Расчет воздушной линии электропередач

  • Вид работы:
    Курсовая работа (т)
  • Предмет:
    Физика
  • Язык:
    Русский
    ,
    Формат файла:
    MS Word
    329,25 Кб
  • Опубликовано:
    2017-09-16
Вы можете узнать стоимость помощи в написании студенческой работы.
Помощь в написании работы, которую точно примут!

Расчет воздушной линии электропередач

Минобрнауки России

Федеральное государственное бюджетное образовательное учреждение высшего образования

«Тульский государственный университет»

Кафедра «Электроэнергетика»








Курсовая работа

По предмету: «Энергоснабжение»

На тему: «Расчет воздушной линии электропередач»

Содержание

Введение

. Расчет сечения провода

.1 Расчет тока, проходящего по линиям

.2 Расчет сечения провода по экономической плотности тока

.3 Расчет по допустимому нагреву

.4 Электрический расчет воздушной линии электропередач

.5 Механический расчет проводов и тросов воздушных линий электропередачи

. Выбор элементов воздушной линии электропередач

.1 Выбор изоляторов линии электропередач

.1.1 Выбор подвесных изоляторов

.2 Выбор опоры линии электропередач

. Проверка спроектированной ВЛ на соответствие требованиям ПУЭ

Заключение

Список литературы



Введение


Одним из важнейших элементов системы электроснабжения являются линии электропередач (ЛЭП). Различают два типа ЛЭП: кабельные и воздушные. Воздушные линии электропередач имеют большую протяженность во всем мире и являются основным способом передачи электрической энергии на дальние расстояния.

Воздушные ЛЭП (ВЛ) делятся по применяемому току на линии переменного и постоянного тока, по назначению на сверхдальние (предельные для связи энергосистем), магистральные (предназначенные для передачи энергии от электростанций крупным потребителям), распределительные и подводящие. Также имеется классификация по напряжению. По напряжению ВЛ делятся на низковольтные (до1000 В) и высоковольтные (свыше 1000 В).

Наибольшее распространение получили высоковольтные линии переменного тока, работающие на напряжениях 35-110 кВ. Такие линии применяются для обеспечения энергией таких крупных потребителей, как города и объекты промышленности.

Задачей данной курсовой работы является проектирование высоковольтной ВЛ, предназначенной для электроснабжения крупного потребителя (промышленного предприятия) с заданными параметрами нагрузки.

Целью данной курсовой работы является расчет и подбор оптимальных материалов для строительства и распределения ВЛ, исходя из параметров передаваемой мощности и расстояния, на которое эту мощность нужно передать, также необходимо учитывать особенности географического положения проектируемой ЛЭП, так как они оказывают существенное влияние на работу ЛЭП. Помимо всех прочих перечисленных выше требований необходимо добиться определенного качества передаваемой энергии на стадии проектирования.

Исходные данные для проектирования:

Объект проектирования: «Воздушная линия электропередач».

Род тока - трехфазный, переменный, f=50 Гц.

Номинальное напряжение 35 кВ.

Длина линии l= 48 км; Sном = 2 МВА.

Продолжительность максимума нагрузки t = свыше 5000 ч/год; cosj =0,95.

Характеристика среды:

район по гололеду;

район по ветру;

температура воздуха t = ± 30 °С.

1. Расчет сечения провода

 

1.1 Расчет тока, проходящего по линиям


Рассчитаем ток, проходящий по линиям:

 

 

 

 

1.2 Расчет сечения провода по экономической плотности тока


С уменьшением сечения затраты уменьшаются, но возрастает стоимость потерь электроэнергии, величина которой прямо пропорциональна потерям активной мощности () и обратно пропорциональна площади поперечного сечения проводника. В таблице 1 представлены значения экономической плотности тока А/мм.

Таблица 1. Экономическая плотность тока А/мм2

Проводники

Экономическая плотность тока А/мм2 при заданном числе часов использования максимума нагрузки


1000-3000

3000-5000

Более 5000

Неизолированные провода и шины

Медные

2.5

2.1

1.8

Алюминиевые (сталеалюминевые)

1.3

1.1

1

Кабели в бумажной и провода в резиновой и ПВХ изоляции

Медные

3

2.5

2

Алюминиевые

1.6

1.4

1.2



На основе анализа всех факторов, влияющих на величину экономического сечения и технико-экономических расчетов ПУЭ, рекомендуют в практических расчетах экономическое сечение определять в зависимости от экономической плотности тока

Для выбора проводов по экономической плотности тока используют формулу:

 

Выберем неизолированные алюминиевые провода и шины с коэффициентом экономической плотности отсюда находим сечение провода:

 

 

Исходя из полученного сечения, выбираем провод марки АС 35/6.2.

 

Технические и физико-механические характеристики провода АС 35/6.2, необходимые в дельнейших расчетах:

площадь сечения всего провода, мм2 - 43.05;

диаметр провода, мм - 8.4;

максимальный длительный ток, А:

а) вне помещения - 175;

б) внутри помещения - 135;

- максимальная мощность, МВА - 10;

сопротивление постоянному току при 20 °С, Ом/км -0.790;

удельное активное сопротивление при 20 °С, Ом/км -0.8;

а) при наибольшей нагрузке sк = 10.5;

б) при низшей температуре s- = 9.25;

в) при среднегодовой температуре sэ = 6.25;

- модуль упругости Е, кгс/мм2 - 8250;

температурный коэффициент линейного удлиненияa, 1/град-

- масса 1 км провода, кг - 148.

1.3 Расчет по допустимому нагреву


Электрический ток, протекая по проводнику, оказывает на него определенное термическое действие - осуществляет его нагрев. Одним из условий долгой и безаварийной работы линии является правильный выбор проводников по длительно допустимой температуре нагрева. Выбор производится исходя из значений максимального рабочего тока линии и максимально допустимого тока длительной работы для конкретной марки провода. Максимальная температура нагрева проводов ЛЭП, принятая в ПУЭ, составляет семьдесят градусов.

Надежная длительная работа проводов и кабелей определяется длительностью допустимой температурой их нагрева, величина которой зависит от вида изоляции. Учитывая условия надежности, безопасности и экономичности, ПУЭ устанавливают предельную температуру нагрева проводников в зависимости от длительности прохождения тока, материала токоведущей части и изоляции провода или кабеля.

Выбор сечения проводника по нагреву длительным током нагрузки сводится к сравнению расчетного тока  с допустимым табличным значением  для принятых марок проводов и условий их прокладки. При выборе должно соблюдаться условие:

 

Для принятого за оптимальный в результате предварительного электрического расчета провода марки АС - 35/6.2 длительно допустимый ток

Длительно допустимые токи нагрузки проводов, кабелей и шин указаны в таблицах ПУЭ, составленных для температур окружающего воздуха +25 °С, почвы +15 °С и приведены в приложениях.

При отклонении температуры от нормируемых параметров для определения длительно допустимого тока вносится поправочный температурный коэффициент и используется формула:

 

где  - поправочный температурный коэффициент.

В таблице 2 представлены значения поправочных температурных коэффициентов для определения токовых нагрузок при различных температурах.

Таблица 2. Значения поправочных температурных коэффициентов для определения токовых нагрузок при различных температурах

Температура, °С

-5

0

+5

+10

+15

+20

+25

+30

+35

+40

+45

+50

Поправочный коэффициент

1.29

1.24

1.2

1.15

1.11

1.05

1.0

0.94

0.88

0.81

0.74

0.61


Для определения длительно допустимого тока линии при заданных температурных условиях воспользуемся формулой (3), подставив значение :

 

 

следовательно условие выбора проводника по допустимому нагреву выполняется. следовательно условие по экономическому сечению выполняется. Проводник выбран корректно.

1.4 Электрический расчет воздушной линии электропередач


Электрический расчет линии электропередач позволяет подсчитать потери мощности и напряжения на всем протяжении линии. Исходя из результатов электрического расчета, можно судить о качестве подаваемой потребителю электрической энергии.

В электрическом расчете учитываются активная и реактивная составляющие мощности, передаваемой по линии. Реактивная составляющая мощности в свою очередь делится на индуктивную и емкостную. Оба этих слагаемых реактивной составляющей мощности зависят от среднегеометрического расстояния между проводами, т.е. от положения проводников в пространстве.

В таблице 3 приведены данные для электрического расчета линии.

Таблица 3. Исходные данные для электрического расчета ЛЭП

Длина линии (L), км

48

Номинальное напряжение (

35

Марка провода

АС - 35/6.2

Удельное активное сопротивление (

0.8

Удельное индуктивное сопротивление (, Ом/км

0.403

Удельная емкостная проводимость (, См/км

 


Определим активную и реактивную составляющие выработанной мощности:

 

;

;

 

 

.


 

 

 

где - удельное активное сопротивление провода марки АС - 35/6.2;

 - индуктивное сопротивление провода марки АС - 35/6.2;

 - емкостная проводимость провода марки АС - 35/6.2;

l - длина линии.

Подставляя в формулы (7), (8), (9) значения из таблицы 4 получаем следующие значения:

 

 

 

 

 

 

Для определения величин продольного и поперечного падений напряжений в линии используют следующие формулы:

 

 

где Р - активная мощность в начале линии;

Q - реактивная мощность в начале линии;

R и X - активная и индуктивная составляющие сопротивления линии;

U - рабочее напряжение линии.

Подставив в формулы (10) и (11) значения мощностей, сопротивлений и напряжения, получаем следующие значения падения напряжения в ЛЭП (продольной и поперечной составляющей соответственно):

 

 

 

 

Продольная и поперечная составляющие падения напряжения складываются векторно и для получения значения падения рабочего напряжения используют выражение:

 

Подставим в формулу (12), значения падения напряжений, получим значение падения рабочего напряжения для данной линии:

 

Падение напряжения в линии составляет 3.7 %, что соответствует требованиям ПУЭ к качеству электрической энергии, подаваемой потребителю.

Произведем расчет потерь мощности в данной ЛЭП, используя формулы:

 

 

 

Выражения (13) и (14) отражают потери активной и реактивной мощностей в данной ЛЭП соответственно. Подставим значения вырабатываемых мощностей и сопротивлений в формулы и произведем расчет:

 

 

 

 

Рассчитаем величину индуктивных потерь мощности по линии по формуле:

 

 

 

Общие потери реактивной мощности рассчитываются по формуле:

 

Тогда для линии получаем следующую величину потерь реактивной мощности:

 

 

Векторно сложив активную и реактивную составляющие потерь мощности, получим величину потерь полной мощности:

 

 

 

Рассчитаем полную мощность на конце ЛЭП:

 

 

 

Определим КПД ЛЭП и сведем в таблицу данные о потерях в линии, чтобы сделать заключение о качестве подаваемой потребителю посредством данной ЛЭП электрической энергии.

Для определения КПД используется формула:

 

 

 

Таблица 4. Результаты электрического расчета ЛЭП

Активная мощность вначале линии (Р), МВт

1.9

Активная мощность в конце линии (), МВт

1.83

Потери активной мощности на линии ( МВт

0.067

Потери реактивной мощности в линии (, МВар

Потери полной мощности на линии (

0.073 (3.7 %)

Продольная составляющая падения напряжения в линии (

1278.73

Поперечная составляющая падения напряжения в линии (

163.57

Падение рабочего напряжения линии (

1289.15 (3.7 %)

КПД ЛЭП,

96.5 %

По результатам электрического расчета можно сделать вывод о том, что качество электрической энергии, подаваемое посредством ЛЭП потребителю, удовлетворяет требованиям ПУЭ: потери напряжения не превышают 10 % от номинального значения, что соответствует максимально возможному значению регулирования трансформатора.

Потери полной мощности также не превышают 10 % от номинальной величины. ЛЭП имеет КПД, равный 96.5 %.

1.5 Механический расчет проводов и тросов воздушных линий электропередачи


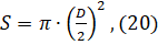
Нормируемый ПУЭ габарит от нижних проводов до линии 3 - 110 кВ до поверхности земли в населенном пункте составляет 7 м. Средние величины пролетов для линии 35 кВ 100 - 200 м. Диаметр провода марки АС 35/6.2 - 8.4  Расчет проводится в III районе гололедности и II районе по ветру.

Определяем погонные и приведенные нагрузки:

1.   Нагрузка от собственной массы:

 

 

где D-диаметр провода

 

 

 

 

 

2.   Погонная нагрузка от массы гололеда с = 10 мм:

 

 

 

3.   Погонная нагрузка от массы проводов с гололедом:

 

 

 

 

 

 

4.   Погонная нагрузка от ветра на провод без гололеда :

 - для проводов и тросов диаметров менее 20 мм2, скорость ветра 16 м/с, q=27кгс/см2;

 

 

 

5.   Погонная нагрузка от ветра на провод с гололедом:

 

 

 

6.   Нагрузка от ветра и массы провода без гололеда:

 

 

 

 

 

 

7.   Нагрузка от ветра и массы проводов с гололедом:

 

 

 

 

 

Значения E=8.25.103 кгс/мм2 и a=19.2.10-6 1/град,  кгс/ кгс/мм2 кгс/,  кгс/,

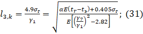
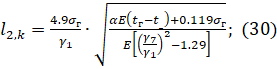
Вычислим критические пролеты:

 

 

 

 

 

 

 

 

 

 

 

 

Длину пролета принимаем равной 100 м т.к. это самая минимальная величина пролета для линии 35 кВ.

Вычисляем напряжение на проводе при всех сочетаниях расчетных климатических условий.

1.   Температура , ветер и гололед отсутствуют:

 

 

 

 

 

 

 

2.   Провод покрыт гололедом, t= -5 °C, ветер отсутствует:

 

 

 

 

 

 

 

3.   Низшая температура t=, ветер и гололед отсутствуют:

 

 

 

 

 

 

 

4.   Среднегодовая температура t = , ветер и гололед отсутствуют:

 

 

 

 

 

 

 

5.   Наибольший нормативный скоростной напор ветра t=- 5 °C, гололед отсутствует:

 

 

 

 

 

 

 

6.   Провода и тросы покрыты гололедом, t= - 5 °C, скоростной напор ветра 0.25. Этот режим является исходным, поэтому:

 

Величины стрел провеса рассчитываются по формуле:

 

Подставим в формулу соответствующие значения и определим величины стрел провеса для каждого из шести режимов работы линии, для которых в предыдущем пункте работы были рассчитаны механические напряжения на проводах.

Вычисляем стрелы провеса соответственно для всех сочетаний расчетных климатических условий:

1.      Температура , ветер и гололед отсутствуют:

 

 

 

2.      Провод покрыт гололедом, t= - 5 °C, ветер отсутствует:

 

 

 

3.      Низшая температура, ветер и гололед отсутствуют:

 

 

 

4.      Среднегодовая температура t = :

 

 

 

5.      Наибольший нормативный скоростной напор ветра t= - 5 °C, гололед отсутствует:

 

 

 

.        Провода и тросы покрыты гололедом, t=- 5 °C, скоростной напор ветра 0.25:

 

 

2. Выбор элементов воздушной линии электропередач

 

2.1 Выбор изоляторов линии электропередач


2.1.1 Выбор подвесных изоляторов

Выбираем изолятор стеклянный линейный подвесной тарельчатый марки ПС- 70Е.

Изоляторы предназначены для изоляции проводов от опорных конструкций воздушных линий электропередачи (ВЛ). Изоляторы изготавливаются из различных материалов в соответствии с условиями их работы на линии. Подвесные изоляторы применяются на линиях от 6 кВ и выше, они обладают более высокими механическими характеристиками, чем штыревые. Подвесные изоляторы собирают в гирлянды, число единиц которых зависит от напряжения ВЛ. Подвесной изолятор состоит из следующих частей: шапка, изоляторный замок, стержень (пестик), изолирующая деталь, цементная связка.

Расшифровка условного обозначения стеклянных изоляторов для ЛЭП:

П, Ш - вид изолятора (подвесной, штыревой);

С - материал изоляционной детали (стекло);

С, К, В, Д - конфигурация изоляционной детали (сферическая, коническая, с увеличенным вылетом ребра, двукрылая);

; 70; 120; 160; 210; 300; 400 - минимальная механическая разрушающая нагрузка, кН;

А; Б; В; Д; Е - индекс модернизации изолятора.

Характеристики изолятора ПС-70Е:

разрушающая нагрузка - 70000 Н;

длина пути утечки - lэф=303 мм;

строительная длина, lстр = 127/146 мм;

пробивное напряжение, кВ - 130;

коэффициент эффективности использования пути утечки k=1;

масса 3,4 кг;

Число изоляторов в гирлянде - 3 шт.

Рисунок 1. Изолятор стеклянный линейный подвесной тарельчатый ПС- 70Е

2.2 Выбор опоры линии электропередач


Выбор опоры производим исходя из выше произведенных расчетов величины f - стрелы провеса, lстр- строительной высоты изолятора и расстояния H от провода ВЛ до поверхности земли, производственных зданий и сооружений в населенной местности.

Рассчитаем примерную высоту опоры от траверсы до земли:

 

 

 

Выбираем промежуточную опору П35-1 (промежуточная металлическая опора для ВЛ 35 кВ, 1 модификация).

Шифр опоры - П35-1;

Тип опоры - промежуточная;

Цепность - одноцепная;

Район по гололеду - III - IV;

Район по ветру - I - IV;

Марка проводов - АС 16/2.7 - АС 95/16;

Масса опоры, кг - 1558.

Рисунок 2. Промежуточная опора П35-1

Выбираем анкерную опору У35-3 (Унифицированные анкерно-угловые металлические опоры для ВЛ 110 кВ, вторая модификация).

Шифр опоры - У35-3;

Тип опоры - анкерно-угловая;

Цепность - одноцепная;

Район по гололеду - I - IV;

Район по ветру - I - III;

Марка проводов - АС 16/2,7 - АС 95/16;

Масса опоры, кг - 2385.

Рисунок 3. Анкерно-угловая опора У35-3

3. Проверка спроектированной ВЛ на соответствие требованиям ПУЭ


Расстояние от нижней точки проводов воздушных линий электропередачи напряжением свыше 1000 В до поверхности земли при максимальной стреле провеса должно быть не менее 7,0 м.

Максимальная стрела провеса f6=2.49 м;

Расстояние от земли до траверсы промежуточной опоры H = 15 м;

Строительная высота подвесного изолятора lстр.подвесн. =110 мм;

Количество подвесных изоляторов в гирлянде nподвесн. = 3.

Расстояние от нижней точки провода до земли при максимальной стреле провеса рассчитывается по формуле:

 

 

 

 

h> 7 м, следовательно линия спроектирована правильно.

Заключение


В данной работе был произведен расчёт сечения провода по экономической плотности тока и допустимому нагреву, рассчитаны потери мощности и напряжение в ЛЭП, найдены механические нагрузки на провод. Выбрано расстояние между опорами, вычислены стрелы провеса. С помощью данных вычислений, смогли выбрать изоляторы, опоры и грозозащитный трос. Данная ЛЭП соответствует требованиям ПУЭ.

Список литературы


1 «Правила устройства электроустановок. 7 издание, переработанное и дополненное». Издательство Росэлектро Москва, 2013 г, 785 стр.

Идельчик В.И. «Электрические системы и сети». Издательство Энергоатомиздат Москва, 1986 г, 286 стр.

Реут М.А. и Рокотян С.С. «Проектирование линий электропередач». Издательство Энергия Москва, 2001 г, 212 стр.

Похожие работы на - Расчет воздушной линии электропередач

 

Не нашли материал для своей работы?
Поможем написать уникальную работу
Без плагиата!
Без нейросетей!