Расчет трехстержневой фермы методом конечных элементов с помощью программы ansys 14.5
СОДЕРЖАНИЕ
ВВЕДЕНИЕ
.
РАСЧЕТ ПЛОСКОЙ ФЕРМЫ
.1
Ручной расчет трехстержневой фермы
.2
Расчет трехстержневой фермы в ANSYS 14.5
.
РАСЧЕТЫ ОБЪЕМНЫХ ТЕЛ В ANSYS 14.5
.1
Расчет пластины при одноосном растяжении
.2
Расчет пластины при термическом расширении
.3
Расчет профильного диска при вращении с постоянной угловой скоростью
.
ОПРЕДЕЛЕНИЕ ПЕРЕМЕЩЕНИЙ И НАПРЯЖЕНИЙ В КРУГЛОЙ ПЛАСТИНЕ
ВЫВОДЫ
ВВЕДЕНИЕ
Целью данной работы является обретение навыков
расчета задач по сопротивлению материала различными методами, а так же
приобретение навыков работы в математических пакетах.
В данной работе будут рассмотрены задачи по
сопротивлению материалов и решение их различными численными методами. Мы
рассчитаем трехстержневую ферму методом конечных элементов с помощью программы
ansys 14.5, а так же решим ее аналитически с помощью программного пакета
Mathcad 14, и сравним полученные результаты. Рассмотрим изменение характеристик
пластины под действием распределенной нагрузки и температуры, влияние шага
«сетки» на получаемый результат. Рассчитаем деформацию и напряжения во
вращающемся диске от центробежных сил. И, наконец, рассчитаем изменение
характеристик крышки под действием давления.
1. РАСЧЕТ ПЛОСКИХ ФЕРМ
.1 Ручной расчет трехстержневой
фермы
ферма растяжение ansys пластина
Ферменная конструкция состоит из трех стержней
(рис.1) каждый из которых одним концом закреплен в неподвижном шарнире, а
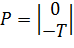
другим связан шарнирно с остальными стержнями. К свободному узлу 2 приложена
вертикальная нагрузка T=1000 H, направленная вниз. Расстояние a=1 м, стержни
изготовлены из стали Х18Н10Т (Е= 2,5*1011Па) одинакового поперечного сечения.
Рисунок 1 - Расчетная схема
Матрицы смещений и узловых усилий
,
Матрица жесткости в общем виде
Так как узлы 1, 3 и 4 неподвижны, матрица
неизвестных перемещений узлов будет содержать только два ненулевых значения
Тогда матрицу сил в основной системе координат,
принятой для конструкции на рисунка 1 можно записать в виде
Запишем матрицу коэффициентов жесткости в
основной системе координат
Матричное уравнение
будет
содержать два уравнения
∙v3+k34∙v4= -T∙v3+k44∙v4=0
Для отыскания элементов этой матрицы
рассмотрим жесткостные характеристики стержней в местных координатах.
Для определенности будем принимать,
что местная ось
направлена
от узла с меньшим номером к узлу с большим номером (рис.2)
Рисунок 2 - Стержни в общих и
местных системах координат
Длины всех стержней, а так же
косинусы углов между местными и общими осями представлены в таблице 1.
|
Стержень
|
1
|
2
|
3
|
|
Xкон-Хнач
|
1a
|
-1a
|
-1a
|
|
Укон-Унач
|
2.75a
|
-0.75a
|
0.25a
|
|
2.926а1.25а1.031а
|
|
|
|
|
0.342-0.8-0.97
|
|
|
|
|
0.94-0.60.243
|
|
|
|
Коэффициенты жесткости в местной системе
координат определяются по формуле
,
где i - номер стержня.
Находим матрицы жесткости стержней в
местных осях
;
,
.
Запишем матрицы направляющих косинусов
для
стержней:
Используя формулу перевода матриц
жесткости из местной СК в общую СК
для каждого стержня, получаем
Для первого стержня
Для второго стержня
Для третьего стержня

В результате получим
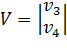
Решая систему уравнений V=K-1∙P
относительно ненулевых v3 и v4 в общей системе координат, где
получим
Получим перемещение узла 2 в
направлениях 3 и 4
= 1.516∙10-5м по оси Х= -8.352∙10-5м
по оси У
Знак «-» означает, что перемещение
узла осуществляется в противоположное направление оси х (рисунок 2)
Матрицы перемещений стержней в общей
системе координат
Теперь определим перемещения
стержней в местных системах координат v=λ∙vi
Получим:
По формуле
вычисляем
узловые силы, действующие на каждый стержень вдоль его оси в местных
координатах
Из рисунка 2 видно, что третий
стержень будет растянут, а второй и первый сжаты. Осевые силы в этих стержнях
равны:
= -501H= -607 H=678 H
По известным усилиям определим
толщину стенок с постоянным внешним радиусом R.
Внешний радиус задан R=40 мм.
Для растянутых стержней условие
прочности запишется через напряжения:
Где
коэффициент
запаса прочности при растяжении и действующее на стержень напряжение:
допустимое
напряжение.
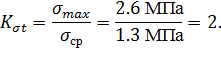
Для третьего стержня:
Откуда
Примем r=37, тогда толщина стенки
будет равна:
r=h, 40-37=3 мм.
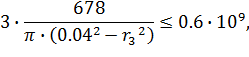
При сжатии стержня (1) критическая
сила равна:
где I - момент инерции полого круглого сечения
Условие прочности при сжатии
где fу=3 - коэффициент запаса при
потере устойчивости,
Р - действующая сила.
Из приведенных выше формул выразим
внутренний радиус r:
Подставим все значения в формулу и
посчитаем r для первого стержня
,
Примем r=37, тогда толщина стенки
будет равна: r=h
-37=3 мм.
Для второго стержня
,
Для третьего стержня
,
Примем для второго и третьего радиус
равным 37 мм, тогда толщина стенки будет как и в первом стержне 3 мм.
Рассчитаем массу стержней и
конструкции в целом:
m=ρ∙V
ρ=7900 кг/м3=Sосн∙hосн=π(R2-r2)
Так как толщину стенок во всех трех
стержнях я принял 3 мм, то площадь основания будет везде одинакова:
осн=3.14(0.042-0.0372)=7.25∙10-4
м2
Тогда масса всей конструкции будет
равна:
M=ρ∙Sосн(L1+L2+L3), =7900∙7.25∙10-4(2.926+1.25+1.03)=29.8
кг
1.2 Расчет трехстержневой фермы в
ANSYS 14.5
Подходящими КЭ для стержней плоских
ферм являются стержневые элементы LINK1. Узлы конечно-элементной модели будут
совпадать с узлами фермы, а каждый стержень будет отдельным КЭ.
Для КЭ LINK1 требуется задать по
крайней мере одно материальное свойство (модуль Юнга ЕХ) и одну константу КЭ
(площадь поперечного сечения AREA). Эти константы произвольны, и значения этих
параметров в данной задаче не будут влиять на искомые величины, подлежащие
определению.
Описание процедуры решения.
Подготовка КЭ модели.
Определение типов используемых
КЭ:menu → Preprocessor→/главное меню→препроцессор→/type→/тип
КЭ→//Edit/Delete→/добавить/ удалить/редактировать→/→
/добавить/Link→/объединяющий элемент (линия)→/
3D finit stn
180→OK/трехмерная/
Element type→Close→/закрываем
окно типа элемента/
Задание наборов реальных констант
для выбранных типов КЭ:menu→Preprocessor→/главное меню→препроцессор→/Constants→/реальные
константы→/→OK→/добавить/0.0001→ OK/площадь КЭ
0,0001м2/Constants→Close/закрываем окно реальных констант/
Задание свойств материала:Props→/свойства
материала/models→Favorites→/моделирование материала,
основные/static→/линейные, постоянные свойства/Isotropic→ OK→/линейное
изотропное→/2e 11→ OK/модуль Юнга
Па/
Последовательно определяем узлы
(Keypoints) с номерами 1 - 4 по двум координатам X и Y в текущей глобальной
декартовой системе координат.menu→ Preprocessor→/главное меню→препроцессор→/→Create→/создание
модели→/→/точки→/Active CS... →/в активной (текущей)
системе координат/1/точка 1 /,Y,Z 0, 0→ Apply →/координата Х равна
0 м, коорд. Y 0м→применить/2/точка 2 /,Y,Z 1, 2.75→ Apply →/координата
Х равна 1м, коорд. Y 2,75м→применить/3/точка 3→ применить/,Y,Z 0, 2→
Apply →/координата Х равна 0м, коорд. Y 2м→применить/4/точка 4
/,Y,Z 0, 3→OK→/координата Х равна 0м, коорд. Y 3м /
Построение линий по точкам:menu→
Preprocessor→/главное меню→препроцессор→/→Create→/создание
модели→/→Straight Lines/линии→прямые линии/
Курсором выделяем 2 точки по которым
мы строим линию
Определение типа анализа и задание
условий закрепления и силовых факторов.
Тип анализа:menu→ Solution→/главное
меню→решение→/→Туре - New Analysis... →/анализ→
тип - новый анализ→/→OK/статический (стоит по умолчанию)/
Условия закрепления:menu→
Solution→/главное меню→решение→/
Define Loads
- Apply →/нагрузки
- добавитъ/→Displacement→/структурные→связи/Nodes→/на узлах→/
В графическом окне указываем узлы
1,3 и 4→ ОК →DOF →ОК /закрепить по всем осям/
Задание сил:menu→ Solution→/главное
меню→решение→/
Define Loads
- Apply →/нагрузки
- добавитъ/→
Force/Moment →/структурные→
сила/момент
/Nodes →/на узлах→/
Указываем в графическом окне узел 2→ОК→→FY,/направление
силы (по оси Y)/→ -1000→ Apply/значение → -1000 Н → →применить/
«-» означает, что направление силы
противоположно направлению оси (рис. 3).
Рисунок 3 - КЭ модель со связями и
нагрузками
3) Формирование и решение системы линейных
алгебраических уравнений МКЭ:menu→ Solution→/главное меню→решение→/→Current
LS →ОК/решить →текущую модель//в появившемся окне сообщения
«Solution is Done»/
) Просмотр результатов расчета.
Визуальный результат.
Для просмотра перемещения узла 2 по осям Х и У,
и сравнить с первоначальным положением нужно выполнить:
Main menu→General PostProc →/главное
меню
→постпроцессинг/Results
→Deformed Shape→/печать результатов→ →деформированное
состояние/+ Undef /деформированное + недеформированно/
Рисунок 4 - Деформированная и недеформированная
модель
Текстовый результат.
Для просмотра численных значений перемещения
узла 2 по Х и У выполним:
GeneralPostproc→List Result→Nodal
Solution→ DOF Solution→ Displacement vector sum→ OK.
После чего высвечивается текстовый файл с
номерами узлов и их перемещениями по осям.
PRINT U NODAL SOLUTION PER NODE
***** POST1 NODAL DEGREE OF FREEDOM
LISTING ***** STEP= 1 SUBSTEP= 1 = 1.0000 LOAD CASE= 0 FOLLOWING DEGREE OF
FREEDOM RESULTS ARE IN THE GLOBAL COORDINATE SYSTEM UX UY UZ USUM
0.0000 0.0000 0.0000 0.0000
0.15132E-04-0.83502E-04 0.0000
0.84862E-04
0.0000 0.0000 0.0000 0.0000
0.0000 0.0000 0.0000 0.0000 ABSOLUTE
VALUES2 2 0 20.15132E-04-0.83502E-04 0.0000 0.84862E-04
Для того что бы посмотреть какие силы действуют
на стержень нужно добавить функцию LS2 которая покажет нам действующие на
стержни силы.→ Element Table→ Define Table→ add→ By
sequence num + LS и дописываем «2»→ OK→ Close
Теперь мы можем посмотреть силы:
GeneralPostproc→List Result→
Elem Table Data→LS2→OK
Видим значения сил на 3 стержня:
PRINT ELEMENT TABLE ITEMS PER
ELEMENT
***** POST1 ELEMENT TABLE LISTING
***** CURRENT LS2
-0.50102E+07
-0.60793E+07
0.67780E+07VALUES2-0.60793E+07VALUES3
VALUE 0.67780E+07
Сравним результаты, полученные при ручном счете
в MathCAD14 и Ansys 14.
|
Ручной
счет
|
Ansys
14.5
|
Погрешность
%
|
|
Vx
м
|
1.516∙10-5
|
1.5132∙10-5
|
0.18
|
|
Vy
м
|
-8.352∙10-5
|
8.3502∙10-5
|
0.02
|
|
P1
|
-501.06
|
-501.02
|
0.007
|
|
P2
|
-607.7
|
-607.93
|
0.03
|
|
P3
|
678.4
|
677.8
|
0.08
|
Вывод: Расхождения результатов ручного счета и
машинного, намного меньше 1 %, что свидетельствует о правильности проведенных
расчетов. Причиной расхождений являются погрешности при округлении величин.
2. РАСЧЕТЫ ОБЪЕМНЫХ ТЕЛ В ANSYS 14.5
Для пластины изображенной на рисунке 5 толщиной
5 мм изготовленной из сплава Х18Н10Т с модулем Юнга Е=2∙1011 и коэфф-ом
Пуассона µ=0.25 выполнить следующие задания:
. На пластину действуют растягивающие силы,
величина которых Р=220МПа. Определить координаты сечений
,
в которых напряжения изменяются менее чем на 5%
. Определить максимальные и минимальные
напряжения
и
и
коэффициент концентрации
при нагреве
пластины на 230оС, помещенной между двумя плоскостями (плитами) без трения.
Рисунок 5 - Эскиз пластины
2.1 Расчет пластины при одноосном
растяжении
Подготовка КЭ модели.
Определение типов используемых КЭ:menu →
Preprocessor→/главное меню→препроцессор→/type→/тип КЭ→//Edit/Delete→/добавить/
удалить/редактировать→/→ /добавить/→/плоское тело →/4
mode 82→OK/четырехугольный 8-узловой /→/опции →/
КЗ →Plane stress w/thk →/плосконапряженный
элемент с указанием толщины/type→Close→/закрываем окно типа
элемента/
Задание наборов реальных констант для выбранных
типов КЭ:menu→Preprocessor→/главное меню→препроцессор→/Constants→/реальные
константы→/→OK→/добавить/→/толщина оболочки/, 0.005→
OK/от узла «I» 0,005 мм/Constants→Close/закрываем окно реальных констант/
Задание свойств материала:Props→/свойства
материала/models→ Structural →/моделирование материала, основные/→/линейная
структура /→ Isotropic→ OK→/линейное изотропное→/0.78e
11→ OK/модуль Юнга
Па/, 0.3→ ОК
/коэффициент Пуассона 0,3/
Непосредственное создание прямоугольников.
Рисуется скелет конструкции последовательным
заданием ключевых, соединяющих их линий и плошадей.menu→ Preprocessor→
/главное меню→ препроцессор→ /Create→ /создание модели→
/+ → /ключевая точка→/
Указать точки с координатами Х м, Y м.
Соединяем точки линиями и строим области (Areas)
«по линиям».→ Arbitrary →By lines→/области → по линиям →
/
Создание сетки КЭ:menu→Preprocessor→/главное
меню→препроцессор→/→Mesh →/создание сетки→сетка→/
а) Для нерегулярной сетки (автосетки):→Free→/площади
→свободные →/
В графическом окне указываем область, которую
нужно разбить→ОК.
Для увеличения частоты сетки:menu→
Preprocessor→/главное меню→ препроцессор→/→Modify Mesh →Refine
At → /создание сетки →обогатить→/→/области →/
В графическом окне указываем область, которую
нужно разбить→ ОК.
Level, I (Minimal) →OK/минимальные/
б) Для создания упорядоченной сетки (форма
элементов стремится к форме правильных многоугольников) (рис. 10):→Size
Cntrls→ Manual Size → /размер для руководства→/→Size →
/размер→/. 1 →OK/размер 1 мм/→Mesh →/создание сетки →сетка→/→Mapped→/площади→свободные→
графическом окне указываем области, которыю нужно разбить→ OK.
Рисунок 6 - Модель с равномерным разбиением
Определение типа анализа и задание условий
закрепления и силовых факторов.
Тип анализа:menu→Solution→/главное
меню→ решение→/→Type - New Analysis→/анализ→ тип
- новый анализ→/→OK/статический (стоит по умолчанию)/
Условия закрепления:menu→Solution→/главное
меню→ решение→/
Define Loads → Apply →
Structural → Displacement →/нагрузки
→добавить
/→On Keypoints →/связи
→ключевые
точки
→/
В графическом окне указываем верхнюю и нижнюю
точки на правом торце детали, →ОК., UX/вдоль оси X /, 0 /перемещения
ноль/On →OK/действие команды на все узлы, лежащие между ключевыми
точками/
Задание силового воздействия (давления):menu→
Solution→/главное меню→решение→/Loads →Apply →Structural
→/нагрузки →добавить →структурные/→On Lines →/давление
→no линии/
Указываем в графическом окне линию левого торца
детали →ОК →Value →-220е6→OK/значение→-220000000Н/м2→
применить/
Формирование и решение системы линейных
алгебраических уравнений МКЭ:menu→ Solution→/главное меню→решение→/→Current
LS → решить →текущую модель/в появившемся окне сообщения «Solution
is Done».
Просмотp результатов расчета.
Просмотр перемещений (рис. 11):
Main menu→General PostProc →/главное
меню
→постпроцессинг/Results
→ /печать результатов→/Plot →Nodal Solution→ /no
контуру, центральное решение→/Solution →shape only→OK/только
деформированное состояние/
Просмотр напряжений (рис. 12):menu→General
PostProc →/главное меню →постпроцессинг/Results →/печать
результатов→/Plot →Nodal Solution→/no контуру, центральное
решение→/→von Mises SEQV.
Рисунок 7 - Деформированное состояние пластины
Рисунок 8 - Напряжения в пластине
Чтобы оценить влияние концентратора, находим на
пластине крайнюю плоскость, в которой влияние концентратора не превышает 5 %
(рис. 13)
По рисунку 8 видно, что напряжения по высоте
пластины начинают выравниваться примерно от начала координат главной системы
координат. Для более точного определения нагрузок по всей высоте воспользуемся
командойPostproc- Query Results- Subgrid Solu- Stress- von Mises SEQV
Опытным путем определяем, что напряжения по
высоте пластины начинают колебаться в пределах ±5% при l0=65-67 мм.
Для определение коэффициента концентрации
напряжений найдём максимальные, минимальные и средние напряжение на правом
торце пластины:
Определение коэффициента концентрации
напряжений:
;
;
;
Для сравнения сделаем расчет той же пластины, но
с большим шагом сетки, для того, что бы определить влияние шага разбивание
элемента на конечный результат.
Рисунок 9 - Сетка разбиения с большим шагом
И посмотрим действие напряжений
Рисунок 10- напряжения с большим шагом сетки.
Как мы видим, уменьшение шага сетки может
значительно увеличить точность расчетов. В нашем случае при разбиении сетки на
элементы каждые 8 мм, и при разбиении на отдельный элемент через каждый
миллиметр погрешность составила
.
Определим коэфф-нт концентрации при
грубой сетке
;
;
;
2.2 Расчет пластины при термическом
расширении
Определим максимальные и минимальные напряжения
и
и
коэффициент концентрации
при нагреве
пластины на 50оС, помещенной между двумя плоскостями (плитами) без трения.
Создаем модель аналогичную пункту 2.1.
При подготовке КЭ модели в свойствах материала
дополнительно указываем коэффициент температурного расширения:Props→/свойства
материала/models→ Structural →/моделирование материала, основные/→/линейная
структура /→ Isotropic→ OK→/линейное изотропное→/0.78e
11→ OK/модуль Юнга
Па/, 0.3→ ОК
/коэффициент Пуассона 0,3/→Thermal Expansion→/тепловое
расширение/Coefficient→Isotropic→/изотропное/, 1E-7 →OK/коэффициент
температурного расширения
/
Условия закрепления:menu→Solution→/главное
меню→ решение→/
Define Loads → Apply →
Structural → /нагрузки
→добавить→связи/→On
Lines →/связи →по
линии
→/
В графическом окне указываем на линии левого
торца детали, →ОК., UX/вдоль оси X /, 0 /перемещения ноль/
Задание воздействия (температура):menu→
Solution→/главное меню→решение→/Loads →Apply →Structural
→/нагрузки →добавить →структурные/→On Nodes →/давление
→на узлах/
Выделяем в графическом окне всю область →ОК
→Value →50→OK/значение→+50 → применить/
Формирование и решение системы линейных
алгебраических уравнений МКЭ и просмотр результатов выполняем по аналогии с
пунктом 2.1.
Определение коэффициента концентрации напряжений

;
;
;
Коэффициент концентрации напряжений:
2.3 Расчет профильного диска при
вращении с постоянной угловой скоростью
Определим максимальные и минимальные напряжения
и
и
коэффициент концентрации
для диска,
профилем которого является данная пластина, при вращении его вокруг оси с
частотой п = 1000 об/мин.
Описание процедуры решения.
В данном пункте используются очертания той же
модели, что и в пункте 2.2. Тип используемых КЭ Solid 45 node 95. В свойствах
материала задаем дополнительно плотность (Density) равной 7800 кг/м3 .
Построение модели.
На этот раз я решил построить исходную пластину
целиком.
Зададим 2 типа элементов- SOLID45 и SHELL93.
1.Строим
точкиMenu-
preprocessor- Modeling- Create- Keypoints- In Active CS
Задаем координаты согласно варианту.
.Строим линии по заданным точкам
Main Menu- preprocessor- Modeling-
Create- Lines- Lines- Straight Line
Округления задаем
следующим
образомMenu-
preprocessor- Modeling- Create- Lines- Arcs- By End KPs and Rad
указываем 2 точки окружности и точку являющуюся
центром, задаем радиус.
3.Строим
площадь
по
построенным
линиямMenu-
preprocessor- Modeling- Create- Areas- Arbitrary- By Lines
4.Задаем тело вращения по данной площади и оси
вращения
Main Menu- preprocessor- Modeling-
Operate- Extrude- Areas- About Axis
указываем площадь, затем указываем 2 точки
которые будут составлять ось вращения в графе ARC задаем угол на который мы
хотим повернуть нашу пластину
.Теперь разбиваем объемное тело на элементы
Main Menu- preprocessor- Meshing-
MeshTool- Lines-set- Pick All- SIZE- 0.004- OKMenu- preprocessor- Meshing-
MeshTool- Global-Set- TYPE- -OKMenu- preprocessor- Meshing- MeshTool- Areas- выделяем
переднюю
стенку-OK-
SIZE- 0.004- OK
Меняем тип
элемента
снова
на
SOLID45 Menu- preprocessor- Meshing- MeshTool- Global-Set- TYPE- -OKMenu-
preprocessor- Meshing- MeshTool-под
окошечком
Volumes выбираем
Hex Sweep и в
окошечке
ниже
выбираем
Pick Src Src/Trg
жмем Sweep, выбираем весь объем, жмем Apply,
выбираем переднюю стенку, выбираем противоположную стенку- OK
Рисунок 12- Диск вращения разбитый на элементы
Прежде чем задать диску вращение, зададим
симметри, что бы программа распознавала ¼
диска как полноценный диск
Solution- Define loads- Apply-
Displacement- Symmetry B.C.- On Areas
выделяем переднюю и противоположную плоскость
Зададим диску вращение (в Гц)
Solution- Define loads- Apply- Inertia-
Angular Veloc- Global- OMEGY-
-16.6 (1000 об/мин)-OK
Все готово можно дать машине рассчитать
результатSlove- Current LS- OK
Просмотрим напряжения которые возникают в диске
при его вращении
Main Menu- General Postproc- Plot
Results- Contour Plot- Nodal Solu-
Stress- von Mises stress- OK
Рисунок 13- напряжения в диске при вращении
Определим коэффициент концетраций напряжений
Определение коэффициента концентрации
напряжений:
;
;
;
ВЫВОД
Таким образом, рассчитав напряжения в пластинке
при растяжении от приложенного к торцам усилия, при температурном нагреве, а
также выполнив расчет профильного диска с сечением равным пластинке, имеем
следующие коэффициенты концентрации напряжений в области кругленного выреза:
Близость значений коэффициентов концентрации
напряжений подтверждает правильность выполнения расчетов. На основании чего
можно ввести понятие о среднем коэффициенте концентрации напряжений для тел с
исходной геометрией.
Произведя расчет пластины на растяжение от
распределенной нагрузки, мы выяснили, что при расстоянии l0=65 мм, от
концентратора напряжения, напряжения по высоте пластины изменяются
незначительно. Так же выяснили, что шаг «сетки», на которую мы разделяем
элемент, существенно влияет на конечный результат, в нашем случае изменение
шага разбиения с 1 мм на 5 мм, результат изменился на 13,5%.
Определение перемещений и напряжений в круглой
пластине
Определим давление на крышку топливного бака из
стали Х18Н10Т (Е= 2,5*1011Па) и напряжения в нем, при давлении внутри бака
равным P=2∙105 Па.
Рисунок 14- Габариты крышки
Алгоритм построения модели в программе ansys
такой же, как и при построении диска из пункта 2.3, только нам необходимо
теперь задать различную толщину по профилю. Материал задаем SHELL 281. Модуль
юнга, коэфф-нт Пуассона и плотность материала остаются прежними.
Чтобы задать различную толщину необходимо
выполнить:
Preprocessor- Sections- Shell-
Lay-up- Add/ Edit
В столбце Thickness вводим толщину (в метрах), и
для удобства задаем имя соответствующее данной толщине. Жмем OK. Повторяем
процедуру, только теперь задаем новую толщину, имя, и меняем ID на 2, далее так
же вводим третью толщину.
После того, как мы построили ¼
крышки,
сделаем сетку в соответсвии с различной толщиной.Meshing- MeshTool
Справа от первой строчки жмем Set и в последней
строчке SECNUM Section number выбираем нужную нам толщину, затем выбираем
напротив строки Mesh:- Areas, нажимаем Mesh, и выбираем нужный сектор. Таким
образом задаем толщины 3-х частей крышки: основания, боковой поверхности,
верхней части крышки.
Закрепим нашу крышку у основания как показано на
рисунке 14:
Solution- Define loads- Apply-
Structural- Displacement- On Lines
Теперь осталось добавить силу давления на
крышку:
Solution- Define loads- Apply-
Structural- Pressure- On Areas
Выбираем все поверхности и задаем распределенную
нагрузку 2∙105 Па
Рассчитаем результат, получим:

Рисунок 16 - Напряжения в крышке
Посчитаем коэффициент концентраций
;
;
;