Исследование свойств кофеина и его содержания в продуктах

  • Вид работы:
    Курсовая работа (т)
  • Предмет:
    Медицина, физкультура, здравоохранение
  • Язык:
    Русский
    ,
    Формат файла:
    MS Word
    667,95 Кб
  • Опубликовано:
    2017-04-10
Вы можете узнать стоимость помощи в написании студенческой работы.
Помощь в написании работы, которую точно примут!

Исследование свойств кофеина и его содержания в продуктах

СОДЕРЖАНИЕ

Введение

.        Теоретическая часть

.1.      История открытия кофеина, описание, свойства, получение, хранение и применение

.2.      Токсикологическое значение кофеина

.3       Метаболизм и изолирование кофеина

.4       Анализ кофеина

.4.1    Качественный

.4.2    Количественный

.        Практическая часть

.1       Анкета опроса потребления продуктов с кофеином

.2       Подготовка продуктов для анализа на кофеин

.3       Методика количественного определения кофеина методом йодометрического титрования

.        Результаты и их обсуждение

.1       Анкетирование потребления продуктов с кофеином

.2       Количественное определение кофеина методом йодометрического титрования

Заключение

Список литературы

Введение

Алкалоид кофеин (1,3,7-триметилксантин) содержится в листьях чая, зернах кофе, орехах кола, гуаране, широко используется в качестве пищевых добавок, входит в состав многих энергетических напитков. Он применяется при заболеваниях, сопровождающихся угнетением центральной нервной и сердечно-сосудистой системы, для повышения психической и физической работоспособности, уменьшения усталости и сонливости, понижает агрегацию тромбоцитов.

Кофеинсодержащие напитки находят широкое применение, в то же время границы диапазонов лечебной и токсической концентрации этого препарата близки, в связи с чем возникает актуальность необходимости контроля за содержанием кофеина в растительном сырье и пищевых продуктах.

Целью данной работы является: исследование свойств кофеина и его содержания в продуктах, наиболее часто употребляемых жителями Нижнего Новгорода.

Для осуществления цели данной работы были поставлены следующие задачи:

) Провести анализ литературы по данной теме, рассмотреть свойства, строение, получение, токсикологическое значение, качественный и количественный анализ, хранение и применение кофеина;

) Осуществить опрос, применяя метод анкетирования, жителей Нижнего Новгорода, для определения наиболее употребляемых продуктов содержащих кофеин;

) Провести количественное определение кофеина в продуктах наиболее употребляемыми жителями Нижнего Новгорода.

.       
Теоретическая часть

1.1 История открытия кофеина, описание, свойства, получение, хранение и применение

Кофеин

Coffeinum

,3,7-Триметилксантин

C8H10N4O2·H2O М.м. 212.21

Кофеин открыт впервые Рунге в 1819 г. Он содержится (до 2%) в зернах кофе (Cojfea arabica L.) семейство мареновых - Rubiaceae, листьях чая (Thea sinensis L.), семейство чайных - Theaceae и в других растениях. В небольших количествах в чае содержится теофиллин, который был открыт Косселем в 1889 г. Теобромин впервые изучен русским ученым А.А.Воскресенским в 1842 г, а в 1889 г был выделен из зерен кофе и чайных листьев [1].

Представляет собой белые, шелковистые игольчатые кристаллы или белый кристаллический порошок горьковатого вкуса, без запаха, выветривающийся на воздухе, медленно растворим в 60 частях холодной воды, легко растворим в горячей воде и хлороформе, трудно растворим в спирте, очень мало растворим в эфире. Температура плавления 234-237º.

Природным источником получения пуриновых алкалоидов служат отходы чайной промышленности (чайная пыль, обрезки листьев и т.д.), содержащие 1-3% кофеина; бобы какао, в которых находится 1,5-2% теобромина [2].

Известно несколько способов получения кофеина. Один из них основан на противоточной экстракции. Водный экстракт очищают от примесей, осаждают балластные вещества с помощью солей свинца, кальция, магния. Фильтрат затем выпаривают. Перекристаллизацию кофеина производят из охлажденных водных растворов. Аналогичным способом выделяют из бобов какао теобромин либо в виде основания, либо в виде кальциевой соли (растворимой в воде).

Значительно больший выход дает способ получения кофеина, разработанный в 1952 г. Н.А.Измайловым, Ю.В.Шостенко, В.Д.Безуглым. Он основан на адсорбции кофеина из водных растворов с последующей десорбцией хлороформом или дихлорэтаном.

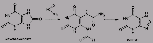
Синтетические способы получения пуриновых алкалоидов отличаются более высокой экономичностью и доступностью исходного сырья. Таким сырьем является мочевая кислота, которую предварительно синтезируют термической конденсацией двух молекул мочевины с ацеталем (110°С) или извлекают водой из экскрементов птиц (гуано), где ее количество достигает 25%. Кофеин и теобромин синтезируют после предварительного получения ксантина из мочевой кислоты действием формамида:


Ксантин затем метилируют диметилсульфатом. В зависимости от условий метилирования получают кофеин или теобромин:


Кофеин получается, если метилирование выполняют при рН 8,0-9,0, а теобромин - в присутствии гидроксида калия и метанола при 60-70° С.

Хранение.

Список Б. В хорошо укупоренной таре.

Применение.

Стимулятор центральной нервной системы и кардиотоническое средство. Кофеин производит непосредственное и прямое возбуждение различных отделов центральной нервной системы, увеличивает работоспособность поперечнополосатых мышц, является сильным мочегонным средством, повышает возбудимость и силу сердечной мышцы. Назначается внутрь в порошках, пилюлях и таблетках. Препараты: «Кофетамин», «Кофицил», «Цитрамон» и др [3-4].

Высшая разовая доза внутрь - 0,3 г.

Высшая суточная доза внутрь-1,0 г.

1.2 Токсикологическое значение кофеина

Главной особенностью кофеина как лекарственного препарата является его возбуждающее влияние на ЦНС. Кофеин содержится в листьях чая (Thea sinensis, Camellia sinensis, семейство Theaceae), орехах кола (Cola nitida, Cola acuminata, семейство Sterculiaceae), в зернах кофейного дерева (Cojfea arabica, семейство Rubiaceae).

В медицинской практике используют кофеин и кофеин-бензоат натрия. Применяют препараты внутрь 2-3 раза в день по 0,05-0,1 г в качестве стимулятора ЦНС, кардио- тонического средства, при спазмах сосудов. Для инъекций кофеин используют в виде кофеин-бензоата натрия.

Токсикомании, связанные со злоупотреблением стимуляторов ЦНС, имеют общие черты с наркоманиями амфетаминовош ряда и эфедроновой наркоманией, но протекают мягче и без тяжелых последствий. Острая интоксикация вызывает эйфорию, ощущение бодрости, прилива сил, ясности мышления, стремление к активной деятельности. Для достижения желаемого эффекта требуется постоянно увеличивать дозу. Это приводит к резкому возрастанию толерантности. В результате прием кофеина может достигать 100-200 таблеток в сутки. Длительный прием истощает организм, ощущается разбитость, усталость, повышенная сонливость, вялость, фон настроения снижен, возникают мысли суицидального характера. Одновременно отмечается стойкая бессонница, что влечет наркомана к приему снотворных.

Хроническая интоксикация крепко заваренным чаем носит название «чифиризма». Чифирь - заварка чая, при которой 50 г чая настаивают с 200-300 мл горячей воды.

Для острых отравлений кофеином (чаще всего детей) характерно поражение желудочно-кишечного тракта, возбуждение ЦНС. За счет сильной стимуляции желудочной секреции возникает боль в эпигастрии, чувство жжения, иногда рвота. Артериальное давление падает, наблюдаются эпилептоидные и клонико-тонические судороги. Смерть наступает в течение 1-2 ч после отравления.

Патологоморфологическая картина при вскрытии погибших неспецифична. Отмечают увеличение массы и объема органов за счет сосудорасширяющего действия, резкий отек легких, головного мозга и его оболочек [5].

1.3 Метаболизм и изолирование кофеина

Для кофеина характерна 1 фаза метаболизма, включающая деметилирование и окисление.


Окислению подвергаются продукты деметилирования.


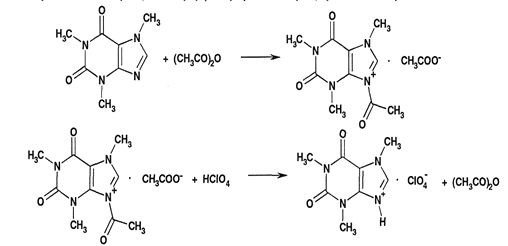
Кофеин обладает слабыми основными свойствами (рКа=0,6). Устойчивых солей кофеин не образует.

При изолировании из биологических объектов общими методами (Стаса-Отто, Васильевой) кофеин экстрагируется хлороформом из растворов с рН=2 [6].

1.4     Анализ кофеина

1.4.1  Качественный

При осторожном прибавлении к раствору кофеина (1:1000) раствора танина образуется обильный осадок, растворимый в избытке реактива.

Водный раствор препарата не должен давать осадка или помутнения от 0,1 н. раствора йода, а при добавлении нескольких капель разведенной соляной кислоты образуется бурый осадок, растворимый в избытке щелочи.


Мурексидная проба: к 0,01 г кофеина прибавляют в фарфоровой чашке 10 капель пергидроля и10 капель разведенной соляной кислоты. Смесь выпаривают на водяной бане досуха; остаток желтого или красного цвета смачивают 1-2 каплями раствора аммиака - образуется пурпурно-красное окрашивание.

Она основана на разрушении молекулы пурина при нагревании с окислителем (пероксидом водорода, бромной водой, азотной кислотой и т.д.) до образования смеси метилированных производных аллоксана и диалуровой кислоты. Взаимодействуя между собой, они образуют метилированные производные аллоксантина, которые под действием избытка раствора аммиака приобретают пурпурно-красное окрашивание. Окраска обусловлена появлением аммонийной соли тетраметилпурпуровой кислоты.


При проведении ТСХ-скрининга кофеин на пластинках фиксируется реактивом Драгендорфа в виде оранжевого пятна.

При использовании в процессе аналитического скрининга осадительных реактивов кофеин образует аморфные осадки с большинством из них.

Для обнаружения кофеина используют цветные, микрокристаллоскопические реакции, хроматографию в тонком слое сорбента, УФ-спектрофотометрию, ИК-спектроскопию, ГЖХ и ВЭЖХ.

Обнаружение кофеина с помощью ТСХ проводят на пластинках «Силуфол УФ-254» со слоем силикагеля. Хроматографируют в системе растворителей хлороформ - ацетон (9:1) или толуол - ацетон - этанол - 25% раствор аммиака (45:45:7,5:2,5).

Сухой остаток растворяют в 3-4 каплях хлороформа, наносят на стартовую линию хроматографической пластинки. Рядом наносят «стандарт» (8-10 мкг) - раствор кофеина. Пластинку после окончания хроматографирования высушивают и обрабатывают реактивом Драгендорфа - образующиеся оранжевые пятна по цвету и значению Rf должны быть идентичны пятну «стандарта» (Rf для кофеина в первой системе растворителей составляет 0,25±0,02, во второй - 0,65±0,02).

Реакция с хлоридом pmymu(II). На сухой остаток на предметном стекле наносят каплю 5% раствора хлорида ртути(II). Через 10-15 мин наблюдают образование крупных шелковистых бесцветных иглообразных кристаллов. Осадок представляет собой комплексное соединение состава C8Hl0N4O2∙HgCl2 (рис. 1).

Рис. 1. Кристаллы кофеина с хлоридом ртути(II)

Реакция с золотобромоводородной кислотой. На сухой остаток на предметном стекле наносят каплю реактива, состоящего из 5% раствора хлорида золота, концентрированной хлороводородной кислоты и ацетона (1:1:1). К образовавшемуся осадку добавляют несколько кристаллов бромида калия - осадок окрашивается в оранжево-красный цвет. При рассматривании осадка под микроскопом наблюдают крупные желтовато-коричневые и бесцветные иглы (рис. 2).

Рис. 2. Кристаллы кофеина с золотобромоводородной кислотой

Обнаружение кофеина по УФ- и ИК-спектрам. Часть остатка растворяют в этиловом спирте или в 0,1 М растворе хлороводородной кислоты и регистрируют спектр поглощения полученного раствора. Спектр кофеина имеет полосу поглощения с максимумом при 272-273 нм.

Часть остатка растирают с бромидом калия, прессуют, помещают полученный диск в прибор и регистрируют ИК-спектр. При наличии в остатке кофеина обнаруживаются основные характеристические полосы при 1695, 1658 и 745 см-1.

Высокоэффективная жидкостная хроматография. Исследование рекомендовано проводить на жидкостном хроматографе «Милихром А-02» производства ЗАО «ЭкоНова». Методика основана на градиентном хроматографировании анализируемого соединения в строго стандартных условиях с детектированием при 4-5 длинах волн. Для идентификации пиков на хроматограмме определяют время удерживания вещества и спектральные отношения (табл. 1).

Таблица 1.

Хроматографические характеристики кофеина

Вещество

Время удерживания, мин

Спектральные отношения r=a1/a210



220

240

250

280

Кофеин

7,25

0,443

0,156

0,158

0,390


Газожидкостная хроматография. Для анализа используют газожидкостный хроматограф «Кристалл-2000М» с кварцевой капиллярной колонкой и неподвижной жидкой фазой НР-5. Детектор пламенно-ионизационный. Газ-носитель - азот, давление - 110 кПа, деление потока - 1:15, расход водорода - 20 мл/мин, воздуха - 200 мл/мин, температура детектора - 300°С, испарителя - 250°С, колонки - 220°С. Время анализа - 20 мин. Объем вводимой пробы - 0,5-1 мкл очищенных спиртовых растворов остатков, полученных при испарении хлороформных экстрактов из биологических объектов. Одновременно в хроматограф вводят спиртовые растворы в том же объеме веществ-«реперов», которые позволяют идентифицировать исследуемые вещества без применения стандартов, используя справочные данные. Для обнаружения ядовитого вещества в исследуемой пробе фиксируют время удерживания определяемого соединения и логарифмический индекс удерживания (для кофеина он равен 2232) [7].

1.4.2  Количественный

Кофеин в водных растворах проявляет очень слабые основные свойства, практически его растворы имеют нейтральную реакцию. С минеральными кислотами кофеин солей не образует (они сразу же гидролизуются). Поэтому метод нейтрализации в водных растворах для кофеина неприменим. В неводной среде (хлороформ, уксусный ангидрид, бензол) кофеин проявляет выраженные основные свойства и его можно оттитровать хлорной кислотой (индикатор кристаллический фиолетовый).

Метод неводного титрования. Прямое титрование.


ВАК (внутриаптечный контроль): йодометрический метод. Обратное титрование.

2 + 2Na2S2O3 = 2NaI + Na2S4O6

Кофеин, теобромин и теофиллин можно количественно определить цериметрическим методом. Избыток сульфата церия, используемого в качестве титранта, при нагревании окисляет их в кислой среде до образования аллоксанов (1,3-диметилаллоксан образуется при окислении кофеина, 3-метилаллоксан - при окислении теобромина). На примере кофеина процесс можно представить следующим образом:


Избыток сульфата церия устанавливают иодометрическим методом после добавления 10%-ного раствора иодида калия и хлороформа. В качестве титранта используют тиосульфат натрия.

Так же количественное определение кофеина проводится с помощью газожидкостной хроматографии и высокоэффективной жидкостной хроматографии.

При определении с помощью ГЖХ используют условия, описанные выше при качественном обнаружении кофеина. После хроматографирования измеряют высоту (площадь) пика исследуемого вещества и высоту (площадь) пика стандартного раствора кофеина. Расчет концентрации кофеина в исследуемом объекте проводят по калибровочному графику.

При определении с помощью ВЭЖХ рекомендуется использовать метод добавок, метод внутреннего стандарта и метод внешнего стандарта. Расчет концентрации проводят по соответствующим формулам [8-11].

        

2.  Практическая часть

.1 Анкета опроса потребления продуктов с кофеином

Образец анкеты опроса потребления продуктов с кофеинов жителями Нижнего Новгорода представлен в таблице 2.

Таблица 2.

Анкета опроса потребления продуктов с кофеином

Укажите ваш возраст


№ п/п

Наименование продукта

Если употребляете, то напротив продукта в клеточке необходимо поставить «+», если нет, то пропускаете продукт

1.

Зеленый чай «Greenfield»


2.

Зеленый чай «Ява»


3.

Зеленый чай «Принцесса Нури»


4.

Черный чай «Greenfield»


5.

Черный чай «Ява»


6.

Черный чай «Принцесса Нури»


7.

Растворимый кофе «Jacobs»


8.

Растворимый кофе «Nescafe»


9.


10.

Заварной (зерновой) кофе «Nescafe»


11.

Энергетический напиток «Burn»


12.

Энергетический напиток «Adrenalin Rush»


13.

Энергетический напиток «Red Bull»



2.2 Подготовка продуктов для анализа на кофеин

Если продукт в жидкой форме, то отбирали 100 мл продукта для анализа. Если продукт растворим в воде (растворимый кофе, чай), то 2,0 г (точная навеска, или один пакетик чая) его заваривали в 100 мл воды. Если продукт нужно заваривать (заварной кофе), то 2,0 г (точная навеска) заваривали в 102-105 мл воды, чтобы получить конечный объем 100 мл. Полученный раствор является исследуемым раствором для количественного определения кофеина.

2.3     Методика количественного определения кофеина методом йодометрического титрования

Согласно ГОСТ 29148-91 [12].

10 мл исследуемого раствора титруют из бюретки 0,05 моль/л раствором тиосульфата натрия до неполного обесцвечивания и заканчивают титрование в колбе после прибавления 0,5 мл раствора крахмала.

Параллельно проводят контрольное определение, взяв вместо исследуемого раствора 10 мл дистиллированной воды.

3       

3.  Результаты и их обсуждение

3.1 Анкетирование потребления продуктов с кофеином

Опрос проводили среди молодежи города Нижнего Новорода в возрасте 16-28 лет. Были опрошены 36 человек, из них 20 женщин и 16 мужчин. Нужно учесть тот факт, что один человек может употреблять как кофе, так и чай и энергетические напитки, при том разных фирм.

Результаты опроса представлены в таблице 3.

Таблица 3.

Результаты опроса потребления продуктов с кофеином жителями Нижнего Новгорода

№ п/п

Наименование продукта

Количество человек потребляемых продукт

Процент потребления от общего количества опрошенных человек

1.

Зеленый чай «Greenfield»

15

41,7 %

2.

Зеленый чай «Ява»

10

27,8 %

3.

Зеленый чай «Принцесса Нури»

7

19,4 %

4.

Черный чай «Greenfield»

12

33,3 %

5.

Черный чай «Ява»

8

22,2 %

6.

Черный чай «Принцесса Нури»

3

8,3 %

7.

Растворимый кофе «Jacobs»

23

63,9 %

8.

Растворимый кофе «Nescafe»

28

77,8 %

9.

Заварной (зерновой) кофе «Jacobs»

26

72,2 %

10.

Заварной (зерновой) кофе «Nescafe»

31

86,1 %

11.

Энергетический напиток «Burn»

29

80,6 %

12.

21

58,3 %

13.

Энергетический напиток «Red Bull»

18

50,0 %


Как видно из приведенной таблицы 3 наиболее потребляемым зеленым чаем является зеленый чай «Greenfield» (41,7 %), черным чаем - черный чай «Greenfield» (33,3 %), растворимым кофе - растворимое кофе «Nescafe» (77,8 %), заварным (зерновым) кофе - «Nescafe» (86,1 %) и энергетическим напитком - «Burn» (80,6 %).

Следовательно, для количественного определения кофеина будут взяты образцы зеленого и черного чая фирмы «Greenfield», растворимого и зерного кофе фирмы «Nescafe» и энергетического напитка фирмы «Burn».

3.2     Количественное определение кофеина методом йодометрического титрования

Метод основан на полном осаждении кофеина в форме его периодида раствором йода в йодистом калии с последующим разрушением этого соединения спиртом и титрованием выделившегося йода раствором тиосульфата натрия.

Уравнение реакции:


Массовую долю кофеина (X) в расчете на сухую массу в процентах для вычисляли по формуле:

 

где V1 - объем раствора тиосульфата натрия, израсходованный на титрование исследуемого раствора, мл;

V2 - объем раствора тиосульфата натрия, израсходованный на титрование контрольного раствора, мл;

V3 - общий объем исследуемого раствора, 100 мл;

- объем исследуемого раствора, мл;

m - масса навески кофе или чая, г (для энергетического напитка масса не указывается, то есть равна 1);

К - коэффициент поправки к титру раствора тиосульфата натрия (1,0000);

Т - коэффициент пересчета (1 мл раствора тиосульфата натрия с концентрацией 0,05 моль/дм3 соответствует 0,002427 г безводного кофеина), г/мл.

Вычисления проводили до второго десятичного знака.

Результаты количественного определения кофеина в продуктах наиболее употребляемыми жителями Нижнего Новгорода представлены в таблице 4.

Таблица 4.

Результаты количественного определения кофеина в продуктах наиболее употребляемыми жителями Нижнего Новгорода

№ п/п

Наименование

Масса продукта взятого на анализ, г

Объем тиосульфата натрия, израсходованный на титрование исследуемого раствора, мл

Объем раствора тиосульфата натрия, израсходованный на титрование контрольного раствора, мл

Процентное содержание кофеина в продукте, %

1.

Зеленый чай «Greenfield»

2,0

2,27

0,2

2,51

2.

Черный чай «Greenfield»

2,0

3,22

0,2

3,66

3.

Растворимый кофе «Nescafe»

2,0

2,04

0,2

2,23

4.

Заварной (зерновой) кофе «Nescafe»

2,0

3,50

0,2

4,01

5.

Энергетический напиток «Burn»

10,0

0,81

0,2

1,48


Из полученных данных таблицы 4 видно, что наиболее содержание кофеина имеет зерновое кофе «Nescafe», его потребляет наибольшее количество жителей Нижнего Новгорода - 86,1 %. На втором месте стоит черный чай «Greenfield». А вот стоящий на третьем месте по потреблению растворимый кофе «Nescafe» по содержанию занимает четвертое место.

Заключение

.        Исследованы и описаны свойства, строение, получение, токсикологическое значение, хранение и применение кофеина. Так же дана характеристика качественным и количественным методам анализа кофеина.

.        По данным опроса наиболее потребляемым зеленым чаем является зеленый чай «Greenfield» (41,7 %), черным чаем - черный чай «Greenfield» (33,3 %), растворимым кофе - растворимое кофе «Nescafe» (77,8 %), заварным (зерновым) кофе - «Nescafe» (86,1 %) и энергетическим напитком - «Burn» (80,6 %).

.        Йодометрическим методом определено, что наиболее содержание кофеина имеет зерновое кофе «Nescafe», его потребляет наибольшее количество жителей Нижнего Новгорода - 86,1 %. На втором месте стоит черный чай «Greenfield». А вот стоящий на третьем месте по потреблению растворимый кофе «Nescafe» по содержанию занимает четвертое место.

Полученный результат указывает на то, что продукт с наибольшим содержанием кофеина так же наиболее употребляемый. Это может указывать на то, что продукты содержащие кофеин вызывают незначительную зависимость к употреблению.

Список литературы

1.       Беликов В.Г. «Фармацевтическая химия». В 2-х ч. Учебное пособие / В.Г. Беликов - 4-е изд., перераб. и доп.- М: МЕДпресс-информ, 2007. - 624 с.

.        Избранные лекции по фармацевтической химии. Часть 1-я. Учеб. пособие / Под ред. проф. Л.А. Чекрышкиной. Изд. 5-е испр. и доп. - Пермь: ПГФА, 2015. - 323 с.

.        Глущенко Н.Н., Плешненева Т.В., Попков В.А. Фармацевтическая химия. М.: Академия, 2004. - 384с.

.        Токсикологическая химия: учебник для студентов фармацевтических вузов и факультетов / Т. Х. Вергейчик ; под ред. проф. Е. Н. Вергейчика. - М. : МЕДпресс-информ, 2009. - 399 с.

.        Токсикологическая химия: метаболизм и анализ токсикантов : учеб. пособие для мед. и фармацевт. вузов / Е. Ю. Афанасьева и др.; под ред. Н. И. Калетиной. - М. : ГЭОТАР-Медиа, 2008. - 1015 с.

.        Токсикологическая химия. Аналитическая токсикология: учебник/Под ред. Р.У. Хабриева, Н.И. Калединой. - М.: ГЭОТАР-Медиа, 2010.- 752 с.

.        Андреева К.Ю., Дмитренко С.Г., Золотов Ю.А. Спектрофотометрическое определение кофеина и теофиллина по реакции азосочетания с тетрафторборатом 4-нитрофенилдиазония // Зав. лаб. Диагностика материалов. - 2010. - Т.76, №2. - С.21-24.

9.       Piezko G., Baranovska I., Flores A. Determination of energizers in energy drinks // Журн. аналит. хим. - 2010. -Т.12, №65. - С.1257-1263.

10.     Хасанов В.В., Дычко К.А., Куряева Т.Т., Рыжова Т.Л., Мальцева Е.В. Новый способ определения кофеина// Журн. прикладной химии. - 2005. -Т.78, №.9. - С.1451-1454.

.        Пилипенко В.П., Бибик О.В., Прихода Н.Н. Сравнительная характеристика методов определения кофеина // Вопросы химии и хим.технол. - 2009. - №2.-С.89-91.

.        ГОСТ 29148-91. Кофе натуральный растворимый. Технические условия.

Похожие работы на - Исследование свойств кофеина и его содержания в продуктах

 

Не нашли материал для своей работы?
Поможем написать уникальную работу
Без плагиата!
Без нейросетей!