Исследование влияния стандартов обслуживания на лояльность потребителей
ОГЛАВЛЕНИЕ
Введение
Глава 1.
Теоретические и методологические аспекты исследования и формирования
потребительской лояльности в сфере услуг
.1
Потребительская лояльность как ключевой показатель успеха маркетинга в сфере
услуг
.2 Анализ
опыта исследований потребительской лояльности и влияния на нее корпоративных
стандартов обслуживания
.3
Формулировка и обоснование исследовательских гипотез
.4 Описание
дизайна и методологии практического исследования
.5
Исследовательский инструментарий для сбора первичных данных и их обработки
Глава 2.
Анализ потребительской лояльности к компании «Sushi-City» и ее зависимости от
факторов обслуживания
.1
Характеристика компании «Sushi-City» и ее подхода к коммуникации с
потребителями
.2 Полевое
исследование лояльности клиентов к компании «Sushi-City»
Глава 3.
Разработка рекомендаций по совершенствованию корпоративных стандартов
обслуживания компании «Sushi-City»
.1 Оценка
основных факторов обслуживания компании «Sushi-City»
.2 Глубинное
интервью с маркетологом компании «Sushi-City»
.3
Рекомендации по совершенствованию подхода компании к обслуживанию потребителей
Заключение
Список
использованных источников
Приложения
ВВЕДЕНИЕ
Стандарты обслуживания часто определяют развитие всей культуры
обслуживания в компании, они формируют набор ключевых факторов, влияющих на
лояльность клиентов [6; с.108]. Независимо от того, закреплены стандарты
обслуживания документально или нет, они существуют практически в любой
современной компании. Их влияние на развитие отношений потребителей и
организаций весьма значительно. Актуальность рассматриваемой темы обоснована
самой спецификой сферы услуг, значимость которой стремительно растет в любой
развивающейся экономике, в том числе российской. Кроме того, на актуальность
указывает и рост числа публикаций по данной теме в последнее время - более
250-ти научных работ в области потребительской лояльности в сфере услуг было
опубликовано по данным ведущих систем-индексаторов Scopus и Web of Science только в 2014 году.
Настоящая магистерская диссертация посвящена решению исследовательской и
практической проблемы укрепления лояльности потребителей в отношении компании
сферы услуг. В частности, требуется прояснить взаимосвязь между лояльностью
потребителей и действующими в компании стандартами обслуживания клиентов - их
качеством, исполнением, проработанностью и соответствию ожиданиям клиентов.
Проблема, которую предстоит решить в рамках данной диссертации, или цель
работы, заключается в выявлении таких процессов в обслуживании, которые
оказывают значимое влияние на лояльность потребителей, и предложении идей по их
улучшению, на примере конкретной компании сферы услуг. При этом, решение данной
проблемы будет базироваться на использовании передового опыта специалистов в
данной сфере - их теорий, методов и выводов.
Достижение цели магистерской диссертации требует выполнения ряда
исследовательских задач, а именно:
· Анализ современной отечественной и зарубежной литературы по проблеме
исследования и формирования потребительской лояльности;
· Формулировка исследовательских гипотез;
· Формирование дизайна практического исследования для сбора и
анализа первичных данных в компании сферы услуг (сеть магазинов «Sushi-City»);
· Осуществление сбора и анализа данных в выбранной для
исследования компании;
· Формирование выводов (проверка гипотез, аналитика, подведение
итогов, выдвижение практических рекомендаций для исследуемой организации).
Основы теории формирования потребительской лояльности были заложены
вместе с основами маркетинга как такового. Филип Котлер и впоследствии Дэвид
Аакер были одними из первых специалистов, подаривших жизнь этому термину,
который в дальнейшем активно развивался трудами многих других ученых и
предпринимателей [11; с. 279]. К сегодняшнему дню сформирована богатая база
знаний и опыта в отношении работы с лояльностью клиентов - как на рынках
продуктов, так и услуг. Например, такие специалисты как Х. Бансал, Г. Ирвинг,
Ш. Тэйлор разработали актуальную модель потребительской лояльности из трех
компонентов - аффективного («эмоциональная лояльность»), продленного
(ограничения, не позволяющие быстро отказаться от услуг фирмы) и нормативного
(лояльность «на основе обязанности или чувства долга») [14; с. 235].
Отечественные специалисты, такие как А.В. Цысарь и К.В. Палавин, в своих
работах систематизировали многие существующие теории потребительской лояльности
и адаптировали их к среде российского рынка услуг [1] [7]. В данной
диссертационной работе труды этих и многих других авторов будут подвергнуты
тщательному исследованию и анализу.
Для решения поставленной исследовательской проблемы потребуется не только
изучение опубликованных по данному вопросу материалов (публикуемых, в
большинстве своем, за рубежом), но также проведение сбора и анализа первичной
информации. Только так можно будет обоснованно выстраивать практические
рекомендации для конкретной компании с учетом специфики российского рынка
потребительских услуг (и в частности, рынка города Санкт-Петербурга).
Диссертационная работа носит проектно-аналитический характер и
концентрирует внимание на исследовании динамики потребительской лояльности
компании сферы услуг и разработке мероприятий по совершенствованию
корпоративных стандартов обслуживания. Предметом исследования диссертационной
работы являются инструменты формирования потребительской лояльности, а объектом
исследования выступает потребительская лояльность к компании сферы услуг.
Научная и методическая значимость магистерской диссертации заключается в
том, что она вносит определенный вклад в развитие методов исследования
потребительской лояльности в сфере услуг на основе систематизации ведущих
публикаций в данной области. Практическая значимость работы состоит в оценке
уровня лояльности клиентов к компании «Sushi-City» и разработке рекомендаций по
совершенствованию корпоративных стандартов обслуживания, направленных на
увеличение потребительской лояльности.
Глава 1. Теоретические и методологические аспекты исследования и
формирования потребительской лояльности в сфере услуг
1.1 Потребительская лояльность как ключевой показатель успеха маркетинга
в сфере услуг
В процессе развития взаимоотношений производителей продуктов и услуг и их
потребителей, маркетинговые концепции сменяли друг друга, все более изменяя
свой фокус с производителя на потребителя. Если ранее компаниям достаточно было
лишь производить товар, чтобы он успешно продавался, то в дальнейшем стало
требоваться осведомлять потребителей о товарах и их преимуществах, активно
конкурировать, искать способы реализовывать новые товары новыми способами [7;
с. 150]. К сегодняшнему дню внимание все большего числа коммерческих
организаций обращается на потребности, особенности и поведение потребителей.
Это происходит во многих странах мира, на самых различных рынках, и объясняется
насыщением этих рынков, их взаимосвязанностью, а также изменениями в подходах к
производству продуктов и оказанию услуг [7; с. 152].
В настоящее время многие компании предпочитают формировать базы
постоянных, или лояльных клиентов, приносящих стабильный доход на протяжении
долгого времени, что позволяет как оптимизировать маркетинговые затраты, так и
обезопасить бизнес на продолжительный период. Этот подход постепенно вытесняет
прежнюю, примитивную, и во многих случаях губительную, маркетинговую парадигму,
направленную лишь на сбыт товара максимальному числу потребителей в минимальный
срок [18; с. 297].
Таким образом, лояльность потребителей становится все более и более
важным аспектом маркетинговой деятельности любой прогрессивной компании. Это в
одинаковой степени относится как к компаниям, реализующим физический продукт,
так и к компаниям, осуществляющим услуги [13; с.552]. Впрочем, справедливо
отметить, что специфика рынка услуг делает лояльность в этой сфере еще более
значимым явлением. Несохраняемость, привязка к исполнителю, связанность с
физическим продуктом или другой услугой, а также другие свойства услуги в
рыночном пространстве, указывают на то, что компании, оказывающие их, несут
большие репутационные риски, более тесно контактируют с клиентами и имеют
большую зависимость от их предрасположенности к дальнейшему сотрудничеству [21;
с.95]. По этим причинам, лояльность потребителей в сфере услуг становится все
более изучаемой и разбираемой темой в профессиональной и академической среде -
то есть имеет высокую актуальность.
Последнее утверждение иллюстрирует статистика по динамике публикаций на
тему потребительской лояльности в сфере услуг в ведущих системах-индексаторах
статей - Scopus (рисунок 1) и Web of Science (рисунок 2).
Рисунок 1 - Динамика публикаций статей, приводимая по поисковому запросу
«customer loyalty AND service»
в системе Scopus
Можно видеть, что на протяжении последних десяти лет число публикаций о
потребительской лояльности в сфере услуг возросло многократно, и интерес к этой
теме сохраняется на высоком уровне в настоящее время. Оба индексатора
показывают в целом схожую динамику, различия в которой объясняются разницей в
охвате изданий, статей и авторов у индексаторов.
Рисунок 2 - Динамика публикаций статей, приводимая по поисковому запросу
«customer loyalty AND service»
в системе Web of Science
Публикации делаются в большом географическом масштабе - высоко цитируемые
статьи присутствуют из США, Великобритании, Италии, Новой Зеландии, Китая,
Южной Кореи, Ирана и других стран, что указывает на глобальный интерес бизнеса
и исследователей к данной теме. Российские статьи по данной теме на данный
момент не имеют высокой цитируемости в мировой академической среде, однако
публикации также активно выходят и их число постепенно растет, что показывает,
например, отечественная база профессионально-академических статей «ГребенникOn».
Стоит отметить, что рост научного интереса к исследованиям в области
потребительской лояльности значителен - в 2004 году базы данных Scopus и Web of Science пополнялись 30-50 статьями по данной тематике, в то
время как за 2014 год суммарно было опубликовано свыше 250 работ, что наглядно
демонстрирует возрастающую актуальность данного направления исследований.
Все используемые в данной работе источники не старше 2004 года
публикации, они раскрывают феномен потребительской лояльности с разных сторон,
но сконцентрированы, прежде всего, на ее особенностях в сфере услуг и ее связи
со стандартами обслуживания потребителей в компаниях. В большинстве работ присутствует
разработанный методологический аппарат, применявшийся на действующих
предприятиях или в масштабах целых отраслей - наработки из данных методик
используются для формирования дизайна практического исследования и настоящей
работы.
Среди авторов рассмотренных работ следует выделить Х. Бансала, Г.
Ирвинга, Ш. Тэйлор (авторов трехкомпонентной модели потребительской лояльности
в сфере услуг), Д. Болла, П. Коэльо, М. Вилареса (авторов работ по
персонализации услуг), С. Ху, Дж. Кандампулли, Т. Джувахира (авторов работ по
изучению взаимоотношений между факторами потребительской лояльности) и других.
Среди отечественных специалистов в сфере потребительской лояльности необходимо
выделить Е.Н. Скляр, П.В. Яшкину (авторов практико-ориентированных работ по
укреплению лояльности на российских предприятиях), А.В. Цысарь (автор
систематизирующих работ по знаниям в области потребительской лояльности), А.П.
Карасева (разработчика моделей потребительской лояльности в различных отраслях)
и других авторов. Перечисленные специалисты внесли значимый вклад в теорию и
практику управления лояльностью клиентов в сфере услуг на самых разнообразных
рынках, при различных условиях (формирование лояльности при выходе на рынок;
укрепление лояльности у существующей базы клиентов) и масштабах (отраслевые
рынки; малые и средние предприятия). Многие из специалистов также ссылаются и
на уже классические работы в области маркетинга, например, под авторством Ф.
Котлера, Д. Аакера, Дж. Джейкоби и Р.В. Честнута.
Таким образом, можно уверенно утверждать, что тема потребительской
лояльности в сфере услуг актуальна в настоящее время, и ее изучение открывает
потенциально широкие возможности для более успешного ведения бизнеса в
современной, высоко конкурентной рыночной среде. Многие работы по данной теме
носят высоко прикладной характер и служат основной цели - уменьшить
неопределенность в вопросах формирования и укрепления лояльности клиентов к
поставщикам услуг в различных рыночных обстоятельствах [53; с.848]. Далее будут
рассмотрены и проанализированы наиболее значимые и цитируемые публикации - их
основные идеи, применяемый понятийный аппарат, выводы и особенности.
.2 Анализ опыта исследований потребительской лояльности и влияния на нее
корпоративных стандартов обслуживания
Модели формирования потребительской лояльности в сфере услуг
Приступая к рассмотрению современных, распространенных в академической
среде, взглядов на потребительскую лояльность, следует в первую очередь
обратить внимание на работу за авторством Х. Бансала, Г. Ирвинга, Ш. Тэйлор - специалистов
из канадских университетов Wilfrid Laurier и Quenn’s. Их работа, опубликованная в 2004 году, посвящена
углубленному изучению структуры потребительской лояльности именно в сфере
услуг. Авторы отмечают, что на момент их публикации, исследования лояльности в
сфере услуг, а также поведения потребителей при смене фирм, предоставляющих
услуги, были развиты неудовлетворительно [32; с. 249]. В связи с этим, авторы
разработали концептуальную модель потребительской лояльности на основе
исследования факторов, определяющих отношение клиентов к фирме - то есть их
желание продолжать пользование услугами конкретной фирмы, либо найти другую.
Исследование проводилось путем опроса клиентов в 356 автомобильных сервисах
[12; с. 244], и его результаты легли в основу модели клиентской лояльности,
которая может быть схематично представлена следующим образом (рисунок 3):
Как можно видеть на приведенной схеме, ключевым элементом, указывающим на
лояльность клиента по отношению к фирме (поставщику услуг), является его намерение
сменить данную фирму на другую. По мнению авторов, это отделяет понятие
«лояльности в отношении» (хорошее отношение к фирме и стабильное, добровольное
экономическое взаимодействие с ней) от понятия «лояльности в поведении»
(исключительно вынужденное взаимодействие с фирмой).
Рисунок 3 - Трехкомпонентная модель потребительской лояльности в сфере
услуг [12; с. 246]
Если клиент лоялен компании, то его намерения на переход к пользованию
услугами конкурентов минимальны или отсутствуют вовсе. Если же лояльность
клиента на низком уровне, то он будет готов к смене поставщика требуемых ему
услуг, если обстоятельства не будут этому препятствовать [12; с. 247].
Авторы делают акцент на том, что лояльность является сложным феноменом,
не монолитным по своей структуре, а напротив - разделимым на составные части. В
работе выделяются три таковые части, или компонента клиентской лояльности в
сфере услуг [12; с. 247-249]:
· Аффективная лояльность - это компонент потребительской лояльности,
имеющий в основе эмоциональную привязанность потребителя к компании. Данная
привязанность может быть основана на удовлетворенности потребителя пользованием
услугами, его вере в надежность и качество результата со стороны фирмы (т.е.
доверие), симпатизирующих работниках, привлекательном бренде или иных
психологических аспектах взаимоотношений с компанией.
· Продленная лояльность (continuance commitment) - это компонент, основанный на
влиянии внешних обстоятельств. Иными словами, это «вынужденная лояльность»,
вызванная отсутствием лучших альтернатив или слишком высокими экономическими
барьерами перехода от одного поставщика услуг к другому. Потребитель продолжает
пользоваться услугами фирмы, так как он не может ни отказаться от них в силу
определенных причин, ни перейти на какой-либо альтернативный вариант.
· Нормативная лояльность - это компонент, базирующийся на
социальных аспектах приверженности конкретной компании. Ряд субъективных норм
или социальных связей является причиной лояльности потребителя. Например, если
все члены одной семьи пользуются услугами одной компании, то каждому отдельно
взятому из них будет сложнее отказаться от услуг этого конкретного поставщика.
Другим примером может выступить поддержание гражданами определенной страны
своего национального поставщика услуг (или производителя продукции) над
зарубежными конкурентами.
Тем самым, четко прослеживается цепочка влияния: «фактор лояльности -
компонент лояльности - намерение смены поставщика услуг (или конечный
«результат» лояльности)». Однако авторы отмечают отдельно, что между
аффективным и продленным компонентами лояльности существует важная связь [12;
с. 250]. Они подкрепляют данное утверждение тем, что когда продленная
лояльность высока (т.е. высоки барьеры перехода), то аффективная (эмоциональная)
составляющая практически не играет роли. Впрочем, когда продленная лояльность
слабо выражена, аффективная лояльность имеет особенно большое значение в
решении потребителя оставаться ли с услугами данной фирмы или же искать
альтернативу. Аффективная лояльность также оказывает определенное влияние на
нормативный компонент, так как социальные и психологические аспекты в
экономических отношениях всегда имеют взаимосвязь друг с другом [12; с. 251].
Работа Х. Бансала, Г. Ирвинга, Ш. Тэйлор внесла значимый вклад в теорию
потребительской лояльности в сфере услуг, но ее практическое значение также
оказалось высоко. Авторы отмечают, что разработка рассмотренной модели
позволила сделать важные выводы, которые должны учитываться менеджментом любых
организаций, предоставляющих услуги на рынок. Среди этих выводов и
рекомендаций, необходимо выделить следующие [12; с. 256]:
· Менеджмент компании должен осознавать, что потребители их услуг остаются
лояльны по разным причинам - часть из-за своего собственного, изнутри
исходящего желания, часть из-за невозможности уйти, а часть из-за определенного
социального давления.
· Компании способны разрабатывать тактики, оказывающие влияние
на каждый из компонентов лояльности. А «точками влияния» являются факторы
удовлетворенности (через корпоративные стандарты обслуживания), доверия (через
надежность), издержек перехода (через ценовую политику) и другие.
· Важно понимать, что высокие издержки перехода клиентов от
одного поставщика услуг к другому не являются надежной основой для лояльности
клиентов. Отсутствие или слабая выраженность психологической и социальной
составляющих лояльности могут привести к негативным проявлениям в поведении
потребителей, даже при сохранении их принадлежности к клиентской базе компании.
Например, возможны задержки по оплате услуг, распространение негативной
информации о компании и другие проблемы, которые лучше не допускать.
Другой важной работой в области потребительской лояльности в сфере услуг
является публикация Д. Болла, П. Коэльо и М. Вилареса, описывающая взаимосвязь
лояльности клиентов и персонализации услуг фирмы. Основная идея данной работы
заключается в том, что в настоящее время, когда компании больше не могут
позволить себе простой, транзакционный подход к обслуживанию клиентов для сохранения
долгосрочной успешности бизнеса, стал важен подход к развитию отношений с
клиентами (или маркетинг отношений) [27; с. 392].
Выстраивание отношений не должно строиться на принципе «один размер
подходит всем», а напротив - должно учитывать индивидуальные особенности
(потребности, предпочтения, взгляды) каждого потребителя в отдельности.
Удовлетворенность потребителей будет возрастать, если они будут получать от
фирмы то, что необходимо именно им, а удовлетворенность - один из важнейших
факторов, влияющих на лояльность потребителя конкретной компании.
Следовательно, подстройка услуг фирмы под нужды отдельных потребителей является
потенциально успешным шагом для любой компании, готовой адаптировать подобную
«гибкость» для своей бизнес-модели [27; с. 394].
В ходе своего исследования, авторы построили модель лояльности клиентов в
целом схожую с моделью, представленной в предыдущей работе. Однако данная
модель имеет отличающийся набор факторов, влияющих на лояльность потребителей.
Например, больший фокус делается на коммуникации компании с потребителем, так
как эффективная коммуникация позволяет получать важную информацию о клиенте и
адаптироваться к его потребностям. Кроме того, имидж и репутация компании также
имеют здесь большее значение для формирования лояльности клиентов, чем в
предыдущей описанной модели [27; с. 397].
Чтобы эффективно подстраивать услуги под нужды клиентов и обеспечивать
готовность к их изменениям, фирма должна учитывать также и ожидания своих
клиентов, их ценности и приоритеты в отношении оказываемых услуг. Укреплять
доверие поможет, в свою очередь, грамотная система работы с претензиями. Если
все эти аспекты будут учтены компанией, то можно ожидать существенного
повышения лояльности клиентов, что было подтверждено авторами на примере эмпирического
исследования в банковском секторе Португалии [27; с. 400].
Важно заметить, что корпоративные стандарты обслуживания хорошо
вписываются в концепцию Д. Болла, П. Коэльо и М. Вилареса, так как они
позволяют во многом оптимизировать и улучшить работу персонала с клиентами, что
особенно важно в компании сферы услуг, предоставляющей персонализированный
сервис. Это обусловлено тем, что индивидуальный подход к обслуживанию требует
максимально эффективного и отлаженного взаимодействия фирмы и клиента, а
«точкой соприкосновения» выступает сотрудник компании, который и транслирует
клиенту весь образ компании [27; с. 402]. Поэтому, если сотрудник, используя
проработанные стандарты обслуживания, поймет и удовлетворит требования
потребителя (независимо от их сложности), вызовет доверие и окажет необходимую
поддержку при возникновении проблем, то шанс получения компанией лояльного
клиента значительно возрастет.
Подтверждением верности моделей, представленных в рассмотренных выше
публикациях (даже при их различиях), выступает другая работа, за авторством
специалистов С. Ху (Тайвань), Дж. Кандампулли (США), Т. Джувахира (о.
Маврикий). Концептуальная модель потребительской лояльности в сфере услуг,
разработанная и описанная авторами в контексте изучения взаимодействия
различных факторов лояльности друг с другом, также имеет много общих черт с уже
представленными моделями (рисунок 4):
Как видно из структуры данной модели, лояльность клиента здесь также
определяется его поведением по отношению к фирме, которое формируется под
влиянием ряда взаимосвязанных факторов, а именно [25; с. 116]:
· Качество обслуживания - один из важнейших факторов, влияющих на
потребительскую лояльность в сфере услуг непосредственным образом. Этот фактор
определяется степенью соответствия ожиданий клиента от оказанной услуги с ее
реальным результатом, а также влияет на воспринимаемую клиентом ценность
услуги.
Рисунок 4 - Модель потребительской лояльности в сфере услуг на основе
взаимосвязи факторов качества, ценности и удовлетворенности услугой и имиджа
фирмы [25; с. 114]
· Воспринимаемая ценность - фактор, определяемый тем, как клиент ощущает
оправданность цены, которую платит за оказание услуги. Если воспринимаемая
ценность низка, значит, клиент ощущает, что переплачивает за услугу, а если
высока - то услуга, по его мнению, стоит потраченных средств. Данный фактор
противопоставляется воспринимаемым издержкам клиента - обычно времени и
усилиям, которые он должен приложить для получения результата от услуги.
· Удовлетворенность услугой - это фактор, который является
продуктом взаимодействия двух предыдущих. Удовлетворенность услугой высока в
том случае, если качество оказания услуги было на приемлемом уровне, а ее
воспринимаемая ценность была высокой. Иными словами, клиента обслужили без
нареканий и за разумную цену.
· Имидж фирмы - составной фактор, в котором играют свою роль
все уже перечисленные. Компания сферы услуг транслирует свой имидж (образ),
прежде всего, через оказываемые ей услуги и их исполнителей. Поэтому
формирование имиджа компании в сознании клиента происходит на основе его опыта
взаимодействия с фирмой, а конкретно - было ли обслуживание качественным,
оправданно оцененным, а также принесло ли ожидаемый, удовлетворяющий
требованиям результат. Если компания справляется с данными факторами, то
потребители сами создадут ее положительный имидж и с высокой вероятностью
распространят его в рыночной среде (т.н. эффект «сарафанного радио» или «word-of-mouth»).
· Поведение клиента в отношении фирмы - конечный результат
взаимодействия рассмотренных факторов и основной показатель потребительской
лояльности. Если клиент продолжает активное сотрудничество с компанией,
рекомендует ее в своем окружении, имеет определенную степень добровольной
привязанности к ее услугам, то данного клиента можно назвать лояльным. Если же
ситуация обратная, следовательно один или несколько факторов не устраивают
потребителя, вынуждая его искать иную альтернативу, где все факторы будут
удовлетворительны.
Тем самым, можно отметить, что различные специалисты выделяют в целом
схожие элементы, формирующие потребительскую лояльность в сфере услуг, прежде
всего - удовлетворенность, качество обслуживания, поведенческие намерения
клиента. Однако влияние этих факторов различно в зависимости от рассматриваемой
ситуации, рынка и специфики услуг [25; с. 122] [33; с. 849].
Роль корпоративных стандартов обслуживания клиентов
Необходимо уделить особое внимание корпоративным стандартам обслуживания
(сокращенно, КСО) клиентов, которые являются активно развивающимся направлением
в менеджменте. Это важно не только в сфере услуг, так как обслуживание очень
часто сопровождает и продажу физической продукции. Однако именно в сфере
потребительских услуг стандарты обслуживания играют одну из ключевых ролей в развитии
отношений между компанией и клиентами, то есть практической реализации
концепции маркетинга взаимоотношений [3; с. 138] [2; с. 304-305].
Корпоративные стандарты обслуживания клиентов влияют на качество оказания
услуг, удовлетворенность от их результата, оперативное исправление недочетов в
обслуживании, экономическую эффективность обслуживания, а также на уровень
коммуникации с клиентом. Т.С. Третьякова определяет корпоративные стандарты
обслуживания, как «заранее сформулированные и документально закрепленные модели
поведения сотрудников, алгоритмы их действий в обслуживании, при грамотном
соблюдении которых в глазах клиентов будет формироваться единый позитивный
имидж компании, способствующий развитию долгосрочных взаимоотношений с
клиентами» [5; с. 343].
Стандарты обслуживания, иными словами - это сценарии поведения
сотрудников, перечни действий и рекомендаций касательно наиболее эффективного
пути оказания услуги. Причем подразумевается не только экономическая
эффективность (минимум издержек и максимум выгоды), но и эффективность
выстраивания взаимоотношений - то есть клиент должен быть не только обслужен,
но и удовлетворен, что в будущем скажется на его решении о повторном обращении
в компанию.
Корпоративные стандарты обслуживания зачастую дополняют другие инициативы
компаний, направленные на повышение лояльности клиентов (такие как дисконтные
или бонусные карты, сертификаты на скидки, членские программы и прочее) [9; с.
23]. Впрочем, значимость стандартов нередко оценивается выше других способов формирования
лояльности, что связано с их непосредственным включением в процесс оказания
услуг, а также социальной и психологической составляющими взаимодействия
сотрудника и клиента. Ключевыми функциями КСО являются [16; с. 804-806]:
· Систематизация и обобщение правил поведения сотрудников в максимально
доступной форме;
· Повышение качества обслуживания клиентов;
· Трансляция единого и уникального имиджа компании через
обслуживание;
· Оптимизация процессов адаптации и обучения новых сотрудников;
· Формирование объективной системы оценки работы персонала.
Стандарты обслуживания чаще всего закрепляются в общедоступных (для
сотрудников, и нередко также для клиентов) источниках, например - книге
корпоративных стандартов, организационном кодексе, книге стандартов обслуживания
/ продаж. Кроме того, КСО часто включаются в пакет корпоративных документов,
выдаваемых новым сотрудникам при вступлении в должность (т.н. «пакет новичка»),
что позволяет с самого начала посвятить в КСО обучаемых сотрудников [41; с.
817].
Важными характеристиками корпоративных стандартов обслуживания являются
их предельно возможная конкретность и простота восприятия сотрудниками за счет
отсутствия узкоспециализированной терминологии и излишнего формализма в
формулировке. Другим важным аспектом, обеспечивающим реальную работоспособность
КСО, является их измеримость (в особенности во времени - зачастую требуются
единицы времени по срокам), а также исполнимость (не должно быть логических
противоречий или содержаться физически / ресурсно неисполнимых задач) [11; с.
31].
В своей статье, О.А. Осадчук приводит пример корректно сформулированного
стандарта клиентского обслуживания, в том виде, в каком он отражается в
корпоративных документах (таблица 1):
Таблица 1
Пример описания корпоративного стандарта обслуживания в ситуации ответа
на входящий рабочий телефонный звонок во время оказания услуг клиенту.
Источник: [8; с. 105]
|
Условия
|
Описание процедуры
|
Примечания
|
|
В каком случае выполняется процедура?
|
Во время обслуживания потребителя поступает звонок на
рабочий телефон
|
|
|
Каков окончательный результат процедуры?
|
Оба клиента - и в торговом зале, и звонящий по телефону -
получают всю необходимую информацию по своим запросам
|
Вместо торгового зала может быть любое другое место
оказания услуги
|
|
Кто осуществляет контроль исполнения?
|
Критерием успешного исполнения выступает отсутствие
нареканий обоих клиентов на уровень качества их обслуживания
|
|
|
Требуемые формы документов
|
Не требуются
|
Могут требоваться для оформления заказов или претензий
|
|
Действия при отсутствии результата
|
Повторение попытки вступления в контакт с клиентом и
выражение готовности предоставить ему информацию позднее
|
|
Общее описание стандарта позволяет понять, в какой ситуации он
применяется и для чего служит. Далее следует пример поэтапного алгоритма
действий, которые сотрудник должен предпринять для исполнения представленного
стандарта обслуживания (таблица 2):
Таблица 2
Алгоритм действий сотрудника в описанной ситуации согласно стандарту
корпоративного обслуживания клиентов. Источник: [8; с. 107-108]
|
№
|
Требуемое действие
|
Инструкция по осуществлению диалога с клиентом
|
|
1.
|
Сообщите клиенту, которого обслуживаете:
|
- Извините, пожалуйста, я отвечу на звонок и вернусь к
разговору с Вами.
|
|
2.
|
Снимите трубку, выслушайте звонящего клиента. Уточните:
|
- Как я могу к Вам обращаться? - (после ответа) «Имя
клиента», спасибо за Ваш звонок. В данный момент я работаю с покупателем.
Могу я перезвонить Вам, как только освобожусь? - (после ответа) Подскажите,
по какому номеру я смогу с Вами связаться? (запишите номер) - Спасибо, «Имя
клиента». Я вскоре перезвоню Вам.
|
|
3.
|
Вернитесь к клиенту, которого обслуживали, и скажите:
|
- Извините за задержку / Спасибо, что подождали.
|
|
4.
|
Продолжите консультацию клиента (на месте обслуживания).
|
|
5.
|
По факту завершения работы с посетителем, наберите
звонившего ранее клиента, представьтесь и скажите:
|
- Прошу прощения за ожидание. Я Вас слушаю. Подскажите, в
чем Ваш вопрос / проблема?
|
|
6.
|
Далее действуйте согласно «Стандартам ведения переговоров с
клиентами» настоящего Руководства.
|
Приведенный выше алгоритм позволяет снизить вероятность возникновения у
сотрудника компании и у обратившихся к нему клиентов трудностей во
взаимодействии и конфликтных ситуаций. Последовательность действий подсказывает
сотруднику оптимальный выход из сложившейся ситуации. Важно заметить, что КСО
не содержат приказов или императивов, но подразумевают разумные рекомендации,
настоятельные к следованию и основанные на опыте работы других сотрудников,
корпоративной культуре, этике ведения бизнеса, а также действующем
законодательстве [8; с. 111].
Согласно статье С. Белла, проверка эффективности функционирования КСО, а
также их соблюдения работниками фирмы при обслуживании потребителей чаще всего
делается с помощью внутреннего и внешнего контроля, дополняющих друг друга [14;
с. 361]. Внутренний контроль подразумевает наблюдение ответственными
менеджерами за поведением подчиненных сотрудников при оказании ими услуг и
ведение «чек-листа» (checklist) - документа, для записи наблюдений, подлежащего отчету. Внешний
контроль зачастую осуществляется через использование методики «тайного
покупателя» (mystery shopper), результаты проведения которой также подлежат
отчету. Контролирующими органами в компании обычно выступают отделы персонала и
маркетинга, либо специально созываемый и курируемый руководством комитет по
поддержке КСО в компании, состоящий из представителей всех или большинства
корпоративных подразделений.
Корпоративные стандарты обслуживания потребителей играют важную роль в
формировании лояльности клиентов по причине их влияния на процесс развития
взаимоотношений клиентов и фирмы. Отсутствие или несоблюдение КСО значительно
понижают вероятность закрепления отношений между клиентом и компанией, так как
процесс обслуживания происходит недисциплинированно, спонтанно и с недочетами,
исправление которых слабо контролируется и мотивируется. Отлаженные КСО
минимизируют эти риски и способствуют продуктивному, взаимовыгодному
сотрудничеству потребителей и компании, обслуживающей их, на долгосрочной
основе [38; с. 299]. Однако стандарты обслуживания не являются гарантией
подобного сотрудничества - они лишь являются важным элементом в сложном
механизме его формирования.
Дополнения к моделям формирования лояльности
Другим важным аспектом формирования лояльности в сфере услуг, выделяемым
специалистами К. Хомбургом, Я. Висеске и В. Гойером, является цепочка
«услуга-прибыль» («service-profit» chain). Этот организационный конструкт позволяет отследить,
как происходит формирование выгоды для организации на всех этапах оказания рассматриваемой
услуги [21; с. 95].
Цепочка берет свое начало на уровне сотрудников компании - выгода (еще
только потенциальная) начинает формироваться, если сотрудники идентифицируют
себя с компанией и удовлетворены условиями труда, следовательно - они ориентированы
на клиентов и сконцентрированы на их удовлетворении. Далее, при успешном
взаимодействии сотрудников с клиентами, начнет формироваться самоидентификация
клиентов с компанией и их лояльное к ней отношение. В результате снизится
естественное сопротивление клиентов по отношению к оплате услуг (воспринимаемая
ценность услуг повысится). В конечном итоге, при отлажено работающей цепочке,
прибыль от оказываемых компанией услуг будет иметь тенденцию к росту [21; с.
109]. Однако важно контролировать движение потенциальной выгоды по звеньям
данной цепочки, отслеживая проблемные аспекты и своевременно исправляя их на
любом этапе.
Корпоративные стандарты обслуживания также применимы к данной модели, так
как на уровне взаимодействия сотрудников и клиентов они позволяют значительно
оптимизировать все процессы.
Важность бренда компании в сфере услуг также нельзя преуменьшать, что
отражено в работе за авторством Р. Броуди, Дж. Уиттома и Г. Браша. Согласно их
исследованию, проведенному на основе данных 552 респондентов - клиентов
авиакомпаний, бренд поставщика услуг имеет большое значение в восприятии
ценности оказываемых услуг [23; с. 350]. Специалисты составили модель
восприятия бренда в сфере услуг, основанную на влиянии различных составляющих
маркетинговой политики компании (рисунок 5):
Рисунок 5 - Модель восприятия бренда в сфере услуг [23; с. 352]
Данная модель хорошо демонстрирует, как внешняя, внутренняя и
интерактивная маркетинговая деятельность организации влияет на формирование
конкретного восприятия бренда с перспективы потребителей, сотрудников и
менеджмента самой организации. Бренд компании также играет объединяющую роль в
формировании отношения всех сторон к компании и ее услугам. Виды маркетинговой
деятельности, влияющие на восприятие бренда, стоит пояснить отдельно (в
контексте сферы услуг) [23; с. 352-353]:
· Внешний маркетинг - коммуникация потребителя и компании, в процессе
которой транслируется предложение компании оказать услугу потребителю;
· Интерактивный маркетинг - прямая коммуникация потребителей и
сотрудников компании, через которую происходит передача опыта (experience) оказания услуги и сопутствующих
маркетинговых сообщений (messages).
· Внутренний маркетинг - процесс создания потребительской
ценности путем поддержания эффективных внутрифирменных коммуникаций между
менеджментом и сотрудниками, работающими с клиентами.
Как и на рынках продуктов, привлекательный и грамотно развиваемый бренд
на рынке услуг будет являться значимым фактором, позитивно влияющим на
формирования потребительской лояльности. А контроль над цепочкой
«услуга-прибыль» позволяет компании обрести стабильность в процессе
формирования и укрепления лояльности, оперативно устраняя проблемы в
обслуживании.
Выводы
Из представленного обзора научных работ можно видеть, что взгляды на
модели формирования потребительской лояльности в сфере услуг имеют общие черты,
такие как подчеркнутая важность факторов удовлетворенности клиента услугой, а
также качества обслуживания. Внимание специалистов также получили имидж и бренд
компании - поставщика услуг, экономические барьеры перехода от одной фирмы к
другой, воспринимаемая ценность услуг и ее соотношение с действительной
ценностью.
Корпоративные стандарты обслуживания потребителей также были детально рассмотрены
с феноменологической точки зрения, с приведением практического примера. Высокая
важность КСО в формировании лояльности прослеживается в связи с их интеграцией
в сам процесс оказания услуг клиентам [29; с. 123].
На основании данной теоретической базы, а также поставленных в работе
изначально исследовательских вопросов, теперь возможно сформулировать
конкретные исследовательские гипотезы.
.3 Формулировка и обоснование исследовательских гипотез
Для достижения поставленной в данной работе исследовательской цели,
требуется проверить три гипотезы, отражающих авторские исследовательские
интересы, а также актуальные в российской рыночной практике темы, относящиеся к
потребительской лояльности в сфере услуг:
Гипотеза 1:
«Такие факторы, как потребительское доверие, удовлетворенность
обслуживанием, воспринимаемое качество обслуживания, его быстрота, а также
имидж фирмы и барьеры перехода к конкурентам определяют лояльность клиентов к
компании, обслуживающей их»
В практической части работы, на основе собранных первичных данных,
требуется установить, оказывают ли перечисленные выше факторы влияние на
формирование потребительской лояльности в компании сферы услуг и в какой
степени. Интерес представляет также и то, какие еще факторы обслуживания могут
влиять на лояльность, помимо перечисленных в формулировке.
Гипотеза 2:
«Некоторые из факторов потребительского обслуживания имеют большее
влияние на уровень лояльности клиентов компании, чем другие»
Требуется также установить и оценить приоритетность влияния факторов
обслуживания на процесс формирования лояльности клиентов. Маловероятно, что все
факторы имеют равное значение между собой.
Гипотеза 3:
«Компании требуется активно внедрять корпоративные стандарты обслуживания
и поддерживать их соблюдение для укрепления лояльности клиентов»
Последняя гипотеза касается аспекта соблюдения КСО в компании сферы
услуг. Недостаточно лишь разрабатывать данные стандарты, нужно уделять большое
внимание их непосредственному внедрению в повседневную деятельность компании
[17]. Предполагается, что так можно добиться как эффективного соблюдения КСО,
так и значимого прироста в лояльности потребителей [44; с. 21].
Таким образом, аналитическое рассмотрение теоретической базы по теме
потребительской лояльности в сфере услуг, а также формирование гипотез
позволили установить направление, ориентиры для практической части
исследования. При осуществлении эмпирического исследования, основное внимание
будет сконцентрировано на оценке влияния различных факторов обслуживания на
формирование потребительской лояльности и роли корпоративных стандартов
обслуживания в данном процессе. Пример конкретной компании в сфере услуг
позволит выявить данные аспекты в ее деятельности, после чего возможно будет
осуществить поиск путей для их улучшения. Ожидаемым результатом будет получение
эмпирически подкрепленной информации, достаточной для проверки каждой из
гипотез, формулирования рекомендаций для компании, а также исследовательских
выводов. Описанию дизайна практического исследования посвящен следующий раздел
данной главы.
1.4 Описание дизайна и методологии практического исследования
Процесс сбора и обработки эмпирических данных для данного исследования
основан на применении и комбинировании элементов успешно проведенных научных и
маркетинговых исследований в сфере услуг [11] [16] [30]. Используемая в работе
методология подразделяется на несколько основных этапов. При этом
количественная часть исследования концентрируется на выявлении общих связей
факторов обслуживания с лояльностью клиентов, а качественная - на более
углубленном рассмотрении и оценивании данных факторов уже в контексте
деятельности выбранной компании. То есть применяется дедуктивный метод
исследовательской деятельности.
Этап I (количественный)
На данном этапе осуществляется анкетирование клиентов компании в сфере
услуг по краткой анкете с 11-ю ключевыми вопросами, с ответами по 7-балльной
шкале. Вопросы анкеты направлены на выявление отношения потребителя к услугам
компании, ее стандартам обслуживания, а также на оценку лояльности потребителя по
отношению к компании. Анкета ориентирована на выборку (по методу случайной
выборки), состоящую не менее чем из 50-ти респондентов. В анкете также
присутствует демографический блок для подведения описательной статистики.
Этап II (количественный)
Следующий этап представляет собой процесс обработки информации,
полученной от респондентов и внесение данных в подготовленную эконометрическую
модель (с расчетами в Microsoft Excel). Данный
метод обработки информации позволит узнать коэффициенты корреляции между всеми
входящими в модель переменными (вопросами анкеты). Коэффициенты корреляции
выявят связи между переменными и позволят оценить их тесноту. Следовательно,
будет возможно эмпирически оценить связь между состоянием факторов
обслуживания, оцениваемым уровнем лояльности и отношением потребителей к
стандартам обслуживания в компании.
Этап III (качественный)
По результатам обработки данных анкетного опроса, выявленные для
исследуемой компании ключевые зоны ответственности (факторы или стандарты
обслуживания, с наиболее высокой связью с лояльностью потребителей) станут
предметом обсуждения в рамках интервью с представителем менеджмента изучаемой
компании. Гайд для интервью, основанный на исследовательском опыте специалистов
в рассматриваемой теме [18; с. 248-251], впоследствии будет дополнен
результатами анкетирования клиентов компании.
Этап IV (итоговый)
Заключительный этап практического исследования. По результатам обработки
данных, полученных из анкетирования и интервью, будут сформулированы выводы и
проведена проверка гипотез. По отношению к исследуемой компании будут
предоставлен ряд практических рекомендаций для совершенствования системы
формирования клиентской лояльности и КСО.
Далее необходимо рассмотреть каждый из этапов исследования более
детально.
.5 Исследовательский инструментарий для сбора первичных данных и их
обработки
Для получения информации, необходимой для проверки поставленных гипотез,
а также для выработки обоснованных практических рекомендаций по укреплению
лояльности клиентов в конкретной организации, будет применен исследовательский
инструментарий. В рамках данного исследования, главными инструментами выступят
анкета для опроса потребителей компании сферы услуг, а также гайд для
проведения интервью с представителем управленческого аппарата выбранной
компании.
Анкетирование клиентов
Анкетирование потребителей - это первый этап практического исследования,
направленный на оценку факторов обслуживания компании, влияющих на клиентскую
лояльность. Анкета, разработанная для сбора требуемых количественных данных,
имеет 11 ключевых вопросов, сгруппированных в 3 блока, а также
классификационный блок. Формат исследования подразумевает ее физическое
распространение среди респондентов, которыми будут являться потребители
выбранной компании в сфере услуг. Информация, которая будет получена по
результатам проведения опроса и последующей обработки его данных, позволит с
высокой степенью объективности судить об уровне клиентской лояльности к
компании, а также о степени влияния на нее выделенных ранее факторов и стандартов
обслуживания.
Вопросы анкеты и обоснование их необходимости и релевантности данному
исследованию представлены ниже:
Блок 1 (оценка уровня лояльности клиента)
Вопрос 1: Какова вероятность, что Вы будете рекомендовать услуги и
продукцию компании своим знакомым и/или родственникам?
балл (минимальная оценка) - Точно не станете рекомендовать
баллов (максимальная оценка) - Обязательно порекомендуете
Данный блок/вопрос использует принцип, схожий с методикой Net Promoter Score (NPS).
Лояльный потребитель будет выражать готовность рекомендовать услуги компании в
своем социальном окружении [4; с. 233-236]. Следовательно, более высокая оценка
будет свидетельствовать о более высоком уровне лояльности клиента.
Градации данной оценки также аналогичны таковым в методике NPS:
· 1-4 балла - обыкновенный клиент (или т.н. «клиент-критик»);
· 5-6 баллов - надежный клиент;
· 7 баллов - лояльный клиент.
Последующие вопросы анкеты сформированы по схожей схеме, но
концентрируются, в свою очередь, на более частных аспектах приверженности
данной компании и ее услугам.
Блок 2 (оценка факторов обслуживания)
Вопрос 2: Оцените Вашу общую удовлетворенность оказанными компанией
услугами:
балл - Абсолютно не удовлетворены
баллов - Полностью удовлетворены
Вопрос на общую удовлетворенность, призванный оценить, насколько были
оправданы ожидания потребителя (с эмоциональной точки зрения) от результата
оказанных услуг.
Вопрос 3: По Вашему мнению, оказанные услуги (и приобретенная продукция)
стоили потраченных на них денег?
балл - Пришлось явно переплатить
баллов - Денежные затраты были полностью оправданы
Данный вопрос направлен на выявление удовлетворенности с финансовой точки
зрения. То есть оценивается фактор воспринимаемой ценности оказанных клиенту
услуг [35; с. 118].
Вопрос 4: Доверите ли Вы данной компании в будущем обслужить Вас снова?
балл - Ни в коем случае, другая компания будет явно предпочтительнее
баллов - Точно обратитесь в данную компанию снова
Вопрос, оценивающий фактор потребительского доверия и вероятность
повторного обращения в компанию.
Вопрос 5: Насколько Вас устроила скорость оказания услуг?
балл - Возмущены медлительностью обслуживания
баллов - Полностью довольны оперативностью обслуживания
Оценка фактора быстроты обслуживания. Влияние этого фактора на
лояльность, предположительно, не уступает прочим, однако данная связь требует
эмпирической проверки.
Вопрос 6: Как повлиял имидж (фирменный образ, стиль) компании на Ваше
восприятие обслуживания?
балл - Образ фирмы/сотрудников был весьма неприятен
баллов - Образ фирмы/сотрудников вызвал самые положительные эмоции
Фирменный стиль, бренд-символика и другие элементы имиджа компании,
влияющие на восприятие потребителя, его отношение к процессу оказания и
результату услуг, а также на желание продолжать сотрудничество с компанией -
этот комплексный фактор затрагивается в данном вопросе анкеты [35; с. 123].
Вопрос 7: В следующий раз Вы бы обратились в данную компанию или
рассмотрели альтернативы с более низкими (либо более высокими) ценами?
балл - Точно бы не рассматривали более данную компанию
баллов - Определенно бы снова обратились в данную компанию
Привлекательность рассматриваемой компании относительно альтернатив на
рынке аналогичных услуг оценивается по результатам ответов респондентов на
данный вопрос. В случае если потребители высоко лояльны компании, ожидается,
что они предпочтут ее даже при отсутствии у нее явного ценового преимущества,
так как неценовые аспекты играют в формировании лояльности большую роль [26].
Вопрос 8: Ваши знакомые и/или родственники также пользуются услугами
данной компании?
балл - Не слышали, чтобы кто-то из знакомых/родственников пользовался
услугами данной компании
баллов - Знакомые/родственники часто пользуются услугами данной компании
Данный вопрос помогает прояснить, играют ли роль в решении потребителя
пользоваться услугами рассматриваемой компании мнения и действия знакомых или
родственников. Результаты ответов по данному вопросу могут существенно
дополнить информацию из блока 1, так как можно будет лучше понять обратную
сторону процесса формирования лояльности - влияние социального окружения
потребителя.
Блок 3 (оценка корпоративных стандартов обслуживания)
Вопрос 9: Рассказал ли Вам сотрудник компании о проходящих акциях или
специальных предложениях?
балл - Нет, разговор с сотрудником был коротким и неясным
баллов - Да, при разговоре явно чувствовалась осведомленность и
грамотность
Данный вопрос выявит, было ли влияние корпоративных стандартов
обслуживания ощутимым для клиента - заметна ли была отчетливая линия поведения
и исполнения действий, которой сотрудники придерживались при выполнении своей
работы, и озвучены ли были дополнительные предложения к стандартному набору
услуг.
Вопрос 10: Оцените эффективность работы (дисциплинированность,
отвлекаемость) сотрудников компании, обслуживающих Вас:
балл - Действия были совершенно не эффективны и не профессиональны
баллов - Действия были максимально отлажены и грамотны
Качество исполнения обязанностей сотрудников потребители оценят в данном
вопросе - было ли сделано все необходимое для удовлетворения их потребностей,
на каком уровне была рабочая дисциплина.
Вопрос 11: Остались ли Вы довольны общением с сотрудниками данной
компании?
балл - Были разочарованы взаимодействием с сотрудниками
баллов - Остались довольны взаимодействием с сотрудниками
Завершающий вопрос касается непосредственного влияния КСО на восприятие
оказываемых клиентам услуг. Если клиент был доволен не только результатом, но и
процессом, техникой обслуживания, то стандарты обслуживания выполняли свою
функцию эффективно, формируя у клиента потенциальное стремление к дальнейшему
сотрудничеству [34; с. 181-189].
Классификационный блок
Данный раздел анкеты будет содержать следующие пункты:
· Пол респондента (варианты: мужской/женский);
· Возраст респондента (интервалы: начиная от 18 лет);
· Уровень образования респондента (варианты: среднее, среднее
специальное, высшее);
· Первое ли это (на момент проведения опроса) обращение
респондента в компанию (варианты: да/нет).
Кроме того, в анкете может присутствовать специальное «мотивационное поле»
[51; с. 146-148], целью которого является заинтересовать респондента принять
участие в опросе. Например, можно запросить у респондента код бонусной карты
(при наличии таковой в компании), на которую позже будет осуществлено
зачисление дополнительных баллов, поощряющих его за сотрудничество в рамках
исследования. Возможны и другие подобные варианты, преследующие эту же цель.
Представленная анкета является ключевым инструментом в проведении
эмпирической части исследования. Она позволит собрать в количественной форме
данные, требуемые для проверки первых двух из поставленных в работе
исследовательских гипотез, а также с достаточной точностью оценить состояние
потребительской лояльности по отношению к конкретно рассматриваемой компании
сферы услуг. Полученные исходные данные будут обработаны методом регрессионного
анализа, что позволит выявить взаимосвязи всех изучаемых факторов с лояльностью
клиентов. Также данная информация будет необходима и для продолжения
исследовательской работы - перехода к проведению интервью с представителем
менеджмента компании и углубления в вопросы формирования лояльности клиентов на
практике.
Обработка результатов анкетирования
Обработка результатов анкетирования потребителей будет осуществляться
путем построения эконометрической модели и выполнения с ее помощью
регрессионного анализа данных [35] [7; с. 57-60].
Этап 1 (математическое моделирование)
Экономический смысл переменных, единицы измерения и выборка:
Экономическая ситуация - измерение уровня потребительской приверженности (лояльности)
пользованию услугами компании и факторы (критерии), влияющие на формирование
данного потребительского выбора.
Объект исследования - уровень потребительской приверженности пользованию
услугами компании сферы услуг, оцениваемый по шкале Лайкерта (от 1-го до 7-ми
баллов) с использованием методики NPS (Net Promoter Score) (y).
Регрессоры - ответы на вопросы анкет в блоках 2 и 3, оцениваемые по шкале
Лайкерта (от 1-го до 7-ми баллов), на предмет различных факторов обслуживания
клиентов в выбранной компании.
Список регрессоров в математической модели:
1) оценка общей удовлетворенности обслуживанием (балл.) (x₁);
2) оценка воспринимаемой ценности оказанных услуг (балл.) (x₂);
3) оценка потребительского доверия к компании (балл.) (x₃);
4) оценка скорости обслуживания (балл.) (x₄);
5) оценка роли имиджа компании в обслуживании (балл.) (x₅);
6) оценка привлекательности данной компании относительно
альтернатив на рынке (балл.) (x₆);
7) оценка влияния социального окружения потребителя (балл.) (x₇);
8) оценка ощутимости присутствия корпоративных стандартов
обслуживания (балл.) (x₈);
9) оценка эффективности исполнения корпоративных стандартов
обслуживания (балл.) (x₉);
10) оценка влияния корпоративных стандартов обслуживания на
восприятие результатов оказания услуг (балл.) (x₁₀).
Требование к объему выборки (N) ≥ 50 единиц, что необходимо для обеспечения приемлемой
репрезентативности. Единицей выборки является потребитель-респондент (и его
корректно заполненная анкета).
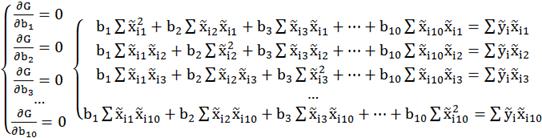
Модель, математическая гипотеза и постановка задачи:
Отразим линейность модели и гипотезы по переменным и по параметрам, в
качестве необходимого условия для существования единственного решения задачи
(длинные формулы с повторяющимися схожими элементами сокращены для удобства
записи).
Модель:
, (1)
где i = 1-N.
Гипотеза:
, (2)
где i = 1-N; U - стохастическая
составляющая.
Требуется найти такие параметры (
,
,
,
,
,
,
,
,
,
,
), которые будут соответствовать наименьшему отклонению
значения модели от гипотезы. Избранная мера отклонения - квадрат разности, или
(
)2 - она неотрицательна и
имеет производную в каждой точке, дающую линейную по y функцию.
Следовательно, нужно найти такие параметры (
,
,
,
,
,
,
,
,
,
,
), при которых функционал меры
G(
,
,
,
,
,
,
,
,
,
,
) =
будет наименьшим, то есть нужно найти минимум функции 11-ти переменных.
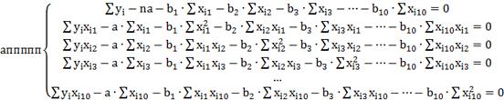
Этап 2 (решение математической задачи)
Необходимое условие:
Необходимое условие для существования экстремума типа «минимум» - это
равенство нулю всех частных производных по каждому параметру. В связи с тем,
что существование единственного решения возможно лишь при условии линейности
системы уравнений, необходимо иметь условия, гарантирующие наличие
единственного решения. Требуемые преобразования приведены ниже:
Далее необходимо составить и вычислить главный определитель по методу
Крамера:
Столбец свободных членов будет иметь вид: И решение системы:
Определители
будут получены путем поочередной подстановки в главный
определитель
столбца свободных членов за место, соответственно, 1-го,
2-го, 3-го, 4-го, 5-го, 6-го, 7-го, 8-го, 9-го, 10-го и 11-го столбца.
Результатом станет модель со следующими параметрами:
ŷ =
, (3)
где все параметры (
) примут числовые значения из решения системы.
Коэффициент детерминации:
Для оценки точности и надежности полученной модели в описании
рассматриваемой проблемы (оценка уровня лояльности клиентов и ее связь с
факторами обслуживания в компании) будет вычислен коэффициент детерминации
модели:
R2
=
, (4)
где
- вариация модели;
- вариация гипотезы.
Чем ближе значение R2 к единице, тем надежнее модель.
Также будет произведен расчет и скорректированного коэффициента детерминации:
R2adj. = 1-(1-R2)
, (5)
где N - число единиц в выборке; 10
означает число параметров модели без
.
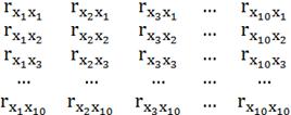
Этап 3 (вычисление корреляций)
Построение корреляционной матрицы:
Производные: Требуется привести систему к следующему виду:
При этом значения переменных вычисляются по данным формулам:
(прочие - по аналогии); (6)
(прочие - по аналогии); (7)
(прочие - по аналогии). (8)
Корреляционная матрица будет иметь следующий вид:
Столбец корреляций будет построен отдельно:
Столбец корреляций является конечным пунктом данных вычислений
(результаты вынесены в приложения) - он демонстрирует степень взаимосвязи
каждого из регрессоров (
с объектом исследования y. Таким образом, по результатам анкетирования потребителей
станет видно, какие факторы обслуживания оказывают на лояльность большее
влияние, а какие - меньшее [7; с. 61] [24; с. 1223-1225]. Чем ближе отдельно
взятое значение корреляции к единице, тем сильнее выражена взаимосвязь между
лояльностью и соответствующим фактором обслуживания. Эта информация позволит
понять, какие факторы лояльности наиболее значимы в деятельности компании сферы
услуг, а также сориентировать следующий, качественный этап практического
исследования - проведение интервью с менеджментом компании.
Глубинное интервью с представителем менеджмента компании
Качественный этап данного практического исследования необходим для
подкрепления выводов, полученных в результате анкетирования потребителей.
Интервью с представителем управленческого аппарата рассматриваемой компании
(предпочтительно в сфере маркетинга) позволит более углубленно изучить
выявленные взаимосвязи между факторами обслуживания и лояльностью клиентов,
получить практико-ориентированное мнение относительно благополучных и
проблемных зон ответственности в деятельности компании [32; с. 102-104]. Гайд
для проведения интервью имеет общий вид, представленный ниже, однако он будет
дополнен результатами анкетирования клиентов компании перед тем, как будет
использован непосредственно в самом интервью:
. Общая информация о собеседнике:
Должность,
Стаж в компании,
Значимые достижения и профессиональный опыт.
. Ваши комментарии по основным факторам лояльности клиентов:
Результаты проведенного анкетирования,
Факторы обслуживания, влияющие на уровень лояльности:
Таблица 3
Шаблон для внесения данных по факторам обслуживания и их влиянию на
лояльность клиентов компании (для обсуждения)
|
Значимость фактора по степени его влияния на лояльность
клиентов
|
Теснота связи с уровнем лояльности
|
Наименование фактора
|
|
1
|
|
|
|
2
|
|
|
|
3
|
|
|
|
4
|
|
|
|
5
|
|
|
|
6
|
|
|
|
7
|
|
|
|
8
|
|
|
|
9
|
|
|
|
10
|
|
|
. Ваше мнение по следующим вопросам:
· На основании Вашего опыта и наблюдений, охарактеризуете ли Вы клиентов
компании в целом как лояльных?
· Какие проблемы в выстраивании долгосрочных отношений с
клиентами существуют в компании на данный момент?
· Какие возможности Вы видите для совершенствования стандартов
обслуживания в компании и укрепления лояльности клиентов?
· Почему формирование лояльности важно для компании?
Собранная по результатам проведения интервью информация будет
аналитически обработана и впоследствии представлена в виде емких, кратких
выводов. Информация, полученная по результатам интервью, потребуется для
проверки гипотезы №3. Кроме того, она будет иметь ключевое значение для
формулирования практических рекомендаций по отношению к компании, где будет
проводиться эмпирическое исследование.
Выводы по дизайну исследования
Дизайн практического исследования направлен на изучение процесса
формирования и укрепления потребительской лояльности в сфере услуг, на примере
конкретной организации. Исследовательская деятельность внутри компании будет
состоять из количественной и качественной составляющих - анкетирования
потребителей и проведения интервью с представителем менеджмента компании.
Собранная в ходе анкетирования информация будет математически обработана
для выявления тесноты взаимосвязей между факторами обслуживания клиентов и
уровнем их лояльности по отношению к компании. Результаты опроса будут положены
в основу интервью с представителем менеджмента компании, что позволит подробнее
рассмотреть влияние факторов обслуживания на формирование лояльности клиентов с
экспертной точки зрения.
По итогам практического исследования будут сформулированы выводы,
позволяющие как проверить исследовательские гипотезы, так и предложить ряд
практических рекомендаций для исследуемой компании. Статус достижения данных
результатов позволит, в свою очередь, судить об успешности выполнения поставленной
в данной диссертации исследовательской цели. В следующей главе ход и результаты
практического исследования будут подробно описаны и прокомментированы.
Глава 2 - Анализ потребительской лояльности к компании «Sushi-City» и ее
зависимости от факторов обслуживания
.1 Характеристика компании «Sushi-City» и ее подхода к коммуникации с
потребителями
Для осуществления эмпирического исследования потребительской лояльности и
определения ее связи с различными факторами потребительского обслуживания была
выбрана компания «Sushi-City». На базе этого предприятия была
пройдена исследовательская практика в период с 9-го марта по 8-ое апреля 2016
года. Являясь предприятием, работающим на пересечении сфер общественного
питания, розничной торговли и потребительского обслуживания, «Sushi-City» оказалась подходящей платформой для маркетинговой
исследовательской деятельности.
Компания занимается продажей блюд японской кухни (а также ряда других
традиционных кухонь различных стран/культур мира) с 2008 года через сеть розничных
магазинов, каждый из которых также располагает функцией доставки заказов
непосредственно самим клиентам. Центральный офис компании, а также наиболее
обширная розничная сеть, находятся в Санкт-Петербурге - здесь же и было
сконцентрировано практическое исследование в рамках данной работы. «Sushi-City» использует франчайзинг (franchising) для территориальной экспансии
своего бренда и имеет десятки партнеров в различных регионах России
(Московская, Архангельская, Владимирская, Калининградская, Тверская, Мурманская
области, Забайкалье, республики Карелия и Дагестан, а также другие регионы).
Генеральный директор - Гончаров И.И.
Компания «Sushi-City» осуществляет свою деятельность на
рынке с интенсивной конкуренцией, количество значимых игроков на котором в последние
годы сокращается в связи с усложняющейся экономической ситуацией в стране и
переориентацией потребителей менее экзотическую пищевую продукцию [15, с.
11-17]. По этой причине задача удержания потребителей и формирования
долгосрочных связей с ними начинает принимать стратегическое значение для
обеспечения прибыльности бизнеса и его долгосрочной устойчивости. Поиск путей
для укрепления клиентской лояльности и выявление рычагов влияния на нее -
важные маркетинговые аспекты для дальнейшей деятельности «Sushi-City», а потому менеджмент компании активно шел на встречу
при осуществлении данного практического исследования.
В городе Санкт-Петербурге компания «Sushi-City»
располагает 13 магазинами и одним рестораном. Именно в Санкт-Петербурге
компания первоначально внедряет и тестирует все нововведения и изменения в
ассортименте продукции, подходах к оказанию услуг, а также способах
взаимодействия с потенциальными и существующими клиентами. Успешные
нововведения в дальнейшем получают распространение на магазины сети в других
регионах страны через отлаженные каналы обучения персонала и мониторинга
эффективности его работы. Однако «Sushi-City» зачастую приходится преодолевать
проблему повышенной текучести кадров среди линейного персонала на многих своих
точках по России, что замедляет процесс передачи знаний и практического опыта
от сотрудника к сотруднику, и, следовательно, затрудняет ход внедрения
крупномасштабных корпоративных нововведений.
В компании «Sushi-City» применяется ряд зарекомендовавших
себя на многих рынках практик по выстраиванию долгосрочных отношений с
потребителями [43, с. 195]. Среди них - система дисконтных карт,
предоставляющая клиенту возможность как получать фиксированную скидку на
продукцию и услуги «Sushi-City», так и накапливать бонусные баллы.
Последние могут использоваться в качестве эквивалента денежных средств при
приобретении продукции, а также, при достижении определенных сумм, обмениваться
на повышение фиксированной скидки (например, возможен переход со скидки в 5% на
скидку в 10% и более). Слабой стороной этого подхода, в контексте данной
компании, является недостаточно отлаженная система учета и регистрации
дисконтных карт. Являясь технически несовершенной и слишком запутанной для
обычного клиента, она значительно усложняет полноценное использование
преимуществ дисконтной программы, что определенно не способствует должному
формированию лояльности среди ее пользователей.
Также «Sushi-City» использует активно кросс-маркетинг - как с целью
привлечения новых клиентов, так и для повышения интереса у существующей
потребительской аудитории. Партнерами по кросс-маркетингу выступали различные
компании, нередко осуществляющие свою деятельность, в сферах, удаленных от
общественного питания - отели, таксомоторные компании, производители и дистрибьюторы
аксессуаров и украшений. Так, например, в настоящее время (на апрель-май 2016
года) проводится кросс-маркетинговая акция с компанией «Sunlight», позволяющая клиентам «Sushi-City» с суммой чека от 800 рублей и более получить
гарантированный подарок от «Sunlight», при предъявлении данного чека в салонах партнерской сети (рисунок 6).
Рисунок 6 - Информационный блок (баннер) на главной странице сайта «Sushi-City», оповещающий о совместной акции с компанией «Sunlight»
Чтобы оставаться в контакте со своей потребительской аудиторией, компания
«Sushi-City» применяет оповещение об акциях и мероприятиях через SMS и email-каналы. При получении дисконтных карт, оформлении online-заказов или участии в некоторых
акциях/конкурсах, клиент, при условии дачи согласия на обработку персональных
данных, передает компании свои контактные данные - номер телефона и/или адрес
электронной почты. Впоследствии они могут использоваться для оповещения клиента
об акциях и событиях, для индивидуальных предложений, а также для технической
поддержки и обратной связи. От любых из данных видов связи с компанией клиент
может при желании отказаться.
Особый интерес для компании представляют email-адреса клиентов, так как по ним осуществляет свою
работу CRM-система (Customer Relations Management) компании, осуществляющая сбор
ключевых данных по нижеследующей схеме (рисунок 7):

Данная CRM-система позволяет, на первом этапе,
осуществлять новостные рассылки по электронным адресам клиентов, после чего, на
втором этапе, она производит сортировку зарегистрированных в центральной базе
данных клиентов. Зарегистрированные клиенты сортируются в соответствии с их
реагированием на рассылку и поведением на сайте «Sushi-City»,
и помещаются в соответствующие отдельные базы данных. Это позволяет выявить
более активных и менее активных потребителей компании, чтобы впоследствии с
каждой из групп можно было контактировать более эффективно - например, поощрять
активных потребителей подарками, а менее активных стимулировать выгодными
предложениями. Некоторые функции, такие как поздравление клиента с днем рождения
или напоминание о том, что клиент не делал новых заказов на протяжении
определенного времени (от 2-х месяцев и более), система осуществляет в
автоматическом режиме.
В отдельных клиентских категориях - например, осуществивших покупку на
сайте или только перешедших на сайт без последующей покупки - CRM-система составляет аналитический
отчет о времени проведенном на сайте компании, сумме оформленных заказов, а
также о переходах пользователей по ссылкам, размещенным в информационных
баннерах на страницах сайта. Эта информация позволяет лучше понять, какие
предложения более интересны потребителям, а также насколько эффективно
информационное наполнение сайта и его визуальное оформление. Стоит также
отметить, что данные получаемые от CRM-системы всегда также подкрепляются данными таких аналитических систем,
как «Яндекс. Метрика», что позволяет руководству компании иметь наиболее полное
представление об эффективности работы сайта, новостных рассылок, а также об
отдаче от контекстных рекламных кампаний и усилий по поисковой оптимизации.
Таким образом, компания «Sushi-City» успешно осуществляет свою
деятельность на рынке Санкт-Петербурга и многих регионов России, применяя
проверенные методы как продвижения своего бренда, так и формирования устойчивой
клиентской базы. Набор ключевых практик, используемых компанией, включающий
кросс-маркетинг, дисконтную программу лояльности и применение CRM-системы для поддержания контакта с
потребительской аудиторией, нельзя назвать уникальным на рынке общественного
питания, однако руководство «Sushi-City» прилагает усилия, чтобы
использовать данные методы с достаточной эффективностью.
Впрочем, чтобы понять, действительно ли компания создает вокруг себя
аудиторию лояльных клиентов, необходимо более подробно рассмотреть отношение потребителей
к компании и ряду факторов, характеризующих сформировавшиеся в «Sushi-City» подходы к обслуживанию клиентов. Углубленный
эмпирический анализ данных аспектов позволит выявить и охарактеризовать сильные
и слабые стороны во взаимодействии компании с ее клиентами.
.2 Полевое исследование лояльности клиентов к компании «Sushi-City»
С целью проверки поставленных в настоящей работе гипотез, а также для
выявления проблемных зон в потребительском обслуживании компании «Sushi-City», было осуществлено полевое исследование лояльности
потребителей. Оно позволило определить уровень лояльности клиентов, а также
оценить связи между лояльностью и рядом факторов потребительского обслуживания
в данной компании, концентрируясь на рынке города Санкт-Петербурга.
Информационный фон исследования
Перед описанием результатов собственного исследования, необходимо
обратить внимание на уже существующие на момент его проведения данные по
взаимоотношениям компании с потребителями, или на информационный фон (background) исследования [52, с. 892]. В
качестве предпосылок к данному исследованию выступили данные, предоставленные
аналитическими базами данных компании и охватывающие все торговые точки по
России. Среди них - результаты аудита качества обслуживания клиентов, а также статистические
сводки по отзывам потребителей и эффективности работы службы поддержки «Sushi-City». Кроме того, были предоставлены и сведения о
стандартах по оформлению и оборудованию, которым должен соответствовать каждый
магазин сети - это опорный список (checklist) из 17-ти ключевых пунктов/критериев:
. Внешний вид курьера;
. Внешний вид повара;
. Внешний вид администратора;
. Ящик для благотворительности;
. Фотографии играющих детей;
. Фотографии блюд;
. Мебель в хорошем состоянии;
. Фон кухни;
. Детский столик;
. Уголок потребителя;
. Оформление стойки бара;
. Заполненные салфеточницы;
. Логотип компании;
. Разложенные листовки;
. Пластиковые меню;
. Витрины;
. Чистые полы.
Стандарты соответствия по каждому из перечисленных пунктов подробно
описаны во внутренних корпоративных документах, включающих технические и
санитарные нормы, должностные инструкции и брендбук (brand book) компании. Они позволяют поддерживать определенную
степень однородности образа «Sushi-City» во всех точках и быстро выявлять и
исправлять недочеты.
Возвращаясь к внутренней аналитике потребительского обслуживания «Sushi-City», важным ориентиром стоит выделить отчет об аудите
качества обслуживания клиентов, проведенном отделом маркетинга компании в 2014
году. Его обобщенные результаты приведены ниже (рисунок 8):
Рисунок 8 - Заключение по внутреннему аудиту качества клиентского
обслуживания компании «Sushi-City» за 2014 год [на основе данных
компании]
По приведенным результатам можно видеть, что при общей удовлетворенности
продукцией, обслуживанием и доставкой, клиенты «Sushi-City»,
участвовавшие в исследовании, все же не были готовы с уверенностью
рекомендовать компанию своему социальному окружению (оценка Net Promoter Score), а также недостаточно твердо рассматривали «Sushi-City» в качестве объекта для повторного визита.
Тот факт, что показатели удержания клиентов за 2014 год находились на
едва среднем уровне можно, в данной ситуации, отчасти обосновать резко
усложнившейся экономической обстановкой в России, вызвавшей обширную
переориентацию потребителей на экономичные альтернативы на множестве рынков,
включая рынок общественного питания [11, с. 29-32]. Кроме того, масштаб данного
исследования охватывал все точки сети по стране. Так как ситуация с потребительским
обслуживанием и удовлетворенностью варьируется от региона к региону, а
количество торговых точек в разных регионах различно, то усредненные выводы все
же не могут дать точного представления о действительном положении дел с
клиентской лояльностью в компании. Требуется либо широкомасштабное
исследование, принимающее во внимание специфику каждого региона и позволяющее
собрать полную картину, либо же концентрация на конкретной географической
территории, то есть локализация исследования.
Приведенный выше отчет сопровождался также подкрепляющими данными,
например - оценкой эффективности работы службы поддержки потребителей (рисунок
9):
Рисунок 9 - Индикатор потребительской удовлетворенности работой службы
поддержки «Sushi-City» с сентября 2014 года по настоящее время [на основе
данных компании]
Можно видеть, что почти двух тысяч накопленных отзывов, касательных того,
получил ли клиент ответ от службы поддержки, была ли оказана помощь, решена ли
возникшая проблема, только 47 процентов оказались положительными. Это означает,
что более чем в половине случаев служба клиентской поддержки не исполняет свою
функцию должным образом и не может решить возникающие проблемы, связанные с
консультированием потребителей, а также с компенсациями за несвоевременную
доставку продукции, ее несоответствующее ожиданиям приготовление или
недобросовестное обслуживание. Тем не менее, 1180 добровольно оставленных
положительных отзывов об обслуживании и продукции в адрес «Sushi-City» было зарегистрировано через различные каналы за
период с ноября 2013 по март 2016 года.
Таким образом, даже сталкиваясь с проблемными аспектами, такими как
изменяющиеся потребительские приоритеты или недостаточно эффективная клиентская
техническая и сервисная поддержка, компания «Sushi-City»
прилагает усилия по выдерживанию строгих стандартов соответствия магазинов и
персонала корпоративным требованиям и стандартам. Впрочем, чтобы должным
образом оценить работу компании с точки зрения формирования и поддержания клиентской
лояльности, на этапе планирования было принято решение локализовать собственное
полевое исследование до масштабов города Санкт-Петербурга, как доминирующей и
наиболее показательной зоны деятельности компании. Теперь, оценив
предшествующую ситуацию на основе данных компании, можно перейти к подробному
рассмотрению текущей ситуации с клиентской лояльностью и основными влияющими на
нее факторами на основе данных, собранных самостоятельно.
Полевое исследование
Ранее, при описании дизайна исследования, на основе проанализированных
теоретических материалов и научных работ был выделен круг факторов,
определяющих уровень лояльности клиентов к компании сферы. Он включает такие
факторы, как быстрота обслуживания, воспринимаемая ценность и качество сервиса,
и ряд других. На базе данных выводов была составлена анкета для опроса
потребителей, которая, впоследствии, была адаптирована к компании «Sushi-City» в сотрудничестве с ее менеджментом (приложение А).
В силу локализации исследования на городе Санкт-Петербурге, а также
совокупности технических возможностей и организационных ограничений, было
решено нацелиться на случайную выборку объемом в 50 уникальных респондентов (из
генеральной совокупности - потребителей магазинов сети) и распределить ее между
двумя активными географическими районами деятельности компании «Sushi-City» - центральной и юго-восточной частях города. В
каждом районе были взяты по две торговые точки (рисунок 10).
Рисунок 10 - Географическая характеристика выборки для исследования
Опрос респондентов проводился в течение рабочей недели с 14-го по 18-ое
марта 2016 года. Администраторы магазинов оказывали активную помощь в раздаче
анкет посетителям и их сборе. После сбора требуемого количества анкет была
начата их обработка, для чего использовался табличный процессор Microsoft Excel и заранее заготовленная в нем, в полном соответствии
с дизайном исследования, модель обработки данных. Переходя к описанию
результатов, следует начать с классификационных (повторные визиты, наличие
дисконтных карт и т.д.) параметров выборки (рисунки 11-15 и приложение О):
Рисунок 11 - Гендерный состав выборки [на основе результатов
исследования]
Рисунок 12 - Возрастной состав выборки [на основе результатов
исследования]
Рисунок 13 - Соотношение повторных посетителей к первичным посетителям в
составе выборки [на основе результатов исследования]
Рисунок 14 - Распространенность дисконтных карт среди респондентов [на
основе результатов исследования]
Рисунок 15 - Распределение респондентов по уровню образования [на основе
результатов исследования]
Основные выводы по представленным графикам:
· Возрастные группы «от 18 до 25 лет», «от 26 до 30 лет» и «от 31 до 40
лет» практически равнопредставлены по выборке;
· Абсолютное большинство гостей-респондентов обращались в
магазины «Sushi-City» не в первый раз, что имеет большую важность для
исследования лояльности;
· В процентном выражении, доля гостей, обратившихся в магазин
не в первый раз, совпадает с долей владельцев дисконтных карт «Sushi-City» (разница всего 2%);
· Половина опрошенных гостей имеет высшее образование, и еще
четверть - среднее специальное. Наиболее высокая концентрация респондентов со
средним специальным образованием была зафиксирована в поселке Металлострой;
· Заполняемость анкет оказалась на качественно высоком уровне -
анкеты, заполненные с ошибками, были в меньшинстве. Незаполненные поля в
анкетах встречались лишь в диапазоне от 2-х до 6-ти процентов от общего числа
собранных анкет, что не слишком усложнило дальнейшую обработку ключевых данных.
Центром внимания данного исследования выступала взаимосвязь уровня
лояльности клиентов с факторами лояльности. Результаты оценки лояльности
потребителей компании «Sushi-City» следующие (таблицы 4-5 и приложение
Б):
Таблица 4
Уровень лояльности клиентов сети «Sushi-City»
в Санкт-Петербурге согласно оценке параметра Net Promoter Score (NPS)
|
Номер анкеты:
|
Оценка NPS:
|
Номер анкеты
|
Оценка NPS:
|
|
1
|
7
|
29
|
4
|
|
2
|
7
|
30
|
7
|
|
3
|
7
|
31
|
7
|
|
4
|
6
|
32
|
6
|
|
5
|
7
|
33
|
4
|
|
6
|
7
|
34
|
5
|
|
7
|
7
|
35
|
1
|
|
8
|
7
|
36
|
7
|
|
9
|
7
|
37
|
7
|
|
10
|
7
|
38
|
7
|
|
11
|
4
|
39
|
5
|
|
12
|
7
|
40
|
7
|
|
13
|
6
|
41
|
7
|
|
14
|
7
|
42
|
7
|
|
15
|
7
|
43
|
6
|
|
16
|
6
|
44
|
6
|
|
17
|
5
|
45
|
4
|
|
18
|
7
|
46
|
5
|
|
19
|
5
|
47
|
7
|
|
20
|
5
|
48
|
7
|
|
21
|
6
|
49
|
3
|
|
22
|
7
|
50
|
4
|
|
23
|
4
|
∑
|
300,00
|
|
24
|
7
|
Медиана
|
7,00
|
|
25
|
7
|
Среднее знач.
|
6,00
|
|
26
|
7
|
27
|
4
|
|
28
|
7
|
|
|
|
|
|
Источник: [расчеты автора на основе результатов исследования]
Таблица 5
Географическое происхождение анкет (дополнение к табл. 4)
|
Цветовые обозначения в таблице отражают источник, из
которого поступила анкета респондента:
|
ул. Декабристов, 28
|
|
пр. Стачек, 15
|
|
пос. Металлострой, ул. Полевая, 9А
|
|
Шлиссельбургский пр., 3-7
|
Оценка лояльности клиентов «Sushi-City» в Санкт-Петербурге составила
достаточно высокий средний балл - 6 баллов из 7-ми - по индикатору Net Promoter Score, демонстрирующему склонность потребителей
рекомендовать пользование услугами и продукцией компании своему социальному
окружению (т.н. «надежный клиент») [4, с. 280-283]. Это значение (6 из 7)
превышает показатель лояльности по всей сети за 2014 год почти вдвое (5 из 10),
однако необходимо принять во внимание факт локализации текущего исследования в
сравнении с предшествующим. Также необходимо отметить, что наибольшая доля
заполненных анкет поступила из магазина на Шлиссельбургском проспекте, 3-7 (на
юго-востоке города), что было продиктовано благоприятными возможностями для
опроса клиентов и их высокой активностью в данной торговой точке.
Одновременно с определением уровня лояльности клиентов «Sushi-City» производилась обработка данных на предмет прояснения
тесноты взаимосвязей между ключевыми факторами лояльности и ее оцениваемым
уровнем. Так как оценка уровня лояльности и оценки каждого отдельного фактора
при анкетировании имели единый формат (шкала Лайкерта, от 1 до 7 баллов), то
регрессионный анализ позволил успешно произвести требуемые расчеты (приложения
Б-Л) и сделать соответствующие выводы (таблица 6 и приложение Н). При этом
коэффициент детерминации R2, по результатам обработки всех
данных, составил значение 0,502 (таблица 7 и приложение М), означающее, что
избранная для расчетов математическая модель является моделью приемлемой
репрезентативности, а связь между переменными существует и прослеживается [23,
с. 112-115].
Таблица 6
Распределение факторов обслуживания, влияющих на потребительскую лояльность
в компании «Sushi-City», по тесноте их связи с уровнем лояльности клиентов
|
Значимость фактора по степени его влияния на лояльность
клиентов
|
Теснота связи с уровнем лояльности
|
Наименование фактора
|
|
1
|
51,8 %
|
Имидж и фирменный стиль магазинов и сотрудников
|
|
2
|
51,4 %
|
Дисциплинированность администраторов при обслуживании
|
|
3
|
48,7 %
|
Скорость обслуживания
|
|
4
|
40,9 %
|
Эмоциональное удовлетворение от общения с администраторами
|
|
5
|
39,5 %
|
Следование выбору друзей и родственников
|
|
6
|
35 %
|
Доверие к компании (по качеству обслуживания)
|
|
7
|
31,6 %
|
Акции, предложения и дополнения к заказам
|
|
8
|
26,7 %
|
Общая удовлетворенность результатом обслуживания
|
|
9
|
26,2 %
|
Воспринимаемая ценность обслуживания (затраты и результат)
|
|
10
|
21 %
|
Альтернативы в других ценовых сегментах рынка (конкуренты)
|
Источник: [результаты регрессионного анализа]
Таблица 7
Значение R2 в полученной математической модели
(выдержка из таблицы Microsoft Excel)
|
Коэффициент детерминации математической модели:
|
|
0,5015846308<--- R²
|
Источник: [результаты регрессионного анализа]
Выводы
Ключевые выводы, которые можно сделать из проведенного анализа данных,
заключаются в том, что в обслуживании потребители обращают повышенное внимание
к таким аспектам, как имидж и стиль сотрудников и всего магазина,
дисциплинированность линейного персонала, а также быстроту его работы. В
половине случаев эти факторы определят, будет ли лояльность конкретного клиента
укрепляться или угасать. Также лояльность клиентов компании «Sushi-City» подвергается, пусть и в несколько меньшей степени, влиянию
таких факторов, как эмоциональное удовлетворение от взаимодействия с
сотрудниками, влияние социального окружения, восприятие качества обслуживания и
предлагаемые специальные предложения. Общая удовлетворенность обслуживанием,
ценность обслуживания (соотношение затрат к результатам), а также альтернативы
на рынке (конкуренты с иным средним уровнем цен по сравнению с «Sushi-City») оказались факторами, оказывающими влияние на
уровень потребительской лояльности респондентов только в 21-27 процентах случаев.
Таким образом, положительно скажется на лояльности клиентов «Sushi-City» подход к обслуживанию, совмещающий быстроту и
слаженность действий с привлекательным внешним видом сотрудников и аккуратным
образом окружающей обстановки. Постоянное соблюдение этики общения с клиентом и
поддержание вежливости при любых обстоятельствах также скажется на развитии
лояльности клиентов конструктивно.
Расчеты и выводы позволяют также признать верными исследовательские
гипотезы №1 и №2 данной работы:
· Гипотеза №1 (формулировка: «такие факторы, как потребительское доверие,
удовлетворенность обслуживанием, воспринимаемое качество обслуживания, его
быстрота, а также имидж фирмы и барьеры перехода к конкурентам определяют
лояльность клиентов к компании, обслуживающей их») подтвердилась. Перечисленные
в ней факторы обслуживания, а также ряд дополнительных факторов, действительно
оказывают непосредственное влияние на уровень потребительской лояльности
компании, на примере «Sushi-City»;
· Гипотеза №2 (формулировка: «некоторые из факторов
потребительского обслуживания имеют большее влияние на уровень лояльности
клиентов компании, чем другие») также подтверждена. Результаты эмпирических
расчетов продемонстрировали, что факторы располагаются в приоритетном порядке
по степени своего влияния на лояльность потребителей, следовательно - они не
равны между собой.
Оценив уровень лояльности потребителей компании «Sushi-City»
и установив, какие факторы лояльности наиболее приоритетны, следует также
выяснить их текущее состояние. Проведенное анкетирование позволило получить
индивидуальные оценки каждого из факторов обслуживания на предмет их восприятия
респондентами, то есть - в какой степени эти факторы развиты в компании по их
мнению. Кроме того, удалось взять интервью у главного маркетолога компании «Sushi-City» с целью получить экспертный комментарий относительно
результатов, полученных в ходе количественного исследования, а также выяснить
подробности, касательно развития предприятия и его маркетинговых практик.
Следующая глава посвящена разбору этой информации и выдвижению ряда
рекомендаций по укреплению потребительской лояльности клиентов компании «Sushi-City» в будущем.
стандарт услуга потребительский лояльность
Глава 3. Разработка рекомендаций по совершенствованию корпоративных
стандартов обслуживания компании «Sushi-City»
.1 Оценка основных факторов обслуживания компании «Sushi-City»
Уровень потребительской лояльности по отношению к компании «Sushi-City» в городе Санкт-Петербурге оказался на достаточно
высоком уровне, однако состояние каждого из отдельных составляющих лояльности
при этом вовсе не является одинаковым. Теснота связи каждого фактора лояльности
с ее общим уровнем была установлена в предыдущей главе, но уровень развития
каждого из факторов все еще требовалось прояснить.
Развитие факторов обслуживания, определяющих лояльность клиентов - это
ряд важных показателей, на основе которых можно составлять и принимать будущие
управленческие и маркетинговые решения в компании [10; с. 26-28]. Эти
показатели позволяют руководству сосредоточиться на проблемных зонах для их
исправления, одновременно с поддержанием сильных факторов в надлежащем
состоянии.
Анализ связей факторов лояльности с ее непосредственным уровнем показал,
что, даже при неравенстве между собой, каждый фактор оказывает ощутимое влияние
на формирование лояльного поведения среди потребителей, определяя данное
поведение в диапазоне от 21 до 52 процентов случаев. Но необходимо понимать,
что при низком уровне развития факторов лояльности в обслуживании, влияние на
лояльность может взять противоположную направленность - она начнет угасать [9;
с. 47]. Поэтому требуется знать не только, что и в какой степени влияет на
лояльность, но и как ощущается это влияние клиентом. Ситуация с состоянием
восприятия факторов лояльности клиентами «Sushi-City»,
на основе проведенного практического исследования, приведена ниже (таблица 8):
Таблица 8
Восприятие потребителями факторов обслуживания компании «Sushi-City», определяющих формирование лояльности
|
1.
|
Фактор X9
|
Строгая формулировка по модели:
|
Оценка эффективности исполнения корпоративных стандартов
обслуживания (КСО)
|
6,68
|
из 7
|
|
|
Интерпретация в «Sushi-City»:
|
Дисциплинированность администраторов при обслуживании
|
|
|
|
2.
|
Фактор X10
|
Строгая формулировка по модели:
|
Оценка влияния КСО на восприятие результатов оказания услуг
|
6,64
|
|
|
|
Интерпретация в «Sushi-City»:
|
Эмоциональное удовлетворение от общения с администраторами
|
|
|
|
3.
|
Фактор X8
|
Строгая формулировка по модели:
|
Оценка ощутимости присутствия корпоративных стандартов в
обслуживании
|
6,58
|
|
|
|
Интерпретация в «Sushi-City»:
|
Акции, предложения и дополнения к заказам
|
|
|
|
4.
|
Фактор X3
|
Строгая формулировка по модели:
|
Оценка потребительского доверия к компании
|
6,26
|
|
|
|
Интерпретация в «Sushi-City»:
|
Доверие к компании по качеству обслуживания
|
|
|
|
5.
|
Фактор X1
|
Строгая формулировка по модели:
|
Оценка общей удовлетворенности обслуживанием
|
6,18
|
|
|
|
Интерпретация в «Sushi-City»:
|
Общая удовлетворенность результатом обслуживания
|
|
|
|
6.
|
Фактор X4
|
Строгая формулировка по модели:
|
Оценка скорости обслуживания
|
6,16
|
|
|
|
Интерпретация в «Sushi-City»:
|
Скорость обслуживания
|
|
|
|
7.
|
Фактор X5
|
Строгая формулировка по модели:
|
Оценка роли имиджа компании в обслуживании
|
6,16
|
|
|
|
Интерпретация в «Sushi-City»:
|
Имидж и фирменный стиль магазинов и сотрудников
|
|
|
|
8.
|
Фактор X2
|
Строгая формулировка по модели:
|
Оценка воспринимаемой ценности оказанных услуг
|
6,02
|
|
|
|
Интерпретация в «Sushi-City»:
|
Воспринимаемая ценность обслуживания (затраты и результат)
|
|
|
|
9.
|
Фактор X6
|
Строгая формулировка по модели:
|
Оценка привлекательности компании относительно альтернатив
на рынке
|
5,82
|
|
|
|
Интерпретация в «Sushi-City»:
|
Альтернативы в других ценовых сегментах рынка (конкуренты)
|
|
|
|
10.
|
Фактор X7
|
Строгая формулировка по модели:
|
Оценка влияния социального окружения потребителя
|
4,96
|
|
|
|
Интерпретация в «Sushi-City»:
|
Следование выбору друзей и родственников
|
|
|
Источник: [Промежуточные расчеты в ходе регрессионного анализа]
Из полученных данных можно выделить три основные группы факторов:
. Преуспевающие зоны в потребительском обслуживании. Потребители в большей
части удовлетворены взаимодействием с администраторами магазинов, их
дисциплиной и дополнительными предложениями;
2. Нормальные зоны в потребительском обслуживании. Клиенты
оценивают такие показатели, как скорость обслуживания, имидж компании, ценность
получаемых результатов обслуживания (как в моральном, так и в материальном
плане) и доверие к компании на приемлемом уровне;
. Потенциально проблемные зоны в потребительском обслуживании.
Потребители не всегда приходят в магазины по наводкам родственников и друзей, а
также не считают «Sushi-City» лучшей из альтернатив на рынке
схожих продуктов и услуг.
Эти данные можно активно использовать для дальнейшей оптимизации
процессов потребительского обслуживания в компании. Они могут помочь при
ориентации действий по продвижению акций и специальных предложений, при работе
над формированием должностных инструкций для администраторов магазинов
(корпоративные стандарты обслуживания). Направленность данных результатов -
лучше и эффективнее раскрывать потенциальную лояльность среди клиентов компании
в дальнейшем.
Чтобы еще более сократить неопределенность и лучше понять, что еще
требуется «Sushi-City» для укрепления лояльности своих клиентов, необходимо
обратиться к опыту специалиста самой компании, что поможет придать практическим
рекомендациям для компании больший потенциал.
.2 Глубинное интервью с маркетологом компании «Sushi-City»
Для подкрепления количественных результатов исследования, было проведено
интервью с маркетологом «Sushi-City» Романом Арсухиным. Данное интервью
касалось не только вопросов, связанных с результатами исследования, но и общего
маркетингового видения компании, ее успешных и проблемных зон в обслуживании
потребителей и продвижении своего бренда. Транскрипт интервью представляет
собой важный качественный результат данного исследования и приведен ниже:
Интервью с Романом Арсухиным (компания «Sushi-City»)
Должность: главный маркетолог (в центральном офисе компании в городе
Санкт-Петербурге)
Стаж работы в компании: 3 года
Начало интервью
Артем Седов (АС): Роман, расскажите, пожалуйста, о развитии и значимых
событиях в прошлом компании «Sushi-City».
Значимые достижения и профессиональный опыт:
Роман Арсухин (РА): Изначально отдела маркетинга здесь не было в принципе
- было только два маркетолога, которые делили точки по стране пополам. На тот
момент было около 32-х точек на всю страну. Достаточно оперативно был расширен
отдел - было внедрено два дизайнера и PR-менеджер - но со временем второй маркетолог перестал быть необходим
компании. В связи с влиянием кризиса позже также пришлось убрать позицию PR-менеджера. Теперь штат
стабилизировался и включает одного маркетолога, двух дизайнеров и смежные
подразделения, которые помогают по маркетинговой части. Например, Артем Прыгин
(руководитель отдела доставки) активно помогает в онлайн-продажах и
интернет-маркетинге.
Что касается достижений - значительно изменилась структура сайта, мы
стали более таргетированы в плане визуализации, мы вообще более ответственно
подошли к «онлайн-вопросу», а также серьезно переработали многие моменты в
меню. За три года меню претерпело очень много изменений - была внедрена
китайская кухня, а это целая ассортиментная группа, также были внедрены
арабская и итальянская кухни. Мы проводим постоянные мониторинги цен -
отслеживаем ситуацию на рынке, которая говорит нам о том, где стоит поднимать
или опускать цены.
У нас стала очень гео-таргетирована SMS-рассылка. Если три года назад у нас были лишь
федеральные рекламные кампании на всю сеть, то теперь мы активно проводим
локальные рекламные кампании. То есть под одним нашим брендом проводятся разные
кампании в разных регионах. Это имеет большое значение, так как, несмотря на
то, что города, в которых мы открываемся, схожи по многим социальным,
экономическим и демографическим показателям, наша аудитория реагирует на разные
рекламные кампании очень по-разному. Каждый наш управляющий самостоятельно
подбирает себе рекламную кампанию, которая дает наибольшую отдачу в его городе.
Наш менеджмент построен таким образом, что 70 процентов задач исходят
сверху, а оставшиеся 30 процентов идут снизу. Иначе говоря, в 70 процентах
случаев отдел маркетинга «спускает», скажем, акцию и сообщает управляющим на
местах, что делать. В 30 процентах случаев управляющие сами говорят, что нужно
им, и отдел маркетинга уже выступает обслуживающим звеном, которое помогает
управляющим в реализации их идей.
Хотел бы также добавить, что наша компания не боится экспериментировать.
Не только использовать новаторские идеи, технологии и гаджеты, появляющиеся на
рынке, но и не боится испытывать себя в оффлайн-маркетинге. У нас раньше никто
не пробовал, например, использовать рекламу в лифтах. Мы провели достаточно
масштабную рекламную кампанию по лифтам, время от времени корректируя ее или
меняя предложения - гибко подошли к этому вопросу - однако мы поняли, что ни
при каком из вариантов гибкости в данных объявлениях (посыл, формат объявления,
картинка) данный рекламоноситель для нас не работал. Конкурирующие компании
продолжают использовать данные рекломоносители, но мы не получили от них
ожидаемой отдачи и решили отказаться от них. Аналогично и с радио-рекламой -
она имеет ограниченный эффект и срабатывает лишь в порядке 2% случаев от всего
объема размещения. Поэтому к ней мы тоже подходим индивидуально и с особой
осторожностью. Если у нас появляются новые предложения, возможности опробовать
новый рекламоноситель, то, безусловно, мы проводим расчет того, насколько это
нам нужно и насколько это может быть эффективно, но при этом мы исходим из
логики - «нам нужно размещаться». И мы не будем пробовать новое только в том
случае, если расчеты нам скажут, что рекламоноситель точно будет
бесперспективен.
АС: Да, пожалуй цифры стоит слушать. Исчерпывающий ответ. Дальше я бы
хотел поговорить о том, с чем я вам предлагал ознакомиться - оценки лояльности
клиентов и факторов, оказывающих влияние на нее. Прежде всего, хотел бы
спросить - видите ли вы разрыв между реальностью и предоставленными цифрами? И
если он существует, то прокомментируйте его.
Комментарии по основным факторам лояльности клиентов:
РА: По поводу соответствия распределений - я регулярно вижу отзывы
клиентов на нашем сайте, в группах «Вконтакте», и я допускаю, что люди,
оставляющие данные отзывы, и люди, опрошенные в самих магазинах, могут
представлять две разные группы покупателей. Разные как по принципу покупки, так
и по принципу оставления отзывов. Кроме того, отзывы, которые мы видим в
интернете, зачастую попадают туда не из города Санкт-Петербурга. Как правило,
Санкт-Петербург дает отзывов по минимуму. Причина этого в том, что в Петербурге
очень высокая конкуренция. Если клиента плохо накормят или обслужат, то ему ни
к чему писать отзыв, тратить свое время, нарушать динамику своего привычного
образа жизни - он просто пойдет в другое место. В провинциальных городах образ
жизни людей иной, а выбор меньше, и они более склонны использовать обратную
связь. Менталитет здесь имеет значение, и он различается между
Санкт-Петербургом, Москвой и небольшими городами. Поэтому отношение по отзывам
к бренду, в большей степени, отражено по данной таблице корректно.
Другой вопрос - это то, что проводя наши акции, мы поняли, что
потребители очень активно реагируют на них. Иными словами, если мы живем в
режиме «без акций», то мы имеем один поток гостей - «поток X». Но когда мы запускаем какую-либо
акцию и анонсируем ее, мы получаем достаточно сильный всплеск потребительской
активности именно в этот день, в этом регионе и в этом городе («поток Y»). При этом если это однодневная
акция, и мы запускаем ее снова через неделю, то всплеск активности будет уже
меньше. Через две недели - еще меньше, активность идет на угасание. В
Санкт-Петербурге, из-за его высокой конкуренции, мы несколько «теряемся» - у
нас недостаточно финансовых ресурсов, чтобы выдерживать рекламные кампании на
весь этот город. Однако нам это и не требуется. Расположение наших магазинов
позволяет нам обслуживать квартальные зоны, в которых мы комфортно существуем,
и у нас нет цели по захвату всего рынка Петербурга. Пусть это и было бы
неплохо. Пока, впрочем, мы используем стратегию «зонирования».
Соответственно, из-за важности наших акций, несколько необычно видеть
фактор «Акции, предложения и дополнения к заказам» лишь на седьмом месте по
приоритетам потребителей. Я бы поставил этот фактор на первое или второе место.
Хотя, опять же, возможно для Санкт-Петербурга это не настолько важно. У нас
есть гипотеза, почему это может быть не так важно для Петербурга. Рынок этого
города является высоко конкурентным, и мы стараемся держать на нем низкие цены.
Например, в Московской области, где уровень заработка ниже, чем в Петербурге,
цены на наш ассортимент могут быть выше в связи с меньшей конкурентной
насыщенностью в этом регионе. Поэтому, возможно, здесь потребители несколько
меньше считают деньги.
АС: Нередко компании настроены лишь на сбыт товара и получение
сиюминутных выгод от потребителей. Но в современной организации важно
выстраивание долгосрочных отношений с потребителями, особенно если
функционирование компании тесно связано с обслуживанием клиентов. Хотелось бы
узнать, существуют ли в настоящее время какие-либо проблемы в выстраивании
долгосрочных отношений с потребителями в компании Sushi-City?
Проблемы в выстраивании долгосрочных отношений с потребителями:
РА: На сегодняшний день серьезная проблема в выстраивании долгосрочных
отношений с конечным потребителем - это наше качество кухни. Это проблема, так
как, даже если отдел маркетинга приведет людей в магазины и расскажет им об
акциях, получив некачественный продукт, потребитель может остаться недоволен.
Зачастую возникают ситуации, когда клиент может не получить и подарок от
компании. То есть проблема может быть и в администраторах магазинов. Они могут
забыть, что клиенту полагается подарок или оказаться не оповещенными об этом
своими управляющими по тем или иным причинам. Впрочем, это проблема линейного
персонала на любых рынках. Мы пытаемся бороться с этим. Существует группа
людей, которая регулярно перемещается по точкам, обучая поваров и проверяя
качество их работы, и друга группа (независимая от первой), которая проверяет
знания администраторов магазинов. Сам отдел маркетинга также периодически
инкогнито обзванивает администраторов.
Но в первую очередь проблема в кухне. Клиента, который уходит от нас
из-за кухни, уже практически не вернуть. Так, на первое привлечение гостя мы
тратим в среднем 5 рублей, на возвращение гостя, который ушел недовольным нашим
обслуживанием, мы потратим 40-50 рублей, а на возвращение гостя, крайне
недовольного нашей кухней, потратить придется порядка 100-150 рублей. И таких
гостей существует много.
Еще одной проблемой выстраивания долгосрочных отношений с клиентами я бы
выделил тот факт, что отдел маркетинга не в достаточной степени оповещает
клиентов о дисконтных картах, их преимуществах и пользе. Потому что по нашей
статистике продаж мы видим, что вторичная покупка осуществляется в среднем раз
в три месяца. Раньше мы предполагали, что повторные покупки от одного и того же
клиента происходят чуть ли не раз в неделю. Реалии оказались иными, и мы
предполагаем два варианта развития событий.
Первый вариант - постоянный потребитель приходит к нам повторно раз в три
месяца, а те люди, которые ежедневно вращаются в наших магазинах - это просто
«вал» однократных потребителей (сегодня одни сто человек, завтра - сто
совершенно других, и так далее).
Второй вариант, который, скорее всего, является верным - наш постоянный
клиент просто не берет свою дисконтную карту. Мы видим повторную покупку от
клиента только в том случае, когда он использует свою карту. И наверняка она
часто им просто забывается.
АС: Что же, вопрос о совершенствовании обслуживания также оказался в
немалой степени покрыт вашим ответом. Но если вам есть, что добавить к тому,
как можно решать выделенные проблемы, то расскажите об этом.
Совершенствование обслуживания и укрепление лояльности клиентов:
РА: Я бы выделил еще одну проблему - мы пытаемся собирать с наших гостей
такую информацию, как номер мобильного телефона, дата рождения, фамилия и имя,
электронная почта - для того, чтобы информировать их об акциях и различных
мероприятиях, которые у нас происходят. Но часто гости не оставляют нам свои
номера, либо оставляют какие-нибудь некорректные. Мы осознаем, что есть группа
гостей, которые очень лояльны к нашему бренду и готовы участвовать и в наших
дисконтных проектах, и в бонусных программах. И проблема заключается даже не в
нас или наших гостях, а в наших партнерах. Например, привязать дисконтную карту
к личному кабинету клиента на нашем сайте - очень проблематично из-за
существующих программных нестыковок между используемой CRM-системой (Customer Relations Management) и личным кабинетом сайта. Процесс
привязки карты слишком путаный и сложный для клиента, и мы ищем возможности
сделать этот процесс понятнее и проще. Мы также понимаем, что нам требуется
«нажимать» на своего контрагента, который и обязан наладить техническую
стыковку этих систем. Можно решить эту проблему быстро, но пожертвовав
безопасностью - тогда карты будет легко взломать - и никто, разумеется, не
хочет этого допускать. Пока данная проблема еще остается у нас не решенной, так
как помимо технических трудностей есть и трудность с поиском подходящего
сотрудника или партнера, который бы этим занимался.
Сама программа CRM
является важным элементом - она во многом и позволяет нам поддерживать
долгосрочную связь с гостем. Программа отслеживает, когда у гостя день
рождения, шлет автоматические SMS-сообщения,
отслеживает гостей, которые давно не были в наших магазинах. Например, когда
клиент не появляется у нас два месяца, он может получить к заказу небольшой
подарок на 50 рублей, когда отсутствует три месяца - на 100 рублей. Так мы
пытаемся поддерживать контакт с клиентами. И конечно, мы используем email-рассылки, которые сейчас начинают
постепенно преобразовываться в более таргетированные базы данных с
отслеживанием предпочтений наших гостей.
АС: Спасибо, перейдем к следующему вопросу. Он имеет более общий характер
- почему вообще, на ваш профессиональный взгляд, формирование лояльности имеет
значение для Sushi-City? Как вы это видите?
Важность формирования потребительской лояльности:
РА: Лояльность клиентов важна, прежде всего, потому что существует
правило Парето - 20% покупателей обеспечивают вам 80% оборота. Это правило
действует и у нас. Мы действительно понимаем, что 20% наших лояльных
потребителей приносят нам большую часть выручки, и перед нашим маркетингом
стоят две задачи - привлечение новых потребителей и удержание старых. Обе
задачи решаются по своему, но как раз удержание старых клиентов - это и есть
система лояльности, которую мы пытаемся выдержать у себя.
Есть, конечно, очень тонкая грань между тем, как часто следует делать SMS-рассылки, email-рассылки. Присутствует алгоритм решения вопросов с
гостями, которые недовольны покупкой - управляющий магазина должен связаться с
ними и сделать подарок. Существует и алгоритм работы с гостями, оставляющими
положительные отзывы, тоже включающий в себя подарок, поощрение. Все это тоже
инструменты поддержания лояльности. И основной принцип - это правило Парето,
которое надо выдерживать.
АС: Тогда переключимся на последний вопрос. С ваших слов я уже имею
основное представление об отношении потребителей в регионах. А какова специфика
обслуживания в регионах? Различается ли оно с подходом к обслуживанию в
Санкт-Петербурге и насколько?
Специфика обслуживания в Санкт-Петербурге и в регионах:
Живой пример - я разговаривал с региональным директором по Архангельской
области. Спросил его, как там вообще работается, и что его удивило после
Петербурга, где он до этого работал. Он рассказал, что гости магазинов иной раз
удивляются, даже просто когда администраторы здороваются с ними. Не говоря уже
о предложении им различных акций или подарков. Потребителям в регионах не
привычно, когда с ними действительно работают. По словам регионального
директора, там отличаются и манеры - люди иначе зовут официантов. Грубее, так
скажем. В этих вещах и лежат основные различия.
Да, мы пытаемся внедрить свои стандарты по обслуживанию гостей на наших
локальных точках, и мы несколько опережаем любые другие местные, локальные
организации в плане культуры обслуживания. Но, опять же, существует проблема
линейного персонала - до него сложно «достучаться» и сказать, что с гостями
нужно работать «вот так». Местному персоналу привычнее местный подход,
локальная культура. Мы боремся, но наши стандарты обслуживания в регионах пока
еще внедряются не спеша.
И этой медлительности там также способствует высокая текучесть кадров
линейного персонала. Получается цикличная проблема - мы обучили сотрудника, а
он вскоре уходит. Обучили следующего - он тоже ушел, учим третьего - то же
самое.
Архангельск - сейчас лучшая точка по стране. По причине того, что там
есть сформировавшийся штат. Он не меняется, он там уже очень давно, свой,
сформировавшийся. Там текучесть низкая, ее практически нет. Все понимают свои
зоны ответственности, в каком режиме надо работать и как все делать. Если с
кадрами все стабильно - то такая связка звеньев всегда даст нормальный, рабочий
механизм.
Конец интервью
Общие выводы по совокупности исследования
Принимая во внимание результаты всего практического исследования
потребительской лояльности к компании «Sushi-City»
в Санкт-Петербурге, включающего как количественные (анкетирование), так и
качественные (интервью) результаты, можно сделать ряд ключевых выводов:
· За три года количество магазинов сети возросло с 32-х до почти 80-ти
благодаря активному развитию франчайзинга;
· В отделе маркетинга компании произошло сокращение нескольких
вспомогательных должностей;
· Структура сайта компании претерпела значительные изменения за
последние три года, чтобы лучше соответствовать требованиям по интуитивности и
простоте использования;
· Большинство маркетинговых решений принимается централизованно,
в главном офисе компании в Санкт-Петербурге, однако локальные инициативы
регулярно принимаются во внимание;
· Компания «Sushi-City» часто экспериментирует с
рекломоносителями в offline-маркетинге, постоянно находясь в поисках
актуальных, но не навязчивых способов контакта с потребительской аудиторией;
· Выражено общее согласие с результатами количественного
исследования лояльности клиентов «Sushi-City» и факторов обслуживания компании,
однако упомянуто, что, согласно личному опыту, акции и специальные предложения
оказывают значительное влияние на развитие долгосрочных отношений с клиентами -
большее, чем показал опрос;
· Большинство отзывов об обслуживании, поступающих через сайт
компании, приходит из регионов;
· В Санкт-Петербурге компания «Sushi-City» использует стратегию
географической концентрации offline-маркетинга на квартальных зонах, в которых
расположены магазины, и пока не преследует цели по расширению своих
маркетинговых усилий территориально на весь город, в связи с высокими издержками
такого подхода;
· Важными проблемами в выстраивании долгосрочных отношений с
клиентами выделяются: качество приготовления пищи, неосведомленность линейного
персонала о проходящих акциях, проблемы с дисконтной системой;
· Удельные затраты на привлечение и удержание клиентов
«Sushi-City» резко возрастают в случае столкновения клиента с продукцией
неудовлетворительного качества;
· Проблемы с системой дисконтных карт затрудняют регистрацию
повторных покупок от одного и того же клиента в CRM-системе компании;
· В обозримом будущем CRM-системе компании потребуется
техническая модернизация, чтобы она стала свободно совместима со многими
важными базами данных по клиентам, включая базу дисконтных карт;
· Принцип Парето - один из ключевых в маркетинговой деятельности
«Sushi-City». Следовательно, лояльное меньшинство потребителей имеет большее
значение для компании, чем нелояльное большинство;
· Две основные задачи для маркетинга в данной компании
достаточно стандартны - это удержание существующих потребителей и привлечение
новых;
· Культура обслуживания в Санкт-Петербурге и Москве значительно
отличается от таковой в регионах, а все инновационные процессы в маркетинге и
обслуживании приходят туда с задержкой («эхом») относительно столиц;
· Архангельская область (и город Архангельск в частности) -
наиболее преуспевающий регион для «Sushi-City» по остальной части России;
· Уровень лояльности повторных клиентов компании в
Санкт-Петербурге можно охарактеризовать как достаточно высокий, соответствующий
категории «надежный клиент» (6 баллов из 7-ми по индикатору Net Promoter Score) [30; с. 67];
· На уровень лояльности оказывают наиболее существенное влияние
такие факторы обслуживания, как имидж персонала и торговых точек, скорость
работы, а также дисциплинированность сотрудников. Это факторы особого внимания;
· На момент проведения исследования, наиболее развитыми в
компании оказались такие факторы обслуживания, как рабочая дисциплина среди
сотрудников, их вежливость при взаимодействии с клиентами, а также набор акций
и специальных предложений для потребителей;
· Можно видеть, что из факторов наибольшей значимости, развитым
в достаточно высокой степени является дисциплина. Но при этом, имидж и быстрота
работы еще имеют пространство для видимого роста и улучшения в компании;
· Проблемными для компании зонами в обслуживании являются не
всегда выдерживаемое на требуемом уровне качество приготовления продукции,
проблемы с коммуникациями между линейным персоналом, технические недостатки
применяемой CRM-системы, а также различия в культуре
обслуживания в разных регионах страны;
· В то же время, сильными сторонами компании выделяются
постоянное экспериментирование с маркетинговыми акциями, подходами и
рекламоносителями, а также географическое присутствие во всех ключевых районах
города Санкт-Петербурга;
· Таким образом, продолжая повышать культуру и улучшать
стандарты обслуживания в Санкт-Петербурге (центральной зоне деятельности
компании), «Sushi-City» сможет не только поддерживать высокие экономические
показатели на своем главном рынке, но и транслировать свой опыт в регионы,
поднимая и их уровень.
Располагая систематизированными выводами по проведенному исследованию,
можно сформировать конкретные практические рекомендации по укреплению
потребительской лояльности для компании «Sushi-City».
.3 Рекомендации по совершенствованию подхода компании к обслуживанию
потребителей
Как уже отмечалось, лояльность потребителей является одним из важнейших
аспектов долгосрочного успеха компании в сфере услуг [14; с. 186]. По этой
причине, компании «Sushi-City» следует продолжать работу в
направлении ее укрепления и воспринимать данную деятельность как маркетинговый
приоритет.
При существующих неопределенностях в экономическом развитии России,
концентрация на привлечении новых потребителей несет больше рисков, чем
стратегия по развитию лояльности существующей клиентской базы [1; с. 22-23].
Эффективная работа с приверженными клиентами, при этом, не должна ухудшить
приток новых потребителей, так как социальные связи людей друг с другом всегда
способны привлечь новые аудитории наравне с самыми эффективными маркетинговыми
усилиями компании [5; с. 41].
Повышенное внимание «Sushi-City» должно уделяться корпоративным
стандартам обслуживания (КСО). Именно они в наибольшей степени определяют
культуру обслуживания и формируют репутацию компании в глазах клиентов.
Стандарты обслуживания должны иметь видимость за пределами формальных
должностных инструкций и корпоративных уставов - должен существовать легкий
способ изучить их и, при необходимости, напомнить о них сотрудниками [23; с.
416]. Компании потребуется приложить усилия к тому, чтобы сформулировать
простые и ясные для понимания всеми сотрудниками «Sushi-City»
стандарты обслуживания на базе существующих должностных инструкций. Ключевой
момент - превратить строгие и формальные документы в популярные и одобряемые
сотрудниками нормы эффективного поведения. Чтобы заставить КСО работать, «Sushi-City» необходимо будет действовать, концентрируясь по
следующим направлениям (таблица 9):
Таблица 9
Направления для совершенствования стандартов обслуживания, рекомендуемых
компании «Sushi-City»
|
Категория улучшений
|
Аспект для совершенствования
|
Описание, характеристика
|
|
А. Активное внедрение/обновление корпоративных стандартов
обслуживания (КСО)
|
Обучение основам применения КСО
|
Обучение алгоритмам оптимального взаимодействия персонала с
клиентами в типовых ситуациях
|
|
Наложение на сотрудников корпоративной ответственности за
соблюдение КСО
|
Распространение среди персонала брошюр-памяток по
алгоритмам взаимодействия с потребителями
|
|
Б. Поддержание актуальности КСО
|
Аттестация персонала
|
Ежеквартальный контроль знаний персонала на предмет КСО
|
|
КСО - как один из центральных объектов внимания руководства
«Sushi-City»
|
Вынесение КСО на регулярные обсуждения в рамках
корпоративных совещаний
|
|
В. Распространение КСО
|
Передача опыта, преемственность
|
Активная и регулярная ротация кадров
|
|
Повышение дисциплины
|
Укрепление коммуникаций между всеми точками
|
Согласно интервью с Романом Арсухиным, для создания долгосрочных
отношений с клиентами исключительно важно производить верное первое впечатление
- как на уровне предлагаемой продукции, так и на уровне предоставления всего
комплекса сопроводительных услуг. Это невозможно без четкого понимания всеми
сотрудниками своих функций и оптимального пути их исполнения через КСО.
Следовательно, можно заключить, что гипотеза №3 (формулировка: «компании
требуется активно внедрять корпоративные стандарты обслуживания и поддерживать
их соблюдение для укрепления лояльности клиентов») подтверждена на основе
экспертного опыта.
Таким образом, получив подтверждение последней исследовательской
гипотезы, поставленной в данной диссертационной работе, а также раскрыв тему
текущего состояния факторов обслуживания в компании «Sushi-City»
и сформировав ряд рекомендаций к дальнейшим действиям, направленным на
совершенствование подхода компании к обслуживанию клиентов, настоящее
практическое исследование можно признать завершенным и результативным.
ЗАКЛЮЧЕНИЕ
В ходе работы над данной магистерской диссертацией были успешно осуществлены
все поставленные изначально исследовательские задачи.
Анализ литературы позволил установить, какие взгляды на модели
формирования клиентской лояльности в сфере услуг актуальны в настоящее время.
Большинство из данных моделей основаны на взаимосвязях факторов обслуживания
(удовлетворенность, доверие потребителей, быстрота обслуживания, имидж
компании, экономические барьеры перехода между поставщиками услуг и прочие
факторы) с уровнем лояльности клиентов, который и является результатом
положительного или отрицательного влияния этих факторов. Компания может
использовать данные факторы в качестве рычагов воздействия на лояльность
клиентов, тем самым выстраивая прочные, долгосрочные отношения с ними [45; с.
29-32].
Одним из наиболее распространенных способов оказания созидательного
воздействия на лояльность клиентов является применение компанией корпоративных
стандартов обслуживания (КСО) - специализированных инструкций для персонала,
направленных на комплексное повышение качества обслуживания и поддержание его в
данном состоянии [20; с. 64].
Исследовательские гипотезы данной работы, отражающие как авторский
интерес, так и актуальные проблемы в исследуемой области менеджмента и
маркетинга, были сконцентрированы:
· На выявлении набора факторов обслуживания, влияющих на лояльность
клиентов компании;
· На проверке наличия и измерении тесноты взаимосвязи между
лояльностью клиентов и факторами обслуживания со стороны компании;
· На установлении важности корпоративных стандартов
обслуживания в отношении формирования лояльности.
Каждая из гипотез получила свое подтверждение по ходу работы над
диссертацией. Гипотезы носят прикладной характер, а потому выводы по ним имеют
практическую ценность. В случае с компанией «Sushi-City»,
набор факторов обслуживания, оказывающих влияние на лояльность, в соответствии
с их приоритетом, принял следующий вид (в порядке убывания влияния на уровень
лояльности):
. Имидж и фирменный стиль магазинов и сотрудников
2. Дисциплинированность администраторов при обслуживании
. Скорость обслуживания
. Эмоциональное удовлетворение от общения с администраторами
. Следование выбору друзей и родственников
. Доверие к компании (по качеству обслуживания)
. Акции, предложения и дополнения к заказам
. Общая удовлетворенность результатом обслуживания
. Воспринимаемая ценность обслуживания (затраты и результат)
. Альтернативы в других ценовых сегментах рынка (конкуренты)
Данный список является краткой иллюстрацией важнейшего результата данного
исследования. По нему наглядно видно, на каких аспектах развития лояльности
руководству компании требуется концентрировать усилия, и где действительно
расположены эффективные рычаги влияния на лояльность потребителей. Адаптируя
корпоративные стандарты обслуживания под данную схему, компания «Sushi-City» может ожидать ощутимого укрепления долгосрочных
отношений с клиентами на рынке Санкт-Петербурга.
На момент завершения работы на данной диссертацией, руководство компании
уже располагает описанными выше данными, осуществляет оценку и планирует их
внедрение.
Таким образом, подводя общий итог по проведенной работе, можно
утверждать, что исследовательская цель настоящей работы была достигнута
успешно. При этом необходимо отметить, что в теме потребительской лояльности (и
смежных темах) присутствует большое количество перспективных направлений для
будущих научных изысканий, среди которых:
· Изучение моделей распространения мнений относительно качества продуктов и
услуг среди социальных групп;
· Разработки стратегий по исправлению имиджа и корректировки
образа действий компаний после событий, повлекших снижение их репутации среди
потребителей (B2C-рынки) или партнеров (B2B-рынки);
· Аспекты этики и безопасности при сборе, анализе и
использовании персональных данных клиентов.
СПИСОК
ИСПОЛЬЗОВАННЫХ ИСТОЧНИКОВ
1. Аксельрод,
Д. Сложно ли оценить лояльность? // Маркетинговые коммуникации, 05(29)2005,
c.21-24.
2. Багиев
Г.Л.; Тарасевич В.М. Маркетинг: Учебник для вузов, 3-е издание // СПб:
издательство «Питер», 2010, 576 с.
. Балашов,
А.А.; Губанова, А.А. Программы лояльности на транспортном рынке и место
бенчмаркинга в определении схемы построения программ лояльности // Маркетинг и
маркетинговые исследования, 03(93)2011, c.242-252.
. Борисова,
С.Г. Управление лояльностью потребителей образовательной организации как
маркетинговым активом // Маркетинг услуг, 04(36)2013, c.278-295.
. И
Тинг Ю; Элисон Дин. Влияние эмоциональной удовлетворенности на лояльность
потребителя // Менеджмент дайджест, 01(01)2004, c.28-42.
. Карасев,
А.П. Разработка факторной модели лояльности для рынка услуг сотовой связи //
Маркетинг и маркетинговые исследования, 02(74)2008, c.98-111.
. Козейчук,
Д.А. Феномен антилояльности потребителей в системе управления брендами //
Бренд-менеджмент, 03(46)2009, c.146-152.
. Палавин,
К.В. Правила работы с клиентами, обеспечивающие их лояльность. // Маркетинг и
маркетинговые исследования, 02(86)2010, c.120-124.
. Седов,
А.В. Анализ ключевых факторов лояльности персонала на примере автохолдинга
«Максимум» [Текст]: выпускная квалификационная работа: 06.06.2014 // Седов
Артем Владимирович; НИУ ВШЭ СПб, 2014. 77 с.
. Седов,
А.В. Исследование лояльности потребителей и разработка корпоративных стандартов
обслуживания [Текст]: курсовая работа: 11.03.2015 // Седов Артем Владимирович;
НИУ ВШЭ СПб, 2015. 50 с.
. Скляр,
Е.Н.; Яшкина П.В. Методики оценки лояльности потребителей. Использование
NPS-метода при анализе клиентской лояльности. // Маркетинг и маркетинговые
исследования, 01(97)2012, c.28-40.
. Скляр,
Е.Н.; Яшкина П.В. Формирование и реализация программ потребительской лояльности
для ОАО «Ростелеком». // Маркетинг и маркетинговые исследования, 02(110)2014,
c.126-138.
. Третьякова,
Т.С. Бонусные программы лояльности как эффективный инструмент маркетинговых
коммуникаций в ресторанном бизнесе // Маркетинговые коммуникации, 06(84)2014,
c.342-350.
. Цысарь,
А.В. Лояльность покупателей: основные определения, методы измерения, способы
управления // Маркетинг и маркетинговые исследования, 05(41)2002, c.55-61.
15. A
Three-Component Model of Customer Commitment to Service Providers. Bansal,
Harvir S; Irving, P Gregory; Taylor, Shirley F // Academy of Marketing Science.
Journal; Summer 2004; 32, 3; ABI/INFORM Global, pg. 234.
. Ability
of Experience Design Elements to Elicit Emotions and Loyalty Behaviors.
Pullman, Madeleine E; Gross, Michael A // Decision Sciences; Summer 2004; 35,
3; ABI/INFORM Global, pg. 551.
. Brand
Service Quality, Satisfaction, Trust and Preference as Predictors of Consumer
Brand Loyalty in the Retailing Industry. Richard Chinomona; Donald Mahlangu;
David Pooe // Mediterranean Journal of Social Sciences, Vol 4, No 14, November
2013, p. 181-190.
. Clayton
L. Daughtrey; Nicole S. Vowles; Gregory S. Black (2013). The Effects of
Membership and Demographics on Consumer Satisfaction and Loyalty in Service
Organizations // Services Marketing Quarterly, 34:4, p. 292-308.
. Co-production
and customer loyalty in financial services. Seigyoung Auh, Simon J. Bell, Colin
S. McLeod, Eric Shih // Journal of Retailing 83 (3, 2007) 359-370.
. Creating
consumer durable retailer customer loyalty through order fulfillment service
operations. Beth Davis-Sramek; John T. Mentzer; Theodore P. Stank // Journal of
Operations Management 26 (2008) 781-797.
. Customer
Loyalty Assessment: A Case Study in MADDIRAN, the Distributor of LG Electronics
in Iran. Ali Dehghan; Arash Shahin // Business Management and Strategy; 2011,
Vol. 2, No. 1: E2, p. 3-25.
. Customer
Perceived Value, Satisfaction, and Loyalty: The Role of Switching Costs. Zhilin
Yang; Robin T. Peterson // Psychology & Marketing, Vol. 21(10): p. 799-822
(October 2004).
. Customer
Relationship Dynamics: Service Quality and Customer Loyalty. Bell, Simon J;
Auh, Seigyoung; Smalley, Karen // Academy of Marketing Science. Journal; Spring
2005; 33, 2; ABI/INFORM Global, pg. 169.
. Customer
Value, Satisfaction, Loyalty and Switching Costs. Shun Yin Lam; Shankar,
Venkatesh; Erramilli, M Krishna; Murthy, Bvsan // Academy of Marketing Science.
Journal; Summer 2004; 32, 3; ABI/INFORM Global, pg. 293.
. Do
reward programs build loyalty for services? The moderating effect of
satisfaction on type and timing of rewards. Hean Tat Keh; Yih Hwai Lee //
Journal of Retailing 82 (2, 2006) 127-136.
. Dr.
Nandini Shekhar; Dr. D.N.S. Kumar. Perspectives Envisaging Employee Loyalty: A
Case Analysis. - Christ University of Bangalore, 2011, 23 pages.
. Elizabeth
A. Hoffmann. Exit and Voice: Organizational Loyalty and Dispute Resolution
Strategies // Social Forces, Volume 84, Number 4, June 2006, pp. 2313-2330.
. Employee
loyalty, service quality and firm performance in the service industry / Rachel
W.Y. Yee, Andy C.L. Yeung, T.C. Edwin Cheng. Int. J. Production Economics,
volume 124, 2010, pp. 109-120.
. Examining
relationships between leisure involvement, psychological commitment and loyalty
to a recreation agency. Yoshi Iwasaki; Mark E. Havitz // Journal of Leisure
Research, 2004, vol. 36, №1, p. 45-72.
. Frank
Mulhern; Don Schultz. Internal Marketing: Best Practice Study // Forum for
People Performance Management and Measurement, Northwestern University (IL), 2013,
17 pages.
. George
D. Randels, Jr. Loyalty, Corporations and Community // Business Ethics
Quarterly, Vol. 11, No. 1 (Jan., 2001), pp. 27-39.
. Gordon
Fullerton. The service quality-loyalty relationship in retail services: does
commitment matter? // Journal of Retailing and Consumer Services 12 (2005)
99-111.
. Hooi
Lai Wan. Employee Loyalty at the Workplace: The Impact of Japanese Style of
Human Resource Management // International Journal of Applied HRM. - 2012. -
volume 3, issue 1. - pp. 111-135.
34. How Organizational Complaint
Handling Drives Customer Loyalty: An Analysis of the Mechanistic and the
Organic Approach. Christian Homburg; Andreas Fürst // Journal of
Marketing, Vol. 69 (July 2005), 95-114.
. How
quality, value, image, and satisfaction create loyalty at a Chinese telecom.
Fujun Lai; Mitch Griffin; Barry J. Babin // Journal of Business Research 62
(2009) 980-986.
. Hsin-Hui
(Sunny) Hu; Jay Kandampully & Thanika Devi Juwaheer (2009). Relationships
and impacts of service quality, perceived value, customer satisfaction, and
image: an empirical study // The Service Industries Journal, 29:2, 111-125.
. Huseyin
Kanibir; Sima Nart. The Effects of Internal Relationship Marketing on Superior
Customer Relations as Competitive Performance: Evidence from Healthcare
Industry // Procedia - Social and Behavioral Sciences, volume 58, 2012, pp.
1378-1385.
. Investigating
the service brand: A customer value perspective. Roderick J. Brodie; James R.M.
Whittome; Gregory J. Brush // Journal of Business Research 62 (2009) 345-355.
. John
Corvino. Loyalty in Business // Journal of Business Ethics, Vol. 41, No. 1/2;
The Role of the Business Person in the Fabric of Society (Nov. - Dec., 2002),
pp. 179-185.
. John
H. Fielder. Organizational Loyalty // Business & Professional Ethics
Journal, Vol. 11, No. 1 (Spring, 1992), pp. 71-90.
. Jukka
Varelius. Is Whistle-blowing Compatible with Employee Loyalty? // Journal of
Business Ethics (2009) 85, pp. 263-275.
. Linking
Organizational Resources and Work Engagement to
Employee Performance and Customer Loyalty: The Mediation of Service Climate.
Marisa Salanova; Sonia Agut; Jose Marıa Peiro // Journal of Applied
Psychology, 2005, Vol. 90, No. 6, 1217-1227.
43. Mane
Hajdin. Employee Loyalty: An Examination // Journal of Business Ethics, Vol.
59, No. 3 (Jul., 2005), pp. 259-280.
. McGregor,
Douglas. The Human Side of Enterprise (1957) // Reflections. - 2009. - volume
2, number 1. - pp. 20-22.
. Miguel
Pina E. Cunha. Managing Employee Loyalty in a Knowledge-Intensive Company //
Universidade Nova de Lisboa, 2002, 32 pages.
. Panteleeva,
E.; Oyner O. Corporate Brand Values Perception Gap Analysis as an Internal
Marketing Management System Assessment Tool // HSE Working Paper. - Management.
- 2012. - 14 pages.
. Paolo
Guenzi; Ottavia Pelloni (2004). The impact of interpersonal relationships on
customer satisfaction and loyalty to the service provider // International
Journal of Service Industry Management, Vol. 15 Iss. 4, pp. 365-384.
. Satisfaction
Strength and Customer Loyalty. Murali Chandrashekaran; Kristin Rotte; Stephen
S. Tax; Rajdeep Grewal // Journal of Marketing Research, Vol. XIV (February
2007), 153-163.
. Service
personalization and loyalty. Dwayne Ball; Pedro S. Coelho; Manuel J. Vilares //
Journal of Services Marketing, 20/6 (2006), p. 391-403.
. Social
Identity and the Service-Profit Chain. Christian Homburg; Jan Wieseke; Wayne D.
Hoyer // Journal of Marketing, Vol. 73 (March 2009), p. 38-54.
. The
effects of customer satisfaction and switching barrier on customer loyalty in
Korean mobile telecommunication services. Moon-Koo Kima; Myeong-Cheol Park;
Dong-Heon Jeong // Telecommunications Policy, 28 (2004), p. 145-159.
. The
relationships among service quality, perceived value, customer satisfaction and
post-purchase intention in mobile value-added services. Ying-Feng Kuo; Chi-Ming
Wu; Wei-Jaw Deng // Computers in Human Behavior 25 (2009) 887-896.
. Towards
an understanding of total service quality in hotels. Hugh Wilkins; Bill Merrilees;
Carmel Herington // Hospitality Management 26 (2007) 840-853.
ПРИЛОЖЕНИЕ А
Анкета для опроса потребителей компании «Sushi-City»
(образец; направленность опроса: уровень лояльности, факторы обслуживания, КСО)
Опрос гостей магазинов сети Sushi-City
Мы приветствуем Вас и предлагаем принять участие во внутреннем
исследовании, целью которого является повышение нашего соответствия Вашим
ожиданиям и запросам. Пожалуйста, ответьте на следующий ряд вопросов, связанных
с обслуживанием в наших магазинах:
Вопрос 1: Первое ли это Ваше посещение магазина сети Sushi-City?
да
нет
Вопрос 2: Какова вероятность, что Вы будете рекомендовать продукцию и
услуги Sushi-City своим знакомым и/или родственникам?
|
Точно не станете рекомендовать
|
1
|
2
|
3
|
4
|
5
|
6
|
7
|
Обязательно порекомендуете
|
Вопрос 3: Оцените Вашу общую удовлетворенность оказанными в магазинах Sushi-City услугами:
|
Абсолютно не удовлетворены
|
1
|
2
|
3
|
4
|
5
|
6
|
7
|
Полностью удовлетворены
|
Вопрос 4: По Вашему мнению, приобретенная еда и оказанные услуги стоили
потраченных на них денег?
|
Пришлось явно переплатить
|
1
|
2
|
3
|
4
|
5
|
6
|
7
|
Потраченные деньги были полностью оправданы
|
Вопрос 5: Доверите ли Вы компании Sushi-City в
будущем обслужить Вас снова?
|
Ни в коем случае, другая компания будет явно
предпочтительнее
|
1
|
2
|
3
|
4
|
5
|
6
|
7
|
Точно обратитесь в Sushi-City в следующий раз
|
Вопрос 6: Насколько Вас удовлетворила скорость оказания услуг в Sushi-City?
|
Возмущены медлительностью обслуживания
|
1
|
2
|
3
|
4
|
5
|
6
|
7
|
Полностью довольны оперативностью обслуживания
|
Вопрос 7: Как повлиял имидж (фирменный образ, стиль) компании Sushi-City на Ваше восприятие обслуживания?
|
Образ магазина и сотрудников был весьма неприятен
|
1
|
2
|
3
|
4
|
5
|
6
|
7
|
Образ магазина и сотрудников вызвал самые положительные
эмоции
|
Вопрос 8: В следующий раз Вы бы обратились в магазины Sushi-City или рассмотрели бы магазины с более низкими (либо
более высокими) ценами?
|
Точно бы не рассматривали более магазины Sushi-City
|
1
|
2
|
3
|
4
|
5
|
6
|
7
|
Определенно бы снова обратились в магазины Sushi-City
|
Вопрос 9: Ваши знакомые и/или родственники также пользуются услугами Sushi-City?
|
Не слышали, чтобы кто-то из знакомых/родственников
пользовался услугами Sushi-City
|
1
|
2
|
3
|
4
|
5
|
6
|
7
|
Знакомые/родственники часто пользуются услугами Sushi-City
|
Вопрос 10: Рассказал ли Вам сотрудник Sushi-City о
проходящих акциях, предложил ли что-либо дополнительно к Вашему заказу?
|
Нет, разговор с сотрудником был коротким и неясным
|
1
|
2
|
3
|
4
|
5
|
6
|
7
|
Да, при разговоре явно чувствовалась осведомленность и
грамотность
|
Вопрос 11: Оцените эффективность работы (дисциплинированность,
отвлекаемость) сотрудников Sushi-City, обслуживающих Вас:
|
Действия были совершенно не эффективны и не профессиональны
|
1
|
2
|
3
|
4
|
5
|
6
|
7
|
Действия сотрудников были максимально отлажены и грамотны
|
Вопрос 12: Остались ли Вы довольны общением с сотрудниками магазина Sushi-City?
|
Были разочарованы взаимодействием с сотрудниками
|
1
|
2
|
3
|
4
|
5
|
6
|
7
|
Остались довольны взаимодействием с сотрудниками
|
Дополнительная информация:
Ваш пол: мужской □ женский □
Ваш возраст (отметьте интервал):
|
18-25
|
26-30
|
31-40
|
41-50
|
51-60
|
61-70
|
71-80
|
|
|
|
|
|
|
|
Ваш образование (отметьте уровень):
|
Среднее общее
|
Среднее специальное
|
Высшее
|
|
Напишите номер Вашей дисконтной карты для получения 100
бонусных баллов:
|
|
|
|
|
|
Благодарим Вас за участие в исследовании!
ПРИЛОЖЕНИЕ Б
Частные расчеты по фактору лояльности №1 - Оценка общей удовлетворенности
обслуживанием
|
n
|
y
|
x1
|
x1y
|
x1²
|
y²
|
ŷ1
|
ŷ1²
|
|
1
|
7
|
4
|
28
|
16
|
49
|
5,17
|
26,75
|
|
2
|
7
|
5
|
35
|
25
|
49
|
5,55
|
30,82
|
|
3
|
7
|
7
|
49
|
49
|
49
|
6,31
|
39,84
|
|
4
|
6
|
7
|
42
|
49
|
36
|
6,31
|
39,84
|
|
5
|
7
|
6
|
42
|
36
|
49
|
5,93
|
35,18
|
|
6
|
7
|
6
|
42
|
36
|
49
|
5,93
|
35,18
|
|
7
|
7
|
5
|
35
|
25
|
49
|
5,55
|
30,82
|
|
8
|
7
|
6
|
42
|
36
|
49
|
5,93
|
35,18
|
|
9
|
7
|
7
|
49
|
49
|
49
|
6,31
|
39,84
|
7
|
3
|
21
|
9
|
49
|
4,79
|
22,96
|
|
11
|
4
|
6
|
24
|
36
|
16
|
5,93
|
35,18
|
|
12
|
7
|
7
|
49
|
49
|
49
|
6,31
|
39,84
|
|
13
|
6
|
7
|
42
|
49
|
36
|
6,31
|
39,84
|
|
14
|
7
|
6
|
42
|
36
|
49
|
5,93
|
35,18
|
|
15
|
7
|
7
|
49
|
49
|
49
|
6,31
|
39,84
|
|
16
|
6
|
6
|
36
|
36
|
36
|
5,93
|
35,18
|
|
17
|
5
|
6
|
30
|
36
|
25
|
5,93
|
35,18
|
|
18
|
7
|
7
|
49
|
49
|
49
|
6,31
|
39,84
|
|
19
|
5
|
6
|
30
|
36
|
25
|
5,93
|
35,18
|
|
20
|
5
|
6
|
30
|
36
|
25
|
5,93
|
35,18
|
|
21
|
6
|
6
|
36
|
36
|
36
|
5,93
|
35,18
|
|
22
|
7
|
7
|
49
|
49
|
49
|
6,31
|
39,84
|
|
23
|
4
|
5
|
20
|
25
|
16
|
5,55
|
30,82
|
|
24
|
7
|
7
|
49
|
49
|
49
|
6,31
|
39,84
|
|
25
|
7
|
6
|
42
|
36
|
49
|
5,93
|
35,18
|
|
26
|
7
|
7
|
49
|
49
|
49
|
6,31
|
39,84
|
|
27
|
4
|
5
|
20
|
25
|
16
|
5,55
|
30,82
|
|
28
|
7
|
7
|
49
|
49
|
49
|
6,31
|
39,84
|
|
29
|
4
|
4
|
16
|
16
|
16
|
5,17
|
26,75
|
|
30
|
7
|
7
|
49
|
49
|
49
|
6,31
|
39,84
|
|
31
|
7
|
7
|
49
|
49
|
49
|
6,31
|
39,84
|
|
32
|
6
|
7
|
42
|
49
|
36
|
6,31
|
39,84
|
|
33
|
4
|
7
|
28
|
49
|
16
|
6,31
|
39,84
|
|
34
|
5
|
7
|
35
|
49
|
25
|
6,31
|
39,84
|
|
35
|
1
|
7
|
7
|
49
|
1
|
6,31
|
39,84
|
|
36
|
7
|
7
|
49
|
49
|
49
|
6,31
|
39,84
|
|
37
|
7
|
7
|
49
|
49
|
49
|
6,31
|
39,84
|
|
38
|
7
|
7
|
49
|
49
|
49
|
6,31
|
39,84
|
|
39
|
5
|
5
|
25
|
25
|
25
|
5,55
|
30,82
|
|
40
|
7
|
7
|
49
|
49
|
49
|
6,31
|
39,84
|
|
41
|
7
|
7
|
49
|
49
|
49
|
6,31
|
39,84
|
|
42
|
7
|
7
|
49
|
49
|
49
|
6,31
|
39,84
|
|
43
|
6
|
6
|
36
|
36
|
36
|
5,93
|
35,18
|
|
44
|
6
|
6
|
36
|
36
|
36
|
5,93
|
35,18
|
|
45
|
4
|
6
|
24
|
36
|
16
|
5,93
|
35,18
|
|
46
|
5
|
5
|
25
|
25
|
25
|
5,55
|
30,82
|
|
47
|
7
|
7
|
49
|
49
|
49
|
6,31
|
39,84
|
|
48
|
7
|
6
|
42
|
36
|
49
|
5,93
|
35,18
|
|
49
|
3
|
5
|
15
|
25
|
9
|
5,55
|
30,82
|
|
50
|
4
|
5
|
20
|
25
|
16
|
5,55
|
30,82
|
|
∑
|
300,00
|
309,00
|
1872,00
|
1957,00
|
1896,00
|
300,00
|
1806,84
|
|
Сред.
|
6,00
|
6,18
|
37,44
|
39,14
|
37,92
|
6,00
|
36,14
|
|
Медиана
|
7,00
|
6,00
|
|
|
|
|
|
|
a
|
b
|
|
|
|
|
|
|
|
3,65
|
0,38
Частные расчеты по фактору лояльности №2 - Оценка воспринимаемой ценности
оказанных услуг
|
n
|
y
|
x2
|
x2y
|
x2²
|
y²
|
ŷ2
|
ŷ2²
|
|
1
|
7
|
7
|
49
|
49
|
49
|
6,31
|
39,78
|
|
2
|
7
|
4
|
28
|
16
|
49
|
5,37
|
28,80
|
|
3
|
7
|
5
|
35
|
25
|
49
|
5,68
|
32,26
|
|
4
|
6
|
5
|
30
|
25
|
36
|
5,68
|
32,26
|
|
5
|
7
|
4
|
28
|
16
|
49
|
5,37
|
28,80
|
|
6
|
7
|
7
|
49
|
49
|
49
|
6,31
|
39,78
|
|
7
|
7
|
5
|
35
|
25
|
49
|
5,68
|
32,26
|
|
8
|
7
|
5
|
35
|
25
|
49
|
5,68
|
32,26
|
|
9
|
7
|
4
|
28
|
16
|
49
|
5,37
|
28,80
|
|
10
|
7
|
5
|
35
|
25
|
49
|
5,68
|
32,26
|
|
11
|
4
|
6
|
24
|
36
|
16
|
5,99
|
35,92
|
|
12
|
7
|
7
|
49
|
49
|
49
|
6,31
|
39,78
|
|
13
|
6
|
7
|
42
|
49
|
36
|
6,31
|
39,78
|
|
14
|
7
|
7
|
49
|
49
|
49
|
6,31
|
39,78
|
|
15
|
7
|
7
|
49
|
49
|
49
|
6,31
|
39,78
|
|
16
|
6
|
5
|
30
|
25
|
36
|
5,68
|
32,26
|
|
17
|
5
|
6
|
30
|
36
|
25
|
5,99
|
35,92
|
|
18
|
7
|
6
|
42
|
36
|
49
|
5,99
|
35,92
|
|
19
|
5
|
6
|
30
|
36
|
25
|
5,99
|
35,92
|
|
20
|
5
|
7
|
35
|
49
|
25
|
6,31
|
39,78
|
|
21
|
6
|
6
|
36
|
36
|
36
|
5,99
|
35,92
|
|
22
|
7
|
7
|
49
|
49
|
49
|
6,31
|
39,78
|
|
23
|
4
|
5
|
20
|
25
|
16
|
5,68
|
32,26
|
|
24
|
7
|
5
|
35
|
25
|
49
|
5,68
|
32,26
|
|
25
|
7
|
7
|
49
|
49
|
49
|
6,31
|
39,78
|
|
26
|
7
|
7
|
49
|
49
|
49
|
6,31
|
39,78
|
|
27
|
4
|
6
|
24
|
36
|
16
|
5,99
|
35,92
|
|
28
|
7
|
7
|
49
|
49
|
49
|
6,31
|
39,78
|
|
29
|
4
|
5
|
20
|
25
|
16
|
5,68
|
32,26
|
|
30
|
7
|
7
|
49
|
49
|
49
|
6,31
|
39,78
|
|
31
|
7
|
7
|
49
|
49
|
49
|
6,31
|
39,78
|
|
32
|
6
|
7
|
42
|
49
|
36
|
6,31
|
39,78
|
|
33
|
4
|
7
|
28
|
49
|
16
|
6,31
|
39,78
|
|
34
|
5
|
7
|
35
|
49
|
25
|
6,31
|
39,78
|
|
35
|
1
|
7
|
7
|
49
|
1
|
6,31
|
39,78
|
|
36
|
7
|
7
|
49
|
49
|
49
|
6,31
|
39,78
|
|
37
|
7
|
7
|
49
|
49
|
49
|
6,31
|
39,78
|
|
38
|
7
|
7
|
49
|
49
|
49
|
6,31
|
39,78
|
|
39
|
5
|
5
|
25
|
25
|
25
|
5,68
|
32,26
|
|
40
|
7
|
7
|
49
|
49
|
49
|
6,31
|
39,78
|
|
41
|
7
|
7
|
49
|
49
|
49
|
6,31
|
39,78
|
|
42
|
7
|
7
|
49
|
49
|
49
|
6,31
|
39,78
|
|
43
|
6
|
7
|
42
|
49
|
6,31
|
39,78
|
|
44
|
6
|
6
|
36
|
36
|
36
|
5,99
|
35,92
|
|
45
|
4
|
5
|
20
|
25
|
16
|
5,68
|
32,26
|
|
46
|
5
|
5
|
25
|
25
|
25
|
5,68
|
32,26
|
|
47
|
7
|
7
|
49
|
49
|
49
|
6,31
|
39,78
|
|
48
|
7
|
6
|
42
|
36
|
49
|
5,99
|
35,92
|
|
49
|
3
|
3
|
9
|
9
|
9
|
5,05
|
25,53
|
|
50
|
4
|
3
|
12
|
9
|
16
|
5,05
|
25,53
|
|
∑
|
300,00
|
301,00
|
1827,00
|
1879,00
|
1896,00
|
300,00
|
1806,58
|
|
Сред.
|
6,00
|
6,02
|
36,54
|
37,58
|
37,92
|
6,00
|
36,13
|
|
Медиана
|
7,00
|
6,50
|
|
|
|
|
|
|
a
|
b
|
|
|
|
|
|
|
|
4,11
|
0,31
|
|
|
|
|
|
|
ПРИЛОЖЕНИЕ Г
Частные расчеты по фактору лояльности №3 - Оценка потребительского
доверия к компании
|
n
|
y
|
x3
|
x3y
|
x3²
|
y²
|
ŷ3
|
ŷ3²
|
|
1
|
7
|
7
|
49
|
49
|
49
|
6,33
|
40,12
|
|
2
|
7
|
6
|
42
|
36
|
49
|
5,88
|
34,61
|
|
3
|
7
|
5
|
35
|
25
|
49
|
5,43
|
29,50
|
|
4
|
6
|
6
|
36
|
36
|
36
|
5,88
|
34,61
|
|
5
|
7
|
7
|
49
|
49
|
49
|
6,33
|
40,12
|
|
6
|
7
|
6
|
42
|
36
|
49
|
5,88
|
34,61
|
|
7
|
7
|
7
|
49
|
49
|
49
|
6,33
|
40,12
|
|
8
|
7
|
7
|
49
|
49
|
49
|
6,33
|
40,12
|
|
9
|
7
|
7
|
49
|
49
|
49
|
6,33
|
40,12
|
|
10
|
7
|
5
|
35
|
25
|
49
|
5,43
|
29,50
|
|
11
|
4
|
7
|
28
|
49
|
16
|
6,33
|
40,12
|
|
12
|
7
|
7
|
49
|
49
|
49
|
6,33
|
40,12
|
|
13
|
6
|
7
|
42
|
49
|
36
|
6,33
|
40,12
|
|
14
|
7
|
7
|
49
|
49
|
49
|
6,33
|
40,12
|
|
15
|
7
|
5
|
35
|
25
|
49
|
5,43
|
29,50
|
|
16
|
6
|
6
|
36
|
36
|
36
|
5,88
|
34,61
|
|
17
|
5
|
7
|
35
|
49
|
25
|
6,33
|
40,12
|
|
18
|
7
|
7
|
49
|
49
|
49
|
6,33
|
40,12
|
|
19
|
5
|
7
|
35
|
49
|
25
|
6,33
|
40,12
|
|
20
|
5
|
7
|
35
|
49
|
25
|
6,33
|
40,12
|
|
21
|
6
|
6
|
36
|
36
|
36
|
5,88
|
34,61
|
|
22
|
7
|
4
|
28
|
16
|
49
|
4,98
|
24,80
|
|
23
|
4
|
6
|
24
|
36
|
16
|
5,88
|
34,61
|
|
24
|
7
|
7
|
49
|
49
|
49
|
6,33
|
40,12
|
|
25
|
7
|
7
|
49
|
49
|
49
|
6,33
|
40,12
|
|
26
|
7
|
7
|
49
|
49
|
49
|
6,33
|
40,12
|
|
27
|
4
|
6
|
24
|
36
|
16
|
5,88
|
34,61
|
|
28
|
7
|
7
|
49
|
49
|
49
|
6,33
|
40,12
|
|
29
|
4
|
4
|
16
|
16
|
16
|
4,98
|
24,80
|
|
30
|
7
|
7
|
49
|
49
|
49
|
6,33
|
40,12
|
|
31
|
7
|
6
|
42
|
36
|
49
|
5,88
|
34,61
|
|
32
|
6
|
7
|
42
|
49
|
36
|
6,33
|
40,12
|
|
33
|
4
|
7
|
49
|
16
|
6,33
|
40,12
|
|
34
|
5
|
5
|
25
|
25
|
25
|
5,43
|
29,50
|
|
35
|
1
|
7
|
7
|
49
|
1
|
6,33
|
40,12
|
|
36
|
7
|
7
|
49
|
49
|
49
|
6,33
|
40,12
|
|
37
|
7
|
7
|
49
|
49
|
49
|
6,33
|
40,12
|
|
38
|
7
|
7
|
49
|
49
|
49
|
6,33
|
40,12
|
|
39
|
5
|
5
|
25
|
25
|
25
|
5,43
|
29,50
|
|
40
|
7
|
7
|
49
|
49
|
49
|
6,33
|
40,12
|
|
41
|
7
|
7
|
49
|
49
|
49
|
6,33
|
40,12
|
|
42
|
7
|
6
|
42
|
36
|
49
|
5,88
|
34,61
|
|
43
|
6
|
7
|
42
|
49
|
36
|
6,33
|
40,12
|
|
44
|
6
|
6
|
36
|
36
|
36
|
5,88
|
34,61
|
|
45
|
4
|
5
|
20
|
25
|
16
|
5,43
|
29,50
|
|
46
|
5
|
5
|
25
|
25
|
25
|
5,43
|
29,50
|
|
47
|
7
|
7
|
49
|
49
|
49
|
6,33
|
40,12
|
|
48
|
7
|
7
|
49
|
49
|
49
|
6,33
|
40,12
|
|
49
|
3
|
2
|
6
|
4
|
9
|
4,08
|
16,63
|
|
50
|
4
|
5
|
20
|
25
|
16
|
5,43
|
29,50
|
|
∑
|
300,00
|
313,00
|
1904,00
|
2017,00
|
1896,00
|
300,00
|
1811,73
|
|
Сред.
|
6,00
|
6,26
|
38,08
|
40,34
|
37,92
|
6,00
|
36,23
|
|
Медиана
|
7,00
|
7,00
|
|
|
|
|
|
|
a
|
b
|
|
|
|
|
|
|
|
3,18
|
0,45
|
|
|
|
|
|
|
ПРИЛОЖЕНИЕ Д
Частные расчеты по фактору лояльности №4 - Оценка скорости обслуживания
|
n
|
y
|
x4
|
x4y
|
x4²
|
y²
|
ŷ4
|
ŷ4²
|
|
1
|
7
|
7
|
49
|
49
|
49
|
6,56
|
43,07
|
|
2
|
7
|
5
|
35
|
25
|
49
|
5,22
|
27,27
|
|
3
|
7
|
5
|
35
|
25
|
49
|
5,22
|
27,27
|
|
4
|
6
|
7
|
42
|
49
|
36
|
6,56
|
43,07
|
|
5
|
7
|
7
|
49
|
49
|
49
|
6,56
|
43,07
|
|
6
|
7
|
7
|
49
|
49
|
49
|
6,56
|
43,07
|
|
7
|
7
|
7
|
49
|
49
|
49
|
6,56
|
43,07
|
|
8
|
7
|
6
|
42
|
36
|
49
|
5,89
|
34,72
|
|
9
|
7
|
7
|
49
|
49
|
49
|
6,56
|
43,07
|
|
10
|
7
|
7
|
49
|
49
|
49
|
6,56
|
43,07
|
|
11
|
4
|
7
|
28
|
49
|
16
|
6,56
|
43,07
|
|
12
|
7
|
7
|
49
|
49
|
49
|
6,56
|
43,07
|
|
13
|
6
|
7
|
42
|
49
|
36
|
6,56
|
43,07
|
|
14
|
7
|
6
|
42
|
36
|
49
|
5,89
|
34,72
|
|
15
|
7
|
7
|
49
|
49
|
49
|
6,56
|
43,07
|
|
16
|
6
|
6
|
36
|
36
|
36
|
5,89
|
34,72
|
|
17
|
5
|
6
|
30
|
36
|
25
|
5,89
|
34,72
|
|
18
|
7
|
7
|
49
|
49
|
49
|
6,56
|
43,07
|
|
19
|
5
|
6
|
30
|
36
|
25
|
5,89
|
34,72
|
|
20
|
5
|
6
|
30
|
36
|
25
|
5,89
|
34,72
|
|
21
|
6
|
5
|
30
|
25
|
36
|
5,22
|
27,27
|
|
22
|
7
|
7
|
49
|
49
|
49
|
6,56
|
43,07
|
|
23
|
4
|
16
|
16
|
16
|
4,55
|
20,72
|
|
24
|
7
|
7
|
49
|
49
|
49
|
6,56
|
43,07
|
|
25
|
7
|
6
|
42
|
36
|
49
|
5,89
|
34,72
|
|
26
|
7
|
7
|
49
|
49
|
49
|
6,56
|
43,07
|
|
27
|
4
|
5
|
20
|
25
|
16
|
5,22
|
27,27
|
|
28
|
7
|
7
|
49
|
49
|
49
|
6,56
|
43,07
|
|
29
|
4
|
5
|
20
|
25
|
16
|
5,22
|
27,27
|
|
30
|
7
|
7
|
49
|
49
|
49
|
6,56
|
43,07
|
|
31
|
7
|
5
|
35
|
25
|
49
|
5,22
|
27,27
|
|
32
|
6
|
6
|
36
|
36
|
36
|
5,89
|
34,72
|
|
33
|
4
|
5
|
20
|
25
|
16
|
5,22
|
27,27
|
|
34
|
5
|
7
|
35
|
49
|
25
|
6,56
|
43,07
|
|
35
|
1
|
6
|
6
|
36
|
1
|
5,89
|
34,72
|
|
36
|
7
|
7
|
49
|
49
|
49
|
6,56
|
43,07
|
|
37
|
7
|
6
|
42
|
36
|
49
|
5,89
|
34,72
|
|
38
|
7
|
7
|
49
|
49
|
49
|
6,56
|
43,07
|
|
39
|
5
|
6
|
30
|
36
|
25
|
5,89
|
34,72
|
|
40
|
7
|
7
|
49
|
49
|
49
|
6,56
|
43,07
|
|
41
|
7
|
7
|
49
|
49
|
49
|
6,56
|
43,07
|
|
42
|
7
|
7
|
49
|
49
|
49
|
6,56
|
43,07
|
|
43
|
6
|
5
|
30
|
25
|
36
|
5,22
|
27,27
|
|
44
|
6
|
6
|
36
|
36
|
36
|
5,89
|
34,72
|
|
45
|
4
|
7
|
28
|
49
|
16
|
6,56
|
43,07
|
|
46
|
5
|
5
|
25
|
25
|
25
|
5,22
|
27,27
|
|
47
|
7
|
5
|
35
|
25
|
49
|
5,22
|
27,27
|
|
48
|
7
|
7
|
49
|
49
|
49
|
6,56
|
43,07
|
|
49
|
3
|
4
|
12
|
16
|
9
|
4,55
|
20,72
|
|
50
|
4
|
3
|
12
|
9
|
16
|
3,88
|
15,07
|
|
∑
|
300,00
|
308,00
|
1882,00
|
1948,00
|
1896,00
|
300,00
|
1822,79
|
|
Сред.
|
6,00
|
6,16
|
37,64
|
38,96
|
37,92
|
6,00
|
36,46
|
|
Медиана
|
7,00
|
6,50
|
|
|
|
|
|
|
a
|
b
|
|
|
|
|
|
|
|
1,87
|
0,67
|
|
|
|
|
|
|
ПРИЛОЖЕНИЕ Е
Частные расчеты по фактору лояльности №5 - Оценка роли имиджа компании в
обслуживании
|
n
|
y
|
x5
|
x5y
|
x5²
|
y²
|
ŷ5
|
ŷ5²
|
|
1
|
7
|
7
|
49
|
49
|
49
|
6,48
|
41,99
|
|
2
|
7
|
6
|
42
|
36
|
49
|
5,91
|
34,91
|
|
3
|
7
|
5
|
35
|
25
|
49
|
5,34
|
28,48
|
|
4
|
6
|
7
|
42
|
49
|
36
|
6,48
|
41,99
|
|
5
|
7
|
7
|
49
|
49
|
49
|
6,48
|
41,99
|
|
6
|
7
|
3
|
21
|
9
|
49
|
4,19
|
17,59
|
|
7
|
7
|
7
|
49
|
49
|
49
|
6,48
|
41,99
|
|
8
|
7
|
7
|
49
|
49
|
49
|
6,48
|
41,99
|
|
9
|
7
|
7
|
49
|
49
|
49
|
6,48
|
41,99
|
|
10
|
7
|
7
|
49
|
49
|
49
|
6,48
|
41,99
|
|
11
|
4
|
7
|
28
|
49
|
16
|
6,48
|
41,99
|
|
12
|
7
|
7
|
49
|
49
|
49
|
6,48
|
|
13
|
6
|
7
|
42
|
49
|
36
|
6,48
|
41,99
|
|
14
|
7
|
6
|
42
|
36
|
49
|
5,91
|
34,91
|
|
15
|
7
|
5
|
35
|
25
|
49
|
5,34
|
28,48
|
|
16
|
6
|
7
|
42
|
49
|
36
|
6,48
|
41,99
|
|
17
|
5
|
5
|
25
|
25
|
25
|
5,34
|
28,48
|
|
18
|
7
|
7
|
49
|
49
|
49
|
6,48
|
41,99
|
|
19
|
5
|
6
|
30
|
36
|
25
|
5,91
|
34,91
|
|
20
|
5
|
5
|
25
|
25
|
25
|
5,34
|
28,48
|
|
21
|
6
|
5
|
30
|
25
|
36
|
5,34
|
28,48
|
|
22
|
7
|
7
|
49
|
49
|
49
|
6,48
|
41,99
|
|
23
|
4
|
6
|
24
|
36
|
16
|
5,91
|
34,91
|
|
24
|
7
|
5
|
35
|
25
|
49
|
5,34
|
28,48
|
|
25
|
7
|
7
|
49
|
49
|
49
|
6,48
|
41,99
|
|
26
|
7
|
7
|
49
|
49
|
49
|
6,48
|
41,99
|
|
27
|
4
|
5
|
20
|
25
|
16
|
5,34
|
28,48
|
|
28
|
7
|
7
|
49
|
49
|
49
|
6,48
|
41,99
|
|
29
|
4
|
3
|
12
|
9
|
16
|
4,19
|
17,59
|
|
30
|
7
|
7
|
49
|
49
|
49
|
6,48
|
41,99
|
|
31
|
7
|
6
|
42
|
36
|
49
|
5,91
|
34,91
|
|
32
|
6
|
7
|
42
|
49
|
36
|
6,48
|
41,99
|
|
33
|
4
|
7
|
28
|
49
|
16
|
6,48
|
41,99
|
|
34
|
5
|
6
|
30
|
36
|
25
|
5,91
|
34,91
|
|
35
|
1
|
1
|
1
|
1
|
1
|
3,05
|
9,30
|
|
36
|
7
|
7
|
49
|
49
|
49
|
6,48
|
41,99
|
|
37
|
7
|
7
|
49
|
49
|
49
|
6,48
|
41,99
|
|
38
|
7
|
7
|
49
|
49
|
49
|
6,48
|
41,99
|
|
39
|
5
|
6
|
30
|
36
|
25
|
5,91
|
34,91
|
|
40
|
7
|
7
|
49
|
49
|
49
|
6,48
|
41,99
|
|
41
|
7
|
7
|
49
|
49
|
49
|
6,48
|
41,99
|
|
42
|
7
|
6
|
42
|
36
|
49
|
5,91
|
34,91
|
|
43
|
6
|
5
|
30
|
25
|
36
|
5,34
|
28,48
|
|
44
|
6
|
7
|
42
|
49
|
36
|
6,48
|
41,99
|
|
45
|
4
|
7
|
28
|
49
|
16
|
6,48
|
41,99
|
|
46
|
5
|
6
|
30
|
36
|
25
|
5,91
|
34,91
|
|
47
|
7
|
7
|
49
|
49
|
49
|
6,48
|
41,99
|
|
48
|
7
|
7
|
49
|
49
|
49
|
6,48
|
41,99
|
|
49
|
3
|
6
|
18
|
36
|
9
|
5,91
|
34,91
|
|
50
|
4
|
5
|
20
|
25
|
16
|
5,34
|
28,48
|
|
∑
|
300,00
|
308,00
|
1893,00
|
1976,00
|
1896,00
|
300,00
|
1825,72
|
|
Сред.
|
6,00
|
6,16
|
37,86
|
39,52
|
37,92
|
6,00
|
36,51
|
|
Медиана
|
7,00
|
7,00
|
|
|
|
|
|
|
a
|
b
|
|
|
|
|
|
|
|
2,48
|
0,57
|
|
|
|
|
|
|
ПРИЛОЖЕНИЕ Ж
Частные расчеты по фактору лояльности №6 - Оценка привлекательности
компании относительно альтернатив на рынке
|
n
|
y
|
x6
|
x6y
|
x6²
|
y²
|
ŷ6
|
ŷ6²
|
|
1
|
7
|
7
|
49
|
49
|
49
|
6,26
|
39,22
|
|
2
|
7
|
4
|
28
|
16
|
5,59
|
31,30
|
|
3
|
7
|
5
|
35
|
25
|
49
|
5,82
|
33,84
|
|
4
|
6
|
4
|
24
|
16
|
36
|
5,59
|
31,30
|
|
5
|
7
|
7
|
49
|
49
|
49
|
6,26
|
39,22
|
|
6
|
7
|
4
|
28
|
16
|
49
|
5,59
|
31,30
|
|
7
|
7
|
7
|
49
|
49
|
49
|
6,26
|
39,22
|
|
8
|
7
|
4
|
28
|
16
|
49
|
5,59
|
31,30
|
|
9
|
7
|
5
|
35
|
25
|
49
|
5,82
|
33,84
|
|
10
|
7
|
4
|
28
|
16
|
49
|
5,59
|
31,30
|
|
11
|
4
|
7
|
28
|
49
|
16
|
6,26
|
39,22
|
|
12
|
7
|
7
|
49
|
49
|
49
|
6,26
|
39,22
|
|
13
|
6
|
5
|
30
|
25
|
36
|
5,82
|
33,84
|
|
14
|
7
|
7
|
49
|
49
|
49
|
6,26
|
39,22
|
|
15
|
7
|
6
|
42
|
36
|
49
|
6,04
|
36,48
|
|
16
|
6
|
6
|
36
|
36
|
36
|
6,04
|
36,48
|
|
17
|
5
|
7
|
35
|
49
|
25
|
6,26
|
39,22
|
|
18
|
7
|
6
|
42
|
36
|
49
|
6,04
|
36,48
|
|
19
|
5
|
6
|
30
|
36
|
25
|
6,04
|
36,48
|
|
20
|
5
|
4
|
20
|
16
|
25
|
5,59
|
31,30
|
|
21
|
6
|
6
|
36
|
36
|
36
|
6,04
|
36,48
|
|
22
|
7
|
4
|
28
|
16
|
49
|
5,59
|
31,30
|
|
23
|
4
|
6
|
24
|
36
|
16
|
6,04
|
36,48
|
|
24
|
7
|
7
|
49
|
49
|
49
|
6,26
|
39,22
|
|
25
|
7
|
7
|
49
|
49
|
49
|
6,26
|
39,22
|
|
26
|
7
|
7
|
49
|
49
|
49
|
6,26
|
39,22
|
|
27
|
4
|
5
|
20
|
25
|
16
|
5,82
|
33,84
|
|
28
|
7
|
7
|
49
|
49
|
49
|
6,26
|
39,22
|
|
29
|
4
|
5
|
20
|
25
|
16
|
5,82
|
33,84
|
|
30
|
7
|
7
|
49
|
49
|
49
|
6,26
|
39,22
|
|
31
|
7
|
6
|
42
|
36
|
49
|
6,04
|
36,48
|
|
32
|
6
|
7
|
42
|
49
|
36
|
6,26
|
39,22
|
|
33
|
4
|
7
|
28
|
49
|
16
|
6,26
|
39,22
|
|
34
|
5
|
6
|
30
|
36
|
25
|
6,04
|
36,48
|
|
35
|
1
|
7
|
7
|
49
|
1
|
6,26
|
39,22
|
|
36
|
7
|
7
|
49
|
49
|
49
|
6,26
|
39,22
|
|
37
|
7
|
7
|
49
|
49
|
49
|
6,26
|
39,22
|
|
38
|
7
|
7
|
49
|
49
|
49
|
6,26
|
39,22
|
|
39
|
5
|
5
|
25
|
25
|
25
|
5,82
|
33,84
|
|
40
|
7
|
7
|
49
|
49
|
49
|
6,26
|
39,22
|
|
41
|
7
|
7
|
49
|
49
|
49
|
6,26
|
39,22
|
|
42
|
7
|
7
|
49
|
49
|
49
|
6,26
|
39,22
|
|
43
|
6
|
4
|
24
|
16
|
36
|
5,59
|
31,30
|
|
44
|
6
|
7
|
42
|
49
|
36
|
6,26
|
39,22
|
|
45
|
4
|
6
|
24
|
36
|
16
|
6,04
|
36,48
|
|
46
|
5
|
5
|
25
|
25
|
5,82
|
33,84
|
|
47
|
7
|
5
|
35
|
25
|
49
|
5,82
|
33,84
|
|
48
|
7
|
6
|
42
|
36
|
49
|
6,04
|
36,48
|
|
49
|
3
|
2
|
6
|
4
|
9
|
5,15
|
26,52
|
|
50
|
4
|
3
|
12
|
9
|
16
|
5,37
|
28,86
|
|
∑
|
300,00
|
291,00
|
1765,00
|
1779,00
|
1896,00
|
300,00
|
1804,23
|
|
Сред.
|
6,00
|
5,82
|
35,30
|
35,58
|
37,92
|
6,00
|
36,08
|
|
Медиана
|
7,00
|
6,00
|
|
|
|
|
|
|
a
|
b
|
|
|
|
|
|
|
|
4,70
|
0,22
|
|
|
|
|
|
|
ПРИЛОЖЕНИЕ З
Частные расчеты по фактору лояльности №7 - Оценка влияния социального
окружения потребителя
|
n
|
y
|
x7
|
x7y
|
x7²
|
y²
|
ŷ7
|
ŷ7²
|
|
1
|
7
|
7
|
49
|
49
|
49
|
6,52
|
42,50
|
|
2
|
7
|
5
|
35
|
25
|
49
|
6,01
|
36,12
|
|
3
|
7
|
7
|
49
|
49
|
49
|
6,52
|
42,50
|
|
4
|
6
|
6
|
36
|
36
|
36
|
6,26
|
39,24
|
|
5
|
7
|
5
|
35
|
25
|
49
|
6,01
|
36,12
|
|
6
|
7
|
1
|
7
|
1
|
49
|
4,99
|
24,93
|
|
7
|
7
|
3
|
21
|
9
|
49
|
5,50
|
30,27
|
|
8
|
7
|
6
|
42
|
36
|
49
|
6,26
|
39,24
|
|
9
|
7
|
6
|
42
|
36
|
49
|
6,26
|
39,24
|
|
10
|
7
|
1
|
7
|
1
|
49
|
4,99
|
24,93
|
|
11
|
4
|
7
|
28
|
49
|
16
|
6,52
|
42,50
|
|
12
|
7
|
7
|
49
|
49
|
49
|
6,52
|
42,50
|
|
13
|
6
|
1
|
6
|
1
|
36
|
4,99
|
24,93
|
|
14
|
7
|
7
|
49
|
49
|
49
|
6,52
|
42,50
|
|
15
|
7
|
5
|
35
|
25
|
49
|
6,01
|
36,12
|
|
16
|
6
|
5
|
30
|
25
|
36
|
6,01
|
36,12
|
|
17
|
5
|
1
|
5
|
1
|
25
|
4,99
|
24,93
|
|
18
|
7
|
6
|
42
|
36
|
49
|
6,26
|
39,24
|
|
19
|
5
|
7
|
35
|
49
|
25
|
6,52
|
42,50
|
|
20
|
5
|
6
|
30
|
36
|
25
|
6,26
|
39,24
|
|
21
|
6
|
7
|
42
|
49
|
36
|
6,52
|
42,50
|
|
22
|
7
|
4
|
28
|
16
|
49
|
5,76
|
33,13
|
|
23
|
4
|
5
|
20
|
25
|
16
|
6,01
|
36,12
|
|
24
|
7
|
7
|
49
|
49
|
49
|
6,52
|
42,50
|
|
25
|
7
|
7
|
49
|
49
|
49
|
6,52
|
42,50
|
|
26
|
7
|
1
|
7
|
1
|
49
|
4,99
|
24,93
|
|
27
|
4
|
4
|
16
|
16
|
16
|
5,76
|
33,13
|
|
28
|
7
|
7
|
49
|
49
|
49
|
6,52
|
42,50
|
|
29
|
4
|
4
|
16
|
16
|
16
|
5,76
|
33,13
|
|
30
|
7
|
7
|
49
|
49
|
49
|
6,52
|
42,50
|
|
31
|
7
|
4
|
28
|
16
|
49
|
5,76
|
33,13
|
|
32
|
6
|
7
|
42
|
49
|
36
|
6,52
|
42,50
|
|
33
|
4
|
5
|
20
|
25
|
16
|
6,01
|
36,12
|
|
34
|
5
|
3
|
15
|
9
|
25
|
5,50
|
30,27
|
|
35
|
1
|
1
|
1
|
1
|
1
|
4,99
|
24,93
|
|
36
|
7
|
49
|
49
|
49
|
6,52
|
42,50
|
|
37
|
7
|
4
|
28
|
16
|
49
|
5,76
|
33,13
|
|
38
|
7
|
7
|
49
|
49
|
49
|
6,52
|
42,50
|
|
39
|
5
|
6
|
30
|
36
|
25
|
6,26
|
39,24
|
|
40
|
7
|
7
|
49
|
49
|
49
|
6,52
|
42,50
|
|
41
|
7
|
7
|
49
|
49
|
49
|
6,52
|
42,50
|
|
42
|
7
|
4
|
28
|
16
|
49
|
5,76
|
33,13
|
|
43
|
6
|
4
|
24
|
16
|
36
|
5,76
|
33,13
|
|
44
|
6
|
7
|
42
|
49
|
36
|
6,52
|
42,50
|
|
45
|
4
|
1
|
4
|
1
|
16
|
4,99
|
24,93
|
|
46
|
5
|
6
|
30
|
36
|
25
|
6,26
|
39,24
|
|
47
|
7
|
7
|
49
|
49
|
49
|
6,52
|
42,50
|
|
48
|
7
|
6
|
42
|
36
|
49
|
6,26
|
39,24
|
|
49
|
3
|
1
|
3
|
1
|
9
|
4,99
|
24,93
|
|
50
|
4
|
2
|
8
|
4
|
16
|
5,25
|
27,53
|
|
∑
|
300,00
|
248,00
|
1547,00
|
1462,00
|
1896,00
|
300,00
|
1815,01
|
|
Сред.
|
6,00
|
4,96
|
30,94
|
29,24
|
37,92
|
6,00
|
36,30
|
|
Медиана
|
7,00
|
6,00
|
|
|
|
|
|
|
a
|
b
|
|
|
|
|
|
|
|
4,74
|
0,25
|
|
|
|
|
|
|
ПРИЛОЖЕНИЕ И
Частные расчеты по фактору лояльности №8 - Оценка ощутимости присутствия
корпоративных стандартов обслуживания
|
nyx8x8yx8²y²ŷ8ŷ8²
|
|
|
|
|
|
|
|
|
1
|
7
|
7
|
49
|
49
|
49
|
6,24
|
38,89
|
|
2
|
7
|
5
|
35
|
25
|
49
|
5,11
|
26,11
|
|
3
|
7
|
7
|
49
|
49
|
49
|
6,24
|
38,89
|
|
4
|
6
|
7
|
42
|
49
|
36
|
6,24
|
38,89
|
|
5
|
7
|
7
|
49
|
49
|
49
|
6,24
|
38,89
|
|
6
|
7
|
7
|
49
|
49
|
49
|
6,24
|
38,89
|
|
7
|
7
|
7
|
49
|
49
|
49
|
6,24
|
38,89
|
|
8
|
7
|
7
|
49
|
49
|
49
|
6,24
|
38,89
|
|
9
|
7
|
7
|
49
|
49
|
49
|
6,24
|
38,89
|
|
10
|
7
|
7
|
49
|
49
|
49
|
6,24
|
38,89
|
|
11
|
4
|
7
|
28
|
49
|
16
|
6,24
|
38,89
|
|
12
|
7
|
7
|
49
|
49
|
49
|
6,24
|
38,89
|
|
13
|
6
|
5
|
30
|
25
|
36
|
5,11
|
26,11
|
|
14
|
7
|
7
|
49
|
49
|
49
|
6,24
|
38,89
|
|
15
|
7
|
7
|
49
|
49
|
49
|
6,24
|
38,89
|
|
16
|
6
|
6
|
36
|
36
|
36
|
5,67
|
32,19
|
|
17
|
5
|
5
|
25
|
25
|
25
|
5,11
|
26,11
|
|
18
|
7
|
7
|
49
|
49
|
49
|
6,24
|
38,89
|
|
19
|
5
|
6
|
30
|
36
|
25
|
5,67
|
32,19
|
|
20
|
5
|
7
|
35
|
49
|
25
|
6,24
|
38,89
|
|
21
|
6
|
7
|
42
|
49
|
36
|
6,24
|
38,89
|
|
22
|
7
|
6
|
42
|
36
|
49
|
5,67
|
32,19
|
|
23
|
4
|
5
|
20
|
25
|
16
|
5,11
|
26,11
|
|
24
|
7
|
7
|
49
|
49
|
49
|
6,24
|
38,89
|
|
25
|
7
|
7
|
49
|
49
|
49
|
6,24
|
38,89
|
|
26
|
7
|
7
|
49
|
49
|
49
|
6,24
|
|
27
|
4
|
4
|
16
|
16
|
16
|
4,55
|
20,67
|
|
28
|
7
|
7
|
49
|
49
|
49
|
6,24
|
38,89
|
|
29
|
4
|
7
|
28
|
49
|
16
|
6,24
|
38,89
|
|
30
|
7
|
7
|
49
|
49
|
49
|
6,24
|
38,89
|
|
31
|
7
|
7
|
49
|
49
|
49
|
6,24
|
38,89
|
|
32
|
6
|
7
|
42
|
49
|
36
|
6,24
|
38,89
|
|
33
|
4
|
7
|
28
|
49
|
16
|
6,24
|
38,89
|
|
34
|
5
|
7
|
35
|
49
|
25
|
6,24
|
38,89
|
|
35
|
1
|
7
|
7
|
49
|
1
|
6,24
|
38,89
|
|
36
|
7
|
7
|
49
|
49
|
49
|
6,24
|
38,89
|
|
37
|
7
|
7
|
49
|
49
|
49
|
6,24
|
38,89
|
|
38
|
7
|
7
|
49
|
49
|
49
|
6,24
|
38,89
|
|
39
|
5
|
6
|
30
|
36
|
25
|
5,67
|
32,19
|
|
40
|
7
|
7
|
49
|
49
|
49
|
6,24
|
38,89
|
|
41
|
7
|
7
|
49
|
49
|
49
|
6,24
|
38,89
|
|
42
|
7
|
7
|
49
|
49
|
49
|
6,24
|
38,89
|
|
43
|
6
|
7
|
42
|
49
|
36
|
6,24
|
38,89
|
|
44
|
6
|
7
|
42
|
49
|
36
|
6,24
|
38,89
|
|
45
|
4
|
7
|
28
|
49
|
16
|
6,24
|
38,89
|
|
46
|
5
|
6
|
30
|
36
|
25
|
5,67
|
32,19
|
|
47
|
7
|
5
|
35
|
25
|
49
|
5,11
|
26,11
|
|
48
|
7
|
7
|
49
|
49
|
49
|
6,24
|
38,89
|
|
49
|
3
|
6
|
18
|
36
|
9
|
5,67
|
32,19
|
|
50
|
4
|
5
|
20
|
25
|
16
|
5,11
|
26,11
|
|
∑
|
300,00
|
329,00
|
1991,00
|
2195,00
|
1896,00
|
300,00
|
1809,58
|
|
Сред.
|
6,00
|
6,58
|
39,82
|
43,90
|
37,92
|
6,00
|
36,19
|
|
Медиана
|
7,00
|
7,00
|
|
|
|
|
|
|
a
|
b
|
|
|
|
|
|
|
|
2,29
|
0,56
|
|
|
|
|
|
|
ПРИЛОЖЕНИЕ К
Частные расчеты по фактору лояльности №9 - Оценка эффективности
исполнения корпоративных стандартов обслуживания
|
n
|
y
|
x9
|
x9y
|
x9²
|
y²
|
ŷ9
|
ŷ9²
|
|
1
|
7
|
7
|
49
|
49
|
49
|
6,35
|
40,35
|
|
2
|
7
|
6
|
42
|
36
|
49
|
5,25
|
27,57
|
|
3
|
7
|
7
|
49
|
49
|
49
|
6,35
|
40,35
|
|
4
|
6
|
7
|
42
|
49
|
36
|
6,35
|
40,35
|
|
5
|
7
|
7
|
49
|
49
|
49
|
6,35
|
40,35
|
|
6
|
7
|
7
|
49
|
49
|
49
|
6,35
|
40,35
|
|
7
|
7
|
7
|
49
|
49
|
49
|
6,35
|
40,35
|
|
8
|
7
|
7
|
49
|
49
|
49
|
6,35
|
40,35
|
|
9
|
7
|
7
|
49
|
49
|
49
|
6,35
|
40,35
|
|
10
|
7
|
7
|
49
|
49
|
49
|
6,35
|
40,35
|
|
11
|
4
|
7
|
28
|
49
|
16
|
6,35
|
40,35
|
|
12
|
7
|
7
|
49
|
49
|
49
|
6,35
|
40,35
|
|
13
|
6
|
6
|
36
|
36
|
36
|
5,25
|
27,57
|
|
14
|
7
|
7
|
49
|
49
|
49
|
6,35
|
40,35
|
|
15
|
7
|
7
|
49
|
49
|
49
|
6,35
|
40,35
|
|
16
|
6
|
6
|
36
|
36
|
5,25
|
27,57
|
|
17
|
5
|
6
|
30
|
36
|
25
|
5,25
|
27,57
|
|
18
|
7
|
7
|
49
|
49
|
49
|
6,35
|
40,35
|
|
19
|
5
|
7
|
35
|
49
|
25
|
6,35
|
40,35
|
|
20
|
5
|
6
|
30
|
36
|
25
|
5,25
|
27,57
|
|
21
|
6
|
7
|
42
|
49
|
36
|
6,35
|
40,35
|
|
22
|
7
|
7
|
49
|
49
|
49
|
6,35
|
40,35
|
|
23
|
4
|
5
|
20
|
25
|
16
|
4,15
|
17,22
|
|
24
|
7
|
7
|
49
|
49
|
49
|
6,35
|
40,35
|
|
25
|
7
|
7
|
49
|
49
|
49
|
6,35
|
40,35
|
|
26
|
7
|
7
|
49
|
49
|
49
|
6,35
|
40,35
|
|
27
|
4
|
6
|
24
|
36
|
16
|
5,25
|
27,57
|
|
28
|
7
|
7
|
49
|
49
|
49
|
6,35
|
40,35
|
|
29
|
4
|
6
|
24
|
36
|
16
|
5,25
|
27,57
|
|
30
|
7
|
7
|
49
|
49
|
49
|
6,35
|
40,35
|
|
31
|
7
|
7
|
49
|
49
|
49
|
6,35
|
40,35
|
|
32
|
6
|
7
|
42
|
49
|
36
|
6,35
|
40,35
|
|
33
|
4
|
7
|
28
|
49
|
16
|
6,35
|
40,35
|
|
34
|
5
|
7
|
35
|
49
|
25
|
6,35
|
40,35
|
|
35
|
1
|
7
|
7
|
49
|
1
|
6,35
|
40,35
|
|
36
|
7
|
7
|
49
|
49
|
49
|
6,35
|
40,35
|
|
37
|
7
|
7
|
49
|
49
|
49
|
6,35
|
40,35
|
|
38
|
7
|
7
|
49
|
49
|
49
|
6,35
|
40,35
|
|
39
|
5
|
6
|
30
|
36
|
25
|
5,25
|
27,57
|
|
40
|
7
|
7
|
49
|
49
|
49
|
6,35
|
40,35
|
|
41
|
7
|
7
|
49
|
49
|
49
|
6,35
|
40,35
|
|
42
|
7
|
7
|
49
|
49
|
49
|
6,35
|
40,35
|
|
43
|
6
|
7
|
42
|
49
|
36
|
6,35
|
40,35
|
|
44
|
6
|
7
|
42
|
49
|
36
|
6,35
|
40,35
|
|
45
|
4
|
7
|
28
|
49
|
16
|
6,35
|
40,35
|
|
46
|
5
|
6
|
30
|
36
|
25
|
5,25
|
27,57
|
|
47
|
7
|
7
|
49
|
49
|
49
|
6,35
|
40,35
|
|
48
|
7
|
7
|
49
|
49
|
49
|
6,35
|
40,35
|
|
49
|
3
|
5
|
15
|
25
|
9
|
4,15
|
17,22
|
|
50
|
4
|
4
|
16
|
16
|
16
|
3,05
|
9,29
|
|
∑
|
300,00
|
334,00
|
2027,00
|
2252,00
|
1896,00
|
300,00
|
1825,34
|
|
Сред.
|
6,00
|
6,68
|
40,54
|
45,04
|
37,92
|
6,00
|
36,51
|
|
Медиана
|
7,00
|
7,00
|
|
|
|
|
|
|
a
|
b
|
|
|
|
|
|
|
|
-1,36
|
1,10
|
|
|
|
|
|
|
ПРИЛОЖЕНИЕ Л
Частные расчеты по фактору лояльности №10 - Оценка влияния корпоративных
стандартов обслуживания на восприятие результатов оказания услуг:
|
n
|
y
|
x10
|
x10y
|
x10²
|
y²
|
ŷ10
|
ŷ10²
|
|
1
|
7
|
7
|
49
|
49
|
49
|
6,27
|
39,37
|
|
2
|
7
|
6
|
42
|
36
|
49
|
5,51
|
30,38
|
|
3
|
7
|
7
|
49
|
49
|
49
|
6,27
|
39,37
|
|
4
|
6
|
6
|
36
|
36
|
36
|
5,51
|
30,38
|
|
5
|
7
|
7
|
49
|
49
|
49
|
6,27
|
39,37
|
|
6
|
7
|
7
|
49
|
49
|
6,27
|
39,37
|
|
7
|
7
|
7
|
49
|
49
|
49
|
6,27
|
39,37
|
|
8
|
7
|
7
|
49
|
49
|
49
|
6,27
|
39,37
|
|
9
|
7
|
7
|
49
|
49
|
49
|
6,27
|
39,37
|
|
10
|
7
|
7
|
49
|
49
|
49
|
6,27
|
39,37
|
|
11
|
4
|
7
|
28
|
49
|
16
|
6,27
|
39,37
|
|
12
|
7
|
7
|
49
|
49
|
49
|
6,27
|
39,37
|
|
13
|
6
|
7
|
42
|
49
|
36
|
6,27
|
39,37
|
|
14
|
7
|
7
|
49
|
49
|
49
|
6,27
|
39,37
|
|
15
|
7
|
7
|
49
|
49
|
49
|
6,27
|
39,37
|
|
16
|
6
|
4
|
24
|
16
|
36
|
3,99
|
15,88
|
|
17
|
5
|
6
|
30
|
36
|
25
|
5,51
|
30,38
|
|
18
|
7
|
7
|
49
|
49
|
49
|
6,27
|
39,37
|
|
19
|
5
|
7
|
35
|
49
|
25
|
6,27
|
39,37
|
|
20
|
5
|
6
|
30
|
36
|
25
|
5,51
|
30,38
|
|
21
|
6
|
7
|
42
|
49
|
36
|
6,27
|
39,37
|
|
22
|
7
|
7
|
49
|
49
|
49
|
6,27
|
39,37
|
|
23
|
4
|
5
|
20
|
25
|
16
|
4,75
|
22,55
|
|
24
|
7
|
7
|
49
|
49
|
49
|
6,27
|
39,37
|
|
25
|
7
|
7
|
49
|
49
|
49
|
6,27
|
39,37
|
|
26
|
7
|
7
|
49
|
49
|
49
|
6,27
|
39,37
|
|
27
|
4
|
6
|
24
|
36
|
16
|
5,51
|
30,38
|
|
28
|
7
|
7
|
49
|
49
|
49
|
6,27
|
39,37
|
|
29
|
4
|
6
|
24
|
36
|
16
|
5,51
|
30,38
|
|
30
|
7
|
7
|
49
|
49
|
49
|
6,27
|
39,37
|
|
31
|
7
|
7
|
49
|
49
|
49
|
6,27
|
39,37
|
|
32
|
6
|
7
|
42
|
49
|
36
|
6,27
|
39,37
|
|
33
|
4
|
7
|
28
|
49
|
16
|
6,27
|
39,37
|
|
34
|
5
|
7
|
35
|
49
|
25
|
6,27
|
39,37
|
|
35
|
1
|
7
|
7
|
49
|
1
|
6,27
|
39,37
|
|
36
|
7
|
7
|
49
|
49
|
49
|
6,27
|
39,37
|
|
37
|
7
|
7
|
49
|
49
|
49
|
6,27
|
39,37
|
|
38
|
7
|
7
|
49
|
49
|
49
|
6,27
|
39,37
|
|
39
|
5
|
7
|
35
|
49
|
25
|
6,27
|
39,37
|
|
40
|
7
|
7
|
49
|
49
|
49
|
6,27
|
39,37
|
|
41
|
7
|
7
|
49
|
49
|
49
|
6,27
|
39,37
|
|
42
|
7
|
7
|
49
|
49
|
49
|
6,27
|
39,37
|
|
43
|
6
|
7
|
42
|
49
|
36
|
6,27
|
39,37
|
|
44
|
6
|
7
|
42
|
49
|
36
|
6,27
|
39,37
|
|
45
|
4
|
7
|
28
|
49
|
16
|
6,27
|
39,37
|
|
46
|
5
|
6
|
30
|
36
|
25
|
5,51
|
30,38
|
|
47
|
7
|
6
|
42
|
36
|
49
|
5,51
|
30,38
|
|
48
|
7
|
7
|
49
|
49
|
49
|
6,27
|
39,37
|
|
49
|
3
|
5
|
15
|
25
|
9
|
4,75
|
22,55
|
|
50
|
4
|
16
|
16
|
16
|
3,99
|
15,88
|
|
∑
|
300,00
|
332,00
|
2013,00
|
2232,00
|
1896,00
|
300,00
|
1816,02
|
|
Сред.
|
6,00
|
6,64
|
40,26
|
44,64
|
37,92
|
6,00
|
36,32
|
|
Медиана
|
7,00
|
7,00
|
|
|
|
|
|
|
a
|
b
|
|
|
|
|
|
|
|
0,93
|
0,76
|
|
|
|
|
|
|
ПРИЛОЖЕНИЕ М
Расчет коэффициентов детерминации математической модели - обычного и
скорректированного
|
y
|
y²
|
ŷ
|
ŷ²
|
|
7
|
49
|
6,89
|
47,52
|
|
7
|
49
|
5,60
|
31,36
|
|
7
|
49
|
5,61
|
31,51
|
|
6
|
36
|
7,34
|
53,87
|
|
7
|
49
|
6,40
|
41,01
|
|
7
|
49
|
5,34
|
28,56
|
|
7
|
49
|
6,23
|
38,87
|
|
7
|
49
|
7,22
|
52,14
|
|
7
|
49
|
7,13
|
50,82
|
|
7
|
49
|
6,59
|
43,46
|
|
4
|
16
|
6,79
|
46,07
|
|
7
|
49
|
6,83
|
46,67
|
|
6
|
36
|
6,07
|
36,89
|
|
7
|
49
|
6,18
|
38,15
|
|
7
|
49
|
5,78
|
33,44
|
|
6
|
36
|
5,73
|
32,82
|
|
5
|
25
|
4,38
|
19,17
|
|
7
|
49
|
6,95
|
48,28
|
|
5
|
25
|
6,42
|
41,27
|
|
5
|
25
|
6,00
|
36,02
|
|
6
|
36
|
5,57
|
31,00
|
|
7
|
49
|
6,85
|
46,85
|
|
4
|
16
|
4,14
|
17,15
|
|
7
|
49
|
5,96
|
35,47
|
|
7
|
49
|
6,55
|
42,90
|
|
7
|
49
|
6,07
|
36,81
|
|
4
|
16
|
4,92
|
24,22
|
|
7
|
49
|
6,83
|
46,67
|
|
4
|
16
|
3,77
|
14,19
|
|
7
|
49
|
6,83
|
46,67
|
|
7
|
49
|
5,60
|
31,39
|
|
6
|
36
|
6,53
|
42,63
|
|
4
|
16
|
5,97
|
35,66
|
|
5
|
25
|
5,90
|
34,83
|
|
1
|
1
|
3,53
|
12,43
|
|
7
|
49
|
6,83
|
46,67
|
|
7
|
49
|
6,15
|
37,78
|
|
7
|
49
|
6,83
|
46,67
|
|
5
|
25
|
5,59
|
31,23
|
|
7
|
49
|
6,83
|
46,67
|
|
7
|
49
|
6,83
|
46,67
|
|
7
|
49
|
5,90
|
34,79
|
|
6
|
36
|
6,05
|
36,56
|
|
6
|
36
|
6,31
|
39,78
|
|
4
|
16
|
5,91
|
34,95
|
|
5
|
25
|
5,30
|
28,11
|
|
7
|
49
|
6,87
|
47,14
|
|
7
|
49
|
6,97
|
48,57
|
|
3
|
9
|
4,02
|
16,20
|
|
4
|
16
|
3,10
|
9,62
|
|
6,00
|
37,92
|
6,00
|
36,96
|
|
|
|
|
|
0,5015846308
|
<--- R²
|
0,3894411727
|
<--- R²adj.
|
ПРИЛОЖЕНИЕ Н
Матрицы коэффициентов корреляции всех переменных X между собой (факторы лояльности), а также каждой из
переменных X с переменной Y (уровень потребительской лояльности)
|
1,0
|
0,5116
|
0,3954
|
0,3582
|
0,1565
|
0,3871
|
0,2419
|
0,2851
|
0,4731
|
0,3667
|
0,26689
|
X1Y
|
|
0,5116
|
1,0
|
0,4787
|
0,4090
|
0,0391
|
0,5181
|
0,1929
|
0,2985
|
0,5701
|
0,5441
|
0,26189
|
X2Y
|
|
0,3954
|
0,4787
|
1,0
|
0,3870
|
0,2364
|
0,6179
|
0,3851
|
0,2029
|
0,4659
|
0,3938
|
0,34958
|
X3Y
|
|
0,3582
|
0,4090
|
0,3870
|
1,0
|
0,3437
|
0,4626
|
0,1136
|
0,5204
|
0,6932
|
0,6392
|
0,48725
|
X4Y
|
|
0,1565
|
0,0391
|
0,2364
|
0,3437
|
1,0
|
0,2249
|
0,3576
|
0,0895
|
0,2358
|
0,1478
|
0,51765
|
X5Y
|
|
0,3871
|
0,5181
|
0,6179
|
0,4626
|
0,2249
|
1,0
|
0,3528
|
0,3786
|
0,5239
|
0,4695
|
0,20986
|
X6Y
|
|
0,2419
|
0,1929
|
0,3851
|
0,1136
|
0,3576
|
0,3528
|
1,0
|
0,2529
|
0,3357
|
0,2163
|
0,39541
|
X7Y
|
|
0,2851
|
0,2985
|
0,2029
|
0,5204
|
0,0895
|
0,3786
|
0,2529
|
1,0
|
0,6884
|
0,6051
|
0,31583
|
X8Y
|
|
0,4731
|
0,5701
|
0,4659
|
0,6932
|
0,2358
|
0,5239
|
0,3357
|
0,6884
|
1,0
|
0,8443
|
X9Y
|
|
0,3667
|
0,5441
|
0,3938
|
0,6392
|
0,1478
|
0,4695
|
0,2163
|
0,6051
|
0,8443
|
1,0
|
0,40856
|
X10Y
|
ПРИЛОЖЕНИЕ О
Блок описательной классификационной статистики по выборке
|
n
|
Пол респондента
|
Возрастной интервал
|
Уровень образования
|
Первый визит?
|
Дисконтная карта
|
|
1
|
Женский
|
51-60
|
Высшее
|
Нет
|
Отсутствует
|
|
2
|
Женский
|
18-25
|
Среднее общее
|
Нет
|
Отсутствует
|
|
3
|
Не отмечено
|
31-40
|
Высшее
|
Нет
|
Есть (313621)
|
|
4
|
Мужской
|
41-50
|
Высшее
|
Да
|
Отсутствует
|
|
5
|
Мужской
|
26-30
|
Среднее специальное
|
Нет
|
Есть (262970)
|
|
6
|
Женский
|
26-30
|
Среднее специальное
|
Нет
|
Есть (313698)
|
|
7
|
Не отмечено
|
31-40
|
Не отмечено
|
Нет
|
Есть (35389)
|
|
8
|
Не отмечено
|
26-30
|
Среднее общее
|
Не отмечено
|
Есть (189378)
|
|
9
|
Женский
|
18-25
|
Высшее
|
Нет
|
Есть (313498)
|
|
10
|
Женский
|
31-40
|
Высшее
|
Нет
|
Есть (131097)
|
|
11
|
Мужской
|
18-25
|
Среднее общее
|
Нет
|
Есть (313522)
|
|
12
|
Женский
|
31-40
|
Высшее
|
Нет
|
Есть (237450)
|
|
13
|
Женский
|
18-25
|
Среднее специальное
|
Нет
|
Есть (313335)
|
|
14
|
Женский
|
31-40
|
Высшее
|
Нет
|
Есть (131351)
|
|
15
|
Женский
|
18-25
|
Высшее
|
Да
|
Есть (313394)
|
|
16
|
Женский
|
26-30
|
Высшее
|
Нет
|
Есть (313376)
|
|
17
|
Мужской
|
18-25
|
Среднее общее
|
Нет
|
Есть (313404)
|
|
18
|
Женский
|
18-25
|
Высшее
|
Нет
|
Есть (132241)
|
|
19
|
Мужской
|
26-30
|
Среднее специальное
|
Нет
|
Есть (310368)
|
|
20
|
Мужской
|
18-25
|
Среднее специальное
|
Нет
|
Есть (310113)
|
|
21
|
Мужской
|
31-40
|
Среднее специальное
|
Нет
|
Есть (309921)
|
|
22
|
Женский
|
41-50
|
Среднее специальное
|
Нет
|
Есть (310023)
|
|
23
|
Мужской
|
31-40
|
Среднее специальное
|
Да
|
Отсутствует
|
|
24
|
Женский
|
Не отмечено
|
Среднее специальное
|
Нет
|
Есть (309969)
|
|
25
|
Мужской
|
26-30
|
Среднее специальное
|
Нет
|
Есть (284626)
|
|
26
|
Женский
|
31-40
|
Среднее специальное
|
Да
|
Есть (309968)
|
|
27
|
Мужской
|
41-50
|
Среднее специальное
|
Нет
|
Есть (309951)
|
|
28
|
Мужской
|
26-30
|
Среднее специальное
|
Нет
|
Есть (309958)
|
|
29
|
Женский
|
18-25
|
Высшее
|
Нет
|
Есть (256491)
|
|
30
|
Женский
|
26-30
|
Высшее
|
Нет
|
Есть (178344)
|
|
31
|
Мужской
|
26-30
|
Высшее
|
Нет
|
Есть (271994)
|
|
32
|
Женский
|
31-40
|
Высшее
|
Нет
|
Есть (315029)
|
|
33
|
Мужской
|
31-40
|
Среднее специальное
|
Нет
|
Есть (178001)
|
|
34
|
Женский
|
26-30
|
Высшее
|
Нет
|
Есть (256458)
|
|
35
|
Мужской
|
26-30
|
Высшее
|
Нет
|
Отсутствует
|
|
36
|
Женский
|
41-50
|
Среднее специальное
|
Нет
|
Есть (84358)
|
|
37
|
Мужской
|
26-30
|
Высшее
|
Нет
|
Есть (271614)
|
|
38
|
Женский
|
31-40
|
Среднее специальное
|
Нет
|
Есть (84366)
|
|
39
|
Женский
|
26-30
|
Не отмечено
|
Нет
|
Есть (315200)
|
|
40
|
Женский
|
31-40
|
Высшее
|
Нет
|
Есть (315024)
|
|
41
|
Женский
|
31-40
|
Среднее специальное
|
Нет
|
Есть (315143)
|
|
42
|
Женский
|
31-40
|
Высшее
|
Нет
|
Отсутствует
|
|
43
|
Женский
|
18-25
|
Высшее
|
Да
|
Есть (315023)
|
|
44
|
Мужской
|
18-25
|
Высшее
|
Нет
|
Есть (256458)
|
|
45
|
Женский
|
18-25
|
Высшее
|
Нет
|
Есть (315022)
|
|
46
|
Женский
|
51-60
|
Среднее специальное
|
Нет
|
Есть (219534)
|
|
47
|
Мужской
|
18-25
|
Высшее
|
Не отмечено
|
Есть (271620)
|
|
48
|
Мужской
|
41-50
|
Высшее
|
Нет
|
Есть (178170)
|
|
49
|
Мужской
|
18-25
|
Высшее
|
Нет
|
Отсутствует
|
|
50
|
Женский
|
31-40
|
Высшее
|
Нет
|
Отсутствует
|
Похожие работы на - Исследование влияния стандартов обслуживания на лояльность потребителей
|