Разработка инвестиционной стратегии предприятия ОАО 'Яхрома-Лада'
Выпускная
квалификационная работа
на тему
Разработка
инвестиционной стратегии предприятия ОАО "Яхрома-Лада"
Содержание
Введение
Глава I. Основы разработки инвестиционной
стратегии предприятия
1.1 Экономическая сущность, принципы разработки и функции инвестиционной
стратегии организации
1.2 Основные
этапы инвестиционной стратегии предприятия
.3 Критерии
эффективности инвестиционной деятельности предприятия
Глава II. Анализ деятельности предприятия ОАО "Яхрома-Лада" как
основа для принятия инвестиционных решений
2.1 Оценка финансового
состояния предприятия ОАО "Яхрома-Лада"
.2Общие предложения по
совершенствованию деятельности ОАО "Яхрома-Лада"
Глава III. Разработка
инвестиционной стратегии предприятия ОАО "Яхрома-Лада"
.1 Этапы реализации инвестиционной
стратегии предприятия ОАО "Яхрома-Лада"
.2 Оценка эффективности
инвестиционной стратегии предприятия ОАО "Яхрома-Лада"
Заключение
Список используемой
литературы
Приложения
Введение
инвестиционная стратегия финансовая
Инвестиционная деятельность организации во всех ее формах не может
сводиться к удовлетворению текущих инвестиционных потребностей, определяемых
необходимостью замены выбывающих активов или их прироста в связи с
происходящими изменениями объема и структуры хозяйственной деятельности.
Причинами, обусловливающими необходимость инвестиций, являются обновление
имеющейся материально-технической базы, наращивание объемов производства,
освоение новых видов деятельности.
Значение финансового планирования и осуществления инвестиционной деятельности
трудно переоценить. При этом особое значение имеет предварительный анализ,
который проводится на стадии разработки инвестиционных проектов и способствует
принятию разумных и обоснованных управленческих решений.
Принятие решений инвестиционного характера, как и любой другой вид
управленческой деятельности, основывается на использовании различных
формализованных и неформализованных методов.
Степень их сочетания определяется разными обстоятельствами, в том числе и
тем из них, насколько менеджер знаком с имеющимся аппаратом, применимым в том
или ином конкретном случае. В отечественной и зарубежной практике известен
целый ряд формализованных методов, расчеты, с помощью которых могут служить
основой для принятия решений в области инвестиционной стратегии. Главным
направлением предварительного анализа является определение экономической
эффективности инвестиционных решений.
Инвестиционная деятельность - это, с одной стороны, выбор наиболее
эффективных способов вложения финансовых ресурсов, а с другой стороны, поиск
оптимальных для собственников предприятия схем финансирования текущей
деятельности.
Цель выпускной квалификационной работы заключается в
выработке решения относительно целесообразности реализации инвестиционной
стратегии предприятия. Объект выпускной квалификационной работы - действующее
предприятие - ОАО "Яхрома-Лада".
Предмет - механизм реализации инвестиционной
стратегии.
Для реализации поставленной цели ставятся следующие
задачи:
1. рассмотреть сущность и основные этапы
инвестиционной стратегии организации;
2. раскрыть содержание этапов инвестиционной
стратегии;
. обосновать место в инвестиционной стратегии в
системе управления предприятием;
4. осуществить анализ финансово-экономической
деятельности ОАО "Яхрома-Лада";
. разработать и оценить инвестиционную стратегию ОАО
"Яхрома-Лада".
В первой главе выпускной квалификационной работы будет
представлена экономическая сущность и принципы разработки инвестиционной
стратегии коммерческой организации, рассмотрены основные этапы инвестиционной
стратегии предприятия и проанализированы критерии эффективности осуществления
инвестиционной деятельности предприятия.
Вторая глава выпускной квалификационной работы будет
дана общая характеристика ОАО "Яхрома-Лада", рассмотрены основные
финансовые показатели, используемые для оценки финансового состояния
предприятия
В третьей главе выпускной квалификационной работы
будет посвящена разработке и реализации инвестиционной стратегии предприятия
ОАО "Яхрома-Лада". главным содержанием которой выступит обоснование источника
финансирования перспективной деятельности предприятия.
Глава I. Основы разработки инвестиционной
стратегии предприятия
1.1Экономическая сущность, принципы разработки и
функции инвестиционной стратегии организации
В настоящее время большинство предприятий сталкиваются
с проблемой формирования своей деятельности, с необходимостью установления
четких стандартов подготовки и принятия инвестиционных решений.
В условиях, когда финансовые ресурсы ограничены,
реализация потенциально интересных инвестиционных замыслов оказывается
невозможной. Финансовому менеджеру приходится решать проблему выбора - из
общего списка определять подмножество инвестиционных проектов, удовлетворяющих
критерию реализуемости и критерию максимизации стоимости бизнеса. Следовательно,
речь идет об оптимизации внутреннего инвестиционного портфеля компании.
Успешное развитие предприятия во многом зависит от их
инвестиционной стратегии. В современной экономической литературе термину
«инвестиционная стратегия» даются разные смысловые значения. Говоря о
формировании внутреннего инвестиционного портфеля предприятия, необходимо четко
обозначить отличия от стандартной схемы управления портфелем инвестиционного
фонда, работающего со свободно обращаемыми ценными бумагами.
При этом оценка доходности и риска портфеля
ориентируется на исторические сведения, на динамику котировок и доходности.
В работе В.К. Гуртова инвестиционная стратегия
представляет собой экономические отношения между государством, предприятием и
домохозяйствами (физическими лицами).[Инвестиционные ресурсы. / Гуртов В.К. -
Экзамен, 2002. - с.92]
В.В.Бочаров рассматривает инвестиционную стратегию
предприятия как составную часть общей финансовой стратегии предприятия, которая
заключается в выборе и реализации наиболее рациональных путей расширения и
обновления производственного потенциала.[Бочаров В. В. Инвестиционный
менеджмент. - СПб: Питер, 2002. 289 с. - с.120]
М.А. Лимитовский характеризует инвестиционную
стратегию как систему мер, направленных на установление структуры и масштабов
инвестиций, направлкений их использования с целью получения максимальной
отдачи, обеспечения безопасности и ликвидности в условиях нестабильности среды
окружения. [Инвестиционные проекты и реальные опционы на развивающихся
рынкахИздательство:Юрайт, 2010, 496 стр]
М.В. Гречишкина под инвестиционной стратегией (investmentpolicystatement) представляет собой систему
долгосрочных целей инвестиционной деятельности организации, определяемых общими
задачами ее развития и инвестиционной идеологией, а также выбор наиболее
эффективных путей их достижения. [Гречишкина М.В. Выбор оптимального варианта
инвестиций. / ФМ, 2004 - . № 3 - 90 с. - с.18]
О.С. Виханский инвестиционную стратегию представляет как генеральное
направление (программу, план) инвестиционной деятельности организации,
следование которому в долгосрочной перспективе должно привести к достижению
инвестиционных целей и получению ожидаемого инвестиционного эффекта. [Виленский
П.Л. Оценка эффективности инвестиционных проектов:Теория и практика:. - М.:
Дело, 2001. - 832 с. - с.25]
В случае формирования внутренней инвестиционной
стратегии, предприятия на первый план выступают динамические прогнозы движения
денежных и материальных потоков. Причина состоит в том, что в стандартной
ситуации прогноз будущих потоков для конкретного предприятия оказывается
неизвестен участникам фондового рынка, и им приходится ориентироваться на
исторические сведения, надеясь, что будущее будет в той или иной степени
повторять будущее.
В случае принятия инвестиционных решений в рамках
предприятия руководству обычно доступна более детальная информация, в
частности, бизнес-планы с конкретными оценками будущих денежных потоков. Это
позволяет более точно поставить и решить задачи оптимизации инвестиционной
деятельности, обеспечив тем самым максимально возможный рост стоимости бизнеса.
На современном этапе все большее число организаций
осознают необходимость сознательного перспективного управления инвестиционной
деятельностью на основе научной методологии предвидения ее направлений и форм,
адаптации к общим целям развития предприятия и изменяющимся условиям внешней
инвестиционной среды.
Эффективным инструментом перспективного управления
инвестиционной деятельностью организации, подчиненного реализации целей ее
общего развития в условиях происходящих существенных изменений
макроэкономических показателей, системы государственного регулирования рыночных
процессов, конъюнктуры инвестиционного рынка и связанной с этим
неопределенностью, выступает инвестиционная стратегия.
Инвестиционная стратегия определяет приоритеты
направлений и форм деятельности организации, характер формирования ресурсов и
последовательность этапов реализации долгосрочных целей, обеспечивающих
предусмотренное развитие организации.
Процесс разработки инвестиционной стратегии является
важнейшей составной частью общей системы стратегического выбора предприятия,
основными элементами которого являются миссия, общие стратегические цели
развития, система функциональных стратегий в разрезе отдельных видов
деятельности, способы формирования и распределения ресурсов.
Актуальность разработки инвестиционной стратегии
организации определяется рядом условий.[Гречишкина М.В. Выбор оптимального
варианта инвестиций. / ФМ, 2004 - . № 3 - 90 с. - с.19- 20]
Важнейшим из таких условий является интенсивность
изменений факторов внешней инвестиционной среды. Высокая динамика основных
макроэкономических показателей, связанных с инвестиционной активностью
организаций, темпы научно-технологического прогресса, частые колебания
конъюнктуры инвестиционного рынка, непостоянство государственной инвестиционной
политики и форм регулирования инвестиционной деятельности не позволяют
эффективно управлять инвестициями предприятия на основе лишь ранее накопленного
опыта и традиционных методов финансового менеджмента.
В этих условиях отсутствие разработанной
инвестиционной стратегии, адаптированной к возможным изменениям факторов
внешней инвестиционной среды, может привести к тому, что инвестиционные решения
отдельных структурных подразделений организации будут носить разнонаправленный
характер, приводить к возникновению противоречий и снижению эффективности
инвестиционной деятельности в целом.
Одним из условий, определяющих актуальность разработки
инвестиционной стратегии организации, является ее предстоящий этап жизненного
цикла. Каждой из стадий жизненного цикла организации присущи характерные ей
уровень инвестиционной активности, направления и формы инвестиционной
деятельности, особенности формирования инвестиционных ресурсов.
Разрабатываемая инвестиционная стратегия позволяет
заблаговременно адаптировать инвестиционную деятельность организации к
предстоящим кардинальным изменениям возможностей ее экономического развития.
Инвестиционная стратегия содержит следующую
информацию:
. Обоснование целей организации. Стратегические цели
могут состоять в обеспечении гарантированной минимальной доходности
инвестиций.Реализация целей требует изменения производственного ассортимента,
внедрения новых производственных технологий, освоения новых рынков сбыта
продукции.
В этих условиях существенное возрастание
инвестиционной активности организации и диверсификация форм его инвестиционной
деятельности должны носить прогнозируемый характер, обеспечиваемый разработкой
четко сформулированной инвестиционной стратегии.
. Плановый горизонт - промежуток времени, на который
ориентирована текущая инвестиционная стратегия. Плановый горизонт является
основой для оптимизации инвестиционных решений.
. Структура портфеля и ограничения инвестиционной
деятельности. Стратегия деятельностина рынке ориентирована наобеспечение
максимально возможного роста стоимости портфеля предприятия.
. Предположения о доходности основных сегментов рынка.
Распространенным является разработка предположений организации о показателях
доходности и рискованности основных сегментов рынка, а также о будущих уровнях
инфляции, служащих основой для оценки эффективности инвестиций и принятия
решений.
. Отчетность, оценка эффективности, структура и сроки
выплатыдоходов. Практически обязательным является наличие в инвестиционной
стратегии точных обязательств по отчетности перед инвесторами, содержащей в
первую очередь подробную оценку эффективности инвестиционной деятельности и
обязательства об оперативном информировании о любых событиях, способных
повлиять на достижение поставленных целей.
Таким образом, условием, определяющим актуальность
разработки инвестиционной стратегии, является вероятность корректировки целей
операционной деятельности организации, связанную с открывающимися новыми
коммерческими возможностями.
Разработка инвестиционной стратегии предприятия
основана на современной концепции «стратегического менеджмента», активно
внедряемой с начала 70-х годов в корпорациях США и большинства стран Западной
Европы.
Основанная на новой парадигме управления разработка инвестиционной
стратегии базируется на предварительной идентификации достигнутого
стратегического инвестиционного уровня предприятия.
В процессе такой идентификации должно быть получено
четкое представление о том, на что могла бы пойти организация и на что она в
действительности способна.
Разработка инвестиционной стратегии играет большую
роль в обеспечении эффективного развития организации. Она обеспечивает механизм
реализации долгосрочных общих и инвестиционных целей предстоящего
экономического и социального развития организации в целом и отдельных ее
структурных единиц.
Она позволяет реально оценить инвестиционные
возможности организации, обеспечить максимальное использование его внутреннего
инвестиционного потенциала и возможность активного маневрирования
инвестиционными ресурсами.
Она обеспечивает возможность быстрой реализации новых
перспективных инвестиционных возможностей, возникающих в процессе динамических
изменений факторов внешней инвестиционной среды.
Разработка инвестиционной стратегии учитывает заранее
возможные вариации развития неконтролируемых организацией факторов внешней
инвестиционной среды и позволяет свести к минимуму их негативные последствия
для деятельности организации. Она отражает сравнительные преимущества
организации в инвестиционной деятельности в сопоставлении с его конкурентами.
Наличие инвестиционной стратегии обеспечивает четкую
взаимосвязь стратегического, текущего и оперативного управления инвестиционной
деятельностью организации. Она обеспечивает соответствующую программу
организационного поведения в рамках реализации наиболее важных стратегических
инвестиционных решений.
В системе инвестиционной стратегии формируется
значение основных критериальных оценок выбора реальных инвестиционных проектов
и финансовых инструментов инвестирования.
Разработанная инвестиционная стратегия является одной
из базисных предпосылок стратегических изменений общей организационной
структуры управления и фирменной культуры.
1.
В основе
разработки инвестиционной стратегии организации лежат принципы новой
управленческой парадигмы к числу которых относят: инвайронментализма,
конституционализм, соответствия, инвестиционной предприимчивости и
коммуникабельности, поиск альтернативных вариантов направлений, форм и методов
осуществления инвестиционной деятельности и прочие. [Бясов К.Т. Стандартные
методы капитального бюджетирования// Экономический анализ . 2004 - № 1 - с.
12--29. - с .68]
Принцип инвайронментализма состоит в том, что при
разработке инвестиционной стратегии организация рассматривается как
определенная система, полностью открытая для активного взаимодействия с
факторами внешней инвестиционной среды, гибкости и альтернативности. Открытость
предприятия как социально-экономической системы и его способность к
самоорганизации позволяет обеспечивать качественно иной уровень формирования
его инвестиционной стратегии обеспечивает.
2.
В противовес
инвайронментализму конституционализм означает закрытую организацию,
деятельность которой не предполагает инвестиций и других отношений с внешней
средой.[Бясов К.Т. Основные аспекты разработки инвестиционной стратегии
организации // Финансовый менеджмент - 2005 - № 4. - 90 с. - с.70]
Принцип соответствия, являясь частью общей развития
организации в соответствии с избранной общей стратегией.
Кроме того, разработанная инвестиционная стратегия
должна обеспечивать сочетание перспективного, текущего и оперативного
управления инвестиционной деятельностью.
Принцип инвестиционной предприимчивости и
коммуникабельности заключается в активном поиске эффективных инвестиционных
связей по всем направлениям и формам инвестиционной деятельности, а также на
различных стадиях инвестиционного процесса.
Инвестиционное поведение такого рода связано с
постоянной трансформацией направлений, форм и методов осуществления инвестиционной
деятельности на всем пути к достижению поставленных стратегических целей с
учетом изменяющихся факторов внешней инвестиционной среды.
Принцип инвестиционной гибкости и альтернативности.
Инвестиционная стратегия должна быть разработана с учетом адаптивности к
изменениям факторов внешней инвестиционной среды.
Помимо прочего в основе стратегических инвестиционных
решений должен лежать активный поиск альтернативных вариантов направлений, форм
и методов осуществления инвестиционной деятельности, выбор наилучших из них,
построение на этой основе общей инвестиционной стратегии и формирование
механизмов эффективной ее реализации.
Инновационный принцип свидетельствует, что
инвестиционная деятельность является главным механизмом внедрения
технологических нововведений, обеспечивающих рост конкурентной позиции
организации на рынке, поэтому реализация общих целей стратегического развития
организации в значительной степени зависит от того, насколько его
инвестиционная стратегия отражает достигнутые результаты технологического
прогресса и адаптирована к быстрому использованию новых его результатов.
Принцип минимизации инвестиционного риска
свидетельствует, что основные инвестиционные решения, принимаемые в процессе
формирования инвестиционной стратегии, в той или иной степени изменяют уровень
инвестиционного риска.
В первую очередь это связано с выбором направлений и
форм инвестиционной деятельности, формированием инвестиционных ресурсов,
внедрением новых организационных структур управления инвестиционной деятельностью.
В связи с различным менталитетом инвестиционного поведения по отношению к
уровню допустимого инвестиционного риска, на каждом предприятии в процессе
разработки инвестиционной стратегии этот параметр должен устанавливаться
дифференцированно.
Принцип компетентности. Какие бы специалисты не
привлекались к разработке отдельных параметров инвестиционной стратегии
организации, ее реализацию должны обеспечивать подготовленные специалисты -
финансовые менеджеры. [Бясов К.Т. Основные аспекты разработки инвестиционной
стратегии организации // Финансовый менеджмент - 2005 - № 4. - с. 71]
Таким образом, процесс разработки инвестиционной
стратегии является важной составной частью системы стратегического выбора
предприятия, основными элементами которого являются миссия, общие
стратегические цели развития, система функциональных стратегий в разрезе
отдельных видов деятельности, способы формирования и распределения ресурсов.
Таким образом, инвестиционная стратегия - деятельность
по осуществлению целей и задач развития предприятия, а также методы и средства
решения задач и достижения целей - позволяет ответить на вопросы: какие
инвестиционные решения будут наилучшими исходя из целей, планового горизонта,
природы обязательств перед клиентами, законодательных и других ограничений,
характерных для организации. Таким образом, стратегическая инвестиционная
деятельность тесно связана с такими функциями управления организацией, как
маркетинг, инновация, производство и другими, что означает максимально широкую
компетентность финансового менеджера, отвечающего за разработку и реализацию
инвестиционной стратегии.
1.2Основные этапы инвестиционной стратегии предприятия
В условиях, когда финансовые ресурсы ограничены,
реализация потенциально интересных инвестиционных замыслов оказывается
невозможной. Финансовому менеджеру приходится решать проблему выбора - из
общего списка определять подмножество инвестиционных проектов, удовлетворяющих
критерию реализуемости и критерию максимизации стоимости бизнеса.
Следовательно, речь идет об оптимизации внутреннего инвестиционного портфеля
компании.
Исходной предпосылкой формирования внутренней инвестиционной стратегии
является общая стратегия финансового менеджмента предприятия. Инвестиционная
стратегия по отношению к стратегии финансового менеджмента носит подчиненный
характер и должна согласовываться с ней по целям и этапам практической
реализации.
Процесс разработки инвестиционной стратегии организации осуществляется по
этапам.
На первом этапе осуществляется анализ общей,
функциональной и инвестиционной стратегии организации, изучение инвестиционных
намерений и ожиданий на соответствие организационной миссии.
На втором этапе осуществляется сценка результативности
разработанной инвестиционной стратегии. Это предполагает контроль общих
ограничений на структуру портфеля предприятия.
Обобщением по данному этапу является определение
ограничений по инвестированию других сегментов рынка.
На третьем этапе осуществляется исследование факторов
внешней инвестиционной среды и конъюнктуры инвестиционного рынка, что
представляет собой тщательный учет и оценка влияния элементов макроокружения; а
также анализ внутренней составляющей.
При формировании инвестиционного портфеля предприятия,
необходимо обозначить особенности управления портфелем бизнеса за счет собственных
средств и посредством внешних источников финансирования. В случае формирования
внутренней инвестиционной стратегии, предприятия на первый план выступают
динамические прогнозы движения денежных и материальных потоков.
В случае принятия инвестиционных решений в рамках
предприятия руководству обычно доступна более детальная информация, в
частности, бизнес-планы с конкретными оценками будущих денежных потоков.
Это позволяет более точно поставить и решить задачи
оптимизации инвестиционной деятельности, обеспечив тем самым максимально
возможный рост стоимости бизнеса.
Итогом внутренней инвестиционной стратегии должно быть
удовлетворение интересов руководителей предприятия и инвесторов за счет
оптимально предельного значения инвестиционных возможностей и оптимально
предельного временного предпочтения инвесторов при равной ставке процента
совершенного рынка капиталов
В случае внешней - прогноз будущих потоков для
конкретного предприятия оказывается неизвестен участникам фондового рынка, и им
приходится ориентироваться на исторические сведения, надеясь, что будущее не
будет в той или иной степени повторять будущее.
Проведение анализа внешней среды представляет собой
сложный процесс: отслеживание элементов макроокружения: и определение
экспертным путем интегральной оценки совокупного влияния факторов
макроокружения по формуле:
где К i - коэффициент относительной важности влияния фактора i ;
А i - оценка влияния фактора i;=1- n - номер фактора. [Бясов К.Т.
Основные аспекты разработки инвестиционной стратегии организации // Финансовый
менеджмент - 2005 - № 4. - 90 с. - с.70]
Колебания во внешней среде могут не только решить результат реализации
инвестиционного проекта, но и резко изменить финансовое состояние фирмы.
Среди факторов внешнего окружения выделяют: процентные ставки, изменение
курса национальной валюты, товарные цены, цены акций, динамика инфляции, ставка
рефинансирования, налогообложение состояние финансовой системы, стабильность
законодательной базы, инвестиционный климат, величина входных барьеров и темп
роста рынка, величина инвестиций из централизованных источников, прибыльность
альтернативных вложений, уровень финансового риска, структура финансовых
институтов, показатель безработицы, реальная покупательная способность доходов,
система коммуникаций, структура продвижения товаров и т.п.
Анализ возможностей емкости рынка сбыта продукции
является важным моментом: его недооценка может привести к потере определенной
доли рынка сбыта, а переоценка - неэффективному использованию введенных по
проекту производственных мощностей.
Фирма, на которую оказывает влияние изменение финансовых цен, вовсе не
обязательно должна быть непосредственно связана с рынком, на котором меняются
эти цены.
Учет данных элементов, служащих основой для оценки эффективности
инвестиций и принятия решений, позволяет сделать вывод относительно доходности
основных сегментов рынка.
Внешняя среда неоднородна и дифференцирована по силе, периодичности,
характеру влияния на предлагаемый инвестиционный проект, а ее особая роль
заключается в предоставлении организации внешних финансовых ресурсов,
необходимых для поддержания внутреннего потенциала предприятия на должном
уровне.
На третьем этапе дается оценка сильных и слабых сторон внешней и
внутренней составляющих организации, непосредственным образом влияющих на его
инвестиционную деятельность.
А в условиях ограниченности финансовых ресурсов только системный анализ
внутренней и внешней составляющих позволяет объективно оценить возможности
предприятия в обеспечении соотношения областей потребительских нужд и реальных
капитальных ресурсов по их удовлетворению для получения прибыли.
Внутренняя составляющая заключает в себе экономический потенциал, дающий
возможность предприятию функционировать и выживать в определенном промежутке
времени.
Финансовые результаты деятельности предприятия определятся суммой
полученной прибыли и уровнем рентабельности.
Показатели рентабельности характеризуют эффективность инвестиционного
проекта в целом, доходность направлений ассортиментной политики, окупаемости
затрат и т.п. они наиболее полно, чем прибыль, отражают окончательные
результаты хозяйствования, потому что их величина показывает соотношение
эффекта с наличными и с использованными ресурсами.
Поэтому их применяют как инструмент в инвестиционной стратегии. Анализ
внутренней составляющей - это определение его финансового состояния предприятия
для более эффективного планирования и управления его деятельностью.
Результаты финансового анализа предназначены для внутренних
пользователей: они помогают определить наиболее эффективные пути улучшения
финансового положения предприятия. [Бясов К.Т. Основные аспекты разработки
инвестиционной стратегии организации // Финансовый менеджмент - 2005 - № 4. -
90 с. - с.68]
Основная цель финансового анализов в свете реализации
инвестиционной стратегии - получение небольшого числа ключевых параметров,
дающих объективную и точную картину финансового состояния предприятия, его
прибылей и убытков, изменений в структуре активов и пассивов, в расчетах с
дебиторами и кредиторами посредством горизонтального вертикального,
сравнительного анализа или анализа коэффициентов.
Основные вопросы, возникающие и учитываемые в ходе
проведения финансового анализа предприятия, заключаются в выявлении тенденций и
закономерностей развития предприятия на исследуемый период; определение «узких»
мест производства и степени их влияния на финансовое состояние: выявление
резервов, которые можно использовать для улучшения финансового состояния.
На сегодняшний день сформировалась широкая теоретическая база модельного
анализа бизнеса в стратегическом пространстве, позволяющая на основе
теоретических обобщений получать достоверные результаты: SNW-анализ (ThompsonA. andLinchR.). STEP-анализи Gap-анализ (David D. and Linch R.),
SWOT-анализ (Thompson A. and
Strickland A.) идругие.
Инвестиционная матрица SWOT
позволяет определить основные направления инвестиционной деятельности
предприятия в соответствии с динамикой рыночной ситуации и эффективно
распределять и вкладывать денежные средства.
Инвестиционный SWOT-анализ
заключается в анализе внутреннего финансового состояния организации,
прогнозировании предполагаемых возможностей или угроз со стороны инвестиционной
среды. (Таблица 1.Обобщенная матрица SWOT)
Матрица SWOT позволяет определить основные
направления инвестиционной стратегии предприятия в соответствии с динамикой
рыночной ситуации.
Четвертый шаг является результатом предыдущих этапов
инвестиционной стратегии, поскольку позволяет определить плановый горизонт
варианта капиталовложений.
Особая роль четвертого этапа выражается в определении
промежутка времени, наиболее удачного для реализации направлений инвестиционной
деятельности. То есть декларируется промежуток времени, на котором текущая
инвестиционная стратегия наиболее эффективна.
Считается, что плановый горизонт является основой для
оптимизации решений капиталовложений и формирования стратегических целей
инвестиционной деятельности организации.
Стратегическое управление инвестиционной деятельностью
носит целевой характер, то есть предусматривает постановку и достижение
определенных целей.
Табл. 1 Обобщенная матрица SWOT
|
Совокупность элементов внутренней и внешней среды
предприятия
|
Возможности
|
Угрозы
|
|
Баллы
|
Баллы
|
|
Сильные стороны
|
Баллы
|
|
|
|
Слабые стороны
|
Баллы
|
|
|
(Источник:Виханский О.С. Стратегическое управление. М.: Гардарика, 1999.
с. 120)
Будучи четко выраженными, стратегические
инвестиционные цели становятся мощным средством повышения эффективности
инвестиционной деятельности в долгосрочной перспективе, ее координации и
контроля, а также базой для принятия управленческих решений на всех стадиях
инвестиционного процесса.
Стратегические цели инвестиционной деятельности
организации представляют собой описанные в формализованном виде желаемые
параметры ее стратегической инвестиционной позиции, позволяющие направлять эту
деятельность в долгосрочной перспективе и оценивать ее результаты.
Формирование стратегических целей инвестиционной
деятельности должно отвечать определенным требованиям: цели должны быть
достижимыми, в них должен быть заключен вызов для организации, сотрудников и
финансового менеджмента, они не должны быть слишком легкими для достижения и не
должны быть нереалистичными, выходящими за предельно допустимые возможности
исполнителей. [Бясов К.Т. Основные аспекты разработки инвестиционной стратегии
организации // Финансовый менеджмент - 2005 - № 4. - с.70-71]
Хотя в основе разработки стратегических инвестиционных
целей лежит идеальное представление или желаемый образ стратегической
инвестиционной позиции организации, их необходимо сознательно ограничивать по
критерию реальной достижимости с учетом факторов внешней инвестиционной среды и
внутреннего инвестиционного потенциала: они должны иметь возможность для их
корректировки в соответствии с теми изменениями, которые могут произойти в
инвестиционной среде.
Финансовые менеджеры должны помнить об этом и быть
готовыми внести модификации в установленные цели с учетом новых требований,
выдвигаемых к организации со стороны внешней инвестиционной среды, общего экономического
климата или параметров внутреннего инвестиционного потенциала.
Цели должны быть измеримыми и сформулированы таким
образом, чтобы их можно было количественно измерить или оценить, была ли цель
достигнута. Цели должны быть конкретными и должны обладать необходимой
специфичностью, помогающей однозначно определить, в каком направлении должны
осуществляться действия.
Цель должна четко фиксировать, что необходимо получить
в результате инвестиционной деятельности, в какие сроки ее следует достичь и
кто будет ответственным лицом за основные элементы инвестиционного процесса.
Чем более конкретна цель, чем яснее намерения и ожидания, связанные с ее
достижением, тем легче выразить стратегию ее достижения. Цели должны быть
совместимыми, соответствовать миссии организации, краткосрочным инвестиционным
и другим функциональным целям.
Стратегические инвестиционные цели должны быть
приемлемыми для тех, кто их выполняет и на кого они направлены: сотрудников и
клиентов организации, местного сообщества и общества в целом, деловых
партнеров.
Стратегические цели инвестиционной деятельности
организации разрабатываются для реализации в долгосрочной перспективе главной
цели финансового менеджмента - максимизации благосостояния собственников
организации за счет получения доходности от вложенный средств, превышающей
инфляцию на определенный процент.[Бясов К.Т. Основные аспекты разработки
инвестиционной стратегии организации // Финансовый менеджмент - 2005 - № 4. -
с.70]
Многообразие целей в процессе широкомасштабной инвестиционной
деятельности предприятия позволяет осуществлять их классификацию по ряду
признаков.
Инструментом реализации целей предприятия является
инвестиционный Gap-анализ -
определение величины «щели», существующей между нынешней тенденцией развития
организации и потенциально возможными путями ее развития.
Инвестиционный Gap-анализ предполагает построение графика с
использованием двух важнейших инвестиционных (и экономических вообще)
переменных - деньги и время для проецирования нынешней тенденции развития в
будущем, а также определения способов ее оптимизации. (Рисунок 1. Графическая
модель инвестиционного Gap-анализа)
Основными переменными данной графической модели
являются показатели Т и S, то
есть период и ожидаемая инвестиционная отдача (эффект).
Показатель Т0 характеризует нынешний,
современный период развития организации, а линия а - тенденцию стратегического
развития организации, экстраполированную на основе предыдущих результатов
деятельности.
Линия «а» стремится к инвестиционному эффекту S0, стратегическому периоду Tt (Т) - как минимум, пятилетний
период, то есть к тому сроку, когда реализация стратегической инвестиционной
программы должна быть завершена.
Компания, функционирующая в условиях внутренней
инвестиционной закрытости, в лучшем случае обречена на относительно стабильное
положение на рынке.
Лидерства на рынке и роста компании можно добиться
только с помощью инвестиционных способов активизации (на графике обозначены
соответственно буквами с, d, e, f), соединяющих нынешнюю тенденцию развития организации с
потенциальным, возможным путем ее роста.
Линия b
отражает ту тенденцию, которая произойдет в случае инвестиционных вливаний в ту
или иную сферу деятельности организации.
При этом существует четыре основных направления
инвестиционной деятельности, которые позволяют эту тенденцию осуществить.
Четыре стратегических направления инвестиционной
деятельности различаются сразу по нескольким параметрам: длительность ожидания
базового инвестиционного эффекта; величина требуемых первоначальных и предполагаемых
последующих вложений; степень риска и вероятность достижения стратегической
инвестиционной цели и оптимальный ожидаемый инвестиционный эффект.
Рис. 1. Графическая модель инвестиционного Gap-анализа
(Источник:Гречишкина М.В. Выбор оптимального варианта инвестиций / ФМ,
2004 - № 3. - с.28-48)
Показатель Gap означает ту разницу, которую можно компенсировать четырьмя основными
способами.
Инвестиционная стратегия оптимизации (на графике
обозначена как с). В случае использования данного способа реализации стратегии
компания инвестирует дополнительные средства в оптимизацию ныне существующих
товаров (услуг).
Инвестиционная стратегия инновации (на графике
обозначена как d): компания
инвестирует средства в приобретение новых технологий, разработку новых товаров
(услуг).
Инвестиционная стратегия сегментирования (на графике
обозначена как е): компания инвестирует финансовые ресурсы с целью охвата новых
рынков.
Инвестиционная стратегия диверсификации (на графике
обозначена как f) наиболее
дорогостоящий и рискованный способ реализации стратегии, заключающийся во
вложении значительных средств в расширение объектов деятельности, номенклатуры
продукции и др.
Пятый этап представляет собой анализ стратегических
альтернатив и выбор стратегических направлений и форм инвестиционной
деятельности исходя из оптимизации инвестиционных проектов.
Он является наиболее ответственным в системе
управления реальными инвестициями, а качество управленческих решений
инвестиционного характера приобретает все большую актуальность.
От того, насколько объективно и всесторонне проведена
оценка инвестиционных проектов, зависят сроки возврата вложений капитала,
варианты альтернативного его использования, дополнительно генерируемый поток
прибыли предприятия в предстоящем периоде.
Принимая практические решения на этом этапе
инвестиционной стратегии, необходимо руководствоваться неформализованными
методами выбора альтернативных вариантов, вложения капитала, что далеко не
всегда приводит к желаемым результатам.
Оценка экономической эффективности инвестиционного
проекта наиболее успешна на основе комплексного многокритериального подхода к
выбору оптимального варианта инвестиций.
На сегодняшний день среди методов оценки эффективности
инвестиций наибольшее распространение получили следующие методы: период
окупаемости, коэффициент эффективности, чистый приведенный доход, индекс
рентабельности и внутренняя норма рентабельности инвестиций.
Существующие методы оценки эффективности
инвестиционных проектов обладают определенными недостатками, а существующая
методология оценки инвестиций предусматривает выбор наиболее эффективного лишь
на основе одного показателя.
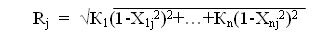
На этом этапе разработки внутренней инвестиционной
стратегии на основе алгоритм сравнительной рейтинговой оценки инвестиционной
привлекательности проектов посредством реализации операций возможен выбор
варианта капитальных вложений по одному показателю:
1. оформление результатов вариантов инвестиций в
виде матрицы (аij);
2. выделение по каждому показателю максимального
значения;
. стандартизация показателей в соответствии с
показателями эталонного проекта по формуле:
где Xij - стандартизированные показатели экономической эффективности
j-го проекта;
аij - исходные показатели экономической эффективности проекта.
4. подсчет рейтинговой оценки (Rj) предлагаемых проектов.
(3)
В этих условиях удается существенно уменьшить
неопределенность в принятии инвестиционного решения и обосновать наиболее
эффективный из предлагаемых проектов капиталовложений.
Тем не менее, окончательный выбор инвестиционного проекта
остается за лицом, контролирующим реализацию последующих этапов инвестиционной
стратегии.
Шестой этап инвестиционной стратегии есть определение
стратегических направлений формирования инвестиционных ресурсов.
В рамках политики формирования финансовых ресурсов
предприятия могут быть разработаны политика формирования собственных ресурсов и
политика привлечения заемных средств.
То есть, возможны следующие варианты финансирования:
за счет собственной прибыли, краткосрочного оптимального кредитования, собственных
скрытые резервы финансирования или расширение уставного капитала.
Разные схемы финансирования требуют решения владельцев
предприятия и часто «консервативная уверенность» может определить выбор
финансирования - лучше ниже доход, но меньше риск зависимости проекта от
внешних факторов.
Краткосрочное оптимизированное кредитование. Следует иметь в виду, что
привлечение заемных средств для реализации инвестиционных решений повышает
рентабельность собственных средств, вложенных в него (сказывается влияние
эффекта финансового рычага).
Эффект финансового рычага проявляется в том, что к норме прибыли на
собственные средства присоединяется прибыль, полученная благодаря использованию
заемных средств, несмотря на их плотность.
Любое бизнес-решение имеет внутреннюю норму рентабельности выше цены
заемных средств, выгоднее финансировать, используя кредитные ресурсы.
В свою очередь политика формирования собственных
финансовых ресурсов может включать в себя в качестве самостоятельных блоков
дивидендную политику, эмиссионную политику и т.п.
Каждый акционер сам выбирает, направить собственные
дивиденды на потребление либо вложить их в другой проект, который, возможно,
является предпочтительнее проекта, предложенного финансовым менеджером.
Предпочтение может определяться по многим факторам, не только финансовым.
При рассмотрении финансирования проекта из собственных
средств необходимо учитывать выбор акционеров и альтернативное вложение
прибыли. Эффективность и надежность проекта при использовании собственных
средств должны быть не хуже депозитного размещения прибыли.
Ключевая задача финансового менеджмента на этом этапе
- определение источников финансирования утвержденного проекта, а для этого
следует определить стоимость привлекаемого капитала.
Стоимость привлекаемого капитала - та сумма, которую
предприятие должно заплатить за его использование.
Стоимость кредитных ресурсов определяется средней
процентной ставкой в банках региона.
Возможно, при расчетах использование ставки
рефинансирования ЦБ, но эта цифра занижена и может привести к погрешностям в
расчетах. Средняя процентная ставка позволяет более точно учесть снижение
эффективности проекта от использования заемных средств.
Поэтому основным критерием при расширении капитала
является обеспечение доходности первоначального капитала не ниже уровня
доходности до принятия проекта.
Седьмой этап - формирование инвестиционной политики по
основным аспектам инвестиционной деятельности.
Он предполагает принятие и реализацию в рамках
инвестиционных возможностей тех проектов, которые бы обеспечивали норму прибыли
большую или равную ставке процента и обеспечение, тем самым, для инвесторов
максимальной суммарной отдачи на вложенный капитал
Заключительный этап - разработка системы
организационно-экономических мероприятий по обеспечению реализации
инвестиционной стратегии - предполагает подготовку заключительных документов,
подтверждающих официально источники получения средств, формирование дивидендной
политики: осуществление отчетности, структуры и сроков выплат доходов.
Сфера инвестиционного посредничества очень
чувствительна к фактору доверия со стороны инвесторов, поэтому соответствие
реальных результатов деятельности декларированным очень важно.
Практически обязательным условием является
декларирование точных предположений и обязательств по отчетности перед
инвесторами, содержащий, в первую очередь, подробную оценку эффективности
инвестиционной деятельности и обязательства об оперативном информировании, о
любых событиях, способных повлиять на достижение поставленных целей.
Таким образом, сфера инвестиционного развития занимает
особое место в общей системе управления финансами любого предприятия.
Поэтому тщательный учет возможных факторов внешнего и
внутреннего окружения на всех этапах инвестиционной стратегии необходим для
успешного исхода проекта капиталовложений, что укрепит общее финансовое
состояние предприятия.
Резюмируя вышеизложенное, можно утверждать, что в
современных условиях особенностями современной инвестиционной стратегии
предприятия являются: самостоятельность в выборе направлений и формирования
инвестиционной стратегии, учет условий неопределенности инвестиционной среды,
определение уровня эффективности инвестиционных проектов, обеспечение
минимизации уровня риска по инвестиционным проектам, обеспечение ликвидности
инвестиций, определение источников финансирования инвестиционных проектов,
формирование инвестиционного портфеля, обеспечение путей ускорения реализации
бизнес-решений (Приложение 1).
1.3 Критерии эффективности инвестиционной деятельности
предприятия
Отмечая стратегическую роль инвестиций в развитии
предприятия, констатируем, что важнейшим этапом внутренней инвестиционной
стратегии является задача эффективного управления инвестиционной деятельностью
предприятия.
Успешное развитие предприятия в условиях рыночной
экономики связано с процессом инвестирования: долгосрочного или краткосрочного.
Занимаясь финансовым управлением и оценивая деньги как
главный ресурс рыночной экономики, следует отдавать себе отчет в том, что все,
что используется в реальной жизни и создается реальным производством с помощью
реальных активов: зданий и сооружений, машин и оборудования, технологий и
ноу-хау.
Именно обновление и улучшение реальных активов
является основой развития предприятия.
Для раскрытия существа этой задачи необходимо ответить
на два вопроса, что такое инвестиционная деятельность, и что такое
эффективнаяинвестиционная деятельность.
Инвестиционная деятельность включает в себя две
составляющие.
С одной стороны - это долгосрочные вложения финансовых
ресурсов с целью их преумножения, а с другой - это поиск и получение финансовый
ресурсов для инвестиций.
В общем случае долгосрочные финансовые вложения бывают
двух видов: вложения в финансовые активы и вложения в реальные активы. Говоря о
производственных предприятиях, под инвестиционной деятельностью понимаются
финансовые вложения в реальные активы, относя вложения в сторонние финансовые
активы к финансовой деятельности.
Инвестиционная деятельность производственного
предприятия - это деятельность, связанная с поиском и приобретением финансовых
средств и вложением их в реальные активы.
К определению понятия эффективности инвестиционной
деятельности можно подойти с трех позиций: с позиции примитивной рыночной
аналогии, с позиции общих научных понятий и позиции ориентации на интересы
собственников.
Эти подходы дополняют друг друга. (Таблица 2)
Суть «примитивной рыночной аналогии»заключается а
известной фразе: «Купить подешевле, продать подороже». Именно этим и занимаются
банки, предлагая финансовые ресурсы.
Банки предоставляют деньги в основном тем, кто умеет
пользоваться известной формулой Д - Т - Д', то есть реальному сектору
экономики.
Но реальный сектор может купить деньги и у других
продавцов подешевле.
Табл. 2 Подходы к оценке эффективности
|
Примитивная рыночная экономика
|
Классическая теория
|
Интересы собственников
|
|
Купить подешевле, продать подороже
|
Максимизация результатов и минимизация затрат
|
Рост благосостояния акционеров
|
|
Купить финансовые ресурсы дешевле их стоимости Купить
реальные активы дешевле их стоимости.
|
Максимизация отношения результатов и затрат
|
Фирма - эта инструмент для делания денег из денег
Максимизация отношения Д'/Д
|
|
Как оценить цену и стоимость финансовых и реальных активов?
|
Как оценить затраты и результаты инвестиционных проектов?
|
Как оценить величины Д и Д'?
|
|
Как выбрать из возможных проектов лучшие?
|
|
Критерии и методы оценки и сравнения инвестиционных
проектов
|
(Источник: Серов В.М. Инвестиционный менеджмент. - М.:
ИНФРА-М, 2000.- с. 230)
Другой задачей примитивной рыночной аналогии является
- продать подороже.
В плоскости реальных инвестиций она превращается в
задачу покупки активов, стоимость которых выше, чем их цена.
Таким образом, подход с позиций примитивной рыночной
аналогии ставит задачи определения цены и стоимости реальных и финансовых
активов.
Если с ценой дело обстоит более или менее просто, то
проблема стоимости одна из центральных проблем экономики вообще и финансовой
экономики в частности.
С точки зрения научного подхода, эффективность - это
соотношение затрат и результатов бизнес-решений.
С точки зрения научного подхода, эффективность - это
соотношение затрат и результатов инвестиционных проектов.
Общая рентабельность (рентабельность продаж), % определяется как
отношение прибыли к выручке от реализации продукции.
Рентабельность собственного капитала (ROE), % - определяется как
отношение чистой прибыли к средней величине собственного капитала организации.
Рентабельность собственного капитала является важнейшим для оценки
инвестиционной привлекательности компании в долгосрочном плане.
Он показывает, какую прибыль приносит каждый рубль, вложенный в бизнес
компании её владельцами.
Отправным пунктом для анализа эффективности работы предприятия может
служить сравнение ROE с величиной банковской ставки.
Если отношение чистой прибыли к собственному капиталу ниже или равно
доходности банковского депозита, то бизнес компании не является эффективным.
Коэффициент ROE часто применяется для сравнения однотипных компаний,
относящихся к одной отрасли.
Сопоставление эффективности использования собственного капитала
показывает качество работы управленческого аппарата.можно представить в
следующем виде:
(7)
Правильное использование заёмных средств позволяет увеличить доходы
акционеров за счёт эффекта финансового рычага.
Такой эффект достигается за счёт того, что прибыль, получаемая от
деятельности компании, значительно выше ставки кредита.
По величине финансового рычага можно определить, как используются
привлечённые средства - для развития производства либо для латания дыр в
бюджете.
Очевидно, что при хорошем управлении компанией значение этого показателя
должно быть больше единицы.
С другой стороны, слишком высокое значение финансового рычага тоже плохо,
так как оно может быть сопряжено с высоким риском, поскольку указывает на
высокую долю заёмных средств в структуре активов.
Чем выше эта доля, тем больше вероятность того, что компания вообще
останется без чистой прибыли, если вдруг столкнётся с какими-нибудь даже
незначительными трудностями.
Рентабельность акционерного капитала, % - определяется как отношение
чистой прибыли к величине уставного капитала, отраженного в пассиве баланса.
Рентабельность оборотных активов, % - прибыли (прибыли после
налогообложения) к средней величине оборотных активов предприятия.Формула
расчета:
Рентабельность всех активов (имущества), % - определяется как отношение
чистой прибыли (прибыли после налогообложения) к всем активам предприятия за
вычетом собственных акций, выкупленных у акционеров и задолженностью участников
(учредителей) по взносам в уставной капитал.
Анализируя подход с позиции интересов собственников
следует отметить, что эффективный собственник отличается от неэффективного тем,
что умеет конкретизировать свой собственный интерес.
В нормальной рыночной экономике деловая игра
осуществляется по цепочке Д - ПР - П - Т - Д', то есть, через развитие
реального сектора экономики и в своих частнособственнических устремлениях
собственник полезен обществу.
При этом совершенно не важно, о каком собственнике
идет речь, то ли о единоличном владельце компании, то ли о владельце всего
одной акции компании. И для того и для другого ценность фирмы, как инструмента
делания денег определяется отношением Д'/Д.
Таким образом, подход с позиции интересов собственника
позволяет сформулировать цель финансового управления предприятием - увеличение
ценности фирмы альтернативными способами.
Решение проблемы выбора наилучших инвестиционных
решений связано с определением меры и способа их сравнения.
В решении этой задачи понятие ценности фирмы и умение
измерять стоимость денег являются важнейшими моментами.
Техника оценки стоимости денег во времени позволяет
решить ряд важных задач стратегического анализа альтернативных возможностей
вложения финансовых средств в реализацию инвестиционных решений.
На первом этапе определяется современная стоимость
денежного потока и его будущее значение: равно или неравнозначна величина
конечных значений инвестирования в реальный бизнес вложениям в финансовые
инструменты равна.
В процессе расчета необходимо учитывать и колебание
нормы прибыльности финансового вложения денег.
С ее увеличением инвестировать бизнес невыгодно, так
как имеет место запаздывание сроков начала отдачи: инвестирование денег в
финансовые инструменты начинает приносить доход сразу же, а инвестированные
деньги в реальные активы позволяет получать только к концу первого года
(Приложение 2).
Основой стратегического развития предприятия выступает
инвестиционная деятельность, позволяющая обновлять ассортиментпроизводимой
продукции и технологий ее производства, и повышать, тем самым, устойчивость
фирмы на рынке и ее ценность.
Рассматривая проблему оценки эффективности
инвестиционных решений, следует учитывать, что инвестиции - это процессы,
требующие значительных затрат времени и денег, которых всегда не хватает.
Поэтому сравнение стоимости денежных средств в начале
их инвестирования со стоимостью при их возврате в виде будущей прибыли имеет
большое значение, так как инвестирование представляет собой обычно длительный
процесс.
Эта особенность делает обязательным первоочередное
рассмотрение двух исходных вопросов инвестиционного управления: анализ
альтернативных возможностей использования инвестиционных ресурсов и оценка их
альтернативной стоимости и учет изменения стоимости денег во времени.
Подводя итоги первой главы, отметим следующее:
во-первых, разработка внутренней инвестиционной стратегии - сложный инструмент
управления предприятием, во-вторых, необходимо получение объективной
количественной оценки влияния факторов внешнего и внутреннего окружения на
результативность инвестиционной стратегии, в-третьих, итогом инвестиционной
стратегии должно быть максимальное удовлетворение интересов руководителей
предприятия и инвесторов за счет оптимально предельного значения инвестиционных
возможностей и оптимально предельного временного предпочтения инвесторов при
равной ставке процента совершенного рынка капиталов.
Стратегическая инвестиционная деятельность тесно
связана с такими функциями управления организацией, как маркетинг, инновация,
производство и другими, что означает максимально широкую компетентность
финансового менеджера, отвечающего за разработку и реализацию инвестиционной
стратегии.
II. Анализ деятельности предприятия ОАО
"Яхрома-Лада"как основа для принятия инвестиционных решений
2.1
Оценка финансового состояния ОАО "Яхрома-Лада"
ОАО "Яхрома-Лада" является уполномоченным
представителем ОАО "АВТОВАЗ", принимающим решения по качеству
автомобилей на территории Москвы и Московской области и ведущим предприятием по
оказанию гарантийных услуг.Адрес Шлюзовой пер., 1, г.Яхрома, Дмитровский р-н,
Московская обл., РФ, 141840
E-mail ladasergey@yandex.ru
Телефоны tel.: +7 (095) 993-80-80, +7 (095) 993-99-85; fax: +7
(09622) 5-24-24;
ОАО "Яхрома-Лада" оказывает все виды услуг
по ремонту автомобилей ВАЗ:
полная компьютерная диагностика и ремонт
электрооборудования;
промывка и ремонт инжекторов;
ремонт и диагностика ходовой, включая сход-развал;
ремонт ДВС, в том числе капитальный, с расточкой и
хонинговкой блока цилиндров и шлифовкой коленвала;
кузовной ремонт любой сложности с применением стапеля;
окраска автомобилей с использованием покрасочных
камер;
компьютерный подбор краски DU PONT.
Для удобства покупателей новых автомобилей ВАЗ мы
предлагаем широкий спектр услуг:
различные программы кредитования;
обмен подержанных автомобилей на новые (TRADE-IN);
продажа комиссионных автомобилей:
автострахование;
предпродажная подготовка;
установка дополнительного оборудования;
антикоррозионная обработка кузова.
ОАО "Яхрома-Лада" приглашает к
сотрудничеству организации, эксплуатирующие автомобили ВАЗ. Гарантирует высокое
качество работ, оперативность, ответственность, индивидуальный подход к каждому
клиенту.
Предусмотрена система бонусов и скидок.
Предприятие является юридическим лицом с момента его государственной
регистрации. ОАО "Яхрома-Лада" по своей организационно-правовой форме
является открытым акционерным обществом.
Акционерное общество открытого типа представляет собой общество с
ограниченной ответственностью, капитал которого образуется путем
распространения акций в форме открытой подписки или свободной продажи на
открытом рынке ценных бумаг. Для акционерных обществ характерна особая система
управления.
Высшим органом считается общее собрание акционеров, в котором могут
принимать участие все владельцы акций. У них есть право голоса на собрании с
учетом имеющегося у них количества голосующих акций по принципу: одна акция .
один голос.
В промежутках между собраниями действует избранное им правление.
Непосредственное управление обществом осуществляет совет директоров, который, в
свою очередь, может нанимать менеджеров.
Таким образом, в акционерном обществе существует разделение между его
собственниками-акционерами и управляющими, благодаря чему множество
собственников не нарушает принципа единоначалия.
Все это дает акционерным обществам значительные преимущества.
Ограниченная материальная ответственность позволяет привлекать капитал
множества людей и тем самым организовывать крупномасштабные производства со
всеми его положительными эффектами на масштабе, возможностью использовать
новейшие достижения технического прогресса и т.п.
Причем при необходимости есть возможность выпуска дополнительного
количества акций и тем самым увеличения капитала.
Акционерное общество обладает высокой устойчивостью, поскольку выбытие
каких-то акционеров из общества, смена собственников вследствие передачи акций
из одних рук в другие, как правило, не отражаются на его работе. К тому же
общества стремятся привлекать к его управлению высококвалифицированных
специалистов в этом деле.
ОАО "Яхрома-Лада", являясь коммерческой
организацией, основной целью преследует извлечение прибыли. Как юридическое
лицо, предприятие самостоятельно осуществляет оперативный, бухгалтерский и
статистический учет и отчетность в установленном действующим законодательством
Российской Федерации порядке.
Основной целью деятельности Общества является
получение прибыли.
Линейная плоская структура имеет мало уровней и
рассчитана на большое число работников, подчиняющихся одному руководителю. Она
достаточно проста по форме.
На рассматриваемом предприятии используется линейно-функциональная
структура управления, где за каждым заместителем директора закреплены
определенные функции.
Данная структура имеет высокую норму управляемости, т.е. небольшое число
сотрудников подчиняется одному руководителю. Все изменения в структуре
управления организации исходят непосредственно от директора.
Директору непосредственно подчиняется отдел администрации, куда входят
секретариат, руководитель службы внутреннего контроля, руководитель службы
безопасности, юридическое управление.
Кроме того, ему подчиняются по функциональному признаку главный
бухгалтер, заместитель директора.
Главный бухгалтер осуществляет организацию бухгалтерского учета хозяйственно-финансовой
деятельности и контроль за экономным использованием материальных, трудовых и
финансовых ресурсов.
Формирует в соответствии с законодательством о бухгалтерском учете
учетную политику. Обеспечивает рациональную организацию бухгалтерского учета и
отчетности. Осуществляет контроль за соблюдением порядка оформления первичных и
бухгалтерских документов, расчетов, и платежных обязательств, расходования
фонда заработной платы.
Главный бухгалтер осуществляет контроль за бухгалтерской отчетностью, контролирует
движение денежных средств. Несет ответственность за своевременную отчетность
перед государственными и налоговыми органами, а также различными бюджетными и
не бюджетными фондами.
Заместитель директора осуществляет функцию управления по работе с клиентами,
новыми продуктами и маркетингового отдела, осуществляет функцию руководителя
службы внутреннего контроля.
Табл. 3 Состав, структура и динамика балансовой прибыли ОАО
"Яхрома-Лада"
|
Состав балансовой прибыли
|
2008 год
|
2009 год
|
Изменение 2008-2009
|
2010 год
|
Изменение 2009-2010
|
|
Сумма, тыс. руб.
|
Структура%
|
Сумма, тыс. руб.
|
Структура,%
|
тыс. руб.
|
%
|
Сумма, тыс. руб.
|
Структура,%
|
тыс. руб.
|
%
|
1 607
|
100,00
|
4 868
|
100,00
|
3 261
|
202,92
|
2 220
|
100
|
-2 648
|
-54,40
|
|
2.Прибыль от продаж
|
1 122
|
143,23
|
4 400
|
110,64
|
3 278
|
292,16
|
1 700
|
130,59
|
-2 700
|
-61,36
|
Управление делами на предприятии распределены между директором, главным
бухгалтером и начальником производства. Перед каждым работником ставятся
конкретные задачи, за выполнение которых они несут ответственность.
Политика оплаты труда работников строится на зависимости размера
заработка от объемов производства.
На предприятии ОАО "Яхрома-Лада" наблюдается рост
нераспределенной прибыли, в 2009 году по отношению к 2009 году увеличение в
размере 100 тыс. руб., или на 25%, в 2010 году по отношению к 2009 году
увеличение в размере 10 тыс. руб., или на 5,5%.
Как видно из таблицы 2 на предприятии в 2009 году наблюдается увеличение
балансовой прибыли, и прибыли от продаж.
Разница между прочими доходами и расходами уменьшается в 2009 году, а в
2010 году наблюдается увеличение.
Балансовая прибыль в 2010 году снизилась, так же уменьшилась и прибыль от
продаж на 2700 тыс. руб.
Табл. 4 Анализ чистой прибыли ОАО "Яхрома-Лада"
|
Показатели
|
2008 год
|
2009 год
|
2010 год
|
Изменение 2010 - 2009
|
Изменение 2009 - 2008
|
|
|
|
|
тыс. руб.
|
%
|
тыс. руб.
|
%
|
|
1. Балансовая прибыль
|
1 607
|
4 868
|
2220
|
-2 648
|
-45,60
|
3 261
|
202,92
|
|
2. Налог на прибыль
|
386
|
1168
|
444
|
-724
|
-38,01
|
782
|
202,59
|
|
3. Налоговые санкции
|
-19
|
-23
|
0
|
23,00
|
-100,00
|
-4
|
21,05
|
|
4. Чистая прибыль
|
1 240
|
3 723
|
1 776
|
-1 947
|
-47,70
|
2 483
|
200,24
|
Таблица 4 наглядно показывает динамику снижения чистой прибыли
предприятия, если в 2009 году по отношению к 2008 чистая прибыль составляла 2
483 тыс. руб. или 200,24%, то в 2010 году по отношению к 2009 году она
снизилась на 1 947 тыс. руб. или на47,70%.
В процессе анализа изучается динамика, выполнение плана прибыли от
реализации продукции и определяются факторы изменения ее суммы.
Табл. 5. Формирование прибыли от реализации ОАО "Яхрома-Лада"
|
Показатели
|
2008 год
|
2009 год
|
изменение 2008-2009
|
2008 год
|
изменение 2009-2010
|
|
|
|
тыс. руб.
|
%
|
|
тыс. руб.
|
%
|
|
1. Выручка от продажи товаров, работ, услуг
|
20 125
|
28 600
|
8 475
|
42,11
|
28 900
|
300
|
1,05
|
|
2. Себестоимость
|
19 025
|
24 200
|
5 175
|
27,20
|
27 200
|
3 000
|
12,40
|
|
3. Полная себестоимость
|
19 033
|
24 200
|
5 167
|
27,15
|
27 200
|
3 000
|
12,40
|
|
4. Прибыль от реализации продукции
|
1 092
|
4 400
|
3 308
|
302,93
|
1 700
|
-2 700
|
-61,36
|
Из представленной таблицы 5 видно что, за анализируемый период
наблюдается рост выручки, 2008 год - 20125 тыс. руб., 2009 - год 28600 тыс.
руб., 2010 - год 28900 тыс. руб. Прибыль от продаж снизилась, так как
себестоимость увеличилась 2008 - год 19025 тыс. руб., 2009 год - 24200 тыс.
руб., 2010 год - 27200 тыс. руб.
Табл. 6. Факторный анализ прибыли от продаж ОАО "Яхрома-Лада"
|
Показатели
|
Значение (2008-2009), тыс. руб.
|
Значение (2009-2010), тыс. руб.
|
Значение (2008-2010), тыс. руб.
|
|
1. Общее изменение прибыли
|
3 308,00
|
-2 700
|
608
|
|
2. Коэффициент изменения объема:
|
1,421
|
1,01
|
1,44
|
|
3. Влияние изменения объема на прибыль
|
296,45
|
545,45
|
468,57
|
|
4. Коэффициент изменения себестоимости
|
1,271
|
1,124
|
1,429
|
|
5. Влияние изменения структуры
|
163,41
|
-499,30
|
7,57
|
|
6.Влияние изменения удельных затрат
|
2 848,14
|
-2 746,15
|
131,86
|
Из представленной таблицы 6 видно что, за 2009 год было получено прибыли
на 3 308 тыс. руб. больше чем в 2008. Факторный анализ показал следующее:
изменение объёма увеличило прибыль на 296,45 тыс. руб.;
изменение структуры привело к увеличению прибыли на 163,41 тыс. руб.;
удельные затраты наибольшим образом повлияли на увеличение прибыли от
продаж (на 2 848,14 тыс. руб.).
В 2010 году наблюдается уменьшение прибыли от продаж на 2 700 тыс. руб.
На данное уменьшение повлияли следующие факторы:
изменение объёма увеличило прибыль на 545,45 тыс. руб.;
изменение структуры привело к уменьшению прибыли на 499,30 тыс. руб.;
удельные затраты наибольшим образом повлияли на уменьшение прибыли от
продаж (на 2 746,15 тыс. руб.).
По отношению к 2009 году прибыль от продаж в 2010 году увеличилась, а по
отношению к 2008 году прибыль от продаж так же продолжает увеличиваться (на 608
тыс. руб.).
Факторный анализ показал следующее:
изменение объёма увеличило прибыль на 468,57 тыс. руб.;
изменение структуры привело к увеличению прибыли на 7,57 тыс. руб.;
удельные затраты наибольшим образом повлияли на увеличение прибыли от
продаж (на 131,86 тыс. руб.).
Таким образом, наибольшее влияние на изменение прибыли от продаж оказало
изменение удельных затрат, следующим по значимости идёт влияние изменения
объёма и самым малозначительным фактором является изменение структуры.
Для обобщения анализа относительно управления собственными источниками
финансирования, рассчитаем величину операционного и финансового рычагов.
Проанализируем величину операционного и финансового рычагов в течение
2008 - 2010г.г.
Табл. 7. Расчет величины операционного рычага ОАО "Яхрома-Лада"
|
Показатели
|
Значение
|
|
1.Операционный рычаг (2008 г.)
|
1, 007
|
|
2.Операционный рычаг (2009 г.)
|
1
|
|
3.Операционный рычаг (2010 г.)
|
1
|
Для начала рассчитаем величину операционного рычага. Исходя из расчетов,
представленных в таблице 7, можно сделать вывод о том, что для фирмы сила
воздействия операционного рычага составила в 2008 году 1, в 2009 году 1, в 2010
году 1, что говорит об устойчивости этого показателя в динамике.
Эффект операционного рычага состоит в том, что любое изменение выручки от
реализации приводит к еще более сильному изменению прибыли. Действие данного
эффекта связано с непропорциональным воздействием условно - постоянных и
условно - переменных затрат на финансовый результат при изменении объема
производства и реализации продукции. Чем выше доля условно - постоянных
расходов в себестоимости продукции, тем сильнее воздействие операционного
рычага. И, наоборот, при росте объема продаж доля условно - постоянных расходов
в себестоимости падает, и воздействие операционного рычага уменьшается.
Таким образом, следует отметить, что любое изменение выручки предприятия
ОАО "Яхрома-Лада" влечет за собой изменение прибыли в пропорциях
1:1,007 в 2008 году, 1:1 в 2009 году, 1:1 в 2010 году. Так, увеличение выручки
на 1% привело бы к увеличению прибыли 1%*1=1 в 2008 году, 1% в 2009 году, 1% в
2010 году (табл.8).
Далее рассчитаем величину финансового рычага.
Табл. 8 Расчет величины финансового рычага ОАО "Яхрома-Лада"
|
Показатели
|
Значение
|
|
1.Финансовый рычаг (2008 г.)
|
13
|
|
2.Финансовый рычаг (2009 г.)
|
19,7
|
|
3.Финансовый рычаг (2010 г.)
|
8,26
|
В силу того, что предприятие осуществляет свою деятельность без
привлечения заемных средств, финансовый рычаг имеет высокое значение, особенно
в 2009 году. Далее определим, имеется ли на предприятии собственный оборотный
капитал - индикатор финансовой устойчивости и платежеспособности.
Табл. 9Анализ показателей финансовой устойчивости ОАО
"Яхрома-Лада"
|
Наименование коэффициентов
|
2008 год
|
2009 год
|
Изменение (2009-2008)
|
2010 год
|
Изменение (2010-2009)
|
|
1. Коэффициент обеспеченности запасов собственными
источниками К≥0,6-0,8
|
-6,54
|
-1,55
|
5,00
|
-1,07
|
0,48
|
|
2. Коэффициент маневренности собственного капитала К≥0,5
|
-501,67
|
-32,58
|
469,09
|
-13,82
|
18,76
|
|
3. Коэффициент прогноза банкротства
|
-0,87
|
-0,49
|
0,38
|
-0,33
|
0,17
|
Как видно из таблицы 9, все коэффициенты значительно отличаются от
рекомендованных значений. Наиболее сильно с рекомендованным значением разнится
коэффициент маневренности собственного капитала 2008 год -501,67; 2009 год
-32,58; 2010 год -13,82, при рекомендованном значении > 0,5. Коэффициент
прогноза банкротства имеет отрицательное значение, что означает о высокой
вероятности банкротства.
Табл. 10. Расчет величины финансово-эксплуатационных потребностей
|
Наименование показателя
|
Значение, тыс. руб.
|
|
1.Финансово - эксплуатационная потребность (2008 г.)
|
- 3355
|
|
2.Финансово - эксплуатационная потребность (2009 г.)
|
- 3265
|
|
3.Финансово - эксплуатационная потребность (2010 г.)
|
- 3154
|
Далее проанализируем величину финансово - эксплуатационных потребностей,
отражающих финансовые потребности предприятия, обусловленные режимом
формирования производственных запасов и платежей по счетам, что наиболее важно
для деятельности предприятия.
Проведя анализ финансово - эксплуатационных потребностей ОАО
"Яхрома-Лада", можно заметить, что за весь рассматриваемый период
данная величина меньше нуля, что свидетельствует об отсутствии временного
разрыва между поступлением и оттоком средств, об отвлечении финансовых средств
предприятия в производственные запасы и дебиторскую задолженность.
Рис. 2. Динамика финансово - эксплуатационных потребностей ОАО
"Яхрома-Лада"
Проанализируем показатель запаса финансовой прочности, так как он выступает
в качестве инструмента анализа динамики снижения выручки от реализации
продукции.
Расчет следует начать с анализа показателя порога рентабельности, который
показывает величину выручки от реализации продукции, при которой доходы от
продаж в точности покрывают совокупные расходы на ее производство и реализацию,
обеспечивая тем самым нулевую прибыль.
Табл.11 Расчет Порога рентабельности ОАО "Яхрома-Лада"
|
Наименование показателя
|
Значение, руб.
|
|
1.Порог рентабельности (2008 г.)
|
0, 007
|
|
2.Порог рентабельности (2009 г.)
|
0
|
|
3.Порог рентабельности (2010 г.)
|
0
|
Теперь рассчитаем величину запаса финансовой прочности.
Табл. 12Расчет запаса финансовой прочности ОАО "Яхрома-Лада"
|
Наименование показателя
|
Значение, руб.
|
|
1.Запас финансовой прочности (2008 г.)
|
20 124, 99
|
|
2.Запас финансовой прочности (2009 г.)
|
28 600
|
|
3.Запас финансовой прочности (2010 г.)
|
28 900
|
Анализ показателя запаса финансовой прочности говорит о том, что его
величина возрастает в динамике, следовательно, положение предприятия становится
все более устойчивым и тем легче оно сможет выйти из ситуации, в случаях
обострения конкуренции на рынке или падения спроса на продукцию и оказываемые
услуги, так как в этих условиях сможет выйти на сокращение объемов продаж или
понижение цен на продукцию и будет продолжать получать прибыль. Далее
проанализируем показатели рентабельности, из представленной таблицы видно
(таблица 13), что все показатели рентабельности, кроме рентабельности всего
капитала снижаются.
Табл. 13 Показатели рентабельности ОАО "Яхрома-Лада"
|
Показатели
|
2008 год
|
2009 год
|
2010 год
|
Изменение 2009-2008
|
Изменение 2010-2009
|
Изменение 2010-2008
|
|
1
|
2
|
3
|
4
|
5
|
6
|
7
|
|
1. Прибыль от продаж, тыс. руб.
|
1122
|
4400
|
1700
|
3278,0
|
-2700
|
578
|
|
2. Прибыль до налогообложения, тыс. руб.
|
1607
|
4868
|
2220
|
3261,0
|
-2648
|
613
|
|
3.Чистая прибыль (прибыль после налогообложения), тыс. руб.
|
1286
|
3894
|
1776
|
2608
|
-2118
|
490
|
|
4. Среднегодовая стоимость всего капитала, тыс. руб.
|
4804
|
6578
|
6642
|
1774,0
|
65
|
1839
|
|
5. Среднегодовая стоимость основных средств, тыс. руб.
|
3002
|
2750
|
2402
|
-252,0
|
-348
|
-600
|
|
1
|
2
|
3
|
4
|
5
|
6
|
7
|
|
6. Среднегодовая величина собственного капитала, тыс. руб.
|
51
|
145
|
200
|
94,5
|
55
|
150
|
|
7. Среднегодовая стоимость инвестиционного капитала, тыс.
руб.
|
51
|
145
|
200
|
94,5
|
55
|
150
|
|
8. Рентабельность продаж, %
|
0,558
|
1,538
|
0,588
|
0,98
|
-0,95
|
0
|
|
9. Рентабельность всего капитала, %
|
1,345
|
3,401
|
1,342
|
2,056
|
-2,35
|
0,003
|
|
10. Рентабельность основных средств, %
|
3,35
|
4,17
|
2,42
|
0,82
|
-1,75
|
-0,93
|
|
11. Рентабельность собственного капитала, %
|
11,7
|
12,55
|
5,75
|
0,85
|
-6,8
|
-5,95
|
|
12. Рентабельность инвестиционного (перманентного)
капитала, %
|
11,7
|
12,55
|
5,75
|
0,85
|
-6,8
|
Наибольшее снижение наблюдается у показателя рентабельности собственного
капитала. Снижение произошло из-за снижения чистой прибыли.
Рис. 3. Динамика изменения показателей рентабельности ОАО
"Яхрома-Лада"
Коэффициенты (показатели) деловой активности позволяют оценить
эффективность использования собственных средств предприятия и выражаются в
оценке оборачиваемости активов предприятия.
Из представленной таблицы 14 можно проследить, что происходит снижение
каждого из коэффициентов.
Коэффициент оборачиваемости оборотных активов в 2008 году составлял
(11,23); в 2009 году (7,47); а в 2010 году (6,82).
Коэффициент оборачиваемости дебиторской задолженности в 2008 году
составлял (40,25); в 2009 году (19,13); а в 2010 году (15,31).
Средний срок оборота кредиторской задолженности, дней в 2008 году
составлял (86); в 2009 году (82); а в 2010 году (81).
Это свидетельствует об ухудшении деловой активности предприятия.
Динамика изменения показана на рис.4.
Табл. 14 Показатели деловой активности ОАО "Яхрома-Лада"
|
Показатели
|
2008 год
|
2009 год
|
Изменение
|
2010 год
|
Изменение
|
|
1. Выручка от продаж, тыс. руб.
|
20125
|
28600
|
8475
|
28900
|
300
|
|
2. Среднегодовая стоимость всего капитала, тыс. руб.
|
4804
|
6578
|
1774
|
6642
|
65
|
|
3. Среднегодовая стоимость основных средств, тыс. руб.
|
3002
|
2750
|
-252
|
2402
|
-348
|
|
4. Среднегодовая стоимость оборотных активов, тыс. руб.
|
1793
|
3828
|
2035
|
4240
|
413
|
|
5. Среднегодовая стоимость материальных оборотных активов,
тыс. руб.
|
1230
|
2265
|
1035
|
2340
|
75
|
|
6. Среднегодовая стоимость дебиторской задолженности, тыс.
руб.
|
500
|
1495
|
995
|
1888
|
393
|
|
7. Среднегодовая стоимость кредиторской задолженности, тыс.
руб.
|
4753
|
6433
|
1679,5
|
6442
|
10
|
|
8. Средняя величина собственных средств, тыс. руб.
|
48
|
98
|
50
|
103
|
5
|
|
9. Коэффициент общей оборачиваемости капитала
|
4,19
|
4,35
|
0,159
|
4,35
|
0
|
|
10. Коэффициент оборачиваемости оборотных активов
|
11,23
|
7,47
|
-3,755
|
6,82
|
-1
|
|
11. Коэффициент оборачиваемости материальных оборотных
активов
|
16,36
|
12,63
|
-3,735
|
12,35
|
0
|
|
12. Коэффициент оборачиваемости дебиторской задолженности
|
40,25
|
19,13
|
-21,120
|
15,31
|
-4
|
|
13. Средний срок оборота дебиторской задолженности, дней
|
9
|
19
|
10,011
|
24
|
5
|
|
14. Коэффициент оборачиваемости кредиторской задолженности
|
4,23
|
4,45
|
0,212
|
4,49
|
0
|
|
15. Средний срок оборота кредиторской задолженности, дней
|
86
|
82
|
-4,110
|
81
|
-1
|
В первую очередь это обусловлено «утяжелением» структуры оборотных
активов предприятия. Во-вторых, это связано с ухудшением платежной дисциплины
(рост дебиторской задолженности и соответственно, кредиторской задолженности).
Рис.4. Показатели деловой активности ОАО "Яхрома-Лада"
Далее рассмотрим величины натурального, ценового ливериджей.
Таким образом, можно сделать вывод о том, что управление финансовыми
ресурсами внутри предприятия ОАО "Яхрома-Лада" ведется не достаточно
успешно, основанием того является ослабление финансовой устойчивости, снижение
некоторых показателей рентабельности и ухудшении деловой активности предприятия.
Табл. 15 Анализ натурального и ценового левериджей ОАО
"Яхрома-Лада"
|
Наименование показателя
|
Среднее значение
|
2008 г.
|
2009 г.
|
2010 г.
|
|
1.Леверидж натуральный
|
0, 8
|
0, 7
|
0, 9
|
0, 8
|
|
2.Леверидж ценовой
|
10, 5
|
12, 5
|
5, 9
|
13
|
В силу того, что у предприятия ОАО "Яхрома-Лада" наблюдается
разрыв между приобретением ресурсов и продажей товаров, то возникает
потребность в привлечении внешних источников.
Следующим этапом анализа, является оценка управления заемными средствами.
Табл. 16. Анализ относительных показателей финансовой устойчивости ОАО
"Яхрома-Лада"
|
Наименование коэффициентов
|
2008 год
|
2009 год
|
Изменение
|
2010 год
|
Изменение
|
|
1. Имущество предприятия
|
3464
|
6125
|
2661
|
7030
|
905
|
|
2.Реалный собственный капитал
|
6
|
95
|
89
|
195
|
100
|
|
3. Заемные средства всего:
|
3476
|
6030
|
2554
|
6835
|
805
|
|
4. Внеоборотные активы и долгосрочная дебиторская
задолженность
|
3004
|
3000
|
-4
|
2500
|
-500
|
|
5. Наличие собственных оборотных средств
|
-3010
|
-3095
|
-85
|
-2695
|
400
|
|
6. Запасы с НДС
|
460
|
2000
|
1540
|
2530
|
530
|
|
7. Денежные средства, Краткосрочные финансовые вложения,
дебиторская задолженность и прочие активы
|
0
|
1000
|
1000
|
1990
|
990
|
|
8. Коэффициент автономии, К≥0,5
|
0,00
|
0,02
|
0,01
|
0,03
|
0,01
|
|
9. Коэффициент соотношения заемных и собственных средств
|
579,33
|
63,47
|
-515,86
|
35,05
|
-28,42
|
Поскольку предприятие ОАО "Яхрома-Лада" не
привлекает заемных источников финансирования, проанализируем финансовую
устойчивость с точки зрения структуры источников средств.
Для оценки финансовой устойчивости применяется система
коэффициентов.
Кратко рассмотрим их.
1. Коэффициент автономии (коэффициент
концентрации собственного капитала). Определяется отношением собственных
средств к итогу баланса.
Этот показатель характеризует долю владельцев
предприятия в общей сумме средств, авансированных в его деятельность.
Считается, что чем выше значение этого коэффициента, тем более устойчиво,
стабильно и независимо от внешних кредиторов предприятие. Рекомендуемое
значение более, либо равное 0,5.
2. Коэффициент финансового левериджа
(финансового риска), равный отношению заемных средств, к собственным средствам.
Рекомендуется значение менее 1.
Из таблицы 15 видно, что все коэффициенты значительно
отличаются от рекомендованных значений. Наиболее сильно с рекомендованным
значением разнится коэффициент соотношения заемных и собственных средств
(579,33; 63,47; 35,05), при рекомендованном значении <1. Динамика изменения
представлена на рисунке 5.
Рис. 5. Динамика изменения относительных показателей финансовой
устойчивости ОАО "Яхрома-Лада"
Далее проанализируем ликвидность баланса. Баланс на начало каждого года
является не ликвидным, т.к. не удовлетворяет неравенствам, А1 ≥ П1, А2 ≥
П2, А3 ≥ П3, А4 < П4, (таблица 17).
Табл. 17. Анализ ликвидности баланса ОАО "Яхрома-Лада"
|
Показа-тель
|
Сумма, тыс. руб
|
Показа-тель
|
Сумма, тыс. руб
|
Излишек (+), недостаток (-)
|
|
2008 год
|
2009 год
|
2010год
|
|
2008 год
|
2009 год
|
2010 год
|
|
|
|
|
|
|
|
|
|
2008 год
|
2009 год
|
2010 год
|
|
А1
|
0
|
125
|
10
|
П1
|
3476
|
6030
|
6835
|
-3476
|
-5905
|
-6825
|
|
А2
|
0
|
1000
|
1990
|
П2
|
0
|
0
|
0
|
0
|
1000
|
1990
|
|
А3
|
300
|
800
|
500
|
П3
|
0
|
0
|
0
|
300
|
800
|
500
|
|
А4
|
3004
|
3000
|
2500
|
П4
|
-154
|
-1105
|
-1835
|
3158
|
4105
|
4335
|
|
Итого:
|
3304
|
4925
|
5000
|
Итого:
|
3322
|
4925
|
5000
|
-18
|
0
|
0
|
|
160
|
1200
|
2030
|
|
497
|
2201
|
2222
|
-337
|
-1001
|
-192
|
|
Баланс
|
3464
|
6125
|
7030
|
Баланс
|
3819
|
7126
|
7222
|
-355
|
-1001
|
-192
|
Недостаточная ликвидность баланса подтверждается низкими уровнями всех
коэффициентов (таблица 18).
Табл. 18 Относительные показатели ликвидности ОАО "Яхрома-Лада"
|
Показатели
|
Рекомендо-ванное значение
|
2008 год
|
2009 год
|
Изменение
|
2010 год
|
Изменение
|
|
1. Денежные средства
|
|
0
|
125
|
125
|
10
|
-115
|
|
2. Краткосрочные финансовые вложения
|
|
0
|
0
|
0
|
0
|
0
|
|
3. Итого: (1п+2п)
|
|
0
|
125
|
125
|
10
|
-115
|
|
4. Дебиторская задолженность (платежи по которой ожидаются
в течение 12 месяцев после отчетной даты)
|
|
0
|
1000
|
1000
|
1990
|
990
|
|
5. Прочие оборотные активы
|
|
0
|
0
|
0
|
0
|
0
|
|
6. Итого: (3п+4п+5п)
|
|
0
|
1125
|
1125
|
2000
|
875
|
|
7. Запасы с НДС
|
|
460
|
2000
|
1540
|
2530
|
530
|
|
8. Итого: (6п+7п)
|
|
460
|
3125
|
2665
|
4530
|
1405
|
|
9. Краткосрочные кредиты и займы (610)
|
|
0
|
0
|
0
|
0
|
|
10. Кредиторская задолженность (620)
|
|
3476
|
6030
|
2554
|
6835
|
805
|
|
11. Задолженность перед участниками (учредителями)по
выплате доходов (630)
|
|
0
|
0
|
0
|
0
|
0
|
|
12. Прочие краткосрочные пассивы (660)
|
|
0
|
0
|
0
|
0
|
0
|
|
13. Итого: Краткосрочных обязательств
|
|
3476
|
6030
|
2554
|
6835
|
805
|
|
14. Коэффициент абсолютной ликвидности (Каб)
|
>0,2
|
0,000
|
0,021
|
0,021
|
0,001
|
-0,019
|
|
15. Коэффициент критической ликвидности (Ккр)
|
>1
|
0,000
|
0,187
|
0,187
|
0,293
|
0,106
|
|
16. Коэффициент покрытия (Кп)
|
>2
|
0,132
|
0,518
|
0,386
|
0,663
|
0,145
|
|
17. Коэффициент общей платежеспособности (Ко.П.)
(190+290)/ (450+590+690-640-650)
|
>2
|
0,997
|
1,016
|
0,019
|
1,029
|
0,013
|
Значения коэффициентов во всех трех анализируемых годах ниже
рекомендованного значения.
Аспект управления привлеченными источниками важен, поскольку он
обуславливает эффективность внутренней системы финансового менеджмента.
Проанализируем политику управления привлеченными средствами предприятия.
Уникальным источником финансирования деятельности предприятия являются
привлеченные источники.
Рис. 6. Структура кредиторской задолженности предприятия ОАО
"Яхрома-Лада"
Значительную долю в привлеченных средствах занимает кредиторская
задолженность (таблица 19).
Табл. 19. Анализ кредиторской задолженности ОАО "Яхрома-Лада"
|
ПАССИВ
|
Код строки
|
Остатки по балансу, тыс. руб.
|
Структура пассивов, %
|
|
|
2008
|
2009
|
Изм
|
2010
|
Изм
|
2008
|
2009
|
Изм
|
2010
|
Изм
|
|
V.КРАТКО-СРОЧНЫЕ ОБЯЗАТЕЛЬСТВА Займы и кредиты
|
610
|
|
|
0
|
|
0
|
0,00
|
0,00
|
0,00
|
0,00
|
0,00
|
|
кредиторская задолженность
|
620
|
3476
|
6030
|
2554
|
6835
|
805
|
99,83
|
98,4
|
-1,38
|
97,23
|
-1,22
|
|
в том числе: поставщики и подрядчики
|
621
|
3470
|
6000
|
2530
|
6807
|
807
|
99,66
|
97,9
|
-1,70
|
96,83
|
-1,13
|
|
задолженность перед персоналом организации
|
622
|
|
|
0
|
|
0
|
0,00
|
0,00
|
0,00
|
0,00
|
0,00
|
|
задолженность перед государс. внебюджетными фондами
|
623
|
|
25
|
25
|
|
-25
|
0,00
|
0,41
|
0,41
|
0,00
|
-0,41
|
|
задолженность по налогам и сборам
|
624
|
6
|
5
|
-1
|
2
|
-3
|
0,17
|
0,08
|
-0,09
|
0,03
|
-0,05
|
|
прочие кредиторы
|
625
|
|
|
0
|
19
|
19
|
0,00
|
0,00
|
0,00
|
0,27
|
0,27
|
|
Доходы будущих периодов
|
640
|
|
|
0
|
|
0
|
0,00
|
0,00
|
0,00
|
0,00
|
0,00
|
|
Резервы предстоящих расходов
|
650
|
|
|
0
|
|
0
|
0,00
|
0,00
|
0,00
|
0,00
|
0,00
|
|
Прочие краткосрочные обязательства
|
660
|
|
|
0
|
|
0
|
0,00
|
0,00
|
0,00
|
0,00
|
0,00
|
|
Итого по разделу V
|
690
|
3476
|
6030
|
2554
|
6835
|
805
|
99,83
|
98, 5
|
-1,38
|
97,23
|
-1,22
|
|
БАЛАНС (сумма строк 490+590+690)
|
700
|
3482
|
6125
|
2643
|
7030
|
905
|
100,0
|
100,0
|
0,00
|
100,00
|
0,00
|
Видно, что увеличение кредитной задолженности произошло за счет:
увеличения задолженности поставщикам и подрядчикам, в 2009 году по отношению к
2008 году увеличение в размере 2530 тыс. руб., в 2010 году по так же
наблюдается увеличение в размере 807 тыс. руб., это свидетельствует о доверии
предприятию со стороны поставщиков и подрядчиков, со стороны заказчиков, и о
политике предоплаты ОАО "Яхрома-Лада".
Задолженность перед государственными и внебюджетными фондами ОАО
"Яхрома-Лада" сократилась до нуля, задолженность по налогам и сборам
снижается по годам: 2008 год 6 тыс. руб., 2009 год 5 тыс. руб., 2010 год 2 тыс.
руб., что говорит о дисциплинированности предприятия перед бюджетом, об
оптимизации налогов и сборов.
Увеличилась задолженность прочими кредиторами в 2010 году на 19 тыс. руб.
Кредиторская задолженность в целом возросла на 2554 тыс. руб. в 2009 году и 805
тыс. руб. в 2010.
Рис. 7. Структура дебиторской задолженности предприятия ОАО
"Яхрома-Лада"
Из представленного рисунка 7 видно, что в составе дебиторской задолженности,
задолженность покупателей и заказчиков значительно увеличивается год от года,
2008 год 875 тыс. руб., 2009 год 910 тыс. руб., 2010 год 1785 тыс. руб.
.2 Общие предложения по совершенствованию деятельности ОАО
"Яхрома-Лада"
В результате оценки эффективности управления финансовыми ресурсами фирмы
можно сделать вывод.
Прибыль, как балансовая, так и чистая, снижаются.
Балансовая прибыль в 2008 году составляла 1607 тыс. руб.; 2009 год 4 868
тыс. руб.; 2010 год 2220 тыс. руб.; чистая прибыль в 2008 году составляла 1 240
тыс. руб.; 2009 год 3 723 тыс. руб.; 2010 год 1 687 тыс. руб.
На предприятии ОАО "Яхрома-Лада" наблюдается рост, как выручки
2008 год 20125 тыс. руб., 2009 год 28600 тыс. руб., 2010 год 28900 тыс. руб.
так и себестоимости 2008 год 19025 тыс. руб., 2009 год 24200 тыс. руб., 2010
год 27200 тыс. руб.
Коммерческих и управленческих расходов на предприятии нет.
Прибыль от продаж снизилась следующим образом 2008 год 1092 тыс. руб.,
2009 год 4400 тыс. руб., 2010 год 1700 тыс. руб.
Показатели рентабельности снижаются следующим образом. Соответственно по
годам:
рентабельность от продаж 5,58; 15,38; 5,88;
рентабельность всего капитала 33,45; 74,01; 33,42;
рентабельность основных средств 53,53; 177,02; 92,42;
рентабельность собственного капитала 2417,82; 2551,72; 843,50.
При анализе структуры активов баланса прослеживается увеличения стоимости
имущества предприятия.
На начало 2008 года она составляла 3464 тыс. руб., на начало 2009 года
6125 тыс. руб. (увеличение в размере 2661 тыс. руб.), на начало 2010 года 7030
тыс. руб..
Внеоборотные активы сократились в 2009 году на 4 тыс. руб., в 2010 на 500
тыс. руб. В целом оборотные активы увеличивались и в 2009 и в 2010 году:
На предприятии ОАО "Яхрома-Лада" наблюдается увеличение
запасов, в 2009 году по отношению к 2008 году увеличение на 500 тыс. руб., то в
2010 году по отношению к 2009 году увеличение на 780 тыс. руб.
НДС уменьшается следующим образом, в 2010 году он составил 950 тыс. руб.,
что меньше на 250 тыс. руб., чем в 2009 году;
краткосрочная дебиторская задолженность увеличилась, в 2009 году она
составляла 1000 тыс. руб., а в 2010 году 1990 тыс. руб.
При анализе структуры пассивов баланса выяснили, что собственные средства
предприятия в 2009 и 2010 годах, возросли соответственно на 89 тыс. руб. и 100
тыс. руб.
Предприятие не использует заёмные средства. Кредиторская задолженность в
целом возросла на 2554 тыс. руб. в 2009 году и 805 тыс. руб. в 2010.
Наибольший удельный вес в составе кредиторской задолженности имеет
задолженность перед поставщиками и подрядчиками, которая так же имеет динамику
роста.
При анализе финансовой устойчивости выяснилось, что за все три года
предприятие находилось в неустойчивом состоянии.
Баланс является не достаточно ликвидным, для всех трёх лет.
Наиболее сильно на изменение чистой прибыли влияет изменение удельных
затрат.
На предприятии ОАО "Яхрома-Лада" наблюдается снижение чистой
прибыли и увеличение себестоимости. Это произошло из-за устаревшей, технической
базы и отсутствия некоторых единиц техники.
Для того чтобы улучшить финансовое состояние предприятия ОАО
"Яхрома-Лада" целесообразно разработать инвестиционную стратегию.
Ее содержанием будет обоснование источников финансирования приобретения
новой автотехники, необходимой для осуществления текущей производственной
деятельности.
Выбор источника финансирования следует начать с рассмотрения следующих
вопросов:
Какого размера финансирование требуется.
Каковы размеры юридического лица, получающего средства.
Какую часть контроля вы готовы отдать.
Какова степень риска проекта.
Количество требуемых средств ограничивает выбор источников финансирования
Для финансирования в крупных размерах приоритетными источниками являются:
иностранные банки; стратегические инвесторы; публичная эмиссия, облигации и
конвертируемые облигации и лизинг.
Финансирование в средних и малых размерах вполне возможно осуществить из
следующих источников: российские банки; частные инвестиционные фонды (зависит
от фонда); «фонды помощи».
Различные источники имеют широкий диапазон размеров предлагаемого
финансирования.
Табл. 20. Приблизительные диапазоны источников финансирования.
|
Источники финансирования
|
Диапазон
|
|
Российские банки
|
$0,001-30 млн
|
|
Иностранные банки:
|
$0,5-100 млн,
|
|
Стратегические инвесторы
|
100млн. - $200 млн.
|
|
Публичная эмиссия акций
|
$10млн. -$300 млн.
|
|
Публичная эмиссия облигаций.
|
$10млн. -$300 млн.
|
|
Публичная эмиссия конвертируемых облигаций
|
$5млн.-$10млн.
|
|
Частное размещение облигаций
|
$30300 млн.
|
|
Лизинг
|
$0.01-20 млн.
|
Принимая решение о том, какие источники финансирования
необходимо привлечь, предприятие, прежде всего, ориентируется на их
особенности. Так, несмотря на то, что теоретически облигации более долгосрочный
инструмент, предназначенный для финансирования инвестиционных проектов, в
реальности механизм оферты выхолащивает этот принцип. По сути, долгосрочная
облигация превращается в ряд коротких, рефинансируемых одна за другой. Из-за
этого предприятие, выпустившее 5-летнюю облигацию, не может рассчитывать на эти
средства именно как на 5-летние, так как не исключено, что уже в дату ближайшей
оферты к выкупу будет предъявлен весь выпуск. Поэтому большинство облигации
реально являются 6-12 месячными бумагами.
Второй аспект, на который следует обратить внимание
при выборе того; иного инструмента заимствований, - это срок подготовки займа.
Необходимо четко осознать, что размещение облигационного займа - весьма
длительная процедура. От момента принятия решения до размещения, т.е. до
получения денежных средств, пройдет не менее полугода, а сам процесс включает в
себя огромное количество этапов от созыва общего собрания акционеров до
публикации массы документов. В лучшем случае организация выпуска облигаций
занимает 2 месяца.
Наиболее последовательная политика предприятия,
отвечающая целям повышения его инвестиционной привлекательности, состоит в том,
чтобы увеличивать объем производства и реализацию продукции, пользующейся
спросом на более или мене длительную перспективу. Иными словами, - увеличение
производства той продукции, необходимость которой определена путем улучшения
рыночной конъюнктуры.
Чем выше и устойчивей уровень доходности предприятия,
тем легче привлечь заинтересованных инвесторов, поскольку гарантии предприятия
по | обеспечению требуемой нормы доходности инвесторов достаточно высоки.
В третьих, предприятию необходимо повысит деловую
активность. В широком смысле деловая активность означает весь спектр усилий,
направленных на продвижение предприятия на рынках продукции, труда и капитала.
В контексте управления финансово - хозяйственной
деятельностью предприятия этот термин понимается в более узком смысле - как его
текущая производственная и коммерческая деятельность.
Оценка и анализ деловой активности предприятия могут
быть достигнуты за счет: оценки степени выполнения производственного плана по
основным показателям и анализе отклонений; оценки и обеспечения приемлемых
темпов наращивания объемов финансово - хозяйственной деятельности;
эффективности использования материальных, трудовых и финансовых ресурсов
предприятия.
В четвертых, повышение рыночной активности и имиджа предприятия.
Рыночная активность подразумевает контроль за динамикой рынка капитала, имеющий
целью выявление общеэкономических и отраслевых тенденций, оценку положения
основных конкурентов.
Повышение рыночной активности можно добиться путем
увеличения дохода на акцию. Рост этого показателя или, по крайней мере,
отсутствие негативной тенденции способствует увеличению операций с ценными
бумагами данного предприятия, повышению его инвестиционной привлекательности.
Для повышения инвестиционной привлекательности предприятию
необходимо формирование корпоративного имиджа и публичной кредитной истории.
Ведь выходя на публичный рынок, компания показывает свою готовность стать более
открытой для широкого круга инвесторов, более узнаваемой для финансовых
институтов и приобрести положительную кредитную историю. А это возможно только
при использовании такого инструмента как облигации, который демонстрирует
прогрессивность финансового менеджмента предприятия, его желание и умение
использовать как можно более полный набор доступных форм и методов привлечения
финансирования.
В процессе решения проблемы привлечения финансовых
ресурсов для обновления производственных фондов можно рассматривать следующие
способы привлечения средств: банковские кредиты, дополнительная эмиссия акций,
финансовая аренда (лизинг), эмиссия облигаций.
Длительная процедура подготовки и организации выпуска
облигаций делает нецелесообразным выпуск краткосрочных бумаг. Размер и
известность предприятия определяет источник финансирования исходя из следующих
предпосылок:
1. Некоторые источники финансирования, требуют, чтобы предприятие было
хорошо известно, для того, чтобы добиться успеха (публичная эмиссия акций и
облигаций), к тому же крупные предприятия с положительной кредитной историей
могут привлечь средства под более низкие процентные ставки.
. Предприятия, чьи ценные бумаги активно обращаются на вторичном рынке,
компании с хорошим финансовым состоянием также обладают преимуществом при
размещении своих ценных бумаг, поскольку ликвидные инструменты фондового рынка
всегда привлекают инвесторов.
. Мелким и средним предприятиям малоизвестным обществу, предприятиям с
отрицательной дивидендной политикой следует воздержаться от дополнительной
эмиссии акций. В данных случаях наиболее подходящими источниками финансирования
являются: банковские кредиты и лизинг.
Различные источники краткосрочного финансирования требуют различные виды
обеспечения:
стратегические инвесторы хотят осуществлять контроль над оперативными и
другими решениями;
иностранные банки могут иметь строгие условия предоставления кредитов;
российские банки меньше заинтересованы в осуществлении контроля, но
требуют обеспечение кредита;
публичные эмиссии акций, облигаций и т.д. стремятся диверсифицировать
состав акционеров, противодействуя получению крупного пакета акций одним
акционером;
согласно законодательству выпуск облигаций возможен на сумму уставного
капитала или на сумму, превышающую УК, в размере обеспечения третьих лиц или
имущества.
Степень риска проекта снижает круг потенциальных источников финансирования.
Фонды помощи, имеющие политические мотивы для инвестирования в различные
проекты в России, больше склонны рассматривать рискованные инвестиции.
Стратегические инвесторы, знающие бизнес и имеющие связи, которые могут
снизить риски конкретных проектов, могут также рассматривать финансирование
проектов, которые другие источники отказываются рассматривать, или за
финансирование которых они требуют чрезмерно высокий уровень дохода.
Российские банки чрезвычайно опасаются риска, но понимают политические и
специфические для России риски. Иностранные банки обычно являются наиболее
опасающимися риска источником долгосрочного финансирования.
Таким образом, источники долгосрочного финансирования отличаются друг от
друга по гибкости, доступности, стоимости и другим критериям.
Исходя из того, что акции ОАО "Яхрома-Лада"
ни разу не выставлялись на фондовом рынке, акции являются менее
привлекательными по сравнению с облигациями; как для инвесторов, так и для
эмитентов. Если за рубежом и те, и другие инструменты покупаются для получения
дохода, то у нас акции, по которым практически не выплачиваются дивиденды и
которые не растут в цене, используются в первую очередь для перераспределения
собственности. Если целью компании является привлечение инвестиций без потери
контроля над собственностью, то имеет смысл рассмотреть выпуск облигаций как
альтернативу банковского кредита.
Облигационный заем является альтернативой банковскому
кредиту, банки же не являются монополистами в области финансирования
производства, а это уже большой плюс. Кроме того, большую, вернее практически
всю, частьвыпуска приобретают институциональные инвесторы: банки,
негосударственные пенсионные и паевые инвестиционные фонды, страховые компании.
По мере развития рынка в процесс будут вовлекаться как
сами приятия, имеющие свободные денежные средства, так и частные инвесторы. И
предприятия получат большую свободу в привлечении средств и источника
производства.
Лизинг станков используется в первую очередь как форма
финансирования на приобретение этого оборудования в пользование
лизингополучателя. Лизингодатель должен иметь: заявку на лизинг конкретного
оборудования от предприятия, информацию о предприятии, лизингополучателе (его
возможности оплатить стоимость лизинга и способности осуществлять грамотную
эксплуатацию данного оборудования), проекты развития предприятия,
лизингополучателя и условия эксплуатации оборудования.
Для определения стоимости лизинга учитывается:
закупочная цена станка; процентная ставка по долгосрочным кредитам;
продолжительность договора лизинга и периодичность взносов по нему; метод
начисления амортизации, включая выкуп по остаточной стоимости.
Лизингодатель обязуется закупить согласованное с
лизингополучателем оборудование и сдать его ему в лизинг, переуступив тем самым
право пользования этим оборудованием, но сохранив право собственности на него
за собой.
В договоре лизинга, кроме того, обычно оговаривается,
что лизингодатель не отвечает за любой недостаток воздушного судна, за задержку
либо отказ от поставок со стороны поставщика. Все претензии по этим вопросам
подлежат рассмотрению между поставщиком и лизингополучателем. Лизингополучатель
несет ответственность за сохранность станков, за вред, причиненный оборудованию
третьими лицами. В договоре должно быть определено, кто страхует оборудование и
ответственность, связанную с вредом, возникающим при его использовании. Чаще
всего страхует лизингодатель за счет лизингополучателя.
Действие договора лизинга прекращается, если:
поставщик не выполнит договора поставки; лизингополучатель нарушает сроки и
условия платежей; лизингополучатель не выполняет условий эксплуатации
оборудования либо по иным оговоренным причинам.
При заключении договора лизинга лизингополучатель
перечисляет первый износ, подписывает акт приемки оборудования у поставщика
вприсутствии лизингодателя. Лизингодатель выдает поставщику заказ на покупку,
оплачивает ее, открывает балансовые и забалансовые счета, организует учет
взносов. В то же время лизингодатель не имеет влияния навыбор объекта лизинга и
не может воздействовать на его качества и свойства.
Итак, из проведенного анализа, очевидно, что
финансовая аренда в России обладает значительными преимуществами по сравнению с
банковским и облигационным займами и, как следствие, является самым эффективным
механизмом приобретения основных средств.
Глава III. Разработка инвестиционной стратегии предприятия ОАО
"Яхрома-Лада"
.1 Этапы инвестиционной стратегии ОАО "Яхрома-Лада"
В соответствии с первым этапом инвестиционной
стратегии выявим черты общей стратегии организации, выявим инвестиционные
намерения и ожидания ОАО "Яхрома-Лада" на соответствие
организационной миссии
В соответствии со своей миссией - «Предоставление
товаров и услуг высокого качества» - руководство ОАО "Яхрома-Лада" в
сложившейся финансово-экономической ситуации может в реализовать свои планы
только в области внутренней инвестиционной стратегии, поскольку выход на более
высокие рубежи - вложение средств в финансовые инструменты - на данном этапе
его развития невозможно.
Инвестиционная деятельность ОАО
"Яхрома-Лада" во всех ее формах и проявлениях сводиться не только к
удовлетворению текущих инвестиционных потребностей, определяемых необходимостью
замены выбывающих активов или их прироста в связи с происходящими изменениями
объема и структуры хозяйственной деятельности, но и повышению стоимости
бизнеса.
На развитие автопрома и сопутствующих ему
инфраструктурных отраслей оказывает влияние множество факторов, определенная
комбинация (экономических, политических, демографических, социальных), -
является движущей силой развития отрасли связи. От данной комбинации факторов
зависят темпы и пропорции развития предприятия.
Уровень доходов населения оказывает значительное
влияние на перспективы развития ОАО "Яхрома-Лада".
Уровень средней заработной платы возрастает
незначительно, с учетом инфляции наметилась тенденция к сокращению
задолженности по заработной плате на крупных предприятиях города и области, в
силу чего возрастает покупательная способность населения.
Незначительная стабилизация социально-экономической
сферы, уменьшение просроченной задолженности по выдаче средств на заработную
плату - эти и другие факторы повышают уровень платежеспособного спроса на
товары и услуги ОАО "Яхрома-Лада".
Усиление конкуренции приводит к переходу ненасыщенного
рынка связи к насыщенному, в связи, с чем влияние эффекта «местного
монополиста» уменьшается, а в перспективе может вовсе исключаться.
Говоря о влиянии фактора дохода населения логично было
говорить о влиянии фактора роста дохода на душу населения и влиянии фактора
роста доходов семьи.
Основными показателями, отражающими социально -
экономическое благосостояние населения, являются сложившийся уровень
среднемесячной заработной платы и величина прожиточного минимума (показатель
абсолютного измерения низких доходов с использованием нормативов потребления
важнейших благ и услуг на минимально допустимом уровне).
Следующий этап инвестиционной стратегии является
особенно важным, так как в нем осуществляется оценка внутреннего потенциала ОАО
"Яхрома-Лада" и срез внешней составляющей, являющейся, как источником
угроз, так и в столь же степени источником возможностей.
По итогам анализа финансового состояния предприятия были выявлены
следующие особенности внутреннего потенциала ОАО "Яхрома-Лада".
Прибыль, как балансовая, так и чистая, снижаются. На предприятии
наблюдается рост, как выручки, так и себестоимости. Показатели рентабельности
снижаются.
При анализе структуры активов баланса прослеживается увеличения стоимости
имущества предприятия. При анализе оборотных активов было выявлено, что
наблюдается увеличение запасов, краткосрочная дебиторская задолженность
увеличилась
При анализе структуры пассивов баланса выяснили, что собственные средства
предприятия возросли. Кредиторская задолженность в целом возросла: наибольший
удельный вес в составе кредиторской задолженности имеет задолженность перед
поставщиками и подрядчиками, которая имеет динамику роста.
При анализе финансовой устойчивости выяснилось, что за все три года
предприятие находилось в неустойчивом состоянии.
Баланс является не достаточно ликвидным для всех трёх лет.
На предприятии наблюдается снижение чистой прибыли и увеличение
себестоимости. Это произошло из-за устаревшей, технической базы и отсутствия
некоторых единиц техники.
Для улучшения финансовой деятельности предприятия следует предпринять
изменения в его финансово-хозяйственной деятельности через реализацию
инвестиционной стратегии.
Вторая часть второго этапа инвестиционной стратегии - анализ внешней
составляющей. ОАО "Яхрома-Лада" действует на рынке несовершенной
конкуренции, а точнее на олигополистическом рынке. В настоящее время
исследуемая сфера бизнеса характеризуется следующими особенностями:
предприятия - конкуренты имеют одинаковую ассортиментную линейку;
цены на предлагаемые товары и услуги относительно стабильны, одинаковы и
устанавливаются поставщиком;
вход в данный бизнес характеризуется средней степенью ограниченности и
наличием препятствий для вхождения новых конкурентов.
В целом, учитывая незначительное число конкурентов и не ослабевающий, а
даже растущий спрос, можно утверждать, что в ближайшие несколько лет рынок
будет расти.
В связи с этим в перспективе придется приложить некоторые усилия, чтобы
остаться в ряду конкурентов наиболее востребованным. Для повышения
целесообразности ведение бизнеса.
Стоимость товаров и услуг, предоставляемых ОАО "Яхрома-Лада"
незначительно ниже, что обусловлено стремлением предприятия занять определенную
долю местного рынка, где преобладает ценовая конкуренция.
Спрос на предлагаемые товаров и услуг является эластичным, поэтому
небольшое снижение или повышение цены ведёт к изменению объема спроса.
Таким образом, реализация предполагаемой ОАО "Яхрома-Лада"
ценовой политики, даст преимущества по сравнению с конкурентами и позволит в
короткий срок занять прочные позиции на рынке Московской области.
Предприятие ОАО "Яхрома-Лада" придерживается стратегии цены
внедрения, устанавливает низкую цену на услуги, которая позволит достичь
определенного объёма продаж и достаточно большой доли рынка, компенсирует
низкую долю прибыли на единицу продукции и услуги.
Эта стратегия эффективна при наличии массового рынка, чувствительных к
цене покупателей и снижающихся издержках на производство и маркетинг товара по
мере роста объёма продаж. Ценовая политика основывается на принципе захвата
доли рынка.
В отношении разработки неценовых мер ОАО "Яхрома-Лада"
ориентируется на факторы: престижность, качество обслуживания, широкий спектр
товаров и услуг.
Матрица инвестиционного SWOT-анализа
ОАО "Яхрома-Лада" позволяет определить основные направления
инвестиционной стратегии предприятия в соответствии с динамикой рыночной
ситуации. Рассчитаем общую оценку каждого из четырех параметров карты SWOT.
Результаты расчета показали, что наибольшее значение было определено в
поле «Сила и возможности» (СиВ) - 720, следовательно, у предприятия есть все
возможности для усиления его рыночной активности.
Табл. 21. Инвестиционный SWOT-анализ
|
Элементы внешней среды Элементы внутренней среды
|
Возможности: 1.Емкий рынок сбыта; 2.Стабилизация
экономической ситуации; 3.Рост спроса на высококачественные услугах
|
Угрозы: 1. Рост интереса спроса; 2. Значительная сила
влияния конкурентов; 3. Невысокие барьеры входа в отрасль.
|
|
Сильные стороны 1. Быстрота выполнения заказа; 2. Средний
уровень цен на услуги; 3. Возможность использования предоплаты для реше-ния
текущих финансовых проблем
|
В условиях усиления конкуренции на финансовом рынке и
понижения банковской ставки повышается вероятность привлечения заемного
капитала. Расширения объема сбыта услуг за счет средств клиентов. Мобильность
и лидерство в издержках позволят удовлет-ворить спрос самых капризных
клиентов.
|
В условиях усиления конкуренции на финансовом рынке и
понижения банковской ставки повышается вероятность привлечения заемного
капитала. Расширения объема сбыта товаров услуг за счет средств клиентов.
|
|
Слабые стороны: 1.Недостаток ликвидных оборотных средств;
2. Высокий уровень кредиторской задолженности; 3. Моральный износ части
основных фондов предприятия.
|
Увеличение доли собственного оборотного капитала за счет
роста объема продаж для повышения платежеспособности предприятия. В условиях
нежелания дополнительного привлечения заемного капитала повышение деловой
активности предприятия за счет средств частного инвестора. Активизация
деятельности предприятия на рынке, позволяющая использовать положительный
эффект на масштабе.
|
Усиление конкуренции на рынке олигополии может привести к
снижению рыночной доли предприятия. Повышать уровень конкурентоспособности
предприятия и дефицита оборотных средств за счет более слабых конкурентов.
Уменьшение влияния посредством приобретения более технологичного
оборудования.
|
К силам предприятия ОАО "Яхрома-Лада" следует отнести: быстроту
выполнения заказа в связи с наличием высококвалифицированных специалистов,
поддержание среднего уровня цен на товары и услуги, возможность использования
предоплаты клиентов для решения финансовых проблем и другие.
Среди слабостей предприятия ОАО "Яхрома-Лада" которые
необходимо ликвидировать за счет возможностей внешнего окружения, - следует
выделить: недостаток оборотных средств, затрудняющих дальнейшее
функционирование предприятия ОАО "Яхрома-Лада": моральный износ части
основных фондов предприятия, который необходимо устранить для повышения уровня
конкурентоспособности предприятия.
Возможности внешнего окружения, использование которых для предприятия ОАО
"Яхрома-Лада" возможно и целесообразно: емкий рынок сбыта вследствие
стабильного спроса на услуги, стабилизация экономической ситуации как результат
повышения уровня платежеспособности населения города Лобня и близлежащих
поселков и рост спроса на высококачественные услуги и т.п.
Угрозы внешнего окружения - объективные силы, которые могут оказать
существенное негативное воздействие на функционирование предприятия, если не
предпринять попыток их минимизации: осуществление антирекламой компании для
уменьшения спроса на товары и услуги, определенная сила влияния конкурентов,
незначительные барьеры входа в отрасль, приводящие к усилению конкуренции на
рынке.
Реализация второго этапа инвестиционной стратегии предприятия позволила
выявить, что свой внутренний финансовый потенциал ОАО "Яхрома-Лада"
может улучшить, используя возможности внешней среды. Наиболее доступным в этом
отношении является использование лизинга в качестве источника финансирования
мероприятий по обновлению части основных производственных фондов: приобретения
на основе этого автотехники позволит повысить уровень качества и расширить
объем услуг, решить проблему дефицита ликвидных оборотных средств и завоевать
достаточную рыночную долю.
В соответствии с третьим этапом инвестиционной
стратегии сформулируем стратегические цели деятельности ОАО
"Яхрома-Лада".
Инвестиционный портфель ОАО "Яхрома-Лада"
представлен бизнес-решением по приобретению автотехники, который окажет влияние
на экономическую эффективность и финансовую устойчивость предприятия.
Главной целью настоящего бизнеса является получение
прибыли и обоснование решений стратегического планирования ОАО
"Яхрома-Лада".
Реализация бизнес-плана позволит решить следующие
задачи:
1. повысить качество и сократить время оказания ряда
специализированных услуг;
2. создать новые источники получения прибыли за счет диверсификации
предприятия;
3. обеспечить загруженность производственных мощностей;
. предоставить дополнительные рабочие места.
На рынке, несмотря на функционирование аналогичных предприятий, ощущается
недостаток в высококачественных услугах.
На четвертом этапе в соответствии с определением
планового горизонта, делается сделать вывод о краткосрочном периоде
инвестирования ОАО "Яхрома-Лада".
Нестабильность курса национальной валюты и ставки банковского процента,
изменение предпочтений потребителей и усиление конкуренции, инфляция и ее
влияние на издержки, и рынок труда, прогнозное изменение цен на продукцию (с
учетом инфляции и рынка) - эти и другие объективные факторы убеждают в том, что
проектное освоение инвестиций и изменение производства или выпуска продукции
должно быть кратковременным.
Поэтому целесообразно рассматривать проекты со сроком окупаемости 3 -
года, так как более длительные сроки окупаемости проектов в этой сфере
производства не согласуются со временем жизни услуги в связи с ее моральным
устареванием.
Стратегическое управление инвестиционной деятельностью
ОАО "Яхрома-Лада" носит целевой характер, то есть предусматривает
постановку и достижение определенных целей.
Стратегические цели инвестиционной деятельности ОАО
"Яхрома-Лада" разрабатываются для реализации в долгосрочной
перспективе главной цели финансового менеджмента - максимизации благосостояния
собственников ОАО за счет получения доходности от вложенный средств.
Лидерства на рынке ОАО "Яхрома-Лада" может добиться только с
помощью инвестиционных способов активизации, соединяющих нынешнюю тенденцию
развития организации с потенциальным, возможным путем ее роста.
ОАО "Яхрома-Лада", для того чтобы улучшить финансовое состояние
предприятия целесообразно приобрести новую строительную технику, самосвал HOWO
Sinotrak 6х4, Евро 3 и Миксер 6x4 HOWO ZZ5257, так как таковая либо
используется на условиях аренды, либо в разовый наем, либо отсутствует. Эта
марка уже успела хорошо зарекомендовать себя, так как полностью адаптирована к
Российским условиям. Новосибирск, Тюмень, Сургут, Нефтеюганск, Нягань,
Красноярск, Иркутск, Владивосток - и это лишь часть списка городов, в которых
машины эксплуатируются в тяжелых условиях более года. Соотношение цены и
качества повлияли на мой выбор.
Четвертый этап - выбор стратегических направлений и форм инвестиционной
деятельности - позволил обобщить круг вопросов перспективной деятельности и
абстрагироваться на одной цели - на основе самосвал HOWO Sinotrak 6х4, Евро 3 и
Миксер 6x4 HOWO ZZ5257 увеличить количества постоянных клиентов.
На пятом этапе инвестиционной стратегии осуществляется определение
стратегических направлений формирования инвестиционных ресурсов.
Можно предложить лизинг, это долгосрочная аренда машин, оборудования,
транспортных средств, сооружений производственного назначения и другое, что
даст возможность, получить дорогостоящую технику и внедрить её без крупных
капиталовложений. В договоре можно оговорить право арендатора купить указанную
технику по истечении срока аренды. За счет обновления автомобильного парка по
договору лизинга получим следующее:
ü снижение срока выполнения работ и услуг осуществляемые ОАО
"Яхрома-Лада",
ü увеличение качества и надежности, что даст возможность
конкурировать с другими строительными фирмами,
ü снижение затрат на оплату работ и услуг других организаций и
частных лиц,
ü снижение простоя производства,
ü снижение затрат на эксплуатацию.
Лизинг - один из реальных вариантов обновления материально-технической
базы предприятия в условиях нестабильной экономической ситуации.
Лизинг выступает объектом инвестиционных затрат, поэтому он
рассматривается также как разновидность инвестиционной деятельности. В лизинг
можно получить любое движимое и недвижимое имущество, которое может
использоваться для предпринимательской деятельности. К примеру, здания, спецтехника,
оборудование, транспорт, самолеты, средства связи. Многие фирмы и предприятия
на определенном этапе своего развития, будь то открытие (или создание) нового
предприятия, расширение, либо технологическое обновление уже существующего,
приходят к выводу, что им выгоднее приобрести определенное оборудование в
кредит (лизинг), с тем, чтобы, постепенно выплачивая определенные банком доли,
выкупить его окончательно. Это позволяет сократить расходы предприятия, но в
тоже время приобрести необходимое оборудование в кратчайшие сроки.
А так же, постановлением Правительства Московской области на 2009-2012
г.г. от 22 мая 2009 г. N 394/15 и от 16.04.2009 г. № 77-П утвержден порядок
оказания точечной поддержки отдельным организациям, оказавшимся в трудной
финансовой ситуации, что дает дополнительные льготы.
Как правило, лизинговые компании функционируют в
составе финансовых групп, благодаря чему некоторые технические вопросы при
заключении и оформлении кредитных договоров могут быть решены, например, в
более краткие сроки. Ситуация объясняется другими обстоятельствами, лизинговые
компании имеют возможность воспользоваться налоговыми льготами, которые в
приложении к операции при покупке имущества и сдаче его в лизинг могут
существенно уменьшить стоимость сделки для лизингополучателя (приобретателя) по
сравнению с приобретением имущества за счет кредита. В настоящее время при
списании объектов лизинговой сделки отечественным законодательством
предусмотрено возможность применения коэффициента ускоренной амортизации (k ≤ 3). Данное обстоятельство позволяет списать стоимость
объекта лизинга на затраты в существенно короткие сроки и, таким образом,
«окупить» инвестиции в имущество в существенно более короткие сроки.
Помимо более высокой оборачиваемости средств,
используемых при лизинговых операциях, можно выделить и другие преимущества
лизинга для приобретателя имущества:
Среди преимуществ лизинговой сделки можно выделить
следующие:
1. Получить имущество по лизингу проще, чем кредит на его
приобретение;
2. Не требуется дополнительного обеспечения;
. Долгосрочное финансирование сроком до 5 лет;
. Экономия, на отчислениях предприятия при уплате налога на
прибыль;
. Улучшается структура баланса предприятия;
. Принимается к зачету НДС в составе лизинговых платежей;
. Экономия по налогу на имущество, при нахождении объекта лизинга
на балансе лизингодателя;
. Не нужно открывать счет в банке-кредиторе и переводить туда
денежные средства;
. Гибкий график лизинговых платежей;
. Скидки при страховании имущества;
. Помощь в оформлении и подготовке договоров поставки, юридическое
и таможенное сопровождение сделки;
Однако не только перечисленные обстоятельства
принимаются во внимание при упоминании о достоинствах лизинга.
Любой факт хозяйственной жизни может оцениваться
экономическим субъектом не с позиции абсолютной цены (стоимость объекта или
величина расхода - в этом отношении лизинг будет, безусловно, дороже для
приобретателя), а с позиции реального движения средств у данного субъекта в
результате осуществления сделки. Например, лизинговый платеж, с одной стороны,
влечет отток соответствующей суммы денежных средств, а с другой стороны, налог
на добавленную стоимость, входящий в состав платежа, в полном объеме
предъявляется бюджету, и, тем самым, плательщик уменьшает на сумму «входящего» налога
реальные выплаты в бюджет. Как видно, данный подход при сопоставлении различных
операций, прежде всего, ориентируется на особенности их налогообложения.
Предлагаю воспользоваться услугами лизинговой компании
ООО «Эст-групп». Компания работает на рынке лизинговых услуг с августа 2003
года и является одной из самых динамично развивающихся лизинговых компаний
Москвы и области. За это время успешной работы общая сумма заключенных
лизинговых контрактов на 01.03.2011 составила около 3 миллиардов 200 млн. рублей
и более 1000 лизинговых контрактов.
Специалисты компании бесплатно консультируют лизингополучателей по
широкому спектру вопросов: юридическим, таможенным, по бухгалтерскому учету,
валютному и налоговому законодательству.
Специалисты компании уделяют первостепенное значение оперативности и
качеству прохождения всех сделок. В зависимости от специфики бизнеса
Лизингополучателя, разрабатывает индивидуальные схемы финансирования, гибкие
графики платежей.
Опытный и высокопрофессиональный коллектив ООО «Эст-групп» является
основой успеха нашей деятельности. Это позволило нам стать одной из самых
динамичных лизинговых компаний, темпы роста портфеля компании значительно
превышают среднерыночные.
Условия предоставления лизинга
При рассмотрении клиента, учитывается его возможность оплачивать
лизинговые платежи из текущей деятельности.
Табл. 21. Условия предоставления лизинга
|
Минимальный срок деятельности организации
|
от 6 месяцев
|
|
Стоимость приобретаемого имущества
|
от 100 000 рублей
|
|
Авансовый платеж
|
до 30% от стоимости имущества
|
|
Срок договора лизинга
|
до 5 лет
|
|
Среднее годовое удорожание
|
от 8% в год (в зависимости от первоначального авансового
платежа, валюты и финансового состояния клиента)
|
|
Балансодержатель лизингового имущества
|
Имущество может находиться как на балансе лизингодателя,
так и на балансе лизингополучателя
|
|
Страхование имущества
|
Имущество может быть застраховано в любой из
аккредитованных нами страховых компаний
|
|
Оценка предмета лизинга
|
Бесплатно
|
В соответствии с текущим этапом инвестиционной стратегии
обоснование источника финансирования для предприятия ОАО
"Яхрома-Лада".
Воспользуемся методикой расчета и сопоставления
совокупных затрат лизингополучателя (приобретателя) на финансирование сделки по
приобретению имущества Ковалева В.В. и Ковалева Вит.В. Для принятия решения о
методе финансирования инвестиций предлагается сравнить два возможных варианта:
(1) приобретение имущества через лизинг (лизинг); (2) закупка имущества
непосредственно приобретателем за счет кредитных ресурсов (кредит), вариант приобретения
имущества за счет собственных средств не рассматривается исходя из того, что
оценка финансового состояния ОАО "Яхрома-Лада" показала нехватку
собственных средств. Несмотря на то, что возможно смешанное финансирование, в
работе акцент смещается в пользу особенностей привлечения внешних источников
финансирования. Совокупные затраты приобретателя при соответствующих вариантах
финансирования представлены в таблице 22.
Табл. 22 Совокупные затраты при разных вариантах
финансирования
|
Лизинг
|
Кредит
|
|
Затраты
|
|
Лизинговые платежи, включая налог на добавленную стоимость
(НДС)
|
Расходы на погашение кредита, в том числе проценты по
кредиту
|
|
Налог на имущество
|
|
Потери приобретателя на процентах
|
|
Из совокупных затрат вычитаются
|
|
Возврат НДС по лизинговым платежам
|
Возврат НДС по приобретенному имуществу
|
|
Налоговая экономия в результате списания лизинговых
платежей на себестоимость
|
Налоговая экономия в результате списания амортизационных
отчислений и налога на имущество на себестоимость
|
1. Лизинг. (Лизинговая компания «Эст-групп»). Для данного варианта сделки
предположим, что условия договора лизинга предусмотрено, что лизинговое
имущество учитывается на балансе лизингодателя-собственника имущества.
Лизингополучатель осуществляет лизинговые платежи по имуществу, которые он
относит на себестоимость в уменьшение налогооблагаемой прибыли. Налоговая
экономия определяется как произведение ставки налога на прибыль на сумму
лизингового платежа без НДС (сумму расхода, списываемую на себестоимость).
Смысл данного показателя заключается в следующем: если бы данного расхода не
существовало, налогооблагаемая прибыль увеличилась бы на величину расхода и,
соответственно, увеличился бы налог на прибыль. Наконец,
лизингополучателем-плательщиком налог на добавленную стоимость в лизинговом
платеже предъявляется бюджету к зачету.
. Кредит. Определим денежные потоки у приобретателя в случае, если
закупка имущества осуществляется за счет кредитных ресурсов (непосредственно
операции по поступлению кредитных средств на расчетный счет заемщика и списание
их в оплату имущества при анализе потоков можно исключить). Совокупные затраты
у заемщика представлены выплатами в погашение кредита, а также процентами по
нему. Приобретенное за счет кредита имущество, как правило, находится в залоге
по обеспечению возврата кредита, тем не менее, собственником его выступает
заемщик и, соответственно, учитывает его на своем балансе. В этом случае
появляется дополнительная сторона расходов, а именно, налог на имущество.
Следующий элемент совокупных затрат - потери заемщика на процентах по
кредиту - связан с особенностями порядка налогообложения операций по
кредитованию. В соответствии с действующими нормами налогообложения, проценты
по кредитам, взятым на приобретение основных средств, до ввода последних в эксплуатацию
включается в первоначальную стоимость объекта, а после ввода относятся на
финансовый результат, но не учитываются при исчислении налогооблагаемой базы по
налогу на прибыль. Таким образом, фактически проценты за кредит в нашей
ситуации уплачиваются заемщиком за счет собственных средств. Для целей анализа
в расчеты вводится новый показатель - потери на процентах по кредиту. Он
определяется как величина налога на прибыль, которую должна заплатить
организация, прежде чем у нее появляется возможность из указанных средств
произвести выплаты процентов.
С другой стороны, приобретая имущество в собственность
(с постановкой на баланс) налог на добавленную стоимость предъявляется
покупателем к зачету из бюджета. Кроме того, по данному имуществу начисляется амортизация,
списываемая на себестоимость с уменьшением налогооблагаемой базы. На
себестоимость также списывается и налог на имущество. Это приводит к
возникновению налоговой экономии в размере уменьшения налога на прибыль,
подлежащего уплате в бюджет.
Воспользуемся данной системой анализа при покупке
самосвала HOWO Sinotrak 6х4, Евро 3 и Миксер 6x4 HOWO ZZ5257.
1. Стоимость приобретаемого имущества составляет 5 000 000 руб. (в том
числе НДС - 762 712 руб.).
2. Нормативный срок службы имущества 15 лет.
. В условиях лизинга используют коэффициент ускоренной амортизации
(k=3) поэтому срок списания объекта
уменьшается до пяти лет. Срок действия договора лизинга совпадает со сроком
амортизации имущества. Для приобретения имущества лизингодатель использует
кредит, взятый на срок договора лизинга. Процентная ставка составляет 24%
годовых. Для упрощения расчетов считается, что возврат кредита осуществляется
равными частями в конце очередного года в течение 5 лет.
. Договором лизинга оговорен порядок расчета комиссионного
вознаграждения в размере 5% от общей суммы лизинговых платежей без НДС.
. Приобретатель имеет возможность использовать банковский кредит
на приобретение имущества. Сроки, процентные ставки, а также иные условия
кредитования, в целях сопоставимости анализа совпадают с условиями кредита,
взятого лизингодателем для покупки имущества и сдаче в лизинг.
. Ставка налога на прибыль 20%. Налог на добавленную стоимость в
полном объеме предъявляется бюджету.
Соответствующие расчеты приведены в приложении 3 и таблице 22. Сделаем
краткий аналитический комментарий к этим расчетам, поясняющий эффективность
использования лизинговых операций.
Заметим прежде всего, что в конечном счете критерием выбора варианта
финансирования по результатам расчетов будет минимум совокупных затрат при
одинаковых размерах и условиях кредитования и при условии обеспечения
сопоставимости вариантов по масштабам, времени и уровню рисков.
1. Лизинг. Определим совокупные затраты приобретателя имущества в случае,
если он решает воспользоваться лизинговой схемой для приобретения актива
заключив договор с лизинговой компанией «Эст-групп».
В этом случае приобретатель имущества (лизингополучатель) осуществляет
периодические лизинговые платежи, которыми полностью возмещает стоимость
имущества (по окончании договора лизинга имущество переходит в собственность
лизингополучателя). В структуру лизингового платежа входят:
. ежегодная сумма выплат по кредиту, взятому лизингодателем на покупку
оборудования;
. проценты за кредит (процентная ставка 24%);
. сумма налога на имущество 2% (оборудование учитывается на балансе
лизингодателя);
. комиссионное вознаграждение в размере 5% от суммы лизинговых платежей
без НДС.
Из лизингового платежа исключается сумма налога на добавленную стоимость
в цене имущества, которую лизингодатель в полном объеме предъявляет бюджету.
Порядок расчета лизинговых платежей представлен (приложение 3, таблица 1)
и таблица 23.. Общая сумма лизинговых платежей, которую в течение пяти лет
должен заплатить лизингополучатель, составляет согласно расчетам 10 025 401
руб., что фактически на 50% больше цены имущества (5 000 000 руб.). В тоже
время сумма налога на добавленную стоимость в лизинговых платежах составляет 1
529 299 руб. (на эту сумму лизингополучатель уменьшает реальные выплаты налога на
добавленную стоимость в бюджет). Кроме того, общая сумма лизинговых платежей
без налога на добавленную стоимость списывается в полном объеме на
себестоимость, что в итоге при ставке налога на прибыль 20% дает налоговую
экономию в размере 1 699 220 руб. Таким образом, чистый денежный поток у
лизингополучателя за весь период договора лизинга составляет 6 796 882 руб.
(таблица 22). Данную сумму можно трактовать как величину непосредственных
затрат приобретателя имущества в случае, если он решает воспользоваться
лизинговой схемой для приобретения актива.
Табл. 23. Совокупные затраты при лизинге
|
Период
|
Лизинговый платеж
|
НДС
|
Налоговая экономия (гр.2 - гр.3) ∙ 0,20
|
Чистый денежный поток (гр.2 - гр.3 - гр.4)
|
|
1 год 2 год 3 год 4 год 5 год
|
2 611 480 2 308 281 2 005 080 1 701 880 1 398 680
|
398 361 352 111 305 860 259 609 213 358
|
442 624 391 234 339 844 288 454 237 064
|
1 770 495 1 564 936 1 359 376 1 153 817 948 258
|
|
Итого
|
10 025 401
|
1 529 299
|
1 699 220
|
6 796 882
|
2. Кредит. При определении условий проведения сравнительного анализа
вариантов финансирования приобретения имущества сделаем допущение о
сопоставимости кредитных взаимоотношений между лизингодателем и банком (в
случае, если лизингодатель берет в банке кредит для финансирования покупки
имущества), и приобретателем и банком (в случае, если приобретатель имущества
обращается самостоятельно в банк за кредитом для покупки).
В отличие от лизинга в данном случае имущество сразу становится
собственностью приобретателя, хотя и обременено залогом в обеспечение возврата
банковского кредита. Приобретатель начисляет амортизационные отчисления, при
этом необходимо иметь в виду, что в данной ситуации к норме амортизации не
применяется коэффициент ускорения, использование которого возможно при лизинге.
При прочих равных условиях, по сравнению с лизингом, это приводит к увеличению
срока списания имущества и, соответственно, к увеличению суммы налога на
имущество, которую должен заплатить балансодержатель.
По аналогии с лизингом сумма «входящего» налога на
добавленную стоимость предъявляется бюджету, поэтому на данную величину
совокупные затраты приобретателя имущества уменьшаются. В таблице 2 приводится
расчет совокупных затрат приобретателя имущества в случае покупки за счет
кредита. Поскольку сделали допущение о сопоставимости кредитных отношений, в
этом примере график возврата и сумма процентов за кредит в обоих случаях
одинаковы, однако финансовые последствия для конечного приобретателя имущества
при лизинге и при самостоятельной покупке за счет кредита различны. При
использовании лизинговой схемы сумма процентов за кредит, взятый лизингодателем
для финансирования сделки, в полном объеме предъявляется лизингополучателю, т.
е. входит в состав лизинговых платежей, которые списываются на себестоимость с
уменьшением налогооблагаемой базы по налогу на прибыль. При покупке имущества
за счет кредита, после ввода объекта в эксплуатацию проценты за кредит
относятся фактически за счет собственных источников у приобретателя. Таким
образом, при уплате приобретателем имущества банку 3 600 000 руб., в виде
процентов потери по налогу на прибыль составят 16 200 руб. при ставке 20%. Эта
величина выражает сумму налога на прибыль, которую должна заплатить
организация, прежде чем у нее появляется возможность произвести расход в размере
3 600 000 руб.
Начисленная амортизация в течение рассматриваемых пяти
лет составит 1 412 430 руб., а общая сумма налога на имущество 367 232 руб. При
списании указанных сумм на себестоимость организация уменьшает отток денежных
средств по налогу на прибыль суммарно на 359 172 руб. Таким образом,
идентифицировав все прямые и косвенные денежные потоки у приобретателя,
(приложение 3 таблица 2) определим величину совокупных затрат, которая
составляет 7 861 550 руб.
Сравнение вариантов позволяет сделать вывод о том, что
лучшим по критерию минимума совокупных затрат на реализацию проекта оказывается
первый вариант - приобретение имущества на условиях лизинга. Экономия средств
приобретателя в этом случае по сравнению с вариантом, при котором приобретатель
закупает имущество за счет кредита такова: 1 064 668 руб.
Следует обратить внимание, что в данных расчетах не
учитывается тот факт, что по окончании лизингового договора к лизингополучателю
переходит полностью амортизированное имущество, т.е. имущество, остаточная
стоимость которого равна нулю. Соответственно лизингополучатель в дальнейшем не
платит налог на имущество (нет базы для налогообложения). В случае покупки
имущества за счет кредита, имущество имеет более длительные сроки списания, так
как коэффициент ускорения (к=3) не применяется.
В данном случае при покупке имущества за счет кредита
(т. е. покупке без использования лизинговой схемы) имущество будет
амортизироваться еще в течение десяти лет, соответственно, в течение всего
этого срока на данное имущество будет начисляться налог на имущество.
Как оформить лизинг:
. Выберите необходимое для Вас имущество;
. Позвоните по телефону или приходите в офис лизинговой компании
«Эст-групп»;
. Покажите менеджеру Ваш бизнес;
. После положительного решения, заключайте договор лизинга и воплощайте
ваши мечты в реальность.
ООО «Эст-групп» имеет возможность четко контролировать комплектацию машин
непосредственно на заводе. Благодаря тесному сотрудничеству на территории
сервисного центра организован склад запчастей. ООО «Эст-групп» производит
полное обслуживание в сервисном центре, а также осуществляет постгарантийное
обслуживание.
На базе ООО "АТП" есть возможность пройти техосмотр (ГАИ).
Гарантийный период составляет 1 год или 50000 км. пробега. Компания поставляет
машины только полностью адаптированные к Российским условиям в следующей
комплектации:
· кондиционер;
· ABS;
· гидромуфта;
· двойной стеклопакет;
· усиленная рама;
· магнитола;
· расширенный топливный бак на 300-350 литров;
· 18-ти слойная дорожная резина, а также подогрев кузова
(двойное дно) на самосвалах.
Завершающим этапом инвестиционной стратегии является оценка эффективности
предложенных мероприятий.
3.2 Оценка эффективности инвестиционной стратегии предприятия ОАО
"Яхрома-Лада"
На данном предприятии эксплуатируется самосвал КАМАЗ 6520 (6х4) 1998 года
выпуска и использует по договору аренды миксер 6x4 HOWO ZZ5257. При покупке и
вводе в эксплуатацию новых единиц техники мы получим следующую экономию.
Проведем сравнительный анализ двух самосвалов (приложение 4) КАМАЗ 6520
(6х4) 1998 года и HOWO 6х4".
Рис. 20. Сравнительный анализ двух самосвалов
За 1 рабочую смену самосвал в среднем делает 3 поездки по 33 километра.
Иными словами за 1 рабочую смену самосвал КАМАЗ 6520 (6х4) с объемом кузова 12
м³ привезет 36 м³ стройматериала.
А самосвал HOWO (6х4) с объемом кузова 19 м³ привезет 38 м³ за 2 поездки сделав на 1 поездку
меньше, что сэкономит наши расходы на 16 литров топлива или 296 руб. в день, за
1 год самосвал КАМАЗ 6520 (6х4) проедет в среднем 36 000 километров,
израсходует на 36 000 километров 15 480 литров дизельного топлива, а китайский
самосвал за 1 год проедет 23 760 километров и израсходует 9 029 литров
дизельного топлива, так как объем кузова более вместительней.
Годовая экономия по расходу топлива составит 119 344 руб. Стоимость
дизельного топлива в среднем 18,5 руб.
При эксплуатации, каждый год самосвал КАМАЗ 6520 (6х4) 1998 года выпуска
нуждается в капитальном ремонте, в среднем эти затраты составляют 30 000 руб.,
при вводе в эксплуатацию китайского самосвала HOWO (6х4) у организации не будет
такой потребности, но сопутствующие эксплуатации затраты будут, они составят 5
000 руб. в год. Таким образом, получим экономию в размере 25 000 руб. в год.
Так как данный самосвал будет находиться на балансе лизингодателя, то
прохождение технического осмотра не потребуется, при прохождении технического
осмотра самосвала КАМАЗ 6520 (6х4) 1998 года выпуска затраты составят 8 500
руб. Таким образом ввод в эксплуатацию китайского самосвала HOWO (6х4) даст
экономию в размере 8 500 руб. в 1 год эксплуатации.
Так же на данном предприятии эксплуатируется миксер 6x4 HOWO ZZ5257
(приложение 4) по договору аренды. Годовой платеж по договору аренды составляет
240 000 руб., при вводе в эксплуатацию китайского миксера 6x4 HOWO ZZ5257 мы
будем экономить данную сумму. За 1 рабочую смену миксер 6x4 HOWO ZZ5257 в
среднем делает 2 поездки по 30 километров, за 1 год миксер проезжает 18 000
километров, израсходовав при этом 5 040 литров дизельного топлива или 93 240
руб., эти затраты будут списываться на себестоимость.
Таким образом, при вводе китайского самосвала HOWO (6х4) в эксплуатацию
получим следующую экономию, 119 344 руб. в год за счет более вместительного
кузова и более экономичного расхода топлива, 25 000 руб. в год за счет того,
что на новую технику дается гарантия 1 год или 50 000 километров, 8 500 руб. в
год за счет прохождения технического осмотра, в целом экономия составит 146 344
руб. в год. При вводе в эксплуатацию китайского миксера 6x4 HOWO ZZ5257 получим
экономию в размере 240 000 руб. В целом экономия по вводу в эксплуатацию
китайской строительной техники составит 387 944 руб.
ü Предприятие ОАО "Яхрома-Лада" заключило договор с
ООО «Медус» на проведение строительных работ. За оказание этих услуг в договоре
оговорено денежное вознаграждение в размере 12 000 000 руб. Дата начала работ 3
квартал 2011 года, дата сдачи конец 4 квартала 2011 года.
При обновлении автомобильного парка за счет лизинга целесообразно
составить прогнозный баланс на 2012 год.
В состав себестоимости будет входить: ГСМ, а именно годовые расходы по 2
единицам техники будут составлять 260 277 руб.; фонд оплаты труда по 2
водителям за 1 год составит 360 000 руб., в нем учитывается заработная плата,
премиальные, а так же все выплаты по социальному пакету; лизинговые платежи,
ежегодная величина которых составляет 1 770 495 руб.; в целом себестоимость
составит 29 590 772 руб. из этой суммы вычитается экономия по вводу в
эксплуатацию двух единиц техники, которая составляет 392 844 руб., прогнозная
себестоимость составит 29 198 000 (таблица 25).
Табл. 25. Прогноз финансовых показателей
|
Показатель
|
За 2012 год
|
Прогноз
|
|
Выручка (нетто) от продажи товаров, продукции, работ, услуг
(за минусом НДС, акцизов и аналогичных обязательных платежей) тыс. руб.
|
28900
|
40900
|
|
Себестоимость проданных товаров, продукции, работ, услуг
тыс. руб.
|
27200
|
29198
|
|
Валовая прибыль
|
1700
|
11702
|
|
Прибыль (убыток) от продаж тыс. руб.
|
1700
|
11702
|
|
Прибыль (убыток) до налогообложения тыс. руб.
|
2220
|
12312
|
|
Текущий налог на прибыль тыс. руб.
|
533
|
2462
|
|
Чистая прибыль (убыток) отчетного периода тыс. руб.
|
1687
|
9850
|
Данные мероприятия положительно отразились на показатели рентабельности,
из представленной таблицы (приложение 5 таблица 1) видно, что все показатели
рентабельности увеличились. Наибольшее изменение произошло у показателя
рентабельности собственного капитала, по прогнозным данным в 2012 году значение
этого показателя равно 4925%. Увеличение произошло за счет увеличения чистой
прибыли. Динамику изменения можно проследить на рисунке 21.
Рис. 21Динамика изменения показателей рентабельности
В результате проведения оценки состояния ОАО "Яхрома-Лада"
выяснилось, что оно испытывает недостаток собственных средств для осуществления
перспективной деятельности.
Дальнейшая деятельность предполагает приобретение двух единиц
строительной техники стоимостью 5 000 000 рублей.
Эта покупка может быть осуществлена за счет заемных источников:
банковского кредита или лизинга. Сравнение вариантов позволяет сделать вывод о
том, что лучшим по критерию минимума совокупных затрат на реализацию проекта
оказывается первый вариант - приобретение имущества на условиях лизинга.
Экономия средств приобретателя в этом случае по сравнению с вариантом, при
котором приобретатель закупает имущество за счет кредита такова: 1 138 115 руб.
Обновление автомобильного парка положительно отразилась на финансовое
состояние ОАО "Яхрома-Лада", наблюдается существенное снижение
себестоимости, и увеличение чистой прибыли.
Таким образом, поэтапная реализация инвестиционной
стратегии позволила в условиях динамичной внешней среды менеджерам ОАО
"Яхрома-Лада" и выбрать наиболее эффективный способ финансирования
бизнес-решений, улучшив тем самым свое финансово-экономическое положение.
Заключение
В данной выпускной квалификационной работе
представлена инвестиционная стратегия, разработанная с целью улучшения
финансового состояния предприятия ОАО "Яхрома-Лада".
Планирование и анализ являются наиболее важными
слагаемыми научного управления деятельностью предприятия. Основным инструментом
планирования можно назвать бизнес-план, который является документом,
описывающим цели и задачи предприятия, дающим возможность определить
жизнеспособность проекта в условиях конкуренции и позволяющим получить
поддержку от внешних инвесторов. Состав, структура и объем бизнес-плана
определяется спецификой вида деятельности, размером предприятия и целью
составления. В первой главе дипломной работы проведен анализ существующих
методик составления бизнес-плана и предложена наиболее оптимальная структура.
Финансовый анализ показал, что предприятие ОАО
"Яхрома-Лада" имеет очень низкую рентабельность для поддержания
платежеспособности на приемлемом уровне.
Оно не сможет погасить в краткосрочном периоде свои
текущие обязательства перед бюджетом, поставщиками и работниками за счет
собственных денежных средств, производственных запасов, дебиторской
задолженности и прочих оборотных активов.
Об этом свидетельствует значение показателя
коэффициента общей ликвидности. Наблюдается тенденция ухудшения финансовых
результатов деятельности.
Для выведения предприятия из кризиса следует
предпринять значительные изменения в его финансово-хозяйственной деятельности.
В процессе реализации инвестиционной стратегии
предприятия было выявлено, что свой внутренний финансовый потенциал ОАО
"Яхрома-Лада" может улучшить, используя возможности внешней среды.
Реализация инвестиционной стратегии предполагает и
претворение в реальность бизнес-проекта со значительным запасом по
безубыточному снижению объемов продаж, который может защитить финансовое
положение предприятия.
Анализ показателей предприятия, проведенный после
разработки инвестиционной стратегии и реализации в связи с ней ряда
мероприятий, показал их улучшение.
После реализации проекта предприятие получит отличные
шансы для дальнейшего развития.
Практическая значимость разработанной инвестиционной
стратегии для повышения рыночной устойчивости исследуемого предприятия
неоспорима, новизна разрабатываемой проблемы определена управленческими
новшествами.
Таким образом, поэтапная реализация инвестиционной
стратегии позволила в условиях динамичной внешней среды менеджерам ОАО
"Яхрома-Лада" выбрать наиболее эффективный способ финансирования
текущей деятельности, улучшив тем самым свое положение.
Эффективность использования финансовых ресурсов влияет на финансовую
устойчивость предприятия, его ликвидность, платежеспособность, деловую
активность и рентабельность. Наличие в достаточном объеме финансовых ресурсов,
их эффективное использование, предопределяют хорошее финансовое положение
предприятия платежеспособность, финансовую устойчивость, ликвидность. В этой
связи важнейшей задачей предприятий является изыскание резервов увеличения
финансовых ресурсов и наиболее эффективное их использование в целях повышения
эффективности работы предприятия в целом.
Финансирование предприятия ОАО "Яхрома-Лада" возможно за счет
собственных, заемных и привлеченных средств. Использование в своей деятельности
собственных, заемных и привлеченных средств имеет свои плюсы и минусы, но,
несмотря на минусы предприятие, используемое только собственных средств, имеет
наивысшую финансовую устойчивость, так как именно он позволяет снизить
финансовую зависимость предприятия. Собственные финансовые ресурсы для каждого
предприятия, являются той жизненно необходимой частью, без которой невозможна
ни работа, ни дальнейшее существование предприятия. При самофинансировании
обеспечивается финансовая устойчивость развития предприятия ОАО
"Яхрома-Лада", его платежеспособность в долгосрочном периоде. А также
обеспечивается снижение риска банкротства.
В настоящих условиях гарантией нормального процесса расширенного
воспроизводства является финансирования капитальных вложений путём
заимствования средств. Поиск эффективных направлений заимствования финансовых
ресурсов и своевременное привлечение заемных средств становятся основными в
управлении финансовыми средствами предприятия и одной из главных задач
финансовых служб предприятия. Условиями, которые ставятся руководством предприятия
перед финансовым менеджментом ОАО "Яхрома-Лада" , являются
привлечение дополнительные финансовых средств на выгодных условиях и
инвестирование их с наибольшим эффектом.
Уникальным источником финансирования деятельности предприятия являются
привлеченные источники. Аспект управления привлеченными источниками
финансирования важен, поскольку он обуславливает эффективность внутренней
системы финансового менеджмента.
В результате оценки эффективности управления финансовыми ресурсами
предприятия ОАО "Яхрома-Лада" можно сделать вывод, что на данном
предприятии наблюдается увеличение себестоимости, и снижение чистой прибыли,
что довольно неблагоприятно для дальнейшего развития предприятия. Это произошло
из-за устаревшей технической базы предприятия, на данном предприятии
эксплуатируется самосвал КАМАЗ 6520 (6х4) 1998 года выпуска. Отсутствие
некоторых единиц техники, а именно миксера для перевозки бетонной смеси, так же
привело к увеличению себестоимости.
Для того чтобы улучшить финансовое состояние предприятия целесообразно
снизить себестоимость, путем приобретения новой строительной техники в лизинг,
так как по сравнению с кредитом лизинг более выгоден в финансовом плане. В
результате предложенных мной мероприятий на основе прогнозных данных произошло снижение
себестоимости, и увеличение чистой прибыли предприятия, а так же это повлияло
на показатели рентабельности. Показатели рентабельности в планируемом периоде
увеличились, что говорит об улучшении финансового состояния предприятия.
Приложения
Приложение 1
Рисунок 1. Инвестиционная деятельность коммерческого
предприятия
Приложение 2
Приложение 3
Таблица 1. Расчет лизинговых платежей
|
Период
|
Погашение кредита в конце года
|
Выплаты процентов за год
|
Долг по кредиту на 1 января
|
Амортиза ция за год
|
Остаточная стоимость на 1 января
|
Налог на имущество
|
Возврат НДС
|
Потери на процентах
|
Расходы, уменьшающие налогооблага- емую прибыль (г.5 + г.7
+ г.9)
|
Налоговая экономия ( r.10 ∙ 0,20)
|
Чистый денежный поток (г.2 + г.3 + г.7 - г.8 + г.9 - г.11)
|
|
1 год 2 год 3 год 4 год 5 год
|
1 000 000 1 000 000 1 000 000 1 000 000 1 000 000
|
1 200 000 960 000 720 000 480 000 240 000
|
5 000 000 4 000 000 3 000 000 2 000 000 1 000 000
|
282 486 282 486 282 486 282 486 282 486
|
4 237 288 3 954 802 3 672 316 3 389 830 3 107 344
|
84 746 79 096 73 446 67 797 62 147
|
152 542 152 542 152 542 152 542 152 542
|
5 400 4 320 3 240 2 160 1 080
|
372 632 365 902 359 172 352 443 345 713
|
74 526 73 180 71 834 70 489 69 143
|
2 063 078 1 817 694 1 572 310 1 326 926 1 081 542
|
|
Итого
|
5 000 000
|
3 600 000
|
|
1 412 430
|
|
367 232
|
762 712
|
16 200
|
1 795 862
|
359 172
|
7 861 550
|
Таблица 2. Совокупные затраты при приобретении имущества за счет кредита
|
Период
|
Погашение кредита в конце года
|
Выплаты процентов за год
|
Долг по кредиту на 1 января
|
Амортиза ция за год
|
Остаточная стоимость на 1 января
|
Налог на имущество
|
Возврат НДС
|
Потери на процентах
|
Расходы, уменьшающие налогооблагаемую прибыль (г.5 + г.7 +
г.9)
|
Налоговая экономия ( r.10 ∙ 0,20)
|
Чистый денежный поток (г.2 + г.3 + г.7 - г.8 + г.9 - г.11)
|
|
1 год 2 год 3 год 4 год 5 год
|
1 000 000 1 000 000 1 000 000 1 000 000 1 000 000
|
1 200 000 960 000 720 000 480 000 240 000
|
5 000 000 4 000 000 3 000 000 2 000 000 1 000 000
|
282 486 282 486 282 486 282 486 282 486
|
4 237 288 3 954 802 3 672 316 3 389 830 3 107 344
|
84 746 79 096 73 446 67 797 62 147
|
152 542 152 542 152 542 152 542 152 542
|
5 400 4 320 3 240 2 160 1 080
|
372 632 365 902 359 172 352 443 345 713
|
74 526 73 180 71 834 70 489 69 143
|
2 063 078 1 817 694 1 572 310 1 326 926 1 081 542
|
|
Итого
|
5 000 000
|
3 600 000
|
|
1 412 430
|
|
367 232
|
762 712
|
16 200
|
1 795 862
|
359 172
|
7 861 550
|
Приложение 4
Таблица 1Основные поставщики
|
Наименование
|
Реквизиты
|
Вид имущества
|
|
ООО "СпецАвто"
|
г.Миасс, ул. Степана Разина 5а-64, 8-9128970810
|
Спецтехника, автомобили Урал, КАМАЗ
|
|
ООО "ТСЦ ВАЛИО"
|
г.Челябинск, ул. Героев Танкограда 1в, тел. (351) 772-76-44
|
Автомобили ГАЗ
|
|
ОАО "НЕФАЗ"
|
г.Нефтекамск, ул. Янаульская 3, тел (34713)2-35-61
|
Прицепы, полуприцепы, автомобили Камаз
|
|
ООО "АГАТ"
|
г.Нижний Новгород, ул. Ватутина 11, тел/факс (8312)
35-98-73, 35-58-51, 37-72-13
|
Грузовые автомобили ГАЗ и легковые автомобили Mitsubishi,
Hyundai, Ford
|
|
ООО "Торговый Дом "Автомобили и моторы
Урала"
|
г.Москва, ул. Артюховой д.6 строение 1, тел.
8-094-741-27-04
|
Автомобили Амур
|
Приложение 5
Самосвал HOWO Sinotrak 6х4, Евро 3.
Цена машины 1 800 000 руб.
"Технические
характеристики Самосвал HOWO 6х4"
|
Мощность двигателя
|
336 л.с.
|
|
Грузоподъемность
|
20 000 кг
|
|
Колесная формула
|
6 х 4
|
|
Модель двигателя
|
WD 615.69, Рядный с турбонаддувом (аналог STEYR)
|
|
Количество цилиндров
|
6
|
|
Соответствует стандарту
|
Евро 2
|
|
Максимальная скорость
|
75-90 км/ч
|
|
Расход топлива в нагруженном состоянии(20т)
|
37-39 л на 100 км
|
|
Сцепление
|
GF-F 420
|
|
Трансмиссия
|
Аналог Eaton Fuller (USA), 9-ти ступенчатая
|
|
Рулевое управление
|
По лицензии ZF (Германия)
|
|
Подвеска
|
Передняя подвеска с амортизаторами. Задняя рессорная
подвеска с 4-мя опорами на резиновых подушках, стабилизаторы поперечной
устойчивости.
|
|
Кабина
|
HW 76 (Volvo)
|
|
Увеличенная кабина со спальным местом. Сиденье нового типа.
Регулируемый руль. Отопление кабины - система климат-контроль. Внешний
солнцезащитный козырек.
|
|
Шины
|
Радиальные 12,00-20 с камерой
|
|
Мосты
|
Аналог STEYR
|
|
Объем топливного бака
|
280 л
|
|
Габариты кузова: длина / ширина / высота
|
5400/2300/1500 мм
|
Приложение 6
Технические характеристики Самосвала Камаз 6520 (6х4)
|
Весовые параметры и нагрузки, а/м
|
|
|
Снаряженная масса а/м, кг
|
12950
|
|
Снаряженная масса а/м, нагрузка на переднюю ось, кг
|
|
Снаряженная масса а/м, нагрузка на заднюю тележку, кг
|
7720
|
|
Грузоподъемность а/м, кг
|
14400 (20000*)
|
|
Полная масса, кг
|
27500 (33100*)
|
|
Двигатель
|
|
|
Модель
|
740.51-320 (Евро-2)
|
|
Номинальная мощность, нетто, кВт(л.с.) / при частоте
вращения коленчатого вала, об/мин
|
220 (300) / 2200
|
|
Номинальная мощность, брутто, кВт(л.с.) / при частоте
вращения коленчатого вала, об/мин
|
235 (320) / 2200
|
|
Максимальный крутящий момент, нетто, Нм (кгсм) / при
частоте вращения коленчатого вала, об/мин
|
1255 (128) / 1300-1500
|
|
Расположение и число цилиндров
|
V-образное, 8
|
|
Рабочий объём, л
|
11,76
|
|
Диаметр цилиндра и ход поршня, мм
|
120/130
|
|
Степень сжатия
|
16,5
|
|
Коробка передач
|
|
|
Модель
|
ZF 16S 151
|
|
Тип
|
механическая, шеснадцатиступенчатая
|
|
Управление
|
механическое, дистанционное
|
|
Передаточные числа на передачах
|
1 -13,80 -11,54/ 2 -9,49 -7,93/ 3 -6,53 -5,46/ 4 -4,57
-3,82/ 5 -3,02 -2,53/ 6 -2,08 -1,74/ 7 -1,43 -1,20/ 8 -1,00 -0,84/ 3Х -12,92
-10,80
|
|
Самосвальная платформа
|
|
|
Объем платформы, куб. м
|
12
|
|
Угол подъема платформы, град
|
50
|
|
Направление разгрузки
|
назад
|
|
Общие характеристики
|
|
|
Максимальная скорость, не менее, км/ч
|
75
|
|
Угол преодол. подъема, не менее, %
|
25
|
|
Внешний габаритный радиус поворота, м
|
9,3
|
|
Расход топлива в нагруженном состоянии литры на 100 км
|
43
|
Миксер 6x4 HOWO ZZ5257 Цена машины 3 200 000 руб.
"Технические характеристики Миксер 6x4 HOWO ZZ5257
|
Мощность двигателя
|
336 (л.с.)
|
Мощность двигателя
|
336 (л.с.)
|
|
Грузоподъемност
|
25 000 (кг)
|
Грузоподъемност
|
25 000 (кг)
|
|
Объем бочки
|
8 (куб.м)
|
Объем бочки
|
8 (куб.м)
|
|
Колесная формула
|
6х4
|
Колесная формула
|
6х4
|
|
Ширина передней колеи
|
1939 (мм)
|
Ширина передней колеи
|
1939 (мм)
|
|
Ширина задней колеи
|
1800 (мм)
|
Ширина задней колеи
|
1800 (мм)
|
|
Клиренс
|
298 (мм)
|
Клиренс
|
298 (мм)
|
|
Минимальны радиус поворота
|
24 (м)
|
Минимальны радиус поворота
|
24 (м)
|
|
Модель двигателя
|
STEYR WD615.69
|
Модель двигателя
|
STEYR WD615.69
|
|
Основные характеристики
|
Рядный с турбо наддувом и интеркуллером
|
Основные характеристики
|
Рядный с турбо наддувом и интеркуллером
|
|
Рабочий объём двигателя
|
9726
|
Рабочий объём двигателя
|
9726
|
|
Кол-во цилиндров
|
6
|
Кол-во цилиндров
|
6
|
|
Соответствует стандарту
|
Евро 2
|
Соответствует стандарту
|
Евро 2
|
|
Максимальная скорость
|
90 - 102 (км/ч)
|
Максимальная скорость
|
90 - 102 (км/ч)
|
|
Расход топлива
|
28 (л)
|
Расход топлива
|
28 (л)
|
|
Сцепление
|
GF-Ф 420 Однодисковое
|
Сцепление
|
GF-Ф 420 Однодисковое
|
|
Диаметр диска
|
420 (мм)
|
Диаметр диска
|
420 (мм)
|
|
Трансмиссия (Коробка передач)
|
ZF (Германия) 9 - ти ступенчатая механическая
|
Трансмиссия (Коробка передач)
|
ZF (Германия) 9 - ти ступенчатая механическая
|
|
Рулевое управление
|
ZF (Германия)
|
Рулевое управление
|
ZF (Германия)
|
|
Передняя подвеска
|
Жесткие ступицы с двойной Т-образной балкой
|
Передняя подвеска
|
Жесткие ступицы с двойной Т-образной балкой
|
|
Задняя подвеска
|
Компактные редукторы мостов, одинарная главная
передача,колесные редукторы с межколесным и межосевым диф.
|
Задняя подвеска
|
Компактные редукторы мостов, одинарная главная
передача,колесные редукторы с межколесным и межосевым диф.
|
|
Кабина
|
HW79 (VOLVO) Стандартная цельностальная кабина,
откидывающаяся вперед на 70%, двухслойное лобовое стекло, трёхскоростные
стеклоочистители,2-х местная,отопитель салона
|
Кабина
|
HW79 (VOLVO) Стандартная цельностальная кабина,
откидывающаяся вперед на 70%, двухслойное лобовое стекло, трёхскоростные
стеклоочистители,2-х местная,отопитель салона
|
|
Диски
|
8.5 - 20
|
Диски
|
8.5 - 20
|
|
Шины
|
12.00 - 20 с камерой
|
Шины
|
12.00 - 20 с камерой
|
|
Объем топливного бака
|
200 (л)
|
Объем топливного бака
|
200 (л)
|
|
Снаряженная масса
|
11200 (кг)
|
Снаряженная масса
|
11200 (кг)
|
|
Скорость заполнения бочки >/= 3 (м3/мин)
|
>/= 3 (м3/мин)
|
Скорость заполнения бочки >/= 3 (м3/мин)
|
>/= 3 (м3/мин)
|
|
Угол наклона смесителя
|
13,5 (°)
|
Угол наклона смесителя
|
13,5 (°)
|
|
Скорость слива бетона
|
>/= 2 (м3/мин)
|
Скорость слива бетона
|
>/= 2 (м3/мин)
|
|
Процент остатка бетона в бочке
|
1.0 (%)
|
Процент остатка бетона в бочке
|
1.0 (%)
|
|
Редуктор вращения бочки
|
TMG
|
Редуктор вращения бочки
|
TMG
|
|
|
|
|
|
|
Таблица 1. Прогнозные показатели рентабельности
|
Показатели
|
2010 год
|
Прогноз
|
Изменение
|
|
Прибыль от продаж, тыс. руб.
|
1700
|
11697
|
9997
|
|
Прибыль до налогообложения, тыс. руб.
|
2220
|
12312
|
10092
|
|
Чистая прибыль (прибыль после налогообложения), тыс. руб.
|
1687
|
9850
|
8163
|
|
Среднегодовая стоимость всего капитала, тыс. руб.
|
6642
|
6642
|
0
|
|
Среднегодовая стоимость основных средств, тыс. руб.
|
2402
|
2402
|
0
|
|
Среднегодовая величина собственного капитала, тыс. руб.
|
200
|
200
|
0
|
|
Среднегодовая стоимость инвестиционного капитала, тыс. руб.
|
200
|
200
|
0
|
|
Рентабельность продаж, %
|
5,88
|
28,60
|
22,72
|
|
Рентабельность всего капитала, %
|
33,42
|
185,37
|
151,95
|
|
Рентабельность основных средств, %
|
92,42
|
512,57
|
420,15
|
|
Рентабельность собственного капитала, %
|
843,50
|
4925,00
|
4081,5
|
|
Рентабельность инвестиционного (перманентного) капитала, %
|
843,5
|
4925,00
|
4081,5
|