Приведение уравнения кривой и поверхности второго порядка к каноническому виду
МИНИСТЕРСТВО
ОБРАЗОВАНИЯ РЕСПУБЛИКИ БЕЛАРУСЬ
УО
«ВИТЕБСКИЙ ГОСУДАРСТВЕННЫЙ УНИВЕРСИТЕТ
ИМ. П.М.
МАШЕРОВА»
КАФЕДРА
ГЕОМЕТРИИ И МАТЕМАТИЧЕСКОГО АНАЛИЗА
КУРСОВАЯ
РАБОТА
КВАДРАТИЧНЫЕ
ФОРМЫ
ПРИВЕДЕНИЕ
УРАВНЕНИЯ КРИВОЙ И ПОВЕРХНОСТИ ВТОРОГО ПОРЯДКА К КАНОНИЧЕСКОМУ ВИДУ
Выполнила:
Щеглякова Анна Александровна
Научный руководитель:
доц. Подоксенов М.Н.
Витебск 2010
СОДЕРЖАНИЕ
ВВЕДЕНИЕ 3
1. Собственные числа и собственные векторы линейного оператора 4
2. Самосопряженный оператор 9
3. Билинейная функция и квадратичная форма 16
4. Приведение квадратичной формы к диагональному виду 18
5. Приведение уравнений кривой и поверхности второго порядка к
каноническому виду 23
ЗАКЛЮЧЕНИЕ 42
ЛИТЕРАТУРА 43
ПРИЛОЖЕНИЯ 43
ВВЕДЕНИЕ
Арифметическая теория квадратичных форм берет
свое начало с утверждения Ферма о представимости простых чисел суммой двух
квадратов.
Теория квадратичных форм впервые была развита
французским математиком Лагранжем, которому принадлежат многие идеи в этой
теории, в частности, он ввел важное понятие приведенной формы, с помощью
которого им была доказана конечность числа классов бинарных квадратичных форм
заданного дискриминанта. Затем эта теория была значительно расширена Гауссом,
который ввел много новых понятий, на основе которых ему удалось получить
доказательства трудных и глубоких теорем теории чисел, ускользавших от его
предшественников в этой области.
Целью данной курсовой работы является
рассмотрение квадратичной формы.
В теоретической части работы приводятся
предварительные общие сведения о квадратичных формах и их практическом
применении в приведении уравнения кривой и поверхности второго порядка к
каноническому виду.
В практической части курсовой работы
представляется решение задач по заданной теме.
1. Собственные числа и собственные векторы
линейного оператора
Определение. Пусть V - векторное пространство, а
A :V ®
V - линейный оператор, действующий в нём. Число l называется
собственным числом или собственным значением оператора A, если существует
ненулевой вектор u, такой что
Au=lu. (1)
В этом случае u называется собственным вектором
оператора A, соответствующим числу l.
Мы рассмотрим только операторы,
действующие в трехмерном евклидовом векторном пространстве V3, элементами
которого являются векторы из геометрического пространства. Поэтому векторы
будут обозначаться со стрелочкой. При этом всё сказанное будет верно с
небольшими изменениями и для операторов, действующих в V2 (элементами которого
являются векторы на плоскости). Пусть B = {i, j, k} - ортонормированный базис
пространства V3. Матрицу оператора A относительно этого базиса обозначим A .
Пусть (x, y, z) - координаты вектора относительно данного базиса. Тогда
равенство (1) можно переписать в координатах:
= l.
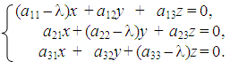
Если перемножить матрицы и перенести
все члены в левую часть, получим систему однородных уравнений
Как известно, она имеет ненулевое решение тогда
и только тогда, когда ее определитель равен нулю:
det = 0. (3)
Раскрывая определитель, мы получим
кубическое уравнение относительно l,
которое называется характеристическим уравнением оператора A. Пусть l1, l2, l3 - корни этого уравнения.
Подставим l1 в систему (2) и найдём
ненулевое решение (x1, y1, z1). Тогда (x1, y1, z1) есть собственный вектор
оператора A, соответствующий числу l1.
Затем, подставляя по очереди l2
и l3, находим
соответствующие им собственные векторы (x2, y2, z2) и (x3, y3, z3). При этом
каждый из векторов определяется с точностью до умножения на ненулевую
постоянную, т.е. вектор k(xi, yi, zi) будет решением системы (2) для l = li при любом k¹0. Но нам
достаточно иметь хотя бы одно решение для каждого из собственных чисел l1, l2, l3. Кубическое уравнение (3)
обязательно имеет хотя бы одно действительное решение l1, а l2 и l3 могут быть комплексными
(при этом они обязательно будут комплексно сопряжены друг к другу: l3 = ). В этом случае оператор
A будет иметь только один действительный собственный вектор (x1, y1, z1).
Напомним, что если a, b, c - корни кубического уравнения
x3 + px2 + qx + r = 0,
то его можно преобразовать к виду
(x - a)(x - b)(x - c) = 0 .
Если же кубическое уравнение имеет
только два действительных корня a и b, то его можно преобразовать к виду
(x - a)(x -
b)2 = 0 (или
(x - a)2(x - b) = 0).
В этом случае говорят, что корень b
(или a) имеет кратность 2. Если кубическое уравнение имеет только один корень
a, то его можно преобразовать к виду
(x - a)3 = 0.
Тогда говорят, что корень a имеет
кратность 3.
Уравнение (3) тоже может иметь
кратные корни. Пусть, например, корень l1
имеет кратность 1, а корень l2
- кратность 2. При подстановке l2
в (2) может получится система уравнений, имеющая ранг 2.
Тогда у оператора A будет только два
собственных вектора и .
При подстановке l2 в (2) может получиться
система линейных уравнений, имеющая ранг 1.
Тогда мы можем найти два
неколлинеарных собственных вектора и , координаты которых удовлетворяют этой
системе.
Тогда любой вектор , компланарный с
и , будет собственным вектором для оператора A, соответствующим собственному
числу l2. Мы можем
записать, что оператор A имеет собственные векторы
(x1, y1, z1),
= k + l =
(kx2 + lx3, ky2 + ly3, kz2 + lz3), k,lÎR.
Пусть уравнение (3) имеет один
трехкратный корень l1. Тогда при
подстановке его в (2) можем получить систему уравнений ранга 2, 1 или 0. В
первом случае оператор будет иметь один собственный вектор , а во втором -
бесконечно много собственных векторов, и все они будут иметь вид
= k + l, k,lÎR,
где и - два произвольных
неколлинеарных вектора, координаты которых удовлетворяют системе (2). Случай,
когда при подстановке трехкратного корня система (2) будет иметь ранг 0,
возможен лишь тогда, когда матрица A пропорциональна единичной: A = l1E. Тогда любой вектор для
оператора A будет собственным.
Найденные собственные числа и
собственные векторы для оператора A называются также собственными числами и
собственными векторами матрицы A. Однако, когда речь идет об операторе, надо
помнить, что его матрица зависит от выбора базиса в пространстве V3 и,
соответственно, собственные векторы относительно другого базиса будут иметь
другие координаты. Собственные числа оператора не зависят от выбора базиса и,
поэтому, коэффициенты характеристического многочлена тоже не зависят от этого.
Пример 1. Найти собственные числа и
собственные векторы оператора A: V3 ®
V3, если относительно заданного в пространстве V3 базиса он определяется
матрицей
A = .
Решение. 1. Составим матрицу A - lE:
A - lE = . (4)
Найдем собственные числа матрицы A
из уравнения det(A - lE) = 0.
Вычислив определитель, получим уравнение
(-8 - l)(l2
- 3l - 4) = 0 .
Отсюда находим корни l1= -8, l2 = 4, l3 = -1.
. Подставим в матрицу (4) значение l1= -8:
A + 8E = .
Составим однородную систему
уравнений по этой матрице:

. Подставим в матрицу (4) значение l2 = 4 и по получившейся
матрице составим однородную систему линейных уравнений:
A - 4E = ,
Второе и третье уравнения
пропорциональны. Поэтому одно из них можем вычеркнуть. Из оставшихся уравнений
находим, что x = 0, y = z. Поэтому в качестве второго собственного вектора
можем взять (0, 1, 1).
. Для l3 = -1 аналогично находим (0, 1, 1).
Ответ: l1= -8, (1, 0, 0);
l2
= 4, (0, 1, 1);
l3
= -1, (0, 1, 1).
Во второй главе будет разобран еще
один пример решения подобной задачи, причем, в этом примере одно из собственных
чисел будет иметь кратность 2.
уравнение канонический
квадратичный вектор
2. Самосопряженный оператор
Определение. Оператор B: V3 ® V3 называется сопряженным к
оператору A: V3 ® V3, если
для любых векторов , Î V3
выполнено
(A)· = · (B).
(точка обозначает скалярное
произведение векторов). Тогда обозначаем B =A*. Оператор A называется
самосопряженным, если A*= A.
Если A - матрица оператора A
относительно ортонормированного базиса {i, j, k}, то матрицей оператора A*
относительно того же базиса будет AT. Поэтому для матрицы самосопряженного
оператора относительно ортонормированного базиса должно быть выполнено AT= A .
Значит, матрица самосопряжённого оператора является симметрической
(относительно ОНБ).
Оказывается, что собственные числа
самосопряженного оператора A всегда являются действительными, а собственные
векторы, соответствующие различным собственным числам, ортогональны друг другу.
Поэтому характеристическое уравнение (3) для самосопряжённого оператора (т.е.
для симметрической матрицы) всегда имеет три действительных корня, если каждый
корень считать столько раз, какова его кратность. При этом мы всегда можем
найти 3 линейно независимых собственных векторов оператора A. Это означает, что
существует базис пространства V3, состоящий из собственных векторов оператора
A.
Пусть {, , } - базис в V3, состоящий из
собственных векторов оператора A, и l1,
l2, l3 - соответствующие
собственные числа. Тогда имеем
= l1= l2=
l3
А это означает, что относительно
базиса {, , } оператор A имеет диагональную матрицу
A = . (5)
Поскольку векторы k, l, m тоже будут
собственными для любых ненулевых k,l,mÎR, мы можем в качестве базисных выбрать
единичные векторы
= , = , = .
Тогда базис {, , } будет
ортонормированным.
Пример 2. Самосопряженный оператор
A: V3 ® V3 действует
по формулам:
Путём выбора нового
ортонормированного базиса в пространстве V3, привести матрицу оператора A к
диагональному виду.
Решение. 1. Составим матрицу A
оператора A относительно базиса
{i, j, k} и матрицу A -lE:
A = , A - lE =
(матрица оператора выписывается по
принципу: строчка - в столбец; но в нашем случае матрица симметрическая).
Определитель det(A - lE) можно
вычислить непосредственно, но зачастую это приводит к очень длительным
вычислениям. Поэтому удобнее использовать следующую формулу:
det(A - lE) = -l3 + (tr A)l2 - I2(A)l + det A. (6)
Здесь tr A = a11 + a22 + a33 - след матрицы A (т.е. сумма
её диагональных элементов), а
сумма диагональных миноров матрицы
A. Схематично последнюю формулу можно изобразить так:
В нашем случае находим trA=0+3+0=3,
det A = 5,
Получаем характеристическое
уравнение
-l3
+ 3l2 + 9l + 5 = 0 Û l3 - 3l2 - 9l - 5 = 0. (7)
Один из корней мы можем найти
подбором: l1 = -1.
Затем делим характеристический многочлен на l
- l1:
Значит уравнение (7) эквивалентно
следующему:
(l
+ 1)(l2 - 4l - 5) = 0.
Теперь находим оставшиеся корни: l2 = -1, l3 = 5. Мы видим, что у нас
есть кратный корень:
. Так же, как и в примере 1, находим
собственный вектор (1, 2,-1),
соответствующий собственному числу l3
= 5.
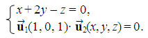
. Найдем собственные векторы для l1 = l2 = -1. Наша задача: найти для
каждого из чисел l1 и l2 в отдельности свой
собственный вектор и , так чтобы эти векторы были перпендикулярны друг другу.
Получившаяся система уравнений имеет
ранг 1, т.е. все уравнения системы пропорциональны, поэтому второе и третье
уравнения можем вычеркнуть. В случае самосопряженного оператора система
уравнений, соответствующая двукратному корню всегда имеет ранг 1. Итак, у нас
есть только одно уравнение:
x + 2y - z = 0,(8)
Подбором мы можем найти (1, 0, 1),
(0, 1, 2). Тогда общий вид всех собственных векторов, соответствующих l1 = l2 = -1, будет
= k + l = (k, l, k + 2l), k,lÎR. (9)
Если бы задача формулировалась так
же, как в примере 1, то на этом следовало бы закончить. Но для самосопряженного
оператора необходимо еще найти ортонормированный базис, состоящий из
собственных векторов. Поэтому повторимся ещё раз: нам надо найти для каждого из
чисел l1 и l2 в отдельности свой
собственный вектор и , так чтобы эти векторы были перпендикулярны друг другу.
Поэтому мы поступаем иначе. Только вектор (1, 0, 1) мы находим подбором.
Неизвестный вектор (x, y, z) должен удовлетворять условию (8), но дополнительно
должно выполняться условие ортогональности:
(1, 0, 1)· (x, y, z) = 0.
Итак, (x, y, z) мы находим из
системы
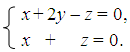
Второе условие в координатах имеет
вид x + z = 0. Поэтому мы имеем систему для нахождения :
Находим y = - x, z = - x. Поэтому можем взять (1,-1,-1).
Теперь нормируем найденные векторы,
т.е мы найдём единичные векторы, коллинеарные найденным собственным векторам:
|| = = , =
|| = = , =
|| = = , =
Ответ: Относительно нового базиса,
составленного из векторов
, , ,
матрица оператора A будет иметь вид
A =
.
. Билинейная функция и квадратичная
форма
Определение. Пусть L - векторное
пространство. Билинейной функцией, определённой на L называется отображение f:L´L ® R, сопоставляющее каждой
паре векторов (x, y) число f(x, y), и при этом линейное по обоим аргументам;
т.е. должны выполняться свойства
. f(x + y, z) = f(x, z) + f(y, z);
f(x, y + z) = f(x, y) + f(x, z);
2. f(lx, y) = lf(x, y) =
f(x, ly),
lÎR.
Билинейная функция называется
симметрической, если f(y, x) = f(x, y)
Пусть L3 - трёхмерное векторное
пространство, B = {e1, e2, e3} - базис в нём. Пусть x(x1, x2, x3), y(y1, y2,
y3) - произвольные векторы. Тогда по свойствам линейности
f(x, y) = f(x1e1 + x2e2 + x3e3, y1e1
+ y2e2 + y3e3) = xiyjf(ei, ej).
Определение. Обозначим aij = f(ei,
ej), i, j = 1, 2, 3. Это числа, которые не зависят от координат векторов x, y,
а зависят только от выбора базиса. Они называются коэффициентами билинейной
функции в данном базисе.
Тогда билинейная функция выглядит
так:
f(x, y) =
aijxiyj = a11x1y1 + a12x1y2 + a13x1y3 + a21x2y1 + a22x2y2 + a23x2y3 + a31x3y1 +
a32x3y2 + a33x3y3.
Из коэффициентов билинейной функции
составляется матрица, которая называется матрицей этой билинейной функции в
данном базисе. Если билинейная функция является симметрической, то
aji = f(ej, ei) = f(ei, ej) = aij, i, j = 1, 2, 3.
Это означает, что матрица
симметрической билинейной функции является симметрической матрицей.
Симметрическая билинейная функция в трёхмерном пространстве выглядит так:
f(x, y) = a11x1y1 + a22x2y2 + a33x3y3 + a12(x1y2 + x2y1) + a13(x1y3 + x3y1) + a23(x2y3 + x3y2). (10)
В двумерном пространстве:
f(x, y) = a11x1y1 + a22x2y2 + a12(x1y2 + x2y1).
Определение. Пусть f(x, y) -
симметрическая билинейная функция. Тогда функция одного векторного аргумента k:
L ® R, k(x) =
f(x, x) называется квадратичной формой. При этом, билинейная функция f(x, y)
называется полярной к квадратичной форме k(x). Матрицей квадратичной формы
называется матрица полярной ей симметрической билинейной функции. Для того,
чтобы узнать, как выглядит квадратичная форма в L3, надо в (10) подставить y =
x:
k(x) =
a11x12 + a22x22 + a33x32 + 2a12x1x2 + 2a13x1x3 + 2a23x2x3. (11)
Если квадратичная форма задана в V3,
где введены декартовы координаты (x, y, z), то
k( ) = a11x2
+ a22y2 + a33z2 + 2a12xy + 2a13xz + 2a23yz. (12)
Обратим особое внимание на то, что
при составлении матрицы квадратичной формы коэффициенты при xy, xz, yz следует
делить пополам и каждое из полученных чисел записывается в матрицу дважды.
Например, коэффициент a12 записывается также и на место с номерами 21:
= .
. Приведение квадратичной формы к
диагональному виду
Определение. Пусть в евклидовом
пространстве V3 задана декартова система координат (x, y, z), k( ) -
квадратичная форма, имеющая вид (12), A - её матрица.
Если в пространстве ввести другую
систему координат, то тем же точкам будут соответствовать другие координаты, а
значение функции в этих точках должно остаться прежним. Поэтому выражение (12)
должно иметь другой вид. Пусть C - матрица перехода к новой системе координат
(x¢, y¢, z¢), а A¢ - матрица
квадратичной формы k( ) относительно новой системы. Тогда матрицы A и A¢ связаны
между собой формулой
A¢= CТAC. (11)
Если новые координаты тоже являются
декартовыми, то C - ортогональная матрица, т.е. CТ= C-1; в этом случае A¢= C-1AC.
Именно по этому закону изменяется
матрица линейного оператора при переходе к новому базису. Поэтому мы можем
сопоставить квадратичной форме (10) оператор, A: V3 ® V3 определяемый матрицей A
относительно системы координат (x, y, z).
Тогда в любой декартовой системе
координат квадратичная форма k( ) и поставленный ей в соответствие оператор
будут иметь одинаковые матрицы (т.к. законы преобразования матриц одинаковы).
Поскольку матрица A является
симметрической, то оператор A будет самосопряженным. Матрицу линейного
оператора A можно привести к диагональному виду (5) с помощью выбора
подходящего ортонормированного базиса B¢= {, , }.
Если сохранить прежнее начало
координат, то этот базис оп-ределит в пространстве новую систему координат (x¢, y¢, z¢),
относительно которой матрица квадратичной формы будет иметь такой же
диагональный вид, а, значит, сама квадратичная форма будет иметь диагональный
вид
k( ) = l1x¢2 + l2 y¢2 + l3z¢2 (13)
В задачах на приведение квадратичной
формы к каноническому виду обязательно нужно выписать формулы перехода от
старых координат (x, y, z) к новым координатам (x¢, y¢, z¢):
X¢= C-1X,
(14)
или формулы перехода от новых
координат к старым:
X = CX¢, (14¢)
где C - матрица перехода, а X и X¢ -
координатные столбцы:
X = , X¢= .
Напомним, если переход от одного
аффинного базиса B = {, , } к другому аффинному базису B¢= {, , }
осуществляется по формулам
то матрица C составляется следующим
образом:
C = , (16)
Тогда в развернутом виде формулы (14¢) имеют вид:
x = c11x¢ + c21y¢ + c31z¢,
y = c12x¢ + c22y¢ + c32z¢, (14¢)
z = c13x¢ + c23y¢ + c33z¢.
Предположим, что старая и новая
системы координат являются декартовыми. Тогда, как уже отмечалось, матрица C
перехода от старой системы координат к новой будет ортогональной, т.е. CТ= C-1. Поэтому формулы (14)
принимают вид X¢= CТX и
составляются особенно просто:
x¢= c11x +
c12y + c13z,
y¢= c21x +
c22y + c23z,
z¢= c31x + c32y + c33z.
Для решения задач, связанных с
приведением уравнения поверхности второго порядка к каноническому виду, нам
понадобятся именно формулы (14¢),
выражающие старые координаты через новые.
Пример 3. В пространстве V3
квадратичная форма k() определяется относительно декартовой системы координат
(x, y, z) формулой
k( ) = 3y2 + 4xy - 2xz - 4yz.
С помощью выбора новой системы
координат (x¢, y¢, z¢) привести
k() к диагональному виду.
Решение. Составим матрицу
квадратичной формы k() относительно системы координат (x, y, z). Имеем 3 = a22,
4 = 2a12, -2 = 2a13, - 4 = 2a23, а т.к. x2 и y2
отсутствуют, то a11= a33 = 0. Итак,
A = .
Мы видим, что матрица A совпадает с
матрицей из примера 2, находим собственные числа и соответствующие им
собственные векторы
l1
= -1, ,
l2
= -1, ,
l3
= 5, ,
Тогда, если выбрать новую систему
координат (x¢, y¢, z¢) с тем же
началом, но определяемую базисом B¢= {, , }, то квадратичная форма ( ) примет
диагональный вид
() = -x¢2 -
y¢2 + 5z¢2.
Новые координаты выражаются через
старые по формулам:
x¢= x + z,¢= x - y - z,¢= x + y - z,
Старые координаты выражаются через
новые по формулам:
x = x¢ + y¢ + z¢,= - y¢ + z¢, (17)= x¢ - y¢ - z¢,
5. Приведение уравнений кривой и
поверхности второго порядка к каноническому виду
Определение. Общее уравнение
поверхности второго порядка имеет вид
a11x2+a22y2+a33z2+2a12xy+2a13xz+2a23yz+2a1x
+ 2a2y+2a3z+с
=0(18)
Выражение, записанное в первой
строке, называется квадратичной частью уравнения, выражение 2a1x + 2a2y + 2a3z
называется линейной частью уравнения, а с называется свободным членом.
Квадратичная часть уравнения (18)
представляет собой квадратичную форму. Обозначим её k().
Найдем новую систему координат (x¢, y¢, z¢),
относительно которой квадратичная форма k() имеет диагональный вид (13). Для
того чтобы узнать, какой при этом вид примет линейная часть уравнения,
необходимо найти формулы вида (14¢), выражающие старые координаты x, y, z через
новые x¢, y¢, z¢, и
подставить их в линейную часть. Обратите внимание на то, что подстановку нужно
делать только в линейную часть уравнения; какой вид примет квадратичная часть
при такой подстановке мы можем написать сразу - это вид (13). В итоге мы
получим выражение вида
l1x¢2 + l2 y¢2 + l3z¢2 + 2b1x¢ + 2b2y¢ + 2b3z¢ + с¢ = 0.
Теперь применим преобразование, которое
называется методом выделения полных квадратов или методом Лагранжа.
Предположим, что ни одна из величин l1,
l2, l3, b1, b2, b3 не равна нулю.
Тогда последнее уравнение можно переписать следующим образом:
l1
- + l2 - + l3 - + с¢ = 0.
=
с¢- - - ,
то
получим уравнение
l12+ l22+ l32+ d = 0.
Сделаем
теперь замену координат:
²= x¢+ b1/l1,²= y¢+ b2/l2,²= z¢+ b3/l3.
Эта
замена эквивалентна переносу начала координат (параллельному переносу
координатных осей) в точку O¢(-b1/l1,-b2/l2,-b3/l3)Ox¢y¢z¢.
Подчеркнём, что координаты точки O¢ указаны относительно системы Ox¢y¢z¢. Теперь
наше уравнение принимает вид
l1(x²)2 + l2(y²)2 + l3(z²)2 + d = 0.
(19)
Проведенные
нами преобразования справедливы и в том случае, когда какая-либо из величин b1,
b2, b3 равна нулю; например, при b1= 0 получим x²= x¢. Если l1= 0, то избавиться в
уравнении от слагаемого 2b1x¢
нам не удастся. Тогда мы пока оставляем координату x¢ без
изменения. Аналогично при l2=
0 оставляем пока без изменения координату y¢, при l3=
0 - координату z¢.
Предположим
теперь, что только одно из чисел l1,
l2, l3 равно нулю. Тогда мы можем
считать, что именно l3 = 0 (если
это не так, мы поменяем порядок обозначения переменных). После выделения полных
квадратов получим уравнение вида
l1(x²)2 + l2(y²)2 + 2b3z¢ + d = 0.
(20)
где
d = с¢- b12/l1 - b22/l2. Тогда мы его преобразуем
так:
l1(x²)2 + l2(y²)2 + 2b3(z¢ + d/2b3) =
0
и
совершаем замену координат z²=
z¢ + d/2b3.
Обратите внимание на то, что делать замену z²= 2b3z¢ + d нельзя, т.к. это не будет эквивалентно
переходу к новой декартовой системе координат. После замены получим уравнение
вида
l1(x²)2 + l2(y²)2 = -2b3z². (21)
При
этом мы выписываем замену координат:
x²= x¢+ b1/l1,²= y¢+ b2/l2,²= z¢ + d/2b3,
Эта
замена означает перенос начала координат в точку O¢(-b1/l1,-b2/l2,-d/2b3)Ox¢y¢z¢.
Предположим,
что среди чисел l1, l2, l3 только одно отлично от
нуля. Тогда мы можем считать, что именно l1¹0. После
выделения полных квадратов может получиться уравнение вида
l1(x²)2 +2b2y¢ + 2b3z¢ + d = 0.
(22)
Это
наиболее сложный случай. Здесь необходимо сделать такую замену, чтобы вместо
двух переменных y¢ и z¢ осталась
одна переменная y². При этом,
искомая замена переменных должна осуществляться с помощью ортогональной
матрицы. Этим требованиям удовлетворяет замена
²= (b2/k)y¢ + (b3/k)z¢,
z²= - (b2/k)y¢ - (b3/k)z¢,
где
k = . Осуществив
её, получим уравнение
l1(x²)2 +2ky²+ d = 0.
(23)
Подобное
уравнение может получиться и сразу после выделения полных квадратов. В примере
7 мы на практике разберём, какую именно следует совершить замену координат, с
тем, чтобы получить сразу уравнение (23) вместо (22). Затем, мы избавляемся от
свободного члена, так же как и в уравнении (20) и получаем уравнение вида
l1(x²)2 = -2ky². (24)
Итак,
любое уравнение кривой второго порядка может быть приведено путем перехода к
новой декартовой системе координат к уравнению типа (19), (21) или (24). Если
вернуться к исходным обозначениям для координат, эти уравнения примут соответственно
вид
l1(x²)2 + l2(y²)2 + l3(z²)2 + d = 0;
l1(x²)2 + l2(y²)2 = -2b3z²;
l1(x²)2 = -2ky².
Далее,
в зависимости от знаков величин l1,
l2, l3, b3, d, эти уравнения могут
быть легко преобразованы к одному из канонических уравнений поверхностей
второго порядка. Список канонических уравнений кривых и поверхностей второго
порядка изложен в Приложении.
Этот
же метод можно применить и для приведения к каноническому виду уравнения кривой
второго порядка. Как это можно сделать показывает следующий пример.
Пример
4. Относительно декартовой системы координат Oxy на плоскости кривая
определяется уравнением
y2
- 4xy + 4x +
2y -1 = 0. (25)
Путем
перехода к новой декартовой системе координат привести уравнение кривой к
каноническому виду и определить тип кривой. Изобразить кривую в системе
координат Oxy.
Решение.
Пусть k() = 3y2 - 4xy
есть
квадратичная часть уравнения кривой. Составим матрицу A квадратичной формы k()
и матрицу A - lE:
A
= , A - lE = .
Характеристическое
уравнение можно составить, раскрыв определитель det(A - lE) и приравняв его к нулю. Но
можно воспользоваться также следующей формулой для характеристического
уравнения:
l2 - (tr A)l + det A = 0.
В
нашем случае получаем уравнение l2
- 3l - 4 = 0.
Оно
имеет корни l1= 4, l2 = -1.
Составим
матрицы A - l1E и A - l2E:
A
- 4E = , A +
E = .
По
этим матрицам составляем системы уравнений для нахождения собственных векторов
и :
-4x - 2y = 0, x - 2y = 0,
-2x - y = 0, -2x + 4y = 0,
Им
удовлетворяют соответственно векторы (1,-2),
(2, 1).
Затем
находим || = , || = .
Поэтому
в качестве новых базисных векторов берем
,
,
Матрица
перехода к новому базису {, } имеет вид
С
= .
Отсюда
получаем формулы, связывающие старые и новые координаты:
x = x¢ + y¢, x¢ = x −
y,
y = − x¢ + y¢, y¢ = x + y,
Относительно
новых координат квадратичная форма k() принимает вид
k()
= l1x¢2 + l2 y¢2 = 4x¢2 - y¢2.
Для
того, чтобы выяснить, как преобразуется линейная часть уравнения мы в линейную
часть уравнения (25) подставим выражения (26). Получаем уравнение
4x¢2 - y¢2 + 4 + 2 -
1 = 0.
Раскрываем
скобки, приводим подобные:
4x¢2 - y¢2 + 2y¢ - 1 = 0.
Выделим
по y¢ полный
квадрат:
4x¢2 - (y¢2 - 2y¢ + ()2) +
()2 - 1 = 0.
4x¢2 - (y¢ - )2 + 5 - 1 = 0.
Теперь
делаем замену переменных:
x²= x¢,
y²= y¢ - ,
которая
означает перенос начала координат в точку O¢(0, )Ox¢y¢. Получаем уравнение 4(x²)2 - (y²)2 = -4.
Его
можно преобразовать к каноническому виду
Данное
уравнение определяет гиперболу, действительная ось которой направлена вдоль оси
O¢y², а полуоси
равны 1 и 2.
Для
того, чтобы изобразить кривую в исходной системе координат, сперва необходимо
изобразить оси новой системы координат. С помощью формул (26) находим
координаты точки в системе Oxy:
x
= ·0 + ·
= 2, y = −
·0 + ·
=1.
Итак
O¢(2, 1)Oxy.
Направление координатных осей O¢x² и O¢y² задаётся
соответственно векторами (1,-2)
и (2, 1). Мы откладываем эти векторы от точки O¢ и затем проводим оси.
Напомним,
что для изображения гиперболы сперва необходимо нарисовать фундаментальный
прямоугольник (который ограничен линиями |x²| =1, |y²| = 2) и провести асимптоты, которые проходят
через диагонали этого прямоугольника. Теперь мы вписываем обе ветви гиперболы в
усеченные углы, образованные асимптотами и сторонами прямоугольника. Поскольку
действительная ось гиперболы направлена вдоль O¢y², мы выбираем ту пару углов, которая расположена
вдоль этой оси.
Пример
5. Относительно декартовой системы координат Oxyz в пространстве поверхность
определяется уравнением
y2
+ 4xy - 2xz - 4yz + 2x +14y = 0.
С
помощью выбора новой декартовой системы координат привести уравнение
поверхности к каноническому виду. Решение. Квадратичная часть уравнения
совпадает с квадратичной формой из примера 3: k() = 3y2 + 4xy - 2xy - 4yz. Мы уже выяснили, что с
помощью выбора нового ОНБ в пространстве, мы можем привести эту квадратичную
форму к виду
()
= -x¢2 - y¢2 + 5z¢2,
и
при этом формулы замены координат имеют вид (17). Подставляем эту замену в
линейную часть уравнения: 2x +14y, а квадратичную часть пишем сразу в новых
координатах:
-x¢2 - y¢2 + 5z¢2 + 2 +14
Раскрываем
скобки, приводим подобные:
-x¢2 - y¢2 + 5z¢2 + x¢- 4y¢+ 5z¢ = 0.
Выделяем
полные квадраты:
-(x¢2 - x¢ + (/2)2) +
- (y¢2 + 4y¢+ (2)2) +12
+
+
5(z¢2 + z¢ + (/2)2) - = 0.
-(x¢- /2)2 - (y¢ + 2)2 +5(z¢ + /2)2 + 5
= 0.
Делаем
замену координат:
x²= x¢- /2,²= y¢ + 2,²= z¢ + /2.
Она
означает перенос начала координат в точку
¢(/2, -2,-/2)Ox¢y¢z¢.
После
замены получаем уравнение
-(x²)2 - (y²)2 +5(z²)2 = -5.
Делим
его на -5 и
окончательно получаем каноническое уравнение
+
- (z²)2 = 1.
Это
уравнение задаёт однополостной гиперболоид. Дополнительно можем найти
координаты точки O¢ в исходной
СК.
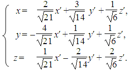
Для
этого подставим найденные выше её координаты в (17). Получим O¢(-2,1,3)Oxyz.
В
следующем примере мы рассмотрим случай, когда все числа l1, l2, l3 различные. Это самый
простой для решения пример.
Пример
6. Относительно декартовой системы координат Oxyz в пространстве поверхность
определяется уравнением
x2
+ 2y2 + 3z2 + 4xz - 4yz + 6x - 6y = 0.
С
помощью выбора новой декартовой системы координат привести уравнение
поверхности к каноническому виду.
Решение.
Составляем матрицу A квадратичной части уравнения матрицу A - lE:
A
= , A - lE = .
Находим
коэффициенты характеристического многочлена:
A
= 4 + 2 + 3 = 9,
(мы
прибавили к третьей строке вторую, а затем раскрыли определитель по второму
столбцу). Составляем характеристическое уравнение в соответствии с формулой
(6):
-l3 + 9l2 - 18l + 0 = 0 Û l(l2 - 9l +18) = 0.
Отсюда
l1 = 0, l2 = 3, l3 = 6.
- 0E = ,
Для
данной системы наиболее удобным является следующий способ решения: из 1 и 2
второго уравнений выразить x и y через z, а потом подставить в третье уравнение
для проверки.
x
= -0,5z,
y
= z,
-z - 2z + 3z = 0.
Затем
придаём z произвольное ненулевое значение, например, z = 2 и находим x = -1, y = 2. (-1, 2, 2).
Данные
системы решаются таким же способом. Мы находим
(2,
2,-1), (2,-1, 2). Теперь нормируем
найденные собственные векторы, и результат оформляем следующим образом.
Составляем
матрицу перехода, выписывая координаты новых базисных векторов в столбцы.
C
= .
Данная
матрица получилась симметрической. Поэтому она является сама к себе обратной:
C·C=E. По этой же причине формулы прямой и обратной замены координат выглядят
одинаково:
Квадратичную
часть уравнения в новых координатах мы выписываем сразу, а в линейную часть
необходимо сделать подстановку.
0x¢2 + 3y¢2 + 6z¢2 + (- x¢ + 2y¢ + 2z¢) - (2x¢ + 2y¢ - z¢) = 0,
3y¢2 + 6z¢2 - 6x¢ + 6z¢ = 0.
Делим
данное уравнение на 3 и выделяем полный квадрат по z¢;
коэффициент при x¢ выносим за
скобку.
y¢2 + 2(z¢2 + z¢ + ) - - 2x¢ = 0,
y¢2 + 22 = 2 .
Делаем
замену координат:
Она означает перенос начала координат в точку O¢(-1/4,
0,-1/2)Ox¢y¢z¢.
После замены получаем уравнение
(y²)2 + 2(z²)2 = 2x² Û + (z²)2 = x².
Мы получили каноническое уравнение
эллиптического параболоида, осью которого является O¢x².
В следующем заключительном примере
мы рассмотрим самый сложный случай, когда ноль является собственным числом
кратности 2.
Пример 7. Относительно декартовой
системы координат Oxyz поверхность определяется уравнением
+ y2 + z2 + 2xy + 4xz + 4yz + 8x +
4y - 5 = 0.
С помощью перехода к новой
декартовой системе координат привести уравнение поверхности к каноническому
виду и определить тип поверхности.
Решение. Пусть k() = x2 + y2 + z2 +
2xy + 4xz + 4yz - квадратичная часть уравнения поверхности. Составим матрицу
квадратичной формы k() и матрицу A -
lE:
Находим коэффициенты
характеристического многочлена:
A = 1 + 1 + 4 = 6,
а поскольку, очевидно, rank A =1
(т.к. все строки в A пропорциональны), то I2(A) = 0 и det A = 0. Составляем
характеристическое уравнение в соответствии с формулой (6):
-l3
+ 6l2 = 0 Û l2(l - 6) = 0.
Значит, l1 = 0, l2 = 0, l3 = 6. Для собственного числа
l3 = 6
обычным образом находим собственный вектор (1, 1, 2).
При l1 = l2
= 0 система уравнений для нахождения собственных векторов имеет ранг 1:
Поэтому, так же, как и в примере 2,
оставляем первое уравнение
x + y + 2z = 0, (28)
а остальные уравнения отбрасываем.
Этому уравнению удовлетворяет, например, вектор (1,-1, 0). Если мы воспользуемся
таким вектором , то получим после замены уравнение вида (22). После этого
потребуется решать проблему дополнительной замены координат. Наша цель:
совершить замену координат так, чтобы после замены в уравнении не осталось
координаты x¢ или
координаты y¢ (поскольку
в квадрате у нас будет только одна координата z¢). Если координаты вектора (x, y, z)
будут удовлетворять дополнительному условию a1x + a2y + a3z = 0, то после
замены в уравнении не останется x¢, а если этому условию будут удовлетворять
координаты , то после замены не останется y¢. В нашем случае данное условие выглядит так: 4x
+ 2y = 0. Поэтому координаты вектора будем искать из системы
Отсюда (2,- 4, 1). Вектор (x, y, z)
должен удовлетворять условию (28), а также должен быть ортогонален , т.е. (x,
y, z)· (2,- 4, 1) = 0.
Итак, координаты (x, y, z) мы ищем из системы
Отсюда (3, 1,-2). Теперь нормируем
найденные собственные векторы, и результат оформляем следующим образом.
l1
= 0, (2,- 4, 1), ,
l2
= 0, (3, 1,-2), ,
l3
= 6, (1, 1, 2), .
Выражение старых координат через
новые мы можем выписать сразу, не составляя матрицы перехода.
Квадратичную часть уравнения в новых координатах
мы выписываем сразу, а в линейную часть необходимо сделать подстановку.
6z¢2 + 8 + 4 - 5 = 0,
6z¢2 + y¢ + z¢ -
5 = 0 Û 3z¢2 + y¢ + z¢ - 2,5 = 0,
Выделим по z¢ полный
квадрат:
3 - + y¢ -
2,5 = 0,
32 - + y¢ -
2,5 = 0,
32 + = 0,
Делаем замену координат:
которая означает перенос начала
координат в точку O¢(0, ,- )Ox¢y¢z¢.
В результате получаем уравнение
3(z²)2 = - y².
Его можно преобразовать к
каноническому виду (z²)2 = -2py², где
p = . Это уравнение определяет параболический
цилиндр, ось которого направлена вдоль отрицательного направления координатной
оси O¢y², а
образующие параллельны оси O¢x².
ЗАКЛЮЧЕНИЕ
Теория квадратичных форм находит
практическое применение в приведении уравнений кривой и поверхности второго
порядка к каноническому виду. В связи с этим в данной курсовой работе были
рассмотрены следующие темы:
собственные числа и собственные
векторы линейного оператора;
самосопряженный оператор;
билинейная функция и квадратичная
форма;
приведение квадратичной формы к
диагональному виду;
приведение уравнений кривой и
поверхности второго порядка к каноническому виду.
В конце каждой главы приведены
примеры по заданной теме.
ЛИТЕРАТУРА
1. Погорелов А.В.
Аналитическая геометрия. М.:Наука,1978
. Погорелов А.В. Геометрия.
М.: Наука, 1984.
. Атанасян Л.С., Базылев В.Т.
Геометрия. Ч.I., Ч.II. М: Просвещение, 1986, 1987.
. Курош А.Г. Курс высшей
алгебры. М.: Наука, 1975.
. Постников М.М.
Аналитическая геометрия. М., 1987.
. Ильин В.А., Позняк Э.Г.
Аналитическая геометрия. М.: Наука, 1981; М.: Физматлит, 2001.
. Подоксёнов М.Н.
Аналитическая геометрия. Курс лекций с примерами решения задач. Витебск, Изд-во
ВГУ, 2006.
. Атанасян Л.С., Атанасян
В.А. Сборник задач по геометрии. Ч.I., Ч.II. М: Просвещение, 1973, 1975.
. Сборник задач по алгебре и
аналитической геометрии. Под ред. Феденко А.С. Минск:Университетское,1989,1999
. Дадаян А.А., Дударенко В.А.
Алгебра и геометрия. Минск: Вышэйшая школа, 1989.
ПРИЛОЖЕНИЕ А
Список кривых второго порядка
|
Название
кривой
|
Каноническое
уравнение кривой
|
|
1.
Эллипс
|
+
= 1
|
|
2.
Мнимый эллипс (Æ)
|
+
= -1
|
|
3.
Гипербола
|
-
= 1
|
|
4.
Пара пересекающихся прямых
|
a2x2
- b2 y2 = 0
|
|
5.
Пара мнимых прямых пересекающихся в действительной точке
|
a2x2
+ b2 y2 = 0
|
|
6.
Парабола
|
y2
= 2pх,
|
|
7.
Пара параллельных прямых
|
x2
= a2
|
|
8.
Пара мнимых параллельных прямых
|
|
9.
Пара совпадающих прямых
|
x2
= 0
|
ПРИЛОЖЕНИЕ Б
Список поверхностей второго порядка
|
Название
поверхности
|
Eё
каноническое уравнение
|
|
Эллипсоид
|
+ + =1,
|
|
Мнимый
эллипсоид (Ø)
|
+ + = -1,
|
|
Мнимый
конус (точка)
|
+ + = 0,
|
|
Двуполостной
гиперболоид
|
+ - = -1,
|
|
Однополосной
гиперболоид
|
+ - = 1,
|
|
Конус
|
+ - = 0,
|
|
Эллиптический
параболоид
|
+ = 2z,
|
|
Гиперболический
параболоид
|
- = 2z,
|
|
Эллиптический
цилиндр
|
+ =1,
|
|
Мнимый
эллиптический цилиндр
|
+ = -1,
|
|
Пара
мнимых плоскостей, пересекающихся по действительной прямой
|
+ = 0,
|
|
Гиперболический
цилиндр
|
- = 1,
|
|
Пара
пересекающихся плоскостей
|
- = 0,
|
|
Параболический
цилиндр
|
x2
= 2py
|
|
Пара
параллельных плоскостей
|
x2
= a2
|
|
Пара
совпадающих плоскостей
|
x2
= 0
|
|
Пара
мнимых параллельных плоскостей
|
x2
= - a2
|