Анализ и пути повышения производительности труда и его платы в ООО 'Хлебный Дом'
Введение
Экономический потенциал страны, национальное
богатство и качество жизни определяются главным образом состоянием трудовых
ресурсов, уровнем развития трудового и человеческого потенциала. В связи с этим
анализ трудовых ресурсов, производительности труда и ее оплаты особенно
актуален в условиях рыночной экономики, так как в ходе его проведения
оцениваются возможности для наращивания темпов расширенного воспроизводства,
осуществляется систематический контроль за образованием и использованием фонда
заработной платы, рациональным расходованием денежных средств, направляемых на
оплату, соблюдением штатной дисциплины, соответствием размера оплаты труда
работников прожиточному минимуму.
В каждой отрасли, на любом предприятии и в его
производственных подразделениях, в первичных ячейках производства - бригадах,
непосредственно на рабочих местах должны быть выявлены и приняты все меры для
приведения в действие поистине неисчерпаемых возможностей повышения
эффективности работы, роста производительности труда.
Труд - это специфически человеческий способ
жизнедеятельности, условие жизни общества: его экономики и политики, культуры и
быта, форм взаимоотношений между людьми в процессе производства. Трудовые
отношения образуют своего рода “ядро” социального развития общества,
определяют, в конечном счете, образ жизни людей, всю структуру связанных с ним
процессов и отношений.
Трудовые ресурсы являются первой
производительной силой общественного производства, а производительность труда -
определяющий критерий социально-экономического развития общества в целом.
Улучшение использования трудового потенциала -
основной источник социально-экономического роста.
Проблема оплаты труда - одна из ключевых в
российской экономике. От ее успешного решения во многом зависят как повышение
эффективности производства, так и рост благосостояния людей, благоприятный
социально-психологический климат в обществе.
Производительность труда - основной показатель
экономической эффективности производства отрасли и каждого предприятия.
Выявление резервов и путей повышения производительности труда должно опираться
на комплексный технико-экономический анализ работы предприятия. Анализ
производительности труда позволяет определить эффективность использования
предприятием трудовых ресурсов и рабочего времени.
Рост производительности труда означает экономию
осуществленного и живого труда и является одним из важнейших факторов повышения
эффективности производства.
От уровня производительности труда зависят темпы
развития промышленного производства, увеличение заработной платы и доходов,
размеры снижения себестоимости продукции. Повышение производительности труда
путем механизации и автоматизации труда, внедрения новой техники и технологии
практически не имеет границ. Поэтому целью анализа производительности труда
является выявление возможностей дальнейшего увеличения выпуска продукции за
счет роста производительности труда, более рационального использования
работающих и их рабочего времени.
Заработная плата оказывает прямое воздействие на
процесс перераспределения части валового внутреннего продукта между
работодателями и работниками. Кроме того, заработная плата представляет собой
один из самых эффективных и важнейший рычагов управления предприятиями,
организациями, учреждениями и экономикой страны в целом.
Актуальность избранной темы определяется, с
одной стороны, насущной необходимостью формирования действенной системы
мотивации и стимулирования труда, а с другой стороны - анализ
производительности труда. Актуальность темы особенно возрастает в условиях экономической
нестабильности, так как потребность предприятий в персонале определенных
категорий непрерывно меняется, что не всегда означает увеличение или сохранение
потребности в рабочей силе. Внедрение новых технологий, освоение производства
конкурентоспособной продукции, сокращение спроса на товары и услуги может
привести к уменьшению численности персонала как по отдельным категориям, так и
в целом.
Целью данной дипломной работы является анализ
производительности труда и ее оплаты на предприятии ООО «Хлебный дом»,
выявление имеющихся недостатков на данном участке учетной работы и разработка
конкретных рекомендаций по дальнейшему совершенствованию учетно-аналитического
процесса на предприятии.
Предметом исследования являются
учетно-аналитические процессы, связанные с учетом, анализом труда и расчетов с
персоналом по оплате труда, происходящие в ООО «Хлебный дом», который является
объектом исследования.
Для достижения целей дипломной работы необходимо
решить следующие задачи:
проанализировать производительность труда
изучить организацию заработной платы в ООО
«Хлебный дом», ее нормативно - законодательное регулирование;
проанализировать организацию учета труда и его
оплаты, провести анализ формирования и использования фонда заработной платы в
ООО «Хлебный дом»;
разработать мероприятия по совершенствованию
системы стимулирования работников, повышения их вклада в процесс производства.
Информационной базой для написания данной работы
послужили данные бухгалтерского и статистического учета, монографии, нормативно-законодательные,
локальные акты за 2010 - 2011 годы исследуемого учреждения.
Для проведения анализа в данной работе были
использованы следующие методы: группировки, балансовый, монографический,
экономико-аналитический, абстрактно - логический, метод сравнения.
1. Экономическая сущность и правовые
основы трудовых ресурсов, оплаты и производительности труда
.1 Экономическая сущность трудовых
ресурсов, оплаты и 9-(составление должностных инструкций, квалификационные
требования)
Достаточная обеспеченность предприятий нужными
трудовыми ресурсами, их рациональное использование, высокий уровень
производительности труда имеют большое значение для увеличения объемов
продукции и повышения эффективности производства. В частности, от
обеспеченности предприятия трудовыми ресурсами и эффективности их использования
зависят объем и своевременность выполнения всех работ, эффективность
использования оборудования, машин, механизмов и как результат объем
производства продукции, ее себестоимость, прибыль и ряд других экономических
показателей.
Персонал предприятия - совокупность работников
определенных категорий и профессий, занятых единой производственной
деятельностью, направленной на получение прибыли и удовлетворение своих
материальных потребностей.
В условиях рынка необходимый
профессионально-квалификационный состав работников каждого предприятия
формируется с учетом действующих на рынке труда и производства законов спроса и
предложения. Классификация, категории персонала раскрыты при проведении
анализа.
Важнейшим параметром, характеризующим состояние
трудового потенциала, является численность работников предприятия. Различают
списочную и среднесписочную численность.
В списочную численность включают наемных
работников, работающих по договору, а также собственников организации,
получающих в ней заработную плату. Внешние совместители в списочной численности
не участвуют.
Среднесписочную численность рассчитывают за
какой-либо период путем суммирования списочной численности за каждый день,
включая праздничные (нерабочие) и выходные дни, и деления полученной суммы на
число календарных дней.
Вся численность распределяется между различными
категориями по основному и неосновному видам деятельности предприятия. На
промышленных предприятиях к работникам основной деятельности - промышленно-производственному
персоналу относят работников всех структурных подразделений, занятых
подготовкой, осуществлением и обслуживанием всего цикла изготовления и
реализации продукции, включая административный и технический персонал.
Весомым аргументом для стимулирования работников
предприятия является размер фонда заработной платы и минимальный размер оплаты
труда, анализ которых так же выполняется в данной работе
Современные экономисты придерживаются взгляда на
заработную плату как на цену труда. Так, например, К.Р. Макконнелл и С.Л. Брю
считают, что заработная плата, или ставка заработной платы - это цена,
выплачиваемая за использование труда.
Многие экономисты сошлись во мнении, что
заработную плату стоит рассматривать как цену рабочей силы, которая призвана
выполнять в рыночной экономике три основные функции:
• обеспечивать работнику такой объем потребления
материальных благ и услуг, который необходим для воспроизводства рабочей силы -
воспроизводственная функция;
• формировать для работодателя определенный
производственный результат в виде ожидаемой прибыли от применения приобретенной
им рабочей силы, а для работника - заинтересованность в продуктивном труде -
стимулирующая функция;
• выступать регулятором спроса и предложения на
рынке труда - регулирующая функция.
Заработная плата - это вознаграждение за труд в
зависимости от квалификации работника, сложности, количества, качества и
условий выполняемой работы, а также выплаты компенсационного и стимулирующего
характера.
В условиях рыночной экономики на уровень,
функции и принципы организации заработной платы оказывают действие различные
рыночные и нерыночные факторы. Все они тесно взаимосвязаны и в совокупности
определяют уровень заработка работников, издержки производства, а также
благосостояние всего общества.
Можно выделить группы производственных,
социальных, специфических рыночных, а также институциональных факторов,
формирующих уровень заработной платы
На размер оплаты труда влияют следующие факторы,
представленные на рисунке 1.
Рисунок 1 - Факторы, оказывающие влияние на
размер оплаты труда
Среди производственных факторов в качестве
основного можно рассматривать уровень технического прогресса, так как от него в
значительной степени зависят все остальные производственные факторы. Все
направления технического прогресса способствуют повышению производительности
труда, выпуска продукции и увеличению заработка.
Условия труда (шум, загазованность и др.) и
производственная обстановка зависят от совершенства применяемой техники и
технологии и изменяются в соответствии с их развитием. Улучшение условий труда
повышает работоспособность человека за счет уменьшения периода врабатываемости
и сокращения периода снижения работоспособности. Уменьшаются потери времени по болезни
и травматизму, выплаты за неотработанное время, вызванное сокращением смены, с
дополнительным отпуском, доплаты за неблагоприятные условия труда и
производственный риск.
Что касается такого фактора, как результаты
труда (производительность), то наблюдается прямая связь его изменения с
заработной платой работника.
Под качеством трудовой деятельности понимается
качество выпускаемой продукции и выполнения трудового процесса.
Почти все социальные факторы оказывают
непосредственное влияние на уровень оплаты труда. При введении социальных
гарантий необходимо учитывать психологию населения с учетом его представлений о
социальной справедливости и традиций страны. Минимальный размер оплаты труда
(минимальная заработная плата) является государственной гарантией в сфере
оплаты труда.
К социальным факторам следует отнести и
развитость форм социальной заработной платы (регулярные выплаты на ребенка,
бесплатные услуги, гарантии, предоставляемые государством, регионом,
работодателем).
Рыночные факторы влияют на размер, организацию и
регулирование заработной платы и зависят от степени развития рынка труда.
Сокращение спроса на труд в современных условиях оказывает понижающее влияние,
прежде всего на гибкую, негарантированную часть заработной платы и на гарантии
занятости.
Высокая доля затрат на оплату труда в совокупных
издержках по производству продукции (работ, услуг) является фактором,
сдерживающим рост реальной заработной платы, если он не сопровождается
снижением ее удельных затрат на рубль (единицу) продукции.
Показатели эффективности использования трудовых
ресурсов характеризуют соотношения между конечными результатами производства
(национальным доходом, продукцией, реализованной по договорам) и количеством
занятых в соответствующем звене общественного производства, а также годовым
фондом оплаты работы и рабочего времени.
Ведущее место среди этих показателей занимают
показатели производительности работы.
При этом по экономическому содержанию выделяют
показатели общественной, отраслевой и локальной производительности работы; по
масштабами учета рабочего времени - измерители среднегодовой, среднесуточной и
среднечасовой производительности работы; по методу измерения - натуральные,
трудовые, ценовые и условно-натуральные показатели; по базе расчета -
измерители абсолютного и относительного уровней эффективности труда и экономии
(высвобождения) трудовых ресурсов.
Кроме показателей производительности труда,
вычисленных как отношение результатов труда к затратам, может определяться
обратный показатель - трудоемкость продукции (работ, услуг), оцениваемая путем
отнесения затрат к результату.
Относительное высвобождение (плановое или
фактическое) рабочей силы в результате возрастания производительности труда
рассчитывается как разность между фактическим количеством рабочих и количеством
рабочих, необходимых для производства продукции планового (фактического) объема
при условии сохранения базисного уровня производительности труда.
Показатели общественной, отраслевой и локальной
производительности труда характеризуют уровень и темпы возрастания
эффективности использования трудовых ресурсов в разных уровнях общественного
труда.
К обобщающим показателям относятся возрастание
национального дохода на единицу населения. Этот показатель учитывает не только
эффективность использования трудовых ресурсов, но и уровень их занятости, а
также эффективность труда в непроизводственной области.
Возрастание производительности общества
рассчитывается как отношение национального дохода к количеству рабочих области
материального производства. Увеличение национального дохода (в сопоставимых
ценах) отбивает экономию не только живого, а и овеществленного труда.
Повышение экономической эффективности и
эффективности использования труда на народнохозяйственном уровне может
характеризоваться также относительной экономией фонда оплаты труда рабочих
области материального производства; отношением дополнительного продукта к фонду
оплаты труда в материальном производстве.
Относительная экономия фонда оплаты труда Ез
вычисляется по формуле:
Ез = Зб · ІНД - Зпл (1),
где Зб, Зпл - соответственно фонд оплаты труда в
базисном и плановом периодах;
ІНД - индекс прироста национального дохода в
плановом году.
Индекс производительности труда Іп равняется
произведению индексов удельного веса рабочих от численности работающих (y),
среднего количества суток, отработанных одним рабочим (д), продолжительности
рабочего дня (r) и производительности труда рабочих за 1 час (b):
Іп = Іy · Ід · Іr · Іb (2),
Большое значение для оценки эффективности
использования трудовых ресурсов на предприятии в условиях рыночной экономики
имеет показатель рентабельности персонала (отношение прибыли к среднегодовой
численности промышленно-производственного персонала). Поскольку прибыль зависит
от рентабельности продаж, коэффициента оборачиваемости капитала и суммы
функционирующего капитала, факторную модель данного показателя можно
представить следующим образом:
(3),
где П - прибыль от реализации продукции;
ЧР - среднесписочная численность работников;
В - выручка от реализации продукции; -
среднегодовая сумма капитала;
ТП - стоимость выпуска товарной продукции в
действующих ценах;
П/ЧР - рентабельность персонала;
П/ В - рентабельность продаж; /ЧP -
капиталовооруженность труда;
В/ТП - доля выручки в стоимости выпущенной
продукции;
ТП/ЧР - среднегодовая выработка продукции одним
работником в действующих ценах.
Отрицательный результат влияния отдельных
факторов можно расценивать как неиспользованный резерв повышения эффективности
использования трудовых ресурсов на предприятии.
1.2 Формы и системы оплаты труда
По мнению классика английской экономической
мысли 18-го века А. Смита, заработная плата есть ни что иное, как
вознаграждение за труд, который продает работник нанимателю. Такое определение
явилось следствием того, что Смит считал товаром на рынке труда сам процесс
деятельности по созданию продукта (услуги). Он также выдвинул положение о том,
что заработная плата представляет собой цену труда и сводится к стоимости
минимума средств существования, необходимых для работника и его семьи [].
Другой экономист классической экономической
теории Д. Рикардо полагал, что труд, подобно другим товарам, имеет две
стоимости - естественную и рыночную. Под естественной он подразумевает ту,
которая необходима, "чтобы рабочие имели возможность существовать и
продолжать свой род без увеличения или уменьшения их числа" Причем эта
возможность зависит не от заработной платы, а от "количества пищи,
предметов жизненной необходимости и комфорта, ставшего насущным в силу
привычки, которые можно купить за эти деньги". Тогда цена труда прямо
пропорциональна цене вышеперечисленных благ.
В соответствии с Трудовым кодексом РФ существуют
2 основные группы тарифной системы оплаты труда: повременная и сдельная. (1) На
рисунке 1 представлена блок - схема, отражающая формы и системы оплаты труда.
Рисунок 2 - Формы и системы оплаты труда
При прямой сдельной системе, или простой
сдельной, труд оплачивается по расценкам за единицу произведенной продукции.
Индивидуальная сдельная расценка за единицу продукции или работы определяется
по формуле:
Р = Тст час*Нвыр (4),
где Тст час, - часовая тарифная ставка,
устанавливаемая в соответствии с разрядом выполняемой работы, руб/ч;
Вч - норма выработки данной продукции;
Общий заработок рабочего определяется умножением
сдельной расценки на количество произведенной продукции за расчетный период.
При сдельно-премиальной системе рабочий получает
оплату своего труда по прямым сдельным расценкам и дополнительно получает
премию. Но для этого должны быть четко установлены показатели, за которые
осуществляется премирование, и доведены до каждого исполнителя.
Р = Тст час*Нвыр+П (5),
При сдельно-прогрессивной системе труд рабочего
оплачивается по прямым сдельным расценкам в пределах выполнения норм, а при
выработке сверх норм - по повышенным расценкам.
При косвенно-сдельной системе размер заработка
рабочего ставится в прямую зависимость от результатов труда обслуживаемых им
рабочих-сдельщиков. Эта система используется для оплаты труда не основных, а
вспомогательных рабочих (наладчиков, настройщиков и др.).
Косвенная сдельная расценка Зк рассчитывается с
учетом норм выработки обслуживаемых рабочих и их численности по формуле:
Р = Тст час/Нвыр*р (6),
где Тст час - тарифная часовая ставка обслуживаемого
рабочего, оплачиваемого по косвенной сдельной системе, руб.;
Вч - часовая норма выработки
(производительности) одного обслуживаемого рабочего (объекта, агрегата) в
единицах продукции;
р - количество обслуживаемых рабочих (объектов,
агрегатов) -норма обслуживания.
Общий заработок рассчитывается умножением либо
ставки вспомогательного рабочего на средний процент выполнения норм
обслуживаемых рабочих-сдельщиков, либо косвенно-сдельной расценки на
фактический выпуск продукции обслуживаемых рабочих:
Зобщ = Тст час Фвспом у/100 (7),
где Зобщ - общий заработок рабочего, руб.;
Тст час - часовая тарифная ставка рабочего,
переведенного на косвенную сдельную оплату труда, руб.;
Фвспом- фактически отработанное данным
вспомогательным рабочим количество человеко-часов;
у - средневзвешенный процент выполнения норм
выработки всеми обслуживающими данным работником рабочих, объектов, агрегатов;
При аккордно-сдельной оплате труда расценка
устанавливается на весь объем работы (а не на отдельную операцию) на основе действующих
норм времени или норм выработки и расценок. При данной системе оплаты труда
рабочие премируются за сокращение сроков выполнения работ, что усиливает
стимулирующую роль этой системы в росте производительности труда.
Сдельная форма оплаты труда может применяться
индивидуально для каждого конкретного работника, а может иметь коллективные
формы.
При повременной заработной плате работник
получает денежное вознаграждение в зависимости от количества отработанного
времени, однако в силу того, что труд может быть простым и сложным, низко- и
высококвалифицированным, необходима дифференциация оплаты труда, которая
осуществляется с помощью тарифных систем.
Составные элементы тарифной системы:
•тарифная ставка - абсолютный размер оплаты
груда различных групп и категорий рабочих за единицу времени. Исходной является
минимальная тарифная ставка, или тарифная ставка первого разряда. Она
определяет уровень оплаты наиболее простого труда. Тарифные ставки могут быть
часовые, дневные;
•тарифные сетки - служат для установления
соотношения в оплате труда в зависимости от уровня квалификации. Это
совокупность тарифных разрядов и соответствующих им тарифных коэффициентов.
Тарифный коэффициент низшего разряда принимается равным единице. Тарифные
коэффициенты последующих разрядов показывают, во сколько раз соответствующие
тарифные ставки больше тарифной
Заработок рабочего при простой повременной
системе рассчитывается как произведение часовой (дневной) тарифной ставки
рабочего данного разряда (в руб.) на отработанное время в данном периоде
(соответственно в часах или рабочих днях.
Применение бестарифной системы оплаты труда
позволяет устанавливать условия оплаты труда работника относительно конечного
результата работы предприятия. По данной системе заработная плата всех работников
предприятия - от директора до рабочего - представляет собой долю работника в
фонде оплаты труда (ФОТ) или всего предприятия, или отдельного подразделения.
КТУ выставляется всем работникам предприятия,
включая директора, и утверждается Советом трудового коллектива, который сам
решает периодичность определения КТУ (раз в месяц, в квартал и т.д.) и состав
показателей для его расчета.
В то же время субъективность в определении
размеров фонда заработной платы, поступающего в распоряжение работников, или
необоснованность методов его установления могут серьезно подорвать
стимулирующее влияние бестарифной системы оплаты труда.
При практической разработке бестарифной модели
организации заработной платы могут применяться различные методы формирования
фонда заработной платы: по так называемым уровневым (т.е. в копейках или
рублях) нормативам за каждую единицу объема произведенной (реализованной)
продукции, по приростным нормативам в единицах (процентах) прироста фонда
заработной платы за каждый процент прироста продукции, на основе установления
методов определения отдельных составляющих фонда заработной платы, тарифного
фонда, премиального фонда, прочих выплат и т.п. Предприятия сами подбирают
методику формирования фондов оплаты труда, имея в виду как необходимость получения
экономически обоснованной его величины, так и решения задач стимулирования
индивидуальных и конечных результатов деятельности.
Разновидностью бестарифной системы оплаты труда
является контрактная система - заключение договора (контракта) на определенный
срок между работодателем и исполнителем.
При заключении его должны быть согласованы
взаимоприемлемые условия работы гражданина на данном предприятии, которые
подразделяют на обязательные и дополнительные. К обязательным относятся
условия: соглашения между гражданином и администрацией предприятия о
специальности, квалификации или должности; подчинение работника внутреннему
трудовому распорядку; размер заработной платы и обеспечение условий труда,
предусмотренных законодательством о труде; сроки работы (не более трех лет).
Дополнительные условия при заключении контракта
вырабатываются самостоятельно гражданином и администрацией при приеме на работу
и могут быть самыми различными. Применение контрактной системы позволяет четко
распределять права и обязанности как работника, так и руководства предприятия.
Эта система достаточно эффективна в условиях рынка.
1.3 Нормативно-законодательное
регулирование трудовых отношений и оплаты труда
Ведение бухгалтерского учета осуществляется в
соответствии с нормативными документами, имеющими разный статус. Одни из них
обязательны к применению (Федеральный закон «О бухгалтерском учете», положения
по бухгалтерскому учету - ПБУ), другие носят рекомендательный характер (План
счетов бухгалтерского учета, методические указания, комментарии).
К первому уровню системы следует отнести также
Гражданский кодекс РФ, Федеральные законы «Об упрощенной системе
налогообложения, учета и отчетности для субъектов малого предпринимательства»
от 29.12.95 г. № 222-ФЗ, «О государственной поддержке малого
предпринимательства в Российской Федерации» от 14.06.95 г. № 88-ФЗ, «Об
акционерных обществах» от 26.12.95 г. № 208-ФЗ, Постановление Правительства
Российской Федерации «О Программе реформирования бухгалтерского учета в
соответствии с международными учетными стандартами финансовой отчетности.
Указанные НПА в дипломной работе использованы в редакции на 01.02.2013 г.
Оплата труда работников всех сфер деятельности в
первую очередь гарантируется Конституцией Российской Федерации. Так, в
соответствии со ст. 37 каждый имеет право свободно распоряжаться своими
способностями к труду, выбирать род деятельности и профессию, на труд в
условиях, отвечающих требованиям безопасности и гигиены, на вознаграждение за
труд без какой бы то ни было дискриминации и не ниже установленного федеральным
законом минимального размера оплаты труда, а также право на защиту от
безработицы, право на отдых (Конституция РФ, 2003)
Немаловажное значение имеют и Кодексы, принятые
в Российской Федерации. Гражданский Кодекс регулирует правоотношения работника
и работодателя в части заключенного между ними договора и очередности оплаты
средств по оплате труда.
Главы 20,21 Трудового Кодекса дают определение
заработной платы, ее состав, государственные гарантии, определяют формы и системы
оплаты труда, начисления, удержания и сроки выдачи зарплаты.
Трудовой кодекс Российской Федерации от 30
декабря 2001г., утв. Федеральным законом № 197 - ФЗ (с изменениями и
дополнениями). В кодексе рассматриваются следующие аспекты трудовых отношений:
) Возникновение трудовых отношений и порядок
заключения трудовых договоров между предприятием и его работниками(ст. 15 - 22,
ст. 56 - 90).
) Продолжительность рабочего времени и время
отдыха (выходные, праздничные дни, отпуска) (ст.100-128).
) Трудовой распорядок и дисциплина труда (ст.189
- 195).
) Организация охраны труда (ст. 209-231).
) Особенности регулирования оплаты труда
отдельных категорий работников: женщин, работников в возрасте до 18 лет,
работников, работающих по совместительству и т.д. (ст. 251-351).
) Вопросы защиты трудовых прав работников (ст.
352 - 419).
) Ответственность за нарушение трудового
законодательства (ст.419).
В Налоговом Кодексе главе 25 приводится состав
расходов на оплату труда, приводятся ставки и порядок расчета налогов с заработной
платы работника или фонда оплаты труда.
Учетный стандарт (2-й уровень) можно определить
как свод основных правил, устанавливающий порядок учета и оценки определенного
объекта или их совокупности. Учетные стандарты (в отечественном бухгалтерском учете
- положения) призваны конкретизировать Закон о бухгалтерском учете. В настоящее
время в России разработано и утверждено 19 положений по бухгалтерскому учету и
отчетности
Полный перечень положений по бухгалтерскому
учету (ПБУ) на 2012 год:
ПБУ 1/2008 Учетная политика
организации <#"606344.files/image003.gif">(8),
коэффициент оборота по выбытию (Кв):
(9),
коэффициент текучести кадров (Km):
(10),
коэффициент постоянства состава персонала
предприятия (Кп.с):
(11),
Таблица 6 - Анализ обеспеченности предприятия
трудовыми ресурсами
|
Категории
персонала
|
численность
персонала
|
абсолютное
отклонение
|
|
базис
|
план
|
отчет
|
гр2-гр1
|
гр3-гр1
|
гр3-гр2
|
|
1
|
2
|
3
|
|
|
|
|
1.
Весь персонал
|
156
|
160
|
197
|
+4
|
+41
|
+37
|
|
в
т.ч. Производственный
|
135
|
120
|
160
|
-15
|
+25
|
+40
|
|
рабочие
|
|
|
|
0
|
0
|
0
|
|
из
них основные
|
102
|
96
|
130
|
-6
|
+28
|
+34
|
|
из
них вспомогательные
|
33
|
24
|
30
|
-9
|
-3
|
+6
|
|
Прочие
|
21
|
40
|
37
|
+19
|
+15
|
-3
|
Исходя из данных, представленных в таблице,
можно сделать вывод, что предприятие увеличивает численность рабочих по всем
категориям персонала, кроме вспомогательного и прочего персонала. Это
объясняется расширением производства, так как предприятие сравнительно молодое
и не работает на полную мощность.
Рисунок 4- Структура рабочих за 2010 год
Рисунок 5 - Структура рабочих за 2011 г
В структуре производственного персонала
наблюдается рост численности рабочих и как следствие-увеличение его структуры с
76 до 81%
В аппарате управления ООО «Хлебный дом» работает
6 человек с высшим образованием (20%), 9 человек со средне-специальным
образованием (30%), 14 человек имеют техническое образование (46,7%).
Далее определим показатели движения кадров.
Таблица 7 - Расчёт показателей движения рабочей
силы
|
Показатели
|
Годы
|
Отклонение
|
|
2010
|
2011
|
|
|
Количество
принятого на работу персонала, чел.
|
14
|
50
|
+36
|
|
Количество
уволившихся работников, чел.
|
13
|
9
|
-4
|
|
Количество
уволившихся по собст. желанию и нарушению труд. Дисциплины, чел.
|
13
|
9
|
-4
|
|
Количество
работников проработавших весь год, чел.
|
142
|
147
|
+5
|
|
Среднесписочная
численность персонала, чел.
|
156
|
197
|
+41
|
|
Коэффициент
оборота по приёму
|
0,09
|
0,25
|
+0,16
|
|
Коэффициент
оборота по выбытию
|
0,08
|
0,05
|
-0,03
|
|
Коэффициент
текучести кадров
|
0,08
|
0,05
|
-0,03
|
|
Коэффициент
постоянства персонала предприятия
|
0,91
|
0,75
|
-0,16
|
За исследуемый период наблюдается значительный
рост показателей приёма, это объясняется ростом объемов производства
предприятия. В целом можно сделать вывод о том, что на предприятии были созданы
благоприятные условия для работников, т.к. коэффициент оборота по приёму выше
коэффициента оборота по выбытию.
Напряжение в обеспеченности предприятия может
быть снято за счёт более полного использования имеющейся рабочей силы, роста
производительности предприятия. Если же предприятие намерено расширить свою
деятельность, то необходимо будет определить дополнительную потребность в
трудовых ресурсах.
Полноту использования трудовых ресурсов можно
оценить по количеству отработанных дней и часов одним работником, а также по
степени использования фонда рабочего времени.
Фонд рабочего времени (ФРВ) зависит от
численности работников (КР), количества отработанных одним работником в среднем
дней за год (Д) и средней продолжительности рабочего дня (П):
ФРВ = КР * Д * П. (13),
Таблица 8- Использование трудовых ресурсов ЗАО
|
Показатели
|
Годы
|
Отклонение
(+,-) от
|
|
2010
(прош)
|
2011
(план)
|
2011
(факт)
|
От
прош.года
|
От
плана
|
|
Среднегодовая
численность рабочих (ЧР)
|
135
|
120
|
160
|
+25
|
+40
|
|
Отработано
одним работником (Д)
|
230
|
240
|
245
|
+15
|
+5
|
|
Отработано
часов (Ч)
|
1805,5
|
1908
|
1911
|
+105,5
|
+3
|
|
Средняя
продолжительность рабочего дня (П)
|
7,85
|
7,95
|
7,8
|
-0,05
|
-0,15
|
|
Фонд
рабочего времени, тыс. час.
|
243742,5
|
228960
|
305760
|
+62017,5
|
+76800
|
Влияние факторов:
ФРВ0=120*240*7,95=228960 чел-час.
ФРВЧР=(+40)*240*7,95=+76320 чел-час.
ФРВД=160*(+5)*7,95=+6360 чел-час.
ФРВП=160*245*(-0,15)=-5880 чел-час.
ФРВ 1=160*245*7,8=305760 чел-час.
БАЛАНС=305760-228960=76320+6360-5880
чел-час.
Влияние факторов:
ФРВ0=135*230*7,85=243742,5 чел-час.
ФРВЧР=(+25)*230*7,85=+45137,5 чел-час.
ФРВД=160*(+15)*7,85=+18840 чел-час.
ФРВП=160*245*(-0,05)=-1960 чел-час.
ФРВ 1=160*245*7,8=305760 чел-час.
БАЛАНС=305760-243742,5=45137,5+18840-1960
,5 чел-час.
Увеличение ФРВ произошло за счет:
увеличения численности рабочих на 40 человек -
на 76320 чел-часов
увеличения количества рабочих дней на 5 - на
6360 чел-час
снижение продолжительности рабочей смены снизило
ФРВ на 5880 чел-час.
На основании приведённых данных, имеющиеся на
предприятии трудовые ресурсы, используются достаточно полно, т.к. одним
работником отработано за год в среднем 245 дней, а по плану данный показатель
составляет 240 дня. За исследуемый период с 2010 по 2011 год почти все
показатели увеличились, наблюдается снижение средней продолжительности рабочего
дня. Данный факт можно пояснить запуском нового оборудования и частыми
кратковременными перерывами на тех. Обслуживание и наладку
В отчётном 2011 году увеличился фонд рабочего
времени на 76800 часов.
Для оценки уровня интенсивности использования
трудовых ресурсов, необходимо изучить не только показатели использования и
движения рабочей силы, но и показатели производительности труда.
Таблица 9 - Данные для факторного анализа
рентабельности персонала
|
Показатель
|
2010
|
2011
|
отклонение
|
|
прибыль
от реализации продукции, тыс. руб.
|
18586
|
21917
|
+3331
|
|
среднесписочная
численность персонала, чел
|
156
|
197
|
+41
|
|
выручка
от реализации продукции, тыс. руб.
|
149711
|
198654
|
+48943
|
|
выпуск
продукции, тыс. руб.
|
149711
|
198654
|
+48144
|
|
доля
выручки, %
|
1
|
1
|
0
|
|
среднегодовая
сумма капитала, тыс. руб.
|
14995
|
18580
|
+3585
|
|
прибыль
на одного работника, тыс. руб.
|
119,14
|
111,25
|
-7,89
|
|
рентабельность
продукции, %
|
12,41
|
11,03
|
-1,38
|
|
рентабельность
оборота, %
|
12,41
|
-1,38
|
|
Коэффициент
оборачиваемости капитала
|
9,98
|
10,69
|
+0,71
|
|
сумма
капитала на одного работника, тыс руб
|
96,12
|
94,31
|
-1,81
|
|
среднегодовая
выработка, тыс. руб.
|
959,7
|
1008,4
|
+48,7
|
Изменение прибыли на одного работника произошло
в отчетном периоде
А) за счет производительности труда при росте
среднечасовой выработки на 48,7:
,7*1*0,1241=+6тыс. руб.
Б) удельный вес реализованной продукции
изменения не оказал:
,4*0*0,1241=0
В) Снижения рентабельности продаж на 1,38%
,4*1*(-1,38)/100=-13,89тыс. руб.
ИТОГО: -7,89 тыс. руб.
2.6 Анализ использования рабочего
времени и производительности труда в ООО «Хлебный Дом»
К обобщающим показателям относятся
среднегодовая, среднедневная и среднечасовая выработка продукции одним рабочим,
а также среднегодовая выработка продукции на одного работающего в стоимостном
выражении.
Частные показатели - это затраты времени на
производство единицы продукции определенного вида (трудоемкость продукции) или
выпуск продукции определенного вида в натуральном выражении за один
человеко-день или человеко-час. Вспомогательные показатели характеризуют
затраты времени на выполнение единицы определенного вида работ или объем
выполненных работ за единицу времени.
Наиболее обобщающим показателем
производительности труда является среднегодовая выработка продукции одним
работающим. Величина его зависит не только от выработки рабочих, но и от
удельного веса последних в общей численности промышленно-производственного персонала,
а также от количества отработанных ими дней и продолжительности рабочего дня.
Рисунок 6 - Взаимосвязь факторов, определяющих
среднегодовую выработку продукции работником предприятия
Отсюда среднегодовая выработка продукции одним
работником равна произведению следующих факторов:
(15),
Таблица 10 - Проведем анализ эффективности
использования рабочего времени
|
Показатель
|
На
одного рабочего
|
откл
|
|
2010
|
2011
|
|
|
1Календарное
количество дней
|
365
|
365
|
-
|
|
2.В
том числе: праздничные и выходные дни
|
74
|
62
|
-12
|
|
3.Номинальный
фонд рабочего времени, дни (1-2)
|
291
|
303
|
+12
|
|
4.Неявки
на работу, дни
|
51
|
58
|
+7
|
|
5.В
том числе: ежегодные отпуска
|
30
|
30
|
-
|
|
6.отпуска
по учебе
|
7
|
7
|
-
|
|
7.отпуска
по беременности и родам
|
5
|
4
|
-1
|
|
8.дополнительные
отпуска с разрешения администрации
|
2
|
4
|
+2
|
|
9.болезни
|
7
|
7
|
-
|
|
10.прогулы
|
-
|
4
|
+4
|
|
11.простои
|
-
|
2
|
+2
|
|
12.Явочный
фонд рабочею времени, дни (3-4)
|
240
|
245
|
+5
|
|
13.Продолжительность
рабочей смены, ч
|
8
|
8
|
-
|
|
14.
Бюджет рабочею времени, ч (12*13)
|
1920
|
1960
|
+40
|
|
18.Внутрисменные
простои, ч
|
12
|
49
|
+37
|
|
Средняя
продолжительность смены
|
7,95
|
7,8
|
-015
|
|
19.Полезный
фонд рабочего времени, ч(14-15-16-17-18)
|
1908
|
1911
|
+3
|
Таким образом, на предприятии наблюдается
повышение эффективности использования рабочего времени, увеличивается полезный
фонд рабочего времени (в основном за счет сокращения количества выходных и
праздничных дней), увеличивается и количество прогулов и простоев, что снижает
полезный фонд. Установка нового оборудования приводит к внутрисменным потреям.
Таблица 11 - Исходные данные для факторного
анализа
|
Показатель
|
2010
|
2011
|
(+,-)
|
|
Объём
производства продукции, тыс. руб.
|
149711
|
198
654,00
|
+48943
|
|
Численность
промышленно-производственного персонала (ППП)
|
156
|
197
|
+41
|
|
Численность
рабочих (КР)
|
135
|
160
|
+25
|
|
Удельный
вес рабочих в общей численности (УД),%
|
0,865
|
0,812
|
-0,053
|
|
Отработано
дней одним рабочим (Д)
|
240
|
245
|
+5
|
|
Средняя
продолжительность рабочего дня (П)
|
7,95
|
7,8
|
-0,15
|
|
Отработано
часов (Т)
|
1805,5
|
1911
|
+105,5
|
|
Среднегодовая
выработка одного рабочего (ГВ),
|
1108,97
|
1241,5985
|
+132,6175
|
|
Среднедневная
выработка (ДВ), тыс. руб.
|
4,62
|
5,068
|
+0,448
|
|
Среднечасовая
выработка (СВ), тыс. руб.
|
0,58
|
0,65
|
+0,07
|
По данным табл., среднегодовая выработка
работника предприятия выше плановой на 132,6175 тыс. руб.). Она возросла в
связи с увеличением доли рабочих в общей численности
промышленно-производственного персонала и за счет повышения среднечасовой
выработки рабочих. Отрицательно на ее уровень повлияли внутрисменные потери
рабочего времени
На основании данных таблицы проведём факторный
анализ и увидим, как повлиял каждый из факторов на величину годовой выработки.
Изменение среднегодовой выработки рабочего:
ГВД=(+5)*7,95*0,58=+22 тыс. руб.
ГВП=245*(-0,15)*0,58=-22 тыс. руб.
ГВЧВ=245*7,8*0,07=133 тыс. руб.
ИТОГО: 133 тыс. руб.
2.7 Анализ трудоемкости продукции в
ООО «Хлебный Дом»
Трудоемкость единицы продукции (ТЕ)
рассчитывается отношением фонда рабочего времени на изготовление i-го вида
продукции к объему его производства в натуральном или условно-натуральном
измерении. Можно рассчитать и трудоемкость одного рубля продукции (общий фонд
рабочего времени на производство всей продукции нужно разделить на стоимость
выпущенной продукции). Полученный показатель - обратный среднечасовой выработке
продукции.
В процессе анализа изучают динамику
трудоемкости, выполнение плана по ее уровню, причины, ее изменения и влияние на
уровень производительности труда.
Из таблицы видно, что плановое задание по
снижению трудоемкости продукции в целом по предприятию значительно
перевыполнено. Плановое задание по снижению трудоемкости продукции к прошлому
году: 1,63/1,63х100 - 100 = 0%, фактическое снижение трудоемкости к уровню
прошлого года:
,54 / 1,63 х 100 - 100 = -5,52 %.
Таблица 12 - Анализ динамики и выполнения плана
по уровню трудоемкости продукции
|
Показатель
|
2010
|
2011
|
рост
уровня показателя, %
|
|
|
план
|
факт
|
план
к прошлому году
|
факт
к прошлому году
|
факт
к плану
|
|
Выпуск
продукции, тыс.руб.
|
149711
|
149711
|
198654
|
100
|
132,692
|
132,692
|
|
отработано
чел-часов
|
243742,5
|
243742,5
|
305760
|
100
|
125,444
|
125,444
|
|
удельная
трудоемкость на 1 тыс. руб, ч
|
1,63
|
1,63
|
1,54
|
100
|
94,479
|
94,479
|
|
среднечасовая
выработка, руб.
|
580
|
580
|
650
|
100
|
112,069
|
112,069
|
Таблица 13 - Расчет влияния факторов изменения
годовой выработки на уровень рентабельности персонала
|
Факторы
изменения среднегодовой выработки
|
Расчет
влияния
|
Изменение
прибыли на одного работника
|
|
1
Удельный вес рабочих в общей численности персонала
|
-59*0,98*0,1241
|
-7,18
|
|
2.
Количество отработанных дней одним рабочим за год
|
21*0,98*0,1241
|
+2,55
|
|
3.
средняя продолжительность рабочего дня
|
-17*0,98*0,1241
|
-2,06
|
|
4.
Среднечасовая выработка
|
108*0,98*0,1241
|
+13,13
|
|
5.
Изменение уровня отпускных цен
|
41,07*0,98*0,1241
|
+5
|
|
итого
|
|
+11,44
|
Между изменением общей трудоемкости и
среднечасовой выработкой существует обратно пропорциональная зависимость.
Поэтому, зная, как изменилась трудоемкость продукции, можно определить темпы
прироста среднечасовой выработки:
(17),
Фактическая трудоемкость ниже планового уровня
на 5,52 %. Найдем темп роста производительности труда:
И наоборот, зная темп роста производительности
труда, можно определить процент снижения трудоемкости продукции.

(18),
Поскольку между трудоемкостью продукции и
уровнем производительности труда существует обратно пропорциональная
зависимость, то общая удельная трудоемкость продукции зависит от тех же
факторов, что и среднечасовая выработка рабочих.
Сравним действующие нормы выработки.
Рисунок 7 - Нормы выработки на 1 человека
Таким образом предприятие отдает предпочтение по
выработке наиболее потребляемым видам продукции.
2.8 Анализ использования фонда
оплаты труда в ООО «Хлебный Дом»
Анализ использования трудовых ресурсов на
предприятии, уровня производительности труда необходимо рассматривать в тесной
связи с оплатой труда. С ростом производительности труда создаются реальные
предпосылки для повышения уровня его оплаты. При этом средства на оплату труда
нужно использовать таким образом, чтобы темпы роста производительности труда
обгоняли темпы роста его оплаты. Только при таких условиях создаются возможности
для наращивания темпов расширенного воспроизводства.
Таблица 14 - Анализ использования средств,
направляемых на потребление
|
Вид
оплаты
|
план
|
факт
|
отклонение
|
|
1.
Фонд оплаты труда
|
16583
|
17816,4
|
1233,4
|
|
1.1.
по сдельным расценкам
|
10890
|
13024,4
|
2134,4
|
|
1.2.
по окладам и тарифным ставкам
|
4200
|
2800
|
-1400
|
|
1.3.
премии за производственные результаты
|
245
|
450
|
205
|
|
1.4.
доплаты за производственное матсерство
|
25
|
41
|
16
|
|
1.5.
оплата ежегодных и дополнительных отпусков
|
1213
|
1489
|
276
|
|
1.6.
оплата льготных часов
|
0
|
0
|
0
|
|
1.7.
оплата простоев
|
10
|
12
|
2
|
|
1.8.
оплата труда совместителей
|
0
|
0
|
0
|
|
2.
Выплаты за счет чистой прибыли
|
5000
|
7000
|
2000
|
|
2.1.
Вознаграждение за результаты работы по итогам года
|
4100
|
5800
|
1700
|
|
2.2.
материальная помошь
|
500
|
750
|
250
|
|
2.3.
единовременные выплаты
|
300
|
300
|
0
|
|
2.4.
прочие выплаты
|
100
|
150
|
50
|
|
3.
Выплаты социального характера
|
528
|
635,6
|
107,6
|
|
итого
выплат
|
22111
|
25452
|
3341
|
Рисунок 8 - Структура выплат, направляемых на
потребление в 2010 г.
Рисунок 9 - Структура выплат, направляемых на
потребление в 2011 г.
Таким образом, на предприятии наблюдается рост
фонда оплаты труда и в целом средств направляемых на потребление, в отчетном
периоде удельный вес ФЗП снижен на 5% и составил 70% от всех выплат. Это
объясняется тем, что на 2011 год не было запланировано увеличение численности
рабочих, так как возможности роста объемов производства своевременно не были
определены. Что свидетельствует о низком качестве системы планирования.
Вследствие чего были снижены выплаты единовременного характера и сокращена
численность вспомогательного и прочего персонала. Недостающая часть средств
выплачивается за счет чистой прибыли, что не является экономически грамотным,
так как снижает прибыль предприятия, а так же сумму налогов, уплачиваемую в
бюджет.
Рисунок 10 - Структура фонда оплаты труда
Данные рисунка свидетельствуют о том, что
наибольшие выплаты приходятся на оплату по сдельным расценкам и тарифным
ставкам, а так же очередные и дополнительные отпуска.
Рисунок 11 - Структура выплат
Таблица 15 - Соотношение тарифов по категориям
персонала
|
Персонал
|
2010
|
2011
|
Процент
роста
|
|
бригадир
|
35,91
|
39,5
|
110,00
|
|
машинист
|
27,7
|
30,47
|
110,00
|
|
тестовод
|
29,76
|
32,73
|
109,98
|
|
пекарь
|
28,72
|
31,6
|
110,03
|
|
укладчик
|
27,7
|
30,47
|
110,00
|
|
Дежурный
слесарь
|
28,98
|
31,88
|
110,01
|
|
укладчик
|
27,7
|
30,47
|
110,00
|
Таблица 16 - Динамика расценок на булочные
изделия
|
Персонал
|
2010
|
2011
|
Процент
роста
|
19,24
|
21,16
|
109,98
|
|
формовщик
теста
|
18,18
|
20
|
110,01
|
|
тестовод
|
18,18
|
20
|
110,01
|
|
укладчик
|
14,8
|
16,28
|
110,00
|
|
формовщик
теста
|
18,18
|
20
|
110,01
|
|
пекарь
сухар.
|
18,18
|
20
|
110,01
|
Рабочим основного производства в целях мотивации
была повышена оплата труда в отчетном периоде на 10% при условии сокращения
общей суммы компенсационных выплат.
При этом расценки работников, занятых
производством хлеба почти вдвое выше, чем у работников булочного производства.
Приступая к анализу использования фонда
заработной платы, включаемого в себестоимость продукции, в первую очередь
необходимо рассчитать абсолютное и относительное отклонение фактической его величины
от плановой.
Абсолютное отклонение (
ФЗЛабс)
определяется сравнением фактически использованных средств на оплату труда
(ФЗПф) с плановым фондом заработной платы (ФЗПпл) в целом по предприятию,
производственным подразделениям и категориям работников:
Абс. Откл. =17816,4-16583=+12334 тыс. руб.
Однако следует иметь в виду, что абсолютное
отклонение само по себе не характеризует использование фонда зарплаты, так как
этот показатель определяется без учета степени выполнения плана по производству
продукции.
Относительное отклонение рассчитывается как
разность между фактически начисленной суммой зарплаты и плановым фондом,
скорректированным на коэффициент выполнения плана по производству продукции.
Процент выполнения плана по производству продукции составляет 107,44% Однако
необходимо учитывать, что корректируется только переменная часть фонда
заработной платы, которая изменяется пропорционально объему производства
продукции. Это зарплата рабочих по сдельным расценкам, премии рабочим и
управленческому персоналу за производственные результаты и сумма отпускных,
соответствующая доле переменной зарплаты.
Постоянная часть оплаты труда не изменяется при
увеличении или спаде объема производства (зарплата рабочих по тарифным ставкам,
зарплата служащих по окладам, все виды доплат, оплата труда работников
непромышленных производств и соответствующая им сумма отпускных).
Определим относительное отклонение по фонду
заработной платы с учетом выполнения плана по производству продукции:
(20),
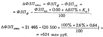
=17816,4-(11608*1,33+4975)= - 2597,24 тыс. руб.
При расчете относительного отклонения по фонду
зарплаты можно использовать так называемый поправочный коэффициент (Кп),
который отражает удельный вес переменной зарплаты в общем фонде. Он показывает,
на какую долю процента следует увеличить плановый фонд зарплаты за каждый
процент перевыполнения плана по выпуску продукции (
ВП%):
(21),
=17816,4-
тыс. руб.
Следовательно, на данном предприятии имеется и
относительная экономия в использовании фонда зарплаты в размере 2597,3тыс. руб.
В процессе последующего анализа необходимо
определить факторы абсолютного и относительного отклонения по фонду зарплаты.
Переменная часть фонда зарплаты зависит от
объема производства продукции (VВП), его структуры (УДi), удельной трудоемкости
(утеi) и уровня среднечасовой оплаты труда (ОТi)
Расчет среднего заработка работника
=16583/156=106,30 тыс. руб или 8858 рублей в
месяц
=17816,4/197=90,44 тыс. руб. или 7536,54 рублей
в месяц
Изменение среднего заработка работающих за тот
или иной отрезок времени (год, месяц, день, час) характеризуется его индексом
(Jсз), который определяется отношением средней зарплаты за отчетный период
(C31) к средней зарплате в базисном периоде (СЗо).
Аналогичным образом рассчитывается индекс
производительности труда (1гв):
зп=90,44/106,30=0,85
пт=1,33
Приведенные данные показывают, что на
анализируемом предприятии темпы роста производительности труда опережают темпы
роста оплаты труда. Коэффициент опережения равен
(23),
,33/0,85=1,6
Для определения суммы экономии (-Э) или
перерасхода (+Э) фонда зарплаты в связи с изменением соотношений между темпами
роста производительности труда и его оплаты можно использовать следующую
формулу:
(24),
Э=17816,4
тыс. руб
В нашем примере более высокие темпы роста
производительности труда по сравнению с темпами роста оплаты труда
способствовали экономии фонда зарплаты
Для оценки эффективности использования средств
на оплату труда необходимо применять такие показатели, как объем производства
продукции в действующих ценах, выручку, сумму валовой, чистой,
реинвестированной прибыли на рубль зарплаты и др. В процессе анализа следует
изучить динамику этих показателей, выполнение плана по их уровню. Очень
полезным будет межзаводской сравнительный анализ, который покажет, какое
предприятие работает более эффективно.
Из табл. видно, что анализируемое предприятие
добилось повышения эффективности использования средств фонда оплаты труда. На
рубль зарплаты в отчетном году произведено больше товарной продукции, получено
больше валовой и чистой прибыли, сделано больше отчислений в фонд накопления,
что следует оценить положительно. Уровень первых двух показателей выше, чем у
предприятия-конкурента. Однако по размеру чистой прибыли и отчислениям в фонд
развития конкурирующее предприятие имеет лучшие результаты, из чего следует
сделать соответствующие выводы.
|
Таблица
17- Данные для факторного анализа прибыли на один рубль заработной платы
|
|
Показатель
|
План
|
Факт
|
Откл.
|
|
прибыль
от реализации продукции, тыс. руб.
|
18586
|
21917
|
+3331
|
|
чистая
прибыль
|
14985
|
18522
|
+3537
|
|
доля
чистой прибыли
|
0,806252
|
0,845097
|
+0,038
|
|
выручка
от реализации продукции
|
149711
|
198654
|
+48943
|
|
выпущенная
продукция
|
149711
|
198654
|
+48943
|
|
удельный
вес выручки
|
1
|
1
|
-
|
|
рентабельность
продаж
|
12,41
|
11,03
|
-1,38
|
|
фонд
заработной платы
|
16583
|
17816,4
|
+1233,4
|
|
среднегодовая
зарплата
|
106,30
|
90,44
|
-15,86
|
|
прибыль
на рубль зарплаты
|
1,2403
|
1,2301
|
-0,0101
|
|
чистая
прибыль на рубль зарплаты
|
0,9036
|
1,0396
|
+0,1359
|
|
удельный
вес рабочих
|
0,865
|
0,812
|
-0,053
|
|
отработано
дней одним рабочим
|
240
|
245
|
+5
|
|
средняя
продолжительность рабочего дня
|
7,95
|
7,8
|
-0,15
|
|
среднечасовая
выработка
|
0,58
|
0,65
|
+0,07
|
Для расчета влияния факторов по приведенным выше
моделям может использоваться способ цепной подстановки. Используя данные табл.
16.18, узнаем, за счет каких факторов изменилась чистая прибыль на рубль
зарплаты:
ЧП/ФЗППЛ=0,806*0,1241*1*0,58*7,95*240*0865/106,3=0,9
руб.
ЧП/ФЗПУСЛ1=0,806*0,1241*1*0,58*7,95*240*0865/90,44=1,04
руб.
ЧП/ФЗПУСЛ2=0,806*0,1241*1*0,58*7,95*240*0812/90,44=0,97
руб.
ЧП/ФЗПУСЛ3=0,806*0,1241*1*0,58*7,95*245*0812/90,44=0,99
руб.
ЧП/ФЗПУСЛ4=0,806*0,1241*1*0,58*7,8*245*0812/90,44=0,98
руб.
ЧП/ФЗПУСЛ5=0,806*0,1241*1*0,65*7,8*245*0812/90,44=1,09
руб.
ЧП/ФЗПУСЛ6=0,806*0,1241*1*0,65*7,8*245*0812/90,44=1,17
руб.
ЧП/ФЗПУСЛ7=0,806*0,1103*1*0,65*7,8*245*0812/90,44=0,98
руб.
ЧП/ФЗПФАКТ=0,845*0,1103*1*0,65*7,8*245*0812/90,44=1,03
руб.
Изменение чистой прибыли на рубль зарплаты
общее: +0,135 руб.
в том числе за счет изменения:
среднегодового заработка одного работника
предприятия +0,14 руб.
удельного веса рабочих в общей численности
персонала -0,07 руб.
количества отработанных дней одним рабочим за
год+ 0,02 руб.
средней продолжительности рабочего дня -0,01
руб.
среднечасовой выработки рабочих +0,11 руб.
коэффициента реализуемости продукции +0,0 руб.
85
уровня рентабельности продаж -0,19 руб.
доли чистой прибыли в общей сумме валовой
прибыли 0,05 руб.
Проведенный анализ показывает основные
направления поиска резервов повышения эффективности использования его на оплату
труда. На анализируемом предприятии это сокращение сверхплановых целодневных,
внутрисменных и производительных потерь рабочего времени, повышение
коэффициента реализуемости продукции и т.д.
3. Повышение производительности
труда и его оплаты в ООО «Хлебный Дом»
Рассмотрим резервы увеличения валовой продукции.
При освоении данного резерва предприятие сможет получить дополнительную
прибыль, что соответственно поможет увеличить уровень заработной платы, а также
максимально автоматизировать рабочие места, чтобы облегчить труд своих
работников.
Для начала рассчитаем резерв увеличения объёма
валовой продукции. Нам известна фактическая структура объёма продукции.
Увеличим производство продукции основного производства на 5%.
Таблица 18- Подсчет резервов увеличения объёма
валовой продукции
|
Показатель
|
Фактический
объем ВП, тыс. руб.
|
Структура
%
|
Улучшенная
структура, %
|
(+/-)
|
Резерв
роста объема ВП
|
Возможный
объем ВП
|
|
Продукция
основного производства, тыс. руб.
|
154000
|
77,5
|
82,5
|
5
|
+7700
|
161700
|
|
Прочая
продукция, тыс. руб.
|
44654
|
22,5
|
17,5
|
-5
|
-2232,7
|
42421,3
|
|
ИТОГО:
|
198654
|
100
|
100
|
-
|
5467,3
|
204121,3
|
Анализ таблицы показал, что в результате
снижения объема производства прочей продукции и соответственно увеличения
продукции основного производства (хлебобулочных изделий) на 5%, объем
производства прочей продукции снизился на 2232,7 тыс. руб. Объём производства
хлебобулочных изделий увеличился на 7700 тыс. руб. Таким образом, в результате
изменения структуры производства резерв роста валовой продукции составил 5467
тыс. руб.
Итак, мы рассчитали возможный резерв увеличения
объёма производства продукции. Соответственно при увеличении объёма
производства продукции увеличится и объём реализованной продукции, а значит
увеличится и сумма прибыли. Теперь подсчитаем резерв увеличения прибыли за счёт
увеличения объёма производства продукции.
трудовой ресурс производительность
прибыль
Таблица 19 - Резервы роста прибыли за счет
увеличения объема реализации продукции
|
Показатель
|
Резерв
увеличения объема производства продукции, тыс. руб.
|
Фактическая
сумма прибыли, %
|
Резерв
увеличения суммы прибыли, тыс. руб.
|
|
Всего
по предприятию
|
5467
|
11,03%
|
603,01
|
Таким образом, в результате увеличения выпуска
валовой продукции на 5467 тыс. руб. резерв увеличения прибыли составит 603 тыс.
руб. Т.е. возможный объём прибыли составит 22520,1 тыс. руб.
Во второй главе данной работы были рассмотрены и
проанализированы показатели производительности труда и трудоёмкости.
В результате проведённого анализа было выявлено
явное снижение производительности труда в отчётном году вследствие снижения
продолжительности рабочего дня. В связи с этим на предприятии необходимо
принять меры к увеличению уровня среднечасовой выработки. Этого можно добиться
путём увеличения валовой продукции за счёт внедрения мероприятий НТП. Этого
также можно добиться путём снижения затрат рабочего времени на производство
продукции, за счёт механизации и автоматизации производственного процесса,
улучшения уровня организации труда и т.д. Ранее мы рассчитали резерв увеличения
производства продукции, теперь необходимо рассчитать дополнительные затраты на
производство продукции и резерв снижения затрат. Потом у нас будет возможность
рассчитать резерв увеличения часовой выработки. Вычислим сначала дополнительные
затраты труда на производство дополнительного объёма продукции, которые нам
будут необходимы для расчёта резерва увеличения среднечасовой выработки.
Таблица 20 - Подсчёт дополнительных затрат труда
на производство дополнительной продукции
|
Показатель
|
Затраты
труда фактические, тыс. чел.час.
|
Затраты
труда дополнительные, тыс. чел.час.
|
Фактический
объём ВП, тыс. руб.
|
Возможный
объём ВП, тыс. руб.
|
|
Всего
по предприятию
|
3764670
|
8411
|
198654
|
199074,55
|
Итак, на производство дополнительного объёма
продукции необходимы дополнительные затраты труда.
Так же предприятие может увеличить выпуск
продукции за счет отработки утраченных 5880 чел-часов, при этом выпуск
продукции составит +3822 тыс. руб и позволит выйти на прежний уровень прибыли
на одного работника, ликвидация простоев и прогулов на предприятии (6 дней)
повысит выпуск продукции на 1350 тыс. руб.
Одним из наиболее существенных недостатков на
предприятии является отсутствие системы планирования. Так произошедшее
увеличение численнсти работников на 41 человек из-за наращивания объема
производства не было запланировано, а следовательно и оплата труда по нему тоже
не планировалась, средства на выплату зарплаты запланированы не были, чтобы не
повышать себестоимость продукции предприятие выплачивало часть средств за счет
прибыли.
К примеру на предприятии средняя зарплата
сформируется как 8858+10%=9743,8 руб, следовательно годовой фонд зарплаты
должен быть равен 23034343,2 рубля
Таким образом, общий выпуск продукции можно
увеличить на 11039,3 тыс. руб.
Пути повышения производительности труда:
) сокращение затрат труда на производство
продукции при помощи интенсификации производства, сокращения потерь рабочего
времени за счет улучшения организации производства, внедрения комплексной
механизации и автоматизации производства, более совершенной техники и технологии
производства, материально-технического снабжения и других факторов в
соответствии с планом организационно-технических и инновационных мероприятий;
) увеличение выпуска продукции за счет полного
использования производственной мощности предприятия, т.к. при наращивании
объемов производства на имеющейся мощности увеличивается только переменная
часть затрат рабочего времени, а постоянная остается без изменения. В
результате затраты времени на выпуск единицы продукции уменьшаются;
При выборе управленческой стратегии по
обеспечению роста производительности труда необходимо также учитывать, что:
) происходит увеличение объема выпуска продукции
при снижении затрат труда на ее производство, объем продукции растет быстрее,
чем затраты труда;
) объем продукции остается неизменным при
снижении затрат труда;
)объем продукции растет при неизменных затратах
труда;
) объем продукции снижается более медленными
темпами, чем затраты труда.
Список использованных источников
1. Конституция
Российской Федерации от 12.12.1993 г. (в ред. от 30.12.12 г).
2. Гражданский
кодекс РФ 1 часть от 30.11.1994 г. № 51-ФЗ (в ред. от 30.12.12) и 2 часть от
26.01.1996 г. № 14-ФЗ (в ред. от 20.12.12г. № 19-ФЗ).
. Трудовой
кодекс 30.12.2001. г. № 197 - ФЗ (в ред. от 30 декабря 2012 г).
. Налоговый
кодекс РФ часть первая от 31.07.1998 г. № 146-ФЗ и часть вторая от 05.08.2000
г. № 117-ФЗ (в редакции от26.11.2012 г.).
. Федеральный
закон "О минимальном размере оплаты труда" от 30.03.93 г. N 82-ФЗ. (в
ред. от 20.01.13 г.).
. Федеральный
закон «о бухгалтерском учете» от 21.11.1996 г. № 129-ФЗ.
. Федеральный
Закон № 255 от 29.12.2006 «Об обеспечениями пособиями по временной
нетрудоспособности, по беременности и родам граждан, подлежащих обязательному
соц. страхованию».
. Федеральный
Закон № 50 «О государственных пособиях гражданам, имеющих детей», 2006 г.
. Инструкция
по бюджетному учету от 10 февраля 2006 г. N 25н.
. Инструкция
о составе фонда заработной платы и выплат социального характера при заполнении
организациями форм федерального государственного статистического наблюдения от
24.11.2013 № 116.
. Ньс.
Ру. Новости от 26 ноября 2012 г.
. Что
нового нас ждет о оплате труда?//Вестник.2012. - № 10.
. Озерова
Н.Б.. Труд. Заработная плата. Кадры. // «Советник бухгалтера». 2012. - № 5
. Васильева
Л.С. Бухгалтерский управленческий учет. Практическое руководство. - М.: Эксмо,
2008-320 с.
. Кондраков
Н.П. Бухгалтерский учет. Учебное пособие. - М.: ИНФРА - М, 2010.- 640 с.
. Кондраков
Н.П. Бухгалтерский учет. Учебное пособие. - М.: ИНФРА - М, 2008.- 717 с.
. Савицкая
Г.В. Анализ хозяйственной деятельности предприятия. Учебное пособие - Мн.:
Новое знание, 2008.- 704 с.
. Сорокина
М.Е. Организация и регулирование оплаты труда.- М.: Вузовский учебник, 2009 -
301 с.
. Чечевицина
Л.Н. Анализ хозяйственной деятельности. Учебник.- Ростов н/д.: Феникс, 2009.-
384 с.
20. www.minfin.ru
<http://www.minfin.ru/> официальный сайт Минфина России
. www.rg.ru
<http://www.rg.ru/> - официальный сайт Российской газеты