Расчет плоских ферм
1. РАСЧЕТ
ПЛОСКИХ ФЕРМ
1.1 Ручной расчет трехстержневой
фермы
Ферменная конструкция (рис. 1) состоит из трех стержней, каждый из
которых одним концом закреплен в неподвижном шарнире, а другим связан шарнирно
с остальными стержнями. К свободному узлу 2 приложена вертикальная сила Т=1000
кН, направление которой указано на рисунке. Расстояние а=1 м, стержни
изготовлены из стали (Е=2×105 МПа) одинакового поперечного сечения
Рисунок 1 - Эскиз фермы
Матрицы смещений и узловых усилий: V
, P
.
Матрица жесткости в общем виде:
Поскольку узлы 1,3 и 4 закреплены, то есть неподвижны, матрица
неизвестных перемещений узлов конструкции будет содержать только две ненулевые
компоненты:
Тогда матрица сил и коэффициентов жесткости в основной системе координат
примут вид:
Матричное уравнение
будет содержать таким образом два уравнения:
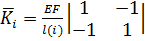
Для отыскания элементов этой матрицы рассмотрим жесткостные
характеристики стержней в местных координатах. Для определенности примем, что
местная ось
направлена от узла с меньшим номером к узлу с большим
номером (рис. 2).
Рисунок 2 - Общие и местные системы координат.
Составим таблицу с геометрическими параметрами системы
Таблица 1
Основные геометрические параметры
Коэффициенты жесткости в местной системе координат вычисляются по
формуле:
где
- номер стержня.
Матрицы жесткости в местных осях:
Выпишем матрицы косинусов
для стержней:
Используем формулу перевода матриц жесткости из местной СК в общую СК
для каждого стержня, получаем:
Для первого стержня:
Для второго стержня:
Для третьего стержня:
Цифры внизу и сбоку матриц означают номера соответствующих сил и
перемещений.
Сформируем окончательную матрицу жесткости K с учетом закрепления
конструкции, для этого просуммируем соответствующие коэффициенты жесткости
отдельных элементов, стоящие на пересечении строк и столбцов с индексами
ненулевых смещений, то есть с индексами 3, 4. В результате получим:
Записываем систему уравнений
относительно ненулевых
и
в общей системе координат:
Решая эту систему находим:
Знак «-» означает, что перемещения узла осуществляются в отрицательном
направлении осей (рис. 2).
Матрицы перемещений стержней в общей системе координат:
Определим перемещения в местных системах координат по формуле
, где
:
Отрицательные знаки в матрицах свидетельствуют о том, что перемещения
направлены в стороны обратные принятым направлениям местных осей.
По формуле
вычисляем узловые силы, действующие на каждый стержень вдоль
его оси, то есть в местных системах координат:
С учетом знаков узловых сил и выбранных направлений осей местных
координат можно отметить, что стержень (1) - сжат, стержни (2), (3) -
растянуты.
По известным усилиям определим толщину стенок трубчатых стержней с
постоянным внешним диаметром D.
При сжатии стержня (1) критическая сила равна:
где
момент инерции полого круглого сечения:
Условие прочности (устойчивости) при сжатии:
где
коэффициент запаса при потере устойчивости,
действующая сила.
Подставляя все известные значения в приведенные выше формулы, находим
внутренний диаметр d1 .
Решая это неравенство относительно d1, находим:
Следовательно, тогда толщина стенки:
Для растянутых стержней условие прочности запишется через напряжения:
где
коэффициент запаса прочности при растяжении;
действующее на стержень напряжение;
допустимое напряжение.
Для второго стержня:
Решая это неравенство относительно d2, находим:
Следовательно, толщина стенки:
Для третьего стержня:
Решая это неравенство относительно d3, находим:
Следовательно, толщина стенки:
Масса стержней определится по формуле:
где
площадь i-того стержня,
плотность материала.
Масса всей конструкции:
1.2 Расчет трехстержневой фермы в программе MathCAD 14
.2.1 Исходные данные
- длина стержня;
- вертикальная сила, приложенная к свободному узлу;
- модуль упругости материала (сталь);
- плотность материала (сталь);
- допустимое напряжение;
;
- коэффициент запаса прочности;
- внешний диаметр стержня;
- площадь сечения стержня;
- количество стержней, соответственно.
1.2.2 Начало вычислений
Координаты точек стержней относительно оси x:
Координаты точек стержней относительно оси y:
Длина стержней:
Направляющие косинусы стержней:
Матрицы жесткости в местной системе координат:
Матрицы направляющих косинусов:
Матрицы жесткости в общей системе координат:


.2.3 Вычисление элементов системы
Stack - массив сформированный расположением матриц друг над другом,-
массив сформированный расположением матриц бок о бок.
Первый элемент:
Второй элемент:
Третий элемент:
Построение матрицы жесткости для всей системы:
Решая матричное уравнение
относительно
получим:
Матрица сил и закон Гука запишутся в следующем виде:
Матрицы перемещений в общей системе координат:







1.2.4 Перемещения в местной системе координат
Матрица перемещений для первого стержня:
матрица узловых смещений
Матрица перемещений для второго стержня:
матрица узловых смещений
Матрица перемещений для третьего стержня:
матрица узловых смещений
1.2.5 Узловые усилия в местной системе координат
Анализируя, знаки в матрицах узловых усилий устанавливаем, что первый
стержень сжат, второй и третий растянуты.
.2.6 Толщина стенки стержней
Для первого (сжатого) стержня (расчет ведем по формуле Эйлера):
момент инерции кольца
Так как искомый корень - четвертый по счету в матрице, то получим
выражение для поиска толщины стенки:
Для второго (растянутого) стержня (расчет ведем по предельным
напряжениям):
Для третьего (растянутого) стержня (расчет ведем по предельным
напряжениям):
Округлим полученные значения внутренних диаметров:
Рассчитаем площади поперечных сечений стержней:
1.2.7 Нахождение массы стержней
масса стального стержня заданной длины
масса всей конструкции в килограммах
1.3 Расчет трехстержневой фермы в ANSYS 12.0
Подходящими КЭ для стержней плоских ферм являются стержневые элементы
LINK1. Узлы конечно-элементной модели будут совпадать с узлами фермы, а каждый
стержень будет отдельным КЭ.
Данную задачу также можно решать методами теоретической механики, и тогда
не существенны никакие определяющие параметры стержней, кроме их длин. Однако,
для КЭ LINK1 требуется задать по крайней мере одно материальное свойство
(модуль Юнга ЕХ) и одну константу КЭ (площадь поперечного сечения AREA). Эти
константы произвольны, и значения этих параметров в данной задаче не будут
влиять на искомые величины, подлежащие определению.
Описание процедуры решения.
) Подготовка КЭ модели.
Определение типов используемых КЭ:menu → Preprocessor→ /главное
меню→препроцессор→/type→ /тип
КЭ→//Edit/Delete→ /добавить/
удалить/редактировать→/→ /добавить/Link→ /объединяющий
элемент (линия)→/
D spar→OK /двумерная/type→Close→ /закрываем
окно типа элемента/
Задание наборов реальных констант для выбранных типов КЭ:menu→Preprocessor→ /главное
меню→препроцессор→/Constants→ /реальные
константы→/→OK→ /добавить/0.005→
OK /площадь КЭ 0,005м2/Constants→Close /закрываем
окно реальных констант/
Задание свойств материала:Props→ /свойства
материала→/models→ Favorites→ /моделирование материала,
основные→/static→ /линейные, постоянные свойства→/Isotropic→
OK→ /линейное изотропное→/2e 11→ OK /модуль
Юнга
Па/
Непосредственное генерирование узлов:
Последовательно определяем узлы (Nodes) с номерами 1 - 4 по двум
координатам X и Y в текущей глобальной декартовой системе координат.menu→
Preprocessor→ /главное меню→препроцессор→/→Create→ /создание
модели→/→ /узлы→/Active
CS... → /в активной (текущей) системе координат/1
/узел 1 → применить/,Y,Z 0; 0→ Apply → /координата Х
равна 0 м, коорд. Y 0м→применить/2
/узел 2 /,Y,Z 1; 0,75→ Apply /координата Х равна 1м, коорд. Y 0,75м→применить/3 /узел
3→ применить/,Y,Z 0; 2→ Apply → /координата Х равна
0м, коорд. Y 2м→применить/4 /узел
4 /,Y,Z 0; 3→OK→ /координата Х равна 0м, коорд. Y 3м /
Задание конечных элементов связыванием узлов:menu→ Preprocessor→ /главное
меню→препроцессор→/Create→ /создание
модели→/→ /элементы/Numbered→Thru
Nodes /нумерованные пользователем→через узлы→/
В графическом окне последовательно указываем узлы, которые соединяет
элемент и после нажатия «Apply» пишем номер элемента в окне команд. После
нажимаем клавишу «Enter»:
→Apply→1,2→Enter (OK)
→Apply→2,3→Enter (OK)
→Apply→2,4→Enter (OK)
) Определение типа анализа и задание условий закрепления и силовых
факторов.
Тип анализа:menu→ Solution→ /главное
меню→решение→/→Туре - New Analysis... → /анализ→
тип - новый анализ→/→OK
/статический (стоит по умолчанию)/
Условия закрепления:menu→ Solution→ /главное
меню→решение→/Loads - Apply → /нагрузки
- добавить→/→ Displacement→ /структурные→связи→/Nodes→ /на
узлах→/
В графическом окне указываем узлы 1,2 и 3→ ОК →DOF →ОК
/закрепить по всем осям/
Задание сил:menu→ Solution→ /главное
меню→решение→/Loads - Apply → /нагрузки
- добавить→/→ Force/Moment → /структурные→
сила/момент /Nodes → /на узлах→/
Указываем в графическом окне узел 4→ОК→→FY, /направление
силы (по оси Y)/→ -100000→ Apply /значение → -100000 Н →
→применить/
Знак «-» означает, что направление силы противоположно направлению оси
(рис. 3).
Рисунок 3 - КЭ модель со связями и нагрузками.
) Формирование и решение системы линейных алгебраических уравнений
МКЭ:menu→ Solution→ /главное меню→решение→/→Current
LS →ОК /решить →текущую модель/ в
появившемся окне сообщения «Solution is Done».
)Просмотр результатов расчета.
Текстовый результат.
Расчет усилий в элементах:menu→General PostProc → /главное
меню →постпроцессинг/Result → /текстовый
результат→/Solution →Favorites→ /решения элемента→основные/
Ву sequence num→ /по номерам→/data (SMISC,1) /суммарное
решение, начиная с первого элемнта/
Расчет перемещений в элементах:menu→ General PostProc → /главное
меню →постпроцессинг/Result → /текстовый
результат→/Solution→DOF Solution→ /центральное
решение→/vector sum /суммарные вектора перемещений /
Просмотр деформированного состояния: (рис. 4).menu→General PostProc
→ /главное меню →постпроцессинг/Results →Deformed
Shape→ /печать результатов→деформированное состояние/+ Undef /деформированное
+ недеформированное/
Рисунок 4 - Деформированная и недеформированная модель.
Рисунок 5 - Эпюры
нормальные сил в стержнях.
Таблица 1.2 - Силы в стержнях
|
Элемент
|
Сила, кН
|
|
1
|
|
|
2
|
453,07
|
|
3
|
356,15
|
Таблица 1.3 - Максимальное и минимальное усилия
|
Минимальное усилие
|
Максимальное усилие
|
|
Элемент
|
1
|
2
|
|
Сила, кН
|
|
453,07
|
Таблица 1.4 - Вывод результатов в глобальной системе координат
|
|
Перемещение
|
|
|
|
Узел
|
|
|
|
Суммарное, м
|
|
1
|
0
|
0
|
0
|
0
|
|
2
|
0
|
0
|
0
|
0
|
|
3
|
0
|
0
|
0
|
0
|
|
4
|
|
|
0
|
0,10019
|
Таблица 1.5 - Усилия в узлах в глобальной системе координат
|
Узел
|
, Н
|
|
1
|
|
|
|
2
|
0,28303
|
|
|
3
|
0,14465
|
|
|
4
|
0
|
0,10000
|
Сравним результаты, полученные при ручном счете, расчете в MathCAD14 и
Ansys 12.0.
Таблица 1.6 - Сравнение результатов и определение расхождений
|
Метод сечений
|
MathCAD14
|
|
Ansys 12.0
|
|
|
|
|
|
0
|
|
0,035
|
|
|
|
|
0
|
|
0,09
|
|
|
|
|
0,02
|
|
0
|
|
|
|
|
0,06
|
|
0,002
|
|
|
|
|
0,05
|
|
0
|
Вывод: Расхождения результатов ручного счета и машинного, а также
расхождения результатов в MathCAD14 и Ansys 12.0 намного меньше 1 %, что
свидетельствует о правильности проведенных расчетов. Причиной расхождений являются
погрешности при округлении величин.
1.4 Расчет многостержневой фермы в ANSYS 12.0
Подходящими КЭ для стержней плоских ферм являются стержневые элементы
LINK1. Узлы конечно-элементной модели будут совпадать с узлами фермы, а каждый
стержень будет отдельным КЭ.
Данную задачу также можно решать методами теоретической механики, и тогда
не существенны никакие определяющие параметры стержней, кроме их длин. Однако,
для КЭ LINK1 требуется задать по крайней мере одно материальное свойство
(модуль Юнга ЕХ) и одну константу КЭ (площадь поперечного сечения AREA). Эти
константы произвольны, и значения этих параметров в данной задаче не будут
влиять на искомые величины, подлежащие определению.
Описание процедуры решения.
) Подготовка КЭ модели.
Определение типов используемых КЭ:menu → Preprocessor→ /главное
меню→препроцессор→/type→ /тип
КЭ→//Edit/Delete→ /добавить/
удалить/редактировать→/→ /добавить/Link→ /объединяющий
элемент (линия)→/
D spar→OK /двумерная/type→Close→ /закрываем
окно типа элемента/
Задание наборов реальных констант для выбранных типов КЭ:menu→Preprocessor→ /главное
меню→препроцессор→/Constants→ /реальные
константы→/→OK→ /добавить/0.005→
OK /площадь КЭ 0,005м2/Constants→Close /закрываем
окно реальных констант/
Задание свойств материала:Props→ /свойства
материала/models→Favorites→ /моделирование
материала, основные/static→ /линейные,
постоянные свойства/Isotropic→ OK→ /линейное
изотропное→/2e 11→ OK /модуль Юнга
Па/
Непосредственное генерирование узлов:
Последовательно определяем узлы (Nodes) с номерами 1 - 8 по двум
координатам X и Y в текущей глобальной декартовой системе координат.menu→
Preprocessor→ /главное меню→препроцессор→/→Create→ /создание
модели→/→ /узлы→/Active
CS... → /в активной (текущей) системе координат/1 /узел
1 /,Y,Z 0; 0→ Apply → /координата Х равна 0 м, коорд. Y 0 м→применить/2 /узел
2 /,Y,Z 4,5; 3,5→ Apply → /координата Х равна 0,5 м, коорд.
Y 0 м→применить/3 /узел 3→
применить/,Y,Z 0; 3,5→ Apply → /координата Х равна 1 м, коорд.
Y 0 м→применить/4 /узел 4→
применить/,Y,Z 0; 6,5→ Apply → /координата Х равна 1,5 м,
коорд. Y 0 м→применить/5 /узел
5→ применить/,Y,Z 4,5; 6,5→ Apply → /координата Х равна 2
м, коорд. Y 0 м→применить/6 /узел 6→
применить/,Y,Z 8,5; 3,5→ Apply → /координата Х равна 0 м,
коорд. Y 1 м→применить/7 /узел
7 /,Y,Z 8,5; 6,5→ Apply → /координата Х равна 0,5 м, коорд. Y 1
м→применить/8 /узел 8→
применить/,Y,Z 13; 6,5→ Apply → /координата Х равна 1 м, коорд.
Y 1 м→применить/
Задание конечных элементов связыванием узлов:menu→ Preprocessor→ /главное
меню→препроцессор→/→Create→ /создание
модели→/→ /элементы/Numbered→Thru
Nodes /нумерованные пользователем→через узлы→/
В графическом окне пишем номер элемента и после нажатия «Apply»
последовательно указываем узлы, которые соединяет элемент. После нажимаем
клавишу «Enter»:
→Enter (OK) →3,4→ Apply
→Enter (OK) →1,3→ Apply
→Enter (OK) →4,5→ Apply
→Enter (OK) →5,7→ Apply
→Enter (OK) →7,8→ Apply
→Enter (OK) →3,2→ Apply
→Enter (OK) →2,6→ Apply
→Enter (OK) →6,8→ Apply
→Enter (OK) →6,7→ Apply
→Enter (OK) →2,5→ Apply
→Enter (OK) →3,5→ Apply
→Enter (OK) →2,7→ Apply
) Определение типа анализа и задание условий закрепления и силовых
факторов.
Тип анализа:menu→ Solution→ /главное
меню→решение→/→Туре - New Analysis... → /анализ→
тип - новый анализ→/→OK /статический
(стоит по умолчанию)/
Условия закрепления:menu→ Solution→ /главное
меню→решение→/Loads - Apply → /нагрузки
- добавитъ/→ Displacement→ /структурные→связи/Nodes→ /на
узлах→/
В графическом окне указываем узлы 1→ ОК →DOF →ОК
/закрепить по всем осям/
В графическом окне указываем узлы 6→ ОК →→OK /закрепить
по оси Y/
Задание сил:menu→ Solution→ /главное
меню→решение→/Loads - Apply → /нагрузки
- добавить/→ Force/Moment → /структурные→
сила/момент /Nodes → /на узлах→/
Указываем в графическом окне узел 5→ОК→→FY, /направление
силы (по оси Y)/→ -7000→ Apply /значение → -7000 Н →
→применить/
Указываем в графическом окне узел 4→ОК→→FX, /направление
силы (по оси X)/→ 3000→ Apply /значение → 3000 Н →
→применить/
Указываем в графическом окне узел 8→ОК→→FY, /направление
силы (по оси Y)/→ -5000→ Apply /значение → -5000 Н →
→применить/
Рисунок 6 - КЭ модель со связями и нагрузками.
Знак «-» означает, что направление силы противоположно направлению оси
(рис. 3).
) Формирование и решение системы линейных алгебраических уравнений
МКЭ:menu→ Solution→ /главное меню→решение→/→Current
LS →ОК /решить →текущую модель/
/в появившемся окне сообщения «Solution is Done»/
) Просмотр результатов расчета.
Текстовый результат.
Расчет усилий в элементах:menu→General PostProc → /главное
меню →постпроцессинг/Result → /текстовый
результат→/Solution →Favorites→ /решения
элемента→основные/Solution → /решение
элемента /data (SMISC,1) /суммарное решение, начиная с первого элемента /
Расчет перемещений в элементах:menu→General PostProc → /главное
меню →постпроцессинг/Result → /текстовый
результат→/Solution →Favorites→ /решения
в узлах→основные/Solution → /решение
в узлах /vector sum /суммарные вектора перемещений /
Просмотр деформированного состояния (рис. 7).menu→General PostProc → /главное
меню →постпроцессинг/Results →Deformed Shape→ /печать
результатов→ →деформированное состояние/+ Undef /деформированное
+ недеформированное/
Рисунок 7 - Деформированная и недеформированная модель.
5) Результаты расчета. Усилия в стержнях:
Таблица 2
Силы в стержнях
|
Элемент
|
Сила, Н
|
|
1
|
3800,6
|
|
2
|
1029,4
|
|
3
|
-686,27
|
|
4
|
0,14117E-12
|
|
5
|
-3000
|
|
6
|
-4029,4
|
|
7
|
7500
|
|
8
|
-9013,9
|
|
9
|
-7500
|
|
10
|
-6313,7
|
|
11
|
-8647,1
|
|
12
|
14412
|
|
13
|
-1237,2
|
Таблица 2.1
Максимальное и минимальное усилия
|
Минимальное усилие
|
Максимальное усилие
|
|
Элемент
|
8
|
12
|
|
Сила, Н
|
-9013,9
|
14412
|
Таблица 2.3
Перемещения в глобальной (общей) системе координат
|
|
Перемещение
|
|
|
Узел
|
|
|
Суммарное, м
|
|
1
|
|
0,0
|
0,0
|
|
2
|
|
|
|
|
3
|
|
|
|
|
4
|
|
|
|
|
5
|
|
|
|
|
6
|
|
0,0
|
|
|
7
|
|
|
|
|
8
|
|
|
|
2. РАСЧЕТЫ
ОБЪЕМНЫХ ТЕЛ В ANSYS 12.0
Для пластины, изображенной на рисунке 9, толщиной h = 5 мм, изготовленной
из высокопрочного алюминиевого сплава В95 (
) выполнить следующие задания:
.а) На пластину действуют растягивающие силы, величина которых Р=220МПа.
Определить максимальные и минимальные напряжения
и
и координаты точек с этими
напряжениями. Определить коэффициент концентрации
.
б) Определить координаты сечений
, в которых напряжения изменяется
менее чем на 5% по сравнению с
.
. Определить максимальные и минимальные напряжения
и
и коэффициент концентрации
при нагреве пластины на 180оС,
помещенной между двумя плоскостями (плитами) без трения.
. Определить максимальные и минимальные напряжения
и
и коэффициент концентрации
для диска, профилем которого
является данная пластина, при вращении его вокруг оси с частотой п = 600
об/мин.
Рисунок 9 - Эскиз пластины
2.1 Расчет пластины при одноосном растяжении
Подготовка КЭ модели.
) Определение типов используемых КЭ:menu → Preprocessor→ /главное
меню→препроцессор→/type→ /тип
КЭ→//Edit/Delete→ /добавить/
удалить/редактировать→/→ /добавить/→ /плоское
тело →/4 mode 82→OK /четырехугольный 8-узловой
/→ /опции →/
КЗ →Plane stress w/thk → /плосконапряженный элемент с
указанием толщины/type→Close→ /закрываем
окно типа элемента/
Задание наборов реальных констант для выбранных типов КЭ:menu→Preprocessor→ /главное
меню→препроцессор→/Constants→ /реальные
константы→/→OK→ /добавить/→ /толщина
оболочки/, 0.005→ OK /от узла «I» 0,005
мм/Constants→Close /закрываем окно реальных
констант/
Задание свойств материала:Props→ /свойства
материала/models→ Structural → /моделирование материала,
основные/→ /линейная
структура /→ Isotropic→ OK→ /линейное
изотропное→/0.72e 11→ OK /модуль Юнга
Па/
PRXY, 0.3→ ОК /коэффициент
Пуассона 0,3/
Непосредственное создание прямоугольников.
Рисуется скелет конструкции последовательным заданием ключевых,
соединяющих их линий и площадей.menu→ Preprocessor→ /главное
меню→ препроцессор→ /Create→ /создание
модели→ /+ → /ключевая
точка→/
Указать точки с координатами Х м, Y м.
Соединяем точки линиями и строим области (Areas) «по линиям».→
Arbitrary →By lines→ /области → по линиям →
/
«Сшиваем» области с помощью функции Concatenate (Meshing)
Создание сетки КЭ:
а) Для нерегулярной сетки (автосетки):→Free→ /площади
→свободные →/
В графическом окне указываем область, которую нужно разбить→ОК.
Для увеличения частоты сетки:menu→ Preprocessor→ /главное
меню→ препроцессор→/→Modify Mesh →Refine At →
/создание сетки →обогатить→/→ /области
→/
В графическом окне указываем область, которую нужно разбить→ ОК., I
(Minimal) →OK /минимальные/
б) Для создания упорядоченной сетки (форма элементов стремится к форме
правильных многоугольников) (рис. 10):→Size Cntrls→ Manual Size →
/размер для руководства→/→Size → /размер→/.
0.001 →OK /размер 0,001м/→Mesh
→ /создание сетки →сетка→/→Mapped→ /площади→свободные→
графическом окне указываем области, которыю нужно разбить→ OK.
Рисунок 10 - Модель с равномерным разбиением
) Определение типа анализа и задание условий закрепления и силовых
факторов.
Тип анализа:menu→Solution→ /главное
меню→ решение→/→Type - New Analysis→ /анализ→
тип - новый анализ→/→OK /статический
(стоит по умолчанию)/
Условия закрепления:menu→Solution→ /главное
меню→ решение→/Loads → Apply → Structural →
Displacement →/нагрузки →добавить→связи/B.C. →On Lines →
/симметрия→ по линии/
В графическом окне указываем линию симметрии детали, → ОК.→On
Keypoints → /связи →ключевые точки →/
В графическом окне указываем верхнюю и нижнюю точки на правом торце
детали, →ОК., UX /вдоль оси X /, 0 /перемещения
ноль/On →OK /действие команды на все узлы, лежащие между
ключевыми точками/
Задание силового воздействия (давления):menu→ Solution→ /главное
меню→решение→/Loads →Apply →Structural →/нагрузки
→добавить →структурные/→On Lines → /давление
→no линии/
Указываем в графическом окне линию левого торца детали →ОК →Value
→-220е6→OK /значение→-220000000Н/м2→
применить/
) Формирование и решение системы линейных алгебраических уравнений
МКЭ:menu→ Solution→ /главное меню→решение→/→Current
LS → решить →текущую модель/в появившемся окне
сообщения «Solution is Done».
) Просмотp результатов расчета.
Просмотр перемещений (рис. 11):menu→General PostProc → /главное
меню →постпроцессинг/Results → /печать
результатов→/Plot →Nodal Solution→ /no контуру, центральное
решение→/Solution →shape only→OK /только
деформированное состояние/
Просмотр напряжений (рис. 12):menu→General PostProc → /главное
меню →постпроцессинг/Results → /печать
результатов→/Plot →Nodal Solution→ /no контуру, центральное
решение→/→von Mises SEQV.
Рисунок 11 - Деформированное состояние пластины
Рисунок 12 - Напряжения в пластине
Рисунок 13 - Напряжения в пластине
→ Style→Contours→Non Uniform contours →Values, VI
→220e6→OK /напряжения в крайней справа зоне/Values, V2 →220e6*1.05
→OK /напряжения в крайней справа зоне, влияние концентратора 5%/menu→General
PostProc → /главное меню →постпроцессинг/Results → /
запрашиваемые результаты→/Solution → Stress → von Mises →OK
/напряжения→ срединной плоскости/
Рисунок 14 - Напряжения в узлах
Для определения коэффициента концентрации напряжений найдем максимальные,
минимальные и средние напряжения на правом торце пластины:
Определение коэффициента концентрации напряжений:
;
;
;
.2 Расчет пластины при термическом расширении
Определим максимальные и минимальные напряжения
и
и коэффициент концентрации
при нагреве пластины на 180оС,
помещенной между двумя плоскостями (плитами) без трения.
Создаем модель аналогичную пункту 2.1
При подготовке КЭ модели в свойствах материала дополнительно указываем
коэффициент температурного расширения:Props→ /свойства
материала/models→ Structural → /моделирование материала,
основные/→ /линейная
структура /→ Isotropic→ OK→ /линейное
изотропное→/0.72e 11→ OK /модуль Юнга
Па/, 0.3→ ОК /коэффициент
Пуассона 0,3/→Thermal Expansion→ /тепловое расширение/Coefficient→Isotropic→ /изотропное/,
24.7e-6→OK /коэффициент температурного расширения
/
Условия закрепления:menu→Solution→ /главное
меню→ решение→/Loads → Apply → Structural →
Displacement →/нагрузки →добавить→связи/B.C. →On Lines →
/симметрия→ по линии/
В графическом окне указываем линию симметрии детали, → ОК.→On
Lines → /связи →по линии →/
В графическом окне указываем на линии левого и правого торцев детали, →ОК.,
UX /вдоль оси X /, 0 /перемещения
ноль/
Задание воздействия (температура) :menu→ Solution→ /главное
меню→решение→/Loads →Apply →Structural →/нагрузки
→добавить →структурные/→On Nodes → /давление
→на узлах/
Выделяем в графическом окне всю область →ОК →Value →180→OK /значение→+180→
применить/
Формирование и решение системы линейных алгебраических уравнений МКЭ и
просмотр результатов выполняем по аналогии с пунктом 2.1.
Рисунок 15 - Напряжения в пластине при температурном воздействии
Определение коэффициента концентрации напряжений:
Рисунок 16 - Напряжения в узлах
;
;
Коэффициент концентраций напряжений:
2.3 Расчет профильного диска при вращении с
постоянной угловой скоростью
Определим максимальные и минимальные напряжения
и
и коэффициент концентрации
для диска, профилем которого
является данная пластина, при вращении его вокруг оси с частотой п = 600
об/мин.
Описание процедуры решения.
В данном пункте используются очертания той же модели, что и в пункте 2.2.
Тип используемых КЭ Solid 20 node 95. В свойствах материала задаем
дополнительно плотность (Density) равной 2640 кг/м .
) Построение модели.menu→ Preprocessor→
/главное меню→препроцессор→/→Create→ /создание
модели→/
Создание сетки КЭ:menu→ Preprocessor→ /главное меню→препроцессор/→Size
Cntrls→Manual Size →/размер для руководства→/→ Size → /размер→/,
0.002 →OK /размер 0,012м/→Mesh → /создание
сетки →сетка→/→Free→ /объемы-
свободное →/
В графическом окне указываем объем, который нужно разбить → ОК
) Определение типа анализа и задание условий закрепления и силовых
факторов.
Тип анализа:menu→Solution→ /главное
меню→ решение→/→Type - New Analysis→ /анализ→
тип - новый анализ→/→OK /статический
(стоит по умолчанию)/
Условия закрепления:menu→Solution→ /главное
меню→ решение→/Loads → Apply → Structural →
Displacement →/нагрузки →добавить→связи/B.C. →On Areas →
/симметрия→ по линии/
В графическом окне указываем плоскости симметрии детали, → ОК.
Задание силового воздействия (вращение) :menu→ Solution→ /главное
меню→решение→/Loads →Apply →Structural →/нагрузки
→добавить →структурные/→Angular Velocity → /инерция
→угловое вращение/62.8→OK /вокруг оси Y со скоростью 62,8
рад/сек (600 об/мин)/
Рисунок 17 - Модель диска
Рисунок 18 - Напряжения в диске
Рисунок 19 - Напряжения в узлах диска
Определение коэффициента концентрации напряжений:
;
;
;
Вывод
Таким образом, рассчитав напряжения в пластинке при растяжении от
приложенного к торцам усилия, при температурном нагреве, а также выполнив
расчет профильного диска с сечением равным пластинке, имеем следующие
коэффициенты концентрации напряжений в области кругленного выреза:
ферма программа узел пластина
Близость значений коэффициентов концентрации напряжений подтверждает
правильность выполнения расчетов. На основании чего можно ввести понятие о
среднем коэффициенте концентрации напряжений для тел с исходной геометрией.