Портфельные инвестиции
ТЕМА 1. ПОРТФЕЛЬНЫЕ ИНВЕСТИЦИИ. ОСНОВНЫЕ
ПОЛОЖЕНИЯ
1. Инвестиции.
Понятия и классификация.
. Инвестиционный
портфель. Понятия, типы и принципы формирования.
Инвестиции представляют собой рисковое
размещение средств в объект предпринимательской деятельности финансового
источника с целью получения прибыли или достижения социального эффекта.
Обязательным элементом инвестиций является цель получения прибыли.
Инвестиции классифицируются следующим образом:
. По объектам инвестиций:
А) инвестиции в недвижимость;
Б) Капитальные инвестиции или прямые инвестиции;
В) финансовые инвестиции;
. По объектам финансовых инвестиций:
А) Инвестиции в рынок капиталов;
Б) Инвестиции в денежный рынок;
. По срокам инвестирования:
А) краткосрочные инвестиции; (до 1 года)
Б) Инвестиции на средний срок; (до 5 лет)
В) Долгосрочные; (свыше 5 лет)
. По степени риска:
А) Рискованные или агрессивные инвестиции;
Б) Инвестиции с низкой степенью риска или
консервативные;
В) Инвестиции с умеренной степенью риска;
. По источникам финансирования:
А) Инвестиции за счёт собственных средств;
Б) Инвестиции за счёт заёмных средств;
Инвестиционный портфель представляет собой
совокупность инвестиционных инструментов или активов, находящихся во владении
инвестора в целях реализации инвестиционной деятельности.
Инвестиционный портфель формируется в
соответствии со следующими основными принципами:
. Принцип обеспечения реализации
инвестиционной стратегии.
. Принцип соответствия портфеля
инвестиционным ресурсам.
. Принцип оптимизации соотношения между
рентабельностью и риском.
. Принцип оптимизации соотношения между
рентабельностью и ликвидностью.
. Принцип обеспечения управления
портфеля.
Виды инвестиционного портфеля:
. В зависимости от инвестиционных
объектов:
А) портфель реальных инвестиций;
Б) портфель финансовых инвестиций;
В) Портфель банковских депозитов;
. В зависимости от предпочтения
инвесторов:
А) портфель роста, предполагает размещение
капитала в ценные бумаги с большими шансами доходности, но большим уровнем
риска;
Б) Портфель со стабильной доходностью - это
портфель, обеспечивающий регулярный доход с умеренной степенью риска;
В) Осторожный портфель, предполагает инвестиции
капитала в безрисковые инструменты и с небольшой доходностью;
Г) Классический портфель, полагает получение
дохода выше среднего, допуская определённую степень риска;
Д) агрессивный портфель, имеет цель в получении
как можно больше доходов, не обращая внимания на степень риска;
Е) спекулятивный портфель, имеет цель получения
быстрых доходов, принимая на себя высокую долю риска.
ТЕМА 2. ДОХОДНОСТЬ ИНВЕСТИЦИЙ В ЦЕННЫЕ БУМАГИ
инвестиция продажа облигация
Инвестиционный доход в ценные бумаги состоит из
двух основных элементов:
. Текущая доходность, которая
предполагает периодические поступления в виде дивидендов или процентов по
ценным бумагам;
. Рост капитала (курсовая разница),
предполагает разницу в цене покупки и цене продажи;
Показатели:
. Доходность за период владения:
CV -
текущая
доходность;
SC - рост
капитала;
Ii -
первоначальные инвестиции;
Пример: Инвестор приобрёл облигацию по цене 98
леев за период владения данной бумагой он получил процент в размере 10 леев. В
конце периода владения облигация была продана по цене 99 леев. Определить
доходность за период владения.
HPR = (10+ ( 99
-98) )/ 98 = 0.01 = 11%
. Полная доходность
I - первоначальные
инвестиции;
Pt - денежные
потоки, генерируемые в течении периода вадения;
i - внутренняя
ставка рентабельности;
Чистая актуализированная стоимость.
Пример: Инвестор приобрёл финансовый актив по
цене 1000 леев, который ему несёт годовую прибыль в течении 3 лет 150 лей.
Через 3 года он решает его продать по цене 1010 леев. Определить общую
доходность инвестиций.
3. Доходность портфеля ценных бумаг.
1) 

- Ожидаемая доходность портфеля;
W1 -
стоимость портфеля в конце периода;
W0 -
первоначальная стоимость портфеля;
) 


- ожидаемая доходность инструмента;
n -
количество инструментов в портфеле;
Пример: В начале года инвестор имел
в своём портфеле 4 ценные бумаги в следующих количествах и последующем текущем
и ожидаемым ценам.
|
ЦБ
|
Количество,
шт.
|
Текущая
цена
|
Ожидаемая
доходность в конце года
|
|
1
|
100
|
50
|
50
|
|
2
|
200
|
35
|
40
|
|
3
|
50
|
25
|
50
|
|
4
|
100
|
100
|
110
|
Определить ожидаемую доходность данного портфеля
двумя способами.
1 способ:
W0 = 100*50 +200*35
+ 50*25 +100*100= 23250
W1 = 100 *
50+200*40+50*50+100*110=26500
2 способ:
X1 = 50*100/23250 =
0.215
X2 = 35*200/23250 =
0.301
X3 = 25*50/23250 =
0.0538
X4 = 100*100/23250 =
0.4301
r1 = (50-50) /50
*100% = 0%
r2 = (40-35) /35
*100% = 14.29%
r3 = (50-25) /25
*100% = 100%
r4 = (110-100) /100
*100% = 0%
rp =
0.215*0+0.301*14.29+0.0538*100+0.4301*10 =13.98
инвестиция продажа облигация
ТЕМА 3. ИНВЕСТИЦИОННЫЙ РИСК
. Виды инвестиционных рисков.
. Показатели измерения рисков в ценные
бумаги.
Риск составляет вероятность отклонения
инвестиционного дохода от ожидаемых его размеров.
Виды рисков:
.Процентный риск или риск изменения процентых ставок
касается неопределённости, изменения курса ценных бумаг, в зависимости от
изменения процентных ставок на рынке. С увеличением процентной ставке на рынке
уменьшается рыночная цена ценной бумаги. В особенности на облигации с
фиксированным процентом и, наоборот, в случае уменьшения процентной ставки
рыночная цены ценных бумаг увеличивается.
.Кредитный риск - это неспособность эмитента
обслуживать рыночные выпущенные ценные бумаги (облигации).
.Рыночный риск определяет влияние независимых
факторов экономического, политического, социального характера, который мог бы
повлиять на курс данной ценной бумаги.
.Риск ликвидности - это невозможность реализации
данной ценной бумаги по желаемой цене.
.Операционный риск - относится к уровню ожидания
денежных потоков и ожидаемых этапов деятельности.
.Риск инфляции - риск обесценивания наших
средств, вложенных в ценные бумаги.
.Риск досрочного отзыва касается долгосрочных
облигаций в случае если эмитент через некоторое время воспользуется правом
отозвать с рынка данные ценные бумаги.
Показатели измерения рисков в ценные бумаги:
. Ожидаемая средняя стоимость.
pi -
вероятность наступления рентабельности ri;
ri -
ожидаемая
рентабельность инструмента i;
N - количество
оценок;
. Вариация определяет насколько сильно
отличается индивидуальный результат от среднего:

- среднестандартное отклонение
σ - определяет сумму процентов и
если оно велико, то слабая вероятность наступления события.
3. Коэффициент вариации
Отношение стандартного отклонения к ожидаемой
норме доходности.
Пример: Анализируется возможность инвестиций в
акции Компании «Х». Были подсчитаны следующие вероятности получения доходности
от акций.
|
Nr.
|
r %
|
P
|
|
1
|
-10
|
|
2
|
0
|
0.25
|
|
3
|
10
|
0.4
|
|
4
|
20
|
0.2
|
|
5
|
30
|
0.05
|
Определить ожидаемую рентабельность, σ,
коэффициент
вариации.
1) 
=
0.1*(-10)+0.25*0+0.4*10+0.2*20+0.05*30=8.5%
2) 
=
0.1(-10-85)2+0.25(0-8.5)2+0.4(10-8.5)2+0.2(20-8.5)2+0.05(30-8.5)2= =102.75

3) 
=1.19 ( > 1 - много)
. Ковариация определяет насколько
зависимы друг от друга два финансовых инструмента.
В случае положительном значении ковариации
доходность двух элементов изменяется в одинаковом направлении. Отрицательное
значение ковариации указывает на обратную зависимость доходности двух
инструментов. Если ковариация равна 0, это означает об отсутствии зависимости.
. Коэффициент корреляции.
[ -1; + 1] В случае, если р= -1 =>
совершенно
отрицательная корреляция, обратная зависимость; р= +1 => совершенно
положительная корреляция;
р= 0 => отсутствие зависимости.
Пример: имеем следующие расчёты доходности риска:
|
rx , %
|
ry , %
|
P
|
|
-10
|
15
|
0.15
|
|
5
|
10
|
0.2
|
|
10
|
5
|
0.3
|
|
20
|
0
|
0.35
|
Определить ковариацию и корреляцию.
1) 
= 9.5 % 
= 5.75
Cov =
(-10-9.5)(15-5.75)+0.2(5-9.5)(10-5.75)+0.3(10-9.5)(5-5.75)+
+0.35(20-9.5)(0-5.75)= -52.13
2) σx = 9.99 %
σy = 5.3 %
ТЕМА 4. ОЦЕНКА ОБЛИГАЦИИ
. Общая характеристика облигаций.
. Оценка облигаций с нулевым купоном.
. Оценка облигаций с периодической
выплатой процентов.
Облигация - это ценная бумага, долговое
обязательство дающее право его владельцу на периодическое получение дохода в
виде процентов, а также номинальной стоимости облигации на дату погашения.
Облигация - это долгосрочный инструмент сроком
обращения более 1 года.
Облигации характеризуются следующими элементами:
. Номинальная стоимость;
. Срок погашения (обращения);
. Цена выпуска;
. Купоном, который выплачивается 1,2 или
4 раза в год;
. Ставкой купонов - это соотношение
годового купона к номинальной стоимости;
Инвестиционный доход от облигации состоит
из:
. Дохода, полученного в виду процентов;
. Роста капитала;
VC - текущий
доход;
SC- рост
капитала
Po - цена
покупки облигации;
Показатели :
. Номинальная ставка прибыли к погашению:
-
номинальная ставка прибыли к погашению;
N- номинальная
стоимость облигации;
Пример: Инвестор приобретает облигацию с нулевым
купоном с номинальной стоимостью 100 лей. Сроком обращения 91 день по цене
покупки 96,55. Определить номинальную стоимость прибыли к погашению.
2. Номинальная ставка прибыли за период
владения.
.
- номинальная ставка прибыли за период
владения;
P1 - цена продажи;
P0 - цена покупки;
t - период владения
бумагой;
Пример: Инвестор продаёт облигацию с нулевым
купонов по цене 99,03, купленную раннее по 92,56. Определить номинальную ставку
прибыли за период владения. Срок владения бумагой 192 дня.
. Эффективная ставка прибыли к погашению.
- Эффективная ставка прибыли к погашению;
N - номинальная
стоимость облигации;
Po - цена
покупки;
t - срок обращения
бумаги;
Пример: Инвестор приобретает облигацию с нулевым
купоном с номиналов 100 леев, сроком обращения 273 дня и ценой покупки 92,55.
Определить эффективную ставку прибыли к погашению.

Показатели:
. Текущий ставка прибыли облигации.
Rcs - текущая
ставка прибыли облигации;
N - номинальная
стоимость;
R - ставка купона;
Po - цена
покупки;
. Эффективная ставка прибыли облигаций.
RCSE -
эффективная ставка прибыли облигаций;
R - ставка купона;
f - количество
выплат купона в год;
Po - цена
покупки;
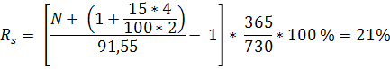
Пример: Инвестор приобрёл облигацию с
номинальной стоимостью 100 лей с процентной ставкой 15 % с полугодовой выплатой
купонов. Определить текущую ставку прибыли облигаций простую и эффективную.
Учитывая, что цена покупки составила 91,55 лея.
2. Номинальная ставка прибыли к погашению.
Rs -
номинальная ставка прибыли к погашению;
N - номинальная
стоимость;
R - ставка купона;
n - общее количество
выплат;
f - количество выплат
купона в год;
Po - цена
покупки;
t - срок обращения;
Пример: Инвестор приобрёл облигацию с
номинальной стоимостью 100 леев, ставкой купона 15 % годовых с полугодовой
выплатой купонов, сроком обращения 2 года. Определить номинальную ставку
прибыли к погашению облигации. Учитывая, что цена покупки составляет 91,55.
2. Эффективная ставка прибыли к погашению,
которая является основой для расчёта цены облигации.
- размер купона;
Re - желаемая
к погашению прибыль;
N - номинальная
стоимость;
Пример: Инвестор приобретает облигацию
номинальной стоимостью 100 леев, процентной ставкой купона 15 % годовых с
полугодовой выплатой купонов, сроком обращения 2 года. Определить цену покупки
облигаций, учитывая, что эффективная ставка прибыли к погашению желаемая
инвестором составляет 32%.
Тема 5. Оценка акций.
Акция - ценная бумага, дающая владельцу право на
получение дивидендов и другие специфические права. Акции находятся в свободном
обращении, могут быть отчуждены владельцем в любой момент.
Ставка доходности по акциям:
Способы определения стоимости акций:
1. Метод капитализации доходов:
V - стоимость акции
при определённых условиях;
CF -
количество дивидендов за период;
K - желаемая ставка;
t -
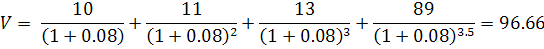
Пример: Инвестору предлагается приобрести акцию
компании ЮРА. В первый год предполагается получение дивидендов 10 лей за акцию,
второй год 11 лей за акцию, третий 13 лей. Через 3,5 года инвестор надеется
продать за 89 лей. Определить стоимость бумаги, если эффективная ставка прибыли
желаемая инвестором составляет 8 % годовых.

V - стоимость акции;
D - ожидаемый
дивиденд;
K - желаемая ставка;
Rf -
процентная ставка на безрисковые документы;
Rm - средняя
процентная ставка на рынке;
𝜷 -
коэффициент рынка, который определяется для каждой акции в отдельности лицом,
приобретающим акцию.
1. Метод постоянного роста.
K - ожидаемая
ставка;
g - процент роста
дивидендов;
D -
ожидаемый
дивиденд;
Пример: В текущем года компания оплатила
дивиденды в размере 25% за акцию и ожидается их рост 6 % в год. Определить
стоимость акции, если эффективная ставка прибыли желаемая инвестором равна 10%.
Тема 6. Управление портфелем облигаций.
1.Пассивные стратегии управления портфелем
облигаций.
. Активные стратегии управлением портфелем
облигаций.
Пассивные методы управления портфелем облигаций
основываются на предположении, что рынки облигаций имеют средний уровень
эффективности и текущие цены на облигации адекватно реагируют на всю информацию
доступную широкому кругу инвесторов, то есть облигации оцениваются в
соответствии с их прибыльностью и риском. Основной стратегией пассивного
управления облигациями является диверсификация, то есть присутствие в портфеле
инвестора многих видов облигаций. При этом различают диверсификацию:
по иерархическому принципу;
по срокам погашения;
по отраслям экономики; и т.д.
В соответствии с международной практикой были
разработаны ряд стратегий, касающиеся распределения сроком инвестиций.
1. Политика униформенного распределения -
состоит в выборе максимального срока инвестирования облигаций и распределения
инвестиций в равных пропорциях между разными интервалами времени в пределах
этого срока. Инвестиционные средства инвестируются таким способом, чтобы в
течении последующих 5 лет каждый год происходило погашение определённой части
инвестиционного портфеля.
2. Политика - оценка на короткий срок.
Заключается в приобретении ценных бумаг, выпущенных на короткий срок и
размещение всех инвестиционных средств в пределах короткого интервала времени.
Преимущество данной стратегии заключается в высокой ликвидности данного
портфеля и позволяет избежать больших потерь в случае роста процентных ставок.
. Политика акцента на долгий срок.
Противоположна политика на короткий срок. Данный портфель мене ликвидный и
ожидание инвестора базируется в основном на падение процентных ставок.
. Стратегия «штанги». Состоит в
совмещении стратегий на короткий срок и на длительный срок. Заключается в том,
что инвестор размешает самую большую часть средств в краткосрочные облигации с
высокой ликвидностью, а оставшуюся часть в долгосрочные облигации,
обеспечивающие устойчивые доходы. Преимущество данной стратегии заключается в
том, что она способствует удовлетворению потребностям ликвидности инвестора и
получению долгосрочного дохода.
. Стратегия ожидания процентных ставок,
является самой агрессивной из всех пассивных стратегий и заключается в том, что
инвестор постоянно обновляет данный портфель в соответствии с прогнозом
процентных ставок и экономической конъюнктуры. В случает прогноза роста
процентных ставок приобретаются краткосрочные облигации и, наоборот.
. Стратегия иммунизации основывается на
таком показатели как дюрация. Дюрация - это средневзвешенный срок до погашения,
в течении которого денежные потоки, инкассированные инвестором обеспечивают
возврат вложенных средств.
F1 - объём купона;
K - желаемая ставка
доходности;
P0 - цена покупки;
n - порядковый номер
выплаты;
Методы активного управления портфелем облигаций
основывается на предположении, что рынок облигаций не является на столько
эффективным, чтобы инвестор не смог извлечь прибыль большую чем средний
уровень, то есть инвестор всегда может найти на рынке недооцененные облигации
или может спрогнозировать эволюцию процентных ставок и сыграть правильно на
сроках до погашения. Для этого используются горизонтальный анализ, в рамках
которого просматривается определённый период времени и возможная структура
процентных ставок на начало и конец периода времени, анализируя возможную
прибыль двух облигаций: той, которой находится в портфеле инвестора и той,
которая может её заменить. Анализ осуществляется в 4-х разделах:
1. Эффект времени.
2. Эффект изменения процентных ставок.
. Выплата купонов.
. Процент от реинвестирования купонов.
На основе осуществляемого анализа делаются
соответствующие выводы о необходимости приобретения или замене облигаций из
портфеля.
Операции по замене облигации из портфеля могут
быть классифицированы следующим образом:
1. Замена на аналогичную облигацию.
Мотивом может быть временное отклонение спроса и предложения на рынке.
Временный дисбаланс.
2. Замена сегмента рынка. Операция
заключается в целях перехода от того сегмента рынка, где образовалась более
высокая доходность.
. Замена в виду ожидания изменения
процентных ставок.
. Замена на перспективу.
Стратегия, основанная на кривых процентных
ставок.
Кривая процентных ставок определяет зависимость
процентных ставок от срока его погашения. Кривые процентных ставок имеют положительное
направление, то есть находятся в росте, если процентные ставки по долгосрочным
ценным бумагам больше процентных ставок по краткосрочным ценным бумагам. Кривые
ценных бумаг имеют отрицательное направление, то есть понижаются, если
процентные ставки по краткосрочным ценным бумагам больше процентных ставок по
долгосрочным ценным бумагам. Бывают случаи, когда кривая процентных ставок
определяется по прямой, если процентные ставки по долгосрочным и краткосрочным
ценным бумагам сильно не отличаются друг от друга. Форма кривой процентных
ставок определяет решение инвестиционного менеджера, то есть кривая процентных
ставок позволяет сделать прогноз изменения процентных ставок в будущем. Кривая
процентных ставок позволяет инвестору определить недооцененные и переоцененные
ценные бумаги, то есть та ценная бумага, процентная ставка которой находится
над кривой доходности в определённой её точке является привлекательным объектом
для приобретения, так как процентная ставка этой бумаги временно является повышенной,
соответственно цена понижена. Ценная бумага, цена которой находится ниже кривой
доходности является привлекательным объектом для продажи и неприемлемой для
покупки, а также цена по такой бумаге будет завышена.
Тема 7. Управление портфелем акций.
1. Пассивные стратегии управления
портфелем акций.
2. Активные стратегии управления портфелем
акций.
Инвесторы, которые применяют пассивные стратегии
считают, что рынок оценивает правильно все акции и что практически невозможно
получить более высокую доходность, чем среднюю на рынке.
Стратегии:
1. Buy
and hold.
( бай энд холд, перевод см. в словаре! Специально для Оль и Блондинок)
Стратегия такого типа является относительно простыми и состоят в формировании
портфеля акций основе определённых критериев и поддержание этой структуры
портфеля в течении определённого промежутка времени, известного под именем
инвестиционный горизонт. Если такой портфель сформирован больше не продаются и
не покупаются активно акции.
2. Индексная стратегия. Согласно этой
стратегии инвестор формирует портфель из акций компаний, включаемых какой-либо
из биржевых индексов.
Активные стратегии управления акциями имеют в
основе убеждение, что рынки капталов не являются абсолютно эффективными, то
есть инвесторы убеждены, что вся имеющаяся информация о рынке в целом и о
конкретной компании не отражается точно и полностью в рыночной цене акции. Как
следствие имеется недооцененные акции или переоцененные акции. Цель инвестора в
данном случае а определении реальной стоимости акции.
Стратегии:
1. Стратегия наблюдения стоимости.
Инвесторы, применяющие данную стратегию используют фундаментальный анализ для
оценки экономической деятельности компании и прогнозирования её развития. Они
используют различные модели оценки акций и часто действуют вопреки общего
мнения. Данные аналитики стараются увидеть то, что не видят другие участники
рынка, тем самым они могут определить недооцененную ценную бумагу купив её по
меньшей цене, спрогнозировав её дальнейший рост. Или продать во время ту ценную
бумагу, которая по их мнению стоит больше чем должна быть. На рынке очень важна
информация. Возможный вариант данной стратегии. Стратегия диверсификации. При
данной стратегии инвесторы формируют инвестиционный портфель, не отдавая
приоритеты по каким-либо отраслям или сегментам рынка, при этом инвестор следит
за развитием событий каждой акции, включённой в портфель вовремя меняет его
структуру, в зависимости от конъюнктуры рынка.
2. Стратегия роста. Заключается в
приобретении акций определённого сегмента рынков отрасли или групп предприятий.
Подвиды:
1.Классическая
стратегия роста. Применяется в случае компаний, имеющих большую тенденцию к
росту доходности. Естественно ожидается рост их акций. Это относится прежде
всего к молодым компаниям, акции которых не известны широкому кругу лиц.
2. Стратегия
агрессивного роста. Состоит в концентрации внимания инвестора к акциям
предприятий, которые отличаются высокими ритмами роста в области высоких
технологий.
3. Стратегия,
основанная на прибыли.
Характеризуется инвестированием в акции компании
с высоким уровнем прогнозируемых дивидендов.
1. Стратегия, основанная на цикличности
экономики. Стратегия основывается на экономической теории, что экономическое
развитие включает в себя фазы роста, стогнации, упадка и финансового кризиса.
Менеджер, который использует данную стратегию старается *спрогнозировать
дальнейшее развитие экономики в целом.
2. Стратегия постоянной стоимости,
состоит, что инвестор инвестирует определённую сумму денег, покупая ежемесячно
акции какого то инвестиционного фонда. Если цена акций упадёт, инвестор купит
больше акции за эту же сумму денег. Если цена акций возрастёт, купит меньше, но
за такую же сумму. Таким образом инвестор добивается средней цены акций за
вложенные средства.
. Стратегия, основанная на хетжинге.
Самая простая хеджинговая стратегия заключается в том, что инвестор приобретает
опцион типа «пут» акций, которыми он владеет. Также инвестор может себя
обезопасить путём приобретения фьючерсных контрактов.
. Стратегия приобретения акций с помощью занятых.
Если инвестор прогнозирует рост курса акций он берёт кредит на их покупку,
надеясь в дальнейшем их продать, вернуть кредит и остаться в
плюсе.(маржинальные сделки) Если инвестор прогнозирует падение курса акций, он
одалживает акции в долг, продаёт их, надеясь в дальнейшем после падения курса
их купить заново и остаться в выгоде.(короткие продажи)
Тема 8. Фундаментальный анализ рынка ценных
бумаг.
Фундаментальный анализ состоит в основе
формирования инвестиционного портфеля. Он основывается на методах прогноза,
среди которых выделяются следующие:
. Стратегия прогнозирования сверху вниз,
которая включает в себя три посредственных прогноза:
. Прогноз на уровне отрасли или подотрасли.
. Прогноз конкретной компании.
. Прогноз
снизу вверх. Вначале оцениваются перспективы конкретных компаний, потом
делаются прогнозы по отраслям и наконец в целом по экономике.
3. Вероятностный прогноз, который
концентрируется в основном на прогнозе экономики в целом. В рамках этого метода
анализируются различные сценарии развития экономики, учитывается вероятность их
возникновения. В последующем на основе этих сценариев делаются прогнозы о
перспективах отраслей компании и динамики курса акций. Этот анализ основывается
на принципе «что если»? Факторы анализируемые на макроэкономическом уровне
делятся на две категории:
1.Неожиданные. Сюда относятся события
политического или природного характера, реже экономического.
2.Планируемые
или ожидаемые. События экономического плана.
По критерии важности фундаментальные факторы
подразделяются на три категории:
. Динамика Внутреннего Валового Продукта
(ВВП).
2. Дефицит торгового баланса.
. Дефицит платёжного баланса.
. Индекс инфляции.
. Официальные ставки рефинансирования.
. Уровень безработицы.
. Данные о денежной массе.
II.
1. Объём розничных продаж.
2. Объём жилищного строительства.
3. Индексы промышленной продукции.
4. Производительность труда.
III.
1. Биржевые индексы акций.
2. Процентные ставки по г.ц.б. и их
динамикам.
. Депозитные ставки.
. Курс национальной валюты и его
динамика.
Основные источники информации для осуществления
комплексного анализа конкретной компании является бухгалтерский баланс, отчёт о
доходах и расходах и приложение к ним.
Основные финансовые показатели, которые анализируются
в рамках фундаментального анализа являются:
ликвидность компании;
уровень деловой активности или объём продаж;
финансовая зависимость;
рентабельность;
рыночный показатели собственных акций.
В результате осуществляемого анализа инвестор
делает выводы о целесообразности осуществления инвестиций в конкретную страну,
отрасль или предприятие.
Тема 9. Технический анализ рынка ценных бумаг.
И на основе этого выработка рекомендаций
касательно времени совершения сделок купли - продажи. Технический анализ основывается
на трёх аксиомах:
1. Движение рынка. Принимает во внимание
всё. Сущность данной аксиомы заключается в том, что вся информация, необходимая
для принятия инвестиционного решения содержится в рыночной цене акции. Этим
технический анализ кардинально отличается от фундаментального, который
предусматривает, что для принятия необходимого решения нужно учесть множество
факторов, которые влияют на рыночную цену. Технический аналитик утверждает, что
вся информация содержится в графике движения курсов, которые нужно внимательно
изучить.
2. Цены двигаются в направленном порядке.
Это утверждение состоит основе всех методов технического анализа, он
основывается на трендах, то есть на направлении движения цен. Основная задача
технического анализа - правильное определение тренда, для того, чтобы вовремя
купить или продать. Имеются 3 вида трендов:
- возрастающее движение цен; Bull
(Булл) - Бы4ара !
понижающее движение цен; Bear
(биар) - Мишка!
прямой тренд, который не изменяется ни в каком
направлении;
3. История всегда повторяется. Технические
аналитики утверждают, если какой то метод анализа функционировал в прошлом, он
будет действовать и в будущем. Психология людей не меняется. С точки зрения
технического анализа, понятие будущего основывается на знании прошлого.
Основные методы технического анализа:
1. Традиционный метод. Chatism.
Это
самый старый из методов. Основывается на изучении графиков. Основное правило
этого метода, что курс ценных бумаг изменяется по определённым тенденциям. Роль
аналитика состоит в определении тенденций и определении двух прямых: линия
поддержки, объединяющей две точки самого низкого уровня и линия сопротивления,
объединяющей две точки повышенного уровня.
2. Современный метод технического
анализа. Основывается на математических расчётов, а именно на численном
фильтровании информации. Операция фильтрования состоит в выявлении из множества
источников информации только одного полезного. Фильтрование представляет собой
метод расчётов, который позволяет определение некоторых постоянных величин,
которые описывают изменение курса.
Под методы данного метода:
. Метод средних величин, который определяет
значение курса по формуле
MS - курс
акций;
С - курс акции в момент соответствующего
времени;
N - количество
курсов, взятых во внимание;
2. Метод
средневзвешенных величин. Данный метод основывается на прогнозировании
различных вариантов изменения курсов.
P - доля курса i;
Тне Енд….