Синтез систем автоматизированного управления
Содержание
Введение
1. Теоретическая часть
1.1 Синтез САУ
1.2 Методы исследования
динамических характеристик САУ
1.3 Оценка качества
переходных процессов в САУ
2. Практическая часть
2.1 Техническое задание
2.2 Ход выполнения работы
2.3 Передаточная функция
элементов
2.4 Определение
передаточной функции замкнутой системы и нахождение дифферинциального уравнения
2.5 Нахождение области
устойчивости системы
2.6 Рассчет настройки
регулятора, обеспечивающие минимальное значение интегральной оценки качества.
2.7 Построение переходных
характеристик системы
2.8 Определение
показателей качества системы
Заключение
Список использованной
литературы
Приложения
Введение
Автоматическое управление в технике, совокупность действий, направленных
на поддержание или улучшение функционирования управляемого объекта без
непосредственного участия человека в соответствии с заданной целью управления.
Автоматическое управление широко применяется во многих технических и
биотехнических системах для выполнения операций, не осуществимых человеком в
связи с необходимостью переработки большого количества информации в
ограниченное время, для повышения производительности труда, качества и точности
регулирования, освобождения человека от управления системами, функционирующими
в условиях относительной недоступности или опасных для здоровья. Цель
управления тем или иным образом связывается с изменением во времени
регулируемой (управляемой) величины - выходной величины управляемого объекта.
Для осуществления цели управления, с учётом особенностей управляемых объектов
различной природы и специфики отдельных классов систем, организуется
воздействие на управляющие органы объекта - управляющее воздействие. Оно
предназначено также для компенсации эффекта внешних возмущающих воздействий,
стремящихся нарушить требуемое поведение регулируемой величины. Управляющее
воздействие вырабатывается устройством управления. Совокупность
взаимодействующих управляющего устройства и управляемого объекта образует
систему автоматического управления.
Система автоматического управления (САУ) поддерживает или улучшает
функционирование управляемого объекта. В ряде случаев вспомогательные для САУ
операции (пуск, остановка, контроль, наладка и т.д.) также могут быть
автоматизированы. САУ функционирует в основном в составе производственного или
какого-либо другого комплекса.
1. Теоретическая часть
.1 Синтез САУ
Синтез системы - это направленный расчет, целью которого является:
построение рациональной структуры системы; нахождение оптимальных величин
параметров отдельных звеньев. При множестве возможных решений первоначально
необходимо сформулировать технические требования к системе. А при условии
накладываемых на САУ определенных ограничений необходимо выбрать критерий
оптимизации - статическая и динамическая точность, быстродействие, надежность,
затраты энергии, цена и т.д.
При инженерном синтезе ставятся задачи: достижение требуемой точности;
обеспечение определенного характера переходных процессов. В этом случае синтез
сводится к определению вида и параметров корректирующих средств, которые
необходимо добавить к неизменяемой части системы, чтобы обеспечить показатели
качества не хуже заданных.
Наибольшее распространение в инженерной практике получил частотный метод
синтеза с помощью логарифмических частотных характеристик.
Процесс синтеза системы управления включает в себя следующие операции:
построение располагаемой ЛАЧХ L0(ω) исходной системы W0(ω),
состоящей из
регулируемого объекта без регулятора и без корректирующего устройства;
построение низкочастотной части желаемой ЛАЧХ на основе предъявляемых
требований точности (астатизма);
построение среднечастотного участка желаемой ЛАЧХ, обеспечивающего
заданное перерегулирование и время регулирования tп САУ;
согласование низко- со среднечастотным участком желаемой л.а.х. при
условии получения наиболее простого корректирующего устройства;
уточнение высокочастотной части желаемой л.а.х. на основе требований к
обеспечению необходимого запаса устойчивости;
определение вида и параметров последовательного корректирующего
устройства Lку(ω) = Lж(ω) - L0(ω), т.к. Wж(р) = Wку(р)*W0(р);
техническая реализация корректирующих устройств. В случае необходимости
проводится перерасчет на эквивалентные параллельное звено или ОС;
поверочный расчет и построение переходного процесса.
Построение желаемой л.а.х. производится по частям.
Низкочастотная часть желаемой л.а.х. формируется из условия обеспечения
требуемой точности работы системы управления в установившемся режиме, то есть
из условия того, что установившаяся ошибка системы Δ(
) не должна превышать заданное
значение Δ(
)≤Δз.
Формирование запретной низкочастотной области для желаемой л.а.х.
возможно разными способами. Например, при подаче на вход синусоидального
сигнала требуется обеспечить следующие допустимые показатели: Δm - максимальная амплитуда ошибки; vm -
максимальную скорость слежения; εm - максимальное ускорение слежения. Ранее было
показано, что амплитуда ошибки при воспроизведении гармонического сигнала Δm=gm/ W(jωk) , т.е. определяется модулем передаточной функции
разомкнутой САУ и амплитудой входного воздействия gm. Для того,
чтобы ошибка САУ не превышала Δз, желаемая л.а.х. должна проходить не ниже контрольной
точки Ак с координатами: ω=ωк , L(ωк)=
20lg|W(jωk)| =20lg gm/Δm.
Известны соотношения:
(t) = gmsin(ωkt); g'(t) = gm(ωkt); g''(t) = -gmωk2sin(ωkt);m = gmk;
εm = gmωk2; gm = vm2/εm; ωk = εm/ vm.
Запретная область, соответствующая системе с астатизмом 1-го порядка и
обеспечивающая работу с требуемой погрешностью по амплитуде слежения, скорости
и ускорению слежения, представлена на рисунке 1.
Рисунок1. Запретная область желаемой л.а.х.
Добротность по скорости Kν=vm/
Δm, добротность по ускорению Kε=εm/Δm. В том случае, если требуется обеспечить только
статическую ошибку регулирования при подаче на вход сигнала g(t)=g0=const,
то низко-частотный участок желаемой л.а.х. должен иметь наклон 0 дБ/дек и
проходить на уровне 20lgKтр, где Ктр (требуемый
коэффициент усиления разомкнутой САУ).
Если требуется обеспечить слежение с заданной точность от задающего
воздействия g(t)=νt при ν=const, то установившаяся скоростная ошибка εск(
) =ν/Ктр.
Отсюда находится Ктр=ν/εcк и проводится низкочастотная часть
желаемой ЛАХ с наклоном -20 дБ/дек через добротность по скорости Кν= Ктр=ν/εcк или точку с координатами: ω=1
c-1, L(1)=20lgkтр дБ. Как
было показано ранее, среднечастотный участок желаемой л.а.х. обеспечивает
основные показатели качества переходного процесса - перерегулирование σ
и время регулирования tп.
Среднечастотный участок желаемой л.а.х. должен иметь наклон -20 дБ/дек и
пересекать ось частот на частоте среза ωср, которая определяется по номограммам
В.В.Солодовникова (рисунок 2). Рекомендуется учитывать порядок астатизма
проектируемой системы и выбирать ωср по соответствующей номограмме.
Рисунок 2. Номограммы качества Солодовникова:
а - для астатических САУ 1-го порядка; б - для статических САУ
Для определения параметров последовательного корректирующего устройства
необходимо:
а) вычесть из желаемой л.а.х. Lж располагаемую л.а.х. L0,
т.е. найти л.а.х. минимально-фазового корректирующего устройства Lку;
б) по виду л.а.х. последовательного корректирующего устройства Lку
написать его передаточную функцию и пользуясь справочной литературой подобрать
конкретную схему и реализацию.
На рисунке 3 приведен пример определения передаточной функции
последовательного корректирующего устройства.
Рисунок 3. ЛАХ располагаемой L0, желаемой Lж
разомкнутой системыи последовательного корректирующего устройства Lку
.2 Методы исследования динамических характеристик САУ
Независимо от конкретного исполнения и функционального назначения
элементы САУ при исследовании ее динамики представляются в виде динамических
звеньев.
Под динамическим звеном понимается математическая модель элемента,
объекта или части системы. Если звено представляется дифференциальным
уравнением не выше второго порядка, оно называется элементарным
Сложное динамическое звено представляет собой совокупность элементарных
звеньев. Автоматическая система, включающая в себя бесчисленное множество
элементов и объектов, может быть представлена конечным небольшим числом
динамических звеньев.
Динамическая характеристика связана с понятием переходного процесса и
определяется передаточной функцией, частотной передаточной функцией и
переходной функцией.
Для исследования динамических характеристик элементов и объектов САУ
необходимо получить численные значения параметров динамических звеньев -
коэффициента передачи К (статический параметр) и постоянной времени Т
(динамический параметр). Коэффициент передачи можно получить из графика
статической характеристики элемента, найденной либо аналитически на основании
использования физического закона, описывающего реальный процесс, протекающий в
элементе, либо экспериментально. Постоянную времени можно определить расчетным
путем или путем выбора приведенных в справочных таблицах значений (как правило,
принимаются средние значения).
При анализе автоматической системы рассматриваются передаточные функции,
относящиеся к самой системе.
Передаточная
функция разомкнутой системы
-
отношение лапласовых изображений выходной величины Xвых к ошибке Х при нулевых
начальных условиях:
Передаточная
функция замкнутой системы определяется по соответствующему входу.
По
заданному воздействию
- главный оператор системы;
по
возмущению
Частотная
передаточная функция САУ получается из передаточной функции системы заменой S
на iω:
.
Переходный
процесс может быть вызван двумя причинами: начальным отклонением координат
состояния системы и появлением внешнего входного воздействия. Это собственные
движения в системе.
Для
построения переходного процесса необходимо получить математическую модель САУ.
Исходные
дифференциальные уравнения системы составляются двумя методами: общим и с
помощью передаточных функций.
Первый
метод основан на имеющихся дифференциальных уравнениях элементов системы,
записанных в операционной форме.
Второй
метод основан на передаточных функциях системы.
.3 Оценка качества переходных процессов в САУ
Важным понятием для систем управления является понятие качества
переходных процессов, то есть становится важным сам характер протекания
процессов, особенно такие факторы, как длительность, колебательность и
динамическое отклонение регулируемой переменной от заданной величины.
Для оценки качества переходных процессов требуются характеристики,
критерии или показатели качества, которые могут быть выражены численно.
Критерии качества имеют следующие области применения:
1. Сравнительный анализ систем автоматического управления при изменении
параметров объекта управления, или при сравнении систем разного вида для одного
и того же объекта управления.
2. Синтез, выбор параметров систем автоматического управления,
обеспечивающих заданные критерии качества переходных процессов, требованиям
технического задания на разработку системы.
Известно, что переходный процесс в системе управления зависит не только
от свойств самой системы, но и от характера (вида) входного воздействия.
Поэтому поведение системы при оценке качества переходных процессов
рассматривают при типовых внешних воздействиях. В качестве таких типовых
воздействий чаще всего используют:
v единичную ступенчатую функцию, реже, линейнонарастающий
сигнал,
v воздействие гармонической функцией.
Оценки качества делятся на две группы:
1. Прямые показатели качества переходных процессов. Они
характеризуют непосредственно сам переходный процесс, реакцию системы на
типовое воздействие, чаще всего, на единичную ступенчатую функцию.
2. Косвенные показатели (критерии) качества. Они оценивают качество
переходных процессов по другим характеристикам системы, таким как частотные
характеристики, характер и расположение корней характеристического уравнения
(полюсов передаточной функции), интегралы временной функции переходного
процесса.
автоматизированный передаточный функция
управление качество
2. Практическая часть
.1 Техническое задание
Исследуемая САУ представлена на рис. 1.
Здесь приняты следующие обозначения:p(p), Wc(p), Wo(p),
Wu(p) - передаточные функции соответственно регулятора,
исполнительного устройства, объекта управления и датчика;
j3,j, ju - соответственно заданное, действительное и измеренное значение
регулируемой величины;
l - возмущающее воздействие.
Передаточная функция разомкнутой системы:

(1)
а
замкнутой по отношению к возмущающему воздействию l :

(2)
В
соответствии с (2) процессы в системе описываются дифференциальным уравнением
вида:

(3)
которое
легко можно получить формальной подстановкой 
, и где
величины порядков n и m зависят от вида составляющих (1) и (2) передаточных
функций.
По
определению переходная характеристика есть решение дифференциального уравнения
(3) при возмущающем скачкообразном воздействии (например, единичном l(t)=1(t) и нулевых начальных условиях.
При
различных значениях параметров настройки регулятора можно получить несколько
переходных характеристик и выбрать оптимальную по качеству с помощью интегральной
квадратичной оценки:

(4)
Этому
оптимуму соответствует минимум интеграла (4).
.2 Ход выполнения работы
1. Для приведенной на рис.1
одноконтурной САУ определить передаточную функцию замкнутой системы по
отношению к возмущающему воздействию l при заданных согласно вариантам передаточных функций ее
элементов;
2. По полученной передаточной функции
найти дифференциальное уравнение системы;
3. Решая на ЭВМ одним из известных Вам численных
методов неоднородное дифференциальное уравнение с постоянными коэффициентами,
рассчитать и построить переходные процессы в САУ при скачкообразном возмущающем
воздействии, нулевых начальных условиях и различных параметрах настройки
регулятора, взятых в окрестности заданных согласно варианту;
4. По интегральному квадратичному критерию найти оптимальный переходный
процесс, обеспечивающий минимум ò j2(t)dt
.3 Передаточная функция элементов
а)
- уравнение сумматора
б)
- уравнение регулятора
Применяя
операторный метод Лапласа, получим:
;
в)
- апериодическое звено на выходе
Применяя
операторный метод Лапласа, получим:
;
г)
- апериодическое звено (инерционное) на выходе
Применяя
операторный метод Лапласа, получим:
2.4 Определение передаточной функции замкнутой системы и
нахождение дифферинциального уравнения
Передаточная функция - это отношение изображений по Лапласу выходной
величины к входной при нулевых начальных условиях.
Передаточная
функция разомкнутой системы:
а) Передаточная функция для замкнутой системы:
б)
в)
г)
.5 Нахождение области устойчивости системы
Чтобы
получить характеристическое уравнение нашей системы, приравняем знаменатель
передаточной функции
к нулю.
Система
третьего порядка:
Представим:0 = 0,5Tp; a1 = 1,5Tp; a2
= Tp (1+1,4Kp); a3 = 1,4;
Используем критерии устойчивости Гурвица.
Необходимо и достаточно, чтобы выполнялись следующие условия:
1)
(все
коэффициенты характеристического уравнения положительны);
)
>
Система
будет устойчива, если:
Тр>0;
По
найденному графику функции
построим
область устойчивости системы в плоскости параметров регулятора.
Еуст= 5 % = 0,05;
Wp = Kp;
G(p) = 1(t);(p) = g(t);(t) = A = 1;
G(p)=
;
Выберем
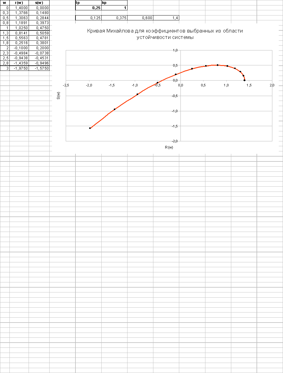
произвольно из области устойчивости системы параметры:
Тр=0,25;
Кр=1;
Построим
кривую Михайлова и Найквиста.
a. Кривая Михайлова
Характеристическое уравнение нашей системы:
Заменим
p на
получим:
;
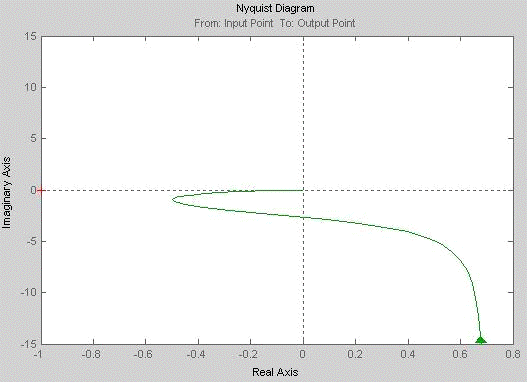
b. Кривая Найквиста
Строим при помощи MatLab 6.5;
Рисунок 2.1 Кривая Найквиста
Выберем произвольно из области неустойчивости системы параметры:
Тр=2; Кр=0,11;
Построим кривую Михайлова и Найквиста.
c. Кривая Михайлова
Характеристическое уравнение нашей системы:
Заменим
p на
получим:
;
d. Кривая Найквиста
Строим при помощи MatLab 6.5;
Рисунок 2.2 Кривая Найквиста
2.6 Рассчет настройки регулятора, обеспечивающие минимальное
значение интегральной оценки качества
Вычислим квадратичную интегральную оценку методом Мандельштама.
Для
получения
и
вычислим
квадратичную интегральную оценку.
К1=2;
К2=0,7; Т1=1; Т2=0,5; Кр=13,57;
(1)

Запишем
знаменатель выражения (1) в виде:
Обозначим:
а0=0,5Тр; а1=1,5Тр; а2=20Тр;
а3=1,4;
Обозначим:
.
)
Умножаем поочередно уравнение (2) на
.
(3)
(4)
(5)
)
Почленно интегрируем уравнения (3), (4) и (5).
В итоге, интегрирование (3) уравнения дает:
Уравнение
(4):
В
итоге, интегрирование (4) уравнения дает:
Уравнение
(5):
В
итоге, интегрирование (5) уравнения дает:
)
Получаем систему из трех уравнений относительно 3-х неизвестных:
Выразим
и
:
Выразим
:
)
Берем производную по
и приравниваем к нулю:
.7 Построение переходных характеристик системы
Переходная характеристика по задающему воздействию для значений
параметров регуляторов выбранных из пунктов.
Рисунок 2.3 Переходная характеристика по задающему воздействию
Переходная характеристика по возмущающему воздействию для значений
параметров регуляторов выбранных из пунктов.
Рисунок 2.4 Переходная характеристика по возмущающему воздействию
Переходная характеристика по задающему воздействию для значений
параметров регуляторов выбранных из пунктов.
Рисунок 2.5 Переходная характеристика по задающему воздействию
Переходная характеристика по возмущающему воздействию для значений
параметров регуляторов выбранных из пунктов.
Рисунок 2.6 Переходная характеристика по возмущающему воздействию
2.8 Определение показателей качества системы
Время регулирования
Теоретически время достижения выходной координаты до заданного значения
равно бесконечности, поэтому вводится допустимая погрешность.
В момент, когда выходная координата попадает в область допустимых
значений и больше из нее не выходит, считается окончанием процесса
регулирования.
Статическая
точность
Характеризует
статический режим в системе и не зависит от динамики переходного процесса.
Величина
перерегулирования
Колебательность
Система
совершила за время регулирования 2 полных колебания.
По
возмущающему воздействию:
1. tрег=5,5 сек
2.
3.
По задающему воздействию:
1. tрег=2,2 сек
2.
3.
полное колебание.
По возмущающему воздействию:
1. tрег=18 сек
2.
Заключение
Современные автоматизированные системы управления и задачи их внедрения
могут быть самыми разными. Грамотно разработанная система автоматического
управления дает возможность оптимизировать задачи диспетчерского,
организационного, производственно-технического управления технологическими
процессами. Ее внедрение позволяет существенно снизить трудозатраты и повысить
оперативность управления технологическим процессом, снизить затраты на
организационное взаимодействие производственных структур, повысить
эффективность сбора, передачи, хранения необходимой информации, улучшить
эксплуатационные показатели оборудования, снизить затраты на его обслуживание.
Подобное управление дает возможность также повысить уровень безопасности, так
как существенно сократится возможность аварийных ситуаций, уменьшатся возможные
риски, которые связаны с человеческим фактором и т. д.
Построение систем управления - это сложный и ответственный процесс,
требующий, огромных знаний и большого опыта в данной области.
Список использованной литературы
1. Бакаев В.Н.,
Теория автоматического управления, Вологда, 2004
. Зайцев Г.Ф.
Теория автоматического управления и регулирования.- 2-е изд., перераб. и доп.
Киев, Издательство Выща школа Головное издательство, 1989
. Клюев А.С.,
Б.В. Глазов, А.X. Дубровский, А.А. Клюев. Проектирование систем автоматизации
технологических процессов: Справочное пособие. 2-е изд., переработанное и
дополненное. Москва, издательство Энергоатомиздат, 1990
. Попов Е.П.
Теория линейных систем автоматического регулирования и управления: Учебное
пособие для втузов. - Второе издание, пероработанное и дополненное. Москва,
издательство Наука, Главная редакция физико-математической литературы, 1989
Приложение
Листинг программы решение в Matlab
W=tf([142.86],[0.001 0.11 1 0])function:
.9
-----------------------
.001 s^3 + 0.11 s^2 + s=tf([142.86],[ 0.00001 0.011 1
0])function:
.9
-------------------------
e-005 s^3 + 0.011 s^2 + s=tf([142.86],[ 0.001 1 0])function:
.9
------------
.001 s^2 + s(W,U,V),grid
Построим графики желаемого ЛАХ и ЛФХ, ЛАХ и ЛФХ объекта и регулятора.
Wp=tf([0.00881 0.9691 8.81],[0.001 1 0])function:
.00881 s^2 + 0.9691 s + 8.81
----------------------------
.001 s^2 + s=tf([16.225],[0.001 0.11 1])function:
.23
---------------------
.001 s^2 + 0.11 s + 1=tf([142.86],[0.001 1 0])function:
.9
------------
.001 s^2 + s(Wp,Wo,Wjelaemoe),grid