Рівняння кривих та поверхонь другого порядку

  • Вид работы:
    Курсовая работа (т)
  • Предмет:
    Математика
  • Язык:
    Украинский
    ,
    Формат файла:
    MS Word
    1,41 Мб
  • Опубликовано:
    2012-10-22
Вы можете узнать стоимость помощи в написании студенческой работы.
Помощь в написании работы, которую точно примут!

Рівняння кривих та поверхонь другого порядку

Реферат

Записка 33 с., 14 рис., 4 джерела.

КРИВА, ПОВЕРХНЯ, ЛІНІЙНИЙ ОПЕРАТОР, КВАДРАТИЧНА ФОРМА, КАНОНІЧНИЙ ВИГЛЯД.

Наведення загальних рівнянь кривих та поверхонь другого порядку. Основні визначення пов’язані з лінійними операторами та квадратичними формами. Зведення загальних рівнянь кривих та поверхонь другого порядку до канонічного вигляду методом ортогональних перетворень та побудова кривих і поверхонь.

Зміст

Вступ

Теоретична частина

. Криві та поверхні другого порядку

.1 Криві другого порядку

.2 Поверхні другого порядку

. Лінійні оператори

.1 Визначення лінійного оператора

.2 Матриця лінійного оператора

.3 Характеристичне рівняння лінійного оператора

.4 Власні вектори та власні значення лінійного оператора

. Квадратичні форми

.1 Основні визначення

.2 Зведення квадратичної форми до канонічного вигляду

4. Відповіді на теоретичні запитання

Практична частина

1. Постановка та розв’язання задачі 1 практичного завдання

2. Постановка та розв’язання задачі 2 практичного завдання

Вступ

В зв’язку із зростанням в останні роки ролі лінійної алгебри в різних розділах математики та техніки курс "Алгебра та геометрія" посідає особливе місце як базовий в системі курсів, які вивчаються студентами спеціальності ПМ.

Тематика даної курсової роботи дає можливість побудувати криву або поверхню другого порядку задану будь-яким загальним рівнянням.

В цій курсовій роботі ми повинні навчитися зводити загальні рівняння кривих та поверхонь другого порядку до канонічного вигляду методом ортогональних перетворень та будувати їх.

В роботі наведено канонічні рівняння кривих та поверхонь другого порядку, основні визначення пов’язані з лінійними операторами та квадратичними формами, зведення квадратичної форми до канонічного вигляду методом ортогональних перетворень, побудова кривих та поверхонь другого порядку заданих канонічними рівняннями.

Теоретична частина

1. Кривые и поверхности второго порядка

.1 Кривые второго порядка

Эллипсом называется множество точек плоскости, обладающих следующим свойством: сумма расстояний от любой точки этого множества до двух данных точек плоскости есть величина постоянная, большая расстояния между данными точками. Данные точки называются фокусами.

Обозначим фокусы через  и , расстояние между ними - через , а сумму расстояний от любой точки эллипса до его фокусов - через . Согласно определению эллипса, .

Рис. 1

Выберем декартову прямоугольную систему координат так, как показано на рис. 1, т. е. ось абсцисс проведем через фокусы в направлении от  к , а начало координат помести посредине между фокусами. В этой системе координат фокусы  и  имеют соответственно координаты ,  и ,.

Чтобы вывести уравнение эллипса, рассмотрим произвольную его точку  и, исходя из определения эллипса, найдем зависимость между текущими координатами . По определению, для любой точки эллипса справедливо равенство

. (1)

Так как

; ,

то, подставив найденные значения  и  в равенство , получим

. (2)

Это уравнение является уравнением эллипса, так как ему удовлетворяют координаты любой точки эллипса и не удовлетворяют координаты точек, не принадлежащих эллипсу.

После преобразований получим

. (3)

Так как , то . Введем обозначение . Число  действительное, и . Имеет место соотношение

Уравнение можна записать в виде

. (4)

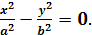
Уравнение называется каноническим уравнением эллипса, а числа  и , входящие в уравнение, - полуосями эллипса:  - большой полуосью,  - малой.

Каноническое уравнение эллипса является алгебраическим уравнением второй степени относительно  и , следовательно, эллипс - кривая второго порядка.

Гиперболой называется множество точек плоскости, обладающих следующим свойством: модуль разности расстояний от любой точки этого множества до двух данных точек плоскости есть величина постоянная, меньшая расстояния между данными точками и отличная от нуля.

Рис. 2

Данные точки  и  называются фокусами. Расстояние между ними обозначим через , а модуль разности расстояний от любой точки гиперболы до фокусов - через . Согласно определению гиперболы, .

.

Или

. (5)

Так как ; , то для точек гиперболы имеем

.

Освободившись от иррациональности так, как мы делали это для эллипса, получим

.

Так как , то . Введем обозначение. Здесь  будет действительным числом, отличным от нуля. Имеет место соотношение . Используя введенное обозначение, запишем уравнение гиперболы в виде

. (6)

Так же, как и для эллипса, можна доказать, что для любой точки M(x,y), координаты которой удовлетворяют уравнению (6), выполняется условие (5). Следовательно, это уравнение является уравнением гиперболы.

Уравнение (6) называется каноническим уравнением гиперболы. Гипербола является кривой второго порядка.

Параболой называется множество точек плоскости. каждая из которых равноудалена от принадлежащей этой плоскости данных прямой и точки, не лежащей на этой прямой. Данная точка называется фокусом, а данная прямая - директрисой. Расстояние от фокуса до директрисы обозначим через p (p>0).

Рис. 3

Чтобы составить уравнение параболы, выберем систему координат так, как показано на рис. 3, т.е. ось  проведем через фокус  перпендикулярно к директрисе в направлении от директрисы к фокусу. За начало координат возьмем середину между фокусом и директрисой. Тогда уравнение директрисы будет иметь вид

,

а координаты фокуса .


; ;

Для любой точки параболы (и только для точек параболы) , следовательно,

(7)

Это и есть уравнение параболы Возведя обе его части в квадрат и приведя подобные члены, получим

,  (8)

Можно доказать, что это уравнение эквивалентно уравнению (7), а следовательно, является уравнением параболы. Уравнение (8) называется каноническим уравнением параболы, а входящее в него p - параметром параболы.

Как видно из полученного уравнения, парабола является кривой второго порядка.

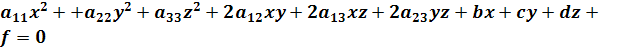
Общее уравнение кривой второго порядка

 (9)

где .

Пусть в уравнении (9) отсутствует член с произведением координат  , т. е. уравнение имеет вид

 (10)

Тогда возможны следущие случаи.

)  (эллиптический тип). Без ограничения общности можно считать, что  и  - положительные числа.

Тогда уравнение (9) принимает вид

. (11)

Если , то уравнение (11) приводится к виду

,

где . Это уравнение определяет эллипс.

Если , то уравнению (11) соответствует пустое множество.

Если , то уравнение (11) принимает вид

 

и определяет точку .

)  (гиперболический тип). Не нарушая общности, можно считать, что , . Как и в первом случае, уравнение (10) можно привести к виду (11).

Если , то уравнение (11) можно записать в виде

.

Оно определяет гиперболу, действительная ось которой параллельна оси .

Если , то получим гиперболу, заданную уравнением

.

Действительная ось этой гиперболы параллельна оси .

Если , то уравнение (11) принимает вид

 

Ему соответствует пара пересекающихся прямых.

)  (параболический тип). Предположим, что , , т. е. уравнение (10) имеет вид

 

Не нарушая общности, можно считать, что . Тогда получим

 

Если , то уравнение можно записать в виде

 

Этому уравнению соответствует парабола с осью симметрии, параллельной оси . Если  и , то уравнение

 (12)

равносильно уравнениям

 

которые определяют пару параллельных прямых.

Если  и , то получим также уравнение (12), которому в этом случае соответствует пустое множество.

Если  и , то уравнение примет вид

 

Оно определяет пару совпадающих прямых .

Если предположить, что  ,, то уравнение (10) будет иметь вид

 

Это уравнение при  определяет параболу с осью симметрии, параллельной оси , и может быть приведено к виду

 

Если , то уравнение определяет пару параллельных (в частном случае слившихся) прямых или пустое множество.

Таким образом, уравнению (10) могут соответствовать только следующие фигуры: эллипс, гипербола, парабола, пара прямых, точка или пустое множество.

.2 Поверхности второго порядка

Общее уравнение кривой второго порядка

 

где

Канонические уравнения фигур второго порядка

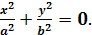
1) Эллипсоид (рис. 4)

 

Рис. 4

Положительные числа  называются полуосями эллипсоида.

В частном случае, когда две полуоси равны, эллипсоид называется эллипсоидом вращения, так как этот эллипсоид может быть получен вращением эллипса вокруг одной из его осей.

Если , то уравнение (13) определяет шаровую поверхность.

) Пустое множество точек (мнимый эллипсоид)

 

) Точка

 


 

В частном случае, когда , однополостный гиперболоид называется однополостным гиперболоидом вращения, так как такой гиперболоид может быть получен вращением гиперболы вокруг ее мнимой оси.

Рис. 5

) Двуполостный гиперболоид (рис. 6)

 

Рис. 6

В частном случае, когда , двуполостный гиперболоид называется двуполостным гиперболоидом вращения, так как такой гиперболоид может быть получен вращением гиперболы вокруг ее действительной оси.

) Эллиптический параболоид (рис. 7)

 

Рис. 7

В частном случае, когда , эллиптический параболоид называется параболоидом вращения, так как такой параболоид может быть получен вращением параболы вокруг ее оси симметрии.

7) Гиперболический параболоид (рис. 8)

 

Рис. 8

8) Коническая поверхность (рис. 9)

 

В частном случае, если, то эллипс, определяемый уравнениями

 

есть окружность с центром на оси , и, следовательно, конус оказывается круглым.

Рис. 9

) Эллиптический цилиндр (рис. 10)

 

Рис. 10

) Пустое множество (мнимый эллиптический цилиндр)

 

) Прямая (ось )

 

) Гиперболический цилиндр (рис. 11)

 

Рис. 11

13) Пара пересекающихся плоскостей

 

) Параболический цилиндр (рис. 12)

 

Рис. 12

) Пара параллельных плоскостей

 

) Пустое множество (мнимые плоскости)

 

) Пара совпадающих плоскостей

 

2. Линейные операторы

.1 Определение линейного оператора

Пусть даны два линейных вещественных (комплексных) пространства  и , размерности которых равны соответственно  и . Будем говорить, что задано отображение  пространства  в  или оператор, действующий из  в , если каждому  поставлен в соответствие единственный , и писать .

Вектор y назовем образом вектора , а  - прообразом вектора . В этом случае будем говорить, что оператор переводит вектор  в вектор , и писать .

Оператор называется линейным, если для любых векторов пространства и произвольного числа  (вещественного, если пространство вещественное, и комплексного, если комплексное), выполняются следующие условия:

) ; 2)

.2 Матрица линейного оператора

Пусть  - линейный оператор некоторого пространства, переводящий элементы базиса  соответственно в векторы . Так как  - базис, то

 

Матрица

 

называется матрицей линейного оператора в базисе  .

.3 Характеристическое уравнение линейного оператора

Характеристическим уравнением линейного оператора  называется уравнение

, (21)

где  - матрица этого оператора в некотором базисе.

Уравнение (21) называется также характеристическим уравнением матрицы , а его корни - характеристическими числами линейного оператора, а также матрицы .

2.4 Собственные векторы и собственные значения линейного оператора

Вектор  линейного пространства называется собственным вектором линейного оператора  этого пространства, если этот вектор ненулевой и существует число , такое, что

.

При этом  вещественное, если линейное пространство вещественное, и комплексное, если пространство комплексное.

Собственные значения и собственные вектора линейного оператора называются также собственными значениями и собственными векторами матрицы этого оператора.

3. Квадратичные формы

 

.1 Основные определения


Пусть даны  переменных , , …, , принимающих числовые значения. Рассмотрим всевозможные парные произведения ;   и составим сумму

 

 

где  - некоторые числа, среди которых хотя бы одно отлично от нуля. Эта сумма называется квадратичной формой  переменных , , …, , и обозначается . Таким образом,

 

Числа  называются коэффициентами квадратичной формы. В дальнейшем будем рассматривать квадратичные формы с вещественными коэффициентами. Такие формы называются вещественными. Кроме того, будем считать, что областью изменения каждой из переменных  является множество всех вещественных чисел.

Симметрическую матрицу

 

составленную из коэффициентов квадратичной формы, будем называть матрицей этой квадратичной формы.

Рангом квадратичной формы называется ранг ее матрицы.

Квадратичная форма называется невырожденной, если ее матрица невырожденная.

.2 Приведение квадратичной формы к каноническому виду

Квадратичная форма

 

называется канонической (иначе говоря, имеет канонический вид), если все  при .

Следовательно, каноническая квадратичная форма имеет вид

 

а ее матрица является диагональной.

Заметим, что любая квадратичная форма одной переменной

 

является канонической.

Квадратичная форма

 

не является канонической, а форма

 

является.

Каноническая форма называется нормальной, если каждый ее коэффициент, отличный от нуля, по абсолютной величине равен единице.

Например, каноническая форма

 

является нормальной. Здесь , , , .

Нахождение по данной квадратичной форме конгруэнтной ей канонической квадратичной формы называется приведением квадратичной формы к каноническому виду.

Теорема 1. Для любой квадратичной формы существует конгруэнтная ей каноническая квадратичная форма.

Доказательство. Для квадратичной формы одной переменной   теорема справедлива в силу того, что невырожденным однородным линейным преобразованием, переводящим квадратичную форму в самое себя, является тождественное преобразование.

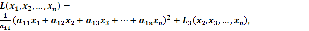
Для доказательства теоремы применим метод полной математической индукции. Предположим, что теорема справедлива для всех квадратичных форм  переменных, где . Докажем, что она справедлива для квадратичной формы  переменных.

Для квадратичной формы

 

возможны два случая.

. Хотя бы один из коэффициентов  (при квадратах переменных) отличен от нуля. Не нарушая общности, можно считать, что . Этого всегда можно добиться соответствующей перенумерацией переменных.

В данной квадратичной форме выделим члены, содержащие , и запишем ее в виде

 

 

где  - квадратичная форма, -й переменной. (В частном случае  может быть квадратичной формой переменных, число которых меньше .)

Выражение, стоящее в скобке, преобразуем следующим образом:

 

 

 

 

Следовательно,

 

где .

Заметим, что

 

По индуктивному предположению, для формы  существует конгруэнтная каноническая форма. Следовательно, существует невырожденное линейное однородное преобразование

 

переводящее  в каноническую форму. Тогда преобразование

 (23)

переводит данную квадратичную форму в каноническую:

 

Преобразование (23) является невырожденным, так как его матрица

 

невырожденная. Следовательно,

 

2. Все коэффициенты . Этот случай сводится к предыдущему.

Пусть некоторый коэффициент  . Существует невырожденное преобразование, например, преобразование

 

переводящее квадратичную форму (22) в квадратичную форму, у которой коэффициент при  отличен от нуля. Теорема доказана.

Легко показать, что в квадратичной форме (24) число коэффициентов , отличных от нуля, равно рангу  квадратичной формы. Поэтому любую квадратичную форму можно привести к каноническому виду

 

Заметим, что если квадратичная форма  является невырожденной, то конгруэнтная ей каноническая форма имеет вид

 

где все .

4. Ответы на теоретические вопросы

Записать общее уравнение фигуры второго порядка на плоскости

, (25)

где

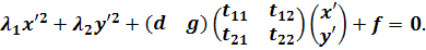
Записать общее уравнение  в матричном виде

 

Что называется квадратичной формой, соответствующей уравнению ? Записать матрицу  этой квадратичной формы.

Сума первых трех членов

 

уравнения (25) является квадратичной формой двух переменных  и , соответствуящая уравнению (25).

Матрица этой квадратичной формы в базисе  имеет вид

 

Пусть в системе координат  фигура задана уравнением  или

 

1) Как найти такой ортонормированный базис , чтобы квадратичная форма, соответствующая уравнению данной фигуры в системе координат , имела канонический вид?

) Записать соответствующий канонический вид квадратичной формы.

) Записать уравнение данной фигуры в системе координат .

1) Надо найти ортогональный оператор с матрицей

 

который переводит ортонормированный базис  в ортонормированный базис , причем , .

2)

3)

При каком условии уравнение  определяет фигуру:

а) эллиптического типа; б) гиперболического типа; в) параболического типа?

а)

б)

в)

Записать общее уравнение фигуры второго порядка в пространстве.

 

 (26)

где хотя бы один из коэффициентов  отличен от нуля.

Записать общее уравнение  в матричном виде.

 

Что называется квадратичной формой, соответствующей уравнению ? записать матрицу  этой квадратичной формы.

Сумма первых шести членов

 

уравнения (26) является квадратичной формой трех переменных , соответствующая уравнению (26).

Матрица этой квадратичной формы в базисе  имеет вид

 

Пусть в системе координат  фигура задана уравнением  или

 

1) Как найти такой ортонормированный базис , чтобы квадратичная форма, соответствующая уравнению данной фигуры в системе координат , имела канонический вид?

) Записать соответствующий вид квадратичной формы.

) Записать уравнение данной фигуры в системе координат .

1) Надо найти ортогональный оператор с матрицей

 

который переводит ортонормированный базис  в ортонормированный базис , причем

;

;

.

2)

3)

Практична частина

1. Звести до канонічного вигляду задане рівняння кривої другого порядку та побудувати її

 

 Рівняння (27) задане в системі координат .

Матриця квадратичної форми, що присутня в (27)

 

Знаходимо . Маємо криву гіперболічного типу.

Виконуємо зведення рівняння до канонічного виду таким чином:

. Складаємо характеристичне рівняння

 

і знаходимо його корені . Це власні значення матриці .

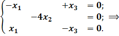
2. Знаходимо власні вектори.

Використовуємо систему:

 

У цій системі послідовно покладемо .


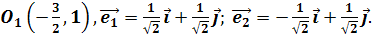
 - власний вектор;  - нормований власний вектор.

б)   

 - власний вектор;  - нормований власний вектор.

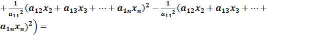
Маємо нову систему координат , яка отримується з попередньої поворотом на відповідний кут.

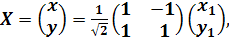
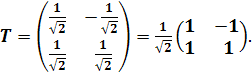
3. Записуємо матрицю переходу від базису  до базису .

 

Матриця  ортогональна.

Перевіряємо: , значить збережена взаємна орієнтація осей при повороті системи координат.

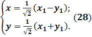
. Виконуємо лінійне перетворення:

 

 

Тобто

 

Підставимо формули перетворення (28) в рівняння кривої (27). Тоді матриця  квадратичної форми прийме діагональний вигляд  і група старших членів представиться так:

 

Група лінійних членів:


Вільний член не змінюється.

Таким чином, рівняння кривої у змінних  та  прийме вигляд:

 

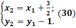
5. Виділяємо повні квадрати відносно змінних та  у (29).

 

 

 

Покладемо

 

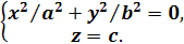
Це відповідає паралельному переносу початку координат у точку . Отримаємо рівняння

 

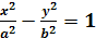
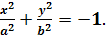
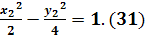
Це канонічне рівняння гіперболи. Воно записане в системі координат .

6. З формул паралельного переносу (30) знайдемо вираз  через  та підставимо у формули перетворення (28). Отримаємо результуюче перетворення координат.

 

 

Очевидно, що якщо підставити формули перетворення (32) у вихідне задане рівняння кривої (27), то отримаємо канонічне рівняння (31):

 

 

 

 

 

 

 

Таким чином, (32) - результуюче перетворення координат, а канонічна система координат , де

 

7. Побудуємо гіперболу, задану рівнянням (31). Послідовно нанесемо три системи координат  і в останній канонічній системі представимо гіперболу, задану цим рівнянням (рис. 13).

Враховуємо, що  - гіпербола з дійсною віссю ,  - півосі гіперболи.

2. Звести до канонічного вигляду задане рівняння поверхні другого порядку та побудувати її

 

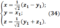
 Рівняння (33) задане в системі координат .

Матриця квадратичної форми, що присутня в (33)

 

1. Складаємо характеристичне рівняння

 

Звідки

 

Отримуємо власні значення матриці

 

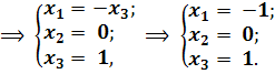
2. Знаходимо власні вектори.

Використовуємо систему:

 

У цій системі послідовно покладемо

.

а) ;

 

 

 - власний вектор;  - нормований власний вектор.

б) ;

 

 

 - власний вектор;  - нормований власний вектор.

в) ;

 


 - власний вектор;  - нормований власний вектор.

Маємо нову систему координат , яка отримується з попередньої поворотом на відповідний кут.

3. Записуємо матрицю переходу від базису  до базису .

 

Матриця  ортогональна.

Перевіряємо: , значить збережена взаємна орієнтація осей при повороті системи координат.

. Виконуємо лінійне перетворення:

 

 

Тобто

 

Підставимо формули перетворення (34) в рівняння кривої (33). Тоді матриця  квадратичної форми прийме діагональний вигляд  і група старших членів представиться так:

 

Вільний член не змінюється.

Таким чином, рівняння поверхні у змінних   прийме вигляд:

 

5. Виділяємо повні квадрати відносно змінних та  у (35).

 

 

 

Це канонічне рівняння еліптичного циліндра. Воно записане в системі координат .

6. Результуючим перетворенням координат є (34).

Якщо підставити формули перетворення (34) у вихідне задане рівняння кривої (33), то отримаємо канонічне рівняння (36):

 

 

 

 

Таким чином, (34) - результуюче перетворення координат, а канонічна система координат , де

 

7. Побудуємо еліптичний циліндр, заданий рівнянням (36), (рис. 14).

Враховуємо, що,  еліптичний циліндр, у якого напрямна - вісь ,  - півосі еліптичного циліндра.

Висновок

Завдяки даній курсовій роботі ми навчились зводити до канонічного вигляду криві та поверхні другого порядку методом ортогональних перетворень, будувати їх за заданими канонічними рівняннями.

Здобуті навички мають велике значення для подальшого навчання на спеціальності ПМ.

канонічний крива поверхня квадратичний

Список використаних джерел

. Апатенок Р. Ф. и др. Элементы линейной алгебры и аналитической геометрии. - Минск: Вышейш. шк., 1986. - 272 с.

. Тевяшев А. Д., Литвин О. Г. Алгебра і геометрія: Лінійна алгебра. Аналітична геометрія. - Харків: ХТУРЕ, 2000. - 388 с.

. Мышкис А. Д. Лекции по высшей математике. - М.: Наука, 1967. - 638 с.

. Апатенок Р. Ф. и др. Сборник задач по линейной алгебре и аналитической геометри. - Минск: Вышейш. Шк.., 1990. - 286 с.

Похожие работы на - Рівняння кривих та поверхонь другого порядку

 

Не нашли материал для своей работы?
Поможем написать уникальную работу
Без плагиата!
Без нейросетей!