Анализ производительности труда и его оплаты
Анализ производительности труда и его
оплаты
СОДЕРЖАНИЕ
ВВЕДЕНИЕ
1. Теоретические основы анализа производительности труда и его оплаты
.1 Экономическая сущность повышения производительности
труда в современных условиях
.2 Цель, задачи и методика анализа производительности труда и
его оплаты
. Организационно-экономическая характеристика организации
.1 Организационная характеристика
.2 Экономическая характеристика
. Анализ производительности труда и его оплаты
.1 Анализ производительности труда
3.2 Анализ
использования фонда оплаты труда
4. Резервы повышения производительности труда и эффективности
использования фонда оплаты труда
.1 Определение мероприятий повышения производительности труда и
эффективности использования фонда оплаты труда
4.2
Экономический эффект от предложенных мероприятий
ВЫВОДЫ И
ПРЕДЛОЖЕНИЯ
СПИСОК
ИСПОЛЬЗОВАННОЙ ЛИТЕРАТУРЫ
ПРИЛОЖЕНИЯ
ВВЕДЕНИЕ
Актуальность темы исследования в данной курсовой
работе определяется тем фактом, что оплата труда, а также организация процессов,
связанных с выполнением сотрудниками компании их функций является важной
составляющей коммерческой деятельности субъекта хозяйствования в рыночной
экономике.
С производительностью труда напрямую связана
эффективность показателей деятельности коммерческого предприятия. Возможности
оптимизации затрат на оплату труда, вместе с ростом его производительности дает
возможность компании быть более конкурентоспособной в рыночных экономических
условиях.
Для того, чтобы выявить возможные резервы роста
производительности труда, руководству и собственникам хозяйствующего субъекта
необходимо проводить анализ производительности труда и его оплаты. Информация,
которая может быть получена в результате проведения подобного анализа, дает
возможность принимать более взвешенные и объективные управленческие решения,
направленные на повышение производительности труда, а также на общее повышение
эффективности деятельности коммерческого предприятия.
Исходя из всего сказанного выше, можно судить о том,
что тема, затронутая в данной курсовой работе, является весьма важной и
актуальной на текущий момент времени.
Цель работы: проведение анализа производительности
труда и его оплаты.
Задачи работы:
рассмотрение экономической сущности повышения
производительности труда в современных условиях;
описание цели, задач и методики анализа
производительности труда и его оплаты;
рассмотрение общей организационной характеристики
предприятия ООО «РосРемСтрой»;
описание экономической характеристики ООО
«РосРемСтрой»;
проведение анализа производительности труда на
предприятии;
осуществление анализа использования фонда оплаты
труда;
определение мероприятий повышения производительности
труда и эффективности использования фонда оплаты труда;
проведение расчета экономической эффективности
предложенных мероприятий.
Объектом исследования в данной курсовой работе
является коммерческое предприятие ООО «РосРемСтрой».
При исследовании использовались такие методы как сбор
и анализ информации, расчетный метод, синтез информации, метод индукции и метод
дедукции.
Источниками для написания данной курсовой работы
явились учебные пособия и научные статьи по заданной проблематике исследования.
Также для анализа были использованы данные предприятия ООО «РосРемСтрой».
Курсовая работа состоит из введения, четырех глав,
каждый из которых разделен на два подпункта, выводов и предложений, списка
использованной литературы и приложений.
1. Теоретические основы анализа производительности труда и
его оплаты
.1 Экономическая сущность повышения
производительности труда в современных условиях
Производительность труда рассматривают в качестве важнейшего показателя,
которым характеризуется эффективность использования труда. Всеми определениями,
которые могут быть даны производительности труда, выражается одна и та же суть.
Разница заключается исключительно в формулировке.
Далее рассмотрим ряд вариантов определения данного понятия.
Под производительность труда принято рассматривать эффективность, которой
обладает труд в производственном процессе. Производительность труда
определяется тем количеством времени, которое тратиться для того, чтобы
произвести единицу продукции или же тем количеством продукции, которое
производится за единицу времени.
Исходя из определения, которое содержится в энциклопедическом словаре
Ф.А. Брокгауза и И.А. Ефрона под производительностью или продуктивность труда
принято рассматривать соотношение, которое образуется между количеством
затраченного труда и тем результатом, который получается при осуществлении
труда [6]
Л.Е. Басовским производительность труда определяется в качестве
эффективности использования человеческих ресурсов, которыми обладает
организация. Производительность труда определяется количеством продукции,
которое произведено в единицу рабочего времени. Также производительность труда
могут определять затраты труда, которые относятся к единицу произведенной
продукции или выполненных работ. [5]
Предполагается, что в качестве наиболее лаконичного и удобного в
использовании можно рассмотреть следующее определение:
Производительность труда представляет собой количество продукции, которое
производит один работник в единицу времени.
В качестве важнейших социально-трудовых показателей, которые
рассматриваются на отечественных предприятиях, работающих в условиях рынка,
рассматриваются необходимость обеспечить полную занятость трудовых ресурсов и
высокую продуктивность труда, а также необходимость создать нормальные условия
для работы сотрудников и повышения уровня оплаты труда.
Достаточность обеспеченности организации необходимыми ей трудовыми
ресурсами, рациональность их использования, наличие высокого уровня
производительности труда играют важную роль в том, чтобы предприятие могло
увеличить объемы продукции и повысить свою производственную эффективность. В
частности, от того, насколько предприятие обеспечено трудовыми ресурсами и
того, насколько эффективно оно их использует, находится в прямой зависимости
своевременность и объем всех выполняемых работ. Также от указанных факторов
находится в зависимости степень эффективности использования механизмов, машин, оборудования
и, как результат этого, объем произведенной продукции, а также уровень ее
себестоимость, прибыль организации и прочие экономические показатели
деятельности.
Под персоналом организации принято понимать совокупность сотрудников,
которые принадлежат к определенным профессиям и категориям и которые заняты
единой производственной деятельностью, которая направлена на получение дохода
или прибыли, а также удовлетворения их материальных потребностей. В рыночных
условиях необходимо формирование необходимого профессионально-квалификационного
состава сотрудников для каждой организации осуществляется исходя из законов
спроса и предложения, которые имеют место быть на рынке труда.
В российских компаниях, фирмах и организациях, которые могут принадлежать
к различным формам собственности, принято разделение всех работников на две
группы:
промышленно-производственный персонал;
непромышленный персонал.
В состав группы, которой определяется промышленно-производственный
персонал включаются рабочие, инженерно-технические работники и служащие, а
также ученики на производстве. Также предусмотрено подразделение данной
категории на производственный и административно-управленческий персонал.
К непромышленному персоналу относятся те работники, которые занятые в
сфере социального обеспечения, жилищно-коммунального обслуживания, транспортном
хозяйстве и иных непроизводственных подразделениях.
Для того, чтобы обеспечить высокую трудовую отдачу персонала, которой
относится к тем или иным категориям, необходимо обеспечить нормальные условия
труда на всех рабочих местах. На уровень работоспособности человека, а также и
на результаты его труда оказывает влияние множество факторов, которые являются
взаимосвязанными. Среди этих факторов одно из первых мест принадлежит условиям
труда, а также уровню его тяжести и интенсивности, которые в конечном счете,
характеризуют затраты и результат труда. Исходя из этого, для организации
рационального использования труда, а также управления сотрудниками необходимо
предусмотреть создание в каждом трудовом процессе и на всех предприятиях, вне
зависимости от формы собственности, такие условия, которые бы способствовали
оптимизации расходов рабочей силы, которая представлена умственными,
физическими и предпринимательскими способностями работников организации.
Взаимосвязь между приращением численности работающих на предприятии
сотрудников и производительностью труда не всегда является прямой.
Первый фактор (число сотрудников) является количественным. Он отражает
уровень экстенсивности того, как используется труд. Рост числа работников
предприятия не оказывает серьезного изменения показателей, которыми
характеризуется экономичность производства, таких как себестоимость. Это
связано с тем, что привлечение дополнительных работников приводит к
возникновению у предприятия дополнительных затрат на оплату их труда.
Второй же фактор является качественным. На уровень годовой выработки
работающего оказывает влияние времени работы в течение года (что определяется
как экстенсивность труда), но в большей степени годовая выработка находится в
зависимости от «чистой» производительности труда, которая может быть
охарактеризована уровнем среднечасовой выработки, которая соответствует одному
рабочему (что можно определить как интенсивность труда). В том случае, когда
рост уровня производительности труда выше, чем рост уровня средней заработной
платы на предприятии, то данный факт показывает прямое снижение
производственной себестоимости продукции и, как следствие этого, растет
рентабельность производства.
Средняя выработка работников, которые относятся к производственному
персоналу, зависит не только от того, каков уровень средней производительности
рабочих за тот или иной период, но и каковым является показатель удельного веса
численности рабочих в структуре общей численности сотрудников предприятия. Чем
выше показатель удельного веса - тем выше уровень производительности,
рассчитываемый на всех сотрудников организации. Исходя из сказанного, для того,
чтобы оценить выполнение плана и динами уровня, которым характеризуется производительность
труда, необходимо также анализировать среднюю выработку рабочего за
определенный период.
В процессе осуществления построения динамических рядов, которыми
характеризуется производительность труда, предпочтительным является
использование показателя, который относится к среднедневной или среднечасовой
выработке одного рабочего. Это необходимо для того, чтобы устранить то влияние,
которое оказывает различная продолжительность рабочих дней, кварталов, месяцев
или лет.
Между наиболее обобщающим показателем - годовой выработкой одного
работающего и таким частным показателем, как часовая выработка одного рабочего,
лежит область воздействия ряда факторов, которые характеризуют экстенсивность
труда. К ним относятся: количество отработанных дней в году, средняя
продолжительность рабочего дня, структура производственного персонала.
Интенсивность труда и его производительную силу характеризуют количество
труда, затраченного в единицу времени, квалификация работника, прогрессивность
техники и технологии, организационный уровень производства и др. Все эти
факторы определяют часовую выработку рабочего.
Важным этапом аналитической работы на предприятии является поиск резервов
производительности труда, разработка организационно-технических мероприятий по
реализации этих резервов и непосредственное внедрение этих мероприятий. Под
резервами роста производительности труда понимаются не использованные еще
возможности экономии затрат живого и овеществленного труда.
В отечественной практике получила распространение следующая классификация
резервов повышения производительности труда.
. Повышение технического уровня производства:
механизация и автоматизация производства;
внедрение новых видов оборудования;
внедрение новых технологических процессов;
улучшение конструктивных свойств изделий;
повышение качества сырья и новых конструктивных материалов.
. Улучшение организации производства и труда:
повышение норм и зон обслуживания;
уменьшение числа рабочих, не выполняющих нормы;
упрощение структуры управления;
механизация учетных и вычислительных работ;
изменение рабочего периода;
повышение уровня специализации производства.
. Изменение внешних, природных условий:
изменение горно-геологических условий добычи угля, нефти, руд, торфа;
изменение содержания полезных веществ.
. Структурные изменения в производстве:
изменение удельных весов отдельных видов продукции;
изменение трудоемкости производственной программы;
изменение доли покупных полуфабрикатов и комплектующих изделий;
изменение удельного веса новой продукции.
Экономическая сущность роста производительности труда на уровне
предприятия проявляется в:
увеличении количества продукции, создаваемой при использовании единицы
ресурса труда;
снижении затрат труда (трудоемкости) на единицу продукции;
снижении затрат заработной платы на 1 рубль продукции;
снижении доли затрат на труд в себестоимости продукции;
повышении качества продукции;
сокращении времени производства и обращения товаров;
увеличении количества новой продукции и сокращении времени продвижения ее
на рынок;
увеличение массы и нормы прибыли.
Рост производительности обусловливает снижение издержек и получение
прибыли, необходимой для развития производства. Естественно, возрастают и
личные доходы предпринимателя. Наряду с этим рост производительности является
основой повышения реальной заработной платы и доходов работников: только при
этом условии они могут возрастать без увеличения или даже при снижении издержек
на единицу (рубль) продукции. Иначе говоря, только рост производительности
труда обеспечивает согласованность экономических интересов работодателя и
работающих по найму.
Следует отметить, что высокий уровень реальной заработной платы,
возможность обеспечить работникам дополнительные социальные льготы и выплаты из
прибыли делают предпринимателя более конкурентоспособным как покупателя на
рынке труда: он может привлечь и удержать квалифицированные кадры, произвести
их качественный отбор, заложив тем самым базу для дальнейшего развития фирмы.
От уровня и динамики производительности труда зависят развитие общества и
уровень благосостояния всех его членов. Существует такое понятие как
«эффективность труда». Оно шире, чем производительность и включает кроме
экономического ещё психологический и социальный аспекты. Психофизиологическая
эффективность труда определяется воздействием трудового процесса на организм
человека.
С этой точки зрения, эффективным может быть признан только такой труд,
который наряду с определённой производительностью обеспечивает безвредные,
благоприятные, санитарно-гигиенические условия и безопасность, возможности
всестороннего развития физических, умственных сил и способностей человека в
процессе труда. Отсюда вытекает понятие социальной эффективности труда, которое
включает требование гармоничного развития личности каждого работника, повышение
его квалификации и расширение производственного профиля, формирование
позитивного социального климата в трудовых коллективах. Если указанные
требования не соблюдаются, то неизбежно снижаются и темпы экономического роста
предприятия. Так неблагоприятные санитарно-гигиенические и вредные для здоровья
условия труда вызывают потери рабочего времени в связи с заболеваемостью,
предоставлением дополнительных отпусков, сокращение самого активного периода
трудовой деятельности. Негативные социальные взаимоотношения в трудовых коллективах
могут также существенно снизить производительность труда при прочих равных
условиях в организации.
Россия, встав на путь экономических реформ, наткнулась на большие
проблемы, которые не были предвидены ни в деталях, ни в целом. Страна оказалась
в условиях затяжного стагфиляционного заболевания, при котором долгое время
сохранялась высокая безработица, происходил спад производства, бесконечный рост
цен. Экономический кризис сочетался с инфляцией.
В результате все эти негативные процессы отрицательно повлияли на
производительность труда и его эффективность. Простои на предприятиях привели к
неплатежам, задержкам в расчётах, невыплатой в срок заработной платы.
Вследствие этого произошло отчуждение работника от средств производства, пропал
личный интерес каждого повышать эффективность труда и улучшать качественные
показатели своей работы.
Кроме того, в любом обществе существует связь и взаимосвязь между
трудоспособным населением и характером его участия в общественном производстве.
Совокупность экономических отношений, которые связаны с обеспечением рабочими
местами и участием в хозяйственной деятельности, рассматривается как занятость.
Она характеризует деятельность граждан, связанную с удовлетворением личных и
общественных потребностей в сфере труда.
В период социализма в нашей стране в общественную трудовую деятельность
была вовлечена большая часть трудоспособного населения. Переход к рыночной
экономике привёл не только к спаду производства, но и к проблемам с занятостью.
Многие предприятия в условиях рынка оказались не способны развивать свои
производства, поэтому стали сокращать численность работников. В результате
началась безработица, которая лишила человека возможности развивать свои
профессиональные способности и получать заработную плату. За годы реформ
сократилась доля занятых в промышленности, строительстве, науке и возросла доля
занятых в торговле, жилищно-коммунальном хозяйстве, здравоохранении, а также в
аппарате органов управления. В регулировании механизма занятости населения,
снижения безработицы и сглаживание её последствий, существенная роль отводится
государственным органам службы занятости всех уровней. Однако решить проблемы с
занятостью населения и повысить эффективность общественного труда возможно
только в условиях развивающегося производства, а для этого необходима чёткая
сбалансированная политика реформ, проводимая государством.
Далее, в следующем подпункте курсовой работы
рассмотрим цель, задачи и методику анализа производительности труда и его
оплаты.
.2 Цель, задачи и методика анализа
производительности труда и его оплаты
В связи с теми условиями, которыми характеризуется
современная рыночная экономика, деятельность любой организации предполагает
проведение постоянного систематического анализа и оценки того, насколько
эффективно используются ресурсы, в том числе, и насколько эффективно
осуществляется управление человеческими ресурсами.
В качестве основной цели анализа трудовых ресурсов
рассматривается поиск резервов для того, что использовать персонал и его
рабочее время более разумно, а также увеличить производительность труда и
результативности использования фонда оплаты труда.
В качестве задач, которые решает анализ использования
и состояния трудовых ресурсов, можно выделить:
необходимость изучить обеспеченность организации, а
также подразделений, входящих в ее структуру, персоналом;
проведение оценки того, как используется рабочее
время;
проведение оценки уровня и динамики, которые отражают
производительность труда, а также выявить те факторы, которые оказывают влияние
на ее изменение. Определить, как производительность труда влияет на финансовые
показатели деятельности организации;
анализ должен определить уровень того, как
используется рабочее время, а также выявить резервы для сокращения потерь
рабочего времени;
проведение анализа того, как формируется и
используется фонд оплаты труда на предприятии;
осуществление поиска резервов для того, чтобы повысить
производительность труда и стабильность развития организации на основе
кадрового потенциала, которым обладает компания.
О.А. Агеевой оценка эффективности управления
персоналом определяется в качестве систематического, четко формализованного
процесса, который направлен на то, чтобы измерить издержки и выгоды, которые
связаны с программами деятельности, направленной на осуществление управления
сотрудниками, и соотнести полученные результаты с итогами периода, который
берется в качестве базового, а также с целями предприятия и показателями
конкурентов [2].
В учебнике, автором которого является Н.В. Климова,
ведется рассмотрение перечисленных ниже ступеней анализа использования трудовых
ресурсов и их состояния:
изучение обеспеченности организации трудовыми
ресурсами. Для этого сравнивается фактическое количество сотрудников, которые
относятся к различным профессиям и категориям, с плановой численностью
персонала;
проведение анализ движения рабочей силы. В данном
случае осуществляется расчет и оценка коэффициента оборота по приему рабочих,
коэффициента, которым отражается оборот по выбытию, коэффициента, который
раскрывает информацию, связанную с текучестью, коэффициента, отражающего
постоянство состава персонала предприятия, коэффициента общего оборота;
проведения анализа того, какой имеет место быть
уровень использования фонда рабочего времени. Для этого осуществляется расчет
коэффициента, которым отражаются потери рабочего времени, а также использование
возможного годового фонда рабочего времени;
проведение оценки уровня производительности труда. С
этой целью организуется проведение сравнительного анализа, который включает в
себя расчет темпов роста и прироста производительности и трудоемкости
производства продукции, которые могут быть среднегодовые, среднечасовые,
дневные, сменные;
проведение анализа того, как на предприятии
используется фонд заработной платы [10].
Л.Г. Скамей также как и предыдущий автор выделяет
похожие этапы, которые включает в себя анализ использования трудовых ресурсов
организации:
проведение анализа того, насколько предприятие
обеспечено трудовыми ресурсами. В данном случае изучаются показали
обеспеченности рабочих место персоналом, который обладает необходимой
квалификацией, показатели, относящиеся к использованию рабочего времени,
интенсивности рабочего времен, показатели, которые рассматривают порядок
образования и степень эффективности использования фонда оплаты труда;
мероприятия, связанные с анализом и определением
показателей, отражающих движение персонала. В данном случае рассчитываются
системы показателей, которыми отражается интенсивность движения кадров на
предприятии: коэффициента замещения, коэффициента сменяемости, коэффициента
устойчивости;
проведение анализа, направленного на изучение того,
как используется рабочее время. В данном случае рассчитывается календарный,
номинальный и полезный фоны времени;
проведение анализа, рассматривающего производительность
труда. В данном случае определяется выработка и трудоемкость;
осуществление анализа того, как влияет использование
трудовых ресурсов на динамику выпуска продукции организации. В данном случае
выявляются доли, которые соответствуют приросту продукции за счет увеличения
численности работающих сотрудников и производительности труда;
проведение анализа того, как образуется и используется
фонд заработной платы и социальных выплат. В данном случае осуществляется
определение абсолютного и относительного изменения, которые относятся к
фактическому фонду оплаты труда и выплат социального характера по отношению к
плановой или базовой величине [16].
Г.В. Савицкой и Н.В. Парушиной рассматриваются
следующие виды анализа, которые необходимо провести для изучения трудовых
ресурсов организации:
проведение анализа того, насколько предприятие
обеспечено трудовыми ресурсами. Данный анализ предполагает расчет коэффициента
оборота, который относится к приему персонала, коэффициента оборота, которыми
отражается выбытие сотрудников, коэффициента замещения, коэффициента,
отражающего кадровую текучесть, коэффициента, отображающего кадровую
стабильность;
проведение анализа, который направлен на изучение
того, как используется фонд рабочего времени. Данный анализ осуществляется за
счет того, что проводится определение количество дней и часов, которые
отработаны одним работником за период времени, который анализируется, а также
за счет изучения показателей того, как на предприятии используется фонд
рабочего времени;
проведение анализа производительности труда. В данном
случае предполагается проведение расчета обобщающих показателей, который
представлены среднегодовой, среднедневной, среднечасовой выработкой продукции,
а также расчета частных показателей (например показателя трудоемкости
продукции) и вспомогательных показателей;
проведение анализа того, насколько эффективно
используется персонал организации. В данном случае рассчитывается показатель,
отражающий рентабельность персонала;
проведение анализа того, как используется фонд
заработной платы. В данном случае определяются абсолютные и относительные
отклонения, которые относятся к фонду оплаты труда, среднему заработку
сотрудника. Также устанавливается связь между темпами роста, которые относятся
к среднему заработку и производительность труда [15].
Таким образом, в результате анализа существующих
методов, могут быть выделены следующие этапы анализа состояния и использования
трудовых ресурсов, которые могут рассматриваться в качестве основных:
анализ, направленный на то, чтобы определить
обеспеченность организации трудовыми ресурсами и на изучение вопросов,
связанных с движением кадров;
анализ, направленный на изучение того, как
используется рабочее время;
анализ производительности труда;
проведение оценки фонда заработной платы.
Оценка обеспеченности организации персоналом
предусматривает следующие основные этапы:
изучение штатного расписания за ряд лет, сопоставление
плановых показателей численности работников и фактических;
проверка административно-управленческого персонала на
соответствие фактического уровня образования сотрудника занимаемой должности;
обнаружение недостатка или излишка работников по
должностям; - изучение отклонений в составе работников;
изучение движения рабочей силы организации;
решение вопросов, связанных с подбором кадров, их
подготовкой и повышением квалификации; - анализ источников пополнения рабочей
силы.
Особое внимание необходимо уделить оценке численности
работников и структурным сдвигам в составе кадрового потенциала в разрезе видов
деятельности. Данный анализ позволяет оценить полноту и степень обеспеченности
разных сфер деятельности трудовыми ресурсами, перспективы возможного
планирования расходов на оплату труда, фактическое значение показателя
эффективности использования кадров по видам деятельности.
В ходе анализа движения рабочей силы и ее эффективного
распределения предусмотрен расчет абсолютных, относительных и средних
показателей, которые обычно используются в экономическом анализе [14].
К абсолютным показателям движения рабочей силы
относят:
численность работников на начало периода;
численность работников на конец периода;
число принятых работников;
число выбывших работников;
списочное, явочное число и число фактически работающих
сотрудников.
Списочный состав содержит всех принятых на постоянную
работу от одного и более дней сотрудников. Он отражает наличие работников на
определенный момент времени, включая принятых и за вычетом уволенных
сотрудников. С позиции системного анализа эффективности использования кадрового
потенциала особое значение необходимо уделять расчету относительных показателей
рабочей силы.
Согласно В.А. Береславской, к средним показателям
движения рабочей силы относят среднее списочное, среднее явочное и среднее
число фактически работающих за определенный период времени [19].
Согласно Н.А. Лытневой, источниками информации для
расчета относительных коэффициентов являются форма статистической отчетности
«Сведения о численности, заработной плате и движении работников» (форма №П-4),
сведения управленческого учета и внутренней отчетности [11].
Анализ трудовых ресурсов организации содержит в себе
анализ использования рабочего времени. Полноту применения трудовых ресурсов
можно проанализировать на основании величины отработанных дней и часов за
анализируемый временной период, а также по степени использования рабочего
времени. Данная оценка осуществляется как по каждой категории работников, так и
по организации в целом.
Согласно И.Г. Кондратовой, рабочее время - это время,
в течение которого сотрудник выполняет назначенную ему работу. Представленные в
экономических справочниках методы анализа эффективности использования рабочего
времени базируются на расчете календарного, табельного и максимально возможного
фондов рабочего времени [22].
Фонд рабочего времени служит показателем рабочего времени
за определенный анализируемый период и измеряется в человеко-днях или
человеко-часах. Величина данного показателя находится в прямой зависимости от
числа рабочих, продолжительности рабочего периода в днях и длительности
рабочего дня. Основанием для анализа служат: баланс рабочего времени одного
рабочего, данные отдела кадров о численности персонала, фотографии рабочего
дня, хронометражные наблюдения, статистическая отчетность.
Номинальный фонд рабочего времени рассчитывается путем
вычитания из календарного фонда рабочего времени праздничных и выходных дней за
анализируемый период. Полезный фонд рабочего времени определяется как разница
номинального фонда времени и числа неявок (невыходов) на работу в днях за
анализируемый период.
Исходя из вышеперечисленных абсолютных показателей
рассчитываются относительные показатели, которые характеризуют степень
использования того или иного фонда рабочего времени.
Производительность труда - это результативность труда
или способность человека производить продукцию (оказывать услуги) за единицу
рабочего времени. То есть основой для определения производительности труда
является:
выработка - количество продукции (услуг), которую
производит рабочий за единицу времени;
трудоемкость - количество затраченного времени на изготовление
единицы продукции.
Чем выше производительность труда, тем, при прочих
равных условиях, с меньшей численностью и количеством рабочего времени можно
достичь тех же результатов. В анализе производительности труда можно выделить
три основных шага:
) расчет показателей производительности труда, их
динамики;
) расчет влияния различных факторов на изменение
производительности труда;
) выявление резервов роста производительности труда.
Факторный анализ среднегодовой выработки осуществляют
способом цепных подстановок или абсолютных разниц. Среднегодовую выработку
продукции одним рабочим можно представить следующим образом:

(1.1)
где ГВ - среднегодовая выработка;
УД - удельный вес отдельной категории работников в
общей численности;
Д - число отработанных дней работником;
П - продолжительность рабочего дня;
ЧВ - среднечасовая выработка.
Условия для возрастания размера оплаты труда
формируются за счет роста производительности труда. Однако только при условии,
когда темпы роста производительности труда оказываются выше темпов роста его
оплаты можно считать, что средства на оплату труда используются эффективно.
Как пишет Н.П. Любушин, все издержки на оплату труда,
а именно заработная плата в натуральной и денежных формах, выплаты социального
характера, доплаты стимулирующего характера, издержки, уплачиваемые
организацией во внебюджетные фонды, формируют фонд оплаты труда [12].
Анализ образования и использования фонда оплаты труда
включает в себя следующие основные направления:
анализ образования общих затрат на оплату труда и
социальных выплат по категориям работающих;
анализ использования фонда оплаты труда и социальных
выплат по основным направлениям их расходования.
Данный анализ представляет собой поиск абсолютного и
относительного отклонения фактического фонда оплаты труда и социальных выплат
от установленных плановыми величинами. При проведении относительного анализа
принимается во внимание ступень выполнения плана по объему производства, на
величину которого изменяется плановая величина фонда оплаты труда. Расчет
отклонений производится по категориям работников, производственным
подразделениям и организации в целом. Это предоставляет возможность определить
источники беспочвенных различий в заработках рабочих, занятых на разных по
важности и условиям труда участках производства.
Фонд заработной платы по категориям работников можно
представить в виде произведения следующих факторов (мультипликативная модель):

(1.2)
где КР - среднегодовая численность работников;
ГЗП - средний уровень заработка одного работника за
год.
Далее, в следующей главе курсовой работы рассмотрим
организационно-экономическую характеристику организации ООО «РосРемСтрой».
2. Организационно-экономическая
характеристика организации
.1 Организационная характеристика
Рассматриваемое в рамках данной курсовой работы предприятие, которое
носит название ООО «РосРемСтрой» специализируется на то, что осуществляет
ремонтно-строительные работы на различных производственных объектах, а также в
собственном производственном цехе.
Компания входит в состав холдинговой структуры,
обеспечивающей производство всех видов работ по ремонту помещений. В настоящее
время компания состоит из подразделений по производству работ по капитальному
ремонту административных помещений, квартир, проведению текущего,
косметического ремонта помещений, металлопластиковых конструкций, жестяных,
кованых изделий. За время работы организации спектр оказываемых услуг расширен
до полного объема возможных ремонтных работ «под ключ» для клиентов с разным
уровнем бюджета. Компания имеет укомплектованный штат собственных сотрудников
всех строительных специальностей, а также творческий коллектив дизайнеров и
архитекторов. Работы по проектированию, строительству, ремонту выполняются
квалифицированными специалистами, опыт которых подкреплен знанием
нормативно-технической базы, строительных норм и правил, стандартов, требований
законодательства.
Сотрудниками компании проводятся регулярные
исследования рынка строительных материалов, сопутствующих работ и услуг, что
позволяет каждому клиенту создать индивидуальный стиль помещения с требуемым
уровнем качества и стоимости работ. Налаженная система снабжения, основанная на
собственном парке автотранспорта, позволяет четко придерживаться заявленных
сроков работ. При работе с клиентами действует гибкая система скидок, различные
формы оплаты.
Компания имеет большой опыт работы с государственными
заказчиками Ростовской области, такими как Арбитражный суд Ростовской области,
ГУ РРО ФСС РФ, Кадетская школа-интернат «Донской Императора Александра III
казачий кадетский корпус», МУ "Управление жилищно-коммунального хозяйства
Администрации г. Батайска", ГОУЗ «Дом ребенка №2», УФМС по Ростовской
области и др., а также с крупными коммерческими структурами Ростовской области,
Москвы - ОАО «РЖД», ОАО ММЭС «Ростелеком», «Вымпелком регион» (Билайн), ООО
"Биотэк", ЗАО "ПтицепромИнжениринг", ЗАО "Газэнергопромбанк",
ООО "ДОНВЕСТ", ООО "Паркет-Холл-Ростов", ООО ИПП
«Южтехмонтаж», филиал ОАО «МРСК Юга» - «Ростовэнерго», филиал ОСАО «Ингосстрах»
в г. Ростове-на-Дону и др.
На рисунке 2.1 представлена производственная структура
организации.
Рисунок 2.1 - Производственная структура ООО «РосРемСтрой»
Исходя из представленной на рисунке 2.1 производственной структуры, можно
сделать вывод о том, что деятельность компании разделяется на основное и
вспомогательное производство.
Основное производство представлено строительной и ремонтной бригадой,
сотрудники, которых выполняют возложенные на них обязательства исходя из
основного вида деятельности организации, который заключается в осуществлении
ремонтно-строительных работ.
Вспомогательное производство на предприятии включает в себя:
складское хозяйство;
транспортную службу;
ремонтное хозяйство.
Службы, относящиеся к вспомогательному производству, осуществляют
деятельность, направленную на обеспечение и поддержание бесперебойной и
эффективной работы компании.
Далее, рассмотрим организационную структуру ООО «РосРемСтрой», которая
представлена на рисунке 2.2
Рисунок 2.2 - Организационная структура управления ООО «РосРемСтрой»
Исходя из структуры, которая представлена на рисунке
2.2 можно сделать вывод о том, что руководство компанией осуществляет директор
предприятия.
В его непосредственное подчинение входят главный
бухгалтер, коммерческий директор и начальник производства.
Главкому бухгалтеру подчиняется заместитель главного
бухгалтера.
В обязанности заместителя главного бухгалтера входит
осуществление руководства бухгалтерами компании.
В подчинении начальника производства находятся
бригадир ремонтной бригады и бригадир строительной бригады.
Бригадиром ремонтной бригады и бригадиром строительной
бригады осуществляется руководство непосредственно бригадами рабочих.
Далее проведем рассмотрение экономической
характеристики предприятия.
2.2 Экономическая характеристика
Для того, чтобы провести рассмотрение экономической характеристики
организации - проведем анализ основных показателей деятельности ООО
«РосРемСтрой» за 2013-2015 годы.
Анализ основных экономических показателей деятельности компании за три
года представим в таблице 2.1
Таблица 2.1
Анализ
основных экономических показателей ООО «РосРемСтрой»
|
№
|
Показатель
|
2013 г.
|
2014 г.
|
2015 г
|
Абс. откл. 2015 г. от 2013
г.
|
Относ. откл. 2015г. от 2013
г.
|
Абс. откл 2015 г. от 2014
г.
|
Относ. откл. 2015 г. от
2014 г.
|
|
|
|
|
|
|
|
|
|
|
1
|
2
|
3
|
4
|
5
|
6
|
7
|
8
|
9
|
|
1
|
Объем реализации продукции
и услуг, тыс. руб.
|
72800
|
80000
|
74700
|
1900
|
102,6
|
-5300
|
93,0
|
|
2
|
Численность персонала, чел.
|
55
|
60
|
61
|
6
|
110,9
|
1
|
101,7
|
|
3
|
Численность рабочих чел.
|
50
|
55
|
56
|
6
|
112,0
|
1
|
101,8
|
|
4
|
Фонд оплаты труда всех
работающих на предприятии, тыс. руб.
|
12870
|
18240
|
20008
|
7138
|
155,46
|
1768
|
109,69
|
|
5
|
Фонд оплаты труда рабочих,
тыс. руб.
|
10200
|
12210
|
14448
|
4248
|
141,65
|
2238
|
118,33
|
|
6
|
Взносы на социальное
страхование, тыс. руб.
|
3384
|
4798
|
5262
|
1878
|
155,5
|
464
|
109,67
|
|
7
|
Прочие расходы, тыс. руб.
|
28800
|
32400
|
27000
|
-1800
|
93,75
|
-5400
|
83,33
|
|
8
|
Прибыль от продаж, тыс.
руб.
|
27746
|
24562
|
22430
|
-5316
|
80,84
|
-2132
|
91,32
|
|
9
|
Рентабельность продаж %.
|
38,12
|
30,70
|
30,03
|
-8,09
|
78,78
|
-0,67
|
97,82
|
Исходя из данных, представленных в таблице 2.1 можно сделать следующие
выводы и анализа экономической деятельности предприятия.
Объем реализации продукции, работ и услуг в 2015 году составил 74700 тыс.
руб. Данный показатель превышает данные за 2013 в абсолютном выражении на 1900
тыс.руб. Относительное изменение объема реализации 2015 году по сравнению с
2013 годом составила 102,6%. По сравнению с 2014 годом, выручка организации
сократилась на 5300 тыс. руб. В относительном выражении данное сокращение
составило 93%.
Общая численность персонала предприятия в 2015 году по сравнению в 2013
годом выросла на 6 человек. Таким образом, в 2016 году на предприятии числился
61 человек. Относительный рост численности сотрудников в 2015 году по отношению
к 2013 году составил 110,9%. По сравнению с 2014 годом численность сотрудников
на предприятии в 2015 году выросла на 1 человека, что в относительном выражении
составляется 101,7%.
Численность непосредственно рабочих в 2015 году составила 56 человек, что
на 6 человек больше, чем в 2013 и на 1 человека больше, чем в 2014. В
относительном выражении рост числа рабочих на предприятии составил 112,0% и
101,8% соответственно.
Фонд оплаты труда на предприятии в 2015 году по сравнению с 2013 годом
вырос на 7138 тыс. руб. и составил 20008 тыс. руб. В относительном выражении
рост фонда оплаты труда в 2015 году по сравнению с 2013 годом составил 155,46%.
Рост фонда оплаты труда в 2015 в сравнении с 2014 годом составил 1768 тыс. руб.
В относительном выражении рост данного показателя составил 109,69%.
Фонд оплаты труда непосредственно рабочих в 2015 году вырос в сравнении с
2013 годом на 4248 тыс. руб. и составил 14448 тыс. руб. В относительном
выражении изменения в 2015 году по сравнению с 2013 годом составляют 141,65%.
По сравнению с 2014 годом, фонд оплаты труда рабочих на предприятии в 2015 году
вырос на 2238 тыс. руб. В относительном выражении, рост данного показателя
составил 118,33%.
Расходы предприятия на взносы по социальному страхованию выросли в 2015
году по сравнению с аналогичным показателем 2013-го года на 1878 тыс. руб. и
составили 5262 тыс. руб. В относительном выражении изменение расходов предприятия
по взносам на социальное страхование составило 155,5%. По сравнению с 2014
годом, в 2015 году расходы предприятия по социальному страхованию выросли на
464 тыс. руб. в абсолютном выражении или на 109,67% в относительном выражении.
Прочие расходы организации в 2015 году по сравнению с 2013 годом
снизились в абсолютном выражении на 1800 тыс. руб. и составили 27000 тыс. руб.
В относительном выражении изменение данного показателя составило 93,75%. По
сравнению с 2014 годом, прочие расходы организации в 2015 году сократились на
5400 тыс. руб. в абсолютном выражении или на 83,33% в относительном выражении.
Прибыль от продаж в 2015 году сократилась по сравнению с 2013 годом на
5316 тыс. руб. и составила 22430 тыс. руб. В относительном выражении изменение данного
показателя в 2015 году по сравнению с 2013 годом составило 80,84%. При
сравнении с 2014 годом, показатели прибыли предприятия в 2015 году сократились
на 2132 тыс. руб. в абсолютном выражении или на 91,32% в относительном
выражении.
Рентабельность продаж организации в 2015 году по сравнению с 2013 годом
сократилась на 8,09% в абсолютном выражении и составила 30,03%. В относительном
выражении показатель рентабельности продаж снизился в 2015 году по сравнению с
2013 годом на 78,78%. По сравнению с 2014 годом снижение рентабельности в 2015
году составило -0,67%. В относительном выражении снижение данного показателя
составило 97,82%.
В целом, исходя из результатов экономического анализа деятельности
предприятия ООО «РосРемСтрой» за 2013-2015 годы можно сказать, что объем
реализации в компании растет, тем не менее по отношению данного показателя в
2015 году к 2014 наблюдается спад.
На предприятии растет численность персонала из года в год. Также
повышается размер фонда оплаты труда.
Прибыль предприятия, а также его рентабельность из года в год
сокращается, но, тем не менее, деятельность организации остается прибыльной и
рентабельной.
Далее, в следующей главе курсовой работы проведем анализ
производительности труда и его оплаты.
экономический производительность оплата труд
3. Анализ производительности труда и
его оплаты
.1 Анализ производительности труда
Далее, в рамках данного подпункта курсовой работы проведем анализ
производительности труда на рассматриваемом предприятии ООО «РосРемСтрой».
Для анализа производительности труда, рассмотрим показатели,
представленные в таблице 3.1
Таблица 3.1
Анализ
производительности труда
|
№
|
Показатель
|
2013 г.
|
2014 г.
|
2015 г.
|
Абс. откл. 2015 г. от 2013
г.
|
Относ. откл. 2015 г. от
2013 г.
|
Абс. откл 2015 г. от 2014
г.
|
Относ. откл. 2015 г. от
2014 г.
|
|
1
|
2
|
3
|
4
|
5
|
6
|
7
|
9
|
|
1
|
Объем реализации продукции
и услуг, тыс. руб.
|
72800
|
80000
|
74700
|
1900
|
102,6
|
-5300
|
93,0
|
|
2
|
Численность персонала, чел.
|
55
|
60
|
61
|
6
|
110,9
|
1
|
101,7
|
|
3
|
Численность рабочих чел.
|
50
|
55
|
56
|
6
|
112,0
|
1
|
101,8
|
|
4
|
Общее число отработанных
рабочими за год человеко-дней, тыс. руб.
|
11,5
|
12,65
|
12,88
|
1,38
|
112,0
|
0,23
|
101,8
|
|
5
|
Общее число отработанных
рабочими за год человеко-часов, тыс.
|
92,0
|
101,2
|
103,04
|
11,04
|
112,0
|
1,84
|
101,8
|
|
6
|
Среднегодовая выработка
одного работника, тыс.руб.
|
1324
|
1334
|
1226
|
-98
|
91,8
|
-108
|
92,5
|
|
7
|
Среднегодовая выработка
одного рабочего, тыс.руб.
|
1456
|
1456
|
1334
|
-122
|
91,6
|
-122
|
91,6
|
|
8
|
Удельный вес рабочих в
численности работников, %
|
90,9
|
91,7
|
91,8
|
0,9
|
100,9
|
0,1
|
100,1
|
|
9
|
Среднее число дней,
отработанных одним рабочим за год
|
230
|
230
|
230
|
-
|
100,0
|
-
|
100,0
|
|
10
|
Средняя продолжительность
рабочего дня, ч
|
8
|
8
|
8
|
-
|
100,0
|
-
|
100,0
|
|
11
|
Среднедневная выработка
одного рабочего, тыс. руб.
|
6,32
|
6,32
|
5,8
|
-0,52
|
91,6
|
-0,52
|
91,6
|
|
12
|
Среднечасовая выработка,
тыс.руб.
|
0,79
|
0,79
|
0,726
|
-0,064
|
91,7
|
-0,064
|
91,7
|
|
|
|
|
|
|
|
|
|
|
Исходя из данных, которые представлены в таблице 3.1, снижение
производительности труда в 2015 году по отношению к 2014 году составила 8,4%.
Также и в отношение к 2013 году данные показатель снизился на аналогичную
величину - 8,4%. Снижение производительности труда на предприятии связана с
тем, что снизилась среднечасовая выработка в 2015 году как к 2014 году, так и к
2013 году. Снижение показателя среднечасовой выработки составило 8,3%.
Указанный факт можно связать с общим снижением экономики в Российской
Федерации, связанным с внешними факторами, в связи с которыми, спрос на
ремонтно-строительные работы снизился.
Что касается структуры персонала организации в 2015 году, то здесь можно
наблюдать изменения прогрессивного характера. Так наблюдается увеличение
удельного веса рабочих в общей численности персонала предприятия в 2015 году на
0,1% по сравнению с 2014 годом и на 0,9% по сравнению с 2013 годом. В 2015 году
показатель, который характеризует среднее число человеко-дней, отработанных
одним рабочем, остался равен аналогичному показателю в 2013-2014 года и
составил 230. Средняя продолжительность рабочего для в 2015 году также не
изменилась по сравнению с периодом 2013-2014 годов и составила 8 часов.
Исходя из анализа, можно сделать вывод о том, что предприятию ООО
«РосРемСтрой» не удалось использовать те возможности по повышению
производительности труда, которые у него имелись. Этот факт можно связать в
воздействием общего снижение экономики в Российской Федерации, который имеет место
быть в последние году.
Наглядно годовая производительность труда на предприятии представлена в
Приложении 1.
Производительность труда в 2015 году снизилась по отношению к 2014 году в
связи с тем, что снизилась среднечасовая выработка одного рабочего. По
сравнению с 2014 годом снижение данного показателя в 2015 году составила 8,3%.
Наряду с этим, в 2015 году, в сравнении с 2013 годом можно увидеть
наличие положительных изменений в структуре персонала. Так увеличение удельного
веса рабочих в общей численности сотрудников организации составило 0,9%.
Среднее число дней, которые были отработаны одним рабочим, в 2015 осталось не
измены по сравнению с предыдущим годом.
Тот факт, что среднечасовая выработка в 2015 году снизилась на 0,064 тыс.
руб. стало причиной снижения показателя среднегодовой выработки на 122 тыс.
руб. в сравнении с показателями 2013-2014 годов.
Также можно отметить, что увеличение числа рабочих в 2015 году по
сравнению с 2013 годом, которое составило 112%, выше увеличения численности
персонала, которое было равно 110,9%. Данный факт возможен только в том случае,
если увеличивается удельный вес рабочих в общей численности сотрудников
организации. Рост численности рабочих составил 12%, в то же время, число
отработанных ими человек-дней также выросло на 12%, что говорит о том, что
среднее число дней, которые были отработаны одним рабочим, не менялось, из чего
следует что использование внутрисменного фонда рабочего времени в 2015 году
было таким же, как и в предыдущем году. Также в 2015 году не наблюдается роста
потерь рабочего времени и сокращения протяженности рабочего дня.
Рассматривая изменения среднечасовой выработки, необходимо обратить
внимание на соотношение между темпами роста объема реализации и количества
человеко-часов. Объем реализации работ и услуг на предприятии вырос в 2015 году
на 2,6% по отношению к 2013 год, рост числа отработанных человеко-часов
составил 12%. Что касается сравнения данных показателей 2015 года с
аналогичными показателями 2014 года, то здесь мы можем видеть сокращение
объемов реализации на 7%, несмотря на рост общего числа человеко-часов на 1,8%.
Такие данные указывают на то, что в 2015 году, по сравнению с предыдущими
годами, произошло снижение среднечасовой выработки.
Далее, в следующем подпункте, проведем анализ использования фонда оплаты
труда.
.2 Анализ использования фонда оплаты
труда
Для анализа использования фонда оплаты труда, проведем анализ соотношения
производительности труда и средней заработной платы в организации. Рассмотрим
таблицу 3.2, в которой отражены данные, связанные с анализом соотношения
производительности труда и средней заработной платы.
Таблица 3.2
Анализ соотношения производительности труда и средней заработной платы
|
Показатель
|
2013 г.
|
2014г.
|
2015г.
|
Темп роста, %
|
|
|
|
|
2015г. к 2013 г.
|
2015 г. к 2014г.
|
|
Выработка одного работника,
тыс. руб.
|
1324
|
1334
|
1224
|
92,5
|
91,8
|
|
Выработка одного рабочего,
тыс. руб.
|
1456
|
1456
|
1334
|
91,6
|
91,6
|
|
Среднегодовая заработная
плата одного работника, тыс. руб.
|
234
|
304
|
328
|
140,2
|
107,9
|
|
Среднегодовая заработная плата
одного рабочего, тыс. руб.
|
204
|
222
|
258
|
126,5
|
116,2
|
Исходя из данных, которые представлены в таблице 2.3, можно сказать
средняя заработная плата растет быстрее, чем производительность труда.
Коэффициент, которым характеризуется соотношение производительности труда и
средней заработной платы в целом для предприятия равен 1,18. Для рабочих,
исходя из данных за 2015 год значение данного показателя составляет 1,27.
Исходя из этого можно сказать, что организация не выполняет те
требования, которые связаны с расширением производственно деятельности,
согласно которыми производительность труда должна расти быстрее, чем заработная
плата сотрудников.
Графически такая ситуация представлена в Приложении 2.
Далее, в следующей главе курсовой работы, рассмотрим определим резервы
повышения производительности труда и эффективности использования фонда
заработной платы.
4. Резервы повышения
производительности труда и эффективности использования фонда оплаты труда
.1 Определение мероприятий повышения
производительности труда и эффективности использования фонда оплаты труда
Наличие высокой производительности труда представляется в качестве одного
из определяющих факторов, который влияет на конкурентоспособность организации,
а, следовательно, и на его успешность.
В качестве главных направлений, направленных на решение задач, связанных
с повышение производительности труда, которые выделяет Э.А. Маркарьян, являются
[13]:
осуществление интенсификации производственных процессов;
проведение технического переоснащения предприятия;
внедрение на предприятии более совершенной техники;
осуществление коренного повышения качества продукции;
проведение мероприятий, связанных с улучшением организации труда и
производственных процессов;
проведение мероприятий, направленных на повышение производственной
культуры и усиление роли «человеческого фактора».
Те факторы, которые были перечислены, не являются равноценными как по
результатам роста производительности труда, так по затратам, которые необходимы
для их осуществления. Многократно повысить производительность труда возможно
благодаря более полному использованию результатов научно технического
прогресса. Однако, это, как правил, требуют значительных вложений денежных
средств, что не всегда является посильным для предприятия.
В рамках рассмотрения деятельности ООО «РосРемСтрой» можно выделить
следующие резервы повышения производительности труда:
замена устаревшего оборудования более новым и современным;
проведение мероприятий, направленных на повышение квалификации работников
предприятия.
Для того, чтобы снизить трудоемкость изделий из пиломатериалов,
необходимо заменить используемые в настоящее время в столярном цехе организации
универсальные столярные станки КД118 (в количестве двух единиц) на
универсальные станки КД250. Универсальные станки КД118 представляют собой
станки общего назначения, которые выполняют большое число операций, связанных с
деревообработкой. Станки КД250 предназначены для выполнения того же спектра
операций, но являются более скоростными, чем станки марки КД118.
В таблице 4.1 проведем рассмотрение технических характеристик, которые
соответствуют действующим на предприятии станкам, а также тем, которые
предполагается внедрить в производственный процесс.
Таблица 4.1
Техническая
характеристика станков
|
№
|
Показатель
|
Класс станка
|
|
|
КД 118
|
КД 250
|
|
1
|
Частота вращения главного
вала, об /мин
|
3500
|
5500
|
|
2
|
Мощность электродвигателя,
кВт
|
0,27
|
0,4
|
|
3
|
Частота вращения вала,
об/мин
|
1400
|
2800
|
Достижение высокой скорости обработки изделий на станках КД250
осуществляет благодаря тому, что у них больше частота вращения вала
электродвигателя. Данный показатель превышает значение аналогичного показателя,
который соответствует станку КД118 в два раза. Частота вращения главного вала в
новой модели станков больше чем значение аналогичного показателя станка КД118
на 57%. Благодаря высокоскоростному режиму обработки на станке КД250 имеется
возможность для снижения времени, которое необходимо для изготовления изделий:

(4.1)
где
N - годовой объем выпуска в натуральном выражении;
t шт. 1, tшт 2
- средняя норма времени на изготовление единицы продукции, (час).
Также,
помимо технического перевооружения, предполагается повысить эффективность труда
за счет повышение квалификации рабочих. На текущий момент, значения
фактического среднего разряда работ, которые осуществляются на предприятии
соответствует 4,1. Средний же разряд рабочих в организации равен 3,9.
Соответствие
разрядов рабочих разрядам выполняемых ими работ представлено в таблице 4.2
Таблица 4.2
Соответствие разрядов рабочих разрядам выполняемых работ
|
Профессия
|
Количество рабочих
|
Средний разряд работ
|
Средний разряд рабочих
|
|
Плотники
|
11
|
5
|
4,8
|
|
Штукатур
|
12
|
4
|
4,2
|
|
Маляр
|
10
|
4
|
3,6
|
|
Каменщик
|
23
|
4
|
3,6
|
|
ИТОГО
|
56
|
4,1
|
3,9
|
Повышение квалификации рабочих, а также внедрение нового оборудования
должны привести как повышению выработки, что будет отражать повышение роста
производительности труда, а также к сокращению числа сотрудников, что даст
возможность снизить величину фонда оплаты труда и тем самым, использовать его
более эффективно.
Далее, проведем расчет экономического эффекта от предложенных
мероприятий.
4.2 Экономический эффект от
предложенных мероприятий
Исходя из данных компании ООО «РосРемСтрой» средняя норма времени,
которая необходима для того, чтобы изготовить изделия из пиломатериалов (пример
дверные блоки, рамы) при использовании возможностей станка КД 118 составляет
13,4 часа.
Рассмотрим расчет времени на изготовление оконного блока при действующем
оборудовании, а также оборудовании, которое планируется к внедрению, который
представлен в таблице 4.3.
Таблица 4.3
Затраты времени на изготовление оконного блока (действующие и
проектируемые)
|
Марка оборудования
|
Затраты времени,час
|
|
Тм
|
Тсм
|
Ту
|
Тр б/и
|
Три
|
Тобщ
|
|
КД 118
|
2,53
|
0,34
|
3,21
|
4,18
|
3,12
|
13,4
|
|
КД 250
|
2,39
|
0,24
|
3,14
|
3,34
|
2,69
|
11,8
|
Проведем расчет эффективности внедрения мероприятий.
Рассчитаем снижение трудоемкости операций:
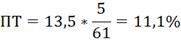
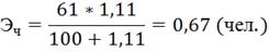
Рассчитаем прирост производительности труда, который
будет достигнут за счет снижения трудоемкости:
Таким образом, можно сказать, что за счет использования нового
оборудования, возможно снижение трудоемкости изготовления продукции на 11,8%. В
таком случае трудоемкость составит 11,8 час.
Рассчитаем прирост производительности труда по предприятию в целом,
исходя из того, что число работников, которые состоят в бригаде плотников,
которые эксплуатируют рассматриваемые станки составляет 5 человек, а число
работающих в целом - 61 человек:
Для расчета относительной экономии численности по организации используем
формулу:

(4.2)
где
Эч - относительная экономия численности;
Чисх
- исходное число работников;
ПТ
- прирост производительности.
В
таком случае, экономия заработной платы будет составлять:
Экономия
по социальным взносам составит:

.
Условно-годовая
экономия в этом случае составит:
Годовой
экономический эффект рассчитаем исходя из формулы:

(4.3)
где
Э - годовой экономический эффект;
Эг
- условно-годовая экономия;
З
- затраты на покупку одной единицы оборудования (составляет 78000 рублей);
Ен
- нормативный коэффициент окупаемости (составляет 0,33).
Таким
образом, годовой экономический эффект составит:
Эксплуатационный
срок оборудования, которое заменяется КД 199 составляет 4,5 года, нормативный
срок его эксплуатации равен 8 годам, т.е станок возможно реализовать по
остаточной стоимости, которая составляет 11,36 тыс. руб.
Исходя
из этого, величину годового экономического эффекта можно будет скорректировать
следующим образом:
Далее
провеем расчет показателей, которые характеризуют экономический эффект от
внедрения мероприятий, связанных с повышение квалификации работников.
Рассчитаем
фактический уровень использования квалификации рабочих, который имеет место
быть до внедрения мероприятий:

(4.4)
где
К1 - фактический уровень использования квалификации рабочих;
Ррф
- фактический средний разряд работ;
Рф
- средний разряд рабочих.
Таким
образом, получаем:
Число
рабочих, которым следует повысить квалификацию на один разряд рассчитаем по
формуле:

(4.5)
где
Ч - число рабочих, которым следует повысить квалификацию на один разряд;
Ррф
- фактический средний разряд работ;
Рф
- средний разряд рабочих.
Чисх.
раб - число рабочих, имеющих разряд.
Исходя
из формулы находим:
Повышение
уровня выполнения норм выработки рабочими рассчитаем исходя из формулы:

(4.6)
где
Рнв - повышение уровня выполнения норм выработки рабочими;
Нвп
- проектируемый процент выполнения норм (100 %);
Нвф
- средний процент выполнения норм выработки фактический (96 %).
Таким
образом, получаем:
Далее
определяем прирост производительности труда в целом по предприятию:
Рассчитаем
относительную экономию численности по предприятию:
Экономия
заработной платы в этом случае составит:
Экономия
по социальным взносам:

.
Условно-годовая
экономия, исходя из того факта, что на обучение и повышение квалификации
рабочих планируется потратить 496 тыс. руб. составит:
Таким
образом, в результате проведения указанных мероприятий имеется возможность
повысить производительность труда на 4,59% в целом по предприятию. Условное
высвобождение численности работников будет составлять 2,69 человека.
Годовой
экономический эффект от реализации всего комплекса запланированных мероприятий
планируется в размере: 756,03 тыс. рублей.
ВЫВОДЫ И ПРЕДЛОЖЕНИЯ
В завершение курсовой работы можно сделать следующие
выводы и предложения.
Повышение производительности труда имеет весьма
значимую сущность и важность с экономической точки зрения. На уровне
предприятия рост производительности труда дает возможность минимизировать
затраты организации на заработную плату, снизить количество персонала, повысить
заработную плату наиболее эффективным сотрудникам, а также максимально
оптимизировать свою экономическую деятельность.
Повышение производительности труда имеет огромное
значение также и для экономики в целом.
Анализ трудовых ресурсов ставит перед собой следующую
цель: поиск резервов более разумного использования численности персонала и их
рабочего времени, возрастание производительности труда и результативность
использования фонда оплаты труда.
Задачи анализа состояния и использования трудовых
ресурсов:
изучение обеспеченности организации и ее структурных
подразделений персоналом;
оценка использования рабочего времени;
оценка уровня и динамики производительности труда,
факторов, влияющих на ее изменение, и влияние производительности труда на
финансовые результаты;
определение уровня и использования рабочего времени и
резервов сокращения его потерь;
анализ формирования и использования фонда оплаты труда
в организации;
поиск резервов роста производительности труда и
стабильности развития организации на основе кадрового потенциала.
Существуют различные методы анализа производительности
труда и заработной платы. Выбор методов анализа зависит от целей его
проведения, от тех задач, которые при проведении расчетов ставит руководство
предприятия.
Рассматриваемое в рамках данной курсовой работы предприятие, которое
носит название ООО «РосРемСтрой» специализируется на то, что осуществляет
ремонтно-строительные работы на различных производственных объекта, а также в
собственном производственном цехе.
Деятельность компании разделяется на основное и вспомогательное производство.
Основное производство представлено строительной и ремонтной бригадой,
сотрудники, которых выполняют возложенные на них обязательства исходя из
основного вида деятельности организации, который заключается в осуществлении
ремонтно-строительных работ.
Вспомогательное производство на предприятии включает в себя:
складское хозяйство;
транспортную службу;
ремонтное хозяйство.
Руководство компанией осуществляет директор
предприятия.
В его непосредственное подчинение входят главный
бухгалтер, коммерческий директор и начальник производства.
В целом, исходя из результатов экономического анализа деятельности
предприятия ООО «РосРемСтрой» за 2013-2015 годы можно сказать, что объем
реализации в компании растет, тем не менее по отношению данного показателя в
2015 году к 2014 наблюдается спад.
На предприятии растет численность персонала из года в год. Также
повышается размер фонда оплаты труда.
Прибыль предприятия, а также его рентабельность из года в год
сокращается, но, тем не менее, деятельность организации остается прибыльной и
рентабельной.
Производительность труда в 2015 году снизилась по отношению к 2014 году в
связи с тем, что снизилась среднечасовая выработка одного рабочего. По
сравнению с 2014 годом снижение данного показателя в 2015 году составила 8,3%.
Средняя заработная плата растет быстрее, чем производительность труда.
Коэффициент, которым характеризуется соотношение производительности труда и
средней заработной платы в целом для предприятия равен 1,18. Для рабочих,
исходя из данных за 2015 год значение данного показателя составляет 1,27.
Исходя из этого можно сказать, что организация не выполняет те
требования, которые связаны с расширением производственно деятельности,
согласно которыми производительность труда должна расти быстрее, чем заработная
плата сотрудников.
Повышение квалификации рабочих, а также внедрение нового оборудования
должны привести как повышению выработки, что будет отражать повышение роста
производительности труда, а также к сокращению числа сотрудников, что даст
возможность снизить величину фонда оплаты труда и тем самым, использовать его
более эффективно.
В результате проведения указанных мероприятий имеется возможность
повысить производительность труда на 4,59% в целом по предприятию. Условное
высвобождение численности работников будет составлять 2,69 человека.
Годовой экономический эффект от реализации всего комплекса
запланированных мероприятий планируется в размере: 756,03 тыс. рублей.
СПИСОК ИСПОЛЬЗОВАННОЙ ЛИТЕРАТУРЫ
1. Аверина О.И. Комплексный экономический анализ хозяйственной
деятельности. - М.: КноРус, 2012. - 432 с.
2. Агеева О.А. Бухгалтерский учет и анализ: учеб. для бакалавров. -
М.: Юрайт, 2014. - 589 с.
. Алексеева А.И. Комплексный экономический анализ хозяйственной
деятельности: учеб. пособие. - М.: КноРус, 2012. - 712 с.
. Аскеров П.Ф., Цветков И.А. Анализ и диагностика
финансово-хозяйственной деятельности организации: учеб. пособие. - М.: ИНФРА-М,
2015. - 176 с.
. Басовский Л.Е. Прогнозирование и планирование в условиях рынка.
- М.: Инфра-М, 2014.-260 с.
. Брокгауз Ф.А., Ефрон И.А. Энциклопедический Словарь.
Издательство "Русское слово", 2012 г., 5547с.
. Вахрушина М.А. Комплексный анализ хозяйственной деятельности:
учеб. пособие. - М.: Вуз. учеб., 2013. - 463 с.
. Войтоловский Н.В. Экономический анализ. Основы теории. - М.:
Юрайт, 2013. - 548 с.
. Киреева Н.В. Комплексный анализ хозяйственной деятельности: учеб
пособие. - М.: Социальные отношения, 2012. - 512 с.
. Климова Н.В. Экономический анализ. Теория, задачи, тесты: учеб.
пособие. - М.: Вуз. учеб.: ИНФРА-М, 2014. - 287 с.
. Лытнева Н.А. Бухгалтерский учет и анализ: учеб. пособие. -
Ростов н/Д : Феникс, 2013. - 604 с.
. Любушин Н.П. Экономический анализ: учеб. для вузов. - М.:
ЮНИТИ-ДАНА, 2012. - 575 с.
13. Маркарьян,
Э.А. Финансовый анализ. - М.: ФБК-ПРЕСС, 2015. - 540 с.
14. Парушина Н.В. Экономический анализ: учеб. пособие. - М.: КноРус,
2013. - 304 с.
15. Савицкая Г.В. Анализ хозяйственной деятельности предприятия:
учеб. пособие для вузов. - Минск: Новое знание, 2012. - 703 с.
. Скамай Л.Г. Экономический анализ деятельности предприятия: учеб.
для вузов. - М.: ИНФРА-М, 2013. - 296 с.
. Шадрина Г.В. Экономический анализ. Теория и практика. - М.:
Юрайт, 2014. - 515 с.
Научные статьи
18. Акулич В.В. Анализ трудовых ресурсов // Справочник экономиста. -
2014. - №6. - С. 54-58.
19. Береславская В.А. Эффективность использования трудовых ресурсов и
оптимизации оплаты труда // Экономический анализ: теория и практика. - 2012. -
№14. - С. 50-56.
. Власова Е.А. Анализ показателей движения трудовых ресурсов в
российской экономике // Вопросы статистики. - 2013. - №5. - С. 44-50.
. Кирпичев В.В. Генезис категории «трудовые ресурсы» //
Экономический анализ: теория и практика. - 2011. - №19. - С. 61-68.
. Кондратова И.Г. Анализ использования трудовых ресурсов как
важнейшей части ресурсного потенциала организации // Экономический анализ:
теория и практика. - 2012. - №1. - С. 32-37.
. Миролюбова А.А. Организация работ по анализу труда и заработной
платы с использованием системного подхода // Экономический анализ: теория и
практика. - 2013. - №6. - С. 51-60.
. Павлова С.Н. Информационное обеспечение при прогнозировании
потребности в специалистах в отрасли региона // Региональная экономика: теория
и практика. - 2012. - №23. - С. 44-49.
. Паламарчук А.С. Анализ использования трудовых ресурсов и фонда
заработной платы // Справочник экономиста. - 2013. - №6. - С. 74-84.
. Фалько С. Как эффективно использовать трудовые ресурсы //
Экономика и жизнь. - 2013. - №16. - С. 16.
ПРИЛОЖЕНИЕ 1
Производительность труда работников
за 2013-2015 гг.
ПРИЛОЖЕНИЕ 2
Темп роста выработки и заработной платы