Исследование оптических свойств лазера накачки
МИНИСТЕРСТВО
ОБРАЗОВАНИЯ И НАУКИ РОССИЙСКОЙ ФЕДЕРАЦИИ
Федеральное
государственное бюджетное образовательное учреждение
высшего
профессионального образования
«КУБАНСКИЙ
ГОСУДАРСТВЕННЫЙ УНИВЕРСИТЕТ»
(ФГБОУ
ВПО «КубГУ»)
Физико-технический
факультет
Кафедра
оптоэлектроники
Допустить
к защите в ГАК
Заведующий
кафедрой
д-р
техн. наук, профессор
_______________Н.
А. Яковенко
ВЫПУСКНАЯ
КВАЛИФИКАЦИОННАЯ РАБОТА БАКАЛАВРА
исследование оптических свойств лазера накачки
Работу
выполнил________________________ Бухальцов Алексей Викторович
Направление
11.03.02 Инфокоммуникационные технологии и системы связи
Научный
руководитель
канд.
физ.-мат. наук, доцент ____________________________ В. В. Галуцкий
Нормоконтролер
инженер __________________________ И. А. Прохорова
Краснодар
2015
Реферат
Выпускная квалификационная работа 49 с., 19
рис., 1 табл., 16 источников.
Полупроводниковый лазер накачки, температурная
подстройка, иттербий, эрбий
Объектом разработки данной выпускной
квалификационной работы является кристаллы, активированный иттербием и эрбием и
система полупроводниковой лазерной накачки, предназначенные для формирования
оптического сигнала на длине волны 1,55 мкм.
Целью работы является исследование температурной
подстройки по длине волны полупроводникового лазера накачки «ЛАТУС-К»
В результате выполнения выпускной
квалификационной работы
- собрана экспериментальная установка
для исследования температурной зависимости спектров излучения
полупроводникового лазера накачки;
- построена температурная зависимость
максимума излучения, полуширины линии излучения, интегральной интенсивности
излучения;
- оценена эффективность согласования
линии излучения лазера накачки с линиями поглощения кристаллов с иттербием и
эрбием.
Содержание
Введение
. Эрбиевые усилители оптического
сигнала
.1 Принцип работы EDFA
.2 Оптическая схема эрбиевого
волоконного усилителя
.3 Основные параметры волоконных
усилителей
.3.1 Коэффициент усиления
.3.2 Выходная мощность сигнала и
энергетическая эффективность накачки
.3.3 Шум-фактор
.3.4 Ширина и равномерность полосы
усиления
. Полупроводниковый лазер накачки
«ЛАТУС-К»
.1 Конструкция лазера накачки
.2 Требования к мощному
полупроводниковому лазеру накачки
. Экспериментальная часть
.1 Оптическая схема измерений
.2 Обработка спектров излучения
Заключение
Список использованных источников
Введение
В настоящее время существует целый класс
оптических квантовых устройств в сфере телекоммуникаций, одним из наиболее
распространенных является, несомненно, эрбиевый волоконный усилитель (EDFA).
Усиление света в EDFA происходит в диапазоне длин волн 1,55 мкм, как раз в
области минимальных потерь кварцевого оптического волокна.
В настоящее время длина современных
волоконно-оптических линий связи достигает нескольких тысяч километров, а
сигнал передатчика снижается на 30..40 дБ на расстоянии 130..160 км [1]. Для
увеличения мощности на входном конце линии на 25..30 дБ применяют квантовые
усилители, а для восстановления сигнала на линии до уровня 1..10 дБм применяют
усилители-ретрансляторы. Для этой цели используют EDFA с накачкой
полупроводниковым лазером. Кроме того, для увеличения информационно-пропускной
способности применяют спектральное уплотнение каналов (WDM) с использованием от
10 до 64 каналов, разделенных по длинам волн в спектральном диапазоне 1455..1600
нм [2]. Однако хорошо известный факт зависимости эффективности накачки EDFA от
длины волны полупроводникового лазера накачки позволяет прогнозировать
возможный уровень энергетических затрат на усиление оптического сигнала.
Две самые распространенные длины волны накачки
EDFA 980 и 1480 нм [3]. Когда EDFA накачивается на 980 нм, примерно через 1 мкс
возбужденные ионы падают на метастабильный уровень, на котором они могут
находиться до 10 мс, пока через усилитель не пройдет сигнал, после чего ионы
переходят в основное состояние, испуская свет с той же длиной волны, что и
проходящий сигнал. Если за 10 мс через накаченный усилитель не пройдет сигнал,
то ионы эрбия спонтанно перейдут в основное состояние, испуская свет с длиной
волны порядка 1550 нм [4]. В коммуникациях эффективная скорость передачи
информации очень высока (Гб/с), а время передачи единицы информации очень мало
(пс) по сравнению с временами жизни метастабильных уровней (мс), поэтому
межсимвольной интерференции не происходит. Однако спонтанное излучение
усиливает общий шум.
Накачка же EDFA на длине волны 1480 нм обладает
меньшей эффективностью относительно получаемого коэффициента усиления и требует
дополнительных энергозатрат [4].
Согласование спектра излучения лазера накачки и
спектра поглощения усиливающей среды, а значит, и повышение энергоэффективности
накачки является важным условием при конструировании и других оптических
квантовых приборов для телекоммуникаций.
Известный факт, что путем температурной
подстройки можно изменить длину волны полупроводникового лазера накачки, а
значит лучше согласовать спектр излучения лазера и спектр поглощения среды.
Поэтому целью данной работы являлся исследование
температурной подстройки по длине волны полупроводникового лазера накачки
«ЛАТУС-К»
При этом существенно важным является решение
следующих задач:
- собрать экспериментальную установку
для исследования температурной зависимости спектров излучения
полупроводникового лазера накачки;
- построить температурную зависимость
максимума излучения, полуширины линии излучения, интегральной интенсивности
излучения;
- оценить эффективность согласования
линии излучения лазера накачки с линиями поглощения кристаллов с иттербием и
эрбием.
Полученные в данной работе результаты тесно
связаны с научно-исследовательской работой, проводимой на кафедре
оптоэлектроники КубГУ, и найдут реальное использование при проектировании
различных лазерных схем.
1. Эрбиевые усилители
оптического сигнала
.1 Принцип работы EDFA
Принцип работы усилителей EDFA основан на
явлении усиления света при вынужденном излучении (Light Amplification by
Stimulated Emission of Radiation). Это то же самое явление, которое
обеспечивает возникновение генерации в лазерах и, собственно говоря, дало им
название (слово LASER это и есть аббревиатура вышеприведенной фразы).
Возможность усиления света в световодах, легированных ионами эрбия,
обуславливается схемой уровней энергии данного редкоземельного элемента,
представленной в упрощенном виде на (рисунок 1). Усиление света в эрбиевом
усилителе происходит благодаря переходу между уровнями 2-1 (4I13/2-4I15/2).
Каждый из этих уровней расщеплен на ряд подуровней из-за взаимодействия ионов
эрбия с внутрикристаллическим полем кварцевого стекла (эффект Штарка). Под
действием накачки за счет поглощения фотонов накачки ионы эрбия переходят из
основного состояния (уровень 1) в верхнее возбужденное состояние (уровень 3),
которое является короткоживущим (время жизни 3=1 мкс), и за счет процессов
релаксации переходят в долгоживущее состояние (на метастабильный уровень 2 энергии).
Термин метастабильный означает, что время пребывания иона эрбия на этом уровне
энергии (его также называют временем жизни) относительно велико (τ2=10
мс,
т.е.
τ2=10 000τ3).
Поэтому число ионов, находящихся на уровне 2,
при соответствующей мощности накачки может превышать число ионов на уровне 1.
Уровень 1 называется основным состоянием, т.к. в отсутствие накачки практически
все ионы эрбия находятся на этом энергетическом уровне. Доля частиц,
находящихся на остальных уровнях, в отсутствие накачки мала. Число ионов в
единице объема, находящихся на некотором уровне энергии, называется
населенностью этого уровня энергии. В нормальных условиях, т.е. в отсутствие
накачки, населенность основного уровня энергии вещества максимальна,
населенности всех остальных уровней энергии быстро уменьшаются с увеличением
энергии уровня. Состояние среды, при котором населенность некоторого более
высокого уровня энергии иона превышает населенность некоторого нижележащего
уровня, является очень необычным и получило название состояния с инверсией
населенностей уровней, или, более коротко, инверсией населенности.
Если в среду с инверсией населенности попадает
излучение с энергией фотона, совпадающей с энергией перехода из метастабильного
состояния в основное, то с большой вероятностью происходит переход иона с
метастабильного уровня 2 на основной уровень 1 с одновременным рождением еще
одного фотона. Увеличение числа фотонов при их взаимодействии с ионами эрбия
означает, что происходит усиление света, распространяющегося в среде с
инверсией населенности. Отметим, что длина волны и спектр усиления жестко
определены типом активных ионов. Тот факт, что спектр усиления волок на,
легированного ионами эрбия, совпадает с областью минимальных потерь кварцевого
оптического волокна, является удачным совпадением. Не все ионы эрбия находятся
в метастабильном состоянии и обеспечивают усиление. Часть ионов находится на
уровне 1 и эти ионы, взаимодействуя с фотонами, энергия которых совпадает с
энергией перехода, эффективно их поглощают, переходя на уровень 2. При этом
спектр усиления ионов эрбия практически совпадает со спектром поглощения. Если
количество ионов, находящихся на уровне 2, меньше числа ионов, находящихся на
основном уровне 1, то наблюдается поглощение. Именно поэтому необходимым условием
усиления света является создание инверсии населенностей между двумя рабочими
уровнями энергии 2 и 1. Для создания инверсии населенностей в эрбиевом
усилителе необходимо перевести примерно половину ионов эрбия на метастабильный
уровень 2. Мощность накачки оптического усилителя, при которой населенность
уровней 1 и 2 равны, называется пороговой мощностью. При мощности накачки ниже
пороговой наблюдается не усиление, а поглощение светового сигнала. На рис.1.1
представлены спектры поглощения усиления при различных значениях относительной
населенности уровня 2, определяемой уровнем мощности накачки. Нижняя кривая,
наблюдающаяся в отсутствии накачки (все частицы находятся в основном состоянии,
населенность уровня 2 равно 0%), соответствует «отрицательному усилению», т.е.
поглощению во всем рабочем спектральном диапазоне. По мере увеличения мощности
накачки все большее число активных ионов переходит в возбужденное состояние.
Это приводит, как видно из рис.1.1, сначала к уменьшению коэффициента
поглощения, а затем к усилению света. Отметим также, что спектр усиления
несколько сдвинут в длинноволновую область относительно спектра поглощения.
Следовательно, для усиления в длинноволновой части спектра требуется меньшее
значение инверсии. Использование трехуровневой схемы накачки приводит к
появлению следующих важных свойств эрбиевого усилителя:
- Наличию пороговой мощности накачки,
при которой происходит «просветление» активного волоконного световода, т.е.
достигаются нулевые потери. При превышении пороговой мощности накачки
- начинается усиление сигнала. В
зависимости от структуры активного волоконного световода, концентрации
легирующей примеси и длины волны накачки величина пороговой мощности составляет
от долей до нескольких единиц мВт.
- Необходимости выбора оптимальной
длины эрбиевого волокна, то есть длины, при которой достигается максимальное
усиление при заданной концентрации ионов эрбия. При длине волокна больше
оптимальной в дальних участках волокна будет наблюдаться поглощение сигнала, а
при использовании эрбиевого волокна не достаточной длины излучение накачки
используется не полностью. Оптимальная длина эрбиевого волокна, вообще говоря,
зависит от частоты усиливаемого сигнала. Чем меньше частота сигнала, тем более
длинный отрезок эрбиевого волокна соответствует максимальному усилению.
При отсутствии усиливаемого сигнала ионы эрбия
переходят в основное состояние самопроизвольно, излучая фотоны с энергией,
соответствующей данному переходу. То есть появляется спонтанное излучение.
Следует подчеркнуть, что и в рабочем режиме при
наличии усиливаемого сигнала часть возбужденных ионов переходит в основное
состояние спонтанно, при этом спонтанное излучение также усиливается, приводя к
появлению усиленного спонтанного излучения. Усиленное спонтанное излучение
является основным источником шумов, а также ограничивает коэффициент усиления,
особенно в случае слабого сигнала.

Рисунок 1.1 - Спектральная зависимость
усиления/поглощения эрбиевого волокна при разных значениях относительной
населенности метастабильного уровня энергии
Рисунок 1.2 - Упрощенная схема эрбиевого
волоконного усилителя
1.2 Оптическая схема
эрбиевого волоконного усилителя
усилитель оптический сигнал лазер
Упрощенная схема эрбиевого волоконного усилителя
представлена на рис.1.2. Оптическая накачка, необходимая для перевода ионов
эрбия в возбужденное состояние, осуществляется на длинах волн, соответствующих
одной из их полос поглощения. В таблице 1 приведены значения эффективностей
использования накачки, определяемой максимальным значением отношения
коэффициента усиления к мощности накачки, для нескольких полос поглощения [4].
Источники накачки видимого диапазона на основе твердотельных и газовых лазеров
использовались на начальном этапе исследований эрбиевых волоконных усилителей,
пока не были разработаны необходимые полупроводниковые источники. Наибольшая
эффективность использования накачки достигается на длинах волн 980 и 1480 мкм
[4].
Отметим, что именно этот факт дал мощный толчок
развитию полупроводниковой техники высоких мощностей. Если в первых
экспериментах по усилению сигнала использовались полупроводниковые лазеры с
максимальной мощностью 20-30 мВт, то в настоящее время разработаны устройства
накачки с мощностью в несколько сотен мВт, введенной в одномодовое волокно
[1,2]. Большая мощность накачки требуется, например, для обеспечения высокого
коэффициента усиления одновременно большого числа информационных каналов в
системах со спектральным уплотнением (DWDM). Для объединения входного
оптического сигнала и излучения накачки используются мультиплексоры.
Необходимыми элементами оптических усилителей являются оптические изоляторы -
устройства, пропускающие световые сигналы только в одном направлении.
Оптические изоляторы на входе и выходе усилителя применяются для того, чтобы
предотвратить проникновение в усилитель паразитных отраженных от неоднородностей
линии связи сигналов. Отраженные сигналы, усиленные в эрбиевом волокне,
являются источником шумов, ухудшающих работу усилителя. Собственно усилительной
средой усилителя является эрбиевое волокно - волоконный световод с примесями
ионов эрбия. Изготавливаются такие световоды теми же методами, что и световоды
для передачи информации, с добавлением промежуточной операции пропитки не
проплавленного материала сердцевины раствором солей эрбия либо операции
легирования ионами эрбия из газовой фазы непосредственно в процессе осаждения
сердцевины. Волноводные параметры эрбиевого волоконного световода делают
сходными с параметрами световодов, используемых для передачи информации, в
целях уменьшения потерь на соединения. Принципиальным является выбор легирующих
добавок, формирующих сердцевину активного световода, а также подбор
концентрации ионов эрбия [5,6]. Различные добавки в кварцевое стекло изменяют
характер штарковского расщепления уровней энергии ионов эрбия. В свою очередь
это приводит к изменению спектров поглощения и излучения. На рис.1.3
представлены спектры излучения ионов эрбия в кварцевом стекле, легированном
наиболее часто применяемыми в технологии волоконных световодов добавками. Из
представленных данных видно, что наиболее широкий спектр излучения (а значит, и
спектр усиления), составляющий около 40 нм по полувысоте, достигается при
использовании в качестве добавки алюминия. Поэтому этот элемент стал
необходимой составляющей материала сердцевины эрбиевых волоконных световодов.
Концентрация ионов эрбия в сердцевине оптического волокна фактически определяет
его длину, используемую в усилителе при заданных уровнях сигнала и накачки.
Верхний предел концентрации активных ионов определяется возникновением эффекта
кооперативной апконверсии. Это явление состоит в том, что при большой
концентрации активных ионов возможно образование кластеров, состоящих из двух и
более ионов эрбия. Когда эти ионы оказываются в возбужденном состоянии,
происходит обмен энергиями, в результате чего один из них переходит в состояние
с еще более высокой энергией, а второй - безызлучательно релаксирует на
основной уровень. Таким образом, часть ионов эрбия поглощает излучение
усиленного сигнала, снижая эффективность усилителя [7].
Таблица 1- Эффективность использования накачки
|
Длина
волны накачки, нм
|
Максимальная
эффективность накачки, дБ/мВт
|
|
980
|
11
|
|
1480
|
6,3
|
|
664
|
3,8
|
|
532
|
2,0
|
|
827
|
1,3
|
Рисунок 1.3 - Спектры излучения ионов эрбия в
кварцевом стекле с различными добавками
Нижний предел по концентрации ионов эрбия
определяется тем, что слишком длинный активный световод неудобен при
изготовлении усилителя, а также тем, что при использовании большого количества
активного световода повышается стоимость усилителя. На практике концентрация
ионов эрбия составляет 1018-1019 см3, что обеспечивает длину используемого
активного световода от нескольких единиц до нескольких десятков метров.
Изображенная на рис.1.2 схема усилителя представляет собой вариант схемы с
попутной накачкой, когда сигнал и излучение накачки распространяются в одном и
том же направлении. Возможным является вариант со встречной накачкой, а также применение
накачки в двух направлениях. Двунаправленная накачка позволяет использовать два
источника накачки, повышая суммарную мощность накачки.
.3 Основные параметры
волоконных усилителей
Для практического использования в системах
волоконно-оптической связи наибольшее значение имеют следующие параметры
эрбиевых усилителей:
- коэффициент усиления;
- выходная мощность сигнала;
- шум-фактор и мощность усиленного
спонтанного излучения;
- спектральная ширина и равномерность
полосы усиления.
Рассмотрим их более подробно.
1.3.1 Коэффициент
усиления
Коэффициент усиления G определяется как
отношение мощности Pout сигнала на выходе оптического усилителя к мощности Pin
сигнала на его входе с учетом дополнительных потерь на мультиплексоре и в
оптическом изоляторе G = Pout/Pin. В технических спецификациях коэффициент
усиления выражают в децибелах g[дБ]=10lgG. Если мощность входного и выходного
сигналов также выражена в логарифмических единицах (дБм), то коэффициент
усиления равен разности мощностей выходного и входного сигналов: g[дБ] =
pout[дБ]-pin[дБ]. При оптимизированных параметрах активного волоконного
световода коэффициент усиления определяется мощностями накачки Pp и входного
сигнала Pin. Коэффициент усиления слабого сигнала, влиянием которого на
величину населенностей уровней энергии ионов эрбия можно пренебречь, называется
ненасыщенным коэффициентом усиления. Ненасыщенный коэффициент усиления
увеличивается при увеличении мощности накачки и длины эрбиевого волокна. В то
же время неограниченному возрастанию коэффициента усиления препятствуют
самонасыщение усилителя усиленным спонтанным излучением и возникновение
паразитной лазерной генерации. В лабораторных условиях достигнуто усиление 50
дБ. В серийных эрбиевых усилителях типичные значения коэффициента усиления слабого
сигнала находятся в районе 30 дБ. Увеличение мощности входного сигнала
уменьшает населенность метастабильного лазерного уровня 2 и, тем самым, снижает
коэффициент усиления рис.1.1. Для оценки эффекта насыщения в эрбиевых
усилителях часто используется значение выходной насыщающей мощности PSout или
входной насыщающей мощности PSout. Выходная насыщающая мощность PSout
определяется как значение мощности сигнала на выходе, при которой насыщенный
коэффициент усиления GS в два раза меньше коэффициента усиления при малом
входном сигнале G (при этом gS[дБ]=(g-3)[дБ]) [1,2]. Аналогично определяется
входная насыщающая мощность PSin.
1.3.2 Выходная мощность
сигнала и энергетическая эффективность накачки
Одно из применений оптических усилителей в
системах связи усиление мощности сигналов, вводимых в волоконно оптическую
линию связи. Выходная мощность сигнала определяет расстояние до следующего
усилителя.
Поэтому важными параметрами эрбиевых усилителей,
работающих в качестве усилителей мощности, являются выходная мощность Pout и
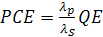
энергетическая эффективность PCE накачки. Энергетическая эффективность
определяется отношением изменения мощности сигнала к мощности накачки:

.
(1)
Для того чтобы обеспечить высокую
энергетическую эффективность, необходимо, чтобы практически все фотоны накачки
передавали свою энергию фотонам сигнала. Отношение числа фотонов сигнала NFS,
появившихся в процессе усиления сигнала, к числу NFP поглощенных фотонов накачки
называется квантовой эффективностью накачки QE=NFS/NFp. Так как энергия фотона
выходного излучения меньше энергии фотона накачки, то энергетическая
эффективность меньше квантовой и зависит от соотношения длин волн накачки λp и сигнала λS:

. (2)
Следовательно, для получения
максимальной энергетической эффективности перспективнее использовать накачку на
длине волны 1480 нм, а не на длине волны 980 нм. В настоящее время при накачке
на длине волны 1480 нм достигнута энергетическая эффективность 86%, при
квантовой эффективности 91% [1,2]. Накачка на длине волны 980 нм позволяет
получить энергетическую эффективность 55% при квантовой эффективности 86%.
Большая энергетическая эффективность
позволяет использовать для накачки источники излучения меньшей мощности, а
следовательно, более дешевые. Эта характеристика особенно важна в системах со
спектральным уплотнением, где требуется усиливать одновременно большое
количество сигналов большой суммарной мощности.
Для достижения уровней выходной
мощности в сотни мВт и выше разработаны специальные волоконные световоды с
двойной оболочкой и схемы накачки таких световодов. Усилители на основе
эрбиевых волоконных световодов с двойной оболочкой обеспечивают получение
выходного излучения мощностью более 1,5 Вт (33 дБ). Таким образом, для
получения максимальной энергетической эффективности для накачки эрбиевого
усилителя целесообразно использовать излучение на длине волны 1480 нм, в то же
время накачка на длине волны 980 нм обеспечивает меньшее значение шума
усиленного спонтанного излучения [1,7].
1.3.3
Шум-фактор
Основным источником шума в усилителе
на волокне, легированном эрбием, является самопроизвольное (спонтанное)
излучение при переходе иона эрбия с метастабильного уровня энергии 2 на
основной уровень 1. Это спонтанное излучение усиливается и повторно поглощается
по всей длине усилителя приблизительно так же, как слабый сигнал,
распространяющийся по усилителю. Именно этим объясняется отличие между формами
спектра усиленного спонтанного излучения (ASE) и спектра не усиленного
спонтанного излучения (SE) [8]. Усиленное спонтанное излучение при
распространении по волоконно-оптической линии поглощается и усиливается так же,
как и сам информационный сигнал. Увеличение мощности ASE приводит к увеличению
шума фотоприемника, который является источником ошибок в цифровых системах
связи. Полуклассическая теория дает следующее выражение для среднеквадратичного
отклонения фототока от среднего значения: σeN = σshot+σs-ASE+σASE-ASE+σth.
Первый член σshot
приведенного выражения соответствует флуктуациям фототока, вызванным шумом
Шоттки (его еще называют дробовым шумом), происхождение которого связано с
квантовой природой света. Второй член σs-ASE - это флуктуации фототока,
вызванные биениями между сигналом и усиленным спонтанным излучением. Третий
член σASE-ASE
связан с биениями между различными спектральными компонентами усиленного
спонтанного излучения, и последний член σth определяет тепловые
флуктуации тока фотоприемника. Качество принятого системой передачи информации
цифрового сигнала определяется величиной отношения мощности принятого
электрического сигнала к мощности шума. Эта величина, кратко называемая
электрическим отношением сигнал/шум (SNRe), равна отношению квадрата фототока,
создаваемого сигналом, к среднеквадратичному отклонению фототока:

. (3)
Величина электрического отношения
сигнал/шум зависит от характеристик фотоприемника и поэтому не может
непосредственно характеризовать качество оптического информационного сигнала.
Поэтому для характеристики оптического сигнала вводится понятие оптического
отношения сигнал/шум OSNR. Оптическое отношение сигнал шум OSNR в оптической спектральной
полосе Bо численно равно электрическому отношению сигнал/шум SNRe в идеальном
фотоприемнике с электрической спектральной полосой Be=Bo. Идеальным называется
фотоприемник, в котором отсутствуют тепловые шумы и квантовая эффективность
которого равна 100%.Для характеристики качества оптического усилителя вводится
параметр Nf, получивший название шум фактор. Величина шум фактора является
мерой ухудшения отношения сигнал/шум входного когерентного сигнала OSNRINCOG
при прохождении через оптический усилитель:

. (4)
Следует обратить внимание на тот
факт, что шум фактор определяет ухудшение идеального когерентного сигнала. При
приеме идеального оптического сигнала в фототоке отсутствуют флуктуации
фототока σs-ASE и σASE-ASE,
связанные с усиленным спонтанным излучением. Поэтому выражение для оптического
отношения сигнал/шум входного сигнала имеет вид (шумом Шоттки пренебрегают,
считая фотоприемник идеальным):

. (5)
Оптическое отношение сигнал шум
выходного сигнала имеет вид:

.
(6)
В приближении слабых шумов биениями
спектральных компонент усиленного спонтанного излучения можно пренебречь, тогда

, (7)
где G - коэффициент усиления, nsp -
фактор спонтанного излучения, зависящий от средних населенностей рабочих
уровней. Величина фактора спонтанного излучения определяет относительные
вероятности спонтанного и вынужденного излучения фотона. Поскольку вероятность
спонтанного излучения определяется средней населенностью N2 метастабильного
уровня энергии 2, а вероятность вынужденного перехода разностью населенностей
(N2-N1) уровней 2 и 1, то

, (8)
где σa(λS) и σe(λS)
- сечения
поглощения и излучения ионов эрбия на длине волны сигнала. Из полученных
выражений для отношения сигнал шум входного и выходного сигналов получаем
значение шум фактора эрбиевого усилителя

. (9)
Минимальное значение фактора
спонтанного излучения nsp=1 достигается при полной инверсии населенностей
рабочего перехода (N1=0). В этом случае в усилителях с большим усилением Nf=2
(шум фактор в логарифмических единицах равен 3 дБ). Значение шум фактора 3 дБ
является минимально возможным для усилителей любого типа с большим усилением.
Типичные значения шум фактора серийных эрбиевых усилителей составляют 5 дБ.
Если во входном сигнале присутствует «классический» шум, например усиленное
спонтанное излучение от предыдущего усилителя, то ухудшение отношения сигнал/шум
будет меньше значения шум фактора:
Рисунок 1.4 - Спектральные
зависимости коэффициентов шума и усиления эрбиевого усилителя для двух значений
входного сигнала

.
(10)
Поскольку коэффициент шума при
большом усилении зависит только от соотношения населенностей метастабильно
уровня 2 и основного уровня 1

(11)
обеспечить минимальное значение шума
можно с использованием накачки большой мощности на длине волны 980 нм, работаю
щей по трехуровневой схеме. В этом случае теоретически населенность основного
уровня 1 может быть снижена практически до нуля. Излучение накачка на длине
волны 1480 нм само эффективно взаимодействует с ионов эрбия, находящимися на
метастабильном уровне энергии 2, а это приводит к тому, что населенность уровня
1 не может быть снижена до нуля. Поэтому уровень шума при использовании накачки
на длине волны 1480 нм выше, чем при использовании на качки на длине волны 980
нм. При накачке во встречном по отношению к сигналу на правлении шум фактор
также несколько выше, чем при со направленно накачке, поскольку очень важно
обеспечить большую населенность метастабильного уровня 2 и малую населенность
уровня 1 там, где сигнал слабый. На рис.1.4 представлены спектральные
зависимости шум фактора при двух значениях входного сигнала - -30 дБм и 0,5
дБм. Видно, что данная величина не превышает уровня -5 дБ в диапазоне 60 нм.
.3.4 Ширина
и равномерность полосы усиления
Ширину полосы усиления можно
определять разными способами. В любом случае этот параметр должен давать
информацию о том, что в определенном диапазоне длин волн значение усиления не
ниже некоторого граничного уровня. Как правило, этот уровень составляет 3 дБ от
максимального значения коэффициента усиления. Для многоканальных
волоконно-оптических систем со спектральным мультиплексированием этот параметр
является принципиальным [1,2,8,9].
Поскольку в настоящее время число
каналов достигает 100 и практически трудно реализовать разделение отдельных
спектральных каналов с интервалами менее чем 0,4 нм (100 ГГц), то ширина спектра
усиливаемого излучения может превышать 40 нм. В этих условиях ширина полосы
усиления начинает оказывать определяющее влияние на число спектральных каналов,
используемых для передачи информации, а значит, и на общую информационную
пропускную способность волокна. Вообще говоря, ширина полосы усиления
определяется спектром излучения ионов эрбия в материале сердцевины оптического
волокна. Определяющее влияние материала сердцевины волокна на спектр излучения
связан с тем, что ионы эрбия окружены молекулами этого материала. Под действием
молекул окружения уровни энергии ионов эрбия расщепляются на подуровни.
Величина расщепления и определяет ширину полосы излучения. Чем шире полоса
излучения, тем более широкого спектра усиления можно добиться при конструировании
усилителя.
Наиболее широким спектром излучения
обладают ионы эрбия в алюмосиликатном стекле рис.1.3. Спектры усиления
типичного эрбиевого усилителя на алюмосиликатном стекле при двух значениях
мощности входного сигнала представлены на рис.1.4. Увеличивая длину активного
волокна, удается получать достаточно большой коэффициент усиления вплоть до
длины волны 1560 нм, при превышении которой усиление резко спадает. Таким
образом, ширина полосы усиления для традиционной конфигурации усилителя
составляет примерно 30 нм (1530 - 1560 нм). Эта полоса усиления имеет название
стандартного диапазона (conventional band), или C_диапазона. Как видно из
рис.1.3, интенсивность люминесценции имеет заметное значение вплоть до 1600 нм.
При этом поглощение в области 1560 - 1600 нм падает очень быстро, что позволяет
использовать и этот диапазон для усиления световых сигналов. Таким образом,
оказывается возможным усиление в так называемом длинноволновом диапазоне (long
wavelength band) или L диапазоне, если использовать длинное эрбиевое волокно.
Следует отметить, что при такой конструкции усилителя активная среда
оказывается не полностью инвертированной, и для оптических сигналов в С
диапазона такое устройство работает как поглотитель. Поэтому перед усилением
оптические сигналы разделяются по диапазонам C и L, и для каждого используется
свой усилитель. Спектральные характеристики усиления в обоих диапазонах
представлены на рис.1.5.
Рисунок 1.5 - Спектральные
характеристики двухдиапазонного усилителя
2.
Полупроводниковый лазер накачки
«ЛАТУС-К»
.1 Конструкция лазера
накачки
На рис.2.1 представлен общий вид используемого в
работе полупроводникового лазера накачки «ЛАТУС-К».
Рисунок 2.1 - Полупроводниковый лазер накачки
«ЛАТУС-К»
Полупроводниковый лазер накачки может работать в
следующих режимах: непрерывном, импульсном и импульсно-количественном.
В полупроводниковом лазере накачки для удобства
работы имеется прицельный лазер малой мощности (0,75-3 мВт), излучающий в
видимом диапазоне.
Диапазон регулировки длительности импульсов
лазерного излучения по уровню 0,5 от максимума - от 0,01 до 10 с, с допустимым
отклонением от установленного значения 10 %.
Диапазон регулирования периода импульса
лазерного излучения по уровню 0,5 от максимума - от 0,02 до 10 с, с допустимым
отклонением от установленного значения 10%.
Диапазон регулирования времени облучения - от 1
с до 9999 с, с допустимым отклонением 10%.
Лазер представляет из себя систему, состоящую
из:
- оптического блока, генерирующего
лазерное излучение;
- вспомогательных узлов и блоков
(питания, охлаждения), обеспечивающих работу лазера;
- микропроцессорного блока управления
с программным обеспечением, поддерживающего заданные параметры лазера;
- корпуса с передней и задней
панелями, на которых размещены органы управления.
На передней панели (рис.2.2) размещены следующие
органы управления и контроля:
) дисплей, на котором отображается
текущая информация о состоянии лазера;
) четыре индикатора для отображения
состояния:
- индикатор готовности лазера к работе
«ГОТОВ»;
- индикатор временной остановки лазера
«ПАУЗА»;
- индикатор включения прицельного
лазера «ПИЛОТ»;
- индикатор включения лазера «РАБОТА»;
) три кнопки, служащие для оперативного
управления:
- Включения/выключения прицельного
лазера «ПИЛОТ»;
- Пуска и временной остановки лазера
«СТАРТ/ПАУЗА»;
- Выключения рабочего лазера или
сброса состояния ошибки «СТОП»;
) четыре кнопки навигатора, служащие для
входа, выхода и перемещения в меню настроек лазера, а также выбора параметра и
(или) переключения состояния выбранного параметра;
) ключ блокировки, повернув который можно
заблокировать все органы управления для предотвращения случайного изменения
настройки (не блокируется только кнопка экстренного выключения);
) кнопка экстренного выключения позволяет
выключить лазер в экстремальной ситуации;
) ручка регулятора, при помощи которой
регулируется мощность лазера и меняется величина параметров при настройке.
Ручка не имеет ограничений по углу поворота;
) оптический выход для подключения
волокна стандарта SMA 905.
Рисунок 2.2 - Передняя панель лазера накачки
На задней панели размещены следующие органы
управления:
- USB разъем для связи с компьютером;
- разъем блокировки, который
предназначен для присоединения к лазеру датчиков открытия двери помещения;
- гнездо подключения педали управления
лазером без помощи рук;
- вентилятор охлаждения лазера;
- сетевой выключатель.
Рисунок 2.3 - Задняя панель лазера накачки
Лазер имеет два варианта работы дисплея:
информативный и с крупными символами.
Информативный вариант работы дисплея позволяет
одновременно контролировать значительно больше параметров работы лазера, а
именно:
- выходную оптическую мощность;
- временной режим работы;
- установленную длительность
импульсов;
- установленную длительность паузы
между импульсами;
- накопленную дозу излучения в Дж;
- накопленное количество импульсов;
- частоту следования импульсов;
- счетчик времени.
Кроме того, в данном режиме на дисплей выводятся
температура рабочего элемента лазера и температура окружающего воздуха.
Данные параметры также можно менять, что
является ключевым моментом для выполнения выпускной квалификационной работы.
2.2 Требования к
мощному полупроводниковому лазеру накачки
Полупроводниковые лазеры существуют уже более
сорока лет. О мощных полупроводниковых лазерах заговорили в 80-е годы, когда
излучаемая оптическая мощность в лазере со 100 мкм апертурой превысила 1 Вт в
непрерывном режиме генерации. В основе мощных полупроводниковых лазеров лежит
лазерная гетеро-структура раздельного ограничения.
Первоначально раздельное ограничение было
предложено для снижения пороговой плотности тока, за счет уменьшения толщины
активной области. Идея снижения внутренних оптических потерь долгое время не
была очевидной по причине большого различия (более двух порядков) между
величинами внутренних оптических потерь и коэффициентом усиления
полупроводникового материала активной области. Но только благодаря снижению
внутренних оптических потерь можно бороться с падением дифференциальной
квантовой эффективности полупроводникового лазера с увеличением длины
резонатора. Увеличение длины резонатора полупроводникового лазера обеспечивает
достижение максимального тока накачки, следовательно, мощности оптического
излучения.
Развитие технологии и технологических подходов в
конструировании лазерных гетероструктур так же позволяет увеличить максимальный
ток накачки, но без увеличения длины резонатора будет приводить к перегреву
активной области лазера [7,10]. Таким образом, потребность увеличения
максимального тока накачки полупроводникового лазера требует снижения
внутренних оптических потерь [7,11,12].
Концепция мощных полупроводниковых лазеров.
Простейшим способом снижения внутренних оптических потерь в полупроводниковых
лазерах на основе гетероструктур раздельного ограничения является расширение
нелегированных волноводных слоев. Этот прием позволяет снизить долю
распространяющейся электромагнитной волны в эмиттерах и активной области
полупроводникового лазера. Другого столь эффективного способа снижения
внутренних оптических потерь в активной области и сильно легированных эмиттерах
нет. К сожалению, расширение волновода в лазерной гетероструктуре раздельного
ограничения приводит к возникновению поперечных мод высших порядков, что
абсолютно недопустимо для всех практических применений. Поскольку усиление
каждой поперечной моды в лазерной гетероструктуре раздельного ограничения
происходит пропорционально фактору ее оптического ограничения, то открывается
возможность управлять пороговым током поперечных мод, изменяя положение
активной области в волноводе. При разумном числе поперечных мод (до четырех)
всегда можно определить положение активной области в волноводе гетероструктуры,
когда фактор оптического ограничения основной поперечной моды, по крайней мере,
в два раза будет превышать факторы оптического ограничения мод высших порядков.
Этот прием позволяет расширить волновод лазерных гетероструктур до 2-3 мкм в
зависимости от длины волны генерации. Внутренние оптические потери при этом
могут быть снижены до 0,3-0,5 см-1.
Фундаментальный предел ограничения мощности
полупроводникового лазера. Мощность полупроводникового лазера ограничена
четырьмя причинам, две из которых представляют технологический характер и две
фундаментальный [13-16].
Первой причиной, ограничивающей мощность
полупроводникового, лазера является уровень совершенства применяемой
технологии, позволяющий осаждать эпитаксиальные слои высокого
кристаллографического качества, обеспечивающего протекание токов накачки
высокой плотности и разогрев до высоких температур без дефектообразования.
Второй причиной, ограничивающей максимально
достижимые мощности оптического излучения, является оптическая прочность
диэлектрических зеркал наносимых на торцы резонатора Фабри-Перо.
Третьей причиной является температурный разогрев
активной области полупроводникового лазера протекающим током накачки.
Четвертой причиной является конечная величина
энергетической релаксации носителей заряда в активной области.
Технология мощных полупроводниковых лазеров. Для
изготовления мощных полупроводниковых лазеров, как впрочем и всех
полупроводниковых инжекционных лазеров, необходимо применение эпитаксиальных
технологий, обеспечивающих осаждение полупроводниковых пленок наноразмерных
толщин, формирование гетропереходов на границе эпитаксиальных слоев и позволяющих
обеспечить легирование эпитаксиальных слоев в широких пределах. Другими
словами, необходимы технологии формирования полупроводниковых
наногетероструктур. Для этого наилучшим образом подходят технологии
газотранспортной эпитаксии из металлорганических соединений и
молекулярно-пучковой эпитаксии. Молекулярно-пучковая эпитаксия отличается
малыми скоростями роста и высокой прецезионностью осаждения тонких слоев.
Газотранспортная эпитаксия из металлорганических соединений обеспечивает
высокие скорости роста полупроводниковых слоев и меньшую прецезионность при
осаждении тонких эпитаксиальных слоев. Поэтому чаще предпочтение отдается
технологии молекулярно-пучковой эпитаксии для изготовления наногетероструктур с
высокими требованиями к прецезионности по толщинам слоев (например, каскадные
лазеры), а технология газотранспортной эпитаксии из металлорганических
соединений чаще применяется при необходимости введения в гетероструктуры
толстых эпитаксиальных слоев. Для изготовления лазерных гетероструктур в
настоящее время успешно применяются обе технологии.
Диэлектрические зеркала для мощных
полупроводниковых лазеров. Долгое время вопрос выбора материалов и технологии
нанесения диэлектрических зеркал на торцы резонатора Фабри-Перо оставался не
решенным. В настоящее время есть несколько вариантов такой технологии,
обеспечивающих удовлетворительное решение этой проблемы и для каждого
разработчика полупроводниковых лазеров представляет свое собственное «ноу-хау».
Поэтому при описании этого вопроса можно только
перечислить проблемы, которые при этом решаются [15,16]. В качестве технологий
нанесения покрытий на зеркала применяются: термическое распыление, магнетронное
напыление, напыление посредством распыления мишени электронным пучком и даже
нанесение покрытий в установке высокого вакуума типа молекулярно-пучковой
эпитаксии. Перед нанесением зеркал широко используется: процессы нитридизации
поверхности сколов лазерных линеек (напыление, обработка ионами азота,
обработка в азот-содержащих растворах), чистка сколов посредством сухого
ионноплазменного травления и применение алюминий не содержащих твердых
растворов лазерной гетероструктуры. В качестве просветляющего диэлектрического
слоя применяют: SiO2, Al2O3, TiO2, ZnSe и другие.
Монтаж лазеров на теплоотводы. Лазерный кристалл
с омическими контактами можно назвать лазером только после монтажа на
теплоотводе. Наиболее распространенным низкотемпературным припоем для этой цели
является мягкий индий. Несмотря на все известные недостатки, больше половины
фирм производителей используют индий в качестве припоя для монтажа, как
одиночных лазерных кристаллов, так и лазерных линеек. Основным недостатком
индия является прорастание «вискеров» вдоль силовых линий, приводящее к
закорачиванию р-п перехода в высокотемпературных деградационных тестах. Решение
этой проблемы было найдено в применении твердых высокотемпературных припоев, а
именно эфтектики золото-олово. Длинные - десяти миллиметровые лазерные линейки
при этом растрескиваются из-за разности коэффициентов термического расширения
меди и полупроводникового кристалла. Поэтому в качестве промежуточного носителя
применяется материал с высоким коэффициентом теплопроводности и с коэффициентом
термического расширения, совпадающий с материалом полупроводниковой подложки.
Для этого широко применяются нитрид алюминия и композитный материал
медь-вольфрам.
Лазеры на двойном гетеропереходе, а также лазеры
на квантовых ямах весьма часто используются в конфигурации с полосковой
геометрией (рис.2.4), где активная среда может быть либо двойной гетероструктурой,
либо с одиночными или множественными квантовыми ямами. По сравнению с
устройствами на широких переходах устройство с полосковой геометрией имеет в
качестве преимущества значительно меньшую площадь перехода, через который
протекает ток. Таким образом для заданной плотности тока требуемый полный ток
оказывается меньше.
Рисунок 2.4 - Фрагмент полупроводникового лазера
с полосковой геометрией
Лучшим решением в этом случае было бы обеспечить
боковое ограничение за счет распределения показателя преломления в плоскости
перехода.
На рис.2.5 представлен график зависимости
выходной мощности от электрического тока при двух значениях температуры для
GaAs лазера на волноводной структуре. Следует отметить, что снижение порогового
тока до значений 100 мА и ниже при комнатной температуре стало возможным при
использовании структур с полосковой геометрией. На сегодняшний день достигнуты
еще меньшие пороговые токи (15 мА). Рекордные малые значения порогового тока (1
мА) реализованы с помощью одиночных квантовых ям.
Рисунок 2.5 - График зависимости выходной
мощности от электрического тока при различных значениях температуры
На рис.2.6 представлен типичный спектр излучения
полупроводникового лазера, в котором оптическая обратная связь обеспечивается
за счет отражения на торцевых зеркалах. Равноудаленные пики на графике
соответствуют различным продольным модам резонатора Фабри-Перо. Из рис. 2.6
видно, что:
Относительная спектральная ширина линии
достаточно мала (1,1*10-3) что доказывает утверждение о том, что:
частота излучения приблизительно равна отношению
ширины запрещенной зоны к постоянной Планка абсолютное значение ширины линии
(400 ГГц) оказывается достаточно большим, что является серьезной проблемой в
устройствах оптической связи вследствие хроматической дисперсии оптического
волокна. Чтобы использовать много меньшую ширину линии используют лазер с
распределенной обратной связью или лазер с распределенным брэгговским
отражением.
Рисунок 2.6 - Типичный спектр излучения GaAs
лазера с длиной резонатора Фабри-Перо 250 мкм
3. Экспериментальная
часть
.1 Оптическая схема
измерений
Для изучения температурной зависимости лазера
накачки «Латус-К» была собрана схема, представленная на рис.3.1.
- лазер накачки «ЛАТУС-К», 2 - волоконный выход
лазера накачки, 3 - конденсор для согласования волоконного выхода и входной
щели монохроматора, 4 - монохроматор-спектрограф MSDD1000, 5 - регистрирующее
устройство
Рисунок 3.1 - Оптическая схема измерений спектра
излучения лазера накачки
Схема состоит из полупроводникового лазера
накачки, с волоконным выходом «ЛАТУС-К», с диапазоном перестройки по мощности
от 0 до 35 Вт. В проводимых мною измерениях мощность лазера накачки составляла
1 Вт. Излучение лазера накачки попадало на входную щель
монохроматора-спектрографа с двойной дисперсией MSDD1000. Внутри монохроматора
была установлена дифракционная решетка 400 штр/мм, с максимум блеска на длине
волны 1200 нм. На выходную щель монохроматора был установлен кремниевый
точечный детектор.
Для юстировки системы регистрации запись спектра
производилась с шагом 5 нм в диапазоне 950-980 нм. Особое внимание уделялось
амплитуде регистрируемого лазерного излучения, точнее, соответствие этой
амплитуды максимально регистрируемому детектором и АЦП амплитуды сигнала. Для
этого входная и выходные щели монохроматора зажимались на минимум.
После фиксации системой регистрации линии
лазерного излучения производилась запись спектров с шагом 0,1 мм по длине волны
и 1 0С по температуре.
Для изменения температуры лазера в блоке
управления «ЛАТУС-К» предусмотрен диалоговый режим изменения температуры,
причем одна температура устанавливается вручную и соответствует температуре
окружающего воздуха, что является необходимым параметром для учета
теплопередачи между блоком и окружающей средой. Данная температура измерялась
термометром в лаборатории и соответствовала 20 0С.
Другой параметр, температура лазерного
кристалла, являлась не учитываемым (как в первом случае), а изменяемым
параметром. Максимальное значение данного параметра в моих экспериментах
составило 36 0С.
Примерный вид измеренных спектров излучения
лазера накачки при разных температурах представлен на рис.3.2-3.3. Из них
видно, что спектр излучения лазера многомодовый и при изменении температуры
происходит перераспределение энергии излучения по спектру.
Рисунок 3.2 - Спектр излучения лазера накачки
«ЛАТУС-К» при Т=28 0С
Рисунок 3.3 - Спектр излучения лазера накачки
«ЛАТУС-К» при Т=34 0С
3.2 Обработка спектров
излучения
После проведения серии экспериментов, был
получен набор спектров излучения при различной температуре полупроводникового
лазера. Спектры обрабатывались средствами Excel 2010 для нахождения положения
максимума линии излучения, ее полуширины и интегральной интенсивности.
На рис. 3.4 представлена температурная
зависимость положения максимума линии излучения от температуры.
Рисунок 3.4 - Температурная зависимость
максимума линии излучения лазера накачки
Из рис.3.4 видно, что с повышением температуры
максимум излучения лазера смещается в длинноволновую область. Данный факт может
играть положительную роль для согласования спектров излучения лазера накачки и
кристалла, активированного ионами иттербия и эрбия, с максимумом самой
интенсивной линии поглощения на 980 нм.
Подобное поведение, смещение максимума линии
излучения в длинноволновую область, является типичным для полупроводниковых
лазеров.
Посмотрим далее, как себя ведет другой не менее
важный параметр лазера накачки - интегральная интенсивность излучения. На
рис.3.5 представлена ее температурная зависимость.
Рисунок 3.5 - Температурная зависимость
интегральной интенсивности лазерной линии излучения
Из данных рис.3.5 следует, что интегральная
интенсивность лазера «ЛАУТУС-К» при повышении температуры экспоненциально
уменьшается. Данный факт, является также традиционным для поведения
полупроводниковых лазеров и светодиодов и объясняется снижением с повышением
температуры вероятности излучательного перехода из зоны проводимости в
валентную зону.
Однако, в данном случае, такое сильное «тушение»
лазерной линии будет снижать эффективность полупроводниковой лазерной накачки
иттербий и эрбий содержащих кристаллов.
Для учета одновременного влияния двух
экспериментально установленных фактов необходимо рассчитать интеграл перекрытия
между спектрами излучения лазера накачки «ЛАТУС-К» при различных температурах и
спектром поглощения кристалла с ионами иттербия и эрбия.
Для этого в своей работе я измерил спектр
поглощения кристалла ниобата лития с ионами иттербия и эрбия (рис.3.6).
Рисунок 3.6 - Измеренный спектр поглощения
ниобата лития с иттербием и эрбием
Для удобства численного расчета интеграла
перекрытия между спектрами средствами Excel 2010 я проводил измерения спектра
поглощения с шагом 0,1 нм, таким же, как и шаг при измерении спектров излучения
лазера накачки «ЛАТУС-К». На рис. 3.7 представлен пример наложения на спектр
поглощения ниобата лития спектров излучения лазера накачки при разных
температурах.
Рисунок 3.7 - Спектры поглощения ниобата лития с
иттербием и эрбием (черная линия) и спектры излучения лазера при температуре 28
0С (зеленая линия) и 34 0С (красная линия)
Рисунок 3.8 - Температурная зависимость
интеграла перекрытия линии излучения лазера накачки «ЛАТУС-К» и ниобата лития с
иттербием и эрбием
Из рис.3.7 видно, что при повышении температуры
лазерная линия излучения все больше совпадает с максимумом линии поглощения
кристалла, однако ее интенсивность существенно уменьшается.
Для более точного ответа об эффективности
использования лазера «ЛАТУС-К» для накачки ниобата лития с иттербием и эрбием
были числено рассчитаны интегралы перекрытия спектров излучения лазера и
поглощения кристалла (рис.3.8).
Из рис.3.8 видно, что несмотря на приближение
длины волны излучения к максимуму линии поглощения ниобата лития с иттербием и
эрбием определяющим фактором эффективности накачки является интегральная
мощность излучения.
Заключение
Основные результаты выпускной квалификационной
работы состоят в следующем:
Собрана оптическая схема для изучения
температурной зависимости эффективности накачки.
Измерена температурная зависимость спектров
излучения полупроводникового лазера с волоконным выходом «ЛАТУС-К» в диапазоне
25-40 0С при мощности накачки 1 Вт.
Из измеренных спектров определены положения
максимумом линии излучения и интегральная интенсивность линии излучения.
Рассчитаны интегралы перекрытия линии излучения
лазера накачки со спектром поглощения кристалла с иттербием и эрбием в
диапазоне 950-980 нм.
Наибольший интеграл перекрытия, а значит и
эффективность лазерной накачки наблюдается в диапазоне 25-27 0С.
Список использованных
источников
1 Варава Н. Оптические усилители EDFA:
практическое применение / Н. Варава, М. Никоноров, С. Пронин // Первая миля. -
2011. - №3. - С. 48 - 53.
Волоконно-оптическая техника: современное
состояние и новые перспективы / Под ред. С. А. Дмитриева, Н. Н. Слепова. - М.:
Техносфера: Волоконно-оптическая техника, 2010. - 607 с.
3
Razeghi M. Technology of quantum devices / M. Razeghi, W. Murphy. Evanston:
Springer, 2010. - 560 c.
Пржевуский
А. К. Конденсированные лазерные среды / А. К. Пржевуский, Н. В. Никоноров. -
СПб.: ИТМО, 2009. - 146 с.
Balda
R. Near infrared to visible upconversion of Er3+ in CaZrO3/CaSZ eutectic
crystals with ordered lamellar microstructure / R. Balda, S. Garcia-Revilla //
Journal of Luminescence. - 2009. - T. 129. - С. 1422 - 1427.
Галаган
Б. И. Эффективность заселения уровня 4I13/2 иона Er3+ и возможность генерации
излучения с длиной волны 1,5 мкм в ИАГ:Yb, Er при высоких температурах / Б. И.
Галаган, Б. И. Денкер, В. В. Осико // Квантовая электроника. - 2007. - Т. 37. -
№10. - С. 971 - 973.
Koechner
W. Solid-state lazer engineering / W. Koechner. - Round Hill: Springer, 2006. -
747 c.
8
Салех Б. Оптика и фотоника. Принципы и применение. Пер. с англ.: Учебное
пособие. В 2 т. Т. 2/ Б. Салех, М. Тейх - Долгопрудный: Издательский дом
«Интеллект», 2012.
9
Frequency conversion in compositionally graded PPLN crystals / V.V. Galutskiy,
E.V. Strogonova, S.A. Shmargilov, N.A. Yakovenko // Quantum Electronics
2014.Vol 44, № 1. P 30 - 33.
10
Теоретическое моделирование и экспериментальное исследование Yb:YAG - лазера на
тонком диске с диодной накачкой / К. Котанг, М. Каршевский, К. Стивен, А.
Гисен, Г. Хюген // “Квантовая электроника”, 28, №2, 1999. - 140-142 с.
Diod
Pamped Solid State Lasers / T.Y. Fan // The Lincoln Laboratory Journal, number
3, 1990. P 415-421.
Увеличение
эффективности накачки при использовании градиентно сенсибилизированных лазерных
кристаллов / Е.В. Строганова, В.В. Галуцкий, Д.С. Ткачев, Н.Н. Налбантов, А.А.
Цема, Н.А. Яковенко // Оптика и спектроскопия, том 117, номер 6, 2014.
Эффективный
одномодовый (TEM00) Nd : YVO4-лазер с продольной диодной накачкой на длине
волны 808 нм / В.И. Донин, Д.В. Яковин, М.Д. Яковин // “Квантовая электроника”,
том 43, номер 10, 2013. - 903-906 с.
Компактный
твердотельный лазер с продольной накачкой / А.В. Лапота, А.М. Григорьев //
“Центр лазерных технологий”, 2010.
16
Твердотельные лазеры с диодной накачкой на керамике, допированной ионами 
и 
/ А.С. Егоров, А.П. Савкин //
Учебно-научный комплекс “Физические основы информационно-телекоммуникационных
систем”, 2011.