Параметры четырехполюсника

  • Вид работы:
    Контрольная работа
  • Предмет:
    Физика
  • Язык:
    Русский
    ,
    Формат файла:
    MS Word
    404,19 Кб
  • Опубликовано:
    2012-06-12
Вы можете узнать стоимость помощи в написании студенческой работы.
Помощь в написании работы, которую точно примут!

Параметры четырехполюсника

Задание

1.      Расчет А - параметров четырехполюсника, усилителя и каскадного соединения

1.1.   В соответствии с вариантом задания построить схемы пассивного четырехполюсника П, содержащего последовательное (Z) или параллельное (Y) соединение резистора Ri и емкость Ci (i=1,2,3) и активного четырехполюсника (усилителя) В.

1.2. Записать выражения для А-параметров пассивного четырехполюсника в функции частоты. Рассчитать эти параметры при частоте f=50 Гц. Проверить принцип взаимности.

.3. Рассчитать А-параметры усилителя, используя линейную схему замещения с зависимыми источниками.

.4. Рассчитать А-параметры каскадного соединения пассивного и активного четырехполюсника.

.5. Определить входное сопротивление Rвх.А усилителя, нагруженного на резистор Rн. Расчет выполнить через А-параметры усилителя.

.6. Найти коэффициент передачи по напряжению КП пассивного четырехполюсника, нагруженного на сопротивлении R вх.А.

1.7. Найти коэффициент передачи по напряжению КА активного четырехполюсника, нагруженного на сопротивление RH.

1.8. Найти коэффициент передачи по напряжению К каскадного соединения четырехполюсников двумя способами:

а) по А-параметрам каскадного соединения четырехполюсников с активной нагрузкой;

б) по коэффициентам передачи КП и КА четырехполюсников.

2. Расчет комплексных частотных характеристик

2.1. Рассчитать комплексную частотную характеристику (КЧХ) по напряжению  для пассивного четырехполюсника, нагруженного на сопротивление Rвх.А.

.2. Рассчитать КЧХ по напряжению каскадного соединения пассивного и активного четырехполюсников .

.3. Построить частотные характеристики АЧХ - K(w) и ФЧХ - j(w) в одной системе координат. Сделать вывод о фильтрующих свойствах цепи, приняв за полосу прозрачности диапазон частот в котором , где Кmax - максимальное значение модуля коэффициента передачи напряжения цепи

3. Анализ цепи в переходном режиме

.1. Составить схему для расчета переходного процесса, возникающего при подключении синусоидального источника ЭДС


к R-C цепи, нагруженной на сопротивление Rвх.А. Переходной процесс рассчитать на частоте w = 314 с-1. Найти напряжение uвых(t) на резисторе Rн в переходном режиме. Построить на одном графике напряжение входного и выходного сигналов в зависимости от времени.

четырехполюсник каскадный сопротивление резистор

1.     
Расчет параметров четырехполюсника, усилителя и каскадного соединения

.1 расчет схемы пассивного четырехполюсника, активного четырехполюсника и их каскадного соединения.

В работе исследуется установившейся и переходный

режимы в электрической цепи, приведенной на рисунке 1:







Рис. 1. Схема каскадного соединения четырехполюсников

В соответствии с вариантом задания построим схему пассивного четырехполюсника (рисунок 2):








Рис. 2. Схема пассивного четырехполюсника

В соответствии с вариантом задания построим схему активного четырехполюсника (рисунок 3):

Рис. 3. Схема активного четырехполюсника

1.2    Расчет А-параметров пассивного четырыхполюсника


f = 50 Гц, ω = 2πf = 314  

Проверка принципа взаимности:

Принцип взаимности:

 

Следовательно, принцип взаимности соблюдается.

1.3 Расчет А-параметров усилителя типа C

Рассчитываем А-параметры усилителя, используя линейную схему замещения с зависимыми источниками.

В схеме на рис. 4 используется операционный усилитель (ОУ) как идеальный преобразователь мощности типа ИНУН. Для упрощения расчетов схем с ОУ прибегают к идеализации его параметров:

бесконечно высокий коэффициент усиления µ = ∞;

бесконечно большое входное сопротивление Rвх.ОУ = ∞;

малое выходное сопротивление Rвых.ОУ = 0.








Рис. 4. Эквивалентная схема замещения OУ

Для усилителя С заданы параметры:

n=12 - номер варианта;

Rс= n =12 кОм;

Rd= (n+10)*102 кОм.

Для операционного усилителя на рис. 4 будут справедливы следующие уравнения:


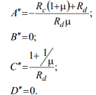
Из них получаем значения А-параметров:


Для идеального ОУ (µ = ∞) матрица А-параметров преобразуется к виду:

 

 

 

 

 

1.4    Расчет А-параметров каскадного соединения пассивного и активного четырехполюсника

При каскадном соединении выполняются (рисунок 1):

,      ,     

,   ,   .

Уравнения четырехполюсников в матричной форме для каскадного соединения:


1.5    Определение входного сопротивления Rвх.в усилителя

1.6    Нахождение коэффициента передачи по напряжению КП пассивного четырехполюсника


1.7    Нахождение коэффициента передачи по напряжению КА активного четырехполюсника

1.8   
Нахождение коэффициента передачи по напряжению К каскадного соединения четырехполюсников

а) по А-параметрам каскадного соединения четырехполюсников с активной нагрузкой


б) по коэффициентам передачи КП и КА четырехполюсников

2      
Расчет комплексных частотных характеристик

.1      Расчет комплексной частотной характеристики (КЧХ) по напряжению для пассивного четырехполюсника

;



2.2 Расчет КЧХ по напряжению каскадного соединения пассивного и активного четырехполюсников


2.3 Построение частотных характеристик АЧХ - K(w) и ФЧХ - j(w)

Таблица 1

f, Гц

w, с-1

KП(jw)

jп(w)

j(w)

50

314

0,3003

-4.5485

175,4515

100

628

0.180656

-9.0405

170,9595

200

1256

0.1579

-17.6521

162,3479

400

2512

0.1493

-32.4743

147,5257

800

5024

0.1549

-51.8461

128,1539

1600

10048

0.1585

-68.5546

114,4454


Полоса прозрачности определяется неравенством , где - максимальное значение модуля коэффициента передачи напряжения цепи. По таблице 1 0,3003/1,414=0,2124. Из АЧХ видно, что полоса прозрачности начинается при частоте ω= 300 с-1 и при дальнейшем её увеличении увеличивается и коэффициент передачи . Значит, фильтрующие свойства цепи соответствуют пропускающему фильтру.

Рис. 5. Амплитудно-частотная характеристика пассивного четырехполюсника


Рис. 6. Фазо-частотная характеристика пассивного четырехполюсника

3.  
Анализ цепи в переходном режиме

3.1    Нахождение на резисторе Rh. Построение на графике напряжения входного и выходного сигналов в зависимости от времени

Переходный процесс, возникающий при подключении каскадного соединения пассивного четырехполюсника и усилителя к синусоидальному источнику напряжения  с частотой Гц, рассчитывается по схеме, представленной на рисунке 7.







Рис. 7. Схема для расчета переходного процесса, возникающего при подключении синусоидального источника ЭДС

После коммутации получается двухконтурная цепь второго порядка с нулевыми независимыми условиями для напряжения на емкости. Поскольку коэффициент передачи усилителя  не зависит от частоты, необходимо заменить усилитель с нагрузкой  входным сопротивлением усилителя .











Рис. 8. Схема пассивного четырехполюсника для расчета переходного процесса

При определении входного напряжения усилителя с нагрузкой  классическим методом:


Принужденную составляющую напряжения  рассчитаем с помощью коэффициента передачи .


 мB.

Свободная составляющая:

Ua св (t) = А1∙ер1∙t2∙ер2∙t,

где р1 и р2 - корни характеристического уравнения,

А1 и А2 - постоянные интегрирования.

Корни характеристического уравнения находятся из уравнения:

 

откуда p1= -282.038;

p2= -2451.3.

Найдём токи в ветвях схемы в момент времени t = 0.











i1(0) = ;

=

 

Ua(0) = i2(0)∙Rвх=70,90608 (мВ).

Уравнения для производных:

;

+

+;

;

 

 

 

Ua (0) = Ua m∙sinΨu+A1+A2

 = Ua m∙ω∙cosΨu+p1∙A1+p2∙A2

 

 

Выходное напряжение усилителя с нагрузкой  по классическому методу примет вид:

(мВ)

Время переходного процесса:

 мс.

Построим графики зависимости напряжений от времени:

Рис. 11. График зависимости uAпр(t)

Рис. 12. График зависимости uАсв(t)

Рис. 13. График зависимости uA(t)

Рис. 14. График зависимости uA(t)*КА

Рис. 15. График зависимости e(t)


Заключение

В ходе выполнения данной курсовой работы были исследованы: установившийся режим в электрической цепи с гармоническим источником ЭДС при наличии четырехполюсника, А-параметры пассивного четырехполюсника при частоте f=50 Гц, А-параметры усилителя С и его входное сопротивление Rвх.А, А-параметры каскадного соединения пассивного и активного четырехполюсника и комплексные частотные характеристики.

По рассчитанной комплексной частотной характеристике напряжения каскадного соединения пассивного и активного четырехполюсников, построили амплитудно-частотную и фазо-частотную характеристики, где относительно условия  диапазона полосы пропускания определили, что данная электрическая цепь обладает свойствами пропускающих фильтров.

Также была исследована цепь в переходном режиме. Её расчет помог нам проанализировать прохождение сигнала по заданной цепи при подключении его к источнику гармонического напряжения. Напряжения входного и выходного сигналов изменяются периодически, определены их амплитудные значения и значения свободной составляющей переходного процесса. Переходный процесс завершается за 0,12 мс.


Список литературы

1.   Методы расчета электрических цепей, содержащих четырехполюсники и управляемые элементы: Методические указания к курсовой работе по теории электрических цепей/ УГАТУ; Сост. Т.И. Гусейнова, Л.С. Медведева. - Уфа, 2007, - 28 с.

2.      Теоретические основы электротехники: Учеб. Для вузов/ К.С. Демирчан, Л.Р. Нейман, Н.В. Коровин, В.Л. Чечурин. - 4-е изд., изучения курса. - СПб.: Питер. - Т. 1. - 2003. - 463 с. - Т.2. - 2003. - 576 с.

3.   Татур Т.А. Установившиеся и переходные процессы в электрических цепях: Учеб. пособие для вузов. - М.: Высш. школа, 2001. - 407 с.

Похожие работы на - Параметры четырехполюсника

 

Не нашли материал для своей работы?
Поможем написать уникальную работу
Без плагиата!
Без нейросетей!