Портфельные инвестиции

  • Вид работы:
    Контрольная работа
  • Предмет:
    Финансы, деньги, кредит
  • Язык:
    Русский
    ,
    Формат файла:
    MS Word
    121,75 Кб
  • Опубликовано:
    2016-10-17
Вы можете узнать стоимость помощи в написании студенческой работы.
Помощь в написании работы, которую точно примут!

Портфельные инвестиции

Содержание

Введение

Актуальность темы

Глава 1. Портфельные инвестиции

.1 Определение инвестиционного портфеля и этапы его формирования

.2 Доходность и риск по портфелю

.3 Стратегии управления портфелем

Глава 2. Модель формирования оптимального портфеля

.1 Постановка задачи

.2 Модель Шарпа

Глава 3. Реализация

Заключение

Список литературы

Введение

В наиболее развитых мировых экономиках в последние десятилетия происходит усложнение и усовершенствование механизмов перераспределения финансовых ресурсов. Поэтому на финансовых рынках наблюдается резкое увеличение активности портфельного инвестирования. Под влиянием различного вида политических и экономических, внешних и внутренних факторов фондовый рынок испытывает подъемы и падения. Для большого количества инвесторов ситуация на фондовых рынках нестабильна и чрезвычайно рискованна. Для финансовой деятельности важно располагать возможностью предвидеть и снизить риск.

Инвестор стремится к получению прибыли и, исходя из этого, должен составить портфель ценных бумаг таким образом, чтобы избежать различных видов риска. На данный момент существует два основных вида управления рисками портфеля. Несистематические риски (риски, которые относятся к отдельным определенным финансовым инструментам или их группам) можно сократить, используя диверсификацию инвестиционного портфеля, то есть включить в портфель не связанные друг с другом активы. В случае систематических рисков (риски отдельных инструментов, которые сильно коррелируют между собой) диверсификация лишь только усредняет риски. Поэтому, чтобы защититься от данного вида рисков, необходимо сформировать портфель, нечувствительный к колебаниям того или иного фактора риска. Данный подход к управлению риском имеет название хеджирование или иммунизация.

Наиболее распространен диверсифицированный портфель, так как практика показывает, что портфель, имеющий однородный состав, не может обеспечить стабильной доходности его держателю.

В состоянии рыночного равновесия полностью свободный от риска портфель имеет доходность, соответствующую доходности безрисковых инструментов. Обычно к ним относят государственные облигации. Вкладчик, который стремится получить большую прибыль вынужден пойти на риск. Во время составления инвестиционного портфеля он должен принять решение, насколько данный портфель может быть подвержен влиянию каждого из финансовых рисков. Выполняя данное условие, ставится вопрос о построении портфеля, который обеспечит максимальную доходность.

Существует множество типов финансовых инструментов. Инвестор при формировании портфеля помимо факторов риска должен учитывать должен также учитывать биржевые лимиты на совершение операций, налогообложение и ограничения органами регулирования. При подобных условиях задача построения инвестиционного портфеля принимает довольно сложный вид. Необходимым аппаратом для ее решения являются методы математического программирования.

На сегодняшний день состояние финансового рынка ставит перед необходимостью быстро, четко и адекватно реагировать на его изменения. Резко возрастает роль, заключающаяся в управлении инвестиционным портфелем. Она предполагает нахождение того баланса между легкореализуемостью, доходностью и рискованностью, который позволяет выбирать оптимальный состав портфеля. Для достижения этой цели служат разнообразные стратегические модели.

Актуальность темы

Ценные бумаги определяются как один из источников необходимого капитала для основных отраслей промышленности. Эффективное построение и стратегия управления инвестиционным портфелем в современной теории инвестиций являются одной из важнейших проблем. Комбинация инвестиционных инструментов, служащих для достижения поставленных целей, составляют инвестиционный портфель. Инвестируя средства в ценные бумаги, любой вкладчик старается достичь цели получения наибольшей доходности портфеля, тем не менее доход всегда взаимосвязан с риском, на который может пойти инвестор. Поэтому целью любого инвестора является нахождение наиболее приемлемого сочетания этих двух факторов. Инвестор, распределяя по различным направлениям свои вложения, может достичь наиболее высокой степени доходности своих вложений, либо понизить уровень их риска. Одной из характерных особенностей портфеля является то, что риск портфеля может быть существенно ниже, чем риск некоторых определенных инвестиционных инструментов, которые входят в состав портфеля.

Все большее число инвесторов рассматривает и использует возможности портфельного инвестирования. Это связано с тем, что данный способ инвестирования является наиболее безопасным, однако не менее затратным как по времени, необходимому для анализа рынка, так и материально. Большинство инвесторов применяют одну из нескольких моделей формирования портфеля, требующую качественных расчетов и позволяющую достигать целей инвестирования, как по уровню доходности, так и по уровню риска.

Этими факторами определен выбор тематики для данной работы - формирование оптимального инвестиционного портфеля.

Глава 1. Портфельные инвестиции

.1 Определение инвестиционного портфеля и этапы его формирования

Инвестиционную стратегию инвестора определяют его возможности и состояние рынка. Портфельное инвестирование располагает рядом особенностей и достоинств перед другими видами вложения капитала.

Инвестированием, в широком смысле, является любой процесс, целью которого является увеличение и сохранение стоимости денежных или иных средств. Инвестиционный капитал представляет собой средства, предназначенные для вложения. Со временем данный капитал может принимать различные однозначные виды. Та или иная конкретная форма инвестиционного капитала является инвестиционным активом.

Из данных выше понятий инвестирования и инвестиционных активов можно сделать умозаключение о важности роли таких факторов как время и стоимость. Один из главных принципов инвестирования заключается в том, что стоимость актива изменяется с течением времени.

Портфель - это совокупность чего-либо. Достаточно широкое понятие, применяемое в различных сферах экономики, говорящее о размере деятельности, экономической перспективе, месте на рынке и т.д. организации, предприятия, фирмы.

Портфельные инвестиции - это вклад в ценные бумаги денежных средств. Ценные бумаги выпущены на рынок различными инвесторами (например, государством, корпорациями и частными компаниями).

Исходя из понятия портфельных инвестиций, можно определить портфель ценных бумаг как совокупность ценных бумаг, обеспечивающий для инвестора удовлетворительные количественно-качественные характеристики финансовых инструментов.

Основными количественно-качественными характеристиками являются:

·        доходность,

·        надежность,

·        ликвидность,

·        уровень риска,

·        реализуемость.

При построении инвестиционного портфеля требуется учитывать целевую стратегию вложения в инвестиционные объекты. Главной задачей формирования структуры портфеля ценных бумаг является сбережение и приумножение капитала. При этом имеется ряд результатов, которых стремятся достичь при построении инвестиционного портфеля:

·        максимизация увеличения капитала,

·        максимизация увеличения дохода,

·        обеспечение безопасности (стабильность в получении дохода, а также страхование от разнообразных рисков);

·        обеспечение ликвидности.

Портфельное инвестирования представляет собой вложение в финансовые активы, ссылаясь на цели и задачи построения того или иного типа портфеля ценных бумаг. Главным составляющим построения портфеля ценных бумаг является процентное соотнесение между различными видами активов. Портфельное инвестирование в первую очередь направлено на:

·        составление плана секторов фондового рынка,

·        оценку и анализ инвестиционной деятельности,

·        контроль над инвестиционной деятельностью в всевозможных секторах фондового рынка

Портфель финансовых инструментов, с теоретической точки зрения, может содержать только одну ценную бумагу. Это может сопровождаться высокой степенью риска, поэтому при построении портфеля ценных бумаг выполняется замена одной ценной бумаги на другие. Данный способ позволяет усовершенствовать условия инвестирования, отмечая лучшие инвестиционные характеристики и обеспечивая при минимальном риске требуемую устойчивость дохода.

На фондовом рынке в настоящее время преобладают два типа участников: клиенты, у которых имеется проблема размещения свободного на данный момент капитала, и второй тип - клиенты с потребностью в оборотных средствах.

Следовательно, портфель ценных бумаг является совокупностью различных инвестиционных инструментов для достижения определенной цели инвестора. Он может состоять как из единственной ценной бумаги, так и из нескольких видов с различными инвестиционными ценностями: акциями, облигациями и др.

Инвесторы, вкладывая свободные денежные средства в ценные бумаги, формируют структуру портфеля. Уменьшение риска вложений, как правило, реализуется за счет диверсификации (разделения) портфеля, т.е. невысокие доходы по одним ценным бумагам компенсируются высокодоходными. При этом риск сокращается за счет использования ценных бумаг фирм различных, не связанных между собой отраслей экономики.

Основной принцип, который используют инвесторы, как правило, при формировании портфеля, гласит: чем более высоким возможным риском обладает ценная бумага, тем выше должен быть ее потенциальный доход и, аналогично, наоборот.

При построении портфеля ценных бумаг важно следовать следующим принципам, способствующим правильной установке соразмерностей между ценными бумагами с разнообразными экономическими характеристиками:

·        построение инвестиционного портфеля, отвечающего заданным целям подготовленной и принятой инвестиционной политики;

·        соответствие объема и состава инвестиционного портфеля его источникам для поддержки устойчивости и ликвидности предприятия;

·        наилучшее соотношение ликвидности, доходности и риска. Необходимо обеспечить финансовую устойчивость предприятия и сохранность средств;

·        диверсификации инвестиционного портфеля: альтернативные вложения, с целью повышения доходности и надежности, а также снижения риска инвестиций;

·        обеспечение реализуемости инвестиционного портфеля.

Инвестиционный процесс выступает в качестве принятия вкладчиком решения относительно ценных бумаг, в которые производятся инвестиции, сроков и объемов инвестирования. Ниже приведена процедура, состоящая из пяти этапов и составляющая основу инвестиционного процесса:

.        Подбор инвестиционной политики. Этот этап включает формулирование цели инвестора и определение объема инвестируемых средств. Риск и доходность должны учитываться целями инвестирования.

.        Проведение анализа рынка ценных бумаг. Данный этап подразумевает исследование определенных видов ценных бумаг (или групп бумаг).

.        Формирование структуры. На этом этапе определяются конкретные активы для вложения средств, а также доли инвестируемого капитала для распределения между активами.

.        Ревизия портфеля - это этап, связанный с периодическим повторением предыдущих трех этапов. Это связано с тем, что через какой-либо промежуток времени цели инвестирования могут изменяться, и в результате нынешний портфель может перестать быть оптимальным.

.        Оценка эффективности. Этот этап включает периодическое оценивание, как полученной доходности, так и показателей риска, с которыми сталкивается инвестор.

.2 Доходность и риск по портфелю

Доходностью по портфелю является прибыль в будущем. При этом необходимо учитывать те ценные бумаги, которые входят в состав портфеля.

Говоря о безопасности вложений, имеется в виду невосприимчивость инвестиций к различным потрясениям на фондовом рынке, стабильность получения дохода и легкореализуемость. Достижение безопасности происходит всегда в убыток доходности и увеличению вложений. Наилучшее совмещение доходности и безопасности регулируется тщательным подбором и непрерывной проверкой инвестиционного портфеля. Риском называется ценовое выражение вероятностного события, которое ведет к потерям. В мировой практике имеется большое количество классификаций рисков. Наиболее известной из них является разделение риска на систематический и несистематический. Риск кризиса финансового рынка в целом является систематическим риском.

Данный вид является недиверсифицируемым. При анализе систематического риска определяется: есть ли в целом необходимость иметь дело с портфелем ценных бумаг. Другой вид - несистематический риск. Он связан с определенным финансовым инструментом, этот тип риска можно минимизировать за счет диверсификации. Исследования выявили, что для портфеля, сформированного из некоторого количества разных видов финансовых инструментов, которые включены с помощью случайной выборки из данного на финансовом рынке набора, несистематический риск можно свести к минимуму. Степень несистематического риска - это некая оценка качества данного финансового инструмента.

Для минимизации рисков по портфелю ценных бумаг используют несколько различных способов снижения рисков, среди которых основными являются диверсификация и хеджирование. Диверсификацией называется вложение денежных средств в различные виды ценных бумаг. Различные между собой активы по-разному реагируют на смену внешних условий. В то время, как цены одних активов растут, цены других падают. Следовательно, потери по одному активу могут быть компенсированы прибылью по другому активу.

Хеджирование - это способ, основанный на страховании ценовых убытков на физическом рынке по сравнению с фьючерсным или опционным рынком. Механизм хеджирования заключается в том, что участник рынка в каждый момент времени занимает прямо противоположные позиции. Правда, этот способ имеет определенный недостаток, чтобы грамотно выйти из хеджирования необходимо постоянно контролировать состояние рынка и иметь качественный прогноз на будущее.


Возрастание рисков на рынке ценных бумаг значительно повышает требования к качеству управления портфелем.

Говоря об управлении инвестиционным портфелем, имеется в виду применение к множеству различных видов ценных бумаг определенных методов, которые в свою очередь направленны на сбережение первоначально вложенных финансовых средств, обеспечение инвестиционной нацеленности, а также достижение наивысшего уровня дохода портфеля.

Стратегии управления инвестиционным портфелем разделяют на два вида.

Первый - активная стратегия управления инвестиционным портфелем является стратегией управления, которая предполагает тщательный и непрерывный анализ рынка ценных бумаг, отслеживание состояние рынка в целях незамедлительного получения инструментов, соответствующих целям инвестиционного портфеля и продажи, быстрое изменение структуры инструментов, входящих в него.

При использовании этой стратегии возникают значительные финансовые затраты на аналитический, информационный, экспертный анализ рынка ценных бумаг. В свою очередь под пассивной стратегией управления инвестиционным портфелем предполагается такая стратегия управления, которая подразумевает построение хорошо диверсифицированного, спрогнозированного на длительную перспективу портфеля, у которого заранее определен уровень риска.

Применение этой стратегии имеет смысл только при достаточной эффективности рынка, наполненного ценными бумагами хорошего качества. Стабильность процессов рынка ценных бумаг определяет длительную неизменность портфеля. При повышенном уровне инфляции и нестабильной обстановке на рынке данная стратегия практически не эффективна.

Пассивная стратегия предполагает построение инвестиционного портфеля из долгосрочных ценных бумаг, имеющих сниженный риск. Все это помогает поддерживать инвестиционный портфель неизменным на длительном промежутке времени. Низкий уровень накладных расходов является преимуществом пассивной стратегии.

Основным, трудоемким и наиболее дорогостоящим элементом управления является мониторинг - это постоянный детальный анализ фондового рынка, его секторов тенденций его развития, инвестиционных качеств ценных бумаг.

Главный целью мониторинга считается нахождение ценных бумаг, имеющих инвестиционные свойства, соответствующие конкретному типу портфеля, который в свою очередь является объектом управления. Он является базой прогнозирования величины возможных, потенциальных доходов от инвестиционных инструментов и увеличения результативности операций с ценными бумагами.

Мониторинг - это элемент как активной, так и пассивной стратегии управления инвестиционным портфелем.

Глава 2. Модель формирования оптимального портфеля

.1 Постановка задачи

Пусть наш портфель состоит из  ценных бумаг. Тогда его доходность  и показатель риска  определяются следующими функциями:

 где

 - доля (в процентах) ценной бумаги в портфеле;

 - некоторая характеристика риска данной ценной бумаги;

 - доходность ценной бумаги.

При этом накладываются следующие естественные ограничения:

1) сумма долей всех акций составляет 100%:


2) доли не могут быть отрицательными:

Решением задачи является некий состав портфеля, представленный набором значений .

Существует два вида задачи: прямая и обратная. Прямая задача подразумевает максимизирование доходности портфеля при заданном риске, а обратная - минимизирование риска при заданной доходности.

.2 Модель Шарпа

инвестиционный портфель модель управление

В основе модели Шарпа лежит взаимозависимость доходности каждой ценной бумаги с доходностью рынка в целом.

Такая модель построения инвестиционного портфеля как модель У. Шарпа хорошо работает в периоды стабильного роста национальной экономики.

Это замечание, как правило, относится к зарубежным фондовым рынкам <#"904553.files/image012.gif">

где

 - отклонение доходности ценной бумаги от безрисковой,

 - отклонение доходности рынка от безрисковой,

α, β - регрессионные коэффициенты.

Отсюда можно рассчитать по прогнозируемой доходности всего рынка ценных бумаг доходность отдельно взятой ценной бумаги:


где

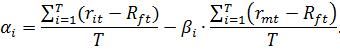
,  - коэффициенты регрессии  - й ценной бумаги.

Коэффициент αi равен нулю при условии, если рынок ценных бумаг пребывает в равновесии.

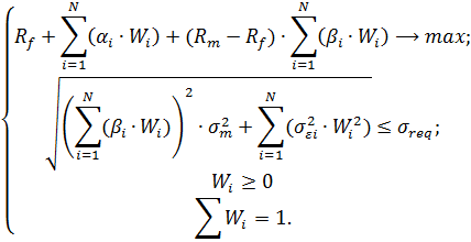
Для нахождения характеристик портфеля с использованием модели Шарпа прямая задача имеет вид:

Обратная задача приобретает аналогичный вид:


Для того, чтобы на практике применять модель Шарпа в целях оптимизации портфеля, используются следующие ниже формулы и допущения.

Как правило, безрисковую ставку доходности  определяют в качестве доходности государственных ценных бумаг, примером может являться облигации внутреннего государственного займа.

Для определения доходности за период  рынка ценных бумаг в целом применяются оценки экспертов о рыночной доходности из средств массовой информации, от аналитических компаний и т. п. Также в среде развитого фондового рынка для достижения этих целей принято использовать различные фондовые индексы. Для фондового рынка с не очень большим количеством ценных бумаг принимается среднее значение доходности ценных бумаг, которые составляют рынок, за тот же период :


где

 - доходность рынка ценных бумаг в период ;

 - доходность  - й ценной бумаги за период .

Показатель  («бета») является характеристикой степени риска бумаги и показывает, во сколько раз изменение цены бумаги превосходит изменение рынка в целом. Если бета принимает значение больше единицы, то данную бумагу можно отнести к инструментам с повышенным уровнем риска, это связано с тем, что ее цена в среднем движется быстрее рынка. Бета, имеющая значение меньше единицы, показывает, что степень риска данной бумаги относительно низкая, т.к. в течение периода глубины расчета ее цена изменялась медленнее, по сравнению с рынком. Если бета меньше нуля, то это означает, что в среднем движение этой бумаги в течение периода глубины расчета было противоположно движению рынка.

 - риск ценной бумаги рассчитывается по формуле:


где

 -- риск  - й ценной бумаги;

 - безрисковая доходность в период ;

- рассматриваемое количество периодов времени.

Коэффициент  отражает избыточную доходность (положительную или отрицательную) данной ценной бумаги, то есть показывает, насколько данная ценная бумага недооценивается или переоценивается инвесторами.

Избыточная доходность ценной бумаги рассчитывается по формуле:


Помимо этого, модель Шарпа имеет некоторое свойство: возможен случай, когда оцениваемое отклонение доходности ценной бумаги не будет лежать на построенной линии регрессии. Данный вид риска называют остаточным риском. Он определяет уровень отклонений значений доходности ценной бумаги относительно линии регрессии.

Остаточный риск обозначают как  и вычисляют как среднее квадратическое отклонение эмпирических точек доходности ценной бумаги от линии регрессии:


Другими словами  - риск и остаточный риск определяют показатель риска инвестирования средств в конкретную ценную бумагу.

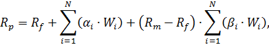
По Шарпу доходность портфеля является средним взвешенным значением составляющих его показателей доходности ценных бумаг, при этом учитывается  - риск. Доходность портфеля вычисляется по формуле:


где

 - безрисковая доходность;

 - ожидаемая доходность рынка в целом.

Риск рынка ценных бумаг в целом определяется по формуле:

Глава 3. Реализация

В этой части представлено численное моделирование оптимизации инвестиционного портфеля. Для того, чтобы рассчитать характеристики портфеля, воспользуемся моделью Шарпа, формулы для их вычисления представлены в пункте 2.2. Для решения оптимизационной задачи необходимо воспользоваться программой Excel, а также воспользоваться ее надстройкой - Solver («поиск решений»). В качестве исходных данных используются еженедельные котировки акций десяти компаний США: 3M co, AT&T, Inc. American Express, Apple Inc, Coca-Cola co, DuPont, EMC Corp, Exxon Mobil, Johnson & Johnson, Walt Disney. Котировки акций берутся за два периода:

1) 2012-2016 годы - период отсутствия кризиса в стране;

2) 2008-2016 годы - период, охватывающий кризис в стране.

На основе этих данных рассчитаны основные характеристики каждой ценной бумаги:  - риск, избыточная доходность и остаточный риск. Результаты расчета за первый, бескризисный период, приведены в таблице 1.

Таблица 1

Характеристики ценных бумаг в период отсутствия кризиса в стране


Из таблицы 1 видно, что имеется три бумаги с повышенным уровнем риском: Apple Inc., DuPont, EMC Corp.

Аналогичные результаты расчетов для периода, охватывающего кризис, приведены в таблице 2.

Таблица 2

Характеристики ценных бумаг в период, охватывающий кризис в стране


Из таблицы 2 видно, что имеется пять бумаг с повышенным уровнем риском: American Express, Apple Inc., DuPont, EMC Corp., Walt Disney.

Используя “поиск решения”, надстройку табличного процессора Excel, было найдено решение прямой задачи по оптимизации инвестиционного портфеля. Далее после получения данных рассчитывались оптимальные составляющие фондового портфеля из рассматриваемых ценных бумаг, которые в свою очередь обеспечивают максимально возможную доходность при установленном уровне риска. Рнезультаты приводятся в таблице 3 и таблице 4.

Таблица 3

Решение прямой задачи по оптимизации фондового портфеля для периода отсутствия кризиса в стране


Таблица 4

Решение прямой задачи по оптимизации фондового портфеля для периода, охватывающего кризис в стране


Из таблиц 1 и 2 видно, что при максимальном риске портфель составляет только одна бумага - Walt Disney. С постепенным уменьшением риска к полученному портфелю добавляются другие бумаги.

Построим зависимость доходности и риска для обоих периодов (рис.1, рис.2).

Рис.1. Зависимость доходности и риска в период отсутствия кризиса в стране

Рис.2. Зависимость доходности и риска в период, захватывающий кризис в стране

Основываясь на графиках зависимости доходности и риска, можно сделать вывод, что в обоих случаях с увеличением риска увеличивается доходность портфеля.

Заключение

Из результатов представленный в таблицах 1 и 2, полученных в результате численного моделирования, очевидно, что состав нашего оптимального портфеля меняется под влиянием экономической ситуации в стране.

Основным преимуществом модели Шарпа является математически обоснованная взаимосвязь доходности и риска: чем более высок  - риск, тем выше доходность данной ценной бумаги.

Основным недостатком является то, что колебания безрисковой доходности не учитываются в модели. Помимо этого, она дает искажения при сильном изменении соотношения между доходностью фондового рынка и безрисковой доходностью. Следовательно, модель Шарпа применяется в том случае, если рассматривается достаточно большое количество ценных бумаг, которые описывают наибольшую часть относительно стабильного фондового рынка.

Подводя итог, необходимо отметить, портфели, обеспечивающие наибольшую доходность при фиксированном уровне риска и наименьший риск при установленном уровне ожидаемой доходности, содержат эффективное множество.

Диверсификация усредняет рыночный и собственный риск и вследствие этого способствует снижению риска.

Моделирование и оценка портфеля могут проводиться на базе различных методов и определяться целями инвестора.

На текущий момент существует теория портфеля, состоящая из нескольких этапов:

) Оценка активов,

) Инвестиционные решения,

) Оптимизация портфеля,

) Оценка результатов.

Инвестиционный (фондовый) портфель является оптимальным в том случае, если доход от вложений максимален при минимальном риске.

Список литературы

1.       Абрамов А.Е. Инвестиционные фонды: доходность и риски, стратегии управления портфелем, объекты инвестирования. М.: Альпина Бизнес Бук, 2005.

.        Аскинадзи В.М., Максимова В.Ф. Портфельные инвестиции. М.: Московская финансово-промышленная академия, 2005.

.        Бригхем Ю., Гапенски Л., Финансовый менеджмент: полный курс: 2т., М., 2000.

.        Иванов А.П., Саркисян А.С. Риск и доходность инвестиционного портфеля. Рынок ценных бумаг, 2004.

.        Касимов Ю.Ф. Основы теории оптимального портфеля ценных бумаг. М.: Издательско-информационный дом «Филинъ», 1998.

.        Ковалев В.В., Уланов В.А., Курс финансовых инвестиций, М.: Финансы и статистика, 2002.

.        Коноплева Ю.А. Теории формирования эффективного инвестиционного портфеля // Известия Уральского государственного экономического университета. 2015. № 3, 59. C. 48-55.

.        Кузнецова М.В., Мальцев Д.М., Голубев А.А. Фондовые рынки и фондовые операции. Спб: ИТМО, 2013.

.        Лобанов А.А., Чугунов А.В. Энциклопедия финансового риск-менеджмента. Альпина паблишер: Москва, 2003.

.        Савчук В.П. Бюджет капитала и финансовое обоснование инвестиционного проекта. Киев, 2004.

.        Скрипниченко М.В. Портфельные инвестиции: Учебное пособие. СПб: Университет ИТМО, 2016.

.        Теплова Т.В. Инвестиции : учебник. М.: Юрайт, 2011.

.        Тьюз Р., Бредли Э., Тьюз Т., Фондовый рынок, М.: ИНФРА-М., 1997

.        Шарп У.Ф., Александер Г.Дж., Бэйли Дж.В. Инвестиции. М.: Инфра-М, 2001

.        Янковский К.П. Инвестиции. Спб: Питер, 2008.

Похожие работы на - Портфельные инвестиции

 

Не нашли материал для своей работы?
Поможем написать уникальную работу
Без плагиата!
Без нейросетей!