Потенциометрический метод исследования мясных продуктов

  • Вид работы:
    Курсовая работа (т)
  • Предмет:
    Химия
  • Язык:
    Русский
    ,
    Формат файла:
    MS Word
    594,1 Кб
  • Опубликовано:
    2017-09-16
Вы можете узнать стоимость помощи в написании студенческой работы.
Помощь в написании работы, которую точно примут!

Потенциометрический метод исследования мясных продуктов

МИНОБРНАУКИ РОССИИ

Федеральное государственное бюджетное образовательное учреждение

высшего образования

«Казанский национальный исследовательский технологический университет»

(ФГБОУ ВО «КНИТУ»)

Кафедра АХСМК

Курсовая работа

по дисциплине:




Аналитическая химия и физико-химические методы анализа

на тему:

«ПОТЕНЦИОМЕТРИЧЕСКИЙ МЕТОД ИССЛЕДОВАНИЯ МЯСНЫХ ПРОДУКТОВ»


Выполнил студент группы 61-51-21 ( Р.Б. Валеева )

Проверил доцент кафедры АХСМК ( Н.Г. Николаева )






Содержание

Введение

Перечень сокращений и условных обозначений

1. Литературный обзор

.1 Объекты исследования

.2 Электрохимические методы анализа

.3 Потенциометрические методы анализа

2. Практическая часть

.1 Объекты, постановка целей и задач исследования

.2 Потенциометрический метод определения массовой доли хлоридов

Заключение

Список литературы

Введение

Исследование пищевых систем - одна из важнейших задач технологии питания. Она тесно связана с применением различных инструментов и методов анализа, в частности физико-химических методов анализа. Пищевые продукты - сложные по структуре многокомпонентные системы, качество которых зависит от свойств и совокупности изменений в составе и структуре пищевого сырья при его технологической обработке и последующем хранении.

В современных условиях оценка качества и рациональное использование пищевого сырья осуществляются на основе исследования его состава и физико-химических свойств с использованием современных органолептических и инструментальных методов анализа. Применение современных инструментальных методов анализа позволяет комплексно изучить структуру, состав и свойства пищевого сырья и продуктов его переработки для объективной оценки их качества и безопасности.

Современные методы исследования незаменимы также для установления безвредности пищевого сырья в связи с возможным попаданием в них различных химических соединений, применяемых для борьбы с вредителями сельского хозяйства (пестициды), радио- активных изотопов, искусственных красителей, химических консервантов, полициклических ароматических углеводородов. Кроме того, они позволяют глубоко изучить состав и свойства пищевых продуктов, их качество и пищевую ценность, выявить изменения, не обнаруживаемые органолептическими или обычными физическими и химическими методами, спрогнозировать изменение качества, установить способы хранения и сроки использования.

Для контроля процессов хранения пищевого сырья и продуктов его переработки большое значение приобретают дистанционные методы определения температуры, влажности и других условий хранения (освещенности, состава и движения воздуха), на основе которых могут быть обеспечены оптимальные режимы хранения.

Современные методы количественного анализа классифицируют по измеряемым свойствам, таким как масса вещества, объем раствора реактива, интенсивность спектральных линий элементов, поглощение видимого инфракрасного и ультрафиолетового излучения, вращение плоскости поляризации, электродный потенциал и т. п.

Актуальность представленной работы обусловлена в первую очередь тем, что Потенциометрические методы анализа, являясь одними из наиболее распространенных физико-химических методов анализа, находят широкое применение в медицине, фармацевтике, пищевой промышленности, животноводстве и других областях. В этой связи, интересно и актуально рассмотреть их применение при анализе показателей мясных продуктов.

Цель работы - изучить возможность применения методов потенциометрического анализа мясных продуктов.

Для достижения поставленной цели необходимо было решить следующие задачи:

изучить метод потенциометрического анализа;

проанализировать объекты исследований;

изучить методики потенциометрического анализа в приложении к данному объекту.

Объектом исследования представленной работы являются мясные продукты.

потенциометрический анализ мясной продукт

Перечень сокращений и условных обозначений

ЭДС - электродвижущая сила потенциометрической ячейки;

НВЭ - нормальный водородный электрод

1. Литературный обзор

Основные понятия и определения

Качество пищевых продуктов - это совокупность свойств, обеспечивающих физиологические потребности человека в пищевых и вкусовых веществах, т. е. совокупность их пищевой ценности и потребительских достоинств. Качество выпускаемых продуктов зависит от многих факторов, среди которых первостепенное значение имеют состав и свойства сырья, рецептуры, условия и режимные параметры технологических процессов производства и хранения, качество используемого оборудования и упаковки.

Показатель качества - это количественная характеристика одного или нескольких полезных свойств продукта. Качество пищевых продуктов оценивают по единичным и комплексным показателям. Единичный показатель качества характеризует одно из свойств продукта, а комплексный - несколько его свойств.

Оценка качества продукции - совокупность операций, включающая выбор номенклатуры показателей качества оцениваемой продукции, определение значений этих показателей и сопоставление их с базовыми.

Мясные товары - это пищевые продукты, произведенные только из мяса теплокровных животных и птицы или с добавлением другого вспомогательного сырья растительного или животного происхождения и подвергнутые определенной технологической переработке.

Массовая доля хлоридов в мясе и мясных продуктах: Общее содержание хлоридов, определенное методом, изложенным в настоящем стандарте и выраженное в виде массовой доли хлорида натрия в процентах.

1.1 Объекты исследования

Объектом исследования представленной работы являются мясные продукты. Дадим определение объекту исследования и выделим основные идентификационные признаки.

Мясные товары - это пищевые продукты, произведенные только из мяса теплокровных животных и птицы или с добавлением другого вспомогательного сырья растительного или животного происхождения и подвергнутые определенной технологической переработке.

Товары этой однородной группы подразделяются на подгруппы в зависимости от глубины обработки и технологии производства на мясо свежее, в том числе мясо птицы, субпродукты, полуфабрикаты, колбасные, солено-копченые изделия, мясные консервы. Кроме того, в колбасных изделиях и мясных консервах выделяют подгруппу мясосодержащих продуктов, в которых наряду с мясом присутствуют растительные компоненты сырья (например, мясорастительные колбасы и консервы). Содержание растительных компонентов в мясосодержащих продуктах может составлять от 30 до 70 % и более.

Пищевая ценность мясных товаров обусловлена в первую очередь полноценными белками, минеральными веществами, особенно кальцием и фосфором, витаминами группы В. Кроме того, в мясе содержатся жиры, экстрактивные и другие вещества, также влияющие на пищевую ценность мяса и необходимые организму человека.

К общим идентифицирующим признакам ассортиментной принадлежности мясных товаров относятся в основном органолептические показатели: форма, цвет, вкус, запах, консистенция, внутреннее строение. Мясные товары разных подгрупп, видов и подвидов не имеют общих физико-химических показателей для ассортиментной идентификации.

Поэтому далее они будут конкретизированы относительно выбранной категории мясных продуктов

1.2 Электрохимические методы анализа

Важнейшее место среди физико-химических методов анализа занимает группа электрохимических методов. Их отличает доступность, специфичность - возможность определять концентрацию отдельных ионов в присутствии многих других.

Электрохимические методы анализа включают в себя методы исследования и анализа, основанные на явлениях, которые протекают на электродах, находящихся в контакте с анализируемым раствором, а также в межэлектродном пространстве электрохимической ячейки.

Электрохимические методы можно классифицировать следующим образом:

методы без протекания электродной реакции (кондуктометрия при низких и высоких частотах);

методы, основанные на протекании электродных реакций в отсутствии тока (потенциометрия) или под током (кулонометрия, полярография).

Во всех случаях аналитическим сигналом является измеряемый электрический (сила тока, напряжение) или электрохимический (электропроводимость раствора, поляризация электродов) параметр. Электрохимические методы анализа позволяют определять концентрации веществ в широком интервале (от 1 до 1 · 10 -9 моль/л), могут быть легко автоматизированы и использованы для контроля качества пищевых продуктов.

.3 Потенциометрические методы анализа

Как и любой другой физико-химический метод, потенциометрия бывает прямой и косвенной. В обоих случаях анализ проводят в потенциометрической ячейке, состоящей из двух электродов - электрода сравнения и индикаторного электрода, помещенных в исследуемый раствор (рис.1)

 

Рисунок 1 - Потенциометрическая ячейка

Во внешней электрической цепи электроды подключены к измерительному прибору - потенциометру, измеряющему разность потенциалов электродов ячейки или потенциал индикаторного электрода относительно потенциала электрода сравнения, который в данных условиях является величиной постоянной ( ср = const), тогда как потенциал индикаторного электрода таковой величиной не является ( инд const). Эта разность носит название электродвижущей силы (ЭДС) потенциометрической ячейки.

Таким образом, пара электродов, погруженная в потенциометрическую ячейку с каким-либо раствором, представляет собой гальванический элемент, а разница потенциалов между ними - ЭДС гальванического элемента.

Один электрод (сам по себе) представляет собой полуэлемент, обладающий в зависимости от условий собственным потенциалом. Так, при погружении пластинки какого-либо металла в воду на ее поверхности возникают процессы, приводящие к образованию двойного электрического слоя. Ионы металла из кристаллической решетки под действием полярных молекул воды отрываются и переходят в воду, заряжая его положительно ( +). Электроны остаются на поверхности металла, заряжая ее отрицательно (-).

Потенциометрические методы анализа основаны на измерении электродвижущих сил (ЭДС):

E=E1-E2

где E - электродвижущая сила (ЭДС); E1 и E2 - потенциалы электродов исследуемой цепи.

Потенциал электрода E связан с активностью и концентрацией веществ, участвующих в электродном процессе, уравнением Нернста (1):


где E0 - стандартный потенциал редокс-системы; - универсальная газовая постоянная, равная 8,312 Дж/(моль К);- абсолютная температура, К;- постоянная Фарадея, равная 96485 Кл/моль;- число электронов, принимающих участие в электродной реакции;, ared - активности соответственно окисленной и восстановлено форм редокс-системы;

[ox] [red] - их молярные концентрации;

γox, γred - коэффициенты активности

В настоящее время отсутствуют теоретические и экспериментальные методы, при помощи которых можно вычислить или измерить абсолютные значения электродного потенциала, которые используются при электрохимических расчетах. В связи с этим электродные потенциалы измеряют относительно определенного стандарта.

В качестве такого стандарта принят нормальный водородный электрод (НВЭ) (рис.2).

Рисунок 2 - Стандартный водородный электрод

Стандартный водородный электрод представляет собой платиновую пластину, покрытую «платиновой чернью» (высокодисперсная платина с огромной удельной поверхностью), частично погруженную в раствор кислоты с активностью ионов гидроксония, равной единице (условие стандартизации). Через раствор, обдувая электрод, пропускают постоянный ток водорода под давлением 1 атм (условие стандартизации). В водородном электроде устанавливаются равновесия:

H2(газ) ↔ 2H(адсорбированный платиной) ↔ 2H3O+ + 2 e-,

или опуская промежуточную стадию адсорбции:

H2(газ) + 2H2O ↔ 2H3O+ + 2 e- ,

т.е. схему данного электрода можно записать как:

Pt, H2 (P(H2)=1 атм)| H+ (aH+=1).

Учитывая, что электродный потенциал стандартного водородного электрода равен 0,00 В по определению, теоретически с его помощью можно определить потенциал любого другого электрода, собрав из них электрохимическую ячейку. Например, для электрода, описанного выше:

-Pt, H2 (P(H2)=1 атм)| H+ (aH+=1)||Mn+|M+,

где двойная черта означает солевой мостик или полупроницаемую мембрану между растворами электролитов. Расположение электродов в данной схематической записи электрохимической ячейки отвечает рекомендациям IUPAC, т.е., если электродная реакция, записанная в сторону восстановления, является самопроизвольной, то потенциал электрода будет положительным. Если же с помощью указанной ячейки определить потенциал электрода в стандартных условиях (т.е. поместить электрод в раствор соответствующего электролита с активностью равной единице), то полученный потенциал будет стандартным электродным потенциалом данного вещества при данной температуре, и является термодинамическим параметром данной сопряженной окислительно-восстановительной пары в стандартных условиях:

Mn+ + ne- → M, E°Mn+/M

Зная значение относительного стандартного потенциала вещества (они приводятся в термодинамических справочниках), с помощью уравнения Нернста можно определить зависимость относительного потенциала электрода первого рода от активности электролита.

Таким образом, собрав выше описанную электрохимическую ячейку, можно использовать данный электрод в качестве индикаторного для определения активности ионов Mn+/.

Так как материал данного индикаторного электрода участвует в исследуемом обратимом окислительно-восстановительном процессе, то он относится к активным металлическим электродам. В случае же если электрод непосредственно не участвует в окислительно-восстановительном процессе, а служит только переносчиком электронов от восстановленной формы к окисленной (например, как у описанного выше водородного электрода), он относится к инертным металлическим электродам (редокс-электрод).

Подобного рода электроды изготавливают из благородных металлов (Au, Pt) и применяют в потенциометрическом окислительно-восстановительном титровании.

Электроды сравнения в потенциометрии. Электроды сравнения служат эталонами, по отношению к которым измеряют потенциалы индикаторных электродов. Электроды сравнения должны обладать устойчивым во времени потенциалом, не изменяющимся при прохождении небольшого тока.

Обычно в качестве электродов сравнения используют хлорсеребряный и каломельный электроды. Они представляют собой металлические электроды, находящиеся в контакте с раствором, насыщенным малорастворимой солью металла и содержащей избыток другой соли с одноименным анионом. Следует напомнить, что стандартные потенциалы всех электродов сравнения измерены относительно нормального водородного электрода, стандартный потенциал которого условно принимается за нуль.

Хлорсеребряный электрод. В качестве электрода сравнения используют также другой электрод второго рода - хлорсеребряный, представляющий собой серебряную проволоку, покрытую хлоридом серебра и помещённую в раствор хлорида калия. Хлорсеребряный электрод также обратим относительно анионов хлора: Аg / АgСl, КСl

Величина потенциала хлорсеребряного электрода зависит от активности ионов хлора; данная зависимость имеет следующий вид (2):

 (2)

Чаще всего в качестве электрода сравнения используется насыщенный хлорсеребряный электрод, потенциал которого зависит только от температуры. В отличие от каломельного, он устойчив при повышенных температурах и применим как в водных, так и во многих неводных средах.

Каломельный электрод. Работа с водородным электродом довольно неудобна, поэтому в качестве электрода сравнения часто используется более простой в обращении каломельный электрод, величина электродного потенциала которого относительно стандартного водородного электрода точно известна и зависит только от температуры. Каломельный электрод состоит из ртутного электрода, помещенного в раствор КСl определенной концентрации и насыщенный каломелью Hg2Сl2: Нg / Нg2Сl2, КСl

Каломельный электрод обратим относительно анионов хлора и уравнение Нернста для него имеет вид (3):

 (3)

Потенциометрический метод анализа существует в нескольких вариантах:

Прямая потенциометрия. Метод основан на установлении зависимости потенциала измерительного электрода от концентрации раствора (построение калибровочного графика или настройка измерительного прибора) и последующим ее использовании для анализа растворов неизвестной концентрации. Метод достаточно прост и экспрессен. Наиболее широко применяется для измерения рН.

Точность метода зависит, в первую очередь, от типа измерительного электрода. Так для рН-электродов достижима точность 0,01 рН и выше, а для ионоселективных электродов принято оценивать погрешность величиной 4% для однозарядных ионов и 8% для двухзарядных. Точность измерений так же заметно зависит от степени отклонения крутизны электродной функции от теоретического значения. Поэтому крутизна электродной функции является показателем качества электрода. Реальная крутизна электродной функции обычно равна или несколько ниже теоретического значения, превышение ее над теоретической величиной чаще всего говорит об ошибке эксперимента. Следует помнить, что со временем, по мере выработки ресурса электрода, крутизна снижается, и погрешности измерений возрастают.

Достоинством и недостатком метода одновременно является то, что измеряемый потенциал зависит от активности. Это единственный метод прямого определения активности ионов в растворах. Но с другой стороны аналитиков чаще интересует концентрация, а пересчет активности ионов в концентрацию с применением эмпирических коэффициентов активности вызывает некоторую дополнительную погрешность.

Существует вариант метода, в котором в калибровочные и анализируемые растворы вводится индифферентный электролит. Это позволяет проводить калибровку и последующий анализ в единицах концентрации.

Наибольшее распространение среди прямых потенциометрических методов получил метод определения рН. Прямые потенциометрические методы стали называть ионометрическими методами анализа, или ионометрией. Эта группа методов интенсивно развивается в связи с успехами в конструировании и улучшении качества ионоселективных электродов, позволяющих проводить анализ быстро и точно. Например, ионометрический метод рекомендован как международный стандарт для анализа нитратов в овощах и фруктах.

Потенциометрическое титрование. Метод существует во множестве вариантов. Он основан на проведении специфической химической реакции под контролем ионоселективного или редокс-электрода. Могут применяться следующие реакции: нейтрализации, осаждения, комплексообразования или окисления-восстановления. Калибровка электрода обычно не требуется, он служит только для установления точки эквивалентности. Расчет концентрации анализируемого вещества производится на основании объемов и концентраций, участвующих в реакции растворов.

Метод более сложный и трудоемкий по сравнению с предыдущим, но имеет ряд преимуществ. Результаты, полученные этим методом, обычно более точны и воспроизводимы (< 1%). Титрование позволяет определять вещества, на которые не существует ионоселективных электродов (косвенное определение). От применяемого электрода не требуется высокой линейности и стабильности характеристики. Правильный подбор реактивов позволяет проводить анализ в присутствии мешающих ионов.

К недостаткам метода следует отнести невозможность его применения для непрерывного контроля, а так же то, что в ряде случаев им нельзя определять малые концентрации.

Методы добавок. Родственный титрованию метод. Существует во множестве вариантов, некоторые из которых обладают преимуществами, существенно расширяющими область применения потенциометрии. Это, например, возможность анализа малых концентраций, лежащих на пределе линейности электродной характеристики, а иногда и ниже («метод добавок с последующим разбавлением»).

В присутствии избытка комплексообразующих агентов метод стандартных добавок является единственным методом, пригодным для определения общей концентрации ионов, входящих в состав комплексов.

Измерение ЭДС при прямой и косвенной потенциометрии проводят с помощью потенциометра - прибора, в котором смонтирована вся электрическая схема установки с выводом контактов для подключения гальванического элемента (рис.3).

Рисунок 3 - Потенциометр (иономер)

2. Практическая часть

2.1 Объекты, постановка целей и задач исследования

Цель работы - изучить возможность применения методов потенциометрического анализа мясных продуктов.

Для достижения поставленной цели необходимо было решить следующие задачи:

изучить метод потенциометрического анализа;

проанализировать объекты исследований;

изучить методики потенциометрического анализа в приложении к данному объекту.

Объектом исследования представленной работы являются мясные продукты.

Мясные товары - это пищевые продукты, произведенные только из мяса теплокровных животных и птицы или с добавлением другого вспомогательного сырья растительного или животного происхождения и подвергнутые определенной технологической переработке.

Далее будет показана возможность применения потенциометрического метода определения массовой доли хлоридов.

Поваренная соль (химическое название - хлорид натрия, NaCl) является наиболее широко и давно применяемой «пищевой добавкой» и обычно играет одну из самых важных ролей в производстве мясных продуктов.

С химической точки зрения NaCl - это натриевая соль соляной кислоты. В большинстве стран мира соль относят к пищевым продуктам, а не к добавкам.

Соль состоит из 39,3% натрия и 60,7% хлора, для сохранения сыпучести в течение длительного периода времени в нее нередко вносят небольшое количество антислеживающего агента. Соль получают путем разработок месторождений (каменная соль) или выпариванием (морская соль).

Натрий является жизненно важным нутриентом и должен поступать в организм вместе с пищей. Недостаточное потребление натрия представляет собой угрозу нервной и мышечной системам человеческого организма, в то время как переизбыток натрия приводит к таким отрицательным последствиям, как высокое кровяное давление.

В растворе хлорид натрия распадается на ионы Na+ и Сl-.

Добавление соли к мясу увеличивает ионную силу раствора, кроме того, ионы соли связываются с ионами боковых цепей белков и способствуют разделению этих боковых цепей (рис.4)

Рисунок 4 - Ионы соли связываются с ионами боковых цепей белков и способствуют разделению этих боковых цепей

Хлорид-ион также важен, поскольку способствует абсорбции калия в организме человека. Он является компонентом желудочного сока и усиливает способность крови переносить диоксид углерода из тканей в легкие.

Соленый вкус мясных продуктов, содержащих хлорид натрия, обусловлен прежде всего присутствием отрицательно заряженных ионов Сl- и в меньшей степени - положительно заряженных ионов Na+.

В продуктах с пониженным содержанием натрия часто альтернативой поваренной соли является хлорид калия.

В мясе и мясных продуктах соль выполняет несколько функций:

соль является усилителем вкуса и аромата, и при недостаточном количестве соли мясное блюдо или мясной продукт не будут иметь хорошего вкуса, даже если в процессе приготовления использовали специи.

соль в сочетании с фосфатами переводит белок мяса в гидратированное состояние, что повышает способность белка связывать дополнительную воду, а также эмульгировать жир в мясных продуктах. Внесение соли влияет на взаимодействия между актином и миозином. Электростатические взаимодействия обусловлены наличием в молекуле белков положительных и отрицательных зарядов, которые притягивают или отталкивают друг друга. При добавлении соли возникает эффект отталкивания, при этом расширяются промежутки между молекулами актина и миозина. Для эффективного активирования белка дозировка соли должна составлять не менее 12 г на килограмм мясного продукта.

При активировании белка также улучшается текстура мяса.

соль снижает содержание свободной воды в продукте), поэтому в таких мясных продуктах, как сырая ферментированная салями или вяленые продукты, на начальных стадиях производства соль является важным средством предупреждения микробиологической порчи.

Добавление соли способствует росту грамположительных бактерий. Среди патогенных бактерий лишь очень немногие являются грамположительными, например, Salmonella spp. и Escherichia coli.

соль как таковая ядовита для бактерий, поскольку создает дисбаланс электролитов в клетке. Добавление соли к мясу вызывает небольшой сдвиг изоэлектрической точки белков мышечной ткани в более кислую область (изоэлектрическая точка с 5,2 может сдвинуться примерно до 5,0). В результате может быть связано большее количество воды без изменения значения рН мяса, так как сдвиг изоэлектрической точки от 5,2 до 5,0 приводит к увеличению разницы между значением рН мяса и его изоэлектрической точкой. Например, до добавления соли эта разница составляла 0,5 единиц рН (между значениями 5,7 и 5,2). После добавления соли разница составила 0,7 единиц (между значениями 5,7 и 5,0). Увеличение разницы между двумя значениями рН обусловливает усиление капиллярного эффекта мышечных волокон, что в свою очередь ведет к повышению ВСС.

соль, и особенно ионы натрия, может вызывать повышение кровяного давления при чрезмерном потреблении. Существуют «легкие» мясные продукты, в которых количество натрия составляет около 450-750 мг на 100 г продукта (в зависимости от пищевых нормативов в соответствующей стране). В таких продуктах на килограмм добавляют только около 8 г поваренной соли (хлорида натрия), заменяя его хлоридом калия. Таким образом, в целом на килограмм продукта приходится 12-16 г солей.

При оценке содержания натрия в мясном продукте также не следует забывать, что натрий часто вносят в мясные продукты в составе других веществ, таких как нитрит натрия, эриторбат натрия и фосфаты натрия.

.2 Потенциометрический метод определения массовой доли хлоридов

Метод потенциометрического определения массовой доли хлоридов позволяет определить содержание хлоридов в мясе и мясных продуктах, включая мясо птицы и продукты из него, с массовой долей хлорида натрия равной или превышающей 0,25%.

Сущность метода. Пробу диспергируют в воде. Аликвоту полученной суспензии подкисляют и потенциометрически титруют раствором азотнокислого серебра с использованием серебряного электрода.

Необходимые реактивы:

Вода дистиллированная и не содержащая ионов галогенов.

Проба на отсутствие ионов галогенов: к 100 см3 воды добавляют 1 см3 азотнокислого серебра c (AgN03) = 0.1 моль/дм3 и 5 см3 азотной кислоты (с (HN03) = 4 моль/дм3). Допускается образование только легкого помутнения.

Азотная кислота, разбавленный раствор в объемном соотношении 1:49.

Разбавляют 20 см3 концентрированной азотной кислоты (ρ = 1.40 г/см3) водой и доводят объем до 1000 см3 водой.

Серебро азотнокислое, стандартный раствор, с (AgNO3) = 0,0856 моль/дм3

В воде растворяют 14.541 г азотнокислого серебра, предварительно высушенного в течение 2 ч при температуре (150 ± 2) °С и охлажденного в эксикаторе. Полученный раствор количественно переносят в мерную колбу с одной отметкой вместимостью 1000 см3 и доводят водой до отметки. Полученный раствор хранят в темной стеклянной посуде в защищенном от прямого солнечного света месте.

Натрия хлорид, стандартный раствор с (NaCI) = 0.0856 моль/дм3

В воде растворяют 5.000 г хлорида натрия, предварительно высушенного в течение 2 ч при температуре (110 ± 2) °С и охлажденного в эксикаторе. Полученный раствор количественно переносят в мерную колбу с одной отметкой вместимостью 1000 см3 и доводят водой до отметки.

Необходимое оборудование:

Устройство для гомогенизации механическое или электрическое, способное гомогенизировать пробу.

Это может быть высокоскоростной ротационный куттер или мясорубка с решеткой, диаметр отверстий которой не превышает 4.5 мм.

Лабораторный смеситель (блендер), оборудованный переключателем для перемешивания при низкой и высокой скорости вращения.

Электроды, комбинированный серебряный электрод биллетного (твердотельного) типа, или отдельные серебряный индикаторный электрод и стеклянный электрод сравнения.

Перед первым использованием и. при необходимости, ежедневно перед использованием рабочую поверхность серебряного комбинированного электрода чистят чистящим порошком или другим подходящим средством, затем тщательно ополаскивают водой (после испытания некоторых видов образцов может потребоваться ополаскивание горячей водой). Очистку других типов электродов проводят в соответствии с рекомендациями изготовителя. При необходимости, для предотвращения смещения измеряемой конечной точки титрования проводят дополнительную очистку. В течение испытаний нескольких образцов периодически ополаскивают электроды водой и вытирают тканью для предотвращения образования пленки. При использовании серебряных электродов биллетного типа нет необходимости покрывать их хлоридом серебра.

Магнитная мешалка с регулировкой на постоянную скорость вращения.метр предпочтительно с непосредственным, например, цифровым, отсчетом показаний с ценой деления шкалы не более 10 мВ и диапазоном измерения не менее ± 700 мВ.

Пипетка вместимостью 50 см3.

Весы с погрешностью взвешивания ± 0.1 г.

Отбор проб. Масса представительной пробы должна быть не менее 200 г.

Подготовка пробы. Лабораторную пробу гомогенизируют с помощью подходящего оборудования. Температура пробы при этом не должна превышать 25 °С. При использовании мясорубки пробу пропускают через нее не менее двух раз.

Подготовленную пробу помещают в воздухонепроницаемую емкость, закрывают и хранят, не допуская ее порчи и изменения состава. Испытания (анализ) пробы проводят по возможности быстрее. но не позднее 24 ч после гомогенизации.

Порядок определения:

Проба

В емкости смесителя (блендера) вместимостью 1000 см3 взвешивают пробу массой примерно 50 г с точностью не более 0,1 г.

Диспергирование

К пробе добавляют 450 см3 воды. Емкость закрывают и включают смеситель (блендер) на малую скорость вращения для начального диспергирования. Затем проводят тщательное перемешивание при высокой скорости в течение от 1 до 2 мин так. чтобы получить однородную суспензию твердого материала.

Сразу после перемешивания в предварительно взвешенный стакан вместимостью 250 см3 с помощью пипетки вносят 50 см3 полученной суспензии пробы. Определяют массу испытуемого раствора

Кривая титрования

В стакан вместимостью 250 см3 с помощью пипетки вносят 25 см3 раствора хлорида натрия. Разбавляют водой до общего объема примерно 50 см3 и добавляют 50 см3 разбавленной азотной кислоты.

В полученный раствор помещают электроды и включают перемешивание раствора. В процессе титрования перемешивание должно проводиться с постоянной скоростью достаточно энергично и без разбрызгивания (рис 5).

Рисунок 5 - Потенциометрическое титрование

Титрование проводят раствором азотнокислого серебра, регулируя скорость капания по скорости изменения потенциала так. чтобы построить правильный график зависимости изменения потенциала в милливольтах (ось У) от объема раствора азотнокислого серебра в см3 (ось X).

Всего добавляют 50 см3 раствора азотнокислого серебра для построения полной кривой титрования. Точку перегиба определяют, проведя две прямые линии под углом наклона 45° к осям и касательно к кривой титрования в двух точках ее наибольшей кривизны.

Точка перегиба определяется как точка пересечения кривой титрования и линии, находящейся посередине между двумя проведенными линиями и параллельно им.

Точку перегиба используют как конечную точку при титровании раствора пробы. Периодически перепроверяют потенциал конечной точки относительно связующего потенциала электрода сравнения. При замене отдельного электрода, комбинированного электрода либо рН-метра конечную точку определяют заново построением новой кривой титрования.

Исходя из израсходованного на титрование раствора азотнокислого серебра рассчитывают его молярную концентрацию и доводят ее до 0.0856 мопь/дм3.

Определение

В суспензию пробы добавляют 50 см3 разбавленной азотной кислоты (и титруют, как описано для раствора хлорида натрия. Если концентрация хлорида равна или меньше 1 %. то используют бюретку вместимостью 10 см3.

При проведении серии испытаний одного и того же мясного продукта для достижения большей точности используют конечную точку, измеренную по кривой титрования этого мясного продукта, а не конечную точку, полученную на стандартном растворе хлорида натрия.

Расчет

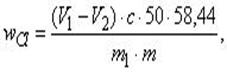
Содержание хлоридов в образце вычисляют по формуле (4):

 (4)

где wCI - содержание хлоридов в образце, выраженное в виде массовой доли хлорида натрия в процентах:- объем азотнокислого серебра, израсходованного на титрование суспензии пробы, см3: - объем азотнокислого серебра, израсходованного на контрольное титрование, см3:

с - концентрация раствора азотнокислого серебра, моль/дм3: - масса испытуемой суспензии, г:- масса испытуемой пробы, г.

Результат записывают с округлением до 0.1 % (массовая доля).

Точность

Показатели точности метода установлены с помощью межлабораторных испытаний, выполненных в соответствии с ГОСТ Р ИСО 5725-1-2002. Значения предела повторяемости г и предела воспроизводимости R получены для уровня вероятности 95 %.

Повторяемость

Абсолютное расхождение между результатами двух независимых единичных определений, полученных при использовании одного и того же метода, для идентичного испытуемого материала, в одной и той же лаборатории, одним и тем же оператором, с использованием одного и того же оборудования в течение короткого промежутка времени, не должно превышать предел повторяемости г. вычисляемый по формуле (5):

г = 0.002 + 0.033 wCI (5)

где wCI - среднеарифметическое значение двух результатов определения массовой доли хлорида натрия, %.

Воспроизводимость

Абсолютное расхождение между результатами двух независимых единичных определений, полученных при использовании одного и того же метода, для идентичного испытуемого материала, в различных лабораториях, разными операторами, с использованием различного оборудования, не должно превышать предел воспроизводимости R, вычисляемый по формуле (6):

R = 0.005 + 0,066 WCI (6)

где WCI - среднеарифметическое значение двух результаты определения массовой доли хлорида натрия. %.

Протокол испытаний должен включать:

использованный метод отбора образцов, если он известен:

полученный (е) результат(ы) испытания;

если проводилась проверка повторяемости, окончательный оцененный результат.

В протокол испытаний также должна быть включена вся информация, необходимая для полной идентификации образца.

Заключение

В настоящее время предприятия пищевой промышленности поставляют на потребительский рынок широкий ассортимент продуктов питания, которые не всегда удовлетворяют современным требованиям качества, поэтому вопросам безопасности пищевых продуктов уделяется серьезное внимание.

Контроль качества продовольственного сырья и пищевых продуктов осуществляется различными физико-химическими методами, среди которых лидирующие позиции занимают классические методы анализа (титриметрия, гравиметрия и др.), электрохимия, фотометрия и газовая хроматография.

Разработка и внедрение эффективных инструментальных методов подтверждения подлинности продуктов питания позволяет оздоровить конкурентную борьбу между производителями за рынок сбыта и повысить средний уровень качества продукции.

В результате выполненной работы в первом разделе изучены методы потенциометрии, а именно: сущность метода, стандартный водородный электрод, электроды сравнения, прямая потенциометрия, метод потенциометрического титрования и метод добавок.

Наибольшее распространение среди прямых потенциометрических методов получил метод определения рН. Прямые потенциометрические методы стали называть ионометрическими методами анализа, или ионометрией. Эта группа методов интенсивно развивается в связи с успехами в конструировании и улучшении качества ионоселективных электродов, позволяющих проводить анализ быстро и точно. Например, ионометрический метод рекомендован как международный стандарт для анализа нитратов в овощах и фруктах.

Во втором разделе исследована методика определения массовой доли хлористого натрия с помощью метода потенциометрического титрования в мясных продуктах. Метод потенциометрического определения массовой доли хлоридов позволяет определить содержание хлоридов в мясе и мясных продуктах, включая мясо птицы и продукты из него, с массовой долей хлорида натрия равной или превышающей 0,25%.

Поваренная соль (химическое название - хлорид натрия, NaCl) является наиболее широко и давно применяемой «пищевой добавкой» и обычно играет одну из самых важных ролей в производстве мясных продуктов.

Определены средства измерения, условия окружающей среды при проведении определения, пробоподготовка объекта исследования, проведение измерения, расчет содержания хлористого натрия, порядок заполнения протокола испытания.

Список литературы

1.       Ковалева, Ирина Павловна. Методы исследования свойств сырья и продуктов питания: Рекомендовано Умо в качестве учебного пособия для вузов/ И.П. Ковалева, И.М. Титова, О.П. Чернега. - СПб.: Проспект Науки, 2012. - 152 с.

.        Лакиза Н. В., Неудачина Л. К. Анализ пищевых продуктов : [учеб. пособие] / М-во образования и науки рос. Федерации, Урал. федер. ун-т. - Екатеринбург : изд-во Урал. ун-та, 2015. - 188 с.

.        Физико-химические методы исследования: Учебник для бакалавров // Криштафович В.И., Криштафович Д.В., Еремеева Н.В., - 2015 год - 208 с.

.        Тимофеева В.А. Т 50 Товароведение продовольственных товаров / В.А. Тимофеева.Учебник. Изд-е 5-е, доп. и перер. -Ростов н/Д: Феникс. 2005.- 386 с.

.        Товароведение однородных групп продовольственных товаров: Учебник для бакалавров // Елисеева Л.Г., Родина Т.Г., Рыжакова А.В. и др.; под ред. Л.Г. Елисеевой - 2014 год.- 930 с.

.        Аналитическая химия и физико-химические методы анализа (под ред. Ищенко А.А.). М., ИЦ «Академия», 2010.- 416 с.

.        Нечипоренко А.П. Физико-химические (инструментальные) методы анализа. Электрохимические методы. Потенциометрия и кондуктометрия: Учеб.-метод. пособие / Под ред. В.В. Кириллова. - СПб.: НИУ ИТМО; ИХиБТ, 2013. - 34 с.

.        Базарнова Ю.Г. Методы исследования сырья и готовой продукции: Учеб.-метод. пособие. СПб.: НИУ ИТМО; ИХиБТ, 2013. 76 с.

.        Физико-химические методы анализа продуктов питания : учебно- методическое пособие / Г.Е. Башкеева, Н.У. Мухаметчина. - Нижнекамск : НХТИ ФГБОУ ВПО «КНИТУ», 2015. - 102 с.

.        Нечипоренко А.П. Физико-химические (инструментальные) методы анализа. Электрохимические методы. Потенциометрия и кондуктометрия: Учеб.-метод. пособие / Под ред. В.В. Кириллова. - СПб.: НИУ ИТМО; ИХиБТ, 2013. - 34 с.

.        Потенциометрические методы анализа: Метод. указ. к лаб. работам/ Сост. Б.М. Стифатов, Е.Ю. Мощенская. Самара; Самар. гос. тех. ун-т, 2013. - 31 с.: ил.

.        Курлански М. Всеобщая история соли / Марк Курлански / Переводчики: Н. Жукова, М. Суханова. - М.: КоЛибри, 2007. - 520 с.

.        Похлебкин В.В. История важнейших пищевых продуктов. Издатель- ство: Центрполиграф, 2009

.        ГОСТ ISO 1841-2-2013 МЕЖГОСУДАРСТВЕННЫЙ СТАНДАРТ МЯСО И МЯСНЫЕ ПРОДУКТЫ Потенциометрический метод определения массовой доли хлоридов где выходные данные про эти стандарты

.        ГОСТ Р ИСО 5725-1-2002 Точность (правильность и прецизионность) методов и результатов измерений. Часть 1. Основные положения и определения

Похожие работы на - Потенциометрический метод исследования мясных продуктов

 

Не нашли материал для своей работы?
Поможем написать уникальную работу
Без плагиата!
Без нейросетей!