления нелинейного
элемента;
. Приведение нелинейных цепей к линейным;
. Нелинейный активный двухполюсник;
В автоматике, электронике и радиотехнике широко
применяются элементы электрических цепей, имеющие нелинейную зависимость между
током и напряжением U = f(I).
Электрическая цепь, в которую входят нелинейные
элементы, называется нелинейной.
Нелинейную вольт-амперную характеристику имеют
электровакуумные приборы, фотоэлементы, газоразрядные приборы,
полупроводниковые приборы.
Большую группу нелинейных элементов представляют
нелинейные сопротивления: терморезисторы, варисторы, бареттеры и др.
В данной теме рассмотрены принципы решения некоторых задач расчета
электрических цепей с нелинейными элементами на основе их вольт-амперных
характеристик.
1. Эквивалентные схемы простейших нелинейных цепей.
Для нелинейных электрических цепей остаются справедливыми законы Ома и
Кирхгофа. Однако рассмотренные ранее методы расчета для нелинейных цепей
непосредственно применить нельзя.
Аналитический расчет нелинейной цепи можно выполнить
при условии, что вольт-амперные характеристики нелинейных элементов выражаются
относительно простыми уравнениями U = f(I). Например, для электронной лампы известна зависимость I = kU3/2. Кроме того, характеристики некоторых нелинейных
элементов в определенном интервале изменения напряжения и тока прямолинейны или
близки к прямой. В таких случаях можно составить для нелинейного элемента
эквивалентную схему замещения с линейными элементами и ввести ее в
аналитический расчет.
В других случаях схемы замещения остаются нелинейными,
но с их помощью достигаются упрощения схем нелинейных цепей.
. Статическое и динамическое сопротивления нелинейного
элемента. У нелинейных элементов различают статическое и динамическое
сопротивления (рис. 6.1, а).
Статическим сопротивлением в данной точке а
вольт-амперной характеристики называют отношение напряжения к току,
соответствующему этой точке
(9.1)
где mu и mi - масштабы напряжения и тока; mR = mu/mi - масштаб
сопротивления.
Динамическое сопротивление в точке а определяется
отношением бесконечно малых приращений напряжения dU и тока dI:
(9.2)
Динамическое сопротивление пропорционально тангенсу
угла наклона касательной к вольт-амперной характеристике в точке а.
. Приведение нелинейных цепей к линейным. Если
продолжать линейный участок h-b-a характеристики до пересечения с осью напряжения, то он
пересечет ее в точке f.
Отрезок of в
принятом масштабе напряжений выражает постоянное напряжение Uo.
Рисунок 9.1 Рисунок 9.2
Нетрудно заметить, что в любой точке h прямолинейной части вольт-амперной
характеристики напряжение складывается из постоянного напряжения Uo и изменяющейся части, определяемой
произведением тока и динамического сопротивления, т. е. прямая fh выражается уравнением
(9.3)
На основании уравнения (6.3) нелинейный элемент можно
представить схемой последовательного соединения ЭДС Ео = Uo и динамического сопротивления Rдин (рис. 9.1, б). При этом
Аналогичную схему замещения можно получить для
нелинейного элемента с вольт-амперной характеристикой, обращенной выпуклостью к
оси токов (рис. 9.2, а). ЭДС Ео в этом случае будет направлена по направлению
тока. На примере данной характеристики покажем, что нелинейный элемент можно
представить схемой параллельного соединения источника тока и динамической
проводимости Gдин.
В линейной части характеристики ток можно представить
в виде суммы
(9.4)
Этому равенству соответствует схема замещения рис.
9.2, б.
После замены нелинейных элементов эквивалентными схемами замещения с
линейными элементами нелинейную цепь можно рассчитать одним из методов,
применяемых для расчета линейных цепей.
4. Нелинейный активный двухполюсник. Нелинейный
элемент, вольт-амперная характеристика которого не проходит через начало
координат (рис. 9.3, а), можно представить схемой последовательного соединения
постоянной ЭДС и нелинейного сопротивления.
Если характеристику нелинейного элемента перенести
так, чтобы она проходила через начало координат, то получится зависимость I(U) нелинейного сопротивления эквивалентной схемы, в которую
кроме этого нелинейного сопротивления последовательно включен источник ЭДС Ео.
Рисунок 9.3
Эквивалентная схема рис. 9.3, б представляет собой
активный нелинейный двухполюсник, для которого справедливо уравнение по второму
закону Кирхгофа. В данном случае
(9.5)
Эту схему вводить в аналитический расчет нельзя, так
как она остается нелинейной в отличие от схемы рис. 9.1, б или 9.2, б, но ее
можно использовать для упрощения более сложной схемы, в которую она входит как
часть.
В некоторых случаях полезно или необходимо обратное
построение: по известной вольт-амперной характеристике нелинейного
сопротивления и величине ЭДС Е последовательно с ним включенного источника
строят вольт-амперную характеристику активного нелинейного двухполюсника (рис.
9.3, в, г).
Контрольные вопросы:
. Какие приборы имеют нелинейную вольт-амперную характеристику?
. Что называют статическим сопротивлением?
. Что называют динамическим сопротивлением?
Литература: 1. стр. 95-98, 2. стр. 110-118, 3. стр. 128-134.
Тема 10: Графический расчет
нелинейных электрических цепей
Цель: Уяснить графический метод расчет нелинейных электрических цепей
План:
1. Последовательное соединение двух нелинейных элементов;
2. Параллельное соединение двух нелинейных элементов;
3. Смешанное соединение нелинейных элементов;
4. Примеры упрощения схем нелинейных цепей;
.1 Цепь с двумя узлами;
.2 Цепь с одним нелинейным сопротивлением;
.3 Цепь с двумя нелинейными сопротивлениями;
. Метод последовательных приближений.
Многие нелинейные элементы, применяемые в практике,
имеют вольт-амперные характеристики, у которых нет линейных участков, и
уравнения для их аналитического выражения.
Расчет цепей, содержащих такие элементы,
осуществляется графическими методами, которые применимы при любом виде
вольт-амперных характеристик и дают результаты достаточной точности.
Исходные данные для расчета (вольт-амперные
характеристики элементов цепи) задаются в виде графиков или таблиц.
Задачу определения тока одного элемента по напряжению
этого элемента или обратную задачу решают просто: заданное значение отмечают на
оси координат, находят соответствующую ей точку кривой, а затем на другой оси
определяют искомое значение.
Рассмотрим, как решаются такие задачи, когда несколько
элементов соединены между собой в нелинейной цепи.
. Последовательное соединение двух нелинейных
элементов. Для расчета такой цепи (рис. 10.1, а) заданные вольт-амперные
характеристики элементов I(U1) и I(U2) строят в общей
системе координат (рис. 10.1, б).
Далее строят вольт-амперную характеристику I(U) всей цепи, выражающую зависимость тока в цепи от общего
напряжения.
Ток I
обоих участков цепи одинаков, а общее напряжение U = U1 + U2.
Для построения общей вольт-амперной характеристики
достаточно сложить абсциссы исходных кривых I(U1) и I(U2).
Проведем прямую, параллельную оси абсцисс и
соответствующую току I1.
Отрезки 1-2 и 1-3 в выбранном масштабе выражают напряжения U1, U2 на участках. Сложив эти отрезки, на той же прямой получим
точку 4 общей вольт-амперной характеристики.
Для других значений тока аналогично найден еще ряд точек, через которые
проведена общая вольт-амперная характеристика.
Рисунок 10.1 Рисунок 10.2
Построение вольт-амперных характеристик (рис. 10.1, б) является
подготовительным этапом для решения различных задач, относящихся к подобным
цепям. Требуется, например, определить ток в цепи и напряжения Ux и U2 на участках, если общее напряжение U известно.
На оси абсцисс находим точку 5, определяющую напряжение U (отрезок 0-5 в масштабе напряжений
выражает напряжение в цепи). Через нее проводим перпендикуляр к оси абсцисс до
пересечения с общей вольт-амперной характеристикой I(U) в точке 4. Из
точки 4 проводим линию, параллельную оси абсцисс. Отрезок 5-4 выражает ток в
цепи, а отрезки 1-2 и 1-3 - напряжения на участках (соответственно U1 и U2),
. Параллельное соединение двух нелинейных элементов. При параллельном
соединении двух нелинейных элементов (рис. 10.2, а) к ним приложено одно и то
же напряжение U, а ток в неразветвленной части цепи
равен сумме токов в ветвях: I = I1+I2.
Для построения общей вольт-амперной характеристики I(U) нужно для ряда значений U сложить ординаты вольт-амперных характеристик элементов, как
показано на рис. 10.2, б. При напряжении их (отрезок 0-1) сумма отрезков 1-2
(ток I1 и 1-3 (ток I2) равна отрезку 1-4 (ток I).
Предположим, что по заданному значению U = U1
нужно определить токи в ветвях и общий ток I. На оси абсцисс откладываем отрезок 0-1, выражающий
напряжение U1 и через точку 1 проводим линию,
параллельную оси ординат. Определяем точки 2, 3, 4 пересечения прямой с
вольт-амперными характеристиками. Отрезки 1-2, 1-3, 1-4 в масштабе токов
выражают токи в цепи I1, I2, I3.
Аналогично решают задачи при параллельном соединении нелинейного элемента
с линейными, а также при большем числе линейных и нелинейных элементов.
. Смешанное соединение нелинейных элементов. При смешанном соединении
нелинейных элементов графический расчет цепи производится методом «свертывания»
схемы: в соответствии со схемой соединения элементов складываются их
вольт-амперные характеристики.
Рассмотрим решение этой задачи применительно к схеме рис. 10.3, а. По
заданным характеристикам I2(U2), I3(U3) параллельно
соединенных элементов строится вольт-амперная характеристика участка цепи между
точками.
Для примера на рис. 10.3, б при напряжении U2 (отрезок 0-1) определены токи I2 (отрезок 1-2) и I3 (отрезок J-3), а затем ток I1 = I2 + I3
(отрезок 1-4).
Далее строим вольт-амперную характеристику I1(U) всей цепи,
учитывая, что участок цепи между точками b, с включен последовательно с нелинейным элементом на участке
аb. Для примера при токе I1 (отрезок 0-7) определены напряжения
U1 (отрезок 7-5) и U2 (отрезок 7-4), а также общее
напряжение U = U1 + U2
(отрезок 7-6).
После построения вольт-амперных характеристик порядок решения задачи
зависит от ее условия. Пусть задано напряжение в цепи. Требуется определить токи
в схеме и напряжения на участках.
Отложив на оси абсцисс отрезок 0-11, выражающий напряжение U, проведем линию 11-6 параллельно оси
ординат до пересечения с кривой I1(U). Отрезком 11-6 определяется ток I1 в неразветвленной части цепи.
Прямая, параллельная оси абсцисс, проведенная через точку 6, пересекает кривые I1(U1) и I1(U2) в точках 5 и 4. Отрезками 7-4 и
7-5 определяются напряжения U2 и U1 на участках. Напряжение U2 - общее для параллельно соединенных
участков с токами I2 и I3. Для определения этих токов через
точку 4 проводится прямая, параллельная оси ординат. Пересечение этой прямой с
кривыми I2(U2) и I1(U2) в точках 2 и 3 дает отрезки 1-2 и
1-3, определяющие токи I2 и I3.
. Примеры упрощения схем нелинейных цепей. Расчеты разветвленных
нелинейных электрических цепей при наличии в схеме произвольного количества
элементов представляют значительные трудности. В зависимости от вида схемы
принимается тот или другой путь расчета, но во всех случаях основой является
систематическое упрощение схемы. Рассмотрим некоторые конкретные примеры.
.1 Цепь с двумя узлами. Между двумя узлами 1 и 2 (рис. 10.4) включены три
ветви, две из которых представляют собой последовательное соединение
нелинейного сопротивления и постоянной ЭДС.
Нелинейные сопротивления заданы вольт-амперными характеристиками I1(U1); I2(U2), I3(U3) (рис. 10.5).
Рисунок 10.4 Рисунок 10.5
Ток каждой ветви можно выразить в зависимости от напряжения между узлами:
U1.2 = Е1 - U1 (I1); U1.2 = E2 - U2(I2);
Построение кривых I1 (U1.2) и I2(U1.2) проводится
так: для ряда значений тока определяют разность ЭДС и соответствующих значений
напряжения; через полученные точки проводят кривые. Кривая I3(U1.2) совпадает с заданной кривой I3(U3), так как U1.2 = U3.
Далее строится кривая (I1 + I2)(U1.2); Для ряда значений U1.2 определяют сумму токов I1 + I2,
которая согласно первому закону Кирхгофа равна I3.
Заметим, что кривая (I1+I2) (U1.2) является вольт-амперной характеристикой нелинейного
активного двухполюсника, эквивалентного двум ветвям исходной схемы. Построение
этой кривой означает замену двух ветвей (7 и 2) одной ветвью, что является
упрощением заданной схемы. Нетрудно представить, что такой путь можно применить
при наличии в схеме большего числа ветвей и постепенно привести ее к схеме
простейшего активного нелинейного двухполюсника.
.2 Цепь с одним нелинейным сопротивлением. Предположим, что в
разветвленную цепь входит несколько линейных элементов, в том числе источники
ЭДС, и одно нелинейное сопротивление (рис. 10.6, а). Ветвь с нелинейным
сопротивлением можно выделить, а оставшуюся линейную часть представить в виде
активного двухполюсника.
Включим в нелинейную ветвь ЭДС Е' такой величины, чтобы ток в ней
уменьшился до нуля. Для активного линейного двухполюсника такое состояние
является режимом холостого хода, поэтому E' = Ux,
где Ux - напряжение холостого хода.
Для того чтобы получить ток, т. е. возвратиться к первоначальному режиму,
можно в нелинейную ветвь включить еще одну ЭДС Е", равную по величине E", но направленную ей встречно
(рис. 10.6, б). Можно сказать, что ток в нелинейной ветви вызывает только ЭДС
Е", а остальные ЭДС (Е' и активного двухполюсника) тока не вызывают и их
можно из схемы исключить, накоротко замкнув точки, к которым эти источники
присоединены.
Рисунок 10.6
В результате получается схема последовательного соединения пассивного
линейного двухполюсника с активным нелинейным двухполюсником (рис. 10.6, в).
Отсюда следует порядок расчета первоначально заданной нелинейной цепи: 1)
определяют напряжение холостого хода и входное сопротивление линейного
двухполюсника (рис. 10.6, г); 2) находят, например графически, ток и напряжение
в нелинейной ветви; 3) определяют токи в линейной части цепи, считая
сопротивление нелинейной ветви R=U/I постоянным.
.3 Цепь с двумя нелинейными сопротивлениями. В сложную цепь могут входить
два нелинейных сопротивления, которые простым преобразованием не приводятся к
одному сопротивлению (рис. 10.7, а).
Упрощение и расчет такой цепи можно осуществить в следующем порядке.
Выделим нелинейные сопротивления, а оставшуюся часть цепи представим активным
линейным четырехполюсником, у которого к первичным и вторичным зажимам
присоединено по одному нелинейному сопротивлению.
В каждой нелинейной ветви можно провести преобразования, такие же, как на
рис. 10.6, и провести аналогичные рассуждения (рис. 10.7, б). В данном случае
линейный четырехполюсник можно представить Г-образной схемой замещения и
получить схему с двумя узлами, изображенную на рис. 10.7, в.
Рисунок 10.7
Затем надо определить сопротивления Г-схемы четырехполюсника и решить
задачу так, как указано в начале этого параграфа. При необходимости от Г-схемы
четырехполюсника известными способами можно перейти к исходной схеме, считая
при этом сопротивления нелинейных ветвей постоянными, так как токи в них
найдены.
Подобный путь применяют для расчета цепей с тремя (и более) нелинейными
сопротивлениями.
. Метод последовательных приближений. Суть этого метода заключается в
предварительном выборе ожидаемого результата и последовательной его проверке и
уточнении.
Рассмотрим метод на примере относительно простой цепи последовательного
соединения двух нелинейных сопротивлений рис. 6.4, а. Даны напряжение на
зажимах цепи и вольт-амперные характеристики нелинейных элементов. Ток в цепи
по закону Ома
(10.1)
где n - порядковый номер приближения.
Первое значение тока I1 в
цепи выбирают ориентировочно, если имеются для этого какие-то основания, а если
их нет, то произвольно. По вольт-амперным характеристикам определяют напряжения
на нелинейных элементах U1 и U2 и затем по закону Ома -
сопротивления R1 и R2: R1 = U1/I1; R2 = U2/I1
По формуле (10.1) находят второе приближение тока:
По найденному значению тока I2 и вольт-амперным характеристикам снова определяют напряжения на
нелинейных элементах и их сопротивления, а затем опять находят ток и так до тех
пор, пока результат не начнет практически повторяться. Обычно достаточно точный
ответ получают после четырех-пяти повторений расчета, если процесс приближений
обладает сходимостью. В случае расходящегося процесса задачу следует решать на
основе уравнения для другой величины вместо (10.1), например для напряжения на
одном из нелинейных элементов:
(10.2)
Контрольные вопросы:
. Как решаются задачи, когда несколько элементов соединены между собой в
нелинейной цепи?
. В чем заключается метод последовательных приближений?
Литература: 1. стр. 99-103, 2. стр. 118-122, 3. стр. 134-138.
Тема 11: Расчет электрических полей. Закон
Кулона
Цель: Уяснение расчета электрических полей и закона Кулона
План:
1. Электрическое поле уединенного заряженного тела;
2. Электрическое поле группы заряженных тел.
В рабочем состоянии электрических устройств и установок между
токоведущими частями имеется разность потенциалов, т. е. существует
электрическое поле.
Кроме основного (разрешенного) канала тока имеется бесчисленное
множество потенциальных каналов, которые закрыты электрической изоляцией. Таким
образом, электрическая изоляция находится под действием электрического поля и
должна быть рассчитана на то, чтобы надежно выполнять свои функции. Для расчета
необходимо определить характеристики электрического поля.
Эти и другие вопросы, относящиеся к электрическому
полю, рассматриваются в данной главе.
Применение закона Кулона для расчета электрического
поля. Расчет электрических полей на основе закона Кулона применяется в тех
случаях, когда электрические заряды тел можно рассматривать сосредоточенными в
весьма малом объеме, т. е. полагать заряженные тела точечными.
. Электрическое поле уединенного заряженного тела.
Из закона Кулона следует, что напряженность электрического
поля уединенного точечного заряженного тела
(11.1)
где Q -
величина заряда тела; Qo -
заряд пробного тела; r -
расстояние от заряженного тела до точки, в которой определяется напряженность
поля.
Электрическое поле уединенного точечного заряженного
тела неравномерно. Найдем потенциал поля в некоторой точке 1 (см. рис. 12.1),
выразим работу в поле на пути от некоторой точки 1 до бесконечности:
где r1 -
расстояние от заряженного тела до точки 1.
Положение точки 1 выбрано произвольно, поэтому
полученное выражение можно записать для любой точки
(11.2)
Напряжение между точками 1 и 2
Между напряженностью электрического поля и потенциалом
в некоторой точке имеется определенная связь, которую выразим в общем виде.
Из выражения следует:
Знак минус в этих выражениях указывает на то, что
энергия убывает, если перемещение происходит в направлении напряженности поля.
Отсюда
(11.3)
Еn -
величина проекции вектора Е на направление dl.
. Электрическое поле группы заряженных тел. При
рассмотрении электрического поля в вакууме (а также в воздухе) установили, что
напряженность поля линейно зависит от заряда тела [в выражении (11.1) Q = const]. Поэтому при определении напряженности
результирующего поля от действия нескольких заряженных тел можно пользоваться
принципом наложения полей.
В каждой точке пространства, окружающего заряженные
тела, электрическое поле одного тела накладывается на поле другого.
Для определения общей напряженности нужно найти
величину и направление вектора напряженности каждого из составляющих полей, а
затем сложить векторы:
(7.4)
Принцип наложения действителен и при определении
потенциала в некоторой точке результирующего поля. Но потенциалы складываются
алгебраически, так как они скалярные величины:
(7.5)
Контрольные вопросы:
. Когда применяется закон Кулона при расчете электрических полей?
. Какая имеется связь между напряженностью электрического поля и
потенциалом в некоторой точке?
Литература: 1. стр. 108-111, 2. стр. 130-132, 3. стр. 140-144.
Тема 12: Теорема Гаусса и ее
применение
Цель: Уяснить теорему Гаусса и ее применение в решении задач
План:
1. Поток вектора напряженности электрического поля;
. Теорема Гаусса;
. Поле заряженной плоскости;
. Поле заряженного шара;
. Поле заряженного прямого провода
В практике чаще встречаются случаи, когда заряд тела
распределен по его поверхности с некоторой плотностью. В таких случаях задачи
решаются более просто на основе теоремы Гаусса.
. Поток вектора напряженности электрического поля.
Рассматривая электрическое поле, изображенное на рис. 12.1, выделим элемент
поверхности площадью dS. Он
представляет собой маленькую часть сферы радиусом r, в центре которой помещено точечное тело с положительным
зарядом Q.
В силу геометрической симметрии поля вектор
напряженности Е по величине одинаков во всех точках поверхности и направлен
перпендикулярно ей. Произведение EdS
выражает величину элементарного потока dN вектора напряженности электрического поля через элемент
поверхности dS, если линии напряженности
перпендикулярны пронизываемой ими поверхности: dN = EdS.
Рисунок 12.1
Определим полный поток N вектора напряженности
электрического поля, для чего сложим элементарные потоки по всей поверхности
сферы:
(12.1)
Вынося постоянную величину Е за знак суммы и учитывая,
что вектор Е всюду перпендикулярен поверхности сферы, получаем
(12.2)
где §dS=4nr2 - площадь сферы; следовательно,
(12.3)
Подставляя напряженность поля в формулу (11.1),
получим
(12.4)
. Теорема Гаусса. Приведенные рассуждения справедливы
и при отрицательном заряде с той лишь разницей, что поток вектора напряженности
в этом случае отрицательный.
Из формулы (12.4) следует, что поток N не зависит от
радиуса сферической поверхности.
Потоку вектора напряженности электрического поля можно
придать некоторую наглядность с помощью линий напряженности.
Вследствие симметрии электрического поля в
рассматриваемом случае линии напряженности пронизывают всю поверхность сферы и
их плотность (число линий на единицу площади) одинакова. Предположим, что эта
плотность выбрана численно равной напряженности поля. Тогда общее число линий,
пронизывающих поверхность сферы, будет численно равно полному потоку вектора
напряженности поля N.
Число линий напряженности, а следовательно, и поток
вектора напряженности остаются одинаковыми для сферы любого радиуса. Это
справедливо и для элементов dS' и dS" сферических поверхностей,
через которые проходят одни и те же линии напряженности (рис. 12.1), образующие
конус с вершиной в центре сферы.
Элементарный поток вектора напряженности заключен
внутри указанного конуса и пронизывающие элемент поверхности dS линии напряженности образуют
элементарную трубку поля. Сложив потоки всех трубок по всему объему шара,
получим полный поток вектора напряженности электрического поля точечного
заряженного тела.
Можно доказать, что формула (12.4) справедлива не
только для сферы, окружающей точечное запряженное тело, но и для любой
замкнутой поверхности.
В общем случае направление вектора напряженности Е
может быть не перпендикулярно элементу поверхности dS около выбранной точки А (рис. 12.2). Угол между направлением
вектора Е и внешней нормалью n к
поверхности в точке А обозначим а (внешняя нормаль - это линия,
перпендикулярная поверхности в выбранной точке, направленная от этой
поверхности с внешней стороны). Для определения потока через элемент
поверхности нужно взять проекцию вектора Е на направление внешней нормали
где
Тогда
Рисунок 12.2
(12.5)
Суммирование элементарных потоков по всей замкнутой
поверхности дает полный поток
Если внутри замкнутой поверхности находится любое
число тел с разноименными зарядами, в формулы (12.4) и (12.5) следует ввести
алгебраическую сумму всех зарядов
(12.6)
Алгебраическая сумма зарядов берется в данном случае
потому, что линии напряженности при положительных и отрицательных зарядах
направлены противоположно.
Формула (12.6) является математическим выражением
теоремы Гаусса, которая формулируется так: поток вектора напряженности
электрического поля сквозь замкнутую поверхность в вакууме равен отношению
электрического заряда, заключенного внутри этой поверхности к электрической
постоянной.
. Поле заряженной плоскости. Бесконечная плоскость
(рис. 12.3) имеет заряд, распределенный с плотностью а. Выделим вокруг части
этой плоскости замкнутую поверхность, которая образована двумя плоскими
поверхностями, параллельными заряженной плоскости, и цилиндрической боковой
поверхностью, перпендикулярной ей. Вследствие симметрии все точки поверхности S имеют одинаковую напряженность поля.
Рисунок 12.3 Рисунок 12.4
Кроме того, вектор напряженности направлен
перпендикулярно заряженной плоскости, т. е. перпендикулярно поверхности S и параллельно цилиндрической боковой
поверхности. В этом случае поток вектора напряженности через цилиндрическую
поверхность равен нулю и, следовательно, общий поток равен потоку через
поверхности S.
Заряд, заключенный внутри выделенной поверхности,
составляет aS. Согласно теореме Гаусса,
Отсюда
(12.7)
Электрическое поле двух параллельных бесконечных
плоскостей, несущих разноименные заряды одинаковой плотности (рис. 12.4),
определяется наложением полей положительной и отрицательной пластин.
Как видно из формулы (12.7), напряженность поля
бесконечной плоскости не связана с расстоянием от нее. Поэтому вне пластин
(точка А) поля положительной и отрицательной пластин взаимно скомпенсированы,
т. е. результирующая напряженность поля равна нулю (Е = 0).
Между пластинами (точка В) поля их складываются,
поэтому
(12.8)
Таким образом, между двумя бесконечными плоскостями,
заряженными противоположно с одинаковой плотностью заряда, напряженность поля
одинакова во всех точках по величине и направлению, т. е. электрическое поле
равномерно.
. Поле заряженного шара. Наметим в пространстве,
окружающем заряженный шар, произвольную точку 1, отстоящую от центра шара на
расстоянии r (рис. 12.5). Выделим сферическую
поверхность, концентричную с поверхностью заряженного шара, так, чтобы точка 1
лежала на этой поверхности. Вследствие симметрии все точки выделенной
поверхности имеют одинаковую напряженность. В данном случае вектор напряженности
Е направлен радиально в каждой точке, т. е. перпендикулярно выбранной
сферической поверхности.
Поток вектора напряженности поля через выделенную
сферическую поверхность
Рисунок 12.5 Рисунок 12.6
Заряд шара
где с - поверхностная плотность заряда; R - радиус шара. Согласно теореме
Гаусса [см. формулу (12.4)],
Отсюда для напряженности поля получим выражение
(12.9)
Напряженность поля заряженного шара имеет такое же
выражение, какое получено из закона Кулона для точечного заряженного тела. Следовательно,
заряд шара можно считать сосредоточенным в центре и рассматривать заряженный
шар как точечное заряженное тело. При r = R
На рис. 12.5 показаны графики зависимости
напряженности и потенциала поля уединенного заряженного шара от расстояния r.
. Поле заряженного прямого провода. Проведем через
некоторую точку 1 пространства цилиндрическую поверхность, ось которой
совпадает с осью провода круглого сечения (рис. 12.6).
Вследствие симметрии во всех точках выделенной поверхности линии
напряженности перпендикулярны ей, а напряженность поля одинакова: Еn = Е.
Поток вектора напряженности
где
- соковая поверхность цилиндра.
Поток через основания цилиндра равен нулю, так как линии напряженности не
пронизывают их.
Согласно теореме Гаусса,
(12.10)
где
τ - линейная плотность заряда на проводе.
Контрольные вопросы:
. Назовите математическое выражение теоремы Гаусса.
. Что называется элементарным потоком вектора напряженности?
Литература: 1. стр. 111-116, 2. стр. 132-136, 3. стр. 144-148.
Тема 13: Магнитное поле
Цель: Изучить явления магнитной индукции и закон Ампера
План:
1. Закон Ампера;
. Магнитная индукция;
. Линии магнитной индукции.
Магнитное поле окружает движущиеся элементарные
частицы, обладающие электрическим зарядом, и связано с ними. В проводнике с
током и пространстве вокруг него магнитное поле создается этим током, а внутри
и вне намагниченного тела (постоянного магнита) - внутриатомным и
внутримолекулярным движением элементарных заряженных частиц (например,
вращением электронов вокруг собственной оси и ядра атома).
Магнитное поле характеризуется воздействием на
движущуюся электрически заряженную частицу с силой, пропорциональной заряду
частицы и ее скорости.
Закон Ампера. Магнитная индукция. Магнитное поле
обнаруживается благодаря магнитным явлениям: притяжению и отталкиванию проводов
с токами или намагниченных тел, действию проводника с током на магнитную
стрелку, электромагнитной индукции.
В основе этих явлений лежит характерное свойство
магнитного поля - силовое действие на движущиеся заряженные частицы. Силы
взаимодействия магнитного поля с движущимися заряженными частицами (токами)
называются электромагнитными.
Изучение магнитных явлений и расчеты, связанные с их
использованием, невозможны без количественной оценки магнитного поля.
Выбирая необходимую для этого величину, можно исходить
из силового взаимодействия двух проводов с токами.
. Закон Ампера. Опыт показывает, что на каждый из двух
проводов действуют силы, притягивающие друг к другу провода с одинаковым
направлением токов и отталкивающие провода с противоположными направлениями
токов (рис. 13.1). Магнитные поля, обусловленные каждым из токов, распределены
в одной и той же области пространства. Поэтому в соответствии с принципом
наложения можно полагать, что оба провода окружены общим магнитным полем,
которое получается в результате наложения двух полей. Каждое поле связано со
своим током, когда соответствующий провод уединен.
Рисунок 13.1 Рисунок 13.2
В таком случае притяжение или отталкивание проводов
нужно рассматривать как результат силового действия общего магнитного поля на
заряженные частицы, образующие ток в каждом из проводов. Количественные
соотношения для этого случая определены законом Ампера, согласно которому
силовое действие магнитного поля на движущиеся заряженные частицы
рассматривается как взаимодействие двух элементов тока.
Величина силы взаимодействия между двумя элементами
тока в вакууме пропорциональна произведению элементов тока и обратно
пропорциональна квадрату расстояния между ними.
Элементом тока называется произведение Idl, где dl - длина участка провода с током I, весьма малая (так же как и диаметр провода) по сравнению с
расстоянием от него до точек, в которых рассматривается магнитное поле тока I.
Если элементы тока расположены параллельно, то сила
взаимодействия между ними
(13.1)
где I1dl1 I2dl2 - элементы
токов; r - расстояние между элементами; α
- угол между
направлением одного из элементов тока и отрезком прямой r, проведенным от этого элемента к
другому; μо/4π - коэффициент пропорциональности, величина которого
определяется в зависимости от системы единиц. Числитель этого коэффициента μо называется магнитной постоянной.
В Международной системе единиц (СИ) магнитная
постоянная
- единица индуктивности. Заметим, что формула (13.1) и
последующие формулы, относящиеся к магнитному полю в вакууме, справедливы и для
магнитного поля в воздухе.
2. Магнитная индукция. Предположим, что элемент
линейного тока I2dl2 столь мал, что его поле практически
не изменяет поле тока I1.
Тогда этот элемент линейного тока можно рассматривать как пробный, служащий
лишь для регистрации электромагнитной силы, которая в этом случае является
результатом действия магнитного поля первого тока на пробный элемент линейного
тока.
Значение тока I1 определяет интенсивность магнитного поля: чем больше ток,
тем «сильнее» его магнитное поле.
Для оценки интенсивности магнитного поля введено
понятие магнитной индукции В.
Магнитная индукция - векторная величина,
характеризующая магнитное поле и определяющая силу, действующую на движущуюся
заряженную частицу со стороны магнитного поля.
В численном выражении магнитная индукция равна
отношению силы, действующей на заряженную частицу, к произведению заряда Q и скорости частицы v, направленной так, что эта сила
максимальна
(13.2)
Направление вектора магнитной индукции перпендикулярно
векторам силы и скорости и совпадает с поступательным перемещением правого
винта (или буравчика), если вращать его в направлении от вектора силы к вектору
скорости частицы с положительным зарядом.
За некоторое время dt заряд Q = Idt,
а скорость v =dl/dt, поэтому Qν = Idl - элемент тока. Из формулы (13.1) следует
(13.3)
Магнитное поле в окружающем проводник пространстве
создается не только выбранным элементом тока, но и другими элементами, на
которые может быть разделен реальный проводник (рис. 13.2).
Магнитная индукция В в данной точке является векторной
суммой элементарных векторов dB.
Формула (13.3), по которой определяется элементарная магнитная индукция,
является математическим выражением закона Био - Савара.
Из нее следует единица измерения магнитной индукции:
В расчетах применяется также единица магнитной
индукции - гаусс (Гс) (1 Гс = 10 -4 Тл).
. Линии магнитной индукции. Графически магнитное поле
можно изобразить с помощью линий магнитной индукции.
Линию магнитной индукции проводят так, чтобы в каждой
точке этой линии касательная к ней совпадала с вектором магнитной индукции.
Пользуясь этим правилом, можно изобразить магнитное поле
для различных случаев. Магнитное поле тока прямолинейного провода имеет линии
магнитной индукции в виде окружностей, лежащих в плоскостях, перпендикулярных
направлению тока, с центром на оси провода (рис. 13.3).
Направление магнитной индукции в этом случае
определяется с помощью правила буравчика: если направление поступательного
движения буравчика совместить с направлением тока в проводе, то вращение
рукоятки покажет направление линий магнитной индукции.
Большой практический интерес представляет картина
магнитного поля тока катушек, так как во многих электротехнических устройствах
(трансформаторы, электрические машины, электромагнитные реле и т. д.) магнитное
поле создается токами в катушках различной формы.
Магнитное поле тока цилиндрической катушки изображено
на рис. 13.4. Если длина катушки значительно больше ее диаметра, то линии
магнитной индукции имеют внутри катушки одинаковое направление (вдоль оси
катушки) и величина магнитной индукции во всех точках одинакова, за исключением
точек, расположенных у краев.
Рисунок 13.3 Рисунок 13.4
Магнитное поле, имеющее во всех точках одинаковую по
величине и направлению магнитную индукцию, называется однородным (равномерным).
По форме магнитного поля цилиндрическая катушка
подобна постоянному магниту кругового сечения (рис. 13.5). На конце катушки,
где линии магнитной индукции выходят из нее, образуется северный полюс, а на
противоположном конце - южный.

Рисунок 13.5 Рисунок 13. 6
Кольцевая катушка с обмоткой на тороидальном
сердечнике (рис. 13.6) создает магнитное поле только внутри витков. Направление
линий индукции магнитного поля тока катушки или контура тоже определяется
правилом буравчика, но в другой формулировке: если рукоятку буравчика вращать
по направлению тока в витках, то поступательное перемещение буравчика совпадает
с направлением линий магнитной индукции внутри катушки.
С помощью линий магнитной индукции можно выразить не
только направление магнитного поля, но и величину магнитной индукции, подобно
тому, как это делается при исследовании электрического поля.
Неравномерное магнитное поле изображается замкнутыми
линиями, проведенными с неодинаковой плотностью в различных областях.
В отличие от линий напряженности электростатического
поля, которые начинаются на положительных, а оканчиваются на отрицательных
заряженных телах или уходят в бесконечность, линии индукции магнитного поля
всегда замкнуты на себя, т. е. не имеют ни начала, ни конца.
Контрольные вопросы:
. Что называют электромагнитными силами?
. Какова формулировка закона Ампера?
. Что называется элементом тока?
. Что такое магнитная индукция?
. Единица измерения магнитной индукции?
Литература: 1. стр. 133-138, 2. стр. 136-140, 3. стр. 148-152.
Тема 14: Расчет симметричных магнитных полей
Цель: Уяснить методы расчета симметричных магнитных
полей на основе понятий о циркуляции вектора магнитной индукции и полном токе.
План:
1. Циркуляция вектора магнитной индукции и полный ток;
. Поле прямого тока;
. Поле тока кольцевой катушки;
. Поле тока цилиндрической катушки.
Связь тока с его магнитным полем ранее выражена
формулой закона Био - Савара, который можно применять для определения основных
характеристик магнитного поля в любом случае. Подобные задачи решаются более
просто на основе понятий о циркуляции вектора магнитной индукции и полном токе.
. Циркуляция вектора магнитной индукции и полный ток.
Для выяснения смысла этих понятий в магнитном поле системы токов выберем
произвольный замкнутый контур (рис. 14.1). В каждой точке этого контура вектор
магнитной индукции В может иметь любое направление. Обозначим через Bl проекцию этого вектора на
направление элемента длины dl
около выбранной точки контура.
Выражение §Bldl, взятое по всему замкнутому контуру, называют циркуляцией вектора
магнитной индукции по данному контуру. Алгебраическую сумму токов ∑I, пронизывающих поверхность,
ограниченную контуром, называют полным током.
На основе закона Био - Савара можно доказать, что
циркуляция вектора магнитной индукции по произвольному замкнутому контуру
пропорциональна полному току, пронизывающему поверхность, ограниченную этим
контуром (рис. 14.1):
(14.1)
Рисунок 14.1
Для магнитного поля в вакууме коэффициентом
пропорциональности между циркуляцией вектора магнитной индукции и полным током
является магнитная постоянная μ0.
При составлении уравнения (14.1) для конкретного
случая знак произведения Bldl
берется положительным, если в данной точке направление В, совпадает с
направлением обхода контура; знак тока принимается положительным, если
направление линий индукции магнитного поля данного тока, определенное по
правилу буравчика, совпадает с направлением обхода.
Выражение §lBldl можно представить алгебраической суммой произведений Bldl, составленной из бесконечно большого
числа слагаемых.
Для рис. 14.1
Если выбрать контур, совпадающий с линией магнитной
индукции, то вместо проекции вектора магнитной индукции В, в формулу (14.1)
можно подставить полную его величину В.
В отдельных случаях магнитное поле обладает
симметрией, при которой магнитная индукция во всех точках такого контура имеет
одинаковое значение. Для этих случаев формула (14.1) имеет более простое
выражение.
Вl = В
вынесем за знак суммы
где
- длина контура; тогда
(14.2)
Формула (14.1) справедлива для магнитного поля,
созданного замкнутыми токами. Ее нельзя применить для определения составляющей
магнитной индукции поля, образуемого током на участке провода конечной длины,
на основании закона Био - Савара.
. Поле прямого тока. Наметим на произвольном
расстоянии а от оси провода точку А (рис. 8.14, а) и проведем через нее
замкнутый контур, совпадающий с линией магнитной индукции. Как известно, эта
линия - окружность с центром на оси провода. Все точки контура находятся на
одинаковом расстоянии от оси провода, поэтому магнитная индукция поля в них
имеет одинаковую величину.
Согласно формуле (14.1),
(14.3)
Рисунок 14.2
Формула (14.3) совпадает с выводами, полученными из
закона Био - Савара при α1 и α2, равных нулю.
Для определения магнитной индукции поля внутри провода
выберем произвольный контур радиуса r и будем полагать плотность тока во всех точках сечения провода
одинаковой и равной
где г0 - радиус провода. Полный ток, пронизывающий
часть сечения, ограниченную выбранным контуром имеет величину
отсюда
(14.4)
На рис. 14.2, б показан график изменения магнитной
индукции внутри и вне линейного провода большой протяженности построенный по
формулам (14.3) и (14.4).
. Поле тока кольцевой катушки. Выберем замкнутый
контур, совпадающий с линией магнитной индукции в центре сечения сердечника
(см. рис. 13.6) Предполагая намотку витков равномерной, по соображениям
симметрии применим формулу (14.2).
Поверхность, ограниченная выбранным контуром,
пронизывается током I столько раз,
сколько витков N имеет катушка, поэтому
магнитная индукция
(14.3)
Эта формула пригодна для определения магнитной
индукции и в других точках, расположенных внутри катушки дальше или ближе к
центру, если в них подставить соответствующий радиус.
. Поле тока цилиндрической катушки
Если витки катушки навиты вплотную друг к другу, то
при бесконечной ее протяженности все точки на любой линии, параллельной оси,
находятся в одинаковых условиях (рис. 14.2).
Магнитная индукция поля внутри катушки во всех точках
этой линии одинакова и направлена вдоль оси катушки. Вне катушки магнитного
поля нет.
Выделим замкнутый контур а-б-в-г прямоугольной формы и
применим к нему формулу (14.1). При обходе контура нужно учитывать, что на
участке б-в поля нет (В = 0); на участках а-б и в-г вне катушки поля нет, а
внутри катушки магнитная индукция направлена перпендикулярно направлению
обхода, поэтому проекция вектора В на направление обхода равна нулю. На участке
г-а В1 = В.
Таким образом, циркуляция вектора магнитной индукции имеет величину
Полный ток контура а-б-в-г
где N - число витков, уложенных на участке длиной l. Согласно выражению (14.2),
(14.4)
Из этой формулы следует, что магнитное поле внутри
бесконечно длинной катушки равномерно.
Формулу (14.4) можно применить, допуская некоторую
погрешность, для определения магнитной индукции цилиндрической катушки конечной
длины lк, если она значительно больше
диаметра витка (lк»D):
(14.5)
Применение закона Био - Савара к цилиндрической
катушке конечной длины дает для определения В в любой точке М на оси катушки
выражение
(14.6)
Формулы (14.3) - (14.6), определяющие магнитное поле
катушек, имеют в числителе произведение тока и числа витков IN. Магнитное поле данной интенсивности
можно получить при относительно малом числе витков, но большом токе, или при
малом токе, но относительно большом числе витков.
Рисунок 14.2
Это дает основание при расчете магнитных полей
пользоваться произведением IN как
единой величиной, которая называется намагничивающей силой. В практике эту
величину называют также ампер-витками.
Контрольные вопросы:
. Что называют циркуляцией вектора магнитной индукции по данному контуру?
. Что называют полным током?
. Сформулируйте закон Био - Савара.
. Что называется намагничивающей силой?
. Что называется ампер-витками?
Литература: 1. стр. 139-142, 2. стр. 140-145, 3. стр. 152-158.
Тема 15: Магнитный поток и
потокосцепление
Цель: Уяснить понятия магнитного потока и магнитного потокосцепления
План:
1. Магнитный поток;
. Работа при перемещении проводника с током в
магнитном поле;
. Магнитное потокосцепление.
Понятие о магнитном потоке как характеристике
магнитного поля имеет в электротехнике большое значение. Его применяют при
рассмотрении принципов работы и расчетах электромагнитных устройств
(электрических машин, трансформаторов, электромагнитов различного назначения).
. Магнитный поток. Любой проводник с током создает
магнитное поле. Рассмотрим для примера в качестве источника магнитного поля
виток провода кольцевой формы с током I (рис. 15.1).
Линии магнитной индукции этого неравномерного поля
сцеплены с самим витком и часть их пронизывает некоторую поверхность S.
Выделим на этой поверхности элемент площади dS, в пределах которой магнитную
индукцию В можно считать одинаковой. Вектор магнитной индукции в общем случае
направлен под некоторым углом β к нормали n этой поверхности.
Рисунок 15.1 Рисунок 15.2
Проекция вектора В на направление нормали дает вектор
Вn, направленный перпендикулярно
выделенной элементарной площадке dS.
Величина BndS = dФ выражает элементарный поток вектора магнитной индукции.
Сложив элементарные потоки по всей поверхности,
получим выражение полного потока вектора магнитной индукции или магнитного
потока через заданную поверхность S:
(15.1)
Аналогично можно выразить магнитный поток через любую
другую поверхность, в том числе и через поверхность, ограниченную самим витком,
т. е. магнитный поток, сцепленный с ним.
В практике бывают случаи, когда магнитное поле можно
считать равномерным, а поверхность, через которую определяется магнитный
поток,- плоскостью (рис. 15.2).
В этих величинах В и Вn остаются одинаковыми для всех точек плоскости, поэтому
(15.2)
где Sn -
проекция площади S на плоскость,
перпендикулярную направлению вектора магнитной индукции.
Если плоскость S расположена перпендикулярно линиям магнитной индукции, то
магнитный поток
(15.3)
Согласно формулам (15.3) и (15.4), магнитная индукция
В является плотностью магнитного потока в данной точке поля. Единица измерения
магнитного потока - вебер:
[Ф] = [BS] =
тесла • метр2 = вольт • секунда = вебер (Вб).
. Работа при перемещении проводника с током в
магнитном поле. Рассмотрим проводящий контур прямоугольной формы, одна сторона
которого находится в равномерном магнитном поле. При токе I в данном контуре на провод действует
электромагнитная сила FM
(рис. 15.3).
Незакрепленный контур перемещается в направлении действия силы; при этом
на пути b сторона его описывает плоскую
поверхность S, перпендикулярную линиям магнитной
индукции S = bl.
Рисунок 15.3
электрический ток цепь поле
Произведение магнитной индукции и площади этой
поверхности выражает магнитный поток Ф равномерного поля через данную площадь S [см (15.3)].
При движении контура с током в магнитном поле
электромагнитная сила FM на
пути b совершает работу A = FMb = BIlb.
В этом случае работа считается положительной. При
движении провода против силы FM
(при наличии внешней механической силы) работа отрицательная.
Учитывая формулу (15.3), работу, совершенную в
результате взаимодействия магнитного поля и тока в проводнике, движущемся в
магнитном поле, можно определить произведением тока в проводнике и магнитного
потока сквозь поверхность, очерченную проводником при его движении: А = ФI.
Магнитный поток через поверхность, очерченную
проводником, является разностью потоков, пронизывающих проводящий контур в
конечном и начальном положениях, т. е. положительным приращением магнитного
потока, сцепленного с контуром:
где работа, затраченная на перемещение контура,
(15.3)
На основании рассмотренного примера можно сделать
следующие выводы, справедливые для любой электромагнитной системы.
. Работа электромагнитных сил, затраченная на
перемещение контура с током, равна произведению тока в контуре на изменение
магнитного потока, сцепленного с контуром.
. Всякий контур с током в магнитном поле стремится
занять положение, при котором магнитный поток, пронизывающий контур,
оказывается положительным и наибольшим (положительным считается магнитный
поток, совпадающий внутри контура с потоком, созданным током этого контура).
Приведем такой пример. Стальной сердечник втягивается
внутрь катушки с током. При этом магнитный поток катушки увеличивается, так как
добавляется действие контуров тока внутри стального сердечника, которые
образуются внутриатомным и внутримолекулярным движением заряженных частиц. Если
перемещение сердечника ничем не ограничено, то он втягивается до тех пор, пока
поток не увеличится до максимальной величины для этой системы. Сказанное
относится к любым электромагнитным устройствам с подвижным стальным якорем
(реле, тяговые электромагниты и т. п.).
. Магнитное потокосцепление. При определении работы,
совершаемой электромагнитными силами, была взята рамка, имеющая один виток. Но
на рамку можно намотать несколько витков, тогда работа электромагнитных сил при
перемещении рамки увеличится.
Если предположить, что все N витков сцеплены с одним и
тем же потоком, то работа электромагнитных сил увеличится в N раз: A = NΔФI.
Произведение числа витков и сцепленного с этими
витками магнитного потока называют потокосцеплением:
(15.4)
Следовательно, работа электромагнитных сил выражается
произведением тока в витках и приращения магнитного потокос-цепления:
(15.5)
В общем случае витки катушки могут быть сцеплены с
разными потоками, тогда общее потокосцепление определяется алгебраической
суммой потоков, сцепленных с каждым витком:
При этом имеется в виду, что потокосцепление одного
витка численно равно потоку через поверхность, ограниченную этим витком.
Отдельные потоки (Ф1, Ф2 и т.д.) могут быть сцеплены с
несколькими витками (рис. 8.19), тогда потокосцепление будет выражено
алгебраической суммой следующего вида:
(15.6)
Рисунок 15.4
Если в уединенном контуре любой формы имеется ток, то его магнитное поле
сцеплено с самим контуром. Потокосцепление такого контура называется
собственным или потокосцеплением самоиндукции. Собственное потокосцепление
характеризует связь тока с собственным магнитным полем.
Контрольные вопросы:
. Что называют магнитным потоком?
. Единица измерения магнитного потока?
. Что называют потокосцеплением?
Литература: 1. стр. 142-151, 2. стр. 145-150, 3. стр. 158-162.
МЕТОДИЧЕСКИЕ УКАЗАНИЯ ПО ВЫПОЛНЕНИЮ
РАСЧЕТНО-ГРАФИЧЕСКИХ РАБОТ
Прежде чем приступить к выполнению
расчетно-графической работе, нужно внимательно ознакомиться с помещенными ниже
указаниями. Несоблюдение этих указаний может стать причиной того, что
представленная работа не будет даже принята к рецензированию. Нужно помнить,
что выполнение расчетно-графических работ является важным элементом в изучении
теоретического материала. Все задачи надо решать самостоятельно, используя
проработанный теоретический материал. В случае затруднений, встречающихся при
изучении той или иной темы, студент может обратиться в институт за устной или
письменной консультациями. Задачи для расчетно-графических работ помещены ниже.
В каждой задаче дается таблица с числовыми данными. Номер варианта определяется
последней цифрой учебного шифра студента. Так, например, если учебный шифр
студента 68046, то номер его варианта 6. Работа, оформление которой не
удовлетворяет изложенным ниже требованиям, не будет принята рецензентом к
рассмотрению.
Требования, предъявляемые к оформлению контрольной
работы:
. Каждая работа выполняется на листах формата А4, на
титульном листе которой должны быть написаны: наименование университета,
института, кафедры; фамилия и инициалы; номер учебного шифра; номер
расчетно-графической работы.
. На каждой странице должны быть оставлены поля
шириной не менее: 3 см - слева, 1,5 см - справа, 2 см - сверху и снизу.
Проставлена нумерация страниц.
. Текст, формулы и числовые выкладки должны быть
написаны четко и аккуратно, без помарок (возможен печатный компьютерный
вариант).
. Электрические схемы должны вычерчиваться с
соблюдением установленных условий графических изображений элементов этих схем.
Следует строго придерживаться установленных буквенных обозначений электрических
величин. Решение должно сопровождаться краткими, четкими, пояснениями. Все
единицы измерения должны соответствовать Международной системе единиц СИ. Для
каждой задачи следует начертить электрическую схему. Необходимо указывать в
конце работы список использованных методических указаний. Указание: студент
может руководствоваться теми изображениями элементов схем и буквенными
обозначениями, которые применяются в помешенных ниже задачах; они соответствуют
данным требованиям.
. Графики должны быть вычерчены на миллиметровой или
клетчатой бумаге, либо на форматах листа А4 в компьютерной обработке. На
координатных осях должны быть построены шкалы; отметки на них должны быть
равномерными и выражаться числами вида 1:10; 2:10 или 5:10 (n -любое целое число или нуль).
. В конце расчетно-графической работы надо поставить
дату выполнения работы и подписаться.
. Если расчетно-графическая работа не зачтена, то все
необходимые поправки должны быть сделаны в той же работе после подписи
рецензента. Нельзя вносить какие-либо исправления в текст или графики, уже
просмотренные рецензентом. При отсутствии места в работе студент может
подклеить к ней дополнительные листы.
Работа 1
Задача 1
К
зажимам цепи приложено непериодическое синусоидальное напряжение u = 6
+
·100·sin(ω1·t-15o) +
·25·sin(3·ω1·t-50o).
Активное
сопротивление R и реактивные сопротивления XL и XC
при основной частоте ω1
даны в таблице согласно варианту.
Определить мгновенные значения всех токов, активную, реактивную и полную
мощности всей цепи, показания амперметров, измеряющих действующее значение
токов.
|
№ варианта
|
R, Ом
|
XL1, Ом
|
XС1, Ом
|
|
1
|
2
|
3
|
5
|
|
2
|
10
|
20
|
6
|
|
3
|
7
|
5
|
14
|
|
4
|
12
|
24
|
15
|
|
5
|
6
|
12
|
7
|
|
6
|
9
|
16
|
4
|
|
7
|
4
|
3
|
16
|
|
8
|
15
|
20
|
18
|
|
9
|
8
|
22
|
12
|
|
0
|
3
|
8
|
2
|
Задача 2
Цепь, состоящая из двух параллельных ветвей R1, L и R1, С,
включается на постоянное напряжение U. Определить принужденные, свободные и полные переходные токи в ветвях и
неразветвленной части цепи. Построить кривые всех этих токов в функции времени.
Данные для расчетов даны в таблице согласно варианту.
|
№ варианта
|
U, В
|
L, Гн
|
Ro, Ом
|
R1, Ом
|
С1, мкФ
|
R2, Ом
|
|
1
|
200
|
0,4
|
20
|
20
|
200
|
50
|
|
2
|
300
|
0,3
|
10
|
25
|
400
|
30
|
|
3
|
250
|
0,32
|
15
|
30
|
440
|
26
|
|
4
|
350
|
0,15
|
16
|
26
|
500
|
14
|
|
5
|
220
|
0,2
|
18
|
10
|
150
|
60
|
|
6
|
150
|
0,12
|
22
|
30
|
600
|
10
|
|
7
|
320
|
0,05
|
5
|
50
|
260
|
16
|
|
8
|
100
|
0,5
|
14
|
28
|
160
|
65
|
|
9
|
360
|
0,6
|
12
|
32
|
550
|
55
|
|
0
|
310
|
0,64
|
8
|
24
|
180
|
70
|
Работа 2
Задача 1
Выключающий механизм приводится в
действие при коротком замыкании между проводами в линии. Электромагнит
отпускает защелку, освобождающую пружину выключающего механизма. Защелка
отходит, когда ток спадая достигает значения Iотпус.. Обмотка электромагнита обладает сопротивлением R и индуктивностью L. Общее сопротивление проводов линии,
остающихся в закороченной части составляет 0,25RЛ. Напряжение между проводами в начале линии равно U. На конце линия разомкнута.
Определить через какой промежуток времени после короткого замыкания придет в
движение выключатель механизма. Построить кривую спадания тока в обмотке
электромагнита в функции времени. Данные взять из таблицы.
|
№ варианта
|
U, В
|
Iотпус, А
|
R, Ом
|
L, Гн
|
RL, Ом
|
|
1
|
12
|
9
|
0,45
|
0,6
|
0,6
|
|
2
|
30
|
10
|
1,12
|
0,8
|
0,5
|
|
3
|
25
|
8
|
2,23
|
0,66
|
0,4
|
|
4
|
35
|
7
|
1,14
|
0,7
|
0,3
|
|
5
|
22
|
8,5
|
2,51
|
0,62
|
0,55
|
|
6
|
15
|
6,2
|
0,56
|
0,12
|
0,44
|
|
7
|
32
|
10,5
|
0,78
|
0,53
|
0,33
|
|
8
|
10
|
5,6
|
0,64
|
0,9
|
0,56
|
|
9
|
36
|
11
|
1,18
|
1,1
|
0,65
|
|
0
|
31
|
12
|
2,34
|
0,3
|
0,45
|
Задача 2
Определить токи и напряжение на всех участках схемы по
законам Кирхгофа при частоте 50 Гц. Построить в масштабе векторную диаграмму
токов и напряжения. Вычислить магнитную энергию магнитносвязных контуров. Схему
и параметры элементов схемы выбрать в соответствии со своим вариантом из
таблицы и рисунков.
|
№ варианта
|
U, В
|
R1,Ом
|
R2,Ом
|
R3,Ом
|
L1, мГн
|
L2, мГн
|
L3, мГн
|
С1, мкФ
|
С3, мкФ
|
К
|
Схема
|
|
1
|
220
|
30
|
25
|
20
|
150
|
100
|
80
|
40
|
80
|
0,75
|
А
|
|
2
|
300
|
25
|
25
|
30
|
75
|
150
|
100
|
30
|
70
|
0,7
|
А
|
|
3
|
250
|
40
|
40
|
30
|
120
|
160
|
60
|
25
|
50
|
0,8
|
А
|
|
4
|
200
|
50
|
50
|
40
|
120
|
80
|
60
|
120
|
80
|
0,85
|
А
|
|
5
|
350
|
50
|
30
|
40
|
120
|
60
|
80
|
70
|
40
|
0,73
|
А
|
|
6
|
110
|
10
|
15
|
8
|
60
|
70
|
100
|
60
|
40
|
0,8
|
Б
|
|
7
|
220
|
30
|
30
|
20
|
50
|
80
|
60
|
80
|
30
|
0,7
|
Б
|
|
8
|
380
|
20
|
15
|
15
|
80
|
110
|
100
|
150
|
50
|
0,75
|
Б
|
|
9
|
250
|
25
|
20
|
25
|
100
|
80
|
60
|
80
|
50
|
0,88
|
Б
|
|
0
|
110
|
10
|
15
|
15
|
40
|
60
|
120
|
60
|
30
|
0,8
|
Б
|
СПИСОК РЕКОМЕНДУЕМОЙ ЛИТЕРАТУРЫ
Основная:
1. Евдокимов Ф.Е. Теоретические основы электротехники. - М.: Высш. шк.,
1994.-495с.: ил.
. Зевеке Г.В., Ионкин П.А., Нетушил А.В., Страхов СВ. Основы теории цепей.-
М.: Энергоатомиздат, 1989. -528с.
. Бессонов Л.А. Теоретические основы электротехникр.-М.: Гардарики,
1999.-638с.
. Сборник задач по теоретическим основам электротехники/ Л.Д.Бессонов,
И.Г.Демидова, М.Е. Заруди и др.-М.: Высшая школа, 1988. - 543 с.
Дополнительная:
. Демирчян К.С, Нейман Л.Р., Коровкин Н.В., Чечурин В.Л. Теоретические
основы электротехники, - т.2. - СПб.: Питер,2003.-576с.
. Демирчян К.С.. Нейман Л.Р., Коровкин Н.В., Чечурин В.Л. Теоретические
основы электротехники,- т.З.- СПб.: Питер,2003.- 377с.
. Теоретические основы электротехники, - т.1. Основы теории линейных
цепей / Под ред. П.А. Ионкина - М: Высшая школа, 1976. -544с.
. Шебес М.Р., Каблукова М.В. Задачник по теории линейных электрических
цепей. - М.: Высшая школа, 1990.- 544с.
. Бессонов Л.А. Теоретические основы электротехники. Электромагнитное
поле. - М: Высшая школа, 1986.,- 263с.
. Прянишников В.А. ТОЭ: Курс лекций: Учебное пособие - 3-е изд.,
перераб. и доп. - СПб.: 2000.- 368 с.
. Электротехника и электроника в экспериментах и упражнениях: Практирум
на Electronics Workbench. В 2-х томах/ Под ред. Д.И.
Панфилова-М.: ДОДЭКА, 1999.-т. 1-Электротехника. - 304с.
. Денисенко В.И., Зуслина Е.Х., Кондратенко Л.Н. ТОЭ. Лабораторный
практикум. Часть 2, 3. (Методические указания и задания к лабораторным
работам).- Алматы: АИЭС, 2000.-30с.
. Денисенко В.И., Зуслина Е.Х., Креслина С.Ю., Баймаганов А.С. ТОЭ.
Компьютерное моделирование стационарных электрических и магнитных полей.
Методические указания и задания к лабораторным работам по ТОЭ. - Алматы: АИЭС,
2003.-18 с.
. Денисенко В.И., Зуслина Е.Х., Креслина С.Ю. ТОЭ. Компьютерное
моделирование переходных и установившихся процессов в электрических цепях.
Методические указания к лабораторным работам по ТОЭ. Часть 2.- Алматы: АИЭС,
2002.-28с.
МЕТОДИЧЕСКИЕ УКАЗАНИЯ ПО ВЫПОЛНЕНИЮ ЛАБОРАТОРНЫХ РАБОТ
Лабораторная работа 1
Тема:
Переходный процесс в цепи с конденсатором и резисторами
Цель: Рассчитать докоммутационные, начальные (t = + 0) и установившиеся значения токов и напряжения на
конденсаторе в цепи.
1.1 Общие сведения
Цепь
с одним конденсатором и сопротивлениями описывается дифференциальным уравнением
первого порядка, поэтому свободная составляющая тока или напряжения в любой
ветви имеет одно слагаемое вида
, где р -
корень характеристического уравнения, а А - постоянная интегрирования.
Характеристическое
уравнение может быть составлено в виде:
,
где
Z(p) и Y(p) -
входные операторные сопротивление и проводимость. Они могут быть получены
заменой в выражениях комплексного сопротивления или проводимости цепи аргумента
j на оператор р.
Постоянные
интегрирования А для каждого тока или напряжения определяется из начальных
условий. Для определения постоянной А необходимо знать значение искомой функции
в первый момент времени после коммутации (при t = +0).
Начальное
значение напряжения на конденсаторе определяется из первого закона коммутации: uC(+0)
= uC(-0). В свою очередь uC(-0)
определяется из расчёта цепи до коммутации. Начальные значения других величин
(токов и напряжений, которые могут изменяться скачком) рассчитываются по закону
Ома и законам Кирхгофа в момент времени t= +0.
Таким
образом, все токи и напряжения в переходном режиме изменяются по
экспоненциальному закону с одной и той же постоянной времени (
) от начального значения до установившегося. Причём,
начальное значение напряжения на конденсаторе равно напряжению на нём
непосредственно перед коммутацией, т. е. скачком не меняется.
В данной работе коммутация (включение и выключение) осуществляется
транзистором, на базу которого подаются отпирающие импульсы тока от источника
синусоидального напряжения с частотой 50 Гц. В результате оба переходных
процесса периодически повторяются и их можно наблюдать на осциллографе.
.2 Экспериментальная часть
Задание
Рассчитать
докоммутационные (t = - 0), начальные (t = + 0) и установившиеся (t
)
значения токов и напряжения на конденсаторе в цепи (рис. 1.1) в двух случаях:
1. - ключ замыкается; 2. - ключ размыкается.
Рис.
1.1
В
каждом из этих случаев определить постоянную времени цепи, снять осциллограммы
рассчитанных величин и убедиться, что все токи и напряжение на конденсаторе
изменяются с одной постоянной времени, а напряжение на конденсаторе не имеет
скачков.
Порядок
выполнения работы
При
включении ключа в цепи (рис. 1.1) рассчитайте токи и напряжение на конденсаторе
до коммутации (t = - 0, ключ разомкнут), в первый момент после
коммутации (t = + 0, ключ замкнут) и в новом установившемся режиме
(t =
).
Результаты расчёта занесите в табл. 1.1.
·
Повторите расчёт
при размыкании ключа. Результаты занесите также в табл. 1.2.
Составьте
характеристическое уравнение, определите корень р и постоянную времени
для первого и для второго случаев, занесите
результаты в табл. 1.1 и 1.2.
·
Соберите цепь
согласно схеме (рис. 1.2), включив в неё вместо изображенных измерительных
приборов соответствующие гнёзда коннектора. Обратите внимание на полярность
электролитического конденсатора.
·
Включите
осциллограф, установите развёртку 2 мС/дел и перерисуйте изображение четырёх
измеряемых величин на график (рис. 1.3). Не забудьте указать масштаб для каждой
кривой.
Определите
по графику или непосредственно по осциллографу докоммутационные (t = -
0) начальные (t = + 0) и установившиеся (t =
) значения токов и напряжения на конденсаторе в цепи в
двух случаях: 1. - ключ замыкается; 2. - ключ размыкается. Занесите их также в
табл. 1.1 и 1.2 и сравните с расчётными.
Рис. 1.2
·
Определите по
графикам постоянные времени при замыкании и размыкании ключа. Сравните их с
расчётными значениями и занесите в табл. 1.1 и 1.2.
·
Проанализируйте
результаты и сделайте выводы.
1. - ключ замыкается
Таблица 1.1
|
T
|
uC, В
|
i1, мА
|
i2, мА
|
i3, мА
|
τ,
мС
|
|
- 0, расчёт - 0,
эксперимент
|
|
|
|
|
Расчёт: τ = мС Эксперимент: τ = мС
|
|
+ 0, расчёт + 0,
эксперимент
|
|
|
|
|
|
, расчёт
|
, эксперимент
|
|
|
|
|
|
2. - ключ размыкается
Таблица 1.2
|
T
|
uC, В
|
i1, мА
|
i2, мА
|
i3, мА
|
τ,
мС
|
|
- 0, расчёт - 0,
эксперимент
|
|
|
|
|
Расчёт: τ = мС Эксперимент: τ = мС
|
|
+ 0, расчёт + 0,
эксперимент
|
|
|
|
|
|
, расчёт
|
, эксперимент
|
|
|
|
|
|
Рис. 1.2
Контрольные вопросы
. Что такое постоянная интегрирования?
. Что такое коммутация?
Лабораторная работа 2
Тема: Процессы включения и отключения цепи с катушкой индуктивности
Цель: Определить экспериментально и рассчитать докоммутационные,
начальные и установившиеся значения тока и напряжения на катушке, определить по
осциллограмме постоянную времени цепи.
2.1 Общие сведения
Цепь
с одной катушкой индуктивности, так же как и цепь с одним конденсатором
описывается дифференциальным уравнением первого порядка. Поэтому все токи и
напряжения в переходном режиме изменяются по экспоненциальному закону с одной и
той же постоянной времени (
) от
начального значения до установившегося. Причём, начальное значение тока в
индуктивности равно току в ней непосредственно перед коммутацией, так как ток в
катушке не может изменяться скачком по закону коммутации. Напряжение на катушке
может изменяться скачком и при отключении может достигать весьма больших
значений.
В данной работе коммутация (включение и выключение цепи) осуществляется
транзистором, на базу которого подаются однополярные прямоугольные отпирающие
импульсы тока от генератора напряжений специальной формы с частотой 200 Гц.
Поэтому оба переходных процесса периодически повторяются и их можно наблюдать
на обычном или виртуальном осциллографе.
2.2 Экспериментальная часть
Задание
Вывести
на дисплей виртуального осциллографа кривые тока и напряжения на катушке
индуктивности при подключении и отключении источника постоянного напряжения. В
каждом из этих случаев определить экспериментально и рассчитать
докоммутационные (t = - 0), начальные (t = + 0) и установившиеся (t =
) значения тока и напряжения на катушке, определить по
осциллограмме постоянную времени цепи.
Порядок выполнения работы
· Соберите цепь согласно схеме (рис. 2.2), включив в неё вместо
изображенных измерительных приборов соответствующие гнёзда коннектора.
Рис. 2.1
·
Включите
осциллограф, установите развёртку 0,5 мС/дел и перерисуйте изображение тока и
напряжения на катушке на график (рис. 2.2). Не забудьте указать масштаб для
каждой кривой.
Определите
по графику или непосредственно по осциллографу докоммутационные (t = -
0) начальные (t = + 0) и установившиеся (t
)
значения токов и напряжений на катушке в двух случаях: 1. - ключ замыкается; 2.
- ключ размыкается. Занесите их в табл. 2.1.
·
Рассчитайте токи
и напряжения на катушке для этих же моментов времени, занесите результаты также
в табл. 2.1. Сравните результаты расчёта и эксперимента.
·
Определите по
осциллограммам постоянные времени при включенном и при отключенном источнике
питания.
Таблица 2.1
|
t
|
Включение, мС
|
Выключение, = мС
|
|
uL, В
|
iL, мА
|
uL, В
|
iL, мА
|
|
- 0, расчёт - 0,
эксперимент
|
|
|
|
|
|
+ 0, расчёт + 0,
эксперимент
|
|
|
|
|
, расчёт
|
, эксперимент
|
|
|
|
|
Рис. 2.2
Контрольные вопросы
1. Назовите второй закон коммутации?
. Что такое переходной процесс?
Лабораторная работа 3
Тема: Затухающие синусоидальные колебания в R-L-C контуре
Цель: Исследовать влияние активного сопротивления на характер процесса
разряда конденсатора на сопротивление и индуктивность. Сравнить
экспериментальные частоту и затухание колебаний с расчётными значениями
3.1 Общие сведения
В замкнутом контуре (рис. 3.1) после отключении его от источника постоянного
или переменного напряжения могут возникнуть затухающие синусоидальные
колебания, обусловленные начальным запасом энергии в электрическом поле
конденсатора и в магнитном поле катушки индуктивности.
В общем случае состояние цепи определяется из дифференциального
уравнения, составленного по второму закону Кирхгофа:
Поскольку
то
или
Рис.
3.1.
Вид решения этого дифференциального уравнения зависит от характера корней
характеристического уравнения:
Корни
этого уравнения:
Когда

, корни
вещественные отрицательные и процесс изменения тока и напряжений имеет
апериодический затухающий характер (рис. 3.2а). Если же R<Rкр,
то возникает колебательный процесс (рис. 3.2б). Тогда решение дифференциального
уравнения имеет вид:
sint,
где
,
.
Рис. 3.2.
При
уменьшении сопротивления от некоторого значения большего, чем Rкр
сначала увеличивается скорость затухающего апериодического процесса, затем, при
R = Rкр качественно изменяется характер процесса - он
становится колебательным - и при дальнейшем уменьшении сопротивления
увеличивается частота колебаний и уменьшается затухание. При R,
стремящемся к нулю, частота стремится к резонансной частоте
, а затухание к нулю.
В
данной работе заряд конденсатора до напряжения u0
осуществляется однополярными прямоугольными импульсами напряжения и исследуется
процесс его разряда на сопротивление и индуктивность во время пауз между
импульсами. Повторяющийся процесс заряда и разряда конденсатора можно наблюдать
на электронном или виртуальном осциллографе.
3.2 Экспериментальная часть
Задание
Исследовать влияние активного сопротивления на характер процесса разряда
конденсатора на сопротивление и индуктивность. Сравнить экспериментальные
частоту и затухание колебаний с расчётными значениями.
Порядок выполнения работы
· Измерьте омметром и запишите активное сопротивление катушки
индуктивности, указанной на схеме (рис. 3.3):
Rк=
Ом.
· Вычислите резонансную частоту и критическое сопротивление колебательного
контура:
Гц;
Ом;
· Соберите цепь согласно схеме (рис. 3.3), включив в неё в
качестве измерительных приборов соответствующие гнёзда коннектора, выведите
подстроечный резистор Rдоб
на ноль и установите на источнике напряжения однополярные прямоугольные
импульсы частотой 200 Гц и максимальной амплитуды.
Рис. 3.3.
· Включите виртуальные приборы и настройте виртуальный
осциллограф для наблюдения кривых uC(t) и i(t) (наиболее
удобная я развёртка 200 - 500мкС/дел.).
· Определите по осциллографу период затухающих колебаний и
вычислите частоту:
T= мС,
f= Гц.
Убедитесь, что полученное значение частоты близко к резонансной частоте.
· Плавно увеличивая добавочное сопротивление Rдоб, убедитесь, что частота колебаний
слегка уменьшается, а затухание увеличивается и при большом сопротивлении
процесс становится апериодическим.
· Установите регулятор потенциометра в положение, при котором
процесс меняет характер, отключите питание и измерьте омметром добавочное
сопротивление:
Rдоб=
Ом.
· Вычислите суммарное активное сопротивление колебательного
контура:
доб+Rк= Ом
Убедитесь, что эта сумма близка к Rкр.
Контрольные вопросы
1. Чем обусловлены затухающие синусоидальные колебания?
. Что является решением дифференциального уравнения?
Лабораторная работа 4
Тема: Частотные характеристики последовательного резонансного контура
Цель: Снять экспериментально частотные характеристики последовательного
резонансного контура
4.1 Общие сведения
Частотными характеристиками обычно называют зависимости сопротивлений и
проводимостей цепи от частоты синусоидального приложенного напряжения. Иногда к
ним относят также зависимости от частоты токов, напряжений, фазовых сдвигов и
мощностей.
В последовательном резонансном контуре (рис.6.7.1а) активное
сопротивление не зависит от частоты, а индуктивное, ёмкостное и реактивное
сопротивления изменяются в соответствии со следующими выражениями:
.
Рис. 4.1
Полное сопротивление, как следует из треугольника сопротивлений (рис.
4.1б):
Вид этих зависимостей от частоты представлен на рис.6.7.2а. При
резонансной частоте ω0 = 1/√(LC):
ω0 = XC ω0 = √(L/C) = Z(ω)
Это сопротивление называется характеристическим сопротивлением
резонансного контура, а отношение
Z(ω)/R=Q
добротностью резонансного контура
На рис. 4.2б показаны графики изменения тока, напряжений на участках цепи
и фазового сдвига при изменении частоты и неизменном приложенном напряжении в
соответствии со следующими формулами:
I(ω)=U/Z(ω); UL(ω)= ωLI(ω); UC=I(ω)/ωC; φ = arctg[ωL-1/(ωC)].
Если Q > 1, то при резонансе напряжения UL(ω) и UC(ω) превышают приложенное напряжение в Q раз.
Рис. 4.2
При ω < ω0 цепь носит ёмкостный характер (ток опережает
напряжение на угол φ), при ω = ω0 - активный, а при ω
> ω0 - индуктивный
(ток отстаёт от напряжения).
4.2 Экспериментальная часть
Задание
Снимите экспериментально частотные характеристики последовательного
резонансного контура - R(ω), X(ω), Z(ω),
I(ω), UL(ω), UC(ω) и φ(ω) - при Q > 1.
Порядок выполнения работы
· Измерьте омметром активное сопротивление катушки
индуктивности, указанной на схеме (рис.6.7.3).
R= Ом.
· Вычислите резонансную частоту, характеристическое сопротивление и
добротность резонансного контура:
=1/2π√(LC)= Гц; Z(ω) =√(L/C)= Ом; Q= Z(ω)/R= Ом;
· Соберите цепь согласно схеме (рис. 4.3), включив в неё в
качестве измерительных приборов соответствующие гнёзда коннектора и считая
сопротивление R сопротивлением катушки
индуктивности. Добавочное сопротивление Rдоб на этом этапе примите равным нулю (Q>1). Подсоедините регулируемый
источник синусоидального напряжения и установите его параметры: U = 5 B, f = f0.
Рис. 4.3
· Включите виртуальные приборы и по показанию фазометра
настройте более точно резонансный режим, изменяя частоту приложенного
напряжения. Сравните экспериментальную резонансную частоту с расчётной:
Экспериментальная f0=
Гц.
Расчётная f0= Гц.
· Изменяя частоту от 0,2 до 2 кГц, запишите в табл.6.7.1
показания виртуальных приборов и по этим результатам на рис. 4.4. и 4.5.
постройте графики частотных характеристик при добротности Q>1.
· Включите в цепь добавочное сопротивление Rдоб=100…330 Ом и убедитесь, что
резонансная частота не изменилась, а ток и напряжения UL и UC при
резонансе стали меньше.
Таблица 4.1.
|
f, Гц
|
R, Ом
|
X, Ом
|
Z, Ом
|
I, мА
|
UC, В
|
URL, В
|
φ,
град
|
|
|
|
|
|
|
|
|
|
|
|
|
|
|
|
|
|
|
|
|
|
|
|
|
Контрольные вопросы
1. Что называется характеристическим сопротивлением?
. Что называется добротностью контура?
Лабораторная работа 5
Тема: Частотные характеристики параллельного резонансного контура
Цель: Снять экспериментально частотные характеристики параллельного
резонансного контура c
высокой добротностью- I(ω), IL(ω), IC(ω), X(ω), Z(ω) и φ(ω).
5.1 Общие сведения
В параллельном резонансном контуре (рис. 5.1а) активная проводимость не
зависит от частоты, а индуктивная, ёмкостная и реактивная проводимости
изменяются в соответствии со следующими выражениями:
(ω)=1/ωL; BC(ω)=ωC; B(ω)= BL(ω)- BC(ω);
Рис. 5.1
Полная проводимость, как следует из треугольника проводимостей
(рис.6.8.1б):
(ω)=√(G2+B2).
Вид этих зависимостей от частоты представлен на рис.6.8.2а.
При резонансной частоте ω 0=1/√(LC):
(ω 0) = BC(ω 0) = √(C/L) = Y
Эта проводимость называется характеристической проводимостью резонансного
контура, а отношение
/G = Q
также как и в последовательном контуре - добротностью.
При изменении частоты и неизменном приложенном напряжении токи изменяются
пропорционально соответствующим проводимостям:
(ω)=UY(ω); IL(ω)=U/ωL; IC=UωC, ILC=UB(ω).
При резонансной частоте ω = ω 0 ток I, потребляемый от источника, имеет минимум и равен току в
активном сопротивлении IR, а
ток на реактивном участке цепи ILС
равен нулю (см. рис. 5.2а). Реальные кривые могут несколько отличаться от
рассмотренных идеальных, так как здесь не учитывалось активное сопротивление
катушки.
Угол сдвига фаз (рис. 5.2.б) изменяется в соответствии с выражением:
φ =
arctg[(1/ωL - ωC)/G].
При ω < ω0 цепь носит индуктивный характер
(ток отстаёт от напряжения на угол φ), при ω = ω 0 - активный, а при ω > ω 0 - ёмкостный (ток опережает
напряжение). Если Q > 1, то при
резонансе токов IL(ω) и IC(ω) превышают ток источника I в Q раз.
Рис. 5.2
На рис. 5.2б кроме φ(ω) построены также зависимости от
частоты полного Z(ω) и реактивного X(ω) сопротивлений. B общем случае (см.сплошные линии на
рисунке):
(ω)=1/Y(ω)=1/√(G2+B2);
X(ω)=B/(G2+B2).
При резонансе полное сопротивление принимает максимальное значение а
реактивное обращается в ноль.
В идеализированном случае, когда активная проводимость настолько мала,
что ей можно пренебречь (G =
0):
(ω)=1/B; Z(ω)=1/|B|.
Тогда в точке резонанса кривые X(ω) и Z(ω) имеют разрыв (см. пунктирные линии
на рис. 5.2б).
5.2 Экспериментальная часть
Задание
Снимите экспериментально частотные характеристики параллельного
резонансного контура c
высокой добротностью- I(ω), IL(ω), IC(ω), X(ω), Z(ω) и φ(ω).
Порядок выполнения работы
· Соберите цепь согласно схеме (рис. 5.3), включив в неё
измерительные приборы или соответствующие гнёзда коннектора. В качестве катушки
индуктивности с малым активным сопротивлением используйте обмотку
трансформатора W = 300 витков,
вставив между подковами разъёмного сердечника полоски бумаги в один слой.
· Подайте на схему синусоидальное напряжение от генератора напряжений
специальной формы U = 5B, f = 500Гц.
· Измерьте с помощью виртуальных приборов или рассчитайте по
показаниям мультиметров реактивное сопротивление катушки индуктивности и
рассчитайте индуктивность и резонансную частоту:
=U/IL= Ом;
L= XL/(2πf)= Гн;
f0=1/2π√(LC)= Гц.
Рис. 5.3
· По показанию фазометра или по минимуму тока I настройте резонансный режим, изменяя
частоту приложенного напряжения.. Сравните экспериментальную резонансную
частоту с расчётной:
Экспериментальная f0 =
Гц.
Расчётная f0 = Гц.
· Изменяя частоту от 0,2 до 1 кГц, запишите в табл. 5.1
показания виртуальных приборов и по этим результатам на рис. 5.4. и 5.5.
постройте графики частотных характеристик.
Примечания:
1. При отсутствии виртуальных приборов запишите в таблицу
измеренные мультиметрами токи, а сопротивления рассчитайте по формулам,
приведённым в разделе «Общие сведения». При этом фазовый сдвиг можно определить
из векторных диаграмм, построенных для каждого значения частоты.
2. В области резонансной частоты экспериментальные точки должны
быть расположены гуще, чем по краям графиков.
|
f, Гц
|
X, Ом
|
Z, Ом
|
I, мА
|
IC, мА
|
IL, мА
|
φ,
град
|
|
|
|
|
|
|
|
Таблица 5.1.
Рисунок 5.4
Рисунок 5.5
Контрольные вопросы
1. Что называется характеристической проводимостью?
. Что называется добротностью контура?
Лабораторная работа 6
Тема:
Терморезисторы с отрицательным температурным коэффициентом (термисторы)
Цель: Постройте статические характеристики R = f(U) и I = f(U) термистора. Изменение температуры
происходит саморазогревом термистора при увеличении приложенного напряжения.
6.1 Общие сведения
Сопротивление терморезистора с отрицательным температурным коэффициентом
(ОТК), называемого также термистором, уменьшается при повышении температуры.
Изменение сопротивления может быть вызвано изменением температуры окружающей
среды или собственным нагревом или охлаждением резистора при различных
электрических нагрузках.
Характеристика термистора экспоненциальная, она зависит от вида
примененного материала, конструкции и изменения температуры.
6.2 Экспериментальная часть
Задание
Постройте статические характеристики R = f(U) и I = f(U) термистора. Изменение температуры
происходит саморазогревом термистора при увеличении приложенного напряжения.
Замечание: Изменение температуры окружающей среды в данном эксперименте
не рассматривается, потому что не всегда в стандартных электротехнических
лабораториях имеется необходимое тепловое оборудование.
Порядок выполнения эксперимента
Рис.
6.1
·
Соберите
электрическую цепь согласно схеме (рис. 6.1) и измерьте ток I и напряжение U2 на термисторе при постепенном
увеличении напряжении U1
согласно табл. 6.1. Измерения должны быть выполнены с интервалами не менее 30
с, чтобы после каждого изменения напряжения достичь установившегося теплового
состояния термистора. Измерение токов производите мультиметром, т.к.
виртуальные приборы не дают достаточной точности при измерении малых токов
(менее 10 мА). Напряжения можно измерять как мультиметром, так и виртуальным
прибором. Напряжения больше 15 В можно получить , соединив последовательно два
источника постоянного напряжения: 0…15 В и 15 В. Резистор 1 кОм включен для
ограничения тока и предотвращения перегрева терморезистора.
Таблица 6.1
|
U1, В
|
5
|
10
|
15
|
20
|
25
|
30
|
|
U2, В
|
|
|
|
|
|
|
|
I, мА
|
|
|
|
|
|
|
|
R, кОм
|
|
|
|
|
|
|
·
Занесите
результаты измерений в табл. 6.1 и постройте по ним кривые на рис. 6.2.
Величины сопротивлений, необходимые для построения кривой R = f(U), можно
рассчитать с использованием значений тока I и напряжения U2.
Рис.
6.2
Контрольные вопросы
1.
Что называют терморезистором?
.
От чего зависит характеристика термистора?
Лабораторная работа 7
Тема:
Терморезисторы с положительным температурным коэффициентом
Цель:
Построить статические характеристики R = f(U) и I = f(U)
терморезистора с ПТК. Обеспечить изменение его сопротивления саморазогревом при
приложенном напряжении.
7.1 Общие сведения
Сопротивление терморезистора с положительным температурным коэффициентом
(ПТК) увеличивается при повышении температуры. Изменение сопротивления может
быть вызвано изменением температуры окружающей среды или собственным нагревом
или охлаждением резистора при различных электрических нагрузках.
7.2 Экспериментальная часть
Задание
Постройте статические характеристики R = f(U) и I = f(U) терморезистора с ПТК. Обеспечьте
изменение его сопротивления саморазогревом при приложенном напряжении.
Замечание: Изменение температуры окружающей среды в данном эксперименте
не рассматривается, потому что не всегда в стандартных электротехнических
лабораториях имеется необходимое тепловое оборудование.
Тот факт, что поведение терморезистора с ПТК зависит не только от
температуры, но также и от величины приложенного напряжения (незначительно), не
учитывается в данном эксперименте.
Порядок выполнения эксперимента
Рис.
7.1
·
Соберите
электрическую цепь согласно схеме (рис. 7.1). Откройте на компьютере
виртуальные приборы V1, A1, «Активное сопротивление R», установите род измеряемых величин
и пределы измерения. Измерьте токи и сопротивления нелинейного резистора при
напряжениях, указанных в табл. 7.1. Измерения должны быть выполнены с
интервалами 30 с, чтобы после каждого изменения напряжения достичь
установившегося теплового состояния терморезистора.
·
Занесите
результаты измерений в табл. 7.1 и постройте по результатам измерений кривые на
рис. 7.2.
Таблица 7.1
|
U, В
|
2
|
5
|
10
|
15
|
20
|
25
|
30
|
|
I, мА
|
|
|
|
|
|
|
|
|
R, Ом
|
|
|
|
|
|
|
|
Рис.
7.2
Контрольные вопросы
1.
Что называют терморезистором с положительным температурным коэффициентом?
.
Что называется статическими характеристиками?
Лабораторная работа 8
Тема:
Резисторы с зависимостью от напряжения (варисторы)
Цель:
Постройте статические кривые R = f(U) и I = f(U) варистора
8.1 Общие сведения
Варисторы
изменяют свое сопротивление обратно пропорционально приложенному напряжению.
Используются в электронных цепях для ограничения и стабилизации напряжения,
гашения дуги и защиты от перенапряжений.
8.2 Экспериментальная часть
Задание
Постройте статические кривые R = f(U) и I = f(U) варистора.
Порядок выполнения эксперимента
Рис.
8.1
·
Соберите
электрическую цепь согласно схеме (рис. 8.1) и измерьте токи в варисторе при
напряжениях, указанных в табл. 8.1.
Измерение тока и напряжения проводите мультиметром или виртуальным прибором.
Таблица 8.1
|
U, В
|
6
|
8
|
8,5
|
9
|
9,5
|
10
|
10,5
|
11
|
11,5
|
12
|
|
I, мА
|
|
|
|
|
|
|
|
|
|
|
|
R, кОм
|
|
|
|
|
|
|
|
|
|
|
·
Величины
сопротивлений, необходимые для построения кривой R = f(U), можно рассчитать с использованием
значений тока и напряжения либо измерить виртуальным прибором. Результаты
внесите также в табл. 8.1.
·
Постройте графики
на рис. 8.2.
Рис.
8.2
Контрольные вопросы
1.
Что называют варистором?
.
В каких цепях используют варистор?
Лабораторная работа 9
Тема:
Резисторы с зависимостью от освещенности (фоторезисторы)
Цель:
Определите величины сопротивлений фоторезистора путем измерения тока и
напряжения при различных уровнях освещенности
9.1 Общие сведения
Изменение
сопротивления обусловлено внутренним фотоэлектрическим эффектом. При поглощении
полупроводниковым материалом лучевой энергии образуются свободные носители
заряда, что ведет к увеличению проводимости (и снижению сопротивления).
Фоторезисторы
часто используются в электронных цепях, например, в световых заграждениях,
затемнителях, как мониторы пламени или в устройствах пожарной сигнализации.
9.2 Экспериментальная часть
Задание
Определите величины сопротивлений фоторезистора путем измерения тока и
напряжения при различных уровнях освещенности.
Порядок выполнения эксперимента
Рис.
9.1
·
Соберите цепь
согласно схеме (рис. 9.1). К фоторезистору подключите мультиметр в режиме
измерения сопротивления. Установите источник света на наборной панели, так чтобы
лампа источника света располагалась напротив фоторезистора. Чтобы свести к
минимуму влияние внешнего освещения, прикройте сверху источник света и
фоторезистор.
·
Измерьте
сопротивление фоторезистора при значениях напряжения на лампе, указанных в табл.
9.1 и заполните таблицу 9.1.
Таблица 9.1
|
U, B
|
0
|
1
|
2
|
4
|
6
|
8
|
10
|
|
I, мА
|
|
|
|
|
|
|
|
|
R, Ом
|
|
|
|
|
|
|
|
·
Сделайте выводы
по результатам эксперимента.
Контрольные вопросы
1. Что называют фоторезистором?
. Чем обусловлено изменение сопротивления фоторезистора?
Лабораторная работа 10
Тема: Выпрямительные диоды. Эффект p-n перехода в диодах.
Цель: Снять вольтамперную характеристику полупроводникового диода в
прямом и обратном направлениях
10.1 Общие сведения
Двухэлектродный
полупроводниковый элемент -- диод содержит n - и p -проводящий слои (рис.
10.1). В n-проводящем слое в качестве свободных носителей заряда преобладают
электроны, а в p-проводящем слое -- дырки. Существующий между этими слоями p-n
переход имеет внутренний потенциальный барьер, препятствующий соединению
свободных носителей заряда. Таким образом, диод блокирован.
При
прямом приложении напряжений («+» к слою p, «-» к слою n)
потенциальный барьер уменьшается, и диод начинает проводить ток (диод открыт).
При обратном напряжении потенциальный барьер увеличивается (диод заперт). В
обратном направлении протекает только небольшой ток утечки, обусловленный
неосновными носителями.
10.2 Экспериментальная часть
Задание
Снять вольтамперную характеристику полупроводникового диода в прямом и
обратном направлениях.
Порядок выполнения эксперимента
· К диоду (рис. 10.2а) при прямой полярности приложите
напряжение постоянного тока UПР, величины которого указаны в табл. 10.1,
измерьте с помощью мультиметра соответствующие токи IПР и их значения занесите
в таблицу. Используйте при этом схему измерения с погрешностью по току.
Рис. 10.2
Таблица 10.1
|
UПР, В
|
0
|
0,1
|
0,2
|
0,3
|
0,4
|
0,5
|
0,6
|
0,65
|
0,7
|
0,75
|
|
IПР, мА
|
|
|
|
|
|
|
|
|
|
|
· Измените полярность диода, переключите вольтметр для
измерений с погрешностью по напряжению как показано на рис. 10.2б и повторите
эксперимент при величинах обратных напряжений, указанных в табл. 10.2. Для
получения напряжений больше 15 В соедините два источника последовательно.
Таблица 10.2
|
UОБР, В
|
0
|
2,5
|
5
|
10
|
15
|
20
|
25
|
30
|
|
IОБР, мкА
|
|
|
|
|
|
|
|
|
Точные измерения обратного тока (IОБР) возможны только с помощью
высокочувствительного мультиметра.
· Перенесите измеренные данные из таблиц на график (рис. 10.3)
и постройте вольтамперную характеристику диода.
Рис. 10.3
Контрольные вопросы
1. Как называется напряжение, при котором диод становится проводящим?
. Что называется током утечки?
Лабораторная работа 11
Тема: Полупроводниковый однополупериодный выпрямитель
Цель: Исследовать выпрямительное действие полупроводникового диода в
составе однополупериодного выпрямителя, используя виртуалные приборы (либо
мультиметры и осциллограф в варианте стенда без компьютера)
11.1 Общие сведения
В цепи с полупроводниковым диодом (рис. 11.1) установившийся ток может
протекать только при определенной полярности приложенного к диоду напряжения.
При изменении полярности напряжения диод запирается и ток прекращается. В цепи
переменного (синусоидального) напряжения ток протекает только в течение той
полуволны, когда диод открыт. Полуволна другой полярности подавляется. В
результате в цепи имеет место ток одного направления. Для уменьшения пульсаций
выпрямленного напряжения применяются сглаживающие фильтры. Простейшим фильтром
является конденсатор, подключенный параллельно нагрузке.
Рис. 11.1
При исследовании выпрямителей применяются следующие обозначения:
· uВХ, UВХ - мгновенное и действующее значения синусоидального
входного напряжения;
· ud, Ud, Udmax, Udmin - мгновенное, среднее, максимальное, минимальное
значения выходного (выпрямленного) напряжения;
· fп - частота пульсаций выходного напряжения;
· m = fпульс
/ fвх - число пульсаций выпрямленного
напряжения за один период напряжения питания;
·
-
коэффициент пульсаций выпрямленного напряжения. В данной работе используется
одна фаза трехфазного источника напряжений.
11.2 Экспериментальная часть
Задание
Исследовать выпрямительное действие полупроводникового диода в составе
однополупериодного выпрямителя, используя виртуалные приборы (либо мультиметры
и осциллограф в варианте стенда без компьютера).
Порядок выполнения эксперимента
· Соберите цепь согласно схеме (рис. 11.2) без сглаживающего
фильтра. На схеме V0 и V1 - входы коннектора. При сборке схемы обратите внимание на
полярность электролитического конденсатора.
· Включите виртуальные приборы V0 и V1 и
осциллограф. Подключите два любых входа осциллографа к каналам V0 и V1. Установите развертку 5 мС/дел.
· Перенесите на график (рис. 11.3) осциллограммы входного и
выходного напряжений.
· Сделайте
измерения и запишите в табл. 11.1. значения: UВХ - действующее, Ud -
среднее,
, m = fпульс / fвх.
· Рассчитайте
и запишите в табл. 11.1 коэффициенты Ud / UВХ и kпульс.
Рис. 11.2
· Параллельно нагрузочному резистору RН подключите сглаживающие
конденсаторы C c емкостями,
указанными в табл. 11.1, повторите измерения и дорисуйте графики выпрямленного
напряжения на рис. 11.3.
Таблица 11.1
|
C, мкФ
|
0
|
1
|
10
|
100
|
|
UВХ, В
|
|
|
Ud, B
|
|
|
|
|
|
, В
|
|
|
|
|
|
m
|
|
|
|
|
|
Ud / UВХ
|
|
|
|
|
|
kпульс
|
|
|
|
|
Рис. 11.3
Примечание: в стенде без компьютера все измерения можно проделать с
помощью мультиметров и электронного осциллографа.
Контрольные вопросы
1. Почему максимальное значение выпрямленного напряжения Udmax не совпадает с амплитудой входного
напряжения?
. Что произойдет при изменении полярности диода в цепи (рис. 11.2)?
. Каково обратное напряжение диода в схеме со сглаживающим конденсатором?
. Какое действие оказывает сглаживающий конденсатор на амплитуду
пульсаций напряжения?
Лабораторная работа 12
Тема: Моделирование плоскопараллельных электростатических и магнитных
полей током в проводящем листе
Цель: Построить картину силовых линий моделируемого электростатического
поля, определить его напряжённость в отдельных точках
12.1 Общие сведения
Известно, что электростатическое поле в области, где нет свободных
зарядов, а также постоянное магнитное поле в области, где нет токов,
описывается такими же уравнениями, как и поле постоянного тока в проводящей
среде вне источников энергии, в частности, уравнением Лапласа:
.
Поскольку уравнение Лапласа имеет единственное решение при заданных
граничных условиях, то при подобных граничных условиях в диэлектрике и в
проводящей среде распределение потенциала будет одинаковым в обеих средах. Это
подобие позволяет моделировать как электростатические, так и магнитные поля
полем электрического тока в проводящей среде. Соблюдение подобных граничных
условий сводится к геометрическому подобию областей, в которых исследуется
поле.
Плоский проводящий лист позволяет моделировать распределение
электрического потенциала или магнитных силовых линий в сечении
плоскопараллельного поля, перпендикулярном длинным заряженным проводникам или
проводникам с током. Эквипотенциальные линии в проводящем листе соответствуют
эквипотенциальным линиям в электростатическом поле между заряженными
проводниками. При моделировании магнитного поля эквипотенциальные линии в
проводящем листе соответствуют магнитным силовым линиям при протекании тока в
проводниках.
Рисунок 12.1
Собранная установка для моделирования с одним из планшетов показана на
рис. 12.1. Остальные четыре планшета - на рис. 12.2.
Планшеты № 1, 2, 3, 4 используются для моделирования электростатических
полей заряженных длинных проводов соответствующих сечений. Планшет №1 и, в
меньшей степени, №3 и №4 пригодны также и для моделирования магнитного поля
двухпроводной линии с током, на планшете №5 моделируется магнитное поле между
полюсами и в зазоре явнополюсной электрической машины. На планшетах №3 и №4 при
моделировании магнитного поля граничные условия обеспечиваются неточно, поэтому
картина поля вблизи проводников, полученная с помощью модели, несколько
отличается от реальной.
Рисунок 12.2
12.1 Моделирование плоскопараллельного
электростатического поля
Задание
Построить картину силовых линий моделируемого электростатического поля,
определить его напряжённость в отдельных точках.
Порядок выполнения работы
· Установите на наборную панель один из вариантов конфигурации
проводящего листа (планшет 1, 2, 3 или 4) и подключите питание от генератора
постоянных напряжений и мультиметр в режиме вольтметра, как показано на рис.
1.1.
· Приготовьте рисунок расположения электродов с координатной
сеткой (см. приложение 1).
· Включите выключатель сети блока генераторов напряжений (БГН)
и убедитесь, что один из электродов имеет потенциал, равный нулю, а другой -
потенциал, равный напряжению источника питания.
· Выберите
такое напряжение питания U = 10…15 В и шаг изменения потенциала
(например 1; 2 или 2,5 В), чтобы на картине поля
получилось 7…10 эквипотенциальных линий.
· Перемещая
зонд от точки нулевого потенциала по оси симметрии к другому электроду, найдите
точки с потенциалами
, 2
, 3
… Найденные точки отмечайте на приготовленном рисунке
с координатной сеткой.
· Перемещая
зонд из точки с потенциалом
вокруг
электрода (слегка приближаясь или удаляясь от него), находите точки равного
потенциала и отмечайте их на рисунке. Точки равного потенциала соедините
плавной кривой. Аналогично постройте другие эквипотенциальные линии.
Примечание: В каждом варианте проводящего листа имеются одна или две оси
симметрии, поэтому можно ограничиться исследованием половины или четверти
проводящей области листа.
· Пользуясь известными правилами графического построения
картины поля, по эквипотенциальным линиям электростатического поля постройте
силовые линии напряжённости поля.
· Вычислите
напряженность электрического поля в двух - трёх точках проводящего листа и
покажите направление вектора напряженности в этих точках на рисунке (
).
12.2 Моделирование плоскопараллельного
магнитного поля
Задание
Построить картину силовых линий исследуемого магнитного поля, определить
его магнитную индукцию в отдельных точках, приняв какое-нибудь конкретное
значение намагничивающего тока.
Порядок выполнения работы
· Установите на наборную панель один из вариантов конфигурации
проводящего листа (планшет 1, 3, 4 или 5) и подключите питание от генератора
постоянных напряжений и мультиметр в режиме вольтметра, как показано на рис.
12.1.
· Приготовьте рисунок расположения электродов с координатной
сеткой.
· Включите выключатель «Сеть» блока генераторов напряжений
(БГН) и убедитесь, что один из электродов имеет потенциал, равный нулю, а
другой - потенциал, равный напряжению источника питания.
· Выберите
такое напряжение питания U = 10…15 В и шаг изменения потенциала
(например 1; 2 или 2,5 В), чтобы на картине поля
получилось 7…10 эквипотенциальных линий.
· Перемещая
зонд от точки нулевого потенциала по оси симметрии к другому электроду, найдите
точки с потенциалами
, 2
, 3
… Найденные точки отмечайте на приготовленном рисунке
с координатной сеткой.
· Перемещая
зонд из точки с потенциалом
вокруг
электрода (слегка приближаясь или удаляясь от него), находите точки равного
потенциала и отмечайте их на рисунке. Точки равного потенциала соедините
плавной кривой. Аналогично постройте другие эквипотенциальные линии.
Примечание: В каждом варианте проводящего листа имеются одна или две оси
симметрии, поэтому можно ограничиться исследованием половины или четверти
проводящей области листа.
Считая снятые эквипотенциальные линии электрического поля магнитными
силовыми линиями, постройте линии равного магнитного потенциала, пользуясь
известными правилами графического построения картины поля. Примите конкретное
значение тока в шинах или МДС катушек и укажите для каждой эквипотенщиальной
линии значение магнитного потенциала.
· Вычислите
магнитную индукцию в двух - трёх точках поля и покажите направление вектора
магнитной индукции в этих точках на рисунке (
).
Контрольные вопросы
1. Для чего предназначены планшеты 1, 2, 3, 4?
. Какими уравнениями описывается электростатическое поле?
Лабораторная работа 13
Тема: Исследование постоянного магнитного поля на оси катушек с помощью
датчика Холла
Цель: Измерить магнитную индукцию в различных точках на оси
цилиндрической катушки и построить график её изменения вдоль оси. Проверить
результаты измерения расчётом
13.1 Общие сведения
На основе закона Био-Савара-Лапласа можно получить формулу для
определения напряжённости магнитного поля на оси кругового витка радиуса R, по которому протекает ток i, (рис. 13.1):
Пользуясь
этим выражением выведена также формула для определения напряжённости поля на
оси однослойной цилиндрической катушки, имеющей радиус витка R и
длину l (рис. 13.2):
.
Эти
формулы с некоторой погрешностью пригодны и для вычисления напряжённости на оси
реальных многослойных катушек, если их толщина мала по сравнению с радиусом.
С
учётом того, что магнитная индукция В = μ0H и число витков
катушки равно w, получим:
· для
кольцевой катушки -
;
· для
цилиндрической катушки -
.
В наборе миниблоков этого комплекта имеется миниблок с цилиндрической
катушкой и миниблок с двумя одинаковыми соосными кольцевыми катушками, одна из
которых может перемещаться относительно другой. Параметры катушек указаны на
этикетках миниблоков.
Для измерения магнитной индукции используется датчик Холла с усилителем
(миниблок «Тесламетр»). Для измерения магнитной индукции необходимо подвести к
«Тесламетру» питание +15 В, к его выходу подключить вольтметр (предел измерения
200 мВ), ручкой остановки нуля добиться напряжения на выходе, близкого к нулю,
и ввести зонд с датчиком Холла внутрь катушки на нужное расстояние от её края.
Показание вольтметра на выходе усилителя пропорционально магнитной индукции.
Чувствительность системы «датчик - усилитель» указана на этикетке
миниблока. Если требуется изменить или уточнить чувствительность, то необходимо
открыть крышку миниблока, ввести зонд в магнитное поле с известной магнитной
индукцией и подстроечным резистором установить необходимое напряжение на выходе
усилителя. Непосредственно перед последней операцией обязательно проверить
установку нуля!
13.2.1 Исследование магнитного поля на оси
цилиндрической катушки
Задание
Измерить магнитную индукцию в различных точках на оси цилиндрической
катушки и построить график её изменения вдоль оси. Проверить результаты
измерения расчётом.
Порядок выполнения работы
· Установите исследуемую катушку на наборную панель, как
показано на рис. 13.3 и подведите к ней питание от регулируемого источника
постоянного напряжения 0…15 В блока генераторов напряжений (БГН) через
амперметр.
· Установите на наборную панель миниблок для измерения
магнитной индукции («Тесламетр») и подключите к нему питание +15 В, соединив
два нерегулируемых источника постоянного напряжения БГН последовательно (рис.
13.3).
· Разомкните цепь питания катушки (выньте из гнезда наборной
панели штырёк провода от амперметра) и включите БГН.
· При нулевом токе в катушке установите как можно точнее
нулевое показание вольтметра на выходе тесламетра ручкой установки нуля (обычно
удаётся получить Uвых<20 мВ).
· Замкните цепь питания катушки и установите максимально допустимый
ток 0,2 А регулятором напряжения источника. При меньшем токе погрешность
измерения магнитной индукции возрастает из-за слишком слабого магнитного поля.
· Перемещая зонд с датчиком Холла вдоль оси катушки с шагом 5
мм, запишите координаты и соответствующие им значения магнитной индукции в
табл. 13.1. Координату х = 0 удобно принять в центре катушки. Значение
магнитной индукции В [мTл] =
10UВЫХ [B]. В ходе эксперимента время от времени отключайте питание
катушки и корректируйте установку нуля тесламетра.
· Постройте график изменения магнитной индукции вдоль оси
катушки В(х). Предварительно выберите удобные масштабы и нанесите шкалы по
осям.
· Вычислите магнитную индукцию в некоторых характерных точках
(в точке симметрии, на краю катушки и т. п.) по формуле для однослойной
цилиндрической катушки, приведённой в разделе «Общие сведния».
· Нанесите расчётные точки на экспериментальном графике, либо
сделайте расчёт всего графика на компьютере, используя, например, программу MathCAD. Тогда удобнее экспериментальные
точки нанести на расчётном графике.
Таблица 13.1
|
х, мм
|
-25
|
-20
|
-15
|
-10
|
-5
|
0
|
5
|
10
|
15
|
20
|
25
|
|
U, B
|
|
|
|
|
|
|
|
|
|
|
|
|
B, мТл
|
|
|
|
|
|
|
|
|
|
|
|
13.2.2 Исследование магнитного поля
на оси кольцевых катушек
Задание
Измерить магнитную индукцию в различных точках на оси кольцевой катушки,
или двух катушек, смещённых по оси относительно друг друга, при их согласном
или встречном включении. Построить график изменения магнитной индукции вдоль
оси. Проверить результаты измерения расчётом.
Порядок выполнения работы
· Установите миниблок «Кольцевые катушки» на наборную панель
(рис. 13.4). Если Вы исследуете поле двух катушек, то соедините катушки между
собой согласно или встречно и установите поводком заданное расстояние между
катушками. Подведите к катушкам питание от регулируемого источника постоянного
напряжения 0…15 В БГН через амперметр.
· Установите на наборную панель миниблок для измерения
магнитной индукции («Тесламетр») и подведите к нему питание +15 В, соединив два
нерегулируемых источника постоянного напряжения БГН последовательно.
· Разомкните цепь питания катушек (выньте из гнезда наборной
панели штырёк провода от амперметра) и включите блок генераторов.
· При разомкнутой цепи питания катушек установите как можно
точнее нулевое показание вольтметра на выходе тесламетра ручкой установки нуля
(обычно удаётся получить Uвых
< 20 мВ).
· Замкните цепь питания катушек и установите максимально
допустимый ток 0,2 А регулятором напряжения источника. При меньшем токе
погрешность измерения магнитной индукции возрастает из-за слишком слабого
магнитного поля.
· Перемещая зонд с датчиком Холла вдоль оси катушек с шагом 2,5
мм, запишите координаты и соответствующие им значения магнитной индукции в
табл. 13.2. Кооррдинату х = 0 удобно принять в центре неподвижной кольцевой
катушки. Значение магнитной индукции В [мTл] = 10UВЫХ [B]. В ходе эксперимента время от
времени отключайте питание катушки и корректируйте установку нуля тесламетра.
· Постройте график изменения магнитной индукции вдоль оси
катушек В(х). Предварительно выберите удобные масштабы и нанесите шкалы по
осям.
· Вычислите магнитную индукцию в некоторых характерных точках
(в точке симметрии, в центре одной из катушек и т. п.) по формуле для тонкой
кольцевой катушки, приведённой в разделе «Общие сведения».
· Нанесите расчётные точки на экспериментальном графике либо
сделайте расчёт всего графика на компьютере, используя, например, программу MathCAD. Тогда удобнее экспериментальные
точки нанести на расчётном графике.
Таблица 13.2
|
х, мм
|
-10
|
-7,5
|
-5
|
-2,5
|
0
|
2,5
|
5
|
7,5
|
10
|
12,5
|
15
|
|
U, B
|
|
|
|
|
|
|
|
|
|
|
|
|
B, мТл
|
|
|
|
|
|
|
|
|
|
|
|
Контрольные вопросы
1. Сформулируйте закон Био-Савара-Лапласа.
. Что используется для измерения магнитной индукции?
Лабораторная работа 14
Тема:
Исследование электромагнитных сил в постоянном магнитном поле
Цель: Снять экспериментально зависимость силы притяжения двух частей
разъёмного сердечника трансформатора от тока в катушке. Проверить эксперимент
расчётом
14.1 Общие сведения
В данной работе измеряется сила притяжения двух подковообразных частей
разъёмного сердечника трансформатора, когда по его обмоткам, включённым
последовательно согласно, протекает постоянный ток.
Эта сила может быть определена по плотности энергии магнитного поля в
зазоре между сердечниками:
,
где:
Fрасч - расчётная сила в Ньютонах; множитель 2
учитывает две силы, приложенные к двум концам подвижного сердечника; S =
16х13·10-6 = 208·10-6 м2 - поперечное сечение сердечника;
= 12.56·10-7 Гн/м - магнитная проницаемость воздуха;
Н - напряжённость магнитного поля в зазоре; w = 1800
суммарное число витков двух катушек, соединённых последовательно; I -
ток в катушках; 2δ
- двойной зазор между подковами
сердечника (его величина указана на этикетке миниблока).
Принципиальная схема установки показана на рис. 14.1. При включении
выключателя по катушкам трансформатора начинает протекать постоянный ток, и две
половины разъёмного сердечника притягиваются друг к другу. При отключении цепи
сила притяжения исчезает.
Полупроводниковый диод в схеме служит для исключения перенапряжений в
схеме при отключении катушки.
Для измерения силы в зазоры между двумя частями сердечника встроены
датчики силы. Принцип действия датчика основан на пьезоэлектрическом эффекте.
При воздействии силы на его выводах образуются противоположные заряды,
пропорциональные силе. Для измерения этого заряда к выходу датчика подключен
интегрирующий усилитель. Он интегрирует импульс тока во входной цепи
интегратора в процессе изменения силы, воздействующей на датчик. Таким образом,
напряжение на выходе интегратора пропорционально заряду на электродах датчика
силы. Для установки нулевого напряжения на выходе интегратора служит
выключатель «Сброс». После установки нуля переключатель нужно вернуть в
исходное положение, и интегратор готов к работе.
Следует иметь в виду, что даже при отсутствии входного сигнала,
напряжение на выходе интегратора медленно меняется вследствие дрейфа нуля и
интегрирования различных утечек схемы. Поэтому установку нуля необходимо
выполнять непосредственно перед каждым измерением, а отсчёт выходного
напряжения необходимо выполнять в течение двух - трёх секунд сразу после
интегрирования.
Для калибровки системы «датчик - интегратор» используется вес самого
подвижного сердечника. Он указан на этикетке сердечника.
14.2 Экспериментальная часть
Задание
Снять экспериментально зависимость силы притяжения двух частей разъёмного
сердечника трансформатора от тока в катушке. Проверить эксперимент расчётом.
Порядок выполнения работы
· Соберите установку как показано на рис. 14.2. Переключатель
интегратора установите на «Сброс», выключатель на входе цепи выключите
(положение «вверх»).
Включите блок генераторов напряжений (БГН), убедитесь, что на выходе
интегратора напряжение близко к нулю (< 10 мВ).
· Установите предел измерения вольтметра - 2В постоянного
напряжения, переведите переключатель интегратора в нижнее положение и тотчас же
выньте верхнюю половину сердечника из катушек. Сразу после этого сделайте
отсчёт напряжения на выходе интегратора.
· Переключите интегратор в положение «Сброс», убедитесь, что на
его выходе установилось нулевое напряжение, верните переключатель в нижнее
положение и тот час же вставьте сердечник в катушки, не нажимая на него и не
бросая с большой высоты. Снова сделайте отсчёт выходного напряжения. Оно не
должно сильно отличаться от напряжения в предыдущем опыте, но знак напряжения
меняется на противоположный.
· Для калибровки системы «датчик - интегратор» проделайте
предыдущие два опыта 5 раз, записывая результаты отсчёта напряжения в таблицу
7.1. без учёта знака.
Таблица 14.1
|
Uвых, В при снятии сердечника
|
|
|
|
|
|
|
Uвых, В при установке сердечника
|
|
|
|
|
|
· Отбросьте сильно отличающиеся значения напряжения, а по
остальным вычислите среднее значение и постоянную системы «датчик -
интегратор»:
Uср =
………….В, Uср1 = ……………………г/B.
· Включите выключатель на входе цепи и установите начальное
значение тока в катушке 50 мА, проделайте «Сброс» интегратора, и тотчас
выключите ток в катушке. Запомните или запишите показание вольтметра.
Проделайте этот опыт несколько раз при включении и выключении тока и запишите в
табл. 14.2 среднее или наиболее часто повторяющееся показание вольтметра без
учёта знака.
· Повторите этот опыт при других значениях тока, указанных в
табл. 14.2.
· По опытным данным определите силу в граммах по формуле: Fэксп = kUвых и занесите результаты в табл. 14.2.
· Определите расчётную силу по формуле, приведённой в разделе
«Общие сведения», переведите её в граммы и также занесите в табл. 14.2. На
рисунке 14.3 постройте графики Fрасч(I) и Fэксп(I),
сравните их и сделайте выводы.
Таблица 14.2
|
I, мА
|
Uвых, В
|
Fэксп, г
|
Fрасч, г
|
|
50
|
|
|
|
|
100
|
|
|
|
|
150
|
|
|
|
|
200
|
|
|
|
Контрольные вопросы
1. В каких единицах измеряется напряженность магнитного поля?
. Для чего служит полупроводниковый диод в схеме на рисунке 14.1?
Лабораторная работа 15
Тема: Исследование поверхностного эффекта и эффекта близости
Цель: Исследовать экспериментально изменение действующего значения и
начальной фазы плотности тока по ширине медного ленточного проводника.
Исследовать экспериментально изменение действующего значения и начальной фазы
плотности тока по ширине медного ленточного проводника, помещённого в
ферромагнитный экран (модель паза электрической машины). Проверить результаты
эксперимента расчётом
15.1 Общие сведения
Переменный ток распределяется по сечению массивных проводников (шин)
неравномерно вследствие поверхностного эффекта и эффекта близости. Наибольшая
плотность тока наблюдается на поверхности шины и уменьшается к центру
поперечного сечения (рис. 15.1.а). В двух близко расположенных шинах с
противоположным направлением токов, кроме того, происходит вытеснение токов на
поверхности шин обращённые друг к другу (рис. 15.1б). При одинаковых
направлениях токов в двух таких шинах вытеснение токов происходит на внешние
поверхности.
Рисунок
15.1
В проводнике, уложенном в ферромагнитный паз ротора или статора
электрической машины происходит вытеснение тока на открытую поверхность
проводника (рис. 15.1в).
Неравномерное распределение тока по сечению проводников приводит к
увеличению их активных сопротивлений, что необходимо учитывать при
проектировании электрических машин и токопроводов.
Наиболее простым для математического описания является проводник,
уложенный в ферромагнитный паз. При достаточной высоте паза можно пренебречь
отражённой электромагнитной волной от его дна. Тогда распределение действующего
значения плотности тока по высоте паза (вдоль оси z ) может быть описано следующей формулой:
,
где
- коэффициент затухания и коэффициент фазы;
-
действующее значение плотности тока на открытой поверхности проводника;
В
этих формулах:
I - действующее
значение тока в проводнике;
ω - круговая частота переменного тока;
μ и γ
магнитная проницаемость и проводимость
проводника;
а
= 2 мм - ширина паза;
b = 0,35 мм -
толщина проводящей шины.
Согласно
этим формулам, плотность тока уменьшается вдоль оси z по
экспоненциальному закону (множитель
).
Начальная фаза плотности тока на поверхности проводник равна 45О и с
увеличением координаты z изменяется по фазе в сторону отставания (φ = 45О - kz).
Глубина,
на которой плотность тока в е = 2,718 раз меньше, чем на поверхности
проводника, называется глубиной проникновения электромагнитной волны σ = 1/k. Глубина проникновения уменьшается с увеличением
частоты переменного тока, магнитной проницаемости и проводимости проводника.
В
данной работе исследуется распределение тока в ленточных медных проводниках
толщиной 0,35 мм и шириной 25 мм при их различном взаимном расположении (рис.
15.2).
Рис.
15.2
Первый
вариант расположения проводников (см. рис. 15.2а) позволяет экспериментально
исследовать распределение тока вдоль ширины (ось y) двух близко
расположенных прямоугольных шин, показанных на рис. 15.1б.
Во
втором случае (рис. 15.2б) опыт может быть выполнен при двух значениях
расстояния между шинами: d = 63 мм и d =3 мм.
При
большом расстоянии между ленточными проводниками, распределение тока в них
аналогично распределению тока в одном из горизонтальных слоёв прямоугольной
шины, показанной на рис. 15.1а (вдоль оси х). Эффект близости сказывается здесь
незначительно.
При
малом расстоянии между ленточными проводниками их можно рассматривать как один
из горизонтальных слоёв двух близко расположенных шин, показанных на рис.
15.1б. Вдоль горизонтальной оси (оси х) здесь сильно проявляется эффект
близости.
В
третьем случае (рис. 15.2в.) медная лента охвачена с трёх сторон ферромагнитным
экраном и распределение тока в ней примерно такое же, как в проводнике,
уложенном в паз электрической машины (рис. 15.1в).
Проводящие
ленты для каждого из описанных четырёх вариантов смонтированы на
стеклотекстолитовых платах и образуют замкнутые контуры. Электрический ток к
ним подводится через понижающий трансформатор, вторичной обмоткой которого
является сам контур из проводящих лент и соединительных шин (один виток).
Лабораторная
установка с одним из вариантов проводящего контура схематично показана на рис.
15.3.
Для
её сборки необходимо сначала установить в левой верхней части наборной панели
катушку трансформатора 170 витков вместе с нижней U-образной
частью разъёмного сердечника, затем надеть на катушку один из исследуемых
проводящих контуров и закрепить его над наборной панелью, пользуясь
соединительными вилками со средним выводом, как подставками. Подставки
необходимы для увеличения расстояния между исследуемыми проводниками и
металлической поверхностью наборной панели. Иначе наводимые в ней вихревые токи
существенно изменят распределение тока в исследуемых проводниках.
После
этого нужно вставить в катушку вторую половинку разъёмного сердечника и
скрепить две половинки сердечника резиновым кольцом.
Для измерения падения напряжения вдоль нити тока в проводящей ленте
служит датчик напряжения, также изображённый на рис. 15.3. Он представляет
собой пластинку из стеклотекстолита, в которую вмонтированы два миниатюрных
контакта. Провода от контактов проходят вдоль нити тока в исследуемом
проводнике до середины пластинки, затем они поворачивают на 90о и проходят
вместе сквозь ручку к усилителю напряжения. При прижатии контактов к
исследуемой поверхности, соединительные провода датчика оказываются
расположенными почти вплотную к этой поверхности. В результате, магнитный
поток, сцеплённый с контуром измерительной цепи, оказывается близким к нулю и
на вход усилителя подводится активная составляющая напряжения, пропорциональная
плотности тока:
,
где
U - напряжение
между контактами датчика,
Е
- тангенсиальная составляющая напряжённости электрического поля,
l - расстояние
между контактами датчика, равное 0,1 м.
-
удельная проводимость медного проводника.
Для
измерения тока в исследуемых проводниках используется трансформатор тока с
коэффициентом трансформации 100. Он имеет один первичный виток и расположен
непосредственно на соединительной шине (рис. 15.3).
15.2 Экспериментальная часть
.2.1 Исследование распределения тока в массивных
проводниках
Задание
Исследовать экспериментально изменение действующего значения и начальной
фазы плотности тока по ширине медного ленточного проводника в следующих
случаях:
1. Две ленты с противоположно направленным током расположены
параллельно в двух плоскостях одна над другой.
2. Две ленты с противоположно направленным током расположены
параллельно в одной плоскости при расстоянии между лентами 63 мм.
. То же при расстоянии между лентами 3 мм.
Порядок выполнения работы
· Соберите на наборной панели трансформатор с одним из
проводящих контуров и установите на ней миниблок - усилитель датчика плотности
тока (рис. 15.3). Усилитель расположите в правой части наборной панели как
можно дальше от исследуемого контура.
· Соберите электрическую цепь согласно принципиальной схеме,
изображённой на рис. 15.4. Амперметр и вольтметр, показанные на схеме -
виртуальные приборы. Конденсатор служит для компенсации индуктивного
сопротивления контура и увеличения тока в нём.
Примечание: Виртуальные приборы можно заменить мультиметрами, но тогда Вы
не сможете измерять начальную фазу плотности тока. Начальную фазу в этом случае
можно измерять электронным осциллографом с помощью фигуры Лиссажу.
· Включите виртуальные приборы для измерения тока напряжения и
сдвига фаз между ними.
· Установите на источнике переменного тока синусоидальное
напряжение частотой 2000…2500 Гц максимальной амплитуды и подберите ёмкость С,
при которой ток в контуре наибольший. Для надёжных измерений он должен быть не
меньше 25 А. Не забывайте, что ток в контуре в 100 раз больше, чем во вторичной
обмотке трансформатора тока. При необходимости, можно увеличить ток подстройкой
частоты приложенного напряжения ближе к резонансной. При этом следите за
индикатором перегрузки источника.
· Слегка прижимая датчик его контактами к поверхности
ленточного проводника и перемещая его по ширине ленты, убедитесь, что
изменяются выходное напряжение усилителя и разность фаз. Если прибор показывает
разность фаз больше 90О, поменяйте местами зажимы амперметра на коннекторе или
зажимы трансформатора тока.
· Измерьте выходное напряжение и разность фаз, перемещая датчик
от одного края ленты до другого с шагом 5 мм и запишите результаты в табл.
15.1. Координата х в таблице соответствует расстоянию от края ленточного
проводника до контактов датчика.
· Рассчитайте плотность тока при каждом значении координаты. С
учётом коэффициента усиления напряжения усилителя:
.
Плотность тока получится в А/мм2, если в этой формуле γ
- в м/(Ом мм2), Uвых - в Вольтах, и l = 0,1 м - расстояние между
контактами датчика.
· Замените установленный контур на другой, затем на третий и
повторите все опыты и расчёты.
Таблица 15.1
|
Коорди- ната х мм
|
|
|
|
|
d = 63 мм
|
d = 3 мм
|
|
Uвых, В
|
φ,
град.
|
δ, А/мм2
|
Uвых, В
|
φ,
град.
|
δ, А/мм2
|
Uвых, В
|
φ,
град.
|
, А/мм2
|
|
0
|
|
|
|
|
|
|
|
|
|
|
5
|
|
|
|
|
|
|
|
|
|
|
10
|
|
|
|
|
|
|
|
|
|
|
15
|
|
|
|
|
|
|
|
|
|
|
20
|
|
|
|
|
|
|
|
|
|
|
25
|
|
|
|
|
|
|
|
|
|
15.2.2 Исследование распределения тока по
сечению проводника
Задание
Исследовать экспериментально изменение действующего значения и начальной
фазы плотности тока по ширине медного ленточного проводника, помещённого в ферромагнитный
экран (модель паза электрической машины). Проверить результаты эксперимента
расчётом
Порядок выполнения работы
· Соберите на наборной панели трансформатор с моделью паза
электрической машины.
· Соберите электрическую цепь согласно схеме, изображённой на
рис. 15.6. Усилитель расположите в правой части наборной панели как можно
дальше от исследуемого контура. Амперметр и вольтметр, показанные на схеме -
виртуальные приборы.
Примечание: Виртуальные приборы можно заменить мультиметрами, но тогда Вы
не сможете измерять начальную фазу плотности тока. Начальную фазу в этом случае
можно измерять электронным осциллографом с помощью фигуры Лиссажу.
· Включите виртуальные приборы для измерения тока, напряжения и
сдвига фаз между ними.
· Установите на источнике переменного тока синусоидальное
напряжение частотой 250 Гц максимальной амплитуды
· Слегка прижимая датчик его контактами к поверхности
ленточного проводника и вводя его внутрь «паза», убедитесь, что изменяются
выходное напряжение усилителя и разность фаз. Если прибор показывает разность
фаз больше 90О, поменяйте местами зажимы амперметра на коннекторе или зажимы
трансформатора тока.
· Измерьте выходное напряжение и разность фаз, перемещая датчик
от открытого края «паза» до максимальной глубины с шагом 5 мм и запишите
результаты в табл. 15.2. Координата z в таблице соответствует расстоянию от коткрытой стороны паза до
контактов датчика.
· Рассчитайте плотность тока при каждом значении координаты. С
учётом коэффициента усиления напряжения усилителя:
.
Плотность тока получится в А/мм2, если в этой формуле γ
- в м/(Ом мм2), Uвых - в вольтах, и l = 0,1 м - расстояние между
контактами датчика.
· Замените установленный контур на другой контур, затем на
третий и повторите все опыты и расчёты.
· На рис. 15.5 постройте график изменения плотности тока и его
начальной фазы для исследованных случаев.
· Приняв а = 2
мм. b = 0,35 мм и
,
вычислите:
=
……………..1/мм - коэффициент затухания и коэффициент фазы;
=
…………….А/мм2 - действующее значение плотности тока на открытой поверхности
проводника;
· Поделайте расчёт изменения плотности тока и его начальной
фазы от координаты по формулам:
и
.
Результаты
запишите в ту же табл. 15.2, а на рис. 15.6 постройте расчётные графики для
сравнения с экспериментальными.
Таблица
15.2
|
|
Экспериментальные данные: f =
……….Гц; I =…………..A
|
Расчётные данные: k
=………1/мм; δ ………А/мм2.
|
|
z, мм
|
Uвых,В
|
φ,
град.
|
δ, А/мм2
|
kz, 1/мм
|
δ, А/мм2
|
φ,
град.
|
|
0
|
|
|
|
|
|
|
|
5
|
|
|
|
|
|
|
|
10
|
|
|
|
|
|
|
|
15
|
|
|
|
|
|
|
|
20
|
|
|
|
|
|
|
Рис 15.6
Контрольные вопросы
1. Что такое поверхностный эффект?
. Что такое эффект близости?
Планы Практических занятий
Практическое занятие №1
Тема: «Расчет переходных процессов цепей постоянного тока классическим
методом.».
Цель: Изучить методы расчета и анализа переходных процессов цепей
постоянного тока классическим методом.
План:
Порядок расчета классическим методом
Определение принужденной и свободной составляющих
Построение графиков переходного процесса
Контрольные вопросы:
1. Какой процесс называют переходным?
2. Что такое постоянная времени?
. Чему равно значение принужденной составляющей?
. Какие законы применяют к расчету переходных процессов цепей
постоянного тока?
Литература:
. Бессонов Л.А. Теоретические основы электротехники. -М.: Гардарики,
1999.-638 с.
. Сборник задач по теоретическим основам электротехники/ Л.А. Бессонов,
И.Г. Демидова, М.Е.Заруди и др. . -М. Высш.шк.,2003.-528 с.
. Сборник задач и упражнений по теоретическим основам электротехники. Под
ред. П.А. Ионкина.- М.: Энергоиздат, 1982-768 с.
Практическое занятие №2
Тема: «Расчет переходных процессов цепей постоянного и переменного тока
операторным методом.».
Цель: Изучить операторный метод расчета и построения переходных
процессов.
План:
Использование преобразований Лапласа для операторного метода
Изображения временных функций операторными
Расчет переходных процессов цепей постоянного тока операторным методом
Контрольные вопросы:
1. Что называют оригиналом?
2. Что называют изображением?
. Какие преимущества операторного метода в сравнении с
классическим?
Литература:
. Бессонов Л.А. Теоретические основы электротехники. -М.: Гардарики,
1999.-638 с.
. Сборник задач по теоретическим основам электротехники/ Л.А. Бессонов,
И.Г. Демидова, М.Е.Заруди и др. . -М. Высш.шк.,2003.-528 с.
. Сборник задач и упражнений по теоретическим основам электротехники. Под
ред. П.А. Ионкина.- М.: Энергоиздат, 1982-768 с.
Практическое занятие №3
Тема: «Определение коэффициентов четырехполюсников и параметров их схем
замещения и параметров фильтров.».
Цель: Изучить методы определения коэффициентов четырехполюсника.
План:
Существующие методы расчета
Определение коэффициентов четырехполюсника по опытам холостого хода и
короткого замыкания
Определение коэффициентов четырехполюсника по уравнениям Кирхгофа
Контрольные вопросы:
1. От чего зависит взаимная индуктивность?
2. Какое включение индуктивностей называют согласным и встречным?
. Что такое сносимое сопротивление?
Литература:
. Бессонов Л.А. Теоретические основы электротехники. -М.: Гардарики,
1999.-638 с.
. Сборник задач по теоретическим основам электротехники/ Л.А. Бессонов,
И.Г. Демидова, М.Е.Заруди и др. . -М. Высш.шк.,2003.-528 с.
. Сборник задач и упражнений по теоретическим основам электротехники. Под
ред. П.А. Ионкина.- М.: Энергоиздат, 1982-768 с.
Практическое занятие №4
Тема: «Расчет нелинейных цепей».
Цель: Изучить методы расчета и анализа нелинейных цепей постоянного,
переменного тока, магнитных цепей и научиться использовать существующие методы
расчета
План:
Законы, применяемые к расчету нелинейных цепей.
Графический метод расчета
Аналитический метод расчета
Контрольные вопросы:
1. Какую цепь называют нелинейной?
2. В чем заключается особенность расчета нелинейных цепей
постоянного и переменного тока?
. Какие методы расчета цепей постонного тока можно применить к
расчету магнитных цепей?
. Какими соотношениями связаны величины в магнитной цепи?
Литература:
. Бессонов Л.А. Теоретические основы электротехники. -М.: Гардарики,
1999.-638 с.
. Сборник задач по теоретическим основам электротехники/ Л.А. Бессонов,
И.Г. Демидова, М.Е.Заруди и др. . -М. Высш.шк.,2003.-528 с.
. Сборник задач и упражнений по теоретическим основам электротехники. Под
ред. П.А. Ионкина.- М.: Энергоиздат, 1982-768 с.
Практическое занятие №5
Тема: «Расчет цепей с распределенными параметрами».
Цель: Изучить методы расчета и анализа цепей с распределенными
параметрами при различных режимах работы
План:
Уравнение длинной линии и основные параметры длинной линии
Расчет цепи при согласованной нагрузке и в режимах холостого хода и
короткого замыкания
Расчет линии без потерь
Контрольные вопросы:
1. Какую цепь называют цепью с распределенными параметрами?
2. В чем заключается расчет длинных линий?
. Какие режимы работы вызывают стоячие, бегущие волны?
Литература:
. Бессонов Л.А. Теоретические основы электротехники. -М.: Гардарики,
1999.-638 с.
. Сборник задач по теоретическим основам электротехники/ Л.А. Бессонов,
И.Г. Демидова, М.Е.Заруди и др. . -М. Высш.шк.,2003.-528 с.
. Сборник задач и упражнений по теоретическим основам электротехники. Под
ред. П.А. Ионкина.- М.: Энергоиздат, 1982-768 с.
Практическое занятие №6
Тема: «Расчет электростатических полей. Определение механических сил
магнитного поля»
Цель: Изучить методы расчета и анализа электромагнитных полей
План:
Расчет электростатических полей
Расчет магнитных полей
Контрольные вопросы:
1. Какую диаграмму называют топографической?
2. Какую диаграмму называют векторной?
. Каков порядок построения топографических диаграмм?
Литература:
. Бессонов Л.А. Теоретические основы электротехники. -М.: Гардарики,
1999.-638 с.
. Сборник задач по теоретическим основам электротехники/ Л.А. Бессонов,
И.Г. Демидова, М.Е.Заруди и др. . -М. Высш.шк.,2003.-528 с.
. Сборник задач и упражнений по теоретическим основам электротехники. Под
ред. П.А. Ионкина.- М.: Энергоиздат, 1982-768 с.
Самостоятельная работа студентов
Темы рефератов
1. Эквивалентные схемы простейших нелинейных цепей
2. Графический расчет нелинейных электрических цепей
. Пример упрощения схем нелинейных цепей
. Применение закона Кулона для расчета электрического поля
. Теорема Гаусса и ее применение
. Электрическое поле в однородном диэлектрике
. Вычисление электрической емкости
. Электрическая прочность диэлектрика
. Соединения конденсаторов
. Закон Ампера. Магнитная индукция
. Примеры расчета магнитных полей с помощью закона Био-Савара
. Расчет симметричных магнитных полей
. Магнитный поток и потокосцепление
14. Индуктивность собственная и взаимная
. Вычисление индуктивностей
16. Магнитные свойства вещества
. Закон полного тока и его применение
. Свойства и применение ферромагнитных материалов
. Расчет неразветвленной однородной магнитной цепи
. Расчет неразветвленной неоднородной магнитной цепи
. Расчет разветвленной магнитной цепи
. Постоянные магниты
. Закон электромагнитной индукции
. Наведение ЭДС в проводнике, движущемся в магнитном поле
. Взаимное преобразование механической и электрической энергии
. Энергия электрического поля
. Механические силы в электрическом поле
. Энергия магнитного поля
. Механические силы в магнитном поле
. Взаимоиндуктивное сопротивление
. Расчет электрических цепей с взаимной индуктивностью
. Трансформатор без ферромагнитного сердечника
. Уравнения четырехполюсника
. Режимы четырехполюсника
. Схемы замещения пассивного четырехполюсника
. Токи в цепи с вентилями
. ЭДС, магнитный поток и ток в цепи с нелинейной индуктивностью
. Влияние гистерезиса и вихревых токов на ток катушки с
ферромагнитным сердечником
. Полная векторная диаграмма и схемы замещения катушки с ферромагнитным
сердечником
. Применение катушек с ферромагнитным сердечником
. Общие сведения о переходных процессах
. Включение катушки индуктивности на постоянное напряжение
. Отключение катушки индуктивности от источника постоянного
напряжения
. Изменение сопротивления в цепи с индуктивностью
. Зарядка конденсатора
. Разрядка конденсатора на сопротивление
. Включение катушки индуктивности на синусоидальное напряжение
. Короткое замыкание в цепи переменного тока
. Уравнения длинной линии
. Установившийся режим в длинной линии без потерь
. Нагрузочные режимы длинной линии без потерь
52. Распространение электромагнитной волны с прямоугольным фронтом по
линии без потерь
Вопросы рубежных контролей
Первый рубежный контроль
. Переходные процессы в электрических цепях с
сосредоточенными параметрами
. Четырехполюсники при переменных токах и напряжениях
. Электрические цепи с распределенными параметрами
. Нелинейные электрические цепи постоянного тока
. Электромагнитная индукция
Второй рубежный контроль
1. Магнитное поле
2. Электрические цепи с взаимной индуктивностью
3. Энергия электрического и магнитного полей
. Расчет электрических полей
5. ЭДС самоиндукции и взаимоиндукции