Регулирование давления жидкости в напорном трубопроводе
МИНОБРНАУКИ РОССИИ
Федеральное государственное
бюджетное образовательное учреждение высшего профессионального
образования
«Южно-Российский государственный университет экономики и сервиса»
(ФГБОУ ВПО «ЮРГУЭС»)
Ростовский технологический институт сервиса и туризма(филиал)
(РТИСТ ФГБОУ ВПО «ЮРГУЭС»)
ПОЯСНИТЕЛЬНАЯ ЗАПИСКА
К КУРСОВОМУ ПРОЕКТУ
На тему
«Регулирование
давления жидкости в напорном трубопроводе»
Специальность
220703 :«Автоматизация технологических процессов»
По дисциплине
«Автоматическое управление»
Группа
3-53АТП
Разработал
Чернышов М.В.
Проверил
Иванов С.В.
г.
Ростов-на-Дону 2012 г.
МИНОБРНАУКИ РОССИИ
Федеральное государственное бюджетное образовательное учреждение высшего
профессионального образования «Южно-Российский государственный университет
экономики и сервиса»
(ФГБОУ ВПО «ЮРГУЭС»)
Ростовский технологический институт сервиса и туризма (филиал)
(РТИСТ ФГБОУ ВПО «ЮРГУЭС»)
Электротехнический колледж
Специальность
220703: «Автоматизация технологических процессов и производств
ЗАДАНИЕ
на курсовой проект по дисциплине Автоматическое управление
для студента 3 курса 3-52 АТП группы Чернышов Максим Валерьевич
Тема: Технологический контроль и регулирование параметров давления,
расхода и температуры пара в редукционной установке
Исходные данные
P=16±0.24
кгс/см²
; F=1000±20 м³
/ч; Т= 120±2˚Сд
= 0.4; Кр = 5; Кп= 0.5; Коу= 0.6; Тоу=
0.2; Ким= 20; Тим = 1.2; Крегэ = 1.5;
Задача курсового проектирования: провести эквивалентное преобразование
предложенной структурной динамической схемы САУ и получить эквивалентную
передаточную функцию САУ с помощью программного пакета CLASSIC. Произвести сравнение ручного расчёта эквивалентной
передаточной функции с полученной передаточной функцией в CLASSIC.
Срок проектирования «01» июня 2012 г.
Руководитель _____ С.В. Иванов
Введение
Автоматизация технологических процессов является решающим фактором в
повышении производительности труда и улучшении качества выпускаемой продукции.
Качество работы любой автоматической системы регулирования (АСР) зависит от
того, насколько хорошо она 'спроектирована, смонтирована, налажена и
эксплуатируется. Процесс наладки любой ЛCP состоит из нескольких этапов: проверки правильности монтажа,
фразировки цепей, проверки аппаратуры, идентификации объектов и возмущений,
параметрической оптимизации, испытаний, составления документации и др.
Современные объем и уровень автоматизации производства, сложность
многообразие автоматических систем регулирования требуют подхода к их наладке
на современной теоретической основе. Прежде чем приступить к наладке
автоматической системы регулирования, ее нужно теоретически рассчитать. При
современном уровне развития вычислительной техники эти расчеты не очень
трудоемки, но для того чтобы произвести их, необходимо хорошо владеть основами
теории автоматического регулирования и соответствующим математическим
аппаратом. Интуитивный подход к проведению наладочных работ, основанный на
методе проб и ошибок, сейчас недопустим.
Современное производство развивается быстрыми темпами. Основная тенденция
этого развития связана с укрупнением единичной мощности технологических машин и
аппаратов и совершенствованием автоматических схем регулирования такими
объектами. При этом совершенствование схем регулирования идет благодаря
применению не только более современных и надежных средств регулирования, но и
новых методов расчета автоматических систем регулирования.
Применение детерминистских методов анализа и синтеза JICP, когда уравнения объектов и внешние
воздействия полагаются известными, в настоящее время оправдано, пожалуй,
лишь для систем или для предварительной оценки поведения системы и выбора
параметров ее настройки.
В том случае, когда внешние воздействия и характеристики объектов
регулирования непрерывно изменяются и заранее не могут быть определены
однозначно, возникает необходимость в использовании вероятностных методов
анализа и синтеза АСР. Настройка систем регулирования вероятностными методами с
учетом реальных условий их работы позволяет в ряде случаев получить лучшее
качество регулирования.
Приступая к наладке любой автоматической системы, наладчик прежде всего
должен определить математическую модель объекта регулирования. Эта задача может
быть решена экспериментально и аналитически.
1. ОБЩАЯ ЧАСТЬ
Технический прогресс характеризуется непрерывным ростом автоматизации
производства во всех отраслях промышленности.
От автоматизации отдельных установок и агрегатов в настоящее время
переходят к комплексной автоматизации и созданию автоматических цехов и
заводов-автоматов, обеспечивающих максимальное повышение производительности
труда, снижение себестоимости продукции и повышение культуры производства.
Только благодаря автоматизации стало возможным осуществление ряда
наиболее прогрессивных технологических процессов, создание новых современных
видов сообщений и средств связи.
Для разработки и эффективной эксплуатации автоматических систем
регулирования (АСР) необходимо знать общие законы их построения и действия,
методы исследования и настройки. Эти вопросы изучает наука об автоматических
системах управления, в частности один из ее разделов, охватывающий АСР.
1.1 Основные понятия о системах
автоматического управления
Всякий технологический процесс характеризуется определенными физическими
величинами. Для обеспечения требуемого режима работы эти величины необходимо
поддерживать постоянными или изменять по том или иному закону.
Физические величины, определяющие ход технологического процесса,
называются параметрами технологического процесса. Так, параметрами
технологического процесса могут быть давление, температура, уровень жидкости,
концентрация вещества, расход вещества или энергии, скорость изменения
какой-либо величины и т. п.
Параметр технологического процесса, который необходимо поддерживать
постоянным или изменять по определенному закону, называется регулируемой величиной.
или регулируемым параметром.
Значение регулируемой величины, которую оператор стремится получить в
установившемся режиме от находящейся в равновесии системы регулирования при
заранее заданных режимах ее работы, называется заданным значением.
Значение же регулируемой величины в рассматриваемый момент времени
называется ее мгновенным или истинным значением.
Значение регулируемой величины (или какой-либо другой),полученной в
рассматриваемый момент времени, на основании данных некоторого измерительного
прибора называется ее измеренным значением.
Воздействие, подаваемое на вход системы или устройства, называется
входным воздействием.
Воздействие, подаваемое на выход системы или устройства, называется
выходным воздействием.
Под структурной схемой системы или устройства понимается графическое
изображение совокупности функциональных блоков и связей между ними, образующих'
эту систему или устройство.
Возмущающими воздействиями принято называть воздействия, стремящиеся
нарушить требуемую функциональную связь между задающим воздействием и
регулируемой величиной.
Под задающим воздействием понимается воздействие на систему, определяющее
требуемый закон' изменения регулируемой величины. Комплекс устройств,
присоединяемых к регулируемому объекту и обеспечивающих автоматическое
поддержание заданного значения его регулируемой величины или автоматическое
изменение ее по определенному закону, принято называть автоматическим
регулятором.
Выход объекта регулирования (регулируемая величина) воздействует на вход
регулятора. Выход регулятора через регулирующий орган воздействует на вход
объекта регулирования.
Автоматическое регулирование является частным случаем более общего
понятия автоматического управления. Автоматическим управлением называется
процесс, при котором операции выполняются посредством системы, функционирующей
без вмешательства человека в соответствии с заранее заданным алгоритмом. В
общем случае совокупность управляемого объекта и автоматического управляющего
устройства, определенным образом взаимодействующих между собой, принято
называть автоматической системой. Автоматическая система с замкнутой цепью
воздействия, в которой управляющее (регулирующее) воздействие вырабатывается
врезультате сравнения истинного значения управляемой (регулируемой) величины, с
заданным (предписанием) ее значением, называется АСР. Процесс, посредством
которого одну или несколько регулируемых величин приводят в соответствие с их
постоянными или изменяющимися по определенному закону заданными значениями и
при этом указанное соответствие достигается техническими средствами путем
выработки воздействия на регулируемые величины в результате сравнения их
действительных значений с заданными, называется автоматическим регулированием.
Различают алгоритмическую, функциональную и конструктивную структуру АСР.
Алгоритмической структурой АСР называется структура, где каждая часть
предназначена для выполнения определенного алгоритма преобразования ее входной
величины, являющегося частью алгоритма функционирования АСР.
В функциональной структуре АСР каждая часть предназначена для выполнения
определенной функции.
Структура АСР, где каждая часть представляет самостоятельное
конструктивное целое, называется конструктивной структурой АСР. Структура АСР с
той или иной степенью детализации может быть представлена графически.
Графическое изображение структуры АСР называется структурной схемой АСР.
Простейшая составная часть структурной схемы АСР или автоматического
устройства, отображающая путь и направление передач воздействия между частями
автоматической системы, на которые эта система разделена в соответствии со
структурной схемой, называется связью структурной схемы системы. Связи
структурной схемы классифицируются на основные, дополнительные и дополнительные
обратные.
Связь структурной схемы АСР, образуемая основной цепью воздействия между
участками этой цепи, называется основной связью.
Связь структурной схемы АСР, образующая путь передачи воздействия в
дополнение к основной цепи воздействий или какому-либо участку, называется
дополнительной связью.
Дополнительная связь структурной схемы АСР, направленная от выхода к
входу рассматриваемого участка цепи воздействий, называется дополнительной
обратной связью (или просто обратной связью).
Обратная связь может быть отрицательной или положительной.
Обратная связь, направленная с выхода системы к ее входу называется
главной обратной связью. Все отдельно взятые элементы системы обладают
направленностью действия, т. е. свойством детектирования которое заключается в
том, что сигнал проходит только от входа к выходу элемента.
Выделяют 8 типовых звеньев:
1) Усилительное (пропорциональное звено)
(1.1)
). Интегрирующее звено
(1.2)
). Дифференцирующее звено
(1.3)
). Апериодическое звено (инерционное)
(1.4)
). форсирующее звено I-го
порядка
(1.5)
). форсирующее звено II-го
порядка
(1.6)
). Колебательное звено
(1.7)
). Консервативное звено
(1.8)
Критерии устойчивости
-й критерий устойчивости
Необходимым и достаточным условием устойчивости замкнутой системы
являются: отрицательное значение вещественной части корней характеристического
полинома.
-й критерий устойчивости
Критерий устойчивости Гурвица.
Необходимым и достаточным условием устойчивости замкнутой системы
являются: положительное значение всех диагональных определителей матрицы
Гурвица, при этом поленом должен быть полным, и все его коэффициенты
положительны.
-й критерий устойчивости
Критерий устойчивости Михайлова
Система в замкнутом состоянии, будет устойчива в том случае, если
годограф Михайлова при изменении частоты от 0 до + 00 начинаясь с
положительной реальной полуоси, проходит последовательно против часовой стрелки
такое количество квадрантов, коков порядок полинома.
-й критерий устойчивости
Критерий устойчивости Найквиста
-й случай Система устойчивая в разомкнутом состоянии будет устойчива в
замкнутом в к случае, если АФЧХ разомкнутой системы не охватывает точку с
координатами (-l;jO)
-й случай
Система устойчивая в разомкнутом состоянии будет устойчива в замкнутом в
том случае, если ЛАЧХ разомкнутой системы будет пересекать ось частот раньше,
чем ФЧХ ординату - П.
Законы регулирования
и закон
Пропорциональный закон.
Характеристики пропорционального регулятора совпадают с характеристиками
П - звена.
При введении пропорционального регулятора ЛАЧХ будет осуществлять
параллельный перенос, при к > 1 вверх, при к < 1 вниз, при этом частота
среза изменится.
При настройке регулятора желательно иметь большое значение к, т.к. при
увеличении к установившаяся ошибка регулирования уменьшится, но при этом
система может потерять устойчивость.
Существуют случаи, когда использование П - закона не возможно (ФЧХ лежит
ниже - П).
-й закон
Интегрирующий закон.
Характеристики данного закона совпадают с характеристиками интегрирующего
звена
=
(1.9)
Данный регулятор относится к астатической группе, его использование
приводил к устранению установившейся ошибки регулирования.
Использование регулятора изменяет наклон ЛЛЧХ и сдвигает ФЧХ на - 90°. В
чистом виде не используется, а используется как часть сложных.
-й закон
Дифференцирующий закон.
Характеристики данного регулятора совпадают с характеристиками
дифференцирующего звена.
(1.10)
В чистом виде не используется, в силу физической не реализуемости, а
используется как составляющая часть в ПД и ПИД.
-й закон
Пропорционально интегрирующий закон.
Регулятор реализующий ПИ закон регулирования использует все положительные
стороны пропорционального и интегрирующего звеньев.
(1.11)
Данный регулятор называется регулятором с связанными параметрическими
настройками.
-й закон
Пропорционально - дифференцирующий закон.
с не связанными настройками.
-й закон
Пропорционально - интегрирующий дифференцирующий закон
+
(1.12)
Комплекс устройств, присоединяемых к регулируемому объекту обеспечивающих
автоматическое поддержание заданного значения с регулируемой величины или
автоматическое изменение ее по определенному закон, принято называть
автоматическим регулятором.
1.2 Описание исходной системы автоматического
регулирования
Система автоматического регулирования представляет собой трубопровод, по
которому транспортируется пар от котельной установки (рисунок 1).
Давление на входе трубопровода 16±0.24кгс/см²
Требуется контролировать давление на выходе к потребителю на уровне
4±0,07 кгс/см², также расход на уровне 1000±20 м³/ч и температуру 120±2 ˚С.
От котельной уст. Р=16±0.24кгс/см²
К потребителю
Т=120±2˚Ϲ Р=4±0.07 кгс/см²
Рисунок 1 - Исходная система автоматического регулирования при завышении
данных параметров произойдёт спад работы приборов и выход оборудования из строя
1.3 Разработка функциональной схемы, системы
автоматического регулирования
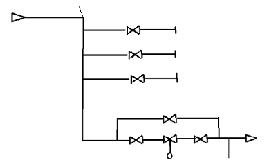
Данная система состоит из 3-х контуров технологического контроля:
параметров давления, расхода и температуры редукционной установки.
давление
температура пар редукционный автоматизация
Рисунок 2
1.4 Выборка приборов и средств автоматизации
объекта
По полученной функциональной схеме - системе автоматического управления
параметрами выполним подбор приборов контура технологического контроля
температурой.
Позиция 3-1, датчик температуры МВТ 3560
Сверх компактная конструкция
Кожух из кислотоупорной нержавеющей стали (AISI 316L)
Диапазон температур от -50 °C до +200°C
Термометр сопротивления Pt 1000
Выходные сигналы: 4 - 20 мА или логометрические
Защитная трубка: диам. 8 мм
Различная длина вставки: 50, 100, 150, 200 или 250 мм.
Позиция 3-2,
ТРМ10 Измеритель ПИД-регулятор одноканальный.
Универсальный вход для подключения широкого спектра датчиков температуры,
давления, влажности, расхода, уровня и т. п.;
ПИД-регулирование измеренной величины с использованием «нагревателя» или
«холодильника»;
Автонастройка ПИД-регулятора по современному эффективному алгоритму;
Дополнительный вход для сигнализации о выходе регулируемой величины за установленные
границы (или для двухпозиционного регулирования);
Регулирование мощности (например, для управления инфракрасной лампой) в
модификации с аналоговым выходом 4...20 мА, совместно с прибором ОВЕН БУСТ;
Возможность управления трёхфазной нагрузкой;
Импульсный источник питания 90...245 В 47...63 Гц;
Встроенный источник питания 24 В для активных датчиков, выходных
аналоговых устройств (ЦАП) и др.;
Программирование кнопками на лицевой панели прибора;
Сохранение настроек при отключении питания;
Защита настроек
от несанкционированных изменений;
Позиция 3-3 Задатчик, встроенный в регулятор. Задание устанавливается
вручную. Задатчик может быть использован с регуляторами, работающими на
стандартных электрических входных и выходных аналоговых сигналах, с целью
поддержания регулируемого параметра (расхода, давления, температуры и проч.) на
заданном уровне.
Позиция 3-4 Пускатель бесконтактный ПБР - 2М
Входное сопротивление пускателя 750 Ом
Максимальный коммутируемый ток 4А
Быстродействие (время запаздывания выходного тока при подаче и снятии
управляющего сигнала) 25 мс
Разница между длительностями входного и выходного сигналов не более 20 мс
Напряжение источника питания цепей управления
-26В (среднее значение двухполупериодного выпрямленного тока)
Полный срок службы 10 лет
Степень защиты IP - 20
Электрическое питание 220В, 50 Гц
Потребляемая мощность 5 Вт
Масса 2 кг
На следующей позиции после пускателя идёт - Исполнительный
механизм МЭО-16/10-0,25-IIBT4-93Ф
Номинальный крутящий момент на выходном валу, Н.м 16
Напряжение и
частота питания 220/380 В, 50 Гц.
Потребляемая мощность, Вт 110
Масса, кг 10
Тип блока сигнализации положения выходного органа БСПТ-26
Позиция 1-5 Поворотная заслонка диаметром условного прохода паропровода
РАСЧЕТНАЯ ЧАСТЬ
. Математическое описание и исследование объекта
управления
.1 Структурное преобразование схемы объекта
управления, получение его передаточной функции
Данная система автоматического регулирования включает в себя объект
регулирования, измерительное устройство и регулятор, релейный элемент, объект
управления исполнительный механизм и регулирующий орган. Таким образом,
структурная схема нашей системы автоматического регулирования имеет вид:
Рисунок 3 - Структурная схема условного объекта автоматического
регулирования
Где: W1- -измерительное устройство (датчик)
W2 -регулятор (устройство управления)
W3
- релейный элемент
(магнитный пускатель)
W4
- объект
управления (трубопровод)
W5
- исполнительный
механизм (поворотная заслонка)
W6
- регулирующий
орган
Так как данная система состоит из шести последовательно соединенных
устройств, то передаточная функция представляет собой произведение передаточных
функций этих устройств и имеет следующий вид:
W(p) = W1*W2*W3*W4*W5*W6 (2.1)
). Передаточную функцию датчика можно представить в виде
пропорционального звена т.е.
W(p) = K (2.2)
). Передаточную функцию регулятора можно представить в виде ПИД
пропорционально интегро дифференциального звена,
Рисунок 4 - Градуированная характеристика регулятор температуры
Анализируя график, характерный для дифференциального объекта можно
сделать вывод, что передаточную функцию регулятора температуры можно
представить в виде пропорционально-интегрально дифференциальным звеном т.е.
Рисунок 5 - Передаточная функция ПИД- регулятора
Передаточная функция ПИД регулятора формируется путём сложения
передаточной функции ПИД звена.
(2.3)
По известным математическим соотношениям типовых динамических звеньев
формируется
(2.4)
) Передаточную функцию релейного элемента можно представить в виде
пропорционального звена:
W(p) = K ; (2.5)
). Передаточную функцию объекта управления я представляю апериодическим
звеном

(2.6)
)
Передаточную функцию исполнительного механизма я так же представляю
апериодическим звеном
, (2.7)
). Передаточную функцию регулирующего органа я представляю в виде
пропорционального звена:
W(p) = K (2.8)
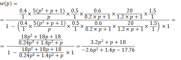
Выполним подстановку числовых значений коэффициентов и получаем функцию:
Т.к., коэффициент передачи К- это есть отношение выходного параметра к
входному, а также, постоянная времени Т- это величина в течении которого
выходная величина достигла своего установившегося значения.
2.2 Параметрический синтез и исследование
одноконтурной системы автоматического регулирования
.2.1 Оценка возможности статического
регулирования объекта управления
Чтобы оценить возможности статического регулирования объекта управления,
исследуем возможность и качества пропорционального регулирования, для этого
рассмотрим схему изображенную на рисунке 8.
Новая структура САУ с учётом выраженных звеньев, описывающих устройства.
Типовая структура такой САУ имеет вид:
Рисунок 6 - Типовая структурная схема редукционной установки
2.3 Оценка возможности астатического
регулирования объекта управления
Для оценки возможности астатического регулирования объекта управления
исследуем возможность и качества пропорционально-интегрирующего регулирования,
для этого рассмотрим структурную схему изображённую на рисунке 6. В качестве
регулятора рассмотрим ПИ-закон, передаточная функция которого имеет вид:
(3.0)
В качестве начального значения параметров настройки принимаем к=1,
(3.1)
Где W F75-значение частоты, при которой ФЧХ
располагается выше ординаты -Ч на 75°, т.е. W F75=0 . 0 2 3, а следовательно Ти=43,6,
тогда получим:
(3.2)
Подставим принятые значения в специализированный программный пакет CLASSIC, получим ЛАЧХ и ФЧХ. При этом запас
устойчивости по фазе равен 64.8°, а по амплитуде равен 32дБ.
Выбранные к и Ти удовлетворяют устойчивость по фазе и по
амплитуде, но время регулирования при исследовании качества одноконтурной
системы автоматического регулирования помучается очень большим.
Для того-чтобы уменьшить время, к принимаем равное 5, а Ти
равное 10 секундам. Тогда передаточная функция имеет следующий вид
(3.4)
Рисунок 7 - ЛАЧХ и ФЧХ условного объекта регулирования с ПИ регулятором
Анализируя график ЛAЧX и ФЧХ видно, что ' запас
устойчивости по фазе равен 1 , а по амплитуде равен 62.94 дБ. Значит выбранные
к=5 и Ти=10 секундам будут считаться оптимальными.
Структурная схема условного объекта регулирования выполненная в программе
CLASSIC.
Расчёт структурной схемы эквивалентной передаточной функции САУ
Редукционной установки.
Выполним подстановку числовых значений коэффициентов и получаем функцию:
3. Моделирование САУ при помощи программы CLASSIC
Заключение
Для представленной скелетной схеме технологической установки объекта,
произведена разработка схемы технологического контроля и автоматического
регулирования параметров давления, температуры и расхода.
Подобраны приборы и средства автоматизации объекта.
Произведён расчёт передаточной функция и выполнены структурные
преобразования схемы объекта управления в программе CLASSIC.
Можно сделать вывод, что для нашего объекта подходит ПИД регулятор т.к.
его характеристики идеальны, его запас устойчивости больше.
Литература
1. Емельянов А.И. "Практические
расчеты в автоматике"
2. Иващенко Н.И. "Автоматическое
регулирование”
3. Клюев А.С. "Наладка средств
автоматизации и автоматических систем регулирования"
4. Кошарский Б.Д. "Автоматические
приборы, регуляторы и вычислительные системы"
5. Топчеев И.Ю. "Атлас для
проектирования систем автоматического регулирования”
6. Черенков В.В. "Промышленные
приборы и устройства автоматизации"
7. Шкатов Е.Ф. "Основы
автоматизации технологических процессов химических производств".