Проектирование и расчёт сборного железобетонного перекрытия здания
Оглавление
Введение
. Монтажная схема
перекрытия. Назначение основных размеров
. Проектирование плиты
панели
.1 Статический расчет
.2 Подбор арматуры
.3 Конструирование
арматуры
. Проектирование
промежуточной диафрагмы
.1 Статический расчет
.2 Расчет продольной
арматуры
.3 Расчет поперечной
арматуры
. Проектирование
продольного ребра
.1 Статический расчет
.2 Расчет продольной
арматуры
.3 Расчет поперечной
арматуры
. Проектирование
неразрезного прогона (ригеля)
.1 Статический расчет и
построение огибающих эпюр моментов
.2 Расчет продольной
арматуры и построение эпюр предельных моментов
.3 Расчет поперечной
арматуры
.4 Сопряжение колонны с
прогоном
Список использованной
литературы
Введение
Межэтажные перекрытия в составе
промышленных и гражданских зданий являются одним из основных конструктивных
элементов, благодаря которым обеспечивается общая пространственная жесткость
здания. До 50% общего объема материалов идет на выполнение межэтажных
перекрытий.
Перекрытия могут выполняться из
сборного или монолитного железобетона.
Настоящий проект сборного
железобетонного перекрытия разработан в соответствии с заданием на
проектирование и действующими СНиП.
Исходные данные для проектирования
следующие:
нормативная полезная нагрузка на
перекрытие - 1450 кгс/м2;
длина перекрытия в плане - 23,2
+29,0 м;
ширина перекрытия в плане - 21,9
+21,9 м.
1. Монтажная схема
перекрытия. Назначение основных размеров
Ребристое перекрытие с балочными
плитами состоит из трех элементов:
- главные балки - их направление
совпадает с направлением длинной стороны здания (lпр= 6 ¸ 8 м);
- прогоны - их направление совпадает
с направлением короткой стороны здания (l= 5 ¸ 7 м);
- колонны - устанавливаются в местах
пересечений прогонов с главными балками.
Назначим lпр = 7,3 м; l =
5,8 м. Тогда:
. Длина панели:
Принимаем число панелей n=4, тогда:
2. Плита:
3. Промежуточная диафрагма:
4. Торцевая диафрагма:
Продольные ребра:
2. Проектирование плиты
панели
2.1 Статический расчет
Статический расчет плиты, как всякой
инженерной конструкции, начинается с установления расчетной схемы и подсчета
нагрузок. При расчете из перекрытия мысленно вырезается (перпендикулярно
второстепенным балкам) полоса шириной один метр, которая и рассматривается как
многопролетная неразрезная балка, несущая постоянную и временную нагрузки.
Постоянная нагрузка включает в себя
собственный вес плиты и вес пола. Запроектируем чистый цементный пол по
шлакобетону.
Все нагрузки сведем в таблицу 1:
Таблица 1
|
Нагрузки
|
Норм.нагр. кГс/м2
|
Коэф. безопасности по нагр.
|
Расчет.нагр. кГс/м2
|
|
Пол
|
162
|
1,3
|
210,6
|
|
Плита (g=2500
кг/м3; h=0,08 м)
|
200
|
1,1
|
220
|
|
Постоянная нагрузка:
|
430,6
|
|
Полезная нагр.
|
1450
|
1,2
|
1740
|
|
Всего:
|
2170,6
|
Расчетная постоянная нагрузка равна:
а расчетная полезная:
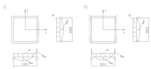
Плита ребристой панели в статическом
отношении представляет собой однорядную многопролетную плиту, работающую в двух
направлениях, упруго защемленную на продольных ребрах и диафрагмах (рис. 1.).
Опорные моменты, передающие от плиты на продольные ребра и торцевые диафрагмы,
вызывают в них кручение.
Рис. 1. Расчетные схемы торцевой и
средней плит панели: а - торцевая плита; б - средняя плита
Ввиду возможного поворота продольных
ребер и торцевых диафрагм можно допустить, что вдоль этих ребер плита оперта
шарнирно. Вдоль средних диафрагм плиту следует считать жестко защемленной, т.к.
поворот опорных сечений плиты на средних диафрагмах практически отсутствует.
Посчитаем наибольшие значения
пролетных изгибающих моментов в торцевой плите в направлении осей х и у по
формулам:
где
полная расчетная нагрузка на 1 погонныйм полосы шириной
вырезанной условно в центре плиты в направлении осей х и у;
и
- табличные коэффициенты, зависящие от отношения
;
,
- расчетные пролеты участков плиты.
Подсчитаем опорные моменты:
где
доля нагрузки, передаваемая в направлении оси х. Коэффициент
также берется из таблицы.
Случай «А»:
Случай «Б»:
Для определения же опорного момента
в средней плите необходимо воспользоваться формулой:
Рис. 2. Результирующие эпюры
изгибающих моментов в плитах панели
2.2 Подбор арматуры
Для элементов монолитного ребристого
перекрытия примем бетон класса В20 (Rb = 117кГс/см2) и
арматуру классов Вр-I (Rs = 3700кГс/см2).
Таблица 2
|
|
М кГс*м
|
h0 см
|
A0
|
h
|
As, см2
|
Сортамент
|
Asфакт, см2
|
S,мм
|
|
схемаа
|
Мах пр
|
|
6
|
0,056
|
0,971
|
1,09
|
6Æ5Вр-I
|
1,18
|
167
|
|
Маупр
|
|
|
0,048
|
0,975
|
0,93
|
5Æ5Вр-I
|
0,98
|
200
|
|
Мах оп
|
|
|
0,151
|
0,917
|
3,13
|
8Æ7Вр-I
|
3,08
|
125
|
|
схема б
|
Мбхпр
|
|
|
0,045
|
0,977
|
0,88
|
7Æ4Вр-I
|
0,88
|
143
|
|
Мбупр
|
|
|
0,032
|
0,984
|
0,61
|
5Æ4Вр-I
|
0,63
|
200
|
|
Мбхоп
|
|
|
8Æ7Вр-I
|
Определяем полезную высоту сечения:
где
Затем в каждом расчетном сечении
подсчитываем А0 по формуле:
По значению
в таблице находим значение h, после чего площадь сечения арматуры определяется по формуле:
Пример расчета для Маxпр:
1)
.
2)
3) h=0,971.
4)
Диаметр арматуры следует брать от 3
до 12 мм. Не должно быть большого разнообразия в диаметрах, не более 3
различных диаметров.
Плита панели, как правило,
армируется сварными сетками, которые изготавливаются из отдельных стержней
арматуры, свариваемых между собой с помощью контактной точечной сварки.
Пролетные участки торцевых и средних
плит панели работают в двух направлениях. Поэтому для их армирования
изготавливают сетки с рабочей арматурой в двух направлениях, причем количество
арматуры на каждый погонный метр сетки в обоих направлениях должно
соответствовать расчетному сечению.
Устанавливаются эти сетки по низу
плиты. В плитах панели количество рабочих стержней на 1 пог. м в обоих
направлениях должно быть не менее пяти, т.е. расстояние между отдельными
стержнями не должно превышать 20 см, а максимальное количество стержней
устанавливается от 14 до 20.
Фактическая площадь арматуры должна
отклоняться от расчетной не более чем на 15%.
2.3 Конструирование
арматуры
Площадь сечения
арматуры подбиралась для полосы шириной один метр, условно вырезанной в зоне
плиты панели с максимальными изгибающими моментами в направлении осей х и у.
Зная расчетную
площадь сечения арматуры на один погонный метр ширины, выполняем армирование
всей плиты панели в соответствии с нормами.
Плита панели
армируется сварными сетками, которые изготавливаются из отдельных стержней
арматуры, свариваемых между собой с помощью контактной точечной сварки.
Пролетные участки
торцевых и средних плит панели работают в двух направлениях, поэтому для их
армирования изготовляют сетки с рабочей арматурой в двух направлениях, причем
количество арматуры на каждый погонный метр сетки в обоих направлениях должно
соответствовать расчетному сечению.
Эти сетки
устанавливаются по низу плиты. В плитах панели количество рабочих стержней на
один погонный метр в обоих направлениях должно быть не меньше 5 и не более 10.
Фактическая площадь
арматуры должна отклоняться от расчетной не более чем на 10%, а отклонение в
меньшую сторону не должно превышать 2%.
Над промежуточными
диафрагмами по верху плиты ставятся плоские сетки с рабочей арматурой в одном
направлении. Над торцевыми же диафрагмами и продольными ребрами по верху плиты
устанавливаются сетки с гнутыми рабочими стержнями: не менее трех стержней на
один погонный метр. Она предназначена для восприятия изгибающих моментов,
возникающих в сечениях плиты у продольных ребер и торцевых диафрагм, которые
при расчете плиты не учитывались.
Перпендикулярно рабочей арматуре в
надопорных сетках устанавливается распределительная арматура, надопорные сетки
следует продолжить не менее чем на 1/4 пролета в каждую сторону от опоры.
3. Проектирование
промежуточной диафрагмы
3.1 Статический расчет
Поперечные ребра
диафрагмы рассматриваются как однопролетные свободно опертые балки. Нагрузка на
них передается от плиты по закону треугольника (расстояния между диафрагмами
больше ширины панели). Закон передачи нагрузки путем проведения биссектрис углов
между продольными и поперечными ребрами.

Рис.4. Расчетная
схема
Рис.5. Грузовая площадь
Величина расчетного
пролета:
lд =bпан =1,80м.
На один погонный
метр диафрагмы:
где bд ср - средняя ширина сечения диафрагмы
(bд ср= 9 см),
γж/б - удельный вес
железобетона
(γж/б = 2500 кгс/м3),
-
коэффициент перегрузки (
=
1,1).
кгс/м.
Наибольшее значение
треугольной нагрузки q0, передаваемой от плиты,
включая вес плиты, вес пола и полезную нагрузку для средних диафрагм, найдем по
формуле:
Наибольший
изгибающий момент в пролете и поперечная сила на опорах при треугольном законе
передачи нагрузки определяется по формулам:
3.2 Расчет продольной
арматуры
Диафрагма,
изгибаясь под действием нагрузок сверху, вовлекает в работу прилегающие части
плиты. Сечение становится не прямоугольным, а тавровым. Нейтральная линия,
которая отличает сжатую зону от растянутой, может проходить в полке или в
ребре.
. Назначаем
расчётную ширину полки, исходя из следующих критериев:
Подставляя
найденные ранее значения, получаем:
Принимаем bп=30 см.
. Определяем
полезную высоту диафрагмы:
где а = 2÷3 см.
Тогда
3. Определяем
положение нейтральной оси.
Предельный момент,
воспринимаемый полкой:
Т.к. Мmax =
кгс*м<Мп=3369,6 кгс*м, нейтральная ось проходит в
полке и сечение рассчитывается как прямоугольное с шириной, равной ширине полки
bп.
. Определяем
параметр Ао:
По таблице для
найденного параметра А0 определяем коэффициент η =0,936.
. Определяем
площадь сечения продольной арматуры:
Подбираем по
сортаменту 1Ø16 А-III с Asфакт=2,011см2.
3.3 Расчет поперечной
арматуры
здание
железобетонный арматура перекрытие проектирование
Диафрагма сборной
панели армируется, как правило, одним плоским каркасом, который состоит из
одного или двух рабочих стержней продольной арматуры, поперечных стержней -
хомутов и одного монтажного стержня, диаметр которого назначается
конструктивно:
Поперечная арматура
(хомуты) ставится в балках для обеспечения их прочности по наклонным сечениям.
Задача расчета поперечной арматуры состоит в подборе диаметра и шага хомутов.
. Проверяем
условие прочности по бетонной полосе между наклонными сечениями:
Если условие не
проходит, следует увеличить размеры сечения или назначить более высокий класс
бетона.
Исходя из этого,
Условие
выполняется.
. Назначаем
шаг хомутов, руководствуясь следующими ограничениями:
Подставляя
известные значения, получаем:
Принимаем
.
3. Назначаем
хомуты минимального диаметра Ø6 А-I.
Силу,
сосредоточенную в хомутах заменяем условно распределённой на единицу длины
элемента силой
:
где:
-
площадь поперечного сечения хомутов в одном поперечном сечении балки;
-
расчетное сопротивление хомутов.
Тогда,
При этом должно
выполняться следующее условие:
Принимаем
. Считаем в
запас прочности так, что q=0, так как нагрузка не является равномерно распределённой.
. Определяем
момент Mb:
Тогда,
6. Проверяем
выполнение следующего условия, при котором предельная поперечная сила на опоре,
воспринимаемая диафрагмой должна быть больше поперечной силы в нормальном
сечении элемента:
;
Подставляя ранее
найденные значения, получаем:
Так как
,
то окончательно принимаем хомуты Ø6
А-I шагом
.
Принимаем диаметр монтажного
стержня равным 8 мм.
4. Проектирование
продольного ребра
4.1 Статический расчет
Продольные ребра
рассматриваются как свободно опертые на прогоны балки. Нагрузка на них
передается непосредственно от плиты по закону треугольника или трапеции и от
диафрагм в виде сосредоточенных сил.
Рис.7. Схема
загрузки продольного ребра (грузовая площадь)
Рис.8. Расчетная
схема
1. Нагрузка
от собственного веса погонного метра ребра:
где:
-
средняя ширина ребра (
= 9
см);
-
удельный вес железобетона (
= 2500
кгс/м3);
-
коэффициент надежности по нагрузке (
= 1,1).
Тогда:
2. Практическая
нагрузка, принимаемая равномерно распределенной:
3. Наибольший
изгибающий момент в середине пролета:
4. Наибольшая
поперечная сила на опорах:
4.2 Расчет продольной
арматуры
При расчете
арматуры в ребре необходимо учесть работу плиты, часть которой попадает в
сжатую зону. Расчетный профиль зависит от положения нейтральной оси.
Для армирования
продольных ребер выбрана арматурная проволока класса А-III с расчетным
сопротивлением Rs=3600 кгс/см2.
Рис.9. Схема
армирования продольного ребра
1. Полезная
высота ребра:
где:
а - толщина
защитного слоя (принимаем а = 5 см).
Тогда
2. Расчётная
ширина полки, исходя из следующих критериев:
Подставляя
найденные ранее значения, получаем:
Принимаем
. Определение
положения нейтральной оси.
Предельный момент,
воспринимаемый полкой:
Тогда
Так как
то нейтральная ось проходит в полке и сечение рассчитывается как
прямоугольное с шириной, равной ширине полки bп.
. Параметр
:
Тогда
По таблице для
найденного параметра А0 определяем коэффициент η =0,946.
. Площадь
сечения продольной арматуры:
Тогда
Подбираем по
сортаменту 1Ø32
А-III
с Asфакт=8,043 см2.
4.3 Расчет поперечной
арматуры
Расчет поперечной
арматуры продольного ребра выполняем аналогично расчету поперечной арматуры
диафрагмы.
. Проверяем
условие прочности по бетонной полосе между наклонными сечениями:
Если
условие не проходит, следует увеличить размеры сечения или назначить более
высокий класс бетона.
Исходя
из этого:
Условие
выполняется.
2. Назначаем
шаг хомутов, руководствуясь следующими ограничениями:
Подставляя
известные значения, получаем:
Принимаем
3. Назначаем
хомуты минимального диаметра
.
Силу,
сосредоточенную в хомутах заменяем условно распределённой на единицу длины
элемента силой
:
где:
Asw - площадь поперечного сечения хомутов в одном поперечном сечении
балки;
Rsw - расчетное сопротивление хомутов.
Тогда
При этом должно
выполняться следующее условие:
Принимаем
. Определяем
предельную поперечную силу, которая может быть допущена на опоре при заданном
армировании.
Тогда
Подставляя ранее
найденные значения, получаем:
;
;
;
Так как
,то расчетным является
случай 1.
Так как
,
то окончательно принимаем хомуты Ø8
А-I шагом
.
Принимаем диаметр
монтажного стержня равным 8 мм.
5. Проектирование
неразрезного прогона (ригеля)
5.1 Статический расчет и
построение огибающих эпюр моментов
Неразрезные прогоны жестко связаны с
колоннами и образуют с ними рамную конструкцию. Достоинством неразрезного
прогона является более выгодная статическая работа и, соответственно, более
рациональное распределение арматуры , а также более высокая жесткость.
Недостатком такого прогона является сложность осуществления жестких стыков.
Верхнюю арматуру пропускают через
пазы колонны. В этом случае она может воспринимать изгибающий момент. Нагрузки
на прогон передаются в виде постоянных и временных сосредоточенных сил G и P , а также равномерно
распределенной нагрузки от собственного веса в местах опирания продольных ребер
панелей. Постоянные силы Gскладываются из веса пола, элементов панели (плиты, диафрагм,
продольных ребер) и собственного веса участка прогона длиной , равной ширине
панели. Таким образом, расчетная постоянная нагрузка равна:
Нагрузка от веса пола на
перекрытия:
Нагрузка от веса плиты панели:
Нагрузка от веса диафрагм в одной
панели, где n - число диафрагм в одной панели:
Нагрузка от веса продольных рёбер:
Нагрузка от собственного веса части
прогона:
где
-
высота прогона,
-
ширина прогона.
Таким образом, получим расчетную
постоянную нагрузку:
Расчетную полезную (временную)
сосредоточенную силу определим из зависимости:
где
-
нормативная полезная нагрузка на
перекрытия
Так как число сосредоточенных сил в
пролете больше трех, то нагрузку на прогон можно привести к равномерно
распределённой:
Установив расчетную схему , можно
определить значения изгибающих моментов М:
Результаты расчетов
сводим в таблицу:
|
Х/L
|
α
|
Mq
|
βmax
|
βmin
|
Mpmax
|
Mpmin
|
M max
|
M min
|
|
0,2
|
0,0589
|
10410,39
|
0,0695
|
-0,0105
|
32667,35
|
-4935,35
|
43077,74
|
5475,04
|
|
0,4
|
0,0779
|
13768,59
|
0,0989
|
-0,0211
|
46486,34
|
-9917,71
|
60254,93
|
3850,87
|
|
0,6
|
0,0568
|
10039,23
|
0,0884
|
-0,0316
|
41550,99
|
-14853,07
|
51590,21
|
-4813,84
|
|
0,8
|
-0,0042
|
-742,34
|
0,0381
|
-0,0423
|
17908,29
|
-19882,43
|
17165,95
|
-20624,77
|
|
0,9
|
-0,0497
|
-8784,32
|
0,0182
|
-0,068
|
8554,61
|
-31962,30
|
-229,71
|
-40746,62
|
|
1
|
-0,105
|
-18558,43
|
0,0144
|
-0,1196
|
6768,49
|
-56216,04
|
-11789,94
|
-74774,47
|
|
1,1
|
-0,0576
|
-10180,62
|
0,014
|
-0,0717
|
6580,47
|
-33701,42
|
-3600,15
|
-43882,05
|
|
1,2
|
-0,02
|
-3534,94
|
0,03
|
-0,05
|
14101,01
|
-23501,69
|
10566,07
|
-27036,63
|
|
1,4
|
0,0253
|
4471,70
|
0,0726
|
-0,0474
|
34124,45
|
-22279,60
|
38596,15
|
-17807,90
|
|
1,5
|
0,0328
|
5797,30
|
0,0789
|
-0,0461
|
37085,67
|
-21668,56
|
42882,97
|
-15871,26
|
|
1,6
|
0,0305
|
5390,78
|
0,0753
|
-0,0447
|
35393,54
|
-21010,51
|
40784,33
|
-15619,73
|
|
1,8
|
-0,0042
|
-742,34
|
0,0389
|
-0,0432
|
18284,31
|
-20305,46
|
17541,98
|
-21047,80
|
|
1,9
|
-0,0366
|
-6468,94
|
0,028
|
-0,0646
|
13160,95
|
-30364,18
|
6692,01
|
-36833,12
|
|
2
|
-0,0799
|
-14122,08
|
0,0323
|
-0,1112
|
15182,09
|
-52267,76
|
1060,01
|
-66389,84
|
|
2,1
|
-0,0339
|
-5991,72
|
0,0293
|
-0,0633
|
13771,99
|
-29753,14
|
7780,27
|
-35744,86
|
|
2,2
|
0,0011
|
194,42
|
0,0416
|
-0,0405
|
19553,41
|
-19036,37
|
19747,83
|
-18841,95
|
|
2,4
|
0,0411
|
7264,30
|
0,0855
|
-0,0385
|
40187,89
|
-18096,30
|
47452,19
|
-10832,00
|
|
2,5
|
0,0461
|
8148,03
|
0,0895
|
-0,0395
|
42068,02
|
-18566,33
|
50216,06
|
-10418,30
|
Пример расчета:
1. x/l=0,2
2. Определяем момент от
постоянной нагрузки:
3. Определяем максимальный
возможный момент от временной нагрузки в данном сечении:
4. Определяем минимальный
возможный момент от временной нагрузки в данном сечении:
5. Определяем суммарный
максимальный момент в данном сечении:
6. Определяем суммарный
минимальный момент в данном сечении:
По результатам вычислений строим
огибающие эпюры Мmax и Мmin
Рис. 11. Огибающие эпюры
5.2 Расчет продольной
арматуры и построение эпюр предельных моментов
Для изготовления прогонов без
предварительного напряжения принимаем бетон класса В20, в качестве продольной
рабочей арматуры используется стержневая сталь горячекатаная периодического
профиля класса A-III, поперечная арматура (хомуты) и монтажная (конструктивная)
арматура изготавливается из стали того же класса.
Для уточнения размеров сечения
прогона рационально взять изгибающий момент в первом пролёте (наибольший):
Ми=0,93Ммакс=69,54тс·м.
1. Задаёмся величиной процента
армирования μ%=1,7%=0,017.
2. Определяем высоту сжатой
зоны сечения:
По параметру ξ определяем параметр А0=0,385.
3. Определяем полезную высоту
прогона по формуле:
4. Определяем высоту прогона:
Округлим
кратно 5 см:
.
5. Уточняем полезную высоту h0 :
6. Ширина прогона:
Принимаем
.
Подбор арматуры произведём в
табличной форме:
|
|
М, т·м
|
h0, см
|
A0
|
η
|
As, см2
|
Сортамент
|
Asфакт, см2
|
|
M1прmax
|
60,25
|
79
|
0,258
|
0,768
|
27,58
|
3ø25 +3ø25
|
29,46
|
|
М2прmax
|
42,88
|
|
0,184
|
0,897
|
16,81
|
3ø20+3ø18
|
17,05
|
|
М3прmax
|
50,22
|
|
0,215
|
0,877
|
20,13
|
3ø22+3ø20
|
20,82
|
|
Мгр В
|
69,54
|
|
0,298
|
0,867
|
28,20
|
3ø25+3ø25
|
29,46
|
|
Мгр С
|
61,74
|
|
0,264
|
0,846
|
25,66
|
3ø25 +3ø22
|
26,13
|
Моменты на границе опор В и С
определяем по формуле:
Мгр=0.93М.
По результатам расчета арматуры
строятся эпюры предельных моментов.
Для этого сначала определяются
моменты, воспринимаемые арматурой (см.таблицу)
|
|
Сортамент
|
Аsфакт,см2
|
|
η
|
Мпред
|
т·м
|
|
1пр
|
3ø25 +3ø25
|
29,46
|
0,36
|
0,820
|
6870308
|
68,70
|
|
3ø25
|
14,73
|
0,18
|
0,910
|
3812183
|
38,12
|
|
2пр
|
3ø20+3ø18
|
17,05
|
0,21
|
0,895
|
4339873
|
43,40
|
|
3ø20
|
9,42
|
0,11
|
0,945
|
2531700
|
25,32
|
|
3пр
|
3ø22+3ø20
|
20,82
|
0,25
|
0,875
|
5181057
|
51,81
|
|
3ø22
|
11,4
|
0,14
|
0,930
|
3015209
|
30,15
|
|
В
|
3ø25+3ø25
|
29,46
|
0,36
|
0,820
|
6870308
|
68,70
|
|
3ø22
|
11,4
|
0,14
|
0,930
|
3015209
|
30,15
|
|
С
|
3ø25 +3ø22
|
26,13
|
0,32
|
0,840
|
6242352
|
62,42
|
|
3ø22
|
11,4
|
0,14
|
0,930
|
3015209
|
30,15
|
Пример расчета:
) Определяем
,
по табл.1 [1] определяем
2) Находим предельный момент по
формуле:
5.3 Расчет поперечной
арматуры
Поперечная сила воспринимается в
пределах сжатой зоны в хомутах. Рассчитаем хомуты по максимальной поперечной
силе на грани опоры и поставим подобранные по ней хомуты во всех пролетах.
Интенсивность распределенной
нагрузки:
1. Определим максимальную
поперечную силу с помощью табличных решений:
Из условия прочности по
наклонной полосе между трещинами проверяем достаточность размеров сечения:
где:
предельная поперечная
сила, кгс;
ширина прогона = 32см;
полезная высота сечения,
расстояние от центра тяжести арматуры до верхнего края прогона, =79см;
расчетное сопротивление
бетона сжатию, зависит от класса бетона. В соответствии с принятым классом В20
Условие прочности выполняется.
2. Назначаем шаг хомутов на
приопорных участках:
Подставляя
известные значения, получаем:


Назначаем
шаг хомутов S = 30см.
3. Назначаем хомуты 3Æ 16кл. А-III (
)
с расчетным сопротивлением
где
количество
хомутов;
площадь
поперечного сечения стержня;
При этом должно соблюдаться условие:
-
условие выполняется.
где
расчетное
предельное сопротивление бетона осевому растяжению;
. Находим момент:
5. Находим предельную реакцию дл
первого случая:
>
,
следовательно, несущей способности сечения хватает.
Проверим, не вышло ли
«с» за пределы допустимого диапазона:
,
следовательно, расчет
верный.
. Находим предельную
реакцию для второго случая:\

следовательно, несущей
способности сечения хватает.
Проверим, не вышло ли
сза пределы допустимого диапазона:
;
c<
=237см,
следовательно, расчет
верный.
7. Определяем удельную поперечную
силу, которая может быть допущена на опоре при заданном армировании:
,
т.е. минимальная реакция
больше максимальной поперечной силы.
. Окончательно принимаем
хомуты 3Æ
16кл. А-III (
)
с расчетным сопротивлением
. На участках балки, где
хомуты не требуются по расчету (в средней трети пролета, где поперечная сила
воспринимается только бетоном) их шаг должен быть не более
.
Принимаем шаг S=50см.
5.4 Сопряжение колонны с
прогоном
Одной из существенных
особенностей сборного ребристого перекрытия является необходимость устройства
стыков отдельных элементов для обеспечения жесткости самого перекрытия и всего
здания в целом. Наиболее ответственным является сопряжение прогона с колоннами.
При проектировании неразрезного прогона жесткий стык с колонной выполняет
одновременно монтажную и рабочую роль. В данном курсовом проекте принят стык
прогона с помощью пластин.
Определим толщину
пластины.
Для этого надо
определить площадь ее поперечного сечения:
Апл ≥
.
Высота плиты
Толщина плиты
Принимаем толщину плиты
14 мм.
Список
использованной литературы
1.
Страхов Д.А., Соколов В.А., Михеев П.Ю. «Проектирование сборной железобетонной
ребристой плиты покрытия. Методические указания»; СПбГПУ, 2008.
.
Кононов Ю.И. «Сборное железобетонное ребристое перекрытие»; ЛПИ им. Калинина,
1982.
. СП
52-101-2003 «Бетонные и железобетонные конструкции без предварительного
напряжения».
. СНиП
« Бетонные и железобетонные конструкции. Основные положения».