|
Блок ПВ
|
Блок приемно-вычислительный
|
|
ТЗ
|
Техническое задание
|
|
МПП
|
Многослойная печатная плата
|
|
ПУ
|
Печатный узел
|
|
РД
|
Руководящий документ
|
|
РЭС
|
Радиоэлектронное средство
|
|
ТУ
|
Технические условия
|
|
ЭРИ
|
Электрорадиоизделие
|
|
РЭА
|
Радиоэлектронная аппаратура
|
Содержание
Принятые сокращения
Введение
1. Особенности конструкции приемно-вычислительного блока
1.1 Особенности конструирования радиоэлектронной аппаратуры
1.2 Анализ конструктивных особенностей приемно-вычислительного
блока
1.3 Тепловые процессы в радиоэлектронной аппаратуре
1.4 Процесс моделирования тепловых и механических процессов в
радиоэлектронной аппаратуре
1.5 Постановка задачи для теплового и механического расчета
приемно-вычислительного блока
2 Моделирование физических процессов в приемно-вычислительном блоке
2.1 Исходные данные для моделирования тепловых процессов в
приемно-вычислительном блоке
2.2 Исходные данных для моделирования механических процессов в
приемно-вычислительном блоке
2.3 Моделирование тепловых процессов в подсистемах АСОНИКА-Т, - ТМ
2.4 Моделирование механических процессов в АСОНИКА-М-3D
2.5 Моделирование механических процессов в АСОНИКА-ТМ
2.6 Расчет показателей надежности приемно-вычислительного блока
Заключение
Список использованных источников
Введение
Одна из задач наиболее важных при производстве какого-либо
изделия - это изготовление качественной продукции, которая обладает высокой
степенью надежности.
Требования, связанные с надежностью, являются
основополагающими при выпуске радиоэлектронной аппаратуры. Это обусловлено тем,
что каждое радиоэлектронное устройство, как правило, включает в себя большое
количество составных компонентов, и отказ любого из этих компонентов может
привезти к отказу всей аппаратуры в целом.
Уровень и качество надежности оборудования закладываются на
первоначальном этапе конструирования и планирования. Это самый важный и во
многом определяющий этап жизненного цикла изделия. После этого этапа уже будет
невозможно улучшить показатели надежности. Поэтому требуется уделять много внимания
первоначальному этапу конструирования и проектирования изделия.
РЭА непрерывно совершенствуется, ужесточаются внешние
дестабилизирующие факторы, воздействующие на аппаратуру, габаритные размеры
имеют тенденцию к уменьшению. Это подталкивает к необходимости исследования
тепловых и механических процессов, протекающих в РЭА. Изменение механических
или тепловых воздействующих факторов приводит к изменению физико-механических
или теплофизических, геометрических характеристик материалов, из которых
состоит изделие, а также влияет на правильное функционирование
электрорадиоизделий (ЭРИ). Таким образом тепловые и механические процессы,
протекающие в аппаратуре, значительно влияют на обеспечение аппаратурой своих
штатных функций.
Следовательно, для обеспечения требуемых показателей
надежности РЭА, необходимо исследовать протекающие в ней тепловые и
механических процессы путем компьютерного моделирования в специальных
программных продуктах.
тепловой механический процесс радиоэлектронная аппаратура
1.
Особенности конструкции приемно-вычислительного блока
1.1
Особенности конструирования радиоэлектронной аппаратуры
Радиоэлектронная аппаратура - это обширнейшая группа изделий,
которая использует электромагнитные сигналы для осуществления приема и передачи
данных. Конструктивные особенности РЭА зависят от области, в которой аппаратура
используется.
Разрабатываемая РЭА должна обладать такими надежностными,
конструктивными, тактико-техническими, технологическими и экономическими
показателями, которые удовлетворяют поставленным требованиям, а также
государственным стандартам. Заданные требования к РЭА предъявляются ко всем её
составным частям - печатным платам, ЭРИ, сборкам, различным деталям конструкции
и т.д. Обеспечение исполнения всех заданных требований представляет собой
сложную инженерную задачу, требующую высокой квалификации.
Основными технологическими и конструктивными требованиями
являются - ремонтопригодность, функционально-узловой принцип построения
конструкции, как можно меньшее количество составных частей, легкий доступ ко
всем элементам конструкции, обеспечение требований безопасности, а также
технологичность. Технологичность аппаратуры обуславливается правильностью
выбора её конструкции. Конструкция аппаратуры считается более технологичной,
если после её окончательной сборки требуется наименьшее количество доводочных
процедур.
Конструкция радиоэлектронной аппаратуры должна состоять из
как можно большего количества стандартных деталей, сборок, и, соответственно,
обладать хорошими показателями унификации и стандартизации. Конструкция должна
обладать хорошими показателями надежности, а также экономическими показателями.
К хорошим экономическим показателям относятся: наименьшие
трудовые, временные затраты, материальные затраты, которые связанные с
процессом проектирования и, непосредственно, изготовления аппаратуры. Так же к
хорошим экономическим показателям относят наименьшие эксплуатационные затраты,
затраты, связанные с ремонтом и обслуживанием аппаратуры.
Основные показатели надежности:
►безотказность;
►долговечность;
►ремонтопригодность;
►сохраняемость.
Также для обеспечения требуемых показателей надежности,
которые предъявляются к аппаратуре, используется принцип модульного
проектирования изделий. Преимущество данного принципа заключается в хорошей
взаимозаменяемости составных частей изделия. Принцип заключается в расчленении
изделия на функционально законченные узлы.
При проектировании аппаратуры важно опираться на
предшествующий опыт разработки, а также особенности текущих и будущих
разработок. Так же при проектировании конструкции важно закладывать способность
к её дальнейшей возможной модернизации.
Особенности проектируемой аппаратуры зависят от тех условий,
в которых она будет эксплуатироваться. По условиям эксплуатации и параметрам
места установки радиоэлектронная аппаратура подразделяется на несколько групп
(см. рисунок 1).
Рис. 1. Группы применения радиоэлектронной аппаратуры.
Основные климатические факторы, которые действуют на
аппаратуру:
►температура
►солнечная радиация
►влажность
►осадки, ветер, примеси
►плесневые грибки
Основные механические воздействия, действующие на аппаратуру:
►Вибрации
►Удары
►Линейное ускорение
►Акустический шум
1.2 Анализ
конструктивных особенностей приемно-вычислительного блока
Для аппаратуры бортовой навигации характерны повышенные
требования к показателям надежности; требования к устойчивости, стойкости, а
также прочности при воздействии внешних факторов. Важнейшими факторами, которые
оказывают влияние на показатели надежности, являются механические и тепловые
воздействия. Вот почему для обеспечения необходимых показателей надежности
требуется оценка механических и тепловых характеристик аппаратуры. Решение
данной задачи предполагает проведение анализа конструктивных особенностей аппаратуры,
чтобы подготовить необходимые исходные данные и в конечном счете провести
компьютерное моделирование на воздействие тепловых и механических внешних
факторов.
Проектируемый приемно-вычислительный блок должен
соответствовать требованиям по стойкости, прочности, устойчивости к внешним
механическим, климатическим и другим факторам согласно ГОСТ В 20.39.304 группы
исполнения №4.
Максимальные значения массы и габаритных размеров
приемно-вычислительного блока указаны в техническом задании на блок.
Все материалы, составляющие приемно-вычислительный блок, в
процессе своей эксплуатации не выделяют токсичных веществ. Все материалы, а
также гальванические и лакокрасочные покрытия составных частей блока были
выбраны согласно техническому заданию. За материал корпуса блока был выбран
сплав алюминия АД1Нс токопроводящим гальваническим покрытием Хим. Окс. э.
Данный сплав имеет хорошие показатели электро- и теплопроводности, а также
обладает оптимальными прочностными и массовыми показателями.
В основание приемно-вычислительного блока сделаны специальные
вырезы, которые обеспечивают дополнительную фиксацию кожуха блока для
дополнительной жесткости конструкции.
Для обеспечения дополнительной жесткости блока его лицевая
панель выполнена с отгибкой и соединена с основанием с помощью неразъемного
заклепочного соединения. Помимо этого наличие отгибки обеспечивает лучший
электрический контакт между основанием и лицевой панелью блока.
Внутренняя часть приемно-вычислительного блока состоит из
четырех функционально-законченных печатных узлов, которые располагаются в двух
взаимно перпендикулярных плоскостях (два вертикально и два горизонтально). В
качестве материала печатных плат выбран фольгированный стеклотекстолитFR4 с
толщинами от 1,5 до 2 мм. Все входящие печатные узлы закрепляются в четырёх
точках с помощью специальных кронштейнов, изготовленных из стали. Для
обеспечения дополнительной жесткости внутренних частей приемно-вычислительного
блока все печатные узлы соединены между собой специальными межплатными жесткими
разъемами.
На первоначальном этапе проектирования был посчитан тепловой
режим блока с использованием стандарта РД 107.460084.092-89 "Системы
обеспечения тепловых режимов радиоэлектронной аппаратуры" и в качестве
способа охлаждения выбрано естественное воздушное. На предварительном этапе
принудительного охлаждения в блоке не требуется.
Таким образом, в приемно-вычислительном блоке реализованы
следующие виды передачи тепла:
►кондукция между установочной поверхностью и основанием
приемно-вычислительного блока, а также внутри блока между элементами крепления;
►излучение;
►конвекция и внутри, и снаружи в виду того, что
приемно-вычислительный блок негерметичный.
В результате проведенного исследования тепловых и
механических процессов, протекающих в приемно-вычислительном блоке, будет
решаться вопрос, связанный с усовершенствованием проектируемой конструкции.
Внешний вид приемно-вычислительного блока представлен на
рисунке 2.
Рис. 2. Конструкция приемно-вычислительного блока.
1.3 Тепловые
процессы в радиоэлектронной аппаратуре
Показатели надежности радиоэлектронных устройств значительно
зависят от того на сколько правильно соблюдены тепловые режимы на
электрорадиоизделиях.
Под тепловым режимом электрорадиоизделий понимается отношение
полученной рабочей температуры к максимально допустимому значению температуры,
прописанном в технических условиях на это ЭРИ.
Общеизвестно, что подавляющая часть всей потребляемой
радиоэлектронной аппаратурой мощности выделяется в качестве тепловой энергии,
за счет чего происходит перегревание чувствительных элементов конструкции.
Существует три основных способа рассеивания тепловой энергии,
выделяемой в радиоэлектронной аппаратуре. Это теплопроводность (кондукция),
конвективная передача и излучение. Однако, скажем, для аппаратуры космической
тематики таких способа используется только два, так как конвективная
теплопередача в условиях космического пространства отсутствует. Передача тепла
осуществляется от кристалла электрорадиоэлемента на печатные платы и далее на
внутренние узлы конструкции и, непосредственно, на корпус аппаратуры.
Конвективная передача - это вид теплопередачи, который
протекает в среде жидкостей или газов и который связан с перемешиванием объемов
этих веществ.
Конвективная теплопередача может быть естественной или
вынужденной. В аппаратуре, обладающей лишь естественной конвекцией, нет
устройств, ускоряющих протекание потоков воздуха, и поэтому тепло передается в
окружающее пространство, непосредственно, через корпус аппаратуры. Однако, не
всегда естественной конвекции достаточно для отведения скапливающейся тепловой
энергии внутри аппаратуры. И в этом случае необходимо добавлять к аппаратуре
различные механизмы, ускоряющие протекание воздуха через устройство, используя,
таким образом, вынужденную конвекцию. Коэффициент конвективной передачи тепла в
этом случае увеличивается на порядок. Однако, использование механизмов,
ускоряющих протекание воздушных масс, не всегда эффективно, например, если
плотности воздуха мала. В этих случаях есть возможность использовать
конвективную передачу за счет жидкостей, что даже более эффективно, нежели
газы.
Но есть большой минус использования механизмов,
обеспечивающих вынужденную конвекцию, связанный с увеличением габаритных
размеров и массы аппаратуры.
Конечно, есть возможность увеличить эффективность
теплопередачи за счет конвекции с помощью увеличения поверхностей, которые
омываются воздухом, но это снова влечет за собой увеличение габаритных размеров
и массы, что не соответствует задачам миниатюризации. Вот почему отведение
тепла с помощью конвекции в радиоэлектронной аппаратуре имеет свои ограничения.
Отведение тепла за счет лучистой энергии тел представляет
собой электромагнитные волны, возникающие в веществах при накоплении ими
внутренней тепловой энергии. Распространение электромагнитных волн веществом
происходит одинаково во всех направлениях окружающего пространства.
Таким образом, главные особенности протекания тепловых
процессов в радиоэлектронной аппаратуре являются:
►в радиоэлектронной аппаратуре имеется большая удельная
мощность выделения из-за стремления к миниатюризации;
►также в связи с плотной внутренней компоновкой и
незначительных внутренних объемах воздуха важнейшим способом теплопередачи в
радиоэлектронной аппаратуре является кондуктивная теплопередача, а не излучение
или конвекция;
► самыми чувствительными к тепловым перегрузкам
элементами конструкции радиоэлектронной аппаратуры являются бескорпусные
электрорадиоизделия;
►теплопередача в радиоэлектронной аппаратуре
осуществляется, главным образом, за счет теплопроводности металлических
конструктивных частей, выполненных, как правило, из алюминиевых и медных
сплавов, потому что они имеют наилучшие коэффициенты теплопроводности в отличие
от других материалов (см. таблицу 1); поэтому источники выделения тепла,
главным образом, располагают в непосредственной близости с корпусом блока или
какими-либо другими металлическими элементами конструкции;
Таблица № 1. Коэффициенты теплопроводности различный
материалов
■ источники, выделяющие большую мощность, стараются
расположить вдали от других соседних элементов, чтобы не допустить их
перегрева, а также располагать такие источники в непосредственной близости с
местами отвода тепла;
■ для увеличения совокупной поверхности отдачи тепла
некоторые конструктивные узлы расчленяют на части;
■ при наличии обдува воздухом снаружи корпуса весьма
эффективно использование наружных ребер, которые должны быть расположены по
направлению движения потоков воздуха.
1.4 Процесс
моделирования тепловых и механических процессов в радиоэлектронной аппаратуре
Программным комплексом для проведения компьютерного
моделирования приемно-вычислительного блока выбран комплекс АСОНИКА
"Автоматизированная Система Обеспечения Надежности Качества
Аппаратуры". АСОНИКА - это специализированный программный продукт,
созданный для компьютерного моделирования физических процессов, протекающих в
радиоэлектронной аппаратуре, с учетом влияния внешних воздействий.
АСОНИКА имеет сертификат качества, выданный Министерством
обороны РФ.
Важный плюс программы АСОНИКА заключается в том, что в неё
загружены базы данных, которые содержат электрорадиоизделия и материалы
соответствующие отечественным стандартам.
Три серьёзные проблемы, которые стоят перед конструкторами и
разработчиками радиоэлектронной аппаратуры, и которые решаются с использованием
программного комплекса АСОНИКА:
отказы аппаратуры на начальных этапах проектирования;
ограниченные сроки для проведения проектирования, а также
ограниченные денежные ресурсы;
отсутствие электронного документооборота и сквозного
проектирования.
Непосредственно, сам процесс компьютерного моделирования
приемно-вычислительного блока в программном комплексе АСОНИКА происходит
согласно методике "сверху - вниз" в две стадии. Вот почему потребуется
подготовка исходных данных для двух стадий компьютерного моделирования (см.
рисунок 2, рисунок 3):
для первого этапа необходимы исходные данные, чтобы получить
значения средних температур всех конструктивных элементов, а также температуры
воздуха, окружающего печатные узлы и получить значения механических
характеристик в узлах креплений печатных узлов;
для второго этапа необходимы исходные данные, чтобы получить
уже значения температур и параметров механических воздействий в отдельности на
каждом электрорадиоизделии.
Для проведения компьютерного моделирования на механические
воздействия требуется получить следующие исходные данные: справочные значения
физико-механических параметров всех составных элементов конструкции, таких как
плотность, модуль упругости, коэффициент Пуассона и т.д. Так главным
материалом, из которого изготавливается корпус блока, является сплав
алюминиевый АД1. Он обладает следующими характеристиками: плотность равна 2710
кг/м³, модуль упругости равен 69 ГПа, коэффициент Пуассона равен 0,33.
Далее потребуется импортировать 3D-модель конструкции
приемно-вычислительного блока в программу для расчета, т.к. требуется знать
размеры самого блока, размеры печатных плат, всех электрорадиоизделий, а также
указать граничные условия закрепления блока.
И, последнее, для проведения моделирования необходимо задать
сами механические воздействия. Из технического задания берутся следующие
характеристики механических воздействий:
►диапазон механического воздействия: временной интервал
и шаг в секундах для удара многократного и однократного, а также для линейного
ускорения; диапазон частот и шаг в герцах для вибраций (гармонических и
случайных) и акустического шума;
►амплитуда механического воздействия: ускорение в [g]
для линейных ускорений, гармонических вибраций, ударов многократных и
однократных; спектральная плотность в [g2/Гц] для случайных
вибраций; давление в [Дб] для акустических шумов;
►график зависимости амплитуды механического воздействия
от времени.
Для проведения первого этапа моделирования тепловых процессов
в приемно-вычислительном блоке необходимо задать:
►значения теплофизических показателей материалов таких,
как коэффициент теплопроводности, теплоемкость;
►начальную температуру и остальные характеристики
окружающего пространства;
►форму и размеры всего приемно-вычислительного блока и
всех составляющих его печатных узлов;
►суммарные значения мощностей тепловыделения на каждом
печатном узле;
►поверхности, отводящие тепло за счет кондукции.
Для проведения второго этапа компьютерного моделирования, на
котором исследуется в отдельности каждый печатный узел, необходимо задать:
►средние значения температур всех конструктивных
элементов и температуры воздуха вокруг печатных узлов, полученные на первом
этапе компьютерного моделирования;
►справочные значения теплофизических параметров
материалов корпусов всех электрорадиоизделий, включая коэффициент
теплопроводности, теплоёмкость, тепловое сопротивление между печатной платой и
кристаллом электрорадиоизделия;
►задать геометрические размеры и положение на печатной
плате всех электрорадиоизделий, принимающих участие в расчете;
►мощности рассеивания на всех электрорадиоизделиях,
участвующих в расчете;
►поверхности с отводом тепла посредством кондукции.
Из-за незначительного влияния на общую картину протекания
тепловых процессов на печатных узлах допускается пренебрегать такими
электрорадиоэлементами, которые имеют малые значения мощностей рассеивания по
сравнению с большинством остальных. Как правило, согласно общим критериям
отбора таких электрорадиоэлементов, не учитываются тепловыделения
конденсаторов, индуктивностей и резисторов.
Пристальное внимание отводится моделям многослойных печатных
плат (МПП). При моделировании МПП принимается несколько упрощений:
►принимаем, что МПП обладает свойствами ортотропности,
другими словами коэффициент теплопроводности в направлении, перпендикулярном
МПП (λZ), отличается от значений коэффициентов теплопроводности в
плоскости многослойной печатной платы (λXY =λX =λY);
►вся МПП обладает усредненной плотностью и удельной теплоемкостью;
►не учитываем переходные и сквозные отверстия;
Слои МПП состоят из диэлектриков и проводников. Как правило,
в качестве диэлектрика применяется стеклотекстолит марки FR4 с коэффициентом
теплопроводности равном 0,3 Вт/м·К, а в качестве проводника применяется медь с
коэффициентом теплопроводности равном 385 Вт/м·К.
Значения коэффициентов теплопроводности в различных
плоскостях многослойной печатной платы зависят от нескольких показателей:
количество слоев в МПП (N); процент заполнения слоёв проводников
и слоев диэлектрика (ε); толщина отдельных
слоёв с проводниками и с диэлектриками (δ), а также материалов
слоев.
Для расчета коэффициентов теплопроводности МПП используются
следующие формулы:
Рис. 3. Данные для 1 этапа компьютерного
моделирования.
Рис. 4. Данные для 2 этапа компьютерного
моделирования.
1.5
Постановка задачи для теплового и механического расчета приемно-вычислительного
блока
Условия, при которых эксплуатируется приемно-вычислительный
блок:
температура окружающей среды: от - 50оС до +50оС;
время жизни изделия 200 с.;
пониженное атмосферное давление до 5 мм рт. ст. (670 Па);
относительная влажность при +35оС равна 98 %;
воздействие акустического шума с частотой от 50 Гц до 10000
Гц и с уровнем звукового давления равным 130 дБ;
изменение атмосферного давления от 41000 (Па) до 101460 (Па)
со скоростью 1,3Е+5 Па/с.
Приемно-вычислительный блок должен быть прочным и устойчивым
к воздействию внешних механических факторов (вибрации, удары, линейные
ускорения); быть стойким к агрессивным средами воздействиям разного рода
рабочих растворов; к воздействию статической и динамической пыли, плесневых
грибков; к условиям увеличенной влажности окружающей среды, при воздействии
морского тумана, атмосферных осадков, росе, обледенениям; а также к возможному
изменению атмосферного давления.
По функциональному назначению приемно-вычислительный блок
должен гарантировать определение навигационных параметров объекта при
использовании сигналов GPS и ГЛОНАСС, как стандартной точности (СТ), так и
сигналов с высокой точностью (ВТ).
Точность изготовления сборочных единиц должно удовлетворять
требованиям ОСТ 4Г 0.070.015.
Точность изготовления деталей изделия должно удовлетворять
требованиям ОСТ 4Г 0.070.014.
Детали и сборки, составляющие приемно-вычислительный блок
должны иметь хорошую взаимозаменяемость без какой-либо дополнительной настройки
и регулировки связанными с:
►электрическими параметрами блока;
► габаритными и присоединительными размерами блока.
В процессе проектирования и изготовления
приемно-вычислительного блока должны использоваться покупные изделия, материалы
и сырье повышенной надежности, произведенные в Российской Федерации.
В отдельных случаях при наличии обоснования возможно
использование покупных изделий, материалов и сырья зарубежного производства.
Материалы, используемые для изготовления составных частей
приемно-вычислительного блока, не должны в процессе эксплуатации, а также при
утилизации выделять какие-либо токсичные вещества.
Чтобы улучшить коэффициенты стандартизации и унификации блока
нужно двигаться по пути унификации деталей и сборок. Это способствует снижению
стоимости при серийном производстве, а также увеличению ремонтопригодности
блока. Вот почему, в процессе проектирования аппаратуры требуется дополнительно
проводить исследования того, как влияет стремление к стандартизации и
унификации на механические и тепловые процессы, протекающие в
приемно-вычислительном блоке.
Целью данной работы является проведение исследования тепловых
и механических процессов в приемно-вычислительном блоке с помощью программного
комплекса АСОНИКА. Моделирование позволит выявить возможные критические узлы с
точки зрения тепловых и механических воздействий, что позволит на
предварительных стадиях проектирования изменить конструкцию блока для улучшения
его тепловых и механических характеристик. Это приведёт к увеличению надёжности
всего приемно-вычислительного блока.
2.
Моделирование физических процессов в приемно-вычислительном блоке
2.1 Исходные
данные для моделирования тепловых процессов в приемно-вычислительном блоке
Приемно-вычислительный включает в себя четыре печатных узла.
Таким образом, чтобы провести моделирование тепловых процессов в подсистеме АСОНИКА-ТМ
нужны исходные данные по каждому из них.
Печатный узел приема
Чтобы вычислить коэффициенты теплопроводности для
многослойной печатной платы требуются данные по её слоям (см. таблицу 2):
Таблица 2. Данные по слоям печатной платы приема
Были введены в программу геометрические размеры печатных плат
и всех электрорадиоизделий; указано местоположение на печатной плате каждого
ЭРИ; введены мощности тепловыделений электрорадиоизделий и указаны тепловые
сопротивления между кристаллом ЭРИ и печатной платой, а также остальные
характеристики, показанные в таблице 3:
Таблица 3. Параметры ЭРИ платы приема
Введены все требуемые тепловые граничные условия (см. таблицу
4):
Таблица 4. Тепловые граничные условия для платы приема
Такие же исходные данные требуется подготовить и для
оставшихся трех печатных узлов.
Печатный узел генерации
Исходные данные по слоям платы генерации указаны в таблице 5.
Таблица 5. Данные по слоям печатной платы генерации
Параметры электрорадиоизделий указаны в таблице 6:
Таблица 6. Параметры ЭРИ для платы генерации
Тепловые граничные условия показаны в таблице 7.
Таблица 7. Тепловые граничные условия для платы генерации
Печатный узел питания
Данные о слоях печатной платы питания показаны в таблице 8.
Таблица 8. Данные по слоям печатной платы питания
Теплофизические характеристики ЭРИ указаны в таблице 9:
Таблица 9. Параметры ЭРИ для платы питания
Тепловые граничные условия указаны в таблице 10.
Таблица 10. Тепловые граничные условия
Печатный узел обработки
Исходные данные о слоях печатной платы обработки показаны в
таблице 11.
Таблица 11. Данные по слоям печатной платы обработки
Теплофизические параметры ЭРИ показаны в таблице 12:
Таблица 12. Параметры ЭРИ для платы обработки
Тепловые граничные условия указаны в таблице 13.
Таблица 13. Тепловые граничные условия
Для компьютерного моделирования 1 этапа в подсистеме
АСОНИКА-Т необходимы следующие исходные параметры:
►размеры и теплофизические параметры всех составных
элементов конструкции приемно-вычислительного блока. Данные будут получены из
3-D модели блока, спроектированной в Solid Works и из справочников;
►общие значения мощностей рассеивания каждого печатного
узла:
А) плата приема - 5 Вт;
Б) плата генерации - 2 Вт;
В) плата питания - 2 Вт;
Г) плата обработки - 2 Вт.
►начальная температура окружающей среды: +50°C
.2 Исходные
данных для моделирования механических процессов в приемно-вычислительном блоке
Для проведения компьютерного моделирования блока на
механические воздействия были получены следующие данные:
■ геометрические размеры блока, всех входящих в него
печатных узлов и других составных элементов и узлов в соответствии с 3D
моделью, выполненной в среде Solid Works;
■ все физико-механические параметры из баз данных и
справочников на применяемые материалы блока, печатных узлов и других
конструктивных элементов и узлов;
■ введены граничные условия закрепления исследуемого
блока;
■ в соответствии с техническим заданием введены
параметры механических воздействий (см. рисунок 5,6).
Рис. 5. Параметры одиночного удара
Рис. 6. Параметры гармонической вибрации
Физико-механические параметры используемых материалов
приведены в таблице 14.
Таблица 14. Физико-механические параметры используемых
материалов
|
Материал
|
Плотность, кг/м3
|
Модуль упругости, ГПа
|
Коэффициент Пуассона
|
|
Д16Т
|
2780
|
70
|
0,34
|
|
FR4
|
2023
|
16,9
|
0,22
|
|
Сталь 20
|
7850
|
210
|
0,27
|
|
Al2O3
|
3800
|
370
|
0,4
|
2.3
Моделирование тепловых процессов в подсистемах АСОНИКА-Т, - ТМ
В ходе проведения компьютерного моделирования
приемно-вычислительного блока в подсистеме АСОНИКА-Т на нестационарное тепловое
воздействие были получены следующие результаты (см. рисунок 7, 8 и 9):
Рис. 7. Топологическая модель приемно-вычислительного блока
Рис. 8. Значения температур во всех узлах модели
Рис. 9. График зависимости температуры в узлах модели от
времени
Значения средних температур всех четырех печатных узлов
являются допустимыми согласно техническим условиям на ЭРИ, составляющие эти ПУ.
Таким образом, можно приступать ко второму этапу
компьютерного моделирования - исследованию тепловых процессов, протекающих в
печатных узлах приемно-вычислительного блока. Для этой цели используется
подсистема АСОНИКА-ТМ.
Проводится исследование приемно-вычислительного блока на
нестационарное тепловое воздействие с параметрами согласно рисунку 10.
Рис. 10. Параметры нестационарного теплового воздействия
Печатный узел приема
По результатам моделирования получены термограммы
поверхностей печатного узла приема и численные значения температур на каждом
электрорадиоизделии (см. рисунок 11, таблицу 15):
Рис. 11. Термограммы верхней и нижней поверхностей
печатного узла приема.
Таблица 15. Тепловые режимы ЭРИ
|
Обозначение ЭРИ
|
Температура ЭРИ
|
Коэффициент тепловой нагрузки
|
Перегрев,°C
|
|
Время, с
|
Максимальная расчетная,°C
|
Максимальная по ТУ,°C
|
|
|
|
DA2
|
200,00
|
59,91
|
85,00
|
0,7
|
-
|
|
DA9
|
200,00
|
56,74
|
85,00
|
0,67
|
-
|
|
DA8
|
200,00
|
55,69
|
85,00
|
0,66
|
-
|
|
DA3
|
200,00
|
54,52
|
85,00
|
0,64
|
-
|
|
DD1
|
200,00
|
53,08
|
85,00
|
0,62
|
-
|
|
DD3
|
200,00
|
60,58
|
125,00
|
0,48
|
-
|
|
DA7
|
200,00
|
57,04
|
85,00
|
0,67
|
-
|
|
DA6
|
200,00
|
61,48
|
125,00
|
0,49
|
-
|
|
DA10
|
200,00
|
60,59
|
125,00
|
0,48
|
-
|
|
DA4
|
200,00
|
60,78
|
125,00
|
0,48
|
-
|
|
DA1
|
200,00
|
57,74
|
85,00
|
0,67
|
-
|
|
DA5
|
200,00
|
61,42
|
125,00
|
0,49
|
-
|
|
D1
|
200,00
|
60,03
|
85,00
|
0,7
|
-
Печатный узел генерации
В результате моделирования получены термограммы поверхностей
печатного узла генерации и значения температур на каждом электрорадиоизделии
(см. рисунок 12, таблицу 16):
Рис. 12. Термограммы верхней и нижней
поверхностейпечатного узла генерации
Таблица 16. Тепловые режимы ЭРИ
|
Обозначение ЭРИ
|
Температура ЭРИ
|
Коэффициент тепловой нагрузки
|
Перегрев,°C
|
|
Время, с
|
Максимальная расчетная,°C
|
Максимальная по ТУ,°C
|
|
|
|
Электрорадиоизделие
|
200,00
|
57,53
|
85,00
|
0,67
|
-
|
Печатный узел питания
Получаем термограммы поверхностей печатного узла питания и
температурыэлектрорадиоизделий (см. рисунок 13, таблицу 17):
Рис. 13. Термограмма верхней и нижней поверхности
печатного узла питания
Таблица 17. Тепловые режимы ЭРИ
|
Обозначение ЭРИ
|
Температура ЭРИ
|
Коэффициент тепловой нагрузки
|
Перегрев,°C
|
|
Время, с
|
Максимальная расчетная,°C
|
Максимальная по ТУ,°C
|
|
|
|
VD1
|
200,00
|
53,97
|
85,00
|
0,63
|
-
|
|
VT1
|
200,00
|
57,47
|
85,00
|
0,67
|
-
|
|
DA1
|
200,00
|
57,39
|
85,00
|
0,67
|
-
|
|
L1
|
200,00
|
57,18
|
85,00
|
0,67
|
-
|
|
C16
|
200,00
|
57,00
|
85,00
|
0,67
|
-
|
|
C15
|
200,00
|
56,93
|
85,00
|
0,67
|
-
|
|
C14
|
200,00
|
56,89
|
85,00
|
0,67
|
-
|
|
VT2
|
200,00
|
56,77
|
85,00
|
0,66
|
-
|
|
VT3
|
200,00
|
56,75
|
85,00
|
0,66
|
-
|
|
C17
|
200,00
|
56,73
|
85,00
|
0,66
|
-
|
|
C9
|
200,00
|
56,37
|
85,00
|
0,66
|
-
|
|
C8
|
200,00
|
55,89
|
85,00
|
0,65
|
-
|
|
VT4
|
200,00
|
55,80
|
85,00
|
0,65
|
-
|
|
L2
|
200,00
|
55,18
|
85,00
|
0,65
|
-
|
|
A1
|
200,00
|
57,16
|
85,00
|
0,67
|
-
|
Печатный узел обработки
В результате проведенного моделирования получены термограммы
поверхностей печатного узла обработки температуры на каждом электрорадиоизделии
(см. рисунок 14, таблицу 18):
Рис. 14. Термограмма верхней и нижней поверхности
печатного узла обработки
Таблица 18. Тепловые режимы ЭРИ
|
Обозначение ЭРИ
|
Температура ЭРИ
|
Коэффициент тепловой нагрузки
|
Перегрев,°C
|
|
Время, с
|
Максимальная расчетная,°C
|
Максимальная по ТУ,°C
|
|
|
|
DD1
|
200,00
|
54,44
|
85,00
|
0,64
|
-
|
|
DD2
|
200,00
|
59,40
|
85,00
|
0,69
|
-
|
|
DA7
|
200,00
|
58,93
|
85,00
|
0,69
|
-
|
|
DA6
|
200,00
|
59,79
|
85,00
|
0,7
|
-
|
|
DA1
|
200,00
|
57,70
|
85,00
|
0,67
|
-
|
|
DA5
|
200,00
|
56,50
|
85,00
|
0,66
|
-
|
|
D1
|
200,00
|
58,60
|
85,00
|
0,68
|
-
|
|
DA8
|
200,00
|
57,15
|
85,00
|
0,67
|
-
|
|
DA12
|
200,00
|
54,80
|
85,00
|
0,64
|
-
|
|
DA11
|
200,00
|
54,61
|
85,00
|
0,64
|
-
|
|
DA9
|
200,00
|
55,60
|
85,00
|
0,65
|
-
|
|
DA10
|
200,00
|
59,02
|
85,00
|
0,69
|
-
|
Полученные значения температур электрорадиоизделий на всех
печатных узлах находятся в заданных пределах, а также обладают
удовлетворительными коэффициентами тепловой нагрузки для обеспечения
нормального функционирования.
2.4
Моделирование механических процессов в АСОНИКА-М-3D
На рисунке 15 представлены значения напряжений, полученные в
результате моделирования приемно-вычислительного блока на воздействие
механического удара одиночного действия в подсистеме АСОНИКА-М-3D.
Рис. 15. Напряжения в блоке ПВ при воздействии одиночного
удара
На рисунке 16 представлены значения напряжений, полученные в
результате моделирования блока ПВ на воздействие гармонической вибрации в
подсистеме АСОНИКА-М-3D.
Рис. 16. Напряжения в блоке ПВ при воздействии
гармонической вибрации
Как видно, значения полученных напряжений находятся в
заданных пределах и не превышают максимально допустимых.
2.5
Моделирование механических процессов в АСОНИКА-ТМ
Печатный узел приема
По результатам моделирования получены значения ускорений ЭРИ
и на поверхности печатного узла приема при воздействии гармонической вибрации и
одиночного механического удара (см. рисунки 17 и 18). Получены карты
механических режимов ЭРИ (см. таблицы 19 и 20).
Рис. 19. Поля ускорений в ПУ приема при воздействии
гармонической вибрации
Таблица 19. Механические режимы ЭРИ
|
КАРТА МЕХАНИЧЕСКИХ РЕЖИМОВ РАБОТЫ ЭРИ
|
|
(при гармонической вибрации)
|
|
Обозначение ЭРИ
|
Ускорение ЭРИ
|
Коэффициент механической нагрузки
|
Перегрузка, g
|
|
Максимальное расчетное, g
|
Максимальное допустимое по ТУ, g
|
|
|
|
DD1
|
11
|
15
|
0,73
|
-
|
|
DA3
|
10
|
15
|
0,66
|
-
|
|
DA2
|
10
|
15
|
0,66
|
-
|
|
DA10
|
11
|
15
|
0,73
|
-
|
|
DA4
|
11
|
15
|
0,73
|
-
|
|
DA1
|
11
|
15
|
0,73
|
-
|
|
DA7
|
10
|
15
|
0,66
|
-
|
|
DA6
|
11
|
15
|
0,73
|
-
|
|
DA5
|
11
|
15
|
0,73
|
-
|
|
DA9
|
11
|
15
|
0,73
|
-
|
|
DA8
|
10
|
15
|
0,66
|
-
|
|
DD3
|
10
|
15
|
0,66
|
-
|
|
D1
|
11
|
15
|
0,73
|
-
|
Рис. 18. Поля ускорений в ПУ приема при воздействии
одиночного удара
Таблица 20. Механические режимы ЭРИ
|
КАРТА МЕХАНИЧЕСКИХ РЕЖИМОВ РАБОТЫ ЭРИ
|
|
(при одиночном ударном воздействии)
|
|
Обозначение ЭРИ
|
Ускорение ЭРИ
|
Коэффициент механической нагрузки
|
Перегрузка, g
|
|
Максимальное расчетное, g
|
Максимальное допустимое по ТУ, g
|
|
|
|
DD1
|
110
|
150
|
0,73
|
-
|
|
DA3
|
18
|
75
|
0,24
|
-
|
|
DA2
|
55
|
100
|
0,55
|
-
|
|
DA10
|
74
|
150
|
0,49
|
-
|
|
DA4
|
54
|
100
|
0,54
|
-
|
|
DA1
|
72
|
100
|
0,72
|
-
|
|
DA7
|
24
|
75
|
0,32
|
-
|
|
DA6
|
66
|
100
|
0,66
|
-
|
|
DA5
|
67
|
100
|
0,67
|
-
|
|
DA9
|
150
|
0,52
|
-
|
|
DA8
|
42
|
100
|
0,42
|
-
|
|
DD3
|
47
|
100
|
0,47
|
-
|
|
D1
|
73
|
100
|
0,73
|
-
|
Печатный узел генерации
В результате моделирования получены значения ускорений ЭРИ и
на поверхности печатного узла генерации при воздействии гармонической вибрации
и одиночного механического удара (см. рисунки 19 и 20). Получены карты
механических режимов ЭРИ (см. таблицы 21 и 22).
Рис. 19. Значения ускорений в печатном узле генерации при
воздействии гармонической вибрации
Таблица 21. Механические режимы ЭРИ
|
КАРТА МЕХАНИЧЕСКИХ РЕЖИМОВ РАБОТЫ ЭРИ
|
|
(при гармонической вибрации)
|
|
Обозначение ЭРИ
|
Сторона
|
Ускорение ЭРИ
|
Коэффициент механической нагрузки
|
Перегрузка, g
|
|
|
Максимальное расчетное, g
|
Максимальное допустимое по ТУ, g
|
|
|
|
Генератор
|
1
|
6,75
|
10
|
0,67
|
-
|
Рис. 20. Поля ускорений в ПУ приема при воздействии
одиночного удара
Таблица 22. Механические режимы ЭРИ
|
КАРТА МЕХАНИЧЕСКИХ РЕЖИМОВ РАБОТЫ ЭРИ
|
|
(при одиночном ударном воздействии)
|
|
Обозначение ЭРИ
|
Сторона
|
Ускорение ЭРИ
|
Коэффициент механической нагрузки
|
Перегрузка, g
|
|
|
Максимальное расчетное, g
|
Максимальное допустимое по ТУ, g
|
|
|
|
Генератор
|
1
|
52
|
100
|
0,52
|
-
|
Печатный узел питания
Далее получаем значения ускорений ЭРИ, а также на поверхности
печатного узла питания при воздействии гармонической вибрации и одиночного
механического удара (см. рисунки 21 и 22). Получены карты механических режимов
ЭРИ (см. таблицы 23 и 24).
Рис. 21. Поля ускорений в ПУ питания при воздействии
гармонической вибрации
Таблица 23. Механические режимы ЭРИ
|
КАРТА МЕХАНИЧЕСКИХ РЕЖИМОВ РАБОТЫ ЭРИ
|
|
(при гармонической вибрации)
|
|
Обозначение ЭРИ
|
Ускорение ЭРИ
|
Коэффициент механической нагрузки
|
Перегрузка, g
|
|
Максимальное расчетное, g
|
Максимальное допустимое по ТУ, g
|
|
|
|
A1
|
10
|
15
|
0,66
|
-
|
|
C8
|
10
|
15
|
0,66
|
-
|
|
C9
|
10
|
15
|
0,66
|
-
|
|
C14
|
10
|
15
|
0,66
|
-
|
|
C15
|
10
|
15
|
0,66
|
-
|
|
C16
|
10
|
15
|
0,66
|
-
|
|
C17
|
10
|
15
|
0,66
|
-
|
|
DA1
|
10
|
15
|
0,66
|
-
|
|
L2
|
10
|
15
|
0,66
|
-
|
|
VD1
|
10
|
15
|
0,66
|
-
|
|
VT4
|
10
|
15
|
0,66
|
-
|
|
VT1
|
10
|
15
|
0,66
|
-
|
|
VT2
|
10
|
15
|
0,66
|
-
|
|
VT3
|
10
|
15
|
0,66
|
-
|
|
L1
|
10
|
15
|
0,66
|
-
|
Рис. 22. Поля ускорений в ПУ питания при
воздействии одиночного удара
Таблица 24. Механические режимы ЭРИ
|
КАРТА МЕХАНИЧЕСКИХ РЕЖИМОВ РАБОТЫ ЭРИ
|
|
(при одиночном ударном воздействии)
|
|
Обозначение ЭРИ
|
Ускорение ЭРИ
|
Коэффициент механической нагрузки
|
Перегрузка, g
|
|
Максимальное расчетное, g
|
Максимальное допустимое по ТУ, g
|
|
|
|
A1
|
20
|
75
|
0,26
|
-
|
|
C8
|
16
|
75
|
0,21
|
-
|
|
C9
|
27
|
75
|
0,36
|
-
|
|
C14
|
51
|
100
|
0,51
|
-
|
|
C15
|
75
|
150
|
0,50
|
-
|
|
C16
|
9
|
75
|
0,12
|
-
|
|
C17
|
98
|
150
|
0,65
|
-
|
|
DA1
|
102
|
150
|
0,68
|
-
|
|
L2
|
80
|
150
|
0,53
|
-
|
|
VD1
|
59
|
100
|
0,59
|
-
|
|
VT4
|
10
|
75
|
0,13
|
-
|
|
VT1
|
89
|
150
|
0,59
|
-
|
|
VT2
|
79
|
150
|
0,52
|
-
|
|
VT3
|
93
|
150
|
0,62
|
-
|
|
L1
|
93
|
150
|
0,62
|
-
|
Печатный узел обработки
И, наконец, в результате проведенного моделирования получены
значения ускорений ЭРИи на поверхности печатного узла обработки при воздействии
гармонической вибрации и одиночного механического удара (см. рисунки 23 и 24).
Получены карты механических режимов ЭРИ (см. таблицы 25 и 26).
Рис. 23. Поля ускорений в печатном узле обработки при
воздействии гармонической вибрации
Таблица 25. Механические режимы ЭРИ
|
КАРТА МЕХАНИЧЕСКИХ РЕЖИМОВ РАБОТЫ ЭРИ
|
|
(при гармонической вибрации)
|
|
Обозначение ЭРИ
|
Ускорение ЭРИ
|
Коэффициент механической нагрузки
|
Перегрузка, g
|
|
Максимальное расчетное, g
|
Максимальное допустимое по ТУ, g
|
|
|
|
DD1
|
11
|
15
|
0,73
|
-
|
|
DA1
|
11
|
15
|
0,73
|
-
|
|
DA7
|
10
|
15
|
0,66
|
-
|
|
DA6
|
10
|
15
|
0,66
|
-
|
|
DD2
|
11
|
15
|
0,73
|
-
|
|
DA5
|
10
|
15
|
0,66
|
-
|
|
D1
|
10
|
15
|
0,66
|
-
|
|
DA8
|
10
|
15
|
0,66
|
-
|
|
DA12
|
11
|
15
|
0,73
|
-
|
|
DA11
|
10
|
15
|
0,66
|
-
|
|
DA9
|
11
|
15
|
0,73
|
-
|
|
DA10
|
10
|
15
|
0,66
|
-
|
Рис. 24. Поля ускорений в ПУ обработки при
воздействии одиночного удара
Таблица 26. Механические режимы ЭРИ
|
КАРТА МЕХАНИЧЕСКИХ РЕЖИМОВ РАБОТЫ ЭРИ
|
|
(при одиночном ударном воздействии)
|
|
Обозначение ЭРИ
|
Ускорение ЭРИ
|
Коэффициент механической нагрузки
|
Перегрузка, g
|
|
Максимальное расчетное, g
|
Максимальное допустимое по ТУ, g
|
|
|
|
DD1
|
100
|
150
|
0,66
|
-
|
|
DA1
|
103
|
150
|
0,68
|
-
|
|
DA7
|
86
|
150
|
0,57
|
-
|
|
DA6
|
82
|
150
|
0,54
|
-
|
|
DD2
|
106
|
150
|
0,70
|
-
|
|
DA5
|
84
|
150
|
0,56
|
-
|
|
D1
|
93
|
150
|
-
|
|
DA8
|
83
|
150
|
0,54
|
-
|
|
DA12
|
99
|
150
|
0,66
|
-
|
|
DA11
|
89
|
150
|
0,59
|
-
|
|
DA9
|
104
|
150
|
0,69
|
-
|
|
DA10
|
82
|
150
|
0,55
|
-
|
Как видно, значения полученных ускорений ЭРИ на всех печатных
узлах находятся в заданных пределах и не превышают максимально допустимых
согласно техническим условиям. У всех ЭРИ имеется удовлетворительный показатель
коэффициента механической нагрузки.
2.6 Расчет
показателей надежности приемно-вычислительного блока
На надежность радиоэлектронной аппаратуры влияет большое
количество факторов, которые имеют место на этапах проектирования, производства
и эксплуатации. Поэтому различают производственную, эксплуатационную и
расчетную надежности. В самом идеальном случае эти значения должны совпадать.
В техническом задании на приемно-вычислительный блок заданы
следующие параметры:
■ коэффициент готовности - вероятность того, что
изделие окажется в работоспособном состоянии в произвольный момент времени в
течение гарантийного срока хранения должен быть не менее 0,985;
■ вероятность безотказной работы - вероятность того,
что в течение времени боевого применения 200 с после сброса будет
функционировать в соответствии с принятой схемой действия в установленные
временные интервалы - должна быть не менее 0,995;
■ минимальное среднее время наработки до отказа
интегральных микросхем в указанных режимах и условиях должна быть не менее 30
000 ч;
■ гарантийные сроки хранения при хранении в состоянии
заводской поставки должны составлять:
не менее 12 лет в отапливаемых хранилищах,
не менее 10 лет в неотапливаемых хранилищах,
не менее 5 лет в полевых условиях на открытой площадке под
навесом или брезентом без прямого воздействия осадков и солнечной радиации;
год (суммарно) на подвеске носителя в полностью
подготовленном к боевому применению состоянии при обеспечении защиты от
атмосферных осадков и солнечной радиации;
■ назначенные сроки службы должны составлять:
в отапливаемых хранилищах, не менее 15 лет;
в неотапливаемых хранилищах, не менее 12 лет;
в полевых условиях (под навесом), не менее 7 лет.
Приступим, непосредственно, к вычислению показателей
надёжности приемно-вычислительного блока
Расчет надежности заключается в определении показателей
надежности проектируемого изделия при известных характеристиках надежности
составных элементов конструкции и при учете условий эксплуатации.
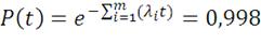
Важнейшим показателем надежности РЭА является вероятность
безотказной работы P (t) - это безразмерная величина, которая зависит от
времени наработки tи которая изменяется в диапазоне от 0 до 1. Вероятность
безотказной работы вычисляется по формуле:
где: - число элементов i;
λi - интенсивность отказа
i-го элемента.
Таким образом, вероятность безотказной работы уменьшается от
значения "1"стечением времени по экспоненциальному закону. При этом
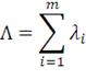
общая интенсивность отказов изделия равна сумме интенсивностей отказов
составных частей:
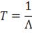
А среднее время наработки до отказа вычисляется по формуле:
Далее представлен расчет эксплуатационной интенсивности
отказов приемно-вычислительного блока с учетом внешних воздействий, выполненный
в подсистеме АСОНИКА-К.
Расчет Изделия Название Изделия: приемно-вычислительный блок
Децимальный номер: 1 Интенсивность отказов эксплуатационная: lэ=1,04771039739532E-5
Интенсивность отказов в режиме ожидания: 1,307474510338E-5
На рисунке 25 и в таблице 27 представлены общая гистограмма и
значение интенсивностей отказов для компонентов приемно-вычислительного блока.
Рис. 25. Гистограмма интенсивностей отказов компонентов блока
ПВ
Таблица 27. Интенсивность отказа компонентов блока ПВ
|
Наименование компонента
|
Номер изделия
|
Эксплуатационная интенсивность отказов
|
Интенсивность отказов в режиме ожидания
|
|
Плата питания
|
1
|
3,75e-06
|
4,21e-07
|
|
Плата генератора
|
2
|
4, 20e-06
|
1,26e-05
|
|
Плата приемника
|
3
|
1,38e-06
|
3,30e-08
|
|
Плата обработки
|
4
|
1,15e-06
|
2,75e-08
|
Далее представлены интенсивности отказов ЭРИ для первого
компонента блока ПВ - платы питания (см. рисунок 26 и таблицу 28).
Рис. 26. Гистограмма интенсивностей отказов ЭРИ платы питания
Таблица 28. Интенсивность отказа ЭРИ платы питания
|
Наименование компонента
|
Номер изделия
|
Эксплуатационная интенсивность отказов
|
Интенсивность отказов в режиме ожидания
|
|
DA1
|
MS10
|
2,70e-07
|
2,16e-09
|
|
VT1
|
TO-252AA
|
2,04e-07
|
4,31e-10
|
|
VT2
|
TO-252AA
|
2,04e-07
|
4,31e-10
|
|
VT3
|
TO-252AA
|
2,04e-07
|
4,31e-10
|
|
VT4
|
TO-252AA
|
2,04e-07
|
4,31e-10
|
|
C1
|
T492C226K006CS
|
3,04e-07
|
1,63e-09
|
|
C2
|
T492C226K006CS
|
3,04e-07
|
1,63e-09
|
|
C3
|
T492C226K006CS
|
3,04e-07
|
1,63e-09
|
|
C4
|
T492C226K006CS
|
3,04e-07
|
1,63e-09
|
|
C5
|
T492C226K006CS
|
3,04e-07
|
1,63e-09
|
|
C6
|
T492C226K006CS
|
3,04e-07
|
1,63e-09
|
|
C7
|
T492C226K006CS
|
3,04e-07
|
1,63e-09
|
|
L1
|
HP1004
|
9,40e-08
|
2,78e-08
|
|
L2
|
HP1004
|
9,40e-08
|
2,78e-08
|
|
A1
|
MR50D
|
3,50e-07
|
3,50e-07
|
Далее представлены интенсивности отказов ЭРИ для второго
компонента блока ПВ - платы генерации (см. рисунок 27 и таблицу 29).
Рис. 27. Гистограмма интенсивностей отказов ЭРИ платы
генерации
Таблица 29. Интенсивность отказа ЭРИ платы генерации
|
Наименование компонентаНомер
изделияЭксплуатационная интенсивность отказовИнтенсивность отказов в режиме
ожидания
|
|
|
|
|
VL1
|
ГК143-ТС
|
4, 20e-06
|
1,26e-05
|
Далее представлены интенсивности отказов ЭРИ для третьего компонента
блока ПВ - платыприемника (см. рисунок 28 и таблицу 30).
Рис. 28. Гистограмма интенсивностей отказов ЭРИ платы
приемника
Таблица 30. Интенсивность отказа ЭРИ платы приемника
|
Наименование компонентаНомер изделияЭксплуатационная
интенсивность отказовИнтенсивность отказов в режиме ожидания
|
|
|
|
|
DD1
|
EP2C8T144I8
|
1,15e-07
|
2,76e-09
|
|
DA1
|
AD9222
|
1,10e-07
|
2,65e-09
|
|
DA4
|
AD9515
|
1,08e-07
|
2,59e-09
|
|
DA2
|
MAX1831EEE
|
1,13e-07
|
2,70e-09
|
|
DA5
|
1310ПН1У
|
1,13e-07
|
2,70e-09
|
|
DA6
|
1310ПН1У
|
1,13e-07
|
2,70e-09
|
|
DA3
|
MAX485ESA
|
1,13e-07
|
2,70e-09
|
|
DD3
|
AD7398
|
1,15e-07
|
2,76e-09
|
|
DA10
|
ADF4360
|
1,10e-07
|
2,65e-09
|
|
DA9
|
MAX4428ESA
|
9, 19e-08
|
2,21e-09
|
|
DA11
|
MAX4428ESA
|
9, 19e-08
|
2,21e-09
|
|
DA12
|
MAX4428ESA
|
9, 19e-08
|
2,21e-09
|
|
DA8
|
MAX4428ESA
|
9, 19e-08
|
2,21e-09
|
И, наконец, представлены интенсивности отказов ЭРИ для
четвертого компонента блока ПВ - платы обработки (см. рисунок 29 и таблицу 31).
Рис. 29. Гистограмма интенсивностей отказов ЭРИ платы
обработки
Таблица 31. Интенсивность отказа ЭРИ платы обработки
|
Наименование компонентаНомер
изделияЭксплуатационная интенсивность отказовИнтенсивность отказов в режиме
ожидания
|
|
|
|
|
DD1
|
EP2C8T144I8
|
1,13e-07
|
2,70e-09
|
|
DA1
|
AD9222
|
1,10e-07
|
2,65e-09
|
|
DA6
|
1310ПН1У
|
9,00e-08
|
2,16e-09
|
|
DA7
|
1310ПН1У
|
9,00e-08
|
2,16e-09
|
|
DA8
|
1310ПН1У
|
9,00e-08
|
2,16e-09
|
|
DA9
|
1310ПН1У
|
9,00e-08
|
2,16e-09
|
|
DA10
|
1310ПН1У
|
9,00e-08
|
2,16e-09
|
|
DA11
|
1310ПН1У
|
9,00e-08
|
2,16e-09
|
|
DA12
|
1310ПН1У
|
9,00e-08
|
2,16e-09
|
|
DA5
|
1310ПН1У
|
9,00e-08
|
2,16e-09
|
|
D1
|
1986ВЕ92У
|
9,58e-08
|
2,30e-09
|
|
DD2
|
AT91SAM7S256
|
1,08e-07
|
2,59e-09
|
Теперь посчитаем вероятность безотказной работы и среднее
время наработки до отказа:
 96153 ч
Полученные показатели удовлетворяют требованиям заказчика,
указанным в техническом задании.
Заключение
В процессе выполнения выпускной квалификационной работы было
проведено исследование механических и тепловых процессов, протекающих в
приемно-вычислительном блоке, являющимся частью бортовой радиоэлектронной
аппаратуры.
В ходе работы был произведен анализ особенностей конструкции
приемно-вычислительного блока с точки зрения механических и тепловых
характеристик. Для возможности проведения компьютерного моделирования в
программном продукте АСОНИКА (подсистемах АСОНИКА-М-3D, АСОНИКА-Т и АСОНИКА-ТМ)
были подготовлены все необходимые исходные данные. Было проведено компьютерное
моделирование блока на воздействие гармонической вибрации и механического удара
одиночного действия, а также на нестационарное тепловое воздействие. Результаты
были проанализированы и, в итоге, были получены численные значения температур
на всех электрорадиоэлементах, которые удовлетворяющих техническим условиям. На
завершающей стадии исследования в подсистеме АСОНИКА-К были посчитаны
показатели надежности приемно-вычислительного блока. Получившееся значение
времени наработки до отказа удовлетворяет требуемому значению, указанному
заказчиком в техническом задании на разработку приемно-вычислительного блока.
Список
использованных источников
1. Дульнев
Г.Н. Тепло - и массообмен в РЭА. Учебник для ВУЗов. М.: ВШ, 1984.
2. Гелль
П.П., Ивaнов-Еcипович Н.К. Конструирование радиоэлектронной аппаратуры. Л.:
Энергия, 1972.
. Дульнев
Г.Н., Парфенов В.Г., Сигалов А.В. Методы расчёта теплового режима приборов. М.:
Радио и связь, 1990.
. Алексеев
В.Ф. Принципы конструирования и автоматизации проектирования РЭУ. Учебное пособие.
Минск: БГУИР, 2003.
5. Увайсов С.У.,
Кофанов Ю.Н. <http://www.hse.ru/org/persons/47634040>, Шалумов А.С.
Автоматизированная система АСОНИКА для моделирования физических процессов в РЭС
с учетом внешних воздействий <http://publications.hse.ru/view/110377199>.
М.: Радиотехника, 2013.
. Кофанов Ю.Н.,
Шалумов А.С., Варицев К.Б. Моделирование тепловых и механических процессов в
конструкциях РЭА с помощью подсистемы АСОНИКА-ТМ. М.: МГИЭМ, 1999.
. Манохин А.И.
<http://www.hse.ru/org/persons/47634067>, Шалумов А.С., Шалумова Н.А.
Моделирование тепловых процессов в технических объектах с помощью
автоматизированной подсистемы АСОНИКА-Т. Ковров: Ковр. гос. технол. акад.,
2004.
. Роткевич А.С.,
Перепелица Д.В. Анализ особенностей конструкции приемно-вычислительного блока с
точки зрения обеспечения тепловых и механических характеристик // Ежегодная
научно-техническая конференция студентов, аспирантов и молодых специалистов
МИЭМ НИУ
. ВШЭ: Тезисы
докладов. М.: МИЭМ НИУ ВШЭ, 2015.
. Роткевич А.С.,
Перепелица Д.В. Подготовка исходных данных для теплового и механического
моделирования // VIII Международная научно-практическая конференции учащихся и
студентов. Протвино, 2015.
Похожие работы на - Тепловые процессы в радиоэлектронной аппаратуре
|