Изучение химического состава продовольственных товаров (на примере дубильных веществ)

  • Вид работы:
    Курсовая работа (т)
  • Предмет:
    Другое
  • Язык:
    Русский
    ,
    Формат файла:
    MS Word
    257,61 kb
  • Опубликовано:
    2010-06-22
Вы можете узнать стоимость помощи в написании студенческой работы.
Помощь в написании работы, которую точно примут!

Изучение химического состава продовольственных товаров (на примере дубильных веществ)







КУРСОВАЯ РАБОТА


по дисциплине «Теоретические основы товароведения»

на тему: «Изучение химического состава продовольственных товаров (на примере дубильных веществ)»

Содержание

Введение

1. Литературный обзор

1.1 Характеристика общих понятий в области химического состава продуктов

1.2 Дубильные вещества. Классификация и свойства

1.3 Характеристика танина

1.4 Характеристика химического состава чая и показатели его качества

2. Практическая часть

2.1 Обоснование выбора и характеристика объектов исследования

2.2 Характеристика метода определения танина

2.3 Анализ результатов собственного исследования

Выводы и предложения

Список литературы

Приложения

Введение

Чай - тонизирующий напиток, обладающий высокими вкусовыми, ароматическими свойствами, оказывающий положительное влияние на организм человека и являющийся самым распространенным на земном шаре напитком.

Первые данные о чае найдены в древней китайской энциклопедии. В Россию чай попал более 300 лет назад (в 1638г.) из Монголии. Как культура чай широко распространен на Черноморском побережье Кавказа, в Краснодарском крае, Индии, Цейлоне, Китае и т. д.

Значение чая как вкусового продукта обусловлено его ароматическими, вкусовыми и тонизирующими свойствами. Чай устраняет усталость, способствует восстановлению утраченной трудоспособности и улучшает самочувствие человека. Широко используют его как потогонное средство при простудных заболеваниях, он оказывает положительное действие на пищеварительную, кровеносную и нервную системы.

В состав чая входят разнообразные органические и неорганические вещества: дубильные, азотистые и минеральные вещества, кофеин, эфирные масла, углеводы, витамины, ферменты, органические кислоты и др. Важнейшими компонентами чайного экстракта являются дубильные вещества (15,9-19%), кофеин (2,0-3,5%), эфирные масла (0,006-0,021%). Дубильные вещества придают ему вяжущий вкус. А также в состав чая входят минеральные вещества, белки, органические кислоты, ферменты, витамины, в основном С и Р.

Чай получают путем специальной обработки молодых верхушечных побегов (флешей) вечнозеленого чайного растения. Качество чая зависит от возраста и времени сбора флеши. Почка и первый лист флеши отличаются высоким содержанием кофеина и дубильных, ароматических веществ. Старые, грубые побеги для производства чая высших сортов не используют. Сбор чайных побегов производят с апреля по октябрь. Побеги, собранные в июле и августе, дают чай более высокого качества.

По технологии приготовления различают чай байховый (рассыпной) - черный, зеленый, желтый, красный; прессованный; экстрагированный (быстрорастворимый); гранулированный. Выпускают также мелкий байховый (высевки), чай, фасованный в пакетики для разовой заварки, а также ароматизированный.

Целью данной курсовой работы является определение содержания танина в различных видах чая, выявление его качества на основе сравнения полученных результатов с литературными данными.

1. Литературный обзор

1.1 Характеристика общих понятий в области химического состава продуктов

Для поддержания нормальной жизнедеятельности организма человека, возмещения его энергетических затрат и восстановления тканей необходимы питательные вещества. Они поступают в организм человека вместе с пищей, которая является для него источником энергии, строительным материалом и участвует в регулировании процессов обмена веществ. Химический состав продуктов разнообразен и зависит от химического состава исходного сырья, технологического режима и способа производства, условий хранения и перевозки и других факторов.

В состав продовольственных товаров входят неорганические и органические вещества. К неорганическим веществам относятся вода и минеральные (зольные) соединения; к органическим - углеводы, жиры, белки, ферменты, витамины, органические кислоты, красящие, ароматические и др.

Вода является составной частью клеток и тканей организма человека и необходима для осуществления биохимических процессов.

Вода находится во всех продуктах, но в различных количествах: в сахаре - 0,14%; в крупах, муке - 12-14; в хлебе - 40-50; в мясе, рыбе - 65-80; в овощах, плодах - 65-95%, и т. д.

Воду, содержащуюся в пищевых продуктах, условно делят на свободную и связанную. Она существенно влияет на питательную ценность, пригодность для хранения, вкус, консистенцию продуктов.

Минеральные вещества иначе называют зольными элементами, так как после сжигания продукта они остаются в виде золы. Зольные элементы имеют большое значение для жизнедеятельности организма человека: входят в состав тканей, участвуют в обмене веществ, в образовании ферментов, гормонов, пищеварительных соков.

В зависимости от содержания в продуктах зольные элементы делят на макроэлементы (кальций, фосфор, сера, калий, натрий, железо, магний, хлор и др.) и микроэлемены (йод, медь, алюминий, цинк, кобальт, марганец, фтор и др.)- Выделяют также и ультрамикроэлементы (радий, торий, ртуть и др.). Каждое из минеральных веществ играет определенную роль в жизнедеятельности организма. Например, фосфор участвует в дыхании, необходим для нормальной деятельности нервной системы и работы мышц; калий способствует выделению из организма воды и солей натрия; железо участвует в образовании гемоглобина крови; йод обеспечивает нормальную деятельность щитовидной железы; марганец и фтор способствуют формированию костей и т. д.

Источниками минеральных элементов являются продукты растительного и животного происхождения, а также питьевая вода. Особенно богаты минеральными солями овощи, плоды, зерномучные, продукты моря и др.

Углеводы содержатся в основном в продуктах растительного происхождения.

Они играют определенную роль в пластических процессах и функциональной деятельности отдельных органов, обмене веществ и защитных реакциях организма. В среднем взрослому человеку требуется в сутки 400-500 г углеводов.

Углеводы делят на моносахариды (простые сахара), олигосахариды (сложные сахара) и полисахариды (несахароподобные).

Моносахариды (глюкоза - виноградный сахар; фруктоза - плодовый сахар). Они сладкие, хорошо растворяются в воде, легко усваиваются организмом человека, легко сбраживаются дрожжами, молочнокислыми бактериями (эти свойства используются при производстве спирта, вин, хлеба, квашеных плодов и овощей, кисломолочных продуктов).

Олигосахариды (сахароза - свекловичный или тростниковый сахар; мальтоза - солодовый сахар; лактоза - молочный сахар). Все они в процессе обмена веществ превращаются в моносахариды. Они, как и моносахариды, сладкие, хорошо растворяются в воде, легко усваиваются организмом человека; под действием ферментов пищеварительного тракта легко гидролизуются, а в промышленности это свойство используется при получении искусственного меда; при нагревании карамелизуются (образуются темноокрашенные вещества); кристаллизуются, то есть засахариваются (при хранении варенья, конфет, карамели, меда).

Полисахариды (крахмал, гликоген, инулин, клетчатка и др.) не обладают сладким вкусом, поэтому называются несахароподобными углеводами.

Крахмал накапливается в виде зерен характерных формы и размера в клубнях, корнях, стеблях, семенах растений. Наиболее богаты крахмалом зерна злаков, картофель, мука, хлеб.

Гликоген (животный крахмал) выполняет роль резервного питательного вещества в организме, образуется из глюкозы. Содержится в печени, мясе, рыбе. Гликоген участвует в ферментативных процессах при созревании мяса после убоя животного.

Инулин встречается в растениях реже, чем крахмал. Находится в корнях цикория, клубнях топинамбура и др.

Клетчатка (целлюлоза) входит в состав покровных тканей растений, составляя основу клеточных стенок. Организмом человека почти не усваивается из-за отсутствия ферментов для ее расщепления до глюкозы, однако она усиливает перистальтику кишечника, секрецию желудочного сока и способствует передвижению пищи.

Жиры - это сложные эфиры трехатомного спирта глицерина и различных жирных кислот. В организме жиры участвуют в обмене веществ, синтезе белков, образовании тканей, служат источником жирорастворимых витаминов (A, D, E, K), являются источником энергии (при окислении 1 г жира выделяется 9,3 ккал (37 7 кДж).

Суточная потребность в жирах в среднем составляет 80- 100 г.

По происхождению различают жиры растительные, животные комбинированные; в зависимости от консистенции и те, и другие бывают жидкими и твердыми.

Жиры содержатся во многих пищевых продуктах, но в разных количествах. Много жиров в масле, жире, маргарине, свинине, орехах и др. Очень мало жира в большинстве плодов, овощей в некоторых видах рыб (щука, судак, треска) и др.

Кроме жиров в состав пищевых продуктов входят жироподобные вещества. Наибольшее значение имеет лецитин (в сметане, сливках, сливочном масле, яйцах, печени, икре и др.). Он способствует правильному обмену жиров в организме, задерживает развитие атеросклероза, препятствует отложению жира в печени.

Белки - главная составная часть пищи. Они необходимы для построения тканей тела и восстановления «умирающих клеток, образования ферментов, витаминов, гормонов и иммунных тел; как строительный, пластический и энергетический материал (1г белка дает 4,1 ккал (16 7 кДж). Суточная потребность взрослого человека в белках составляет 80-100 г, в том числе половину должны составлять животные белки.

По составу белки делят на простые (протеины) и сложные (протеиды). К простым белкам относятся: альбумины, глобулины, глютелины, проламины; к сложным - фосфоропротеиды, хромопротеиды, глюкопротеиды.

В организме животных, растениях и продуктах питания белки находятся в жидком состоянии (молоко, кровь), полужидком (яйца) и твердом (сухожилия, волосы, ногти).

Ферменты - это вещества белковой природы, ускоряющие химические реакции, которые протекают в живом организме. Иначе их называют биокатализаторами. Вырабатываются ферменты только живыми клетками растений, животных, микроорганизмов, но проявляют свое действие как в клетке, так и вне ее.

Характерными особенностями ферментов являются: специфичность (каждый фермент действует лишь на определенное вещество, например, фермент сахараза расщепляет только сахарозу; лактаза - лактозу); чувствительность к изменению температуры - наиболее благоприятная 30-50°С (при нагревании до 70-80°С и выше ферменты разрушаются, а при минусовой температуре они сохраняются, но активность резко снижается). Повышение влажности продукта усиливает действие ферментов, при высушивании активность их замедляется; одни ферменты действуют только в кислой среде, другие - в нейтральной, некоторые проявляют активность в щелочной среде.

Витамины. Они незаменимы в питании человека, способствуют нормальному обмену веществ, росту организма, повышают сопротивляемость его к заболеваниям. При длительном отсутствии витаминов в пище возникают тяжелые заболевания - авитаминозы, при недостатке их - гиповитаминозы, избыточное поступление их в организм приводит к гипервитаминозу. Все витамины условно делят на жирорастворимые (А, D, Е, К), водорастворимые (С, Р, РР, группы В и др.) и витаминоподобные вещества.

Витамин А встречается в продуктах животного происхождения (печень трески, сливочное масло, яичный желток и др.). В растительной пище он находится в виде каротина, который под действием ферментов превращается в организме в витамин А. Много каротина в моркови, абрикосах, тыкве и др.; он лучше усваивается организмом вместе с жирами.

Витамин D (кальциферол) регулирует усвоение кальция и фосфора организмом. Содержится в продуктах животного происхождения (рыбьем жире, сливочном масле, печени животных, желтке куриных яиц). Он имеет провитамины, которые под действием солнечных лучей могут превращаться в организме человека в витамины D2, D3.

Витамин Е (токоферол) называют фактором размножения. Богаты им облепиховое, кукурузное, соевое масло, зародыши пшеницы, ячменя, ржи.

Витамин K (филлохинон) играет важную роль в процессах свертывания крови. Много его в капусте, тыкве, крапиве и др.

Витамин С (аскорбиновая кислота) повышает сопротивляемость организма инфекционным заболеваниям, активно участвует в синтезе многих веществ, которые расходуются на построение костной и соединительной ткани, предохраняет от заболевания цингой. Основным источником витамина С являются плоды, овощи (черная смородина, капуста, цитрусовые и др.).

Витамин B1 (тиамин) активно участвует в ферментативных процессах, обмене веществ. Отсутствие его в пище приводит к заболеванию нервной системы. Богаты витамином В, сухие пивные дрожжи, горох, свинина, хлеб из обойной муки.

Витамин В2 (рибофлавин) способствует росту организма, участвует в углеводном обмене веществ, окислительно-восстановительных процессах. Содержится в тех же продуктах, что и витамин В.

Прочие вещества пищевых продуктов. Кроме рассмотренных основных веществ пищевые продукты содержат органические кислоты, эфирные масла, гликозиды, алкалоиды, дубильные, красящие вещества, фитонциды, экстрактивные, пектиновые вещества.

Органические кислоты содержатся в плодах и овощах в свободном состоянии, а также образуются в процессе их переработки (при квашении). К ним относят уксусную, молочную, лимонную, яблочную, бензойную и другие кислоты. Небольшое количество кислот, содержащихся в пище, оказывает возбуждающее действие на пищеварительные железы и способствует лучшему усвоению веществ. Дневная потребность взрослого человека в кислотах составляет 2г.

Эфирные масла обусловливают аромат пищевых продуктов. Общее количество их для большинства продуктов определяется долями процента. Аромат пищевых продуктов является важным показателем качества. Приятный аромат пищи вызывает аппетит и улучшает ее усвоение.

Гликозиды - производные углеводов, содержащиеся в плодах и овощах (соланин, синигрин, амигдалин и др.). Они обладают резким запахом и горьким вкусом, в малых дозах возбуждают аппетит, в больших - являются ядами для организма.

Алкалоиды - вещества, возбуждающе действующие на нервную систему, в больших дозах являются ядами. Содержатся в чае, кофе (кофеин), шоколаде (теобромин), представляют собой азотосодержащие органические вещества.

Дубильные вещества придают пищевым продуктам (чаю, кофе, некоторым плодам) специфический вяжущий вкус. Под действием кислорода воздуха окисляются и приобретают темную окраску. Этим объясняется темный цвет чая, потемнение на воздухе нарезанных яблок и т. д.

Красящие вещества обусловливают цвет пищевых продуктов. К ним относят хлорофилл, каротиноиды, флавоновые пигменты, антоцианы, хромопротеиды и др.

Фитонциды обладают бактерицидными свойствами, содержатся в луке, чесноке, хрене.

Пектиновые вещества содержатся в плодах, ягодах, овощах и обладают способностью образовывать студни в присутствии сахара и кислоты. Это свойство широко используется в кондитерской промышленности при производстве мармелада, пастилы, джема, желе и др.

1.2 Дубильные вещества. Классификация и свойства

Дубильные вещества - группа весьма разнообразных и сложных по составу растворимых в воде органических веществ ароматического ряда, содержащих гидроксильные радикалы фенольного характера.

Дубильные вещества участвуют в образовании вкуса, аромата и цвета некоторых продуктов. Значительное содержание их отмечено в чае, черемухе, рябине, хурме, придают им терпкий, вяжущий вкус. Дубильные вещества участвуют в образовании аромата шоколада и чая. Кроме того, они обладают Р-витаминной активностью.

Описание отдельных дубильных веществ.

Танин.

Танин, галлодубильная кислота или просто дубильная кислота находится в различных сортах чернильных орешков, патологических кнопперсах, сумахе, альгаробилле, мироболанах; имеет состав C14H10O9; представляет вяжущего вкуса аморфный порошок, растворимый в воде, спирте и уксусном эфире, нерастворимый в эфире, бензоле и др.; дает с хлорным железом в водном растворе чёрно-синий осадок, что применяется как качественная реакция на соли окиси железа; легко окисляется, поглощая в присутствии щелочей кислород из воздуха и восстановляя закись меди из солей её окиси и соли серебра; осаждается из водных растворов (в отличие от галловой кислоты) клеем, сырой кожей, алкалоидами, альбуминатами, слабыми соляной и серной кислотами и многими солями (например, поваренной). Танин разлагает углекислые соли, обнаруживая ясно кислотные свойства. Его соли аморфны, в основном нерастворимы и своим составом указывают на присутствие в его частице лишь одного карбоксила. При нагревании до 210° танин дает пирогаллол; при кипячении с слабой серной кислотой или едким кали превращается нацело в галловую кислоту.

Танин находит обширное применение в медицине, в производстве чернил, красильном деле, для получения галловой кислоты и пирогаллола, но для дубления кож не применяется).

Эллагогендубильная кислота.

Стоит в близком отношении к танину, являясь, как и он, производным галловой кислоты, и часто встречается вместе с ним в растениях. Она составляет главную массу дубильного вещества мироболанов, альгаробилл, диви-диви и, вероятно, коры корней граната, а также найдена вместе с дубодубильной кислотой C16H14O9 в древесине черешчатого дуба. Высушенная при 100°, она представляет состав C14H10O10 и вид буроватой аморфной массы; растворима в воде, спирте и уксусном эфире; образует чёрно-синий осадок с уксуснокислым железом и осадки с клеем, белком, алкалоидами; при нагревании с водой до 110° переходит в эллаговую кислоту, теряя при этом 2Н2О, и образует с уксусным ангидридом пятиацетильный эфир.

Дубодубильные кислоты.

Находятся в молодой коре, древесине и листьях различных видов дуба. Кислоте (из коры), содержащей в круглых числах 56 % углерода и 4 % водорода и дающей с хлорным железом синее окрашивание. Дубодубильные кислоты представляют аморфные порошки различных оттенков от буро-красного до светло-красного цвета (C15H12O9 желт.), растворимые в воде (за исключением кислоты C16H14O9, которая почти не растворима), спирте, смеси спирта с эфиром, уксусном эфире и трудно растворимые в чистом эфире; имеют в водном растворе кислую реакцию; растворяются в щелочах; с уксуснокислым свинцом дают желтовато-белые осадки свинцовых соединений; с окисью магния образуют растворимые в воде средние и кислые соли; с хлорным железом кислоты C17H16O9 и C16H14O9 дают синие осадки, прочие зелёные; осаждаются клеем.

Весьма характерна для дубодубильных кислот способность, вполне отсутствующая у танина, образовать ангидриды при нагревании до 130°-140° и при кипячении со щелочами и разведенными минеральными кислотами.

Ангидриды имеют вид аморфных, в основном красных или буро-красных порошков, трудно или нерастворимы в чистой воде, но растворимы в ней в присутствии дубодубильной кислоты, а также в спирте и щелочах.

Кинодубильная кислота.

Кинодубильная кислота составляет главную массу кино и представляет ангидрид киноина, из которого может быть получена нагреванием при 120°-130°. Киноин также находится в кино, бесцветен, кристалличен и растворим в воде, спирте и немного в эфире. Он клеем не осаждается, а с хлорным железом дает красное окрашивание и, следовательно, не обладает характерными свойствами дубильных веществ. Наоборот, в ангидриде его они явственно развиты и обусловливают применение кино как дубла. При нагревании до 160°-170° или при кипячении с слабыми серной или соляной кислотами кинодубильная кислота переходит в ангидрид с подобными же свойствами. Как сам киноин, так и кинодубильная кислота с соляной кислотой в запаянной трубке при 120°-130° распадаются на пирокатехин, галловую кислоту и хлористый метил. На основании этой реакции

Катехудубильные кислоты.

Находятся вместе с катехинами близкого между собою состава в различных сортах катеху и в гамбире. Они представляют ангидриды катехинов, из которых могут быть получены и искусственно простым нагреванием до 130-170°, кипячением с содой или нагреванием с водой при 110°. Катехины кристаллизуются в форме очень мелких иголочек светло-жёлтого цвета, дают с зелёное окрашивание, но клеем не осаждаются, при плавлении с КНО распадаются на флороглюцин и протокатеховую кислоту, а при сухой перегонке образуют пирокатехин. Катехин при 140° с разведенной серной кислотой распадается на флороглюцин и пирокатехин. Катехудубильные кислоты представляют красновато-бурые аморфные порошки с характерными свойствами дубильных веществ.

Маклурин.

Маклурин, или моринодубильная кислота, находятся в жёлтом дереве, откуда их извлекают кипячением с водой и разделяют, пользуясь меньшею растворимостью морина в воде. Маклурин, светло-жёлтый кристаллический порошок, из свойств, характеризующих дубильные вещества, обладает лишь способностью давать с железом (смесью закиси и окиси) чёрно-зелёный осадок и осаждаться клеем, алкалоидами и альбуминатами, но для дубления неприменим. Подобно многим дубильным веществам, он распадается на флороглюцин и протокатеховую кислоту по уравнению:

C13H10O6 + H2O = C6H3(OH)3 + C7H3(OH)2COHO.

Морин, составляющий красящее начало жёлтого дерева и кристаллизующийся из водного раствора в форме длинных блестящих игл, за исключением зелёного окрашивания с хлорным железом, типических свойств дубильных веществ не представляет. При плавлении с едким кали в качестве главных продуктов распадения он дает резорцин и флороглюцин, при восстановлении амальгамой натрия образует флороглюцин, причём сперва переходит в изоморин, легко превращающийся обратно в морин. Как морин, так и маклурин образуют с металлами частью кристаллические, частью аморфные соли, состав которых нельзя считать установленным.

1.3 Характеристика танина

Танины (от франц. tanner-дубить кожу), группа фенольных соединений растительного происхождения, содержащих большое количество групп ОН, молекулярная масса 500-3000; обладают дубящими свойствами. Дубящее действие танинов основано на их способности образовывать прочные связи с белками, полисахаридами и другими биополимерами (пектиновыми веществами, целлюлозой).

Танины содержатся в коре, древесине, листьях и плодах (иногда семенах, корнях, клубнях) многих растений - дуба, каштана, акации, ели, лиственницы, эвкалипта, чая, гранатового и хинного деревьев, сумаха, квебрахо; придают листьям и плодам терпкий вкус.

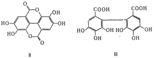
Различают гидролизуемые и конденсированные (негидролизуемые) танины. Основа гидролизуемых танинов - сложные эфиры галловой кислоты или родственных ей дигалловой и тригалловой кислот с многоатомным спиртом (например, глюкозой - рисунок 1). Так, наиболее распространенный китайский танин - дубящее вещество чернильных орешков (галлов) растения Rhos semialata-содержит главным образом смесь эфиров глюкозы и м-дигалловой (пента-м-дигаллоилглюкоза, галлотанниновая кислота) и тригалловой кислот; турецкий танин - вещество алеппских чернильных орешков дуба зараженного (Quercus infectoria)- смесь эфиров глюкозы и эллаговой (Рисунок 2 - II) и 4,5,6-гексагидроксидифеновой (Рисунок 2 - III) кислот.

Рисунок 1 - Глюкоза

R = (HO)3C6H2COO, (НО)3С6Н2СООС6Н2(ОН)2СОО, (НО)3С6Н2СООС6Н2(ОН)2СООС6Н2(ОН)2СОО

Рисунок 2 - II эллаговая кислота, III 4,5,6-гексагидроксидифеновая кислота

Танины такого строения легко гидролизуются кислотами, основаниями и ферментами танинацилгидролазами с образованием углеводов и фенолкарбоновых кислот; при пиролизе образуют пирогаллол.

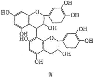
Конденсированные танины представляют собой производные флаванолов, главным образом димеры 3,4-флавандиола или 3-флаванола, например формулы IV (Рисунок 3). Под действием кислот и оснований такие танины не гидролизуются, а образуют нерастворимые, часто окрашенные в красный цвет полимеры; при пиролизе образуют пирокатехин.

Рисунок 3 - Димер флованола

Выделяют танины главным образом из коры акации, ели, каштана в виде водного экстракта, содержащего соответственно 36, 16 и 13% танинов по массе. Танины подавляют рост патогенных для многих растений микроорганизмов, защищают растения от поедания животными. Используются для дубления кожи и меха, приготовления чернил, протравливания текстильных волокон, как вяжущие лекарственные средства, для придания различным напиткам терпкого и вяжущего вкуса.

1.4 Характеристика химического состава чая и показатели его качества

Чай - тонизирующий напиток, обладающий высокими вкусовыми, ароматическими свойствами, оказывающий положительное влияние на организм человека и являющийся самым распространенным на земном шаре напитком.

Первые данные о чае найдены в древней китайской энциклопедии. В Россию чай попал более 300 лет назад (в 1638 г.) из Монголии. Как культура чай широко распространен на Черноморском побережье Кавказа, в Краснодарском крае, Индии, Цейлоне, Китае и т. д.

Значение чая как вкусового продукта обусловлено его ароматическими, вкусовыми и тонизирующими свойствами. Чай устраняет усталость, способствует восстановлению утраченной трудоспособности и улучшает самочувствие человека. Широко используют его как потогонное средство при простудных заболеваниях, он оказывает положительное действие на пищеварительную, кровеносную и нервную системы.

К числу экстрагируемых, то есть растворимых, специалисты относят шесть основных частей чая: дубильные вещества, эфирные масла, алкалоиды, аминокислоты, пигменты и витамины.

Дубильные вещества составляют 15-30% чая и представляют собой смесь более трех десятков полифенольных соединений и их производных, танина, различных катехинов, которые обладают свойствами витамина Р. При этом в зеленых чаях их содержание выше, чем в черных, поскольку последние в процессе производства подвергались процессу окисления. Продукты окисления (хиноны) в свою очередь окисляют другие вещества чайного листа и образуют многие ароматические продукты, участвующие в создании аромата чая.

Эфирные масла, которые присутствуют в еще зеленом листе, сохраняются в незначительном количестве в готовом чае. Именно с ними связан неповторимый аромат чая и от них во многом зависит качество чайного продукта. Хотя при переработке чайного листа потеря эфирных масел достигает 70-80%, одновременно возникают новые эфирные масла, которые воспроизводят запахи роз, меда, ванили, цитрусовых, сирени, корицы, что и создает «букет чая». В силу своей природы эфирные масла исключительно летучи, причем не только при повышении температуры, но и при неправильном хранении или заварке.

Алкалоиды - это, прежде всего, кофеин, который и служит тонизирующим средством. В чистом виде он представляет собой бесцветное, не имеющее запаха и горькое на вкус вещество, которое присутствует также в кофе, в какао и других тропических растениях.

В чае кофеина содержится больше, чем в кофе, но чайный кофеин действует на нас мягче, чем кофейный. Объясняется это тем, что а заварку идет меньше чая, нежели кофе, а также тем, что в чае кофеин выступает не изолированно, а в комплексе с танином, образуя соединение таннат кофеина, а оно более смягченно действует на сердечно-сосудистую и центральную нервную систему. Более того, кофеин чая не задерживается в организме человека, что исключает опасность отравления даже при чрезмерном употреблении чая.

Помимо кофеина, в состав чая входят в незначительном количестве другие алкалоиды - растворимые в воде теобромин и теофиллин, которые являются хорошими сосудорасширяющими и мочегонными средствами.

Аминокислоты, а их в чае обнаружено 17, включают, например, глютаминовую кислоту, которая исключительно важна для организма человека: она способствует восстановлению истощенной нервной системы человека. В процессе производства чая аминокислоты при взаимодействии с сахарами, танином и катехинами образуют альдегиды и таким образом принимают участие в образовании аромата чая.

Пигменты, входящие в состав чая, придают чайному настою самую различную окраску и оттенки. Это, прежде всего - хлорофилл, содержащийся более всего в зеленом чае, а также ксантофилл и каротин, содержащиеся обычно в моркови и преобладающие в черных чаях. Но цвет чайного настоя более всего определяют две группы красящих веществ - теарубигены и теафлавины. В готовом сухом чае теарубигены составляют около 10% и придают чаю при заваривании красно-коричневые тона, а теафлавины - около 1-2% и дают золотисто-желтую гамму.

Витамины, как показывают современные исследования, представлены в чае широкой гаммой. В чае имеется провитамин А - каротин, обеспечивающий нормальное состояние слизистых оболочек носа, глотки, гортани, легких, бронхов, мочеполовых органов и особенно важный для сохранения хорошего зрения.

Представлена в чае и обширная группа витамина В. Особо отметим витамин В1 (тиамин), который способствует нормальному функционированию нашей нервной системы и принимает участие в регулировании деятельности желез внутренней секреции - надпочечников, половых желез, щитовидной железы. Витамин В2 (рибофлавин) делает нашу кожу красивой, эластичной, снижает ее сухость, снимает шелушение, а также облегчает излечение экземы. Важен он для лечения тяжелых заболеваний печени: циррозов, гепатитов, диабета. Витамин В15 (пантотеновая кислота) препятствует развитию кожных заболеваний (дерматитов) и важен для нашего организма как катализатор всех процессов усвоения поступающих веществ.

К этой группе близок противоаллергический витамин - никотиновая кислота (витамин РР), устойчивый к высоким температурам и хорошо растворимый в воде. Получение этого витамина из чая особенно важно для людей, постоянно питающихся очищенным рисом и кукурузой, в которых витамин РР почти полностью отсутствует. В чае его содержание исключительно велико.

Велико присутствие в чае витамина С (аскорбиновой кислоты). В свежем чайном листе его в 4 раза больше, чем в соке лимона, однако при фабричной обработке часть его теряется. Тем не менее, в готовом чае аскорбиновой кислоты остается немало, особенно в зеленых и желтых чаях - раз в 10 больше, чем в черных.

Основным витамином чая является витамин Р (или С2), который в комплексе с витамином С значительно усиливает эффективность аскорбиновой кислоты, способствует ее накоплению и задержанию в организме. Этот витамин укрепляет стенки кровеносных сосудов, предотвращает внутренние кровоизлияния. По содержанию витамина Р чай не имеет себе равных в растительном мире, особенно зеленый чай. Выпивая 3-4 чашки чая хорошей крепости, мы обеспечиваем свой организм необходимой суточной дозой этого важного витамина.

Весьма важен содержащийся в чае витамин К, который способствует образованию в печени протромбина, крайне необходимой для поддержания нормальной свертываемости крови.

Белковые вещества составляют вместе со свободными аминокислотами 16-25% чайного листа и являются его важнейшей составной частью. Белками являются все ферменты, они также служат источником аминокислот, которые возникают в процессе переработки чайного листа в готовый чай. Особенно богат белками зеленый чай. Белки не вредят ему, а вот повышенное их содержание в черном чае ухудшает вкус и цвет настоя, поскольку они снижают содержание в нем танина и делают колер чая блеклым.

Немалое значение для чая имеют минеральные, неорганические, смолистые вещества, а также органические кислоты. В чае обнаруживают от 4 до 7% минеральных и других неорганических веществ: соли железа, магний, марганец, натрий. Чай содержит и другие металлы и неорганические вещества в виде микроэлементов, в том числе фтор, йод, медь, золото, фосфор, калий.

Основные показатели качества чая.

Многовековая практика выработала строго определенный набор показателей качества чая, многие из которых носят специальный характер. Мы остановимся лишь на самых основных из них.

- Цвет

- Крепость

- Вкус

- Аромат

- Пенообразование при заваривании

Цвет и крепость настоя.

Под крепостью чай понимают степень концентрации растворимых веществ чайного листа в чайном настое: чем больше их вышло в настой, тем крепче чай. Крепость зависит прежде всего от качества сухого чая, а также от правил заваривания.

Многие типы и разновидности чая, отличаясь высокой экстрактивностью, отдавая большой процент растворимых веществ в настой, в то же время не очень интенсивно окрашивают его. Таковы все желтые и зеленые чаи, дающие светлый, желтовато-зеленоватый настой, а также многие высокие сорта красных и черных чаев, дающие настой более слабой окраски, чем низкие сорта того же типа. Так, листовые чаи пигментируют настой не столь интенсивно, как ломаные и мелкие. Правда, для большинства потребителей несоответствие цвета настоя его крепости у черных чаев бывает менее заметно. Происходит это из-за отсутствия возможности сравнения разных сортов, а также из-за нарушения правил заварки.

Крепким настой становится при правильном заваривании уже в первые 4 - 4,5 минуты, а наиболее усиленная пигментация происходит через 8 - 10 минут после заваривания, ибо к этому времени крепость частично уменьшается за счет испарения эфиров и, следовательно, утраты настоем наилучшего вкуса и аромата. Одновременно после 10 минут в настой выходят такие фракции, которые ухудшают его качество, портят его вкус, придают чаю горечь. Обычно потребитель считает и горечь показателем крепости чая, хотя она свидетельствует исключительно о неправильном, жестком режиме заваривания.

Следовательно, крепость чая характеризуется полнотой, насыщенностью вкуса и аромата, а не степенью окраски настоя или его горечью.

Крепость настоя чая может быть слабой и хорошей. Она может также практически отсутствовать или быть незначительной.

Настой слабой крепости может получиться из свежей заварки и быть результатом либо слабой концентрации экстрактивных веществ у хороших чаев (когда для заварки взята большая доза сухого чая), либо результатом невысокой исходной крепости готового чая (когда заваривается чай низких сортов). Такой чай доброкачествен и в свежем виде обладает слабым, но все же различимым вкусом и запахом. В первом случае он будет слабо окрашен (жидкий чай), во втором - более интенсивно, но в обоих случаях он будет чаем слабой крепости.

Одним из показателей крепости чая служит терпкость настоя, так как она говорит о степени экстрактивности растворимых веществ чая - о степени экстрактивности танина. Другой, еще более наглядный показатель степени настоя - «сливки».

Многие замечали, что на поверхности остывшего чая появляется как бы пушок. Это и есть чайные «сливки». Это смесь кофеина с катехинами, хорошо растворимые в горячей воде, но выпадающую у крепких чаев в охлажденном настое. Когда «сливки» начинают оседать, то настой чая мутнеет, а после долгого отстаивания «сливки» могут оседать на дно чашки в виде пленки. «Сливки» не образуются в чаях, дающих светлый настой, особенно в нежных и ароматных чаях с большим содержанием эфиров (ароматизированные желтые и зеленые чаи, отборнейшие сорта красных, пушонги, цветочные чаи).

Если наличие «сливок» указывает на крепость чайного настоя, то их цвет служит показателем качества. Яркий темно-оранжевый цвет «сливок» с красноватым оттенком - признак хорошего чая высокого качества, а тусклый, грязноватый цвет - низкого, плохого качества. Так же как и цвет «сливок», немаловажное значение для определения качества чая имеет окраска настоя, хотя, как мы видели, она никоим образом не является показателем крепости чая.

Цвет настоя указывает в первую очередь на тип чая (зеленый, желтый, красный, черный).

Говоря о цвете настоя, следует различать густоту, интенсивность окраски и ее яркость, или, как говорят специалисты, колер. Яркость имеет гораздо большее значение для чая, чем его цвет. Степень яркости всегда точно соответствует степени качества, чего нельзя сказать о цвете. Светлый, но яркий настой всегда будет признаком хорошего чая. Наоборот, темный, густо окрашенный, но тусклый непрозрачный настой говорит о плохом, низком качестве чая.

Существует простой способ проверки и отличия яркости настоя от его окрашенности. Например, высококачественные чаи, особенно цейлонские и южноиндийские, имеют не сильно окрашенный, но яркий настой, который мы обычно называем красивым цветом. Если к такому чаю прибавить молоко, то он становится ярко-оранжевым, иногда я розоватым оттенком, если сорт очень высок. Но если прибавить молоко к настоям низких сортов того же цейлонского или индийского чая, то он приобретет тусклый серовато-бежевый цвет.

Итак, правильно заваренный крепкий высококачественный чай не должен быть ни слишком темного цвета, ни горьким на вкус, но должен обладать прозрачностью, яркостью, красивым цветом, быть ароматным, мягким и приятным на вкус.

Вкус и аромат.

Вкус и аромат чая служат непременными признаками его качества. Аромат чая, особенно у тонких сортов, образуется в первые же полторы-две минуты после заваривания и при передержке свыше 6 минут полностью улетучивается. Вот почему ради сохранения аромата следует прекращать заваривание уже через 4 минуты.

Вкус и аромат связаны друг с другом. Чай с приятным, сильным ароматом имеет хороший и терпкий вкус. Сочетание вкуса и аромата создает так называемый букет чая, воспринимаемый лучше органами осязания, чем обоняния. Несмотря на взаимосвязь, вкус и аромат являются разными качествами чая.

Вкус чая немного устойчивее аромата, и воспринимается он легче. В его создании участвуют в основном катехины, танин чая. По сравнению с ароматом вкус образуется намного проще. Вкус отчетливо обнаруживается через терпкость чая, по вкусу даже неискушенный потребитель легко отличает черные чаи от зеленых и желтых.

Другое дело - аромат. Он более тонок, крайне неустойчив, легко может исчезать, и почувствовать его может далеко не каждый, особенно если чай неверно заварен. В то же время аромат чая неизмеримо более разнообразен, чем вкус.

Аромат чая является конечным результатом сложных химических и биохимических превращений, происходящих как в процессе роста и переработки чайного листа, так и при его хранении. До последнего времени чаеводы не могли точно объяснить секреты образования аромата чая, хотя знали, что основой его являются эфирные масла и их соединения с органическими кислотами чая. Утрата аромата лишает нас не только удовольствия от чайного напитка, но и многих ценных, полезных веществ, содержащихся в чае. Вот почему аромат всегда считался одним из важнейших показателей качества чая. Именно нежность аромата, его повышенная летучесть, способность исчезать от любых грубых посторонних запахов и диктует нам деликатное обращение с чаем при хранении и выборе режимов заваривания.

Аромат в основном содержится в пене, образующейся при заваривании. У правильно заваренного, хорошего чая аромат должен быть достаточно четко выражен и в чашке с настоем.

Пенообразование.

Основным критерием оценки качества чайного настоя и чая служит пенообразование при заваривании. Установлено, что настои высококачественных чаёв легче и в большем количестве образуют пену. Замечено также, что постаревший или иным образом испорченный чай, теряя своё высокое качество, утрачивает и способность к пенообразованию.

Появление желтовато-коричневой, как бы грязноватой пены в конце заваривания говорит о правильной заварке и о хорошем качестве чая. Наоборот, слишком белая, чистая и обильная пена свидетельствует о том, что вода, взятая для заваривания, немного не докипела, хотя заварка произведена правильно и качество чая хорошее. Настой такого чая получается недостаточно крепким и вкусным. Обычно при этом вместе с пеной на поверхность всплывает часть чаинок.

Полное отсутствие пены - показатель плохого качества сухого чая или значительных нарушений правил заваривания.

2. Практическая часть

2.1 Обоснование выбора и характеристика объектов исследования

Для проведения опытов были выбраны следующие объекты исследования:

1. Принцесса НУРИ. Пекое

-     Цейлонский чай черный байховый

-       Сорт - высший

-       Производитель: ООО «НЕП», Россия

-       Упаковка: картонная коробка, внутренний пакет из фольги

-       Масса нетто 100г

-       Дата изготовления: 11/2008

-       ТУ 9191-001-39420178-97

2. Принцесса ЯВА. Традиционный

-       Китайский чай зеленый байховый листовой крупный

-       Сорт - экономи

-       Производитель: ООО «НЕП», Россия

-       Упаковка: картонная коробка, внутренний пакет из фольги

-       Масса нетто 100г

-       Дата изготовления: 02/2009

-       ТУ 9191-001-39420178-97

3. Полдень императора. Хун Ча

-     Китайский традиционный красный чай.

-       Сорт - высший (букет)

-       Производитель: Hunan Haijing International Trading, China

-       Упаковка: картонная коробка, внутренний пакет из фольги

-       Масса нетто 100г

-       Дата изготовления: 07/2008

-       ТУ 9191-005-58261099-04

4. Желтый чай

- Сорт - высший

- Производитель: Китай

Содержание танина в различных видах чая не одинаково. Так, например, в зелёных чаях содержание танина значительно выше, чем в чёрных (почти вдвое), так как в зелёных чаях танин находится почти в неокисленном состоянии, в то время как в чёрном байховом чае до 40-50 % танина окислено.

Для проведения работы были выбраны зеленый, черный, красный и желтый чаи, чтобы сравнить количественное содержание танина в каждом из объектов исследования при обработке результатов опытов.

2.2 Характеристика метода определения танина

Танин - представитель дубильных веществ является важным химическим компонентом чая.

Определение содержания танина основано на окислении перманганатом калия в присутствии серной кислоты и индигокармина как индикатора.

Данный метод является количественным.

Порядок пробоподготовки. Образец чая измельчают в фарфоровой ступке, затем 4г измельченного чая, помещают в коническую колбу емкостью 500 мл и приливают туда 200 мл кипящей дистиллированной воды. Колбу присоединяют к парообразователю с помощью трубки, проходящей до дна колбы; вторая трубка (для отвода пара) короткая, не доходящая до поверхности жидкости. Парообразователь присоединяют тогда, когда он доведен до кипения. Колбу с чаем помещают в кипящую баню. Экстаркцию проводят в течение 5 мин под действием острого пара.

Полученный экстракт без потерь переносят в мерную колбу емкостью 250 мл и доводят горячей водой до метки, затем тщательно перемешивают и фильтруют через бумажный фильтр.

Порядок проведения работы. Для окисления чайного танина в большую фарфоровую чашу емкостью 1л наливают 750 мл воды, 10 мл чайного экстракта и 25 мл сернокислого раствора индигокармина, а затем титруют раствором КМп04 до золотисто-желтого окрашивания. Для того, чтобы проверить, сколько перманганата идет на окисление чайного танина, параллельно ставят контрольный опыт. Вместо экстракта берут 10 мл дистиллированной воды. Результат контрольного титрования учитывают при расчете содержания дубильных веществ.

Обработка результатов. Содержание дубильных веществ вычисляют по формуле:

X=A*k*25*0,004157*100*100 / n*(100-в), (1)

где A - число мл перманганата, пошедшего на титрование экстракта (за вычетом пошедшего на титрование воды и реактивов);

k - поправка перманганата до точно 0,1н;

n - масса навески, г;

в - влажность чая (8%);

0,004157 - коэффициент, соответствующий количеству г танина, окисленного 1мл перманганата.

2.3 Анализ результатов собственного исследования

В результате анализа исследуемых образцов на содержание в них танина, были получены результаты, представленные на диаграмме (рисунок 4).

Рисунок 4 - Содержание танина в исследуемых образцах

Анализируя данные, полученные при исследовании образцов чая на содержание танина, можно сказать, что по процентному содержанию танина все образцы не соответствуют литературным данным.

Объяснить низкое содержание танина в зеленом чае (5,08%) можно тем, что данный образец является продуктом с низкой градацией качества.

При исследовании выявлено, что самое низкое содержание танина в черном чае, оно составляет 3,67%, тогда как его содержание по литературным данным должно быть не ниже 8%. Это можно объяснить тем, что в черном байховом чае до 40-50% окислено. Также причиной может являться и то, что он пользуется большим спросом у потребителей по сравнению с красным, тем более с желтым чаем (который является одним из самых дорогих и производится в небольших количествах), следовательно, именно его фальсификация наиболее выгодна производителю.

Выводы и предложения

В ходе курсовой работы были исследованы четыре образца чая: зеленый, красный, желтый и черный. На основании данных, полученных в результате опытов на определение содержания танина, можно сделать следующие выводы:

- Выявлено, что все образцы по содержанию танина не соответствуют литературным данным. Самое низкое содержание танина в черном чае. Лучшие результаты анализа получены при исследовании желтого чая.

- Также низкое содержание танина можно объяснить тем, что они имеют разных производителей. Производителем черного и зеленого чая является Россия, а красного и желтого - Китай. В России производство чая не имеет настолько широкого распространения, как в Китае, где чаепитие является старинной традицией (в этой стране чайная культура начала зарождаться несколько тысячелетий назад) и чайные плантации занимают большую территорию страны. Чай выращивается в Китае на протяжении 2000 лет, с этого времени его производство усовершенствовалось и чай имеет более высокое качество, чем в других странах.

Итак, в ходе курсовой работы были решены основные поставленные задачи, в том числе достигнуты основные цели: определение содержания танина в различных видах чая, выявление его качества на основе сравнения полученных результатов с литературными данными. Также была обнаружена фальсифицированная продукция.

Список литературы

1.   Драмшева С. Т. Теоретические основы товароведения продовольственных товаров. - М.: Экономика, 1996.-108с.

2.       Казанцева Н. С. Товароведение продовольственных товаров. - М.: 2007.-163с.

3.       Потороко И. Ю., Калинина И. В. Теоретические основы товароведения и экспертизы потребительских товаров. Лаб. Практикум. - Челябинск: Изд-во ЮУрГУ, 2007-48с.

4.       Тимофеева В. А. Товароведение продовольственных товаров. - Ростов-на-Дону: Феникс, 2005.-143с.

5.       ru.wikipedia.org

6.       www.znaytovar.ru

7.   www.comodity.ru

Похожие работы на - Изучение химического состава продовольственных товаров (на примере дубильных веществ)

 

Не нашли материал для своей работы?
Поможем написать уникальную работу
Без плагиата!
Без нейросетей!