Разработка инновации для повышения эффективности деятельности на ЗАО 'Вологодский подшипниковый завод'
ОГЛАВЛЕНИЕ
Введение
. Теоретические основы
внедрения инноваций на предприятиях
1.1 Сущность, виды и типы инноваций
промышленных предприятий
1.2 Понятие и виды эффективности деятельности на предприятии
1.3 Инновации как фактор повышения
эффективности деятельности предприятия
2. АНАЛИЗ
И ОЦЕНКА ЭФФЕКТИВНОСТИ ДЕЯТЕЛЬНОСТИ ЗАО «ВПЗ»
2.1 Организационно-экономическая
характеристика предприятия ЗАО «ВПЗ»
2.2 Анализ эффективности использования
производственных ресурсов ЗАО «ВПЗ»
2.3 Оценка затрат и результатов производственной
деятельности ЗАО ВПЗ
3. Экономическое
обоснование внедрения инноваций на зао «впз»
.1 Мероприятия, направленные на повышение
эффективности деятельности ЗАО «ВПЗ»
3.2 Обоснование внедрения технологии
химико-термической обработки на ЗАО «ВПЗ»
Заключение
Список использованных
источников
ПРИЛОЖЕНИЕ 1. производственная структура
предприятия ЗАО «ВПЗ»
ПРИЛОЖЕНИЕ 2. Бухгалтерский баланс ЗАО
«ВПЗ»
ВВЕДЕНИЕ
В настоящее время общепринято, что инновационная деятельность является
необходимым условием для долгосрочного устойчивого развития любого предприятия.
Эффективность инновационной деятельности зависит от того, насколько она
адаптирована к внешней среде, в какой мере гибки и подвижны её структуры, в
какой мере она способна к нововведениям.
В современных условиях проблема повышения эффективности хозяйственной
деятельности торговых предприятий требует новых подходов, а именно разработку и
реализацию элементов стратегии инновационной деятельности предприятий.
Актуальность темы выпускной квалификационной работы обусловлена тем, что
в настоящее время состоянию инновационной деятельности в России сложно дать
соответствующую оценку. С одной стороны, Россия является государством,
обладающим интеллектуальным потенциалом, богатейшими ресурсами в научно-технической
области, с другой стороны, внедрение и реализация имеющихся прогрессивных
проектов на уровне предприятий осуществляется не достаточно активно из-за
отсутствия и недостаточной проработки методических подходов к разработке
инновационной стратегии развития предприятий различной отраслевой
принадлежности.
Применение методов управления проектами не только помогает
достичь результатов необходимого качества, но и экономит деньги, время,
ресурсы, снижает риск проектов, повышает надежность реализации проектов. Управление
проектами наиболее эффективно работает и хорошо себя зарекомендовало в условиях
рыночной экономики, так как по своей сути касается экономических методов
управления, в которых стоимостные факторы в конечном счету сыграют решающую
роль.
Актуальность, научная и практическая значимость решения
указанных проблем и определили цель и задачи настоящего исследования.
Целью выпускной квалификационной работы является -
разработать инновацию для повышения эффективности деятельности на ЗАО
«Вологодский подшипниковый завод».
Для достижения цели выпускной квалификационной работе ставились следующие
задачи:
исследовать и изучить сущность инновационной деятельности предприятий;
рассмотреть понятие и виды эффективности деятельности предприятия;
исследовать инновации как фактор повышения эффективности;
изучить организационно-экономическую характеристику предприятия как
объекта исследования;
провести анализ эффективности использования производственных ресурсов
предприятия;
оценить прибыль и рентабельность производственной деятельности
предприятия;
разработать и экономически обосновать внедрение инноваций в
производственный процесс предприятия.
Объектом исследования является компания ЗАО «Вологодский
подшипниковый завод».
Предметом исследования является внедрение инноваций в
производственный процесс.
Теоретическую и
основы работы труды ведущих
и зарубежных ученых и в области экономической изучения
инновационных теории конкуренции, предприятия и стратегического менеджмента,
информационная ЗАО «ВПЗ».
В работе использованы методы исследований: статистических
группировок, экономико-статистического анализа, графические и другие методы, а
так же SWОT-анализ,
факторный анализ.
1. ТЕОРЕТИЧЕСКИЕ ОСНОВЫ ВНЕДРЕНИЯ ИННОВАЦИЙ НА ПРЕДПРИЯТИЯХ
.1 Сущность, виды и типы инноваций промышленных предприятий
Задача любого производства состоит в максимальном удовлетворении спроса
потребителя, повышении эффективности производства, снижении себестоимости
продукции, повышении производительности труда и, как следствие, увеличении
прибыли предприятия.
Для реализации всех этих задач на производственных предприятиях
проводится инновационная деятельность, что включает в себя внедрение
инновационных проектов, к которым относятся модернизация оборудования,
техническое перевооружение производства, переоснащение, а так же новое
строительство производственных площадей.
Кроме того инновационными проектами могут быть и организационные
усовершенствования т.е. внедрение новых форм и методов организации труда и
изменение структурных схем предприятия.
В отечественной и зарубежной экономической литературе трактовка
определения «инновация» является предметом научных дискуссий, что
свидетельствует об отсутствии единой терминологии в этой области. Для уточнения
понятия инновация рассмотрим различные точки зрения авторов.
наиболее
подробное инноваций ввел в науку Й. А. [63], в
своей работе «экономического развития», в описал содержание с помощью пяти
)
использование новой технологических процессов нового рыночного производства;
)
изготовление продукта или продукта с новыми
)
использование новых сырья или
)
изменения в организации и его материально-обеспечении;
)
проникновение на рынок сбыта.
термин
«инновация» Й. А. [63] стал использовать в
30-е гг. ХХ Под инновацией подразумевал изменение с внедрения и использования
видов потребительских новых производственных, и форм организации в
Одним
из первых понятия инноваций в был Н. Д. Кондратьев [34],
в работе «Большие конъюктуры» Он обосновал больших циклов примерно в 50 лет,
ввел длинной волны, влияние радикальных на мировое промышленное Он доказал,
что к новому циклу исключительно с расширением благ, создающих массового
внедрения изобретений.
К
таким Н. Д. Кондратьев [34] относил паровых
машин, железной дороги, и автомобилестроение.
В
настоящее сложилось несколько к определению понятия «»:
инновация
как категория;
инновация
процесс;
инновация
результат деятельности.
По
И. Т. Абдукаримова [1], если рассматривать как категорию, тогда: инновацией
следует «инвестицию в новацию». - это вложение или материальных в реальную или
экономику с целью экономической выгоды за период времени, подразумевает
возвратность средств и определенную в виде дивидендов процентов.
И.
Т. Балабанов [5] что новация () является новой, идеей, а инновация результатом
практического этой идеи - ее и дальнейшего использования.
С
зрения Б. Твисса [56] - это процесс интеллектуальным товаром ( информацией,
ноу-хау) экономического посредством достижения результата при на рынке.
Некоторые
авторы [9; 20; 38;] считают, что инновация - это результат деятельности.
А.
В. Сурин [55] понимает инновациями конечный
творческой деятельности, реализацию в виде или усовершенствованной либо
технологии, применяемых и способных определенные потребности.
А.
А. [15] определяет инновации, результат
инновационной получивший воплощение в
новых
или продуктов и услуг,
на рынках;
новых
усовершенствованных технологических
новых
способов производства, использованных в деятельности.
В
ГОСТ Р -2014 [13] инновации как конечный инновационной деятельности, реализацию
в виде или усовершенствованного реализуемого на рынке нового, или
технологического процесса, в практической деятельности.
Ю.
М. Беляев [7] под инновацией понимает конечный результат инновационной
деятельности, получивший реализацию в виде нового или усовершенствованного
продукта на фундаментальном уровне, который используется для дальнейшей
реализации в практической деятельности.
Рассмотрев
различные точки зрения на понятие «инновация», можно сделать вывод, что
инновация - это конечный результат инновационной деятельности (продукт, услуга
или технология), который будет использоваться в деятельности предприятия с
целью получения экономических выгод.
Стремление
повысить экономическую эффективность предприятия (увеличить спрос на продукцию
предприятия, увеличить эффективность использования производственных ресурсов,
снизить издержки и т. д.).
По
мнению А. А. Бовин [8] определяет
необходимость инновационной деятельности. Виды инновационной деятельности могут
быть ориентированы на разработку и внедрение новых продуктов и технологических
процессов, новых методов продвижения и продажи продукции предприятия.
Н.
А. Краснова [35] считает, что экономическая
теория инновационную деятельность поясняет двумя концепциями. Первая объясняет
генезис инновационной деятельности технологическим прорывом, а вторая концепция
основу инновационной деятельности видит в давлении рыночного спроса.
В
ГОСТ Р -2014 [13] инновации как конечный инновационной деятельности, реализацию
в виде или усовершенствованного реализуемого на рынке нового, или
технологического процесса, в практической деятельности.
С
точки зрения Н. Ю. Кругловой [36] к
инновационной деятельности предприятия можно отнести систему мероприятий,
сущность которых заключается в использовании научного, технического и
интеллектуального потенциала в целях получения нового продукта (услуги), новой
технологии производства или улучшенных организационных решений в управлении
предприятием.
В.
В. Гришин [18] считает, что результатом
инновационной деятельности выступает высокотехнологичная (наукоемкая)
продукция, уровень наукоемкости которой превышает средний уровень по
промышленному производству.
В
современных условиях повышения эффективности производства, по мнению Т. В.
Яркина [65], можно достичь преимущественно за счет развития инновационных
процессов, получающих конечное выражение в новых технологиях, новых видах
конкурентоспособной продукции. Поиск и использование инноваций непосредственно
на предприятиях является актуальной проблемой.
По своей инновации включают в не только технические
технологические разработки, но и изменения в лучшую во всех сферах
-производственной деятельности. Постоянное обновление техники и технологий
делает инновационный процесс основным условием производства конкурентоспособной
продукции, завоевания и сохранения позиций предприятий на рынке и повышения
производительности, а также эффективности предприятия.
Благодаря внедрению новейшей техники и
современных технологий, с точки зрения О. С. Мельниковой [42],
предприятия способны увеличить производительность труда, производить
инновационную продукцию, снижать ее себестоимость, повышать собственную
конкурентоспособность, открывать новые перспективы.
Далее рассмотрим четыре основных типа
инноваций:
продуктовые;
процессные;
маркетинговые;
организационные.
По мнению В. В. Жарикова [22] продуктовые
инновации нацелены на переключение предприятия на более выгодные виды бизнеса.
Это позволяет фирме как выйти в прибыльный режим работы с точки зрения
соотношения текущих затрат и результатов, так и повысить финансовую
привлекательность для инвесторов и кредиторов.
Существуют различные подходы к продуктовым
инновациям: консервативный и радикальный.
Консервативный подход к новых более продуктов или наиболее
приемлем финансово-кризисных ограниченных как в финансировать значительные
инвестиции в новый так и в сроке этих инвестиций.
подход к продуктовым сводится к выбору освоения таких услуг или
которые бы опирались на созданный технологический, а коммерческий задел
(закупочные и сбытовые ), имеющиеся у предприятия технологическое оборудование
и начатые фирмой проекты.
А. И. Попов [46] считает, что процессная инновация это внедрение нового или значительно улучшенного
способа производства или поставки товаров.
В
неё входят значительные изменения в технологии, производственном оборудовании
и/или программном обеспечении, направленные на повышение эффективности
производства.
А. А. Шустов [64] определяет маркетинговые инновации как новые
реализованные или значительно улучшенные маркетинговые методы, которые
охватывают существенные изменения в дизайне и упаковке продуктов, презентации
товаров и новом методе продаж, работ и услуг; их представление и продвижение на
рынки сбыта, формирование новых стратегий. В маркетинговые инновации входят
например: реализация маркетинговой стратегии, которая ориентируется на
расширение состава потребителей или рынка сбыта, применение новых приемов
продвижения продуктов.
Н. Н. Максимов [39] под организационными инновациями понимает применение
новых организационных методов в деловой практике предприятия (включая
управление знаниями), организации рабочих мест или внешних связей, которые
ранее не использовались предприятием. Это может быть результат стратегических
решений, принимаемых руководством.
1.
По типу новизны рынка инновации на следующие виды:
новые
для в мире;
новые
отрасли в стране;
для
данного (группы предприятий).
.
По в системе (на предприятии, в ) можно выделить:
на
входе предприятия (в выборе и использовании материалов, машин и информации и
др.);
инновации
на предприятия (изделия, технологии, информация и др.);
- инновации системной
предприятия (управленческой, технологической).
В
зависимости от вносимых изменений Л. М. [16] выделяет инновации:
(базовые);
улучшающие;
(частные).
В
научно-исследовательском институте системных исследований (РНИИСИ) разработана
расширенная классификация инноваций с учетом сфер деятельности предприятия. По
этому признаку выделяются инновации:
технологические;
производственные;
экономические;
торговые;
социальные;
в
области управления.
Достаточно
полную классификацию инноваций предложил российский ученый Н. Л. Маренков [41]:
1. По распространенности:
-
-
диффузные.
. По
месту в цикле:
- сырьевые;
-
(связывающие);
продуктовые.
. По
- замещающие;
отменяющие;
-
открывающие;
ретровведения.
. По
ожидаемой доли
- локальные;
системные;
стратегические.
По
инновационному потенциалу и новизны:
радикальные;
совершенствующие.
Четвертое
и направления классификации, масштаб и новизну интенсивность инновационного в
наибольшей степени количественные и качественные инноваций и имеют для
экономической их последствий и обоснования решений.
Таким
инновации - процесс , с созданием или
новых
элементов и нематериальной культур в социальной системе. является конечным
интеллектуальной деятельности творческого процесса, и изобретений и
реализуется в осуществления инновационной Именно инновации основным
инструментом развития деятельности
1.2 Понятие и
виды эффективности деятельности предприятия
Каждое предприятие работает ради коммерческой выгоды в виде прибыли. В
погоне за финансовыми результатами основным критерием успешной работы является
эффективность. Предприятия стараются увеличить показатели эффективности за счет
различных средств. Поэтому рассмотрим сущность эффективности предприятий и ее
основные понятия.
Для более детального изучения, для начала следует изучить понятие эффекта
и его краткую характеристику.
Н. Л. Зайцев [24] писал, что эффект (конечный результат) характеризуется
различными стоимостными и натуральными показателями.
Годовой экономический эффект определяют как разность годовой экономии и
затрат, приведенных к одному году, было описано в ГОСТе 20779-81[14]
По мнению Г. В. Савицкой [50], экономический эффект предполагает
какой-либо полезный результат, выраженный стоимостной оценке. Экономический
эффект, полученный на предприятии, величина абсолютная, зависящая от масштабов
производства продукции и экономии затрат.
Далее рассмотрим несколько точек зрения относительно понятия
«эффективность предприятия».
А. Б. Кирьяков [31] считает, что экономическая эффективность напрямую
зависит от эффекта, затрат и ресурсов, вызванных этим эффектом.
По мнению И. В. Липсиц [37], это такой метод организации производства,
когда затраты минимальны.
А. С. Булатов [9] писал, что экономическая эффективность - это получение
максимума допустимых благ от существующих ресурсов. Экономическая эффективность
является соотношением полученных результатов деятельности производства и затратами
труда и средствами производства.
Таким образом, можно сказать, что эффективность деятельности тесно
связана с затратами на ресурсы предприятия и результатам его деятельности.
М. В. Волынкина [11] отметила, что эффективность достигается тогда, когда
ресурсы распределяются так, чтобы обеспечить наибольший возможный чистый
выигрыш от их применения.
По мнению А. А. Ветеримовой [10], эффективная работа предприятий
способствует обеспечению эффективности общественного производства. Она
достигается тогда, когда невозможно перестроить использование наличных ресурсов
таким образом, чтобы увеличить выпуск одного товара без уменьшения выпуска
любого другого товара.
Таким образом, эффективность не может существовать без эффекта - это два
взаимосвязанных понятия. Предприятие будет получать эффект от превышения
положительной разницы между ресурсами и затратами.
По мнению А. И. Пригожего [47], эффективность оценивается и делится на
множество видов, которые представлены на рисунке 1.1.
Рисунок 1.1 - Виды экономической эффективности [47]
Р. С. Гринберг [17] выделяет несколько видов эффективности:
эффективность производства;
производственно-технологическая;
социально-экономическая;
эколого-экономическая;
производственно-экономическая.
А. П. Иванов [28], выделяет только социальную и экономическую
эффективность.
Эффективность предприятия по мнению ряда авторов [2; 3; 19; 52],
определяется частными и общими показателями.
К частным показателям можно отнести: производительность труда, материалоемкость
продукции, фондоёмкость продукции.
К общим показателям можно отнести: рентабельность.
И. В. Ильина [29], сгруппировала показатели эффективности предприятия на
рисунке 1.2.
Рисунок 1.2 - Показатели эффективности предприятия [29]
Более детально изучим производственную эффективность предприятия.
Для начала следует обозначить определение производства предприятия. Само
производство представляет собой такую деятельность предприятия, которая
направлена на преобразование экономических ресурсов на получение товаров или
услуг.
Экономической эффективностью производства является результат
экономической деятельности, который характеризуется отношением полученного
экономического эффекта к затратам ресурсов, определивших получение этого
результата.
Сущность экономической эффективности производства считается рядом авторов
[12; 21; 27; 58], как достижение наиболее возможных результатов при
использовании минимальных затрат.
Эффективность производства - это отражение результатов использования
ресурсов производства за определенный срок.
И. В. Шавандина [61], отмечает 2 вида эффективности производства:
экономическую (которая отображает стоимостную зависимость между расходами
предприятия на факторы производства и ее доходами);
технологическую (описывает зависимость между употребляемыми ресурсами и
приобретаемой продукцией в натуральном выражении).
Л. М. Гохберг [16], классифицировала эффективность производства по
отдельным признакам:
. По последствиям:
экономическая;
экологическая;
социальная.
. По месту получения эффекта:
народнохозяйственная;
локальная.
. По степени увеличения:
первичная;
многократно повторяющаяся;
. По цели определения:
абсолютная;
сравнительная.
Чтобы охарактеризовать эффективность производства В. В. Жиделева[23],
выделил несколько частных показателей, таких как производительность труда,
трудоёмкость, материалоотдача и материалоёмкость, фондондоотдача и
фондоёмкость.
Таким образом, делая вывод по выше изложенному, можно сказать, что все
виды эффективности напрямую зависят от того, как рационально предприятие
использует ресурсы и запасы.
На примере машиностроительного производства повышение эффективности может
быть обеспечено как на основании модернизации уже имеющихся, так и внедрения
новых производственных процессов, которые в конечном результате приводят к
сокращению трудоемкости изготовления изделий, росту уровня использования
материальных, трудовых и финансовых ресурсов.
.3 Инновации
как фактор повышения эффективности деятельности предприятия
Эффективность предприятия означает соотношение полученного результата к
затратам на получение этого результата. Любая эффективность предполагает
экономию или рациональное использование ресурсов предприятия.
На изменение эффективности оказывает много факторов, таких как:
Производственный процесс;
Организация и использование труда;
Внедрение инноваций
Степень использования основных фондов предприятия и др.
Подробнее рассмотрим такой фактор как инновации.
Инновации
взаимодействуют со процессами в социальной им принадлежит ключевая в
реализации основного современной модели развития предприятия.
в
целом влияют на фактора: улучшение снижение затрат и ресурсов.
С
помощью инноваций можно предотвращать и разрешать конфликты, снимать
напряжение, принимать управленческие решения.
технологии
можно в виде инновационной методов выявления и скрытых потенциалов систем,
получения полезного результата наименьших затратах.
М.
Хучек [60] полагает, что инноваций может на изменение (рост, ) затрат на
производство по любой из известных затрат, калькуляции, а на изменение любого
прибыли предприятия. В то же экономистами выявлены тенденции в закономерностях
затрат и результатов
В.
С. Зверев [26] определяет инновационные технологии как наборы методов и
средств, поддерживающих этапы реализации нововведения.
Р.
А. Футхутдинов [59] рассматривает революционные инновации как подвид
инновационных технологий. Фактически создание нового Это радикальный, путь.
Чем революционный проект ученый, тем срок окупаемости проекта, тем внедрить и
позиционировать на рынке.
О.
В. Волков [12],считает, что инновационная деятельность должна играть решающую
роль в максимизации прибыли предприятия. Хаотичная и избыточная инновационная
деятельность может стать убыточной и разрушительной силой для состоявшегося
бизнеса или, как ни парадоксально, будет тормозить его развитие.
К
инновационным технологиям относятся интерактивные технологии обучения,
технологии обучения и компьютерные
Современные
инновационные основаны на достижениях -технического прогресса и на производство
продукта: технология создаёт продукт, информационная (ИТ) - информационный
продукт.
Ю.П.
Морозов [43] выделяет различные виды инновационных технологий, такие как:
внедрение;
тренинг
(подготовка кадров и инкубация малых предприятий);
консалтинг;
трансферт;
аудит;
инжиниринг.
По
Э. А. Соснина [54], внедрение инноваций требует сложившегося
производства, работников, капитальных и одновременно связано с не получить
необходимый и потереть убытки.
А.А.
[49] считает, что - консультирование производителей, покупателей в сфере
технической, экспертной Услуги по исследованию и рынка, разработке программ
предоставляют консалтинговые компании.
−
передача одним другому лицу владения именными бумагами, новыми и инновационными
разработками. прав собственности на оформляется изменением в реестре.
Инжиниринг
- комплекс инженерно-консультационных услуг коммерческого характера по
подготовке и обеспечению непосредственно процесса производства, обслуживанию
сооружений, эксплуатации хозяйственных объектов и реализации продукции. Инжиниринг
охватывает все этапы инновационного цикла.
Р.
А. Футхутдинов [59] два фактора: «» и стадия развития технологии.
Под
«» технологии мы понимаем объем рынка и прибыльность, объем ресурсов и времени
доработки технологии, надежности и защиты
Стадия
развития потенциальную значимость технологии на данный и связанные с этим
(технологические и коммерческие).
В
технологии обеспечения целесообразно выделить взаимодополняющие друг синхронно
осуществляемые
инновационную
диагностику;
изучение
нововведений, которых является предвидение проблем, могут возникнуть
взаимодействии среды и с помощью диагностики, а изучения динамики общественного
по поводу нововведения с помощью методов социологического
В.
Н. Белов [6] считает, стратегии в области инновационных технологий за внедрения
и коммерциализации -технических разработок, развития наукоемких, и
ресурсосберегающих производств решить следующие задачи:
обеспечить
-правовое регулирование деятельности, в том для научно-учреждений;
обеспечить
сочетание механизмов прямого и косвенного и рыночных механизмов осуществлении
инновационной и проведения научных
создать
условия для развития кадрового потенциала отечественной науки и обеспечения
преемственности в научной и технологической сферах;
обеспечить
активное развитие инновационной деятельности предприятий и организаций,
работающих в области коммерциализации технологий.
Н.А.
Краснова [35] считает, что проблема определения экономического эффекта и выбора
вариантов реализации инноваций имеет два варианта.
С
одной стороны это превышение конечных результатов от их использования над
затратами на разработку, изготовление и реализацию, а с другой сопоставление
полученных при этом результатов с результатами от применения других аналогичных
по назначению вариантов инноваций.
Особенно
остро возникает необходимость быстрой оценки и правильного выбора варианта в
фирмах, применяющих ускоренную амортизацию, при которой сроки замены
действующих машин и оборудования на новые существенно сокращаются.
издержек
производства: ресурсные инновации (дешевых сырья и материалов),
(совершенствование конструкции освоение новых ), технологические (модернизация
технологий и освоение модернизация оборудования и моделей с большей ),
организационные инновации.
В
реализации ресурсных снижаются переменные затраты на единицу Снижение этих
может произойти в результате продуктовой Затраты по заработной снижаются
благодаря и продуктовым инновациям за снижения трудоемкости продукции.
Таким
подводя итог по можно сказать, при внедрении в производственный процесс
добиться повышения деятельности предприятия.
Эффективность
и дальнейшее функционирование деятельности машиностроительных предприятий
напрямую зависит от инновационной активности. Однако, как свидетельствуют
статистические данные последних лет, промышленные предприятия испытывают
серьезный кризис в сфере инноваций. Наиболее целесообразным будет внедрение
процессных инноваций, которое позволит усовершенствовать производственный
процесс и тем самым повысить эффективность деятельности.
2. АНАЛИЗ И ОЦЕНКА ЭФФЕКТИВНОСТИ ДЕЯТЕЛЬНОСТИ ЗАО «ВПЗ»
.1 Организационно-экономическая характеристика предприятия как объекта
исследования
Закрытое акционерное общество "Вологодский подшипниковый завод"
крупнейшее предприятие российской подшипниковой промышленности.
Предприятие было создано 4 февраля 1967 года по решению Совета Министров СССР. Было издано постановление №102 о
строительстве в Вологде подшипникового завода.
Выпуск первого вологодского подшипника датируется - 26 января 1971
года <https://ru.wikipedia.org/wiki/1971_%D0%B3%D0%BE%D0%B4>. Начиная с
февраля 1971 года <https://ru.wikipedia.org/wiki/1971_%D0%B3%D0%BE%D0%B4>
Вологодский ГПЗ стал регулярно отправлять продукцию автозаводу в город Тольятти
<https://ru.wikipedia.org/wiki/%D0%A2%D0%BE%D0%BB%D1%8C%D1%8F%D1%82%D1%82%D0%B8>.
В сентябре 1971 года
<https://ru.wikipedia.org/wiki/1971_%D0%B3%D0%BE%D0%B4> выпустил первый
миллион подшипников. В 1975 году
<https://ru.wikipedia.org/wiki/1975_%D0%B3%D0%BE%D0%B4> 13 типам
подшипников ГПЗ-23 был присвоен государственный Знак качества. 12 марта 1981
года <https://ru.wikipedia.org/wiki/1981_%D0%B3%D0%BE%D0%B4>
Государственный подшипниковый завод №23 получил свою первую награду - орден
Трудового Красного знамени. В 1994 году
преобразовано в АО "Вологодский подшипниковый завод".
Закрытое
акционерное общество «Вологодский подшипниковый завод» (ЗАО «ВПЗ») был
спроектирован и построен как крупное предприятие, специализированное на
изготовление шарикоподшипников.
С
момента создания в 1971 году, когда была изготовлена первая партия подшипников,
завод превратился в одно из крупнейших предприятий подшипниковой промышленности
России и занимает в ней лидирующее положение.
Общество
имеет круглую печать, содержащую его полное фирменное наименование, с указанием
его местонахождения, собственную эмблему, а также зарегистрированный в
установленном порядке товарный знак.
Торговый
знак завода представлен на рисунке 2.1.
Рисунок 2.1 - Торговый знак ЗАО «ВПЗ»
Закрытое акционерное общество «Вологодский подшипниковый
завод» имеет выгодное географическое положение. Он находится на окраине города
Вологда, исходя из того, что завод находится в 200 км. от города Ярославль,
который является главным поставщиком химии и горюче-смазочных материалов и в
120 км. от города Череповец, главного поставщика металла для изготовления
подшипников, транспортные расходы являются незначительными.
Основные виды деятельности ЗАО "ВПЗ":
производство шариковых и роликовых подшипников;
производство изделий технического назначения из драгоценных камней;
передача электроэнергии.
Завод производит около 20 % от всего объема выпускаемой товарной
продукции подшипниковых предприятий России.
Продукция предприятия ЗАО «Вологодский подшипниковый завод» имеет широкое
применение более чем на 3000 предприятий автомобильной, горнодобывающей,
металлургической, электротехприборостроительной, станкостроительной отраслей
промышленности, топливно-энергетичесского и военно-промышленного комплекса,
сельскохозяйственного машиностроения, также планируется выпуск подшипниковой
продукции для авиакосмической отрасли.
На рисунке 2.2 представлена реализация подшипниковой продукции по
отраслям промышленности.
Рисунок 2.2 - Реализация подшипниковой продукции по отраслям
промышленности, %
Из рисунка мы видим, что наибольшую долю реализации подшипниковой
продукции занимает автомобильная отрасль (54%).
Завод изготовляет следующие виды продукции:
внутренние кольца железнодорожных подшипников - 30-42726E2M и
30-232726E2M;
железнодорожные подшипники;
автомобильные подшипники;
- комплекты ГРМ и 996;
коробка передач (вал)
коробка передач (промежуточный вал);
конвейерные ролики;
натяжной ролик ремня генератора;
мост задний (подшипник полуоси);
муфта выключения сцепления;
опорa передней подвески;
подшипник верхней опоры стойки передней подвески;
опора карданного вала;
подшипник ступицы переднего колеса;
подшипник ступицы заднего колеса.
Завод является основным поставщиком подшипников для таких предприятий как
АвтоВАЗ, ГАЗ, ОАО "Автодеталь-Сервис", КамАЗ, МАЗ, ЗАЗ. Также
продукция поставляется на экспорт таким известным предприятиям, как
"Uz-DAEWOO", "John Deere", "Polaris",
"Eaton", "Tean Industries".
В состав завода входят производственные цеха:
заготовительный;
токарный;
шариковый;
шлифовально-сборочные;
сепараторный;
кузнечно-прессовый;
станкостроение.
Проводится работа по усовершенствованию производства:
проводится усовершенствование оснащения с использованием технологии узлового
ремонта. На заводе внедряются новые технологии изготовления подшипников,
позволяющие уменьшить расход материалов, сократить отходы.
Освоены новые сборочные комплексы, созданы участки токарных
станков с программным управлением, созданы новые производственные линии.
Значительно увеличены расходы предприятия на реконструкцию и техническое
перевооружение завода.
Внедрена система безопасности в экологической сфере
предприятия, предусматривающая переработку, утилизацию и сортировку всех
отходов производства. Приобретение оборудования для улучшения процедуры
изготовления полиэтиленовой пленки, которая применяется в том числе и для
упаковки продукции.
Важным направлением в деятельности завода
является политика в области качества. ЗАО «ВПЗ» обладает исключительным правом на торговую марку
VBF и имеет зарегистрированные патентные разработки.
На сегодняшний день ЗАО «ВПЗ» имеет
сертификаты соответствия требованиям национальных и международных стандартов в
области экологии, качества, здоровья и промышленной безопасности. Весь
ассортимент ЗАО «ВПЗ» сертифицирован и соответствует системе менеджмента
качества. Данные сертификаты представлены на рисунке 2.3

Рисунок 2.3 - Сертификаты качества ЗАО «Вологодский
подшипниковый завод»
Уделяется особое внимание вопросам социальной сферы,
принимаются меры к сохранению численности персонала. На ЗАО «ВПЗ» по сравнению
с многими другими предприятиями города сохранилась социальная сфера: дворец
культуры, общежития, собственный жилищный фонд, плавательный бассейн.
На предприятии ЗАО «ВПЗ» применяется линейно-функциональная
организационная структура управления, представленная на рисунке 2.4
Рисунок 2.4 - Организационная структура управления ЗАО «ВПЗ»
В целом линейно-функциональная структура реализует принцип единоначалия,
линейного построения структурных подразделений и распределения функций
управления между ними и рационального сочетания централизации и
децентрализации. При данном типе управления всю полноту власти берет на себя
линейный руководитель, возглавляющий определенный коллектив.
Основные технико-экономические показатели ЗАО «ВПЗ» представлены в
таблице 2.1.
Таблица 2.1 - Основные технико-экономические показатели ЗАО «ВПЗ»
|
Показатели
|
2013 г.
|
2014 г.
|
2015 г.
|
Абсол.
отклонение 2015 г. к 2013 г.
|
Темп роста 2015
г. к 2013 г., %
|
|
Объем товарной продукции,
тыс.руб.
|
1612557,13
|
2300263,88
|
3081900
|
1469342,9
|
191,1
|
|
Выручка от продажи
продукции, тыс. руб.
|
2931760
|
2532854
|
2712305
|
-219455
|
92,5
|
|
Себестоимость продаж, тыс.
руб.
|
2692037
|
2402428
|
2431417
|
-260620
|
90,3
|
|
Среднесписочная численность
персонала, чел.: в том числе: рабочих ИТР
|
3257 2694 563
|
3090 2541 549
|
2997 2468 529
|
-260 -226 -34
|
92 91,6 94
|
|
Фонд оплаты труда, тыс.
руб.
|
721657
|
704536
|
630265
|
-91392
|
87,3
|
|
Среднегодовая стоимость
ОПФ, тыс. руб.
|
804154
|
889644
|
927575
|
123421
|
115,3
|
|
Прибыль от продаж, тыс.
руб.
|
(128906)
|
(164140)
|
(3101)
|
-125805
|
2,4
|
|
Коммерческие расходы,
тыс.руб.
|
24280
|
19484
|
16649
|
-7631
|
68,6
|
|
Управленческие расходы,
тыс.руб.
|
344349
|
275082
|
267340
|
77,6
|
|
Валовая прибыль(убыток), тыс.руб.
|
239723
|
130426
|
280888
|
41165
|
117,2
|
|
Прибыль (убыток) до
налогообложения, тыс.руб.
|
(95516)
|
(139578)
|
2033
|
-93483
|
2,1
|
|
Чистая прибыль, тыс..руб.
|
-98011
|
-113092
|
2039
|
-9597
|
2,1
|
|
Рентабельность продаж, %
|
-3,3
|
-4,5
|
0,07
|
-3,23
|
-
|
По расчетам таблицы 2.1 можно сделать вывод, что за анализируемый период
на ЗАО «ВПЗ» выручка от продаж снизилась на 7,5%, а себестоимость снизилась на
9,7%, что способствует увеличению валовой прибыли на 17,2%.Прибыль от продаж
находится в убытке, но в 2015 году по сравнению с 2013 годом убыток снизился на
97,9%.Увеличение чистой прибыли предприятия и снижение себестоимости говорит об
эффективной деятельности предприятия.
В целом динамика показателей по труду и заработной плате ЗАО «ВПЗ» за
2013-2015 годы является положительной и имеет тенденцию увеличения.
ЗАО «ВПЗ» известно научно-исследовательским потенциалом и освоением новых
видов продукции. Осваиваемая продукция условно делиться на принципиально новую,
ранее не производимую на других предприятиях, потребность в которой сложилась в
ходе технического прогресса и новую для предприятия, не производимую ранее
из-за отсутствия технической возможности.
Для определения сильных и слабых сторон предприятия, возможностей и
угроз, исходящих из окружающей среды, приведем классический SWOT-анализ,
который и отражает все преимущества и недостатки организации
Таблица 2.2 - Исходная матрица SWOT-анализа ЗАО «ВПЗ»
|
Сильные стороны
|
Слабые стороны
|
|
1.Лидирующее положение
среди подшипниковых заводов в России. 2. Высокий уровень квалификации
персонала (более 50% работников основного производства имеют среднее
специальное образование). 2. Проверенные и надежные поставщики сырья и
материалов (25-летнее сотрудничество с ОАО «Северсталь», расположенным в
области). 3. Себестоимость продукции на 5-7% ниже, чем у конкурентов.
4.Высокий технологический уровень выпускаемых подшипников, унификация и
стандартизация продукции.
|
1. Высокая степень износа
оборудования (до 70% по отдельным группам). 2. Узкий ассортимент продукции,
предназначенной для реализации розничным покупателям. 3. Слабо развитая
распределительная сеть. 4.Слабая защищенность от давления иностранных
конкурентов.
|
|
Возможности
|
Угрозы
|
|
1. Расширение спроса на
продукцию предприятия (возможность увеличения объема продаж за счет выхода на
зарубежные рынки) 2. Развитие системы розничного сбыта продукции (планируется
расширение сети торговых домов). 3. Ослабление внешнеторговых барьеров. 4.
Совершенствование форм управления. 5. Модернизация производства
|
1. Усиление основных
конкурентов (модернизация производства на ЗАО «Самарский подшипниковый
завод») 2. Возможное уменьшение емкости целевого рынка (падение спроса на
отечественные грузовые автомобили может привести к снижению спроса на их
комплектующие). 3. Появление иностранных конкурентов с товарами низкой стоимости
(увеличение доли зарубежных поставок).
|
Проанализировав исходную матрицу SWOT-анализа, необходимо
сопоставить сильные стороны с возможностями и слабые стороны с угрозами для
дальнейшего анализа предприятия ЗАО «Вологодский подшипниковый завод». Сведем
полученные результаты в таблицу 2.3.
Таблица 2.3 - Матрица SWOT-анализа ЗАО «ВПЗ»
|
Сильные стороны
|
Возможности
|
|
1.Лидирующее положение
среди подшипниковых заводов в России. 2. Себестоимость продукции на 5-7%
ниже, чем у конкурентов. 3.Высокий технологический уровень выпускаемых
подшипников, унификация и стандартизация продукции.
|
1. Расширение спроса на
продукцию предприятия (возможность увеличения объема продаж за счет выхода на
зарубежные рынки) 2. Развитие системы розничного сбыта продукции (планируется
расширение сети торговых домов). 3. Модернизация производства
|
|
Слабые стороны
|
Угрозы
|
|
1. Высокая степень износа
оборудования (до 70% по отдельным группам). . 2.Слабая защищенность от
давления иностранных конкурентов.
|
1. Усиление основных
конкурентов (модернизация производства на ЗАО «Самарский подшипниковый
завод») 2. Появление иностранных конкурентов с товарами низкой стоимости
(увеличение доли зарубежных поставок).
|
Проанализировав сильные стороны и возможности ЗАО «ВПЗ» можно
сделать вывод о том, что при данных условиях планирование увеличения объемов
производства в соответствии с растущим спросом целесообразно. Однако при
разработке плана роста объемов выпуска необходимо учитывать и слабые стороны
предприятия, а так же угрозы со стороны рынка. Поэтому расширения масштабов
предприятия видится невозможным без обновления парка изношенного оборудования и
развития розничной сети сбыта.
.2 Анализ эффективности использования производственных ресурсов на ЗАО
«ВПЗ»
Экономическая эффективность трактуется как отдача в форме доходов
различных ресурсов предприятия, находящихся в его распоряжении. Эффективная
деятельность предполагает получение максимального результата за счет имеющихся
ресурсов или получение определенного результата с минимальными расходами ресурсов.
Финансовыми ресурсами предприятия являются денежные средства,
имеющиеся в распоряжении предприятия и предназначенные для осуществления
текущих затрат и затрат по расширенному воспроизводству, для выполнения
финансовых обязательств и экономического стимулирования работающих, т.е.
совокупность денежных средств строго целевого использования, обладающая
потенциальной возможностью мобилизации или иммобилизации. Финансовые ресурсы
направляются также на содержание и развитие объектов непроизводственной сферы,
потребление, накопление, в специальные резервные фонды и другие. Рассмотрим
финансовые ресурсы предприятия в таблице 2.4.
Таблица 2.4 - Финансовые ресурсы на «ЗАО ВПЗ»
|
Наименование элементов
затрат
|
Величина по годам тыс.руб.
|
Абсол. отклонение 2015 г. к
2013 г.
|
Темп роста 2015 г. к 2013
г., %
|
|
2013 г.
|
2014 г.
|
2015 г.
|
|
|
|
Чистая прибыль (убыток)
|
(98011)
|
(113092)
|
2039
|
-95972
|
0,02
|
|
Дебиторская задолженность
|
315907
|
546389
|
280207
|
-35700
|
88,7
|
|
Денежные средства и
эквиваленты
|
992
|
729
|
131453
|
130461
|
132,5
|
|
Нераспределенная прибыль
|
412483
|
300996
|
303199
|
-109284
|
73,5
|
|
Резервный капитал
|
322
|
322
|
322
|
-
|
100
|
В таблице мы видим, что убыток чистой прибыли значительно
уменьшился за исследуемый период с 2015 года по сравнению с 2013 годом. Прирост
денежных средств в 2015 году по сравнению с 2014 годом связан с увеличением
количества облигаций на предприятии.
Рассмотрим динамику показателей по труду и заработной плате работников
ЗАО «Вологодский подшипниковый завод», которая представлена в таблице 2.5.
По расчетам таблицы 2.5 можно сделать вывод, что
среднесписочная численность работников за исследуемый период с 2013 года по
2015 год снизилась на 7,08%, это повлекло за собой уменьшение затрат за
заработную плату на 2,7%. Объем товарной продукции имеет тенденцию повышения на
91,1%, а общее количество отработанного времени всеми работающими за год
уменьшилось на 8,5%, вследствие чего среднегодовая выработка одного работающего
увеличивается на 108,9%, а трудоемкость снизилась на 53,4%. В целом динамика
показателей по труду и заработной плате предприятия ЗАО «Вологодский
подшипниковый завод» за 2013-2015 годы является положительной и имеет тенденцию
увеличения.
Таблица 2.5 - Динамика показателей по труду и заработной плате ЗАО «ВПЗ»
за 2013-2015 годы
|
Показатели
|
2013 г.
|
2014 г.
|
2015 г.
|
Абсол. изменение 2015 г. к
2013 г., тыс.руб.
|
Темп роста 2015 г. к 2013
г., %
|
|
Объем товарной продукции,
тыс. руб.
|
1612557,13
|
2300263,88
|
3081900,01
|
1469342,9
|
191,1
|
|
Среднесписочная
численность, чел. в том числе: рабочих ИТР
|
3257 2694 519
|
3090 2541 488
|
2997 2468 461
|
-259,89 -225,94 -58,11
|
92,02 91,6 88,8
|
|
Фонд заработной платы, тыс.
руб.
|
721657
|
704536
|
630265
|
-91392
|
97,3
|
|
Фонд заработной платы на 1
работника, тыс. руб.
|
221,6
|
228,02
|
210,3
|
-11,3
|
94,9
|
|
Отработано дней одним
работающим за год, дни
|
247
|
247
|
247
|
-
|
-
|
|
Средняя продолжительность
рабочего дня, часы
|
8
|
8
|
8
|
-
|
-
|
|
Общее количество
отработанного времени всеми работающими за год, тыс. чел - час
|
6435,8
|
6105,8
|
5922,1
|
-513
|
92
|
|
Среднегодовая выработка
одного работающего, тыс. руб./ тыс. чел - час
|
250,6
|
376,7
|
520,4
|
269,8
|
107,7
|
|
Трудоемкость, тыс. чел -
час/тыс. руб.
|
0,004
|
0,003
|
0,002
|
-0,002
|
46,6
|
Материалоотдача и материалоемкость являются обобщающими показателями
эффективности использования материальных ресурсов предприятия. В таблице 2.6
представлены данные показатели эффективности использования материальных
ресурсов на ЗАО «ВПЗ».
Таблица 2.6 - Эффективность использования материальных ресурсов на ЗАО
«ВПЗ»
|
Показатели
|
2013 г.
|
2014 г.
|
2015 г.
|
Абсол. отклонение 2015 г. к
2013 г., тыс.руб.
|
Темп роста 2015 г. к 2013
г., %
|
|
Товарный выпуск продукции,
тыс. руб.
|
1612557,13
|
2300263,88
|
3081900,01
|
1469342,9
|
191,1
|
|
Материальные затраты, тыс.
руб.
|
1844289
|
1910189
|
1633009
|
-211280
|
88,5
|
|
Материалоемкость общая,
руб./руб.
|
1,14
|
0,83
|
0,53
|
-0,61
|
46,5
|
|
Материалоотдача, общая,
руб./руб.
|
0,9
|
1,2
|
1,9
|
1
|
211
|
В 2015 году по отношению к 2013 году, произошло увеличение
материалоотдачи и уменьшение материалоемкости, это свидетельствует об улучшении
данных показателей и рациональном использовании основных материалов.
Анализ данных таблицы 2.3 показал, что материальные затраты ЗАО «ВПЗ» за
анализируемый период имеют тенденцию к снижению. К 2015 году наблюдается
увеличение данного показателя на 8,5% и материальные затраты составили 1633009
тыс. руб.
В начале анализа производственных фондов рассмотрим его структуру
(таблица 2.5).
Таблица 2.5 - Структура основных производственных фондов на предприятии
ЗАО «ВПЗ»
|
Вид основных средств
|
2013 г.
|
2014 г.
|
2015 г.
|
Отклонения 2015г. к 2013г.
|
|
тыс. руб.
|
%
|
тыс. руб.
|
%
|
тыс. руб.
|
%
|
тыс.руб.
|
%
|
|
Здания и сооружения
|
265433,9
|
29,7
|
295319,2
|
29,2
|
286898,7
|
29,5
|
21464,8
|
108,1
|
|
Земельные участки
|
5113,5
|
0,7
|
5264,3
|
0,6
|
5325,9
|
0,6
|
212,4
|
104,1
|
|
Транспортные средства
|
8234,7
|
1,1
|
15259,5
|
1,8
|
15713,5
|
1,7
|
7478,8
|
190,8
|
|
Оборудование, инвентарь,
оргтехника, оснастка, другие виды основных средств
|
525371,4
|
68,5
|
584329,4
|
68,4
|
619636,4
|
68,2
|
94265
|
117,9
|
|
Итого:
|
804154
|
100
|
889644
|
100
|
927575
|
100
|
123421
|
115,3
|
|
Активная часть
|
533606
|
66,4
|
599589
|
67,4
|
635350
|
68,5
|
101744
|
119,1
|
Проведя анализ структуры основных фондов можно сделать следующие
обобщения и выводы: общая величина стоимости основных фондов в 2015 году
возросла на 123421 тыс. руб. (15,3%) по сравнению с 2013 годом; за период
2013-2015 гг. доля активной части в общей стоимости ОФ увеличилась на 19,1%.
В целом можно сделать вывод, что структура основных производственных
фондов предприятия улучшилась.
К основным показателям, отражающим конечный результат использования
основных фондов относят: фондоотдачу, фондоемкость, фондовооруженность.
Произведём расчёт этих показателей и оценку эффективности использования
основных производственных фондов ЗАО «ВПЗ». Рассчитанные показатели сведем в
таблицу 2.6.
Таблица 2.6 - Расчет показателей эффективности использования основных
фондов
|
Показатели
|
2013 г.
|
2014 г.
|
2015 г.
|
Абсолютное отклонение
|
Относительное отклонение, %
|
|
|
|
|
2014 г. к 2013 г.
|
2015 г. к 2014 г.
|
2014 г. к 2013 г.
|
2015 г. к 2014 г.
|
|
Среднегодовая стоимость
основных фондов, тыс. руб.
|
804154
|
889644
|
927575
|
85490
|
37931
|
110,6
|
104,3
|
|
Стоимость активной части
основных фондов, тыс. руб.
|
533606
|
599589
|
635350
|
65983
|
35761
|
112,4
|
105,9
|
|
Доля активной части
основных фондов, %
|
66,4
|
67,4
|
68,5
|
1
|
1,1
|
101,5
|
101,6
|
|
Выручка от продажи, тыс.
руб.
|
2931760
|
2532854
|
2712305
|
-398906
|
179451
|
86,4
|
107,1
|
|
Фондоотдача, руб./руб.
|
3,65
|
2,85
|
2,92
|
-0,8
|
0,07
|
78,1
|
102,5
|
|
Фондоотдача активной части,
руб./руб.
|
5,49
|
4,22
|
4,27
|
-1,27
|
0,05
|
76,9
|
101,2
|
|
Фондоемкость, руб./руб.
|
0,27
|
0,35
|
0,34
|
0,08
|
-0,01
|
129,6
|
97,1
|
|
Фондовооруженность,
тыс.руб./чел.
|
246,9
|
287,9
|
309,4
|
41
|
21,5
|
116,6
|
107,5
|
Полученные значения показывают, что предприятие в 2013 г. получило 3 руб.
65 коп. готовой продукции с 1 руб. основных средств, в 2014 г. - 2 руб. 85 коп., в 2015 г. - 2 руб. 92 коп. Фондоотдача в 2015 г.
по отношению к 2013 г. снизилась на 20%, несмотря на то, что стоимость основных
фондов в 2015 г. по сравнению с 2013 г. увеличилась на 15,3%, это означает, что
рубль вложений в основные фонды «оборачивает» небольшую товарную массу.
Соответственно с понижением фондоотдачи повысилась фондоёмкость за этот же
период на 25,9%. Расчет фондоёмкости показывает, что для выпуска продукции на 1
руб. в 2013 г. необходимо было 27 копеек основных средств, в 2014 г. - 35 копеек, а в 2015 г. - 34 копейки. В то же время
наблюдается повышение фондовооруженности. В 2015 г. данный показатель составил
309,4 тыс. руб./чел., что свидетельствует о снижении численности персонала на
предприятии.На величину и динамику фондоотдачи влияют разные факторы, зависящие
и не зависящие от предприятия.
производственных фондов, являются: изменение доли активной части фондов в
общей их сумме и изменение фондоотдачи активной части [13]:

,руб./
руб., (2.1)
где
ФО - уровень фондоотдачи, руб./руб.;
УДа
- удельный вес активной части основных фондов,%;
ФОа
- фондоотдача активной части основных фондов,руб./руб.
Далее в таблице 2.7 рассчитаем влияние факторов на фондоотдачу основных
фондов.
Таблица 2.7 - Расчет влияния факторов на фондоотдачу основных фондов ЗАО
«ВПЗ»
|
Факторы
|
Расчет
|
Результат
|
|
Изменение доли активной
части фондов в общей сумме основных фондов
|
∆ФОуд = (УДа2014 -
УДа2013) · ФОа2013 = (0,685-0,674) · 4,22
|
0,0464
|
|
Изменение фондоотдачи
активной части
|
0,03425
|
|
Итого
|
-
|
0,08065
|
Фондоотдача активной части фондов непосредственно зависит от структуры
технологического оборудования, времени работы и среднечасовой выработки. Для
анализа необходимо использовать более полную факторную модель [15]:

руб./руб,
(2.2)
где Д - количество дней отработанное, единицей оборудования;
К - коэффициент сменности работы оборудования;
П - средняя продолжительность смены, час;
СВ - выработка продукции за 1 машино-час работы
оборудования (среднечасовая выработка), маш./час;
Ц - среднегодовая стоимость единицы
оборудования, руб.
Данные для расчета влияния факторов второго уровня на изменение
фондоотдачи активной части основных фондов представлены в таблице 2.8.
Сделаем расчет фондоотдачи активной части основных фондов ЗАО «ВПЗ» за период 2014-2015 гг.
Таблица 2.8 - Расчетные данные для фондоотдачи активной части основных
фондов ЗАО «ВПЗ»
|
Показатели
|
2013 г.
|
2014 г.
|
2015 г.
|
Абсолютное отклонение
|
Относительное отклонение, %
|
|
|
|
|
2014 г. к 2013 г.
|
2015 г. к 2014 г.
|
2014 г. к 2013 г.
|
2015 г. к 2014 г.
|
|
1. Выручка от продажи (В),
тыс. руб.
|
2931760
|
2532854
|
2712305
|
-398906
|
179451
|
86,4
|
107,1
|
|
2.Среднегодовое количество
действующего оборудования, шт.
|
1844
|
1986
|
2286
|
142
|
300
|
107,7
|
115,1
|
|
3.Среднегодовая стоимость,
тыс. руб.:- основных фондов (ОПФ)
|
804154
|
889644
|
927575
|
85490
|
37931
|
110,6
|
104,3
|
|
- активной части основных
фондов (ОПФа)
|
533606
|
599589
|
635350
|
65983
|
35761
|
112,4
|
105,9
|
|
-действующего оборудования
|
506117
|
556896
|
598762
|
50779
|
41866
|
110
|
107,5
|
|
- единицы оборудования (Ц)
|
274,5
|
280,4
|
261,9
|
5,9
|
-18,5
|
102,1
|
93,4
|
|
4. Удельный вес активной
части основных фондов (УДа)
|
0,664
|
0,674
|
0,685
|
0,01
|
0,011
|
101,5
|
101,6
|
|
5. Фондоотдача: - ОПФ (ФО),
руб./ руб.
|
3,65
|
2,85
|
2,92
|
-0,8
|
0,07
|
78,1
|
102,5
|
|
- активной части ОПФ (ФОа),
руб./ руб.
|
5,49
|
4,22
|
4,27
|
-1,27
|
0,05
|
76,9
|
101,2
|
|
6. Количество дней,
отработанное единицей оборудования (Д)
|
247
|
247
|
246
|
-
|
-1
|
100
|
99,6
|
|
7. Количество смен работы
оборудования (К)
|
494
|
494
|
492
|
-
|
-2
|
100
|
99,6
|
|
8.Средняя продолжительность
смены (П), ч.
|
7,8
|
7,9
|
8
|
0,2
|
0,1
|
101,3
|
101,3
|
|
9. Отработано за год
единицей оборудования, машино-часов
|
3853,2
|
3902,6
|
3936
|
49,4
|
33,4
|
101,3
|
100,8
|
|
10. Отработано за год всем
оборудованием, машино-часов
|
7105301
|
7750564
|
8997696
|
645263
|
1247132
|
109,1
|
116,1
|
|
11. Выработка продукции за
1 машино-час работы оборудования(СВ) руб.
|
0,413
|
0,327
|
0,301
|
-0,086
|
-0,026
|
79,2
|
92,05
|
Для расчета первого условного показателя фондоотдачи надо
вместо среднегодовой стоимости единицы оборудования предыдущего года взять
фактическую, которая при одинаковых ценах может измениться только за счет его
структуры.

/руб.
В
результате изменения структуры оборудования уровень фондоотдачи активной части
основных фондов увеличился на 0,6526 руб.
Далее
необходимо установить, какой была бы фондоотдача при фактической структуре
оборудования и фактическом количестве отработанных дней, но величина остальных
факторов остается на уровне предыдущего года:

/руб.
Целодневные простои технологического оборудования увеличились, поэтому
фондоотдача снизилась на 0,0197. В данном случае фактор не оказал влияния.
Третий условный показатель фондоотдачи рассчитывается при фактической его
структуре, фактическом количестве отработанных дней, фактическом коэффициенте
сменности и на уровне предыдущего года остальных факторов:

/руб.
Количество
смен работы оборудования за анализируемый период не изменился, поэтому и
фондоотдача не изменилась. Поэтому в данном случае фактор не оказал никакого
влияния.
Четвертый условный показатель фондоотдачи (т.е. остается на уровне
предыдущего года только уровень среднечасовой выработки):

/руб.
За
счет увеличения средней продолжительности смены, фондоотдача увеличилась на
0,0615 руб.
При фактической выработке фондоотдача снизилась на
0,3908 руб.
Влияние факторов на уровень фондоотдачи определяется по формуле [17]:

,руб./руб.
(2.3)
где

-
изменение фондоотдачи активной части в результате изменении каждого из пяти
факторов.
Результаты расчетов влияния факторов на фондоотдачу основных фондов за
2014-2015 гг. представлены в таблице 2.9.
Таблица 2.9 - Расчет влияния факторов на фондоотдачу
основных фондов ЗАО «ВПЗ» за 2014-2015 г., руб.
|
Факторы
|
Расчет
|
|
Стоимости оборудования
|
(ФОаусл. 1 - ФОа2013) ·
УДа2014 = 0,6526 · 0,685 = 0,447
|
|
Целодневные простои
|
(ФОаусл. 2 - ФОаусл. 1) ·
УДа2014 = -0,0197 · 0,685 = -0,0135
|
|
Количество смен
|
(ФОаусл. 3 - ФОаусл. 2) ·
УДа2014 = 0 · 0,685 = 0
|
|
Внутрисменные простои
|
(ФОаусл. 4 - ФОаусл. 3) ·
УДа2014 = 0,0615 · 0,685 = 0,0421
|
|
Среднечасовая выработка
|
(ФОа 2014 - ФОаусл. 4) ·
УДа2014 = -0,6444 · 0,685 = -0,4414
|
|
Итого
|
0,0342
|
|
Изменение удельного веса
активной части фондов
|
0,0464
|
|
Итого изменение уровня
фондоотдачи
|
0,08065
|
Результаты расчетов, представленные в таблице 2.9, показывают, что отрицательное влияние на изменение фондоотдачи оказало
влияние такого фактора как стоимость оборудования. Целодневные простои и
количество смен остались неизменными, а влияние таких факторов, как
внутрисменные простои и среднечасовая выработка привели к увеличению
фондоотдачи.
Полученные результаты факторных влияний на фондоотдачу
основных фондов сведем в таблицу 2.10.
Таблица 2.10 - Результаты факторного анализа фондоотдачи ЗАО «ВПЗ» за
2014-2015 г.
|
Фактор
|
Изменение фондоотдачи, руб.
|
Изменение выручки, тыс.
руб.
|
|
активной части основных
фондов
|
всех основных фондов
|
|
|
Первого уровня:
1.Среднегодовая стоимость ОПФ 2.Доля активной части фондов 3.Отдача
оборудования
|
- - -
|
- 0,0464 0,0342
|
37931 · 2,85 =
108103,35 0,0464 · 927575 = 43039,48 0,0342 · 927575 = 31723,1
|
|
Итого
|
-
|
0,0806
|
182865,93
|
|
Второго уровня: 1.Структура
оборудования 2.Целодневные простои 3.Внутрисменные простои 4.Среднечасовая
выработка
|
0,6526 -0,0197 0,0615
-0,3908
|
0,447 -0,0135 0,0421
-0,4414
|
0,447 · 927575 =
414626,02 -0,0135 · 927575= -12522,3 0,0421 · 927575= 39050,9
-0,4414 · 927575= -409431,6
|
|
Итого
|
0,3036
|
0,0342
|
31723,015
|
Подводя итог по главе, можно сказать, что в условиях нестабильной
экономической ситуации деятельность ЗАО «Вологодский подшипниковый завод» в
2015 году по сравнению с 2014 годом, стала эффективнее.
За период 2013-2015 гг. наблюдается положительная динамика показателей по
труду и заработной плате, которая имеет тенденцию увеличения. Прибыль от продаж
за 2013-2014 г.г. находится в убытке, но в 2015 году по сравнению с 2013 годом
убыток снизился на 97,9%. Увеличение чистой прибыли предприятия и снижение
себестоимости говорит об эффективной деятельности предприятия.
За исследуемый период произошло увеличение материалоотдачи и уменьшение
материалоемкости, это свидетельствует об улучшении данных показателей и
рациональном использовании основных материалов.
За период с 2013 по 2015 годы уровень фондоотдачи на предприятии
снижается, что влечет за собой увеличение фондоемкости. В целом расчет
показателей эффективности основных производственных фондов доказывает
неэффективное их использование. По результатам факторного анализа фондоотдачи
активной части основных производственных фондов можно сделать вывод о том, что
снижение среднечасовой выработки и увеличение целодневных простоев оборудования
оказало отрицательное влияние на изменение фондоотдачи. Количество смен
остались неизменными, а влияние таких факторов, как стоимость оборудования и
внутрисменные простои привели к увеличению фондоотдачи.
.3 Оценка прибыли и рентабельности производственной деятельности ЗАО
«ВПЗ»
Уровень эффективности деятельности предприятия определяется соотношением
результатов и затрат, как на основное производство, так и по прочим расходам и
доходам. Чем рациональней использовались ресурсы в производственном процессе,
тем ниже будет уровень себестоимости продукции.
Далее рассмотрим структуру себестоимости выполненных работ
ЗАО «ВПЗ» за 2013-2015 гг., которая приведена в таблице 2.11.
Таблица 2.11 - Структура себестоимости выполненных работ по
элементам затрат на ЗАО «ВПЗ»
|
Наименование элементов
затрат
|
Величина по годам тыс.руб.
|
Структура, %
|
|
2013 г.
|
2014 г.
|
2015 г.
|
|
|
|
|
|
2013 г.
|
2014 г.
|
2015 г.
|
|
Производственная
себестоимость
|
3024232,8
|
3070092,6
|
2695002,4
|
100,0
|
100,0
|
100,0
|
|
В том числе: материальные
затраты
|
1844289
|
1910189
|
1633009
|
61
|
62,2
|
60,6
|
|
затраты по оплате труда
|
721657
|
704536
|
630265
|
23,9
|
23
|
23,4
|
|
отчисления на социальные
нужды
|
203201
|
207190
|
192647
|
6,7
|
6,8
|
7,1
|
|
амортизация
|
60480
|
62911
|
73796
|
2
|
2
|
2,7
|
|
затраты на выполнение
природоохранных мероприятий
|
9882,77
|
5980,55
|
7580,4
|
0,3
|
0,2
|
0,3
|
|
прочие затраты
|
184723
|
179286
|
157705
|
6,1
|
5,8
|
5,9
|
По данным таблицы 2. 11, в структуре себестоимости выполненных
работ по элементам затрат за период с 2013 года по 2015 год, наибольший
удельный вес занимают материальные затраты (60 - 62%). Наименьшая часть
принадлежит затратам на выполнение природоохранных мероприятий (0,2 - 0,3 %).
Затраты на рубль произведенной продукции - очень высокий
обобщающий показатель, описывающий уровень затратоемкости продукции в целом в
области предприятию. Во-первых, он многофункционален, так как может
рассчитываться в любой отрасли производства, а во-вторых, воочию показывает прямую
связь между себестоимостью и прибылью.
Вычисляется данный коэффициент отношением общей суммы затрат
на производство и реализацию продукции (Зобщ) к стоимости
произведенной продукции в действующих ценах. В случае если его уровень ниже
единицы, выработка продукции считается рентабельной, при уровне выше единицы -
убыточной [34].
Понижение затрат на 1 рубль объема продукции определяет
успешность предприятия по внедрению новой техники, увеличению
производительности труда, соблюдению системы экономии в расходовании
материальных, трудовых и денежных ресурсов. Результаты расчетов показаны в
таблице 2.12.
Таблица 2.12 - Затраты на 1 рубль реализованной продукции
|
Показатель
|
2013 г.
|
2014 г.
|
2015 г.
|
Отклонения
|
|
|
|
|
2015 г. к 2013 г., тыс.руб.
|
2015г. к 2013 г., %
|
|
Выручка от реализации, тыс.
руб.
|
2931760
|
2532854
|
2712305
|
-219455
|
92,5%
|
|
Себестоимость товарной
продукции, работ, услуг, тыс. руб.
|
3024232,8
|
3070092,6
|
2695002,4
|
-329230,4
|
89,1
|
|
Затраты на 1 рубль товарной
продукции, работ, услуг, коп.
|
1,03
|
1,21
|
1,01
|
-0,02
|
98,5
|
Уровень затрат на рубль стоимости товарной продукции в
2015году свидетельствует о превышение полученных результатов над затратами.
Некоторое снижение эффективности использования затрат выявлено в 2013 и 2014
годах, но уже в 2015 по сравнению с 2013 годом затраты на 1 рубль стоимости
реализованной продукции снизились на 2 копеек.
Функционирование предприятия, независимо от видов его
деятельности и форм собственности, в условиях рынка определяется его
способностью приносить достаточный доход или прибыль. Прибыль - это конечный
результат деятельности предприятия, характеризующий абсолютную эффективность
его работы. Общий финансовый результат отчетного периода отражается в
отчетности в развернутом виде и представляет собой алгебраическую сумму прибыли
(убытка) от реализации продукции (работ, услуг).
Состав и динамика прибыли ЗАО «ВПЗ»
представлены в таблице 2.13.
Таблица 2.13 - Состав и динамика прибыли ЗАО «ВПЗ»
|
Показатели
|
Величина по годам тыс.руб.
|
Абсолютное изменение 2015г.
к 2013г., тыс.руб.
|
Темп роста 2015г. к 2013г.,
%
|
|
2013 г.
|
2014 г.
|
2015 г.
|
|
|
|
Выручка от продаж
|
2931760
|
2532854
|
2712305
|
-219455
|
92,5
|
|
Себестоимость продаж
|
2692037
|
2402428
|
2431417
|
-260620
|
90,3
|
|
Валовая прибыль (убыток)
|
239723
|
130426
|
280888
|
41165
|
117,2
|
|
Прибыль от продаж (убыток)
|
(128906)
|
(164140)
|
(3101)
|
-125805
|
2,4
|
|
Прибыль (убыток) до
налогооблажения
|
(95516)
|
(139578)
|
2033
|
-93483
|
2,1
|
|
Чистая прибыль (убыток)
|
(98011)
|
(113092)
|
2039
|
-95972
|
2,1
|
Очевидно, что темпы роста выручки опережают темпы роста себестоимости
производимой продукции, что обеспечило рост прибыли от основной деятельности.
Так, валовая прибыль предприятия за исследуемый период возросла на 17%, а
убыток от продаж стал меньше на 97,6%, что свидетельствует об эффективности
производства на предприятии.
Прибыль до налогообложения в 2015 году относительно невысока, но с
учетом, что 2013 году у предприятия был большой убыток позволяет сделать вывод
о росте прочих доходов организации, не связанных с основной деятельностью
организации.
Основную часть прибыли предприятие ЗАО «ВПЗ» получает от реализации
товаров и услуг, поэтому целесообразно изучить динамику выполнения плана
прибыли от продаж (рисунок 2.4).
Рисунок 2.4 - Формирование чистой прибыли ЗАО «ВПЗ» за 2013-2015гг.
С учетом специфики деятельности предприятия, а так же проведенного ранее
анализа прибыли наибольший интерес представляют показатели рентабельности
продаж, рентабельности производства, а так же рентабельность основных фондов
предприятия, представленные в таблице 2.14.
Для более полного и объективного анализа деятельности предприятия
необходимо провести расчет рентабельности (таблица 2.14)
Таблица 2.14 - Рентабельность ЗАО «ВПЗ»
|
Показатели
|
Величина показателей, %
|
|
2013 г.
|
2014 г.
|
2015 г.
|
Абсол. отклонение 2015 г. к
2013 г.
|
|
Рентабельность продаж
|
(3,3)
|
(4,5)
|
0,07
|
-3,23
|
|
Рентабельность основной
деятельности
|
(3,6)
|
(4,7)
|
0,08
|
-3,52
|
|
Рентабельность основных
фондов
|
(12,2)
|
(12,7)
|
0,2
|
-12
|
|
Рентабельность собственного
капитала
|
(9,6)
|
(12,4)
|
0,2
|
-9,4
|
Уровень рентабельности ЗАО «Вологодский подшипниковый завод» находится в
зависимости от объема производства продукции и их себестоимости, рационального
использования основных и оборотных средств организации.
На основании показателей рентабельности можно сделать вывод, что
рентабельность за 2013 и 2014 годы отрицательная, поскольку чистой прибыли у
предприятия не было и оно работало в убыток. В 2015 году рентабельность имеет
положительную тенденцию, однако, не высока. В целом, за анализируемый период
рентабельность увеличивается, что говорит об эффективности работы предприятия.
За исследуемый период прослеживается рост эффективности использования
ресурсов предприятия. Рост основных показателей прибыли преимущественно
объясняется опережающим ростом объемов производства и реализации продукции
относительно темпов роста затрат, что обеспечило системный рост показателей
рентабельности.
3. ЭКОНОМИЧЕССКОЕ ОБОСНОВАНИЕ ВНЕДРЕНИЯ ИННОВАЦИЙ НА
ЗАО «ВПЗ»
.1 Мероприятия, направленные на повышение
эффективности деятельности ЗАО «ВПЗ»
В подшипниковом производстве инновационные решения востребованы
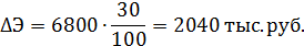
практически постоянно. На любом этапе производства используются высокие
технологии. Основными инновационными направлениями в подшипниковом производстве
являются:
развитие и совершенствование технологий производства;
увеличение прочности и качества изделий;
использование принципиально новых технологических решений.
Предложим инновационные решения, которые внесут неоценимый вклад в
энергосбережение, ресурсосбережение, повышение эффективности деятельности
предприятия и сбыта конкурентоспособной продукции.
Первое на что следует обратить внимание, это развитие новых видов
продукции, расширение производственной программы. Инновационным решением
является производство крупногабаритных роликовых подшипников для ветроэнергетической
установки. Они предназначены для того, чтобы устанавливаться на ведущие валы
турбин ветроэнергетических, которые имеют мощность до трёх мегаватт, а также
генераторных подшипников с напылением керамическим, которое предотвращает
коррозию электролита, и подшипников трансмиссий, имеющих специальную обработку
колец, что способствует оптимальному распределению подшипниковой смазки и
минимизирует риск неполадок в элементах подшипника.
Новые подшипники трансмиссий, на кольца и тела качения которых, наносится
инновационное покрытие, являются уникальной разработкой. Покрытие уменьшает
риск повреждения, улучшает распределение смазки и увеличивает долговечность
работы деталей.
Планируется внедрение в производство подшипников для генераторов, на
внешнее кольцо которых напыляется плазменное покрытие оксида кремния. Благодаря
напылению предотвращается электролитическая коррозия. инновация
производственный экономический прибыль
Подшипники скольжения для высоких нагрузок с улучшенными
характеристиками. Инновационные подшипники отличаются повышенными фрикционными
характеристиками, что обеспечивает им высокую износоустойчивость в сравнении с
пластиковыми изделиями
Данный тип подшипников используется в офисной технике, копирах и
некоторых бытовых приборах. Подшипники качения используют из-за высокой
точности, а также продолжительного срока эксплуатации. Тем не менее, население
постепенно переходит на более экономичное офисное оборудование, поэтому
возникает необходимость в решениях такого рода.
При совершенствовании технической части подшипников, если заменить
пластик металлом, то подшипники качения можно заменять подшипниками скольжения,
которые обеспечивают повышенное трение, что снижает износоустойчивость, а также
повышает нагрузки. Такой подход позволит снизить износ на 30%, а коэффициент
трение уменьшится на 50%. При этом нагрузочная способность повысится в 2 раза.
Также имеются и различия в конструкции при соприкосновении с валом. Так
при соединении вал и подшипник скользят друг против друга, а новая конструкция
нейтрализует этот эффект, благодаря чему можно не учитывать сопротивление
материалов или жестких поверхностей.Одной из инноваций в подшипниковой отрасли
является использование магнитного подшипника.
Магнитный подшипник - элемент опоры осей, валов и других деталей,
работающих на принципе магнитной левитации. В результате опора является
механически бесконтактной.
Различают пассивные и активные магнитные подшипники (АМГ). Но если
активные магнитные подшипники уже получили определенное распространение, то
пассивные подшипники находятся только на стадии разработки.
Магнитные подшипники охватывают большой диапазон грузоподъёмности: от
нескольких ньютонов для лёгких и высокоскоростных вакуумных турбомолекулярных
насосов до более 30 тонн для подвешивания валов гидротурбин длиной 8 метров.
Соответствующая силовая электроника с цифровым контролем - от нескольких ампер
при 48 В пост. тока до 30 ампер при 300 В переменного тока, как на
трубопроводных компрессорах мощностью 30 МВт.
Активные магнитные подшипники обладают устойчивостью, технологичностью,
надёжностью, высокой энергоэффективностью и частотой вращения, практически
полным отсутствием вибраций. Они характеризуются отсутствием износа
механических компонентов (что увеличивает срок их службы), практически не
требуют техобслуживания и подходят для работы в среде различных технологических
газов или вакууме [2].
Сфера применения магнитных подшипников представлена на рисунке 3.1
Рисунок 3.1 - Сферы применения активных магнитных подшипников
Практика применения новых подшипниковых технологий показывает, что при
использовании магнитных подшипников за счет уменьшения трения увеличивается
долговечность и повышается эффективность работы приборов. Новые технологии
помогают снизить выброс вредных веществ в окружающую среду.
Внедрение инноваций в машиностроении дает отличные экономические
показатели, и со временем все российские предприятия перейдут на использование
более надежных и эффективных технологий, в основе которых лежат магнитные подшипники.
Оптимизация внутренней геометрии, конструкции сепараторов и технологии
производства, а также надежное смазывание обеспечили существенное снижение
момента трения или потери на трение по сравнению со стандартными подшипниками.
В зависимости от размера подшипника и условий применения снижение
энергопотребления может составить до 30% или даже больше. Потери на трение,
разумеется, означают дополнительный расход энергии. Той самой энергии, которая
могла быть использована на приведение в движение машины и будет утрачена для
будущих поколений. Поэтому снижение потерь на трение на 30% и более является
достижением, имеющим большие перспективы.
Планируется распространить эту технологию на весь ассортимент конических
роликоподшипников и радиальных шарикоподшипников.
Рассмотрим энергосберегающий конический роликоподшипник с малым трением.
Подшипники демонстрируют сверхмалое трение, которое позволяет добиться
максимальной экономичности оборудования. Это снижает совокупную стоимость
владения для конечных потребителей и позволяет сохранить природные ресурсы. Он
способен повысить энергосберегающий потенциал при использовании в оборудовании
для любой отрасли промышленности - от целлюлозно-бумажной, металлургической и
горнодобывающей до нефтеперерабатывающей, пищевой, текстильной и водоочистной.
Характеристики энергосберегающих конических роликоподшипников
представлены в таблице 3.1 .
Таблица 3.1 - Характеристики энергосберегающих конических
роликоподшипников
|
Области применения
|
Преимущества
|
Особенности конструкции
|
|
Тяжелые промышленные
трансмиссии
|
Снижение энергопотребления
в промышленности
|
Специальный полимерный
сепаратор
|
|
Судовые трансмиссии
|
Повышение выработки энергии
(ветроэнергетика)
|
Специальная топография
роликов
|
|
Железнодорожные трансмиссии
|
Снижение рабочей температуры
|
Специальный профиль дорожки
качения и топография направляющего борта
|
|
Редуктора ветротурбин
|
Улучшение условий
смазывания (вязкость)
|
Модифицированный профиль
дорожки качения
|
|
Трансмиссии угольных
комбайнов
|
Увеличение интервалов
смазывания
|
Увеличенная длина дорожки
качения и уменьшенное количество окон сепаратора
|
|
Подшипники промежуточного
вала в промышленных трансмиссиях
|
Уменьшение массы и момента
инерции
|
Оптимизированное количество
роликов
|
Измерения момента трения показывают снижение энергопотребления энергосберегающих
конических роликоподшипников SKF по сравнению со стандартными подшипниками.
Уменьшение потерь мощности в электроприводных системах, оснащенных
радиальными шарикоподшипниками. Одним из очевидных способов является повышение
эффективности работы электродвигателей. Необходимо улучшить все элементы
конструкции стандартного шарикоподшипника с тем, чтобы снизить потери мощности
и, следовательно, снизить энергопотребление.
Области применения, преимущества и конструктивные особенности
энергосберегающих шарикоподшипников представлены в таблице 3.2.
Таблица 3.2 - Характеристики энергосберегающих шарикоподшипников
|
Области применения
|
Преимущества
|
Особенности конструкции
|
|
Электродвигатели
|
Экономия энергопотребления
для конечного пользователя
|
Оптимизированная внутренняя
геометрия
|
|
Насосы
|
Возможность разработки
высокоэффективных машин
|
Низкий уровень шума и
вибрации, низкий крутящий момент, долговечная смазка
|
|
Компрессоры
|
Снижение рабочей
температуры подшипника, повышение вязкости масла и увеличение ресурса
подшипника
|
Уникальный полимерный
сепаратор
|
|
Вентиляторы
|
Снижение общей стоимости
эксплуатации
|
|
Результаты имитации потерь мощности показывают снижение энергопотребления
энергосберегающих радиальных шарикоподшипников по сравнению со стандартными
подшипниками.
вопросом
в ЗАО «ВПЗ» использование металлоотходов, проблема тесно с эффективностью
производства и важнейшей частью экономических условий безотходного
производства.
имеющихся
резервов сырья в ЗАО «ВПЗ» сохранить многие материалы и сэкономить количество
энергии.
Одним
из видов ценного сырья являются металлообработки: металлическая обрезки
заготовок, шлифовальных станков.
При
обработке металлов резанием большое количество смазочно-охлаждающих жидкостей
(СОЖ) уносится со стружкой.
На
заводе ЗАО "ВПЗ" при термической обработке металлов образуется
большое количество опалены, которая осаждается в масле после закалки. СОЖ в
стружке и окалине снижает их экономическую ценность, т.к. в процессе плавления
возрастает содержание серы, углерода и примесей в выплавляемой стали.
Для
рационального использования в качестве шихтового материала стружку необходимо
прессовать в брикеты и пакеты максимальной плотности.
Использование
брикетов или пакетов способствует повышению его металлургической ценности,
сокращает трудоемкость погрузочно-разгрузочных работ.
Наиболее
эффективный комплексный подход к решению обозначенной проблемы состоит,
во-первых, в целенаправленном формировании свойств образующейся стружки в
условиях автоматизированного производства, организации раздельного сбора
стружки из различных металлов и, во-вторых, оборудовании механических
производств технологическими линиями переработки и брикетирования стружки.
Предлагаем использование брикетирования металлической
стружки, в состав оборудования автоматической линии входит:
- автоматический погрузчик стружки;
транспортер с накопительной емкостью;
дробилка ;
сепаратор (центрифуга);
фильтр для фильтрации СОЖ, масел, эмульсий;
-
брикетировочный пресс-усилие прессования до 3000 кг/см2; рабочее давление 300
бар; размер брикета 100
60 мм;
автоматический контроль параметров;
печь
конвейерная проходная газовая: температура нагрева 950 
;
скорость движения конвейера - 350 мм/мин; длина печи 6 м; утилизация тепла
отработанных газов производится кожухо-трубчатым теплообменником;
на
выходе применяется система фильтрации отработанных газов.
На рисунке 3.2 представлена схема автоматической линии горячего
брикетирования металлической стружки.
Рисунок 3.2 - Схема автоматической линии горячего
брикетирования металлической стружки
1 - погрузчик стружки; 2 - дробилка; 3 - сепаратор; 4
- фильтр; 5 - транспортер; 6 - пресс;
- печь газовая; 8 - пресс; 9 - выгрузка брикетов; 10 -
теплообменник; 11 - фильтр
Рабочий
процесс линии состоит из следующих операций: загрузка стальной стружки в
накопительный бункер измельчителя; дробление стружки в более мелкую фракцию размером
3-5 см; выгрузка стружки на транспортер; подача в центрифугу. Затем через
промежуточный накопительный бункер очищенная от СОЖ стружка транспортером
подается в накопительный бункер пресса, выполняющего первое холодное
брикетирование. Брикеты собираются в бункере транспортирующего конвейера и
затем направляются в конвейерную печь для отжига при температуре 900 
. Здесь
удаляются остатки СОЖ, затем горячие брикеты направляются в бункер пресса для
выполнения завершающего этапа горячего прессования. Готовые брикеты
сбрасываются в накопительный бункер. Оборудование управляется от
интегрированной системы автоматического управления.
В результате данной технологии мы получаем что,
стальная стружка измельчается до размеров 30-50 мм. При прессовании горячих
брикетов до необходимой плотности получаются брикеты цилиндрической формы
диаметром 120 - 150мм, длиной 100 - 150 мм. Плотность брикета чугунной стружки
не менее 6,0 кг/дм3; остаточная влажность брикетов 0 %. Обеспечиваются
требования экологии-фильтрация отработанных газов и сепарированной жидкости.
Главная цель мероприятия - обоснование и разработка оборудования и
комплексных систем переработки металлической стружки. Идея заключается в получении
максимально возможной плотности брикетов или пакетов за счет качественной
подготовки исходного сырья и окускованию при минимальных энергетических
затратах. При этом качественная подготовка исходного сырья должна обеспечить
максимальную плотность брикетов или пакетов при использовании серийного
прессового оборудования, что требует определенного совершенствования технологий
окускования.
Экономический эффект от данной технологии определяется уменьшением при
прессовании на порядок контактной поверхности стружки, повышением плотности
брикетов, что позволяет им быстро погружаться в расплавленный металл,
многократно снижая окисление и угар во время плавки по сравнению с
использованием сыпучей стружки. Кроме этого, за счет уменьшения занимаемого
брикетами объема (5-10 % от исходного в сыпучей стружке) существенно снижаются
затраты на временное хранение и транспортировку.
Регенерация абразивных кругов. Данная технология включает в себя
измельчение отходов (дробилка), удаление органической связки, рассев и магнитную
сепарацию. В качестве отходов, содержащих органическую связку, используют
отходы шлифования, содержащие абразивный материал и металлический порошок.
Технология предполагает удаление органической связки проведением отжига
шлама при температуре 350-800°С. При этом происходит очистка металлического
порошка и абразивного материала от органических составляющих и влаги. Затем
регенерируемый абразивный материал подвергают рассеву и магнитной сепарации.
Новым согласно техническому решению является то, что в качестве отходов
используем отработанные абразивные изделия на бакелитовой связке, удаление
которой осуществляем двухстадийным выщелачиванием 5-20%-ным раствором
однокислотного основания, первую стадию которого проводят при перемешивании в
течение 6-8 часов с последующей промывкой водой и сушкой после выщелачивания.
Заявляемый способ регенерации позволяет снизить затраты на производство
качественного регенерированного абразивного материала за счет использования для
осуществления способа реагентов относительно низкой стоимости, возможности
использования известного оборудования, а также исключения дорогостоящего
оборудования для утилизации вредных газовых выбросов.
Абразивное зерно, регенерированное заявляемым способом, имеет более
широкую область применения по сравнению с прототипом, так как может быть
использовано в производстве абразивного инструмента на бакелитовой и
керамической связке.
Себестоимость одной тонны абразивного зерна,
полученного согласно заявляемому способу, ниже по сравнению с материалом,
полученным по прототипу, на 30%.
Таким образом, заявляемая технология регенерации
абразивного материала из отходов, содержащих бакелитовую связку, обеспечивает
получение абразивного зерна улучшенного качества при снижении его себестоимости
и исключении загрязнения окружающей среды.
Как правило, основное внимание при модернизации оборудования и внедрения
инноваций в ЗАО «ВПЗ» уделяется подразделениям, осуществляющим механическую
обработку и окончательную сборку. Все остальные технологические переделы
(изготовление заготовки, штамповка, финишная термическая обработка, покрытия и
др.) остаются, не задействованы.
Передел термической и химико-термической обработки в этот процесс
не входит, хотя все окончательные свойства формируются именно там.
Предлагаем использовать новую инновационную технологию термической и
химико-термической обработки.
Концепция участка химико-термической обработки:
применение современных технологий, обеспечивающих высокое качество
изделий, надежность и стабильность процесса, контроль, регулирование и
документирование процессов;
обеспечение гибкости, экономичности производства;
комплексный (модульный) подход при выборе оборудования.
Отличительные признаки линии химико-термической обработки:
модульная компоновка (подготовительный, основной, экологический модули, а
также модуль охлаждения и промывки) позволяет в широких пределах варировать
конфигурацией оборудования и технологиями упрочнения.
обработка с частичным погружением позволяет проводить упрочнение
отдельных участков деталей;
отсутствие газообразных выбросов и жидких отходов обеспечивается
экологическим модулем, в который входит воздушный фильтр и испаритель
промышленных стоков;
высокая скорость обработки деталей в расплавах, по сравнению с газовыми
технологиями достигаются за счет значительного сокращения времени прогрева и
выдержки.
Рассчитаем экономическую эффективность от внедрения линии для термической
и химико-термической обработки в расплавах солей фирмы Durferrit в следующем
пункте.
.2 Обоснование внедрения технологии химико-термической обработки на ЗАО
«ВПЗ»
Современное производство как основное, так и вспомогательное невозможно
представить без высоких технологий.
Термическая обработка - вспомогательное производство - один из важнейших
этапов в производстве ЗАО «ВПЗ», от нее зависят прочностные параметры деталей и
подшипников.
Химико-термическая обработка является основой подшипниковой
промышленности. В ЗАО «ВПЗ» химико-термическую обработку выполняют в
электрических печах (СШО-6.12/10М1) с помощью жидкого карбюризатора без
управления процессами насыщения.
Рисунок 3.3 - Электрическая печь СШО-6.12/10М1
Электропечь предназначена для цементации и закалки стальных изделий,
термообработки цветных металлов и сплавов в защитных атмосферах, и позволяет
производить в ней технологические процессы с применением как негорючих, так и
горючих газов.
Данная технология устарела как морально, так и технически. Она трудоемка
в управлении при цементации или нитроцементации. Учитывая высокие требования к
равномерности насыщения поверхности деталей углеродом, гомогенной структуре,
твердости металла, повышаются требования и к оборудованию.
Появляются усовершенствованные технологии и новые типы оборудования для
термообработки, которые могут существенно улучшить качество продукции и снизить
расходы на производство.
Расплавные технологии в термической обработке (закалка, отпуск,
цементация, карбонитрация) намного эффективней, чем традиционные - в газовых
средах, в вакууме, тлеющем разряде и др. Например, для обработки в газовой атмосфере
обязательным условием является постоянная принудительная депассивация
насыщаемой поверхности. При любой, даже самой тщательной, предварительной
очистке поверхность сталей, особенно нержавеющих, находится в пассивированном
состоянии из-за присутствия тонкой пленки окислов и других пассивирующих слоев.
Стадия депассивации удлиняет цикл обработки, и при недостаточно строгом ее
контроле может отрицательно сказываться на качестве обрабатываемой детали
(разнотолщинность, отсутствие или прерывистость диффузионного слоя по
периметру).
Данные недостатки отсутствуют в расплавных технологиях. При погружении
металла в расплав солей на границе металл-расплав непрерывно начинают протекать
естественные обменные реакции, и пассивирующие пленки уже не могут существовать
(идет непрерывное растворение мономолекулярного слоя на поверхности металла).
Это приводит к тому, что процесс насыщения в жидкой среде протекает с
максимально возможной скоростью, причем насыщение начинается непосредственно с
момента погружения детали в расплав.
Кроме того, скорость нагрева в расплавах в 2-5 раз выше, чем при
традиционных видах обработки (электронагрев, газовый нагрев, нагрев плазмой
тлеющего разряда), а открытое зеркало ванны дает возможность в широких пределах
регулировать скорость охлаждения после насыщения и при необходимости
производить обработку детали частичным погружением в расплав. Также, в отличие
от газов, жидкости не обязательно использовать в герметичных системах.
Для качественного проведения термообработки важно, чтобы используемая
среда и режимы обработки не вызывали изменения химического состава материала,
из которого состоит обрабатываемая деталь, предотвращали окисление поверхности
(образование окалин) и обезуглероживание стали, а также обеспечивали
минимальные поводки.
Расплав соли, как рабочая среда для нагрева под закалку, в ограниченном
объеме применяется для закалки быстрорежущих сталей. Но широкого применения у
нас в стране такие технологии не получили, в первую очередь, из-за нерешенных
экологических проблем, связанных с выбросами вредных примесей в атмосферу и
промышленные стоки.
Предлагаем экологически чистые линии для термической и химико-термической
обработки в расплавах солей фирмы Durferrit (рисунок 3.4 ).
Рисунок 3.3 - Схема экологически чистой технологической линии термической
и химико-термической обработки.
1
- печь подогрева (150-350
); 2 -
печь-ванна цементации (920-950
); 3 -
печь-ванна подстуживания (830-850
); 4 -
печь-ванна охлаждения(150-200
; 5 -
печь-ванна предварительного нагрева(800-850
; 6 -
электродная печь нагрева под закалку(950-1100
;7 -
электродная печь нагрева под закалку(1150-1300
; ; 8 -
печь-ванна изотермической выдержки(540-580
; 9 -
печь- ваннакарбонитрации (560-600
; 10 -
печь-ванна оксидирования(350-400
; 11 -
бак с водой;12-промывочный каскад; 13 - бак с маслом; 14 - воздушный колодец;
15 - испаритель промышленных стоков; 16 - накопитель промышленных стоков; 17 -
воздушный фильтр.
Отличительной чертой такого оборудования является то, что оно снабжено
фильтром влажной очистки отходящих газов и испарителем промстоков. Таким
образом, современные расплавные технологии не имеют жидких отходов, не требуют
промышленной канализации, и такое оборудование может быть размещено даже в
цехах механической обработки.
Процесс закалки в расплавах отличается от обычной способами охлаждения.
При закалке конструкционных сталей быстрое охлаждение необходимо вести только в
интервале температур 700-250оС, чтобы не произошел распад аустенита, а далее
как можно медленнее, когда происходят структурные мартенситные превращения. При
этом минимизируются термические напряжения в стали, резко уменьшается
коробление, закалочные трещины и др. Расплавные технологии легко позволяют
осуществлять почти любые скорости охлаждения.
Например, на рисунке представлена одна из таких схем охлаждения. Деталь
после нагрева под закалку переносится в ванну с температурой 200оС (это чуть
выше точки начала мартенситного превращения), выдерживается там, чтобы
сравнялась температура поверхности и сердцевины и не возникало термических
напряжений по сечению металла, а далее охлаждается либо на воздухе, либо в
масле, в зависимости от структуры, которую необходимо получить.
Расплавные технологии в термообработке позволяют проводить, кроме
закалки, и другие виды обработки: нормализацию, отжиг, отпуск, для чего
технологическая линия комплектуется охлаждающим колодцем. Особенностью
реализации таких технологий является то, что используемые соли могут быть
разного состава: нейтральные, с различным углеродным потенциалом и др. Это
позволяет предотвратить химические изменения поверхности металла - образование
окалины и обезуглероживание. Что особенно важно, при охлаждении на воздухе
деталь покрыта тонким слоем расплава, который защищает поверхность стали.
Эффективная система вентиляции и оптимизация технологического процесса
позволяют существенно увеличить экологичность данного оборудования. Благодаря
модульной конструкции линии для термообработки системы 250 имеют компактные
размеры по сравнению с обычными камерными печами. Благодаря модульной
конструкции линии для термической и химико-термической обработки имеют
компактные размеры по сравнению с обычными камерными печами.
Целью термической и химико-термической обработки стали является изменение
её механических свойств, таких, как пластичность, твердость, предел
пластичности и ударопрочность.
Модульные печи применяются в различных процессах термообработки, таких
как: нормализация, снятие напряжения, отжиг, сфероидизация, аустенитизация, отпуск,
отжиг в растворе и они способны обрабатывать различные материалы в различных
формах и размерах.
Капитальные вложения на линии для термической и химико-термической
обработки фирмы Durferrit представлены в таблице 3.3.
Таблица 3.3 - Капитальные вложения на приобретение линии для термической
и химико-термической обработки
|
Перечень затрат
|
Затраты, руб.
|
|
Стоимость линии
|
1450 000
|
|
Затраты на доставку
оборудования
|
58 000
|
|
Обучение персонала
|
8000
|
|
Стоимость вспомогательных
материалов
|
12 000
|
|
Стоимость пусконаладочных
работ
|
12 000
|
|
Итого
|
1540 000
|
Таким образом, затраты на приобретение линии для термической и
химико-термической обработки составят 1540 тыс.рублей.
Срок эксплуатации оборудования 15 лет. Норма амортизации определяется по
формуле[17]:

, (3.1)
где
n - срок полезного использования, лет.

.
Амортизация
определяется по формуле[17]:

, (3.2)
где
С - стоимость основных средств, тыс.руб.;
На
- норма амортизации объекта, %.
А
= 1540 
6,67% =
102,718 тыс.руб.
Амортизация
составит 102,718 тыс.руб. в год.
В таблице 3.5 представим сравнение затрат на электроэнергию до и после
внедрения линии химико-термической обработки. В таблице представим сравнение
затрат на электроэнергию до и после внедрения линии химико-термической
обработки.
Таблица 3.4 - Затраты на электроэнергию
|
Показатель
|
Цена, руб./ нат. ед.
|
в электрических печах
СШО-6.12/10М1
|
линии для термической и
химико-термической обработки фирмы Durferrit
|
Отклонение, руб.
|
|
|
Расход
|
Стоимость, руб.
|
Расход
|
Стоимость, руб.
|
|
|
Установочная мощность, кВт
|
3,89
|
64,8
|
229,39
|
48,11
|
170,34
|
-59,05
|
Таким образом, при использовании линии модульного типа затраты на
электроэнергию снижаются на 59,05 руб. в час. Количество отработанных часов в
год составляет 1992 ч. Итого получаем экономию электроэнергии на 117628 руб.
В результате использование линии для термической и химико-термической
обработки произойдёт сокращение затрат на смазочные материалы, на содержание и
эксплуатацию оборудования.
Содержание линии химико-термической обработки в процессе эксплуатации по
трудозатратам меньше по сравнению с электрической печью СШО-6.12/10М1, по
трудоёмкости на 25-30%. Поэтому при внедрении линии химико-термической
обработки будет получена экономия денежных средств.
Экономию денежных средств можно определить по формуле [3]:

, (3.3)
где

-
экономия денежных средств, руб.;

-
годовые затраты на техническое обслуживание и содержание линии
химико-термической обработки.
.Экономия
денежных средств на содержание оборудования, полученная в результате замены
составит в сумме:
Расходы на ремонт технологического оборудования составляют:
- 2040 = 4760 тыс.руб.
Определим экономию на смазочные материалы, полученная в результате
замены, она составит в сумме:
Расходы на смазочные материалы будут равны:
- 450 = 1050 тыс.руб.
Прочие расходы составляют от 1 до 3% от суммы материальных затрат.
до внедрения проекта:
после внедрения проекта:
Определим расходы на содержание и
эксплуатацию оборудования цеха термообработки в таблице.
Таблица 3.4 - Расходы на содержание и эксплуатацию оборудования цеха
термообработки, тыс.руб.
|
Вид затрат
|
2015 Год
|
После проведения
мероприятия
|
Абсолютное отклонение, руб.
|
Темп роста, %
|
|
1.Материальные затраты:
|
11052,7
|
8445,072
|
-2607,63
|
76,41
|
|
1.1.Электроэнерия
|
2752,68
|
2635,052
|
-117,628
|
95,73
|
|
1.2.Смазочные материалы
|
1500
|
1050
|
-450
|
70,0
|
|
1.3. Расходы на ремонт
|
6800
|
4760
|
-2040
|
70,0
|
|
2.Оплата труда
|
210000
|
210000
|
-
|
100,0
|
|
3. Отчисления
|
63000
|
63000
|
-
|
100,0
|
|
4.Амортизация
|
2800
|
2902,72
|
102,72
|
103,67
|
|
5.Прочие затраты
|
331,58
|
253,4
|
-78,18
|
76,4
|
|
ИТОГО
|
287184,3
|
284601
|
-2583,09
|
99,1
|
Себестоимость цеха термообработки после внедрения линии уменьшится на
2583,09 тыс.руб. или на 0,9%.
Срок окупаемости капитальных вложений по прибыли определяется по формуле
[3]:

, (3.4)
где

- срок
окупаемости капитальных вложений по прибыли, лет;
Квл
- капитальные вложения, руб.;
Пр
- годовой прирост прибыли, руб.
Срок
окупаемости капитальных вложений по прибыли составит:
Обратным
по содержанию сроку окупаемости капитальных вложений в инвестиционный проект
является расчетная норма прибыли (рентабельность инвестиций), которая
определяется по формуле [25]:

, (3.5)
где ARR - расчетная норма прибыли, %;

- среднегодовые денежные поступления от хозяйственной
деятельности, руб.;

-
стоимость первоначальных инвестиций, руб.
Расчетная
норма прибыли составит:
Итак, срок окупаемости проекта составит 9
месяцев, экономия затрат составит 2583,09 тыс.руб.
При
использовании линии для термической и химико-термической обработки
производительность труда увеличится.
В
результате снижения затрат произойдет и уменьшение себестоимости продукции.
Произведём
расчет экономической эффективности внедрения линии для термической и
химико-термической обработки фирмы Durferrit в таблице.
Таблица
3.5 - Расчет показателей экономической эффективности мероприятия по внедрению
линии для термической и химико-термической обработки
|
Показатель
|
До мероприятия
|
После мероприятия
|
Изменения, +/-
|
Темп роста, %
|
|
Выручка, тыс. руб.
|
2712305
|
2712305
|
-
|
100,00
|
|
Себестоимость, тыс.руб.
|
2431417
|
2428833,912
|
-2583,09
|
99,89
|
|
Стоимость основных
производственных фондов, тыс. руб.
|
927575
|
929115
|
1540
|
100,17
|
|
Прибыль от реализации
продукции и услуг, тыс. руб.
|
-3101
|
-517,912
|
+2583,09
|
16,70
|
|
Чистая прибыль, тыс. руб.
|
2039
|
4622,088
|
+2583,09
|
226,68
|
|
Рентабельность продаж, %
|
-0,11
|
-0,02
|
0,09
|
17,36
|
|
Рентабельность основной
деятельности, %
|
-0,13
|
-0,02
|
0,11
|
16,40
|
0,08
|
0,17
|
0,09
|
264,7
|
|
Фондоотдача, руб./руб.
|
2,92
|
2,92
|
0
|
100
|
|
Фондорентабельность, %
|
0,22
|
0,62
|
0,4
|
281
|
Данные таблицы 3.5 показывают, что в результате внедрения линии для
термической и химико-термической обработки фондоотдача основных средств не
изменилась, а фондорентабельность возросла на 0,4%. Прибыль от реализации
возросла на 2583,09 тыс.руб., рентабельность продаж на 0,09%, рентабельность
основной деятельности на 0,11%, общая рентабельность предприятия на 0,09%. Всё
это свидетельствует о том, что предложенное нами мероприятие термической и
химико-термической обработки является экономически оправданным.
На основании проведенного анализа предприятия ЗАО «ВПЗ» во второй главе
выпускной квалификационной работы было установлено, что предприятию необходимо
внедрение инновационных мероприятий.
В выпускной квалификационной работе были предложены мероприятия по
повышению эффективности деятельности в ЗАО «ВПЗ» с помощью внедрения инноваций
в производственную деятельность.
Внедрение предлагаемых мероприятий в ЗАО «ВПЗ» позволит улучшить работу
производственных процессов на предприятии и повысить эффективность деятельности
ЗАО «ВПЗ». В качестве основных преимуществ внедрения для термической и
химико-термической обработки, можно отметить высокую скорость обработки
деталей, отсутствие газообразных выбросов и жидких отходов.
Таким образом, инновационное мероприятие для термообработки в ЗАО «ВПЗ»
на основе последних достижений это залог успеха при производстве подшипников.
ЗАКЛЮЧЕНИЕ
По итогам проведенных исследований выпускной квалификационной работы
можно сделать ряд выводов:
1.
Инновации - процесс, с созданием или
новых
элементов и нематериальной культур в социальной системе. является конечным
интеллектуальной деятельности человека, творческого процесса, и изобретений и
реализуется в осуществления инновационной Именно инновации основным
инструментом развития деятельности ;
2. Все виды эффективности напрямую зависят от того, как рационально
предприятие использует ресурсы и запасы.
На примере машиностроительного производства повышение эффективности может
быть обеспечено как на основании модернизации уже имеющихся, так и внедрения
новых производственных процессов, которые в конечном результате приводят к
сокращению трудоемкости изготовления изделий, росту уровня использования
материальных, трудовых и финансовых ресурсов.
3.
При внедрении в производственный процесс добиться повышения деятельности
предприятия. Эффективность и дальнейшее функционирование деятельности
машиностроительных предприятий напрямую зависит от инновационной активности.
Однако, как свидетельствуют статистические данные последних лет,
промышленные предприятия испытывают серьезный кризис в сфере инноваций.
Наиболее целесообразным будет внедрение процессных инноваций, которое позволит
усовершенствовать производственный процесс и тем самым повысить эффективность
деятельности.
. В условиях нестабильной экономической ситуации деятельность ЗАО
«Вологодский подшипниковый завод» в 2015 году по сравнению с 2014 годом, стала
эффективнее.
За период 2013-2015 гг. наблюдается положительная динамика показателей по
труду и заработной плате, которая имеет тенденцию увеличения. Прибыль от продаж
за 2013-2014 г.г. находится в убытке, но в 2015 году по сравнению с 2013 годом
убыток снизился на 97,9%. Увеличение чистой прибыли предприятия и снижение
себестоимости говорит об эффективной деятельности предприятия.
В целом расчет показателей эффективности основных производственных фондов
доказывает неэффективное их использование. По результатам факторного анализа
фондоотдачи активной части основных производственных фондов можно сделать вывод
о том, что снижение среднечасовой выработки и увеличение целодневных простоев
оборудования оказало отрицательное влияние на изменение фондоотдачи. Количество
смен остались неизменными, а влияние таких факторов, как стоимость оборудования
и внутрисменные простои привели к увеличению фондоотдачи.
Для повышения эффективности использования основных фондов ЗАО «ВПЗ» в
работе предложен ряд мероприятий. Предлагаем экологически чистые линии для
термической и химико-термической обработки в расплавах солей фирмы Durferrit.
В результате внедрения линии для термической и химико-термической
обработки фондоотдача основных средств не изменилась, а фондорентабельность
возросла на 0,4%. Прибыль от реализации возросла на 3704,91 тыс.руб.,
рентабельность продаж на 0,13%, рентабельность основной деятельности на 0,15%,
общая рентабельность предприятия на 0,13%.
Таким
образом, внедрение линии термической и химико-обработки в ЗАО «ВПЗ» на
последних достижений залог успеха производстве подшипников. Таким образом,
внедрение мероприятия в ЗАО «ВПЗ» улучшить работу процессов на предприятии и
эффективность деятельности «ВПЗ».
СПИСОК ИСПОЛЬЗОВАННЫХ ИСТОЧНИКОВ
1. Абдукаримов, И. Т. Финансово-экономический анализ
хозяйственной деятельности коммерческих организаций: учеб. пособие / И. Т.
Абдукаримов. - Москва: Высшее образование: Бакалавриат, 2012. - 320 с.
2. Алексеева, А. И. Комплексный экономический анализ
хозяйственной деятельности: учеб. пособие для вузов / А. И. Алексеева, Ю. В.
Васильев, А. В. Малеева, Л. И. Ушвицкий. - Москва: КНОРУС, 2007. - 672 с.
. Артемьева, Л. Ю. Анализ и диагностика
финансово-хозяйственной деятельности предприятия / Л. Ю. Артемьева. -
Ростов-на-Дону: Феникс, 2012. - 352 с.
. Базаров, Б. М. Модульные технологии в машиностроении
/ Б. М. Базаров. - Москва: Машиностроение, 2001. - 368 с.
. Балабанов, И. Т. Инновационный менеджмент: учеб.
пособие для вузов / И. Т. Балабанов. - Санкт-Петербург: Питер, 2001. - 303 с.
. Белов, В.Н. Инновационная политика и инновационный
бизнес в России / В.Н. Белов. - Москва: Полиграф, 2001. - 90 с.
. Беляев, Ю. М. Инновационный менеджмент: Учебник для
бакалавров / Ю. М. Беляев. - Москва: Дашков и К, 2013. - 220 c.
. Бовин, А. А. Управление инновациями в организации:
учеб. пособие по специальности «Менеджмент организации» / А. А. Бовин, Л. Е.
Чередникова, В. А. Якимович. - Москва: Омега -Л, 2008. - 415 с.
. Булатов, А. С. Теоретические основы инновационной
деятельности / А. С. Булатов. - Москва: Молодой ученый, 2013. - 343 с.
10. Ветеримова, И. И. Проблемы управления инновационным
развитием предприятия / И. И. Ветеримова. - Санкт-Петербург: Питер, 2012. - 39
с.
11. Волынкина, М. В. Финансовый анализ в коммерческих и
некоммерческих организациях: учебное пособие / М. В. Волынкина. - Москва:
Маркетинг, 2010. - 320 с.
. Волков, О. И. Экономика предприятия: курс лекций /
О. И. Волков, В. К. Скляренко. - Москва: ИНФРА-М, 2006. - 280 с.
. ГОСТ Р 56261-2004.Инновационный менеджмент. - Введ.
01.01.2016. - Москва: ВНИИС, 2016. - 23 с.
. Голубев, А. А. Экономика предприятия / А. А.
Голубев, Г. А. Маховикова, В. Е. Кантор. - Санкт-Петербург: Питер, 2009. - 224
с
. Гродский, В. С. Экономикс: учеб. пособие для
бакалавров/ В. С. Гродский. - Москва: Инфра-М, 2013. - 220 с.
. Гохберг, Л. М. Управление инновационной
деятельностью в условиях модернизации национальной экономики: учеб. пособие /
Л. М. Гохберг. - Москва: Дашков и К, 2009. - 368 с.
. Гринберг, Р. С. Инновационный менеджмент: учеб.
пособие для вузов / Р. С. Гринберг. - Санкт-Петербург: Питер, 2008. - 303 с.
. Гришин, В. В. Инновация как основной фактор
повышения эффективности производства / В. В. Гришин. - Москва:
Бизнес-Путеводитель, 2007. - 37 с.
. Денисова, Н. В. Теоретические основы сущности, видов
и критериев экономической эффективности производства / Н. В. Денисова. -
Москва: Вестник НГИЭИ, 2012. - 21 с.
. Джолдасбаева, Г. К. Инновация как основной фактор
повышения эффективности производства / Г. К. Джолдасбаева. - Москва:
Бизнес-Путеводитель, 2007. - 32 с.
. Ермолович, Л. Л. Практикум по анализу хозяйственной
деятельности предприятия / Л. Л. Ермолович. - Москва: Книжный дом, 2013. - 228
с.
22. Жариков, В. В. Экономика предприятия: учебник для
вузов / В. В. Жариков. - Москва: Банки и биржи, ЮНИТИ, 2012. - 367 с.
23. Жиделева, В. В. Экономика предприятия / В. В.
Жиделева, Ю. Н. Каптейн. - Москва: Инфра-М, 2010. - 133 с.
. Зайцев, Н. Л. Экономика промышленного предприятия:
учебное пособие / Н. Л. Зайцев. - Москва: Высшая школа, 2013. - 235 с.
. Зверев, А. В. Инновации в экономических теориях
разных школ / А. В. Зверев. - Санкт-Петербург: БИНОМ, 2012. -147 с.
. Зубахин, А. М. Экономика предприятий / А. М.
Зубахин. - Москва: Эксмо, 2009. - 182 с.
. Иванов, А. П. Экономика: учеб. пособие / А. П.
Иванов, Л. Г. Матвеева. - Москва: БИНОМ, 2007. - 55 с.
. Ильина, И. В. Экономика фирмы: учебник / И. В.
Ильина. - Москва: Высшая школа, 2012. - 437 с.
. Келле, В. Ж. Инновационная система России:
формирование и функционирование / В. Ж. Келле. - Москва: Едиториал УРСС, 2003.
- 148 с.
30. Кирьяков, А. Г. Основы инновационного
предпринимательства: учеб. пособие для вузов / А. Г. Кирьяков, Л. Г. Матвеева.
- Ростов-на-Дону: Феникс, 2002. - 160 с.
31. Ковалев, В. В. Анализ хозяйственной деятельности
предприятия / В. В. Ковалев, О. И. Волков. - Москва: ПБОЮЛ, 2011. - 242 с.
. Ковш, А. И. Проблема повышения эффективности
использования основных средств / А. И. Ковш. - Минск: Четыре четверти, 2012. -
219 с.
. Кондратьев, Д. В. Инновации как ключевой фактор
повышения конкурентоспособности предприятий / Д. В. Кондратьев. - Казань:
Молодой ученый, 2011. - 97 с.
. Краснова, Н. А. Инновации в экономических теориях
разных школ / Н. А. Краснова. - Москва: Ступень,2012. - 147 с.
. Круглова, Н. Ю. Инновационный менеджмент / Н. Ю.
Круглова, Д. С. Львов. - Москва: Ступень, 2011. - 260 с.
. Липсиц, И. В. Комплексный анализ и контроль
инвестиционной деятельности / И. В. Липсиц. - Москва: Юрайт, 2009. - 338 с.
. Любушин, Н. П. Комплексный экономический анализ
хозяйственной деятельности: учебное пособие / Н. П. Любушин. - Москва:
ЮНИТИ-ДАНА, 2012. - 448 с.
. Максимов, Н. Н. Основные принципы и задачи
инновационной деятельности организаций в современных условиях/ Н. Н. Максимов.
- Казань: Молодой ученый, 2013. - 65 с.
. Мартынюк, Е. В. Проблемы управления инновационным
развитием предприятия / Е. В. Мартынюк. - Санкт-Петербург: БИНОМ, 2011. - 40 с.
40. Маренков, Н. Л. Инноватика / Н . Л. Маренков.
- Москва: Либроком, 2013. - 304 c.
. Мельникова, О. С. Инновационные методы управления в
регионах / О. С. Мельникова. - Москва: Высшая школа, 2014. - 53 с.
. Морозов, Ю. П. Инновационный менеджмент: учеб.
пособие для вузов / Ю. П. Морозов. - Москва: ЮНИТИ-ДАНА, 2000. - 120 с.
. Нагоплежев, М. Р. Модернизация технологической базы
производства машиностроения и ее эффективность / М. Р. Нагоплежев. - Москва:
Интеграл, 2006. - 165 с.
. Огвоздин, В. Ю. Деловое проектирование и управление
проектом / В. Ю. Огвоздин. - Москва: Экономика, 2012. - 228 с.
. Попов, А. И. Экономика предприятия: курс лекций / А.
И. Попов, В. К. Скляренко. - Москва: Инфра-М, 2006. - 280 с.
. Пригожин, А. И. Нововведения: стимулы и препятствия
/ А. И. Пригожин. - Москва: Политиздат, 2007. - 270 с.
. Ресурсы инноваций: организационный, финансовый,
административный: учеб пособие для вузов / под ред. проф. И. П. Николаевой. -
Москва: ЮНИТИ-ДАНА, 2003. - 318 с.
. Румянцева, З. П. Общее управление организацией.
Теория и практика / З. П. Румянцева. - Москва: Инфра-М, 2007. - 304 с.
. Савицкая, Г. В. Анализ хозяйственной деятельности /
Г. В. Савицкая. - Минск: РИГТО, 2012. - 367 с.
. Самуэльсон, П. А. Экономика: учеб. пособие / П. А.
Самуэльсон, В. Д. Нордхаус. - Москва: БИНОМ, 1997. - 55 с.
. Семенов, В. М. Экономика предприятия / В. М.
Семенов. - Санкт-Петер-бург: Питер, 2008. - 416 с.
. Сергеев, И. В. Экономика организации (предприятия):
учеб. пособие для бакалавров / И. В. Сергеев, И. И. Веретенникова - Москва:
Юрайт, 2013. - 671 с.
53. Соснин Э. А. Управление инновационными
проектами / Э. А. Соснин. - Москва: Синтег, 2013. - 208 c.
. Сурин, А. В. Инновационный менеджмент: учеб. пособие
для вузов / Сурин А. В., О. П. Молчанова. - Москва: Инфра-М, 2008.- 368с.
. Твисс. Б. Управление научно-техничесскими
нововведениями: учеб. пособие для вузов / Б. Твисс. - Москва: Экономика, 2008.
- 36с.
56. Травин В.В. Управление инновациями / В.
В. Травин. - Москва: Дело, 2013. - 103 с.
. Фролова, Т. А. Экономика предприятия: конспект
лекций / Т. А. Фролова. - Таганрог: ТТН ЮФУ, 2009. - 440 с.
. Футхутдинов, Р. А. Инновационный менеджмент: учебник
/ Р. А. Футхутдинов. - Москва: Интел-Синтез, 2000. - 548с.
. Хучек, М. Инновации на предприятиях и их внедрение /
М. Хучек. - Москва: Луч, 2009. - 143 с.
. Шавандина, И. В. Экономический анализ: учеб. пособие
/ И. В. Шавандина. - Ростов-на-Дону: Феникс, 2001. - 448 с.
61. Шмален, Г. Основы и проблемы экономики предприятия
/ Г. Шмален. - Москва: Финансы и статистика, 1996. - 510 с.
62. Шумпетер, Й. А. Теория экономического развития/ Й. А.
Шумпетер. - Санкт-Петербург: Экономическая школа, 2001. - 552 с.
. Шустов, А. А. Экономика предприятий / А. А. Шустов.
- Таганрог: ТТИ ФЮУ, 2012. - 217 с.
. Яркина, Т. В. Основы экономики предприятия / Т. В.
Яркина. - Москва: Инфра-М, 2010. - 213 с.