Расчет железобетонных конструкций многоэтажного производственного здания
1. Исходные данные для проектирования
Здание проектируется по жесткой конструктивной схеме, с
полным каркасом, поперечными стенами из кирпича и с продольными навесными
панельными стенами в сборном железобетоне. Район строительства - г. Гороховец.
Сетка колонн:
поперек здания - (пролет
число пролетов) - 
;
вдоль здания - (шаг колонн
число шагов) - 
.
Направление ригелей (главных балок) - поперек здания.
Высота этажа - 
, количество этажей - 
, отметка уровня земли - 
.
Коэффициент надежности по ответственности здания 
.
Временная нормативная нагрузка (включая кратковременную) на
междуэтажных перекрытияx 
и 
Коэффициент снижения временной нагрузки:
а) для сборных ригелей - 
;
б) для колонн - 
.
Бетон тяжелый класса:
а) для плит: В15;
б) для ригелей: В15;
в) для колонн: В20;
г) для колонн: В15.
Рабочая арматура классов:
а) полка сборной плиты сетки по ГОСТ
б) продольных ребер плиты: А300;
в) ригеля: А400;
г) колонны: А300;
д) для колонн: А300.
Поперечную арматуру в продольных ребрах плиты, в ригеле и
колонне принять самостоятельно.
Расчетное сопротивление грунта 
;
Ригель средний с 2 каркасами.
2.
Компоновка здания
В соответствии с заданием проектируются сборные железобетонные
конструкции 4 - этажного, 4 - пролетного производственного здания без подвала,
с обычными условиями эксплуатации помещений. На рисунке 1 показаны план и
поперечный разрез рассчитываемого здания. Расстояния между разбивочными осями
здания - продольными 
и поперечными 
; высота этажей - 
. Здание имеет полный железобетонный каркас с рамами,
расположенными в поперечном направлении. Поперечные рамы образуются из колонн,
располагаемых на пересечениях осей, и ригелей, идущих поперек здания. Ригели
опираются на консоли колонн. Места соединения ригелей и колонн, после сварки
выпусков арматуры и замоноличивания стыков, образуют жесткие рамные узлы.
На ригели опираются плиты перекрытий (перекрытия), располагаемые
длинной стороной вдоль здания и длина плит равна расстоянию между осями рам 
. Плиты ребристые, у продольных стен укладываются плиты половинной
ширины, называемыми пристенными или доборными. По рядам колонн размещаются
связевые (межколонные) плиты, приваренные в четырех точках к закладным деталям
ригелей и соединяющиеся между собой поверх продольных ребер стальными
накладками.
Продольные стены выполняются навесными или самонесущими из
легкобетонных панелей. Привязка колонн крайних рядов и наружных стен к
продольным разбивочным осям - «нулевая».
Поперечные стены (торцевая и внутренняя) выполняются самонесущими
кирпичными. Расстояние между поперечными стенами 
, что меньше 
. В этом случае в поперечном направлении здание будет с жесткими
опорами, при которых элементы каркаса (ригели и колонны) рассчитываются только
на вертикальные нагрузки, а горизонтальная (ветровая) нагрузка воспринимается
поперечными стенами, выполняющими функции вертикальных связевых диафрагм. В
продольном направлении жесткость здания обеспечивается металлическими
портальными вертикальными связями, устанавливаемыми в одном среднем пролете по
каждому продольному ряду колонн.
3.
Расчет ребристой плиты
3.1 Исходные данные для проектирования плиты
Для сборного железобетонного перекрытия, представленного на плане
и разрезе рисунка 1, требуется рассчитать сборную ребристую плиту с
ненапрягаемой арматурой в продольных ребрах. Сетка колонн 
. Направление ригелей междуэтажных перекрытий - поперек здания.
Нормативное значение временной нагрузки на междуэтажные перекрытия 
, длительная - 
. Коэффициент надежности по назначению здания принимается 
; коэффициент надежности по нагрузке: временной - 
; постоянной - 
. Бетон тяжелый класса В15.
Расчетные сопротивления бетона 
и 
.
Для расчета по первой группе предельных состояний:

; 
;
Для расчета по второй группе предельных состояний:

; 
Основные размеры плиты (рисунок 2):
· длина плиты

;
· номинальная ширина 
;
· конструктивная ширина

Высота плиты ориентировочно определяется по выражению,
принимая всю нагрузку длительной:
3.2 Расчет плиты по прочности
Расчет полки плиты.
Толщина полки принята 
.
Пролет полки в свету по рисунку 2а, меньший размер:
больший размер:
Расчетная нагрузка на 
полки:
Постоянная с коэффициентом надежности по нагрузке 
:
- вес полки: 
где 
- вес 1 м3 тяжелого железобетона;
- вес пола и перегородок 
(при отсутствии сведений о конструкции пола и перегородок, их
нормативный вес принят 
).
Итого постоянная нагрузка: 
Временная нагрузка (с 
): 
Полная расчётная нагрузка (с 
):
Изгибающий момент в полке (в пролете и на опорах) при
прямоугольных полях (
):
Площадь арматуры при 
(a = защитный слой 15 мм + расстояние до
середины толщины сетки при арматуре Ø3В500).
Расчетное сопротивление арматуры 
(таблица Приложения «В»)
Проверка условия 
:
Граничная относительная высота сжатой зоны:
Таким образом, условие 
выполняется. При невыполнении данного условия, необходимо повысить
класс бетона.
Принята сетка: 
Процент армирования полки:
Расчет поперечных ребер.
Высота ребра 
, арматура А400, расчётный пролёт:
Временная расчётная нагрузка на ширине ребра 0,1 м
Сечение тавровое, расчётная ширина полки:
Расчёт арматуры:
Принят 
с 
Расчет продольных ребер.
Продольные ребра рассчитываются в составе всей плиты,
рассматриваемой как балка П-образного сечения с высотой 
и номинальной шириной 
(конструктивная ширина 
). Толщина сжатой полки 
.
Расчетный пролет при определении изгибающего момента принимает
равным расстоянию между центрами опор на ригелях:
Расчетный пролет при определении поперечной силы:
Нагрузка на 1 пм плиты составит:
постоянная:
где 
- расчетная нагрузка от собственного веса трех поперечных ребер

- расчетная нагрузка от собственного веса двух продольных ребер с
заивкой швов
где 
- средняя ширина двух ребер и шва
временная:
полная:
Усилия от расчетной нагрузки для расчета на прочность:
Расчет прочности нормальных сечений.
Продольная рабочая арматура в ребрах принята класса A300,
расчетное сопротивление 
. Сечение тавровое с полкой в сжатой зоне; расчетная ширина полки 
; 

. (а = 55 мм при двухрядной арматуре).
Полагая, что нейтральная ось лежит в полке, имеем:
Проверка условия:
Площадь сечения продольной арматуры:
Принимаем продольную арматуру 
Расчёт нормальных сечений к продольной оси
элемента по деформационной модели.
Расчет по прочности производят из условий:
Деформации в продольной арматуре в предельном состоянии при
двузначной эпюре деформаций согласно гипотезе плоских сечений равны:
где 
- фактическая высота сжатой зоны бетона:
где х - высота сжатой зоны при прямоугольной эпюре напряжений,
полученная при расчёте по предельным усилиям. Используя расчёты, выполненные
выше (
, 
), и задавшись 
, проверим предельные деформации в бетоне:
деформации в бетоне не превшают предельных.
Расчет прочности нормальных сечений на поперечную
силу.
Поперечная сила на грани опоры 
. В каждом продольном ребре устанавливается по одному каркасу с
односторонним расположением двух рабочих стержней диаметром 
. Диаметр поперечных стержней из условия свариваемости должен быть
не менее 0,25 диаметра продольной арматуры.
При 
и n = 2 имеем:
Бетон тяжелый класса В15 (
Предварительно принятый шаг хомутов:
Прочность бетонной сжатой полосы:

, прочность обеспечена.
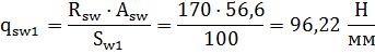
Интенсивность хомутов:
Поскольку
хомуты полностью учитываются в расчете и 
определяется по формуле:
Самая невыгодная длина проекции наклонно сечения С определяется из
выражения:
Поскольку
значение С определяем по формуле:
Принимаем 
.
Длина проекции наклонной трещины 
принимается
не более 
и не более 
. В данном случае 
. Тогда:
Проверяем условие
т.е. прочность наклонных сечений обеспечена.
Определение длины приопорного участка
При равномерно распределенной нагрузке длина приопорного участка
определяется в зависимости от:
Поскольку 
Значение 
Так как 
, длина приопорного участка определяем по формуле:
3.3 Расчет плиты по второй группе предельных
состояний
Производится от нормативных нагрузок (при 
и 
)
3.3.1 Расчет по образованию трещин
Расчетное тавровое сечение представлено на рисунке 7. С учетом
замоноличивания бетоном продольного шва между ребрами расчетная ширина полки
будет равна 
и средняя ширина ребра:

.
Трещины образуются, если
Площадь приведенного сечения
Статический момент приведенного сечения относительно растянутой
грани 1-1:
Расстояние до центра тяжести приведенного сечения от нижней грани
продольных ребер:
Момент сопротивления приведенного сечения:
Ядровое расстояние приведенного сечения:
где 
- деформации усадки бетона класса В35 и ниже.
Момент трещинообразования:
Трещины образуются от усадки бетона еще до приложения внешней
нагрузки.
3.3.2 Расчет ширины раскрытия трещин
Расчет непродолжительной ширины раскрытия трещин производится
из условия:
Расчет продолжительной ширины раскрытия трещин производится
из условия:


- ширина раскрытия трещин от продолжительного действия постоянной
и длительной части временной нагрузки:
где 
- коэффициент, учитывающий продолжительность действия нагрузки и
принимаемый равным 1,0 - при непродолжительном действии нагрузки; 1,4 - при
продолжительном действии нагрузки;

- коэффициент, учитывающий профиль продольной арматуры и
принимаемый равным 0,5 - для арматуры периодического профиля;

- коэффициент, учитывающий характер нагружения и принимаемый
равным 1,0 - для изгибаемых элементов;
Принимаем 
Средняя высота сжатой зоны для тавровых сечений, определяется по
формуле:
где 
- площадь сечения свесов полки
где значение относительных деформаций бетона при продолжительном
действии нагрузки, 
(при относительной влажности воздуха 40-75%).
Высота растянутой зоны бетона 
должна быть не менее 2a и не более 
.
где 
- поправочный коэффициент, равный: для прямоугольных и тавровых
сечений с полкой в сжатой зоне - 0,9;
Так как 
Принимаем 
.
Определение 
ширины раскрытия трещин от непродолжительного действия постоянной
и временной длительной нагрузки
Из расчета 
Непродолжительная ширина раскрытия трещин составит:
3.3.3 Расчет плиты по прогибам
Полная кривизна для участков с трещинами в растянутой зоне
определяется по формуле:
Полный прогиб плиты:
где 
- кривизна от непродолжительного действия постоянной и длительной
нагрузки
Из расчета 
Момент инерции приведенного сечения без учета растянутого бетона:
где 
- коэффициент ползучести бетона
Принято:
Кривизна от непродолжительного действия всей нагрузки:
Из расчета

Кривизна от непродолжительного действия постоянной и длительной
нагрузки:
Из расчета 
т.к. нагрузка носит непродолжительный характер

.
Плита удовлетворят требованиям:
а) эстетико - психологическим
б) конструктивным

4.
Расчет сборного ригеля поперечной рамы
4.1 Исходные данные для проектирования ригеля
Для сборного железобетонно перекрытия требуется рассчитать сборный
ригель. Сетка колон 
. Для ригеля среднего пролета необходимо построить эпюры моментов
от нагрузки и его несущей способности.
Данные для расчета: бетон тяжелый, класс бетона B15. Коэффициент
работы бетона 
. Расчетные сопротивления бетона с учетом 
:

и 
. Продольная и поперечная арматура - класса А400. Коэффициент
снижения временной нагрузки 
.
4.2 Расчет ригеля по прочности
Нагрузка на ригель собирается с грузовой полосы (представленной на
рисунке 1) шириной 
, равной расстоянию между осями ригелей.
а) Постоянная нагрузка (с 
и 
):
- вес железобетонных плит с заливкой 
:

;
- вес пола и перегородок:

;
- собственный вес ригеля сечением 
(размеры предварительные)

;
Итого: постоянная нагрузка 
.
б) Временная нагрузка с коэффициентом снижения 
(с 
и 
):

.
Полная расчетная нагрузка
.
При поперечном сечение колонн 
, вылет консолей 
. Расчетные пролеты ригеля равны:
- крайний пролет 
- средний пролет 
В средних пролетах и на средних опорах
Отрицательные моменты в пролетах при 
, в среднем пролете для точки «6» при 
Поперечная сила в каждом пролете определяется как для простой
балки с опорными моментами на концах.
На опоре В справа и на средних опорах:
Для арматуры класса 
, 
, 
. Принимаем ширину сечения 
. Высоту ригеля определяем по опорному моменту 
, задаваясь значением 
, 
.
4.3
Определение площади поперечного сечения поперечной арматуры на отрыв
здание железобетон плита арматура
Нагрузка на ригель приложена в пределах высоты его сечения.
Поэтому неободима дополнительная вертикальная (поперечная) арматура, площадь
которой определяется расчетом на отрыв. Отрывающая нагрузка, приходящаяся на 1
мп длины ригеля и передающаяся через его полки на среднюю часть равна (без
учета нагрузки от собственного веса ригеля и нагрузки на его ширине равной 0,3
м):
где 
- ширина поперечного сечения ригеля
Так как шаг поперечных хомутов 
меньше 
, площадь 
будет уменьшаться пропорционально 
Прочность обеспечена.
Библиографический
список
1. СНиП
2.011.07-85*. Нагрузки и воздействия [Текст]; утв. Госстроем России 29.05.2003;
взамен СНиП II-6-74; дата введения 01.01.87. - М.: ГУП ЦПП, 2003. -44с
2. СНиП
52-01-2003. Бетонные и железобетонные конструкции. Основные положения [Текст];
утв. Государственным комитетом Российской Федерации по строительству и жилищно
- коммунальному комплексу от 30.06.2003; взамен СНиП 2.03.01-84; дата введ.
01.03.2004. - М: ГУП НИИЖБ, 2004.-26 с.
. СП
52.101-2003. Бетонные и железобетонные конструкции без предварительного
напряжения арматуры [Текст]: утв. Государственным комитетом Российской
Федерации по строительству и жилищно-коммунальному комплексу от 30.06.2003:
взамен СНиП 2,03,01-84: дата введ. 01.03.2004.-М.: ГУП ГИИЖБ, 2004.-55 с.
. Нифонтов
А.В. Расчет сборных железобетонных конструкций многоэтажного производственного
здания. Части 1, 2. Методические указания для выполнения курсовых и дипломных
проектов по железобетонным конструкциям. / Нифонтов А.В., Малышев В.В., Иваев
О.О. - Н. Новгород. ННГАСУ. 2010, 37 с.