Разработка инвестиционной стратегии предприятия
Контрольная
работа
Разработка
инвестиционной стратегии предприятия
Задание
Необходимо разработать инвестиционную стратегию
предприятия на десять лет, если известно:
) Исходя из прогноза финансового положения за
счёт собственных средств (прибыли) предприятие сможет осуществлять
инвестирование на сумму:
|
Год
|
1
|
2
|
3
|
4
|
5
|
6
|
7
|
8
|
9
|
10
|
|
Сумма,
млн.р.
|
2
|
2,5
|
3
|
3,5
|
3,6
|
3,8
|
4
|
4,2
|
4,5
|
4,8
|
) Исходя из прогноза стоимости своих активов,
предприятие имеет возможность получить кредиты на сумму:
|
Год12345678910
|
|
|
|
|
|
|
|
|
|
|
|
Сумма,
млн.р.
|
10
|
10,5
|
11
|
12
|
12,5
|
13
|
13,5
|
14
|
14,5
|
15
|
) Банки представляют кредит под 20-22% годовых
сроком на пять лет.
) Минимальная потребность предприятия в
инвестициях на развитие производства, обеспечивающая стабильное существование:
|
Год12345678910
|
|
|
|
|
|
|
|
|
|
|
|
Сумма,
млн.р.
|
2
|
3
|
5
|
6
|
6,6
|
7,8
|
8,0
|
9,2
|
9,5
|
10,8
|
) На предприятии имеются следующие предложения
для инвестирования средств на развитие производства (коэффициент - 0,92):
|
Проект
|
Параметры
|
Год
|
|
|
1
|
2
|
3
|
4
|
5
|
6
|
7
|
8
|
9
|
10
|
|
А
|
Инвестиции,
млн.р.
|
9,2
|
13,8
|
9,2
|
8,3
|
7,8
|
7,4
|
6,9
|
6,4
|
6,0
|
4,6
|
|
Прибыль
|
-
|
4,6
|
9,5
|
16,1
|
16,2
|
16,4
|
16,9
|
17,7
|
9,7
|
9,9
|
|
Б
|
Инвестиции,
млн.р.
|
9,2
|
6,9
|
5,1
|
5,6
|
6,4
|
7,3
|
7,5
|
8,7
|
9,2
|
10,6
|
|
Прибыль
|
-
|
9,7
|
11,5
|
13,8
|
17,9
|
18,4
|
20,7
|
23,0
|
25,3
|
27,6
|
|
В
|
Инвестиции,
млн.р.
|
4,6
|
5,5
|
6,6
|
7,4
|
7,5
|
7,8
|
8,0
|
8,7
|
9,2
|
11,0
|
|
Прибыль
|
-
|
12,9
|
15,9
|
17,2
|
19,0
|
24,4
|
29,4
|
32,7
|
31,7
|
31,0
|
|
Г
|
Инвестиции,
млн.р.
|
46,0
|
-
|
-
|
-
|
-
|
-
|
-
|
-
|
-
|
-
|
|
Прибыль
|
-
|
9,2
|
18,4
|
27,6
|
36,8
|
46,0
|
55,2
|
64,4
|
73,6
|
82,8
|
|
Д
|
Инвестиции,
млн.р.
|
2,3
|
1,8
|
2,1
|
2,5
|
3,1
|
3,6
|
3,7
|
4,1
|
4,8
|
5,9
|
|
Прибыль
|
-
|
2,3
|
2,4
|
2,5
|
7,0
|
7,2
|
7,7
|
8,5
|
9,7
|
10,9
|
6) Экспертная оценка вероятности (NPV):
Наихудшая (х) 0,3
Наиболее реальная (y) 0,6
Оптимистическая (z) 0,1
Требуется сформировать оптимальный
инвестиционный портфель. Для этого:
) произвести сравнительную оценку эффективности
инвестиционных проектов;
) ранжировать отобранные проекты по степени
риска, если известно, что максимально и минимально возможные значения
интегральных эффектов инвестиционных проектов составляют ±10% от наиболее
вероятного.
Решение
инвестиционный финансовый портфель
стратегия
1. Рассчитаем объём инвестиций, которые
предприятие сможет привлечь в данном десятилетии. Для этого суммируем
собственные средства предприятия и размер потенциальных максимально возможных
кредитов с учётом настоящего финансового состояния (см. табл. 1).
Таблица 1 - Максимально возможный объём
инвестиций
|
Параметры
|
|
|
1
|
2
|
3
|
4
|
5
|
6
|
7
|
8
|
9
|
10
|
|
Сумма
собственных средств, млн.р.
|
2
|
2,5
|
3
|
3,5
|
3,6
|
3,8
|
4
|
4,2
|
4,5
|
4,8
|
|
Сумма
кредитов, млн.р.
|
10
|
10,5
|
11
|
12
|
12,5
|
13
|
13,5
|
14
|
14,5
|
15
|
|
Итого
инвестиции
|
12
|
13
|
14
|
15,5
|
16,1
|
16,8
|
17,5
|
18,2
|
19,0
|
19,8
|
. На основе полученных данных произведём отбор
инвестиционных проектов:
проект А не может быть осуществлён, так как на
второй год потребуется вложить 15 млн. р., тогда как возможно привлечь только
13 млн.р. То есть, для реализации данного проекта у предприятия недостаточно
инвестиционных ресурсов.
проект Б не покрывает потребностей предприятия в
инвестициях. Но возможно реализовать данный проект совместно с другими,
прошедшими отбор.
проект В не покрывает потребностей предприятия в
инвестициях. Но возможно реализовать данный проект совместно с другими,
прошедшими отбор.
проект Г не может быть осуществлён. Реализация
данного проекта позволит получить значительные прибыли, но в первый год потребуется
вложить 50 млн.р., что не возможно. То есть, для реализации данного проекта у
предприятия недостаточно инвестиционных ресурсов.
проект Д не покрывает потребностей предприятия в
инвестициях. Но возможно реализовать данный проект совместно с другими,
прошедшими отбор. Таким образом, для дальнейшей реализации отобраны проекты
Б+В, Б+Д и В+Д (при условии совместной реализации).
. Рассмотрим возможность совместной реализации
проекта Б и В. Основные характеристики проектов Б и Д представлены в таблице 2.
Таблица 2 - Основные характеристики проектов Б и
Д
|
Проект
|
Параметры
|
Год
|
|
|
1
|
2
|
3
|
4
|
5
|
6
|
7
|
8
|
9
|
10
|
|
Б
|
Инвестиции,
млн.р.
|
9,2
|
6,9
|
5,1
|
5,6
|
6,4
|
7,3
|
7,5
|
8,7
|
9,2
|
10,6
|
|
Прибыль
|
-
|
9,7
|
11,5
|
13,8
|
17,9
|
18,4
|
20,7
|
23,0
|
25,3
|
27,6
|
|
В
|
Инвестиции,
млн.р.
|
4,6
|
5,5
|
6,6
|
7,4
|
7,5
|
7,8
|
8,0
|
8,7
|
9,2
|
11,0
|
|
Прибыль
|
-
|
12,9
|
15,9
|
17,2
|
19,0
|
24,4
|
29,4
|
32,7
|
31,7
|
31,0
|
|
Б+В
|
Инвестиции
|
13,8
|
12,4
|
11,7
|
13,0
|
13,9
|
15,1
|
15,5
|
17,5
|
18,4
|
21,6
|
|
Прибыль
|
-
|
22,5
|
27,4
|
31,0
|
36,9
|
42,8
|
50,1
|
55,7
|
57,0
|
58,6
|
Проект Б и В невозможно осуществить одновременно,
так как в сумме на первый год необходимо вложить 13,8 млн.р., а удастся
задействовать только 12 млн.р.
4. Расмотрим возможность совместной реализации
проекта Б и Д (см. табл. 3).
Таблица 3 - Основные характеристики проектов Б и
Д
|
Проект
|
Параметры
|
Год
|
|
|
1
|
2
|
3
|
4
|
5
|
6
|
7
|
8
|
9
|
10
|
|
Б
|
Инвестиции,
млн.р.
|
9,2
|
6,9
|
5,1
|
5,6
|
7,3
|
7,5
|
8,7
|
9,2
|
10,6
|
|
Прибыль
|
-
|
9,7
|
11,5
|
13,8
|
17,9
|
18,4
|
20,7
|
23,0
|
25,3
|
27,6
|
|
Д
|
Инвестиции,
млн.р.
|
2,3
|
1,8
|
2,1
|
2,5
|
3,1
|
3,6
|
3,7
|
4,1
|
4,8
|
5,9
|
|
Прибыль
|
-
|
2,3
|
2,4
|
2,5
|
7,0
|
7,2
|
7,7
|
8,5
|
9,7
|
10,9
|
|
Б+Д
|
Инвестиции,
млн.р.
|
11,5
|
8,7
|
7,2
|
8,1
|
9,6
|
10,9
|
11,2
|
12,9
|
14,0
|
16,5
|
|
Прибыль
|
-
|
12,0
|
13,9
|
16,3
|
24,9
|
25,6
|
28,4
|
31,5
|
35,0
|
38,5
|
Проекты Б и Д возможно реализовать совместно.
. Расмотрим возможность совместной реализации
проекта В и Д (см. табл. 4).
Таблица 4 - Основные характеристики проектов В и
Д
|
Проект
|
Параметры
|
Год
|
|
|
1
|
2
|
3
|
4
|
5
|
6
|
7
|
8
|
9
|
10
|
|
В
|
Инвестиции,
млн.р.
|
4,6
|
5,5
|
6,6
|
7,4
|
7,5
|
7,8
|
8,0
|
8,7
|
9,2
|
11,0
|
|
Прибыль
|
-
|
12,9
|
15,9
|
17,2
|
19,0
|
24,4
|
29,4
|
32,7
|
31,7
|
31,0
|
|
Д
|
Инвестиции,
млн.р.
|
2,3
|
1,8
|
2,1
|
2,5
|
3,1
|
3,6
|
3,7
|
4,1
|
4,8
|
5,9
|
|
Прибыль
|
-
|
2,3
|
2,4
|
2,5
|
7,0
|
7,2
|
7,7
|
8,5
|
9,7
|
10,9
|
|
В+Д
|
Инвестиции,
млн.р.
|
6,9
|
7,4
|
8,7
|
9,8
|
10,6
|
11,4
|
11,7
|
12,9
|
14,0
|
16,9
|
|
Прибыль
|
-
|
15,2
|
18,3
|
19,7
|
25,9
|
31,6
|
37,2
|
41,1
|
41,4
|
41,9
|
Проекты В и Д возможно реализовать совместно.
. Рассмотрим эффективность реализации проектов,
с целью отбора их для финансирования.
.1. Рассмотрим целеобразоность реализации
проекта Б+Д (вариант инвестирования 1). Для этого рассчитаем основные
показатели: интегральный эффект, рентабельность, внутреннюю норму доходности.
Для реализации данного проекта предприятию
придётся воспользоваться банковским кредитом:
в 1-й год 4,9 млн.руб.
во 2-й год 4,86 млн.руб.
С 3-го по 10-й года предприятие сможет
финансировать проект самостоятельно (за счёт полученной прибыли).
Основные платежи по проекту 1 представлены в
таблице 5.
Таблица 5 - Основные платежи по проекту 1
|
Период
|
Собствен-ные
средства, инвести-рованные в проект, млн.р.
|
Банков-ский
Кредит, млн.р.
|
Прибыль
по про-екту, млн.р.
|
Погаше-ние
долга по креди-ту, млн.р.
|
Остав-шаяся
часть кре-дита
|
Проценты
по креди-ту (22% годовых)
|
Чистая
прибыль предпри-ятия, млн.р.
|
|
0
|
2,00
|
4,90
|
0,00
|
0,00
|
0,00
|
0,00
|
0,00
|
|
1
|
2,50
|
4,86
|
0,00
|
0,00
|
4,90
|
1,08
|
-1,08
|
|
2
|
8,74
|
0,00
|
15,18
|
0,00
|
9,76
|
2,15
|
13,03
|
|
3
|
9,84
|
0,00
|
18,31
|
0,00
|
9,76
|
2,15
|
16,16
|
|
4
|
10,58
|
0,00
|
19,69
|
0,00
|
9,76
|
2,15
|
17,54
|
|
5
|
11,41
|
0,00
|
25,94
|
4,90
|
9,76
|
2,15
|
18,90
|
|
6
|
11,68
|
0,00
|
31,56
|
4,86
|
4,86
|
1,07
|
25,63
|
|
7
|
12,88
|
0,00
|
37,17
|
0,00
|
0,00
|
0,00
|
37,17
|
|
8
|
13,98
|
0,00
|
41,12
|
0,00
|
0,00
|
0,00
|
41,12
|
|
9
|
16,93
|
0,00
|
41,40
|
0,00
|
0,00
|
0,00
|
41,40
|
|
10
|
0,00
|
0,00
|
41,86
|
0,00
|
0,00
|
0,00
|
41,86
|
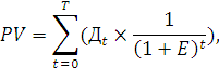
а) Рассчитаем общую сумму дисконтированных
чистых денежных поступлений (Present Value) по формуле:
(1)
где
Дt
- (доход) прибыль в прогнозном периоде;
t -
продолжительность проекта;
E
- коэффициент дисконтирования, E=0,22.
Результаты расчётов представлены в
таблице 6.
Таблица 6 - Результаты расчётов
общей суммы дисконтированных чистых денежных поступлений, млн.р.
|
Период
|
Чистая
прибыль, млн.р.
|
Коэффициент
дисконтирования
|
Дисконти-рованные
чистые денежные поступления, млн.р.
|
|
0
|
0,00
|
0,00
|
0,00
|
|
1
|
-1,08
|
0,819672
|
-0,88
|
|
2
|
13,03
|
0,671862
|
8,76
|
|
3
|
16,16
|
0,550707
|
8,90
|
|
4
|
17,54
|
0,451399
|
7,92
|
|
5
|
18,90
|
0,369999
|
6,99
|
|
6
|
25,63
|
0,303278
|
7,77
|
|
7
|
37,17
|
0,248589
|
9,24
|
|
8
|
41,12
|
0,203761
|
8,38
|
|
9
|
41,40
|
0,167017
|
6,91
|
|
10
|
41,86
|
0,136899
|
5,73
|
|
Сумма
|
69,72
|
Итак, PV=69,72 млн.р.
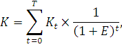
б) Рассчитаем сумму дисконтированных
капиталовложений по формуле:
(2)
где Kt
- капиталовложения в t-м
периоде;
t -
продолжительность проекта;
E -
коэффициент дисконтирования, E=0,22.
Результаты расчётов представлены в таблице 7.
Таблица 7 - Результаты расчётов суммы
дисконтированных капиталовложений, млн.р.
|
Период
|
Собственные
средства, инвестированные в проект, млн.р.
|
Коэффициент
дисконтирования
|
Дисконти-рованные
капитало-вложения, млн.р.
|
|
0
|
2,00
|
1,0000
|
2,00
|
|
1
|
2,50
|
0,8197
|
2,05
|
|
2
|
8,74
|
0,6719
|
5,87
|
|
3
|
9,84
|
0,5507
|
5,42
|
|
4
|
10,58
|
0,4514
|
4,78
|
|
5
|
11,41
|
0,3700
|
4,22
|
|
6
|
11,68
|
0,3033
|
3,54
|
|
7
|
0,2486
|
3,20
|
|
8
|
13,98
|
0,2038
|
2,85
|
|
9
|
16,93
|
0,1670
|
2,83
|
|
10
|
0,00
|
0,1369
|
0,00
|
|
Сумма
|
36,76
|
Сумма дисконтированных капиталовложений
составила 36,76 млн.р.
в) Теперь рассчитаем первый показатель
эффективности инвестиционного проекта - NPV (Net Present Value) - чистая
приведенная стоимость проекта, определяемый как разница между приведёнными
доходами и инвестициями составит:
NPV = PV
- K = 69,72 - 36,76 =
32,96 млн.р.
По общему правилу, если NPV > 0, то проект
принимается. Положительное значение NPV значит, что денежный поток проекта за
рассматриваемый срок при установленной ставке дисконтирования покрыл своими
поступлениями инвестиции и текущие затраты, то есть обеспечил минимальный доход
заданный ставкой дисконтирования (E),
равный доходу от альтернативных безрисковых вложений и доход равный значению
NPV. В нашем случае показатель NPV>0, то есть проект должен быть принят, но
прежде чем делать выводы об эффективности рассматриваемого проекта следует
рассчитать остальные показатели и рассматривать их в совокупности.
г) индекс рентабельности рассчитывается по
формуле:
Индекс прибыльности (IР) - это
относительная прибыльность проекта, или дисконтированная стоимость денежных
поступлений от проекта, в расчете на единицу вложений. Так как P > 0 -
проект является рентабельным.
д) рассчитаем внутреннюю норму
прибыли инвестиций (IRR). Под внутренней нормой прибыли
понимается значение коэффициента дисконтирования (r), при
котором NPV проекта
равен нулю:
Для того, чтобы найти ВНД,
решим данное уравнение с применением возможностей редактора MsExcel методом
подбора.
Получаем:
ВНД = 0,89 или 89% >E=22%
Внутренняя норма доходности больше
требуемой инвестором нормы дохода на капитал, следует полагать, что проект
эффективен.
Рассмотрим целесообразность
реализации проектов В и Д (вариант инвестирования 2).
Для реализации данного проекта
предприятию придётся воспользоваться банковским кредитом:
в 1-й год 9,5 млн.руб.
во 2-й год 6,24 млн. руб.
С 3-го по 10-й года предприятие
также сможет финансировать проект самостоятельно (за счёт полученной прибыли).
Основные платежи по проекту
представлены в таблице 8.
Таблица 8 - Основные платежи по
проекту
|
Период
|
Собственные
средства, инвестированные в проект, млн.р.
|
Банковский
Кредит, млн.р.
|
Прибыль
по проекту, млн.р.
|
Погашение
долга по кредиту, млн.р.
|
Оставшаяся
часть кредита
|
Проценты
по кредиту (22% годовых)
|
Чистая
прибыль, млн.р.
|
|
0
|
2
|
9,5
|
0
|
0
|
0
|
0
|
0
|
|
1
|
2,5
|
6,24
|
0
|
0
|
9,5
|
2,09
|
-2,09
|
|
2
|
7,176
|
0
|
11,96
|
0
|
15,74
|
3,4628
|
8,4972
|
|
3
|
8,096
|
0
|
13,892
|
0
|
15,74
|
3,4628
|
10,4292
|
|
4
|
9,568
|
0
|
16,284
|
0
|
15,74
|
3,4628
|
12,8212
|
|
5
|
10,856
|
0
|
24,932
|
9,5
|
15,74
|
3,4628
|
11,9692
|
|
6
|
11,224
|
0
|
25,576
|
6,24
|
6,24
|
1,3728
|
17,9632
|
|
7
|
12,88
|
0
|
28,428
|
0
|
0
|
0
|
28,428
|
|
8
|
13,984
|
0
|
31,464
|
0
|
0
|
0
|
31,464
|
|
9
|
16,468
|
0
|
34,96
|
0
|
0
|
0
|
34,96
|
|
10
|
0
|
0
|
38,456
|
0
|
0
|
0
|
38,456
|
а) Рассчитаем общую сумму дисконтированных
чистых денежных поступлений. Результаты расчётов представлены в таблице 9.
Таблица 9 - Результаты расчётов общей суммы
дисконтированных чистых денежных поступлений, млн.р.
|
Период
|
Чистая
прибыль, млн.р.
|
Коэффициент
дисконтирования
|
Дисконти-рованные
чистые денежные поступления, млн.р.
|
|
0
|
0,00
|
1
|
0,00
|
|
1
|
-2,09
|
0,8197
|
-1,71
|
|
2
|
8,50
|
0,6719
|
5,71
|
|
3
|
10,43
|
0,5507
|
5,74
|
|
4
|
12,82
|
0,4514
|
5,79
|
|
5
|
11,97
|
0,3700
|
4,43
|
|
6
|
17,96
|
0,3033
|
5,45
|
|
7
|
28,43
|
0,2486
|
7,07
|
|
8
|
31,46
|
0,2038
|
6,41
|
|
9
|
34,96
|
0,1670
|
5,84
|
|
10
|
38,46
|
0,1369
|
5,26
|
|
Сумма
|
49,98
|
PV=49,98
млн.р.
б) Рассчитаем сумму дисконтированных
капиталовложений
Таблица 10 - Результаты расчётов суммы
дисконтированных капиталовложений, млн.р.
|
Период
|
Собственные
средства, инвестированные в проект, млн.р.
|
Коэффициент
дисконтирования
|
Дисконти-рованные
капиталовложения, млн.р.
|
|
0
|
2,00
|
1
|
2,00
|
|
1
|
2,50
|
0,8197
|
2,05
|
|
2
|
7,18
|
0,6719
|
4,82
|
|
3
|
8,10
|
0,5507
|
4,46
|
|
4
|
9,57
|
0,4514
|
4,32
|
|
5
|
10,86
|
0,3700
|
4,02
|
|
6
|
11,22
|
0,3033
|
3,40
|
|
7
|
12,88
|
0,2486
|
3,20
|
|
8
|
13,98
|
0,2038
|
2,85
|
|
9
|
16,47
|
0,1670
|
2,75
|
|
10
|
0,00
|
0,1369
|
0,00
|
|
Сумма
|
33,87
|
K = 33,87 млн.р.
в) Чистый приведённый эффект NPV
рассчитанный как разница между приведёнными доходами и инвестициями составит:
,98 - 33,87 = 16,11 млн.р.>0, то есть проект
должен быть принят.
г) определим индекс рентабельности по проекту
В+Д:
Р=47,6%, то есть 47,6% денежных
поступлений принесет каждая единица вложений в проект. Так как P > 0 -
проект является рентабельным.
д)Рассчитаем внутреннюю норму
прибыли инвестиций, решив уравнение:
И с помощью подбора параметра Microsoft Excel получаем
ВНД = 0,52 или 52% ,которая больше ставки дисконтирования 22%.Проект
эффективен.
. Сравним основные характеристики
двух вариантов инвестирования (см. табл. 11).
Таблица 11 - Сравнительная
характеристика двух вариантов инвестирования
|
Вариант
|
NPV
|
Индекс
рентабельности
|
ВНД
|
|
1
|
32,96
|
0,896
|
0,89
|
|
2
|
16,11
|
0,476
|
0,52
|
По всем параметрам эффективность первого
варианта инвестирования выше, поэтому следует принять именно его.
. Рассчитаем показатели эффективности проектов В
и Д, учитывая следующие параметры (вариант 2):
|
Коэффициент
перевода данных приведённых в примере к данным по соответствующему варианту
|
Экспертная
оценка вероятности
|
|
наихудшая
|
реальная
|
оптимистическая
|
|
x
|
y
|
z
|
|
0,92
|
0,30
|
0,60
|
0,10
|
9. Сравним проекты по степени риска (см. табл.
8).
Таблица 12 - Сравнение проектов по степени риска
|
Оценка
NPV
|
Вариант
1
|
Вариант
2
|
Экспертная
оценка
|
|
Наихудшая
|
23,07
|
11,28
|
0,3
|
|
Реальная
|
32,96
|
16,11
|
0,6
|
|
Оптимистическая
(максимальная)
|
36,26
|
17,72
|
0,1
|
а) Для каждого варианта определим
среднеквадратичное отклонение по формуле:
где NPVi
- приведённая чистая стоимость каждого из
рассматриваемых вариантов;
- средневзвешенное значение по
вероятностям (Pi).
б) Рассчитаем средневзвешенное
значение для каждого варианта:
в) Определим среднеквадратичное
отклонение проектов:
Наиболее рисковым является первый
вариант инвестиционного проекта.
Вывод: Несмотря на высокие
показатели эффективности, первый проект имеет высокий уровень риска, поэтому
следует принять к реализации второй проект. Так как он требует меньшего уровня
рентабельности и внутренней нормы доходности, проект это имеет хороший запас
прочности, то есть даже при увеличении ставки дисконтирования до 52% мы все
равно имеем положительный NPV.