Исследование параметров оптических резонаторов на длине волны 1,55 мкм
МИНИСТЕРСТВО
ОБРАЗОВАНИЯ И НАУКИ РОССИЙСКОЙ ФЕДЕРАЦИИ
Федеральное
государственное бюджетное образовательное учреждение
высшего
профессионального образования
«КУБАНСКИЙ
ГОСУДАРСТВЕННЫЙ УНИВЕРСИТЕТ»
(ФГБОУ ВПО
«КубГУ»)
Физико-технический
факультет
Кафедра оптоэлектроники
Допустить к
защите в ГАК
_____ .
________ . 2013г.
Заведующий
кафедрой
д-р техн.
наук, профессор
_____________Н.
А. Яковенко
ДИПЛОМНАЯ РАБОТА
ИССЛЕДОВАНИЕ ПАРАМЕТРОВ ОПТИЧЕСКОГО
РЕЗОНАТОРА НА ДЛИНЕ ВОЛНЫ 1,55 МКМ
Работу
выполнил ______________________ Дымов Артем Александрович
Специальность
210401 - Физика и техника оптической связи
Научный
руководитель
канд.
физ.-мат. наук, доцент __________________________ В. В. Галуцкий
Нормоконтролер
инженер ________________________ И. А. Прохорова
Краснодар 2013
Реферат
Дипломная работа: 65 с., 35 рис., 3 табл., 12 источников.
ОПТИЧЕСКИЕ РЕЗОНАТОРЫ, АКТИВНЫЙ ЭЛЕМЕНТ, НАКАЧКА, КОГЕРЕНТНОСТЬ И
МОНОХРОМАТИЧНОСТЬ ИЗЛУЧЕНИЯ, РАСХОДИМОСТЬ, МОДЫ, ГЕНЕРАЦИЯ, ИНВЕРСИЯ
НАСЕЛЕННОСТИ
Целью данной дипломной работы является исследование параметров оптических
резонаторов на длине волны 1,55 мкм, их свойства, виды, конструктивные
особенности, а так же применения в телекоммуникации и в других сферах науки и
техники.
Объектом разработки является конструирование открытого полуконфокального
резонатора
В результате выполнения дипломной работы изучены типы лазеров.
Выяснилось, какие существуют виды резонаторов, их конструкции, какими
свойствами они обладают, их характеристики и параметры. Так же в ходе
проведенной работы был сконструирован и исследован открытый полуконфокальный
резонатор на основе активного элемента, излучающий на длине волны 1,55 мкм.
Содержание
Введение
. Устройство и параметры
оптических квантовых генераторов
.1 Направленность излучения
.2 Длительность действия
лазерного излучения
.3 Плотность мощности
излучения
.4 Блок схема оптического
квантового резонатора.
. Типы лазеров. Способы
накачки
. Оптические резонаторы
.1 Устойчивые и неустойчивые
резонаторы
.2 Моды оптического
резонатора
.3 Геометрооптическое
описание внутрирезонаторных полей
.4 Моды устойчивых
резонаторов в приближении бесконечной апертуры
.5 Моды резонаторов при
ограниченной апертуре зеркал
. Зеркала оптического
резонатора
.1 Многослойные
диэлектрические покрытия
.2 Основные виды потерь
.3 Определение потерь и
оптимального коэффициента пропускания выходного зеркала
.4 Учет влияния сферичности
реальных зеркал резонатора на параметры формируемого лазерного пучка
. Экспериментальная часть
Заключение
Список использованных
источников
Введение
Диапазон длин волн в области 1,55 мкм имеет важное
значение для оптических коммуникаций, так как в этом диапазоне осуществляется
передача оптического сигнала по волокну на большие расстояния. Именно в этом
диапазоне оптическое волокно имеет повышенную прозрачность.
В волоконно-оптических системах передачи информация
передается электромагнитными волнами высокой частоты, около 200 ТГц, что
соответствует ближнему инфракрасному диапазону оптического спектра 1500 нм.
Волноводом, переносящим информационные сигналы в ВОСП, является оптическое
волокно, которое обладает важной способностью передавать световое излучение на
большие расстояния с малыми потерями.
Очень малое (по сравнению с другими средами) затухание
светового сигнала в волокне позволяет строить линии связи длиной до 100 км без
регенерации сигналов с затуханием 0.22 дБ/км. [2]
Создание эффективных источников когерентного излучения
в этом диапазоне напрямую связано с исследования параметров оптического
резонатора в данном диапазоне. Несмотря на существующие решения в виде
резонаторов типа Фабри-Перо в полупроводниковых лазерах для этого диапазона с
накачкой электрическим током, остается востребованной и оптическая продольная
накачка лазерных кристаллов диэлектриков. А для исследования вопроса
эффективной накачки лазерных кристаллов-диэлектриков важными параметрами
резонатора являются геометрия резонатора (радиусы кривизны зеркал, их апертура,
длина резонатора) и коэффициенты пропускания и отражения зеркал резонатора.
Поэтому целью данной дипломной работы было
исследование параметров лазерного оптического резонатора для длины волны 1,55
мкм.
1. Устройство и параметры
оптических квантовых генераторов
Лазерное излучение ОКГ отличается от существующих
электромагнитных излучений оптического диапазона и имеет некоторые
специфические свойства, присущие только ОКГ.
1 - субмиллиметровая область, 2 - ИК-излучение, 3 -
видимая область, 4 - УФ, 5 - область рентгеновского излучения, 6 - область γ
- излучения, 7 - космические
лучи.
- лазерное излучение, оно охватывает
1, 2, 3, и 4 области электромагнитного спектра. В остальной части этого
диапазона возможность получения генерации лазерного излучения доказана пока
лишь теоретически.
Рисунок 1 - Полоса частот электромагнитных колебаний
Лазерное излучение обладает свойствами, как волн, так
и частиц. Основными свойствами лазерного излучения, обеспечивающими самое
широкое применение лазеров в различных областях науки и техники, являются: монохроматичность,
высокая когерентность, чрезвычайно малая расходимость луча и высокая плотность
мощности излучения.
1.1
Направленность излучения
Важным свойством лазерного излучения является его
направленность, характеризуемая расходимостью излучения. Под расходимостью
пучка излучения понимают плоский или телесный угол при вершине конуса, внутри
которого распространяется заданная доля энергии или мощности пучка излучения.
Лазеры обладают острой направленностью излучения, а обычные излучатели света
имеют слабую направленность.
Высокая направленность излучения лазера достигается за
счет самой природы лазерного излучения - его когерентности. Следует также
отметить, что угловая расходимость лазерного излучения практически не зависит
от размеров излучающего тела. Она ограничивается лишь явлением дифракции
когерентных волн на выходном отверстии лазера.
Рисунок 2 - Схематическое изображение хода лучей
Угол расходимости - угол между оптической осью
излучения и направлением на I-ый min:
θ =
(1)
где λ - длина волны излучения; d - диаметр
излучающей поверхности.
Из формулы видно, что чем короче длина волны излучения
и чем больше диаметр излучающей поверхности, тем меньшей угловой расходимостью
обладает излучение.
1.2 Длительность действия
лазерного излучения
Длительность определяется конструкцией лазера. Можно выделить следующие
типичные режимы распределения излучения во времени:
непрерывный режим;
импульсный режим, длительность импульса определяется при этом
длительностью вспышки лампы накачки, типичная длительность Δτл~10-3с;
режим модуляции добротности резонатора (длительность импульса излучения
определяется превышением накачки над порогом генерации и скоростью и скоростью
включения добротности, типичная длительность лежит в интервале 10-9 - 10-8 с,
это так называемый наносекундный диапазон длительностей излучения);
режим синхронизации и продольных мод в резонаторе (длительность импульса
излучения Δτл~10-11с - пикосекундный диапазон длительностей излучения);
различные режимы принудительного укорочения импульсов излучения (Δτл ~10-12с).
1.3 Плотность мощности
излучения
Лазерное излучение может быть сконцентрировано в
узконаправленном луче с большой плотностью мощности.
Плотность Ps мощности излучения определяется
отношением мощности излучения, проходящего через сечение лазерного пучка, к
площади сечения и имеет размерность Вт∙см-2.
Соответственно плотность Ws энергии излучения
определяется отношением энергии, проходящей через сечение лазерного пучка, к
площади сечении и имеет размерность Дж∙см-2
Плотность мощности в луче лазера достигает больших
величин вследствие сложения энергии огромного множества когерентных излучений
отдельных атомов, приходящих в выбранную точку пространства в одинаковой фазе.
Когерентное излучение лазера с помощью оптической
системы линз можно сфокусировать на малую, сравнимую с длиной волны площадку на
поверхности объекта.
Плотность мощности лазерного излучения на этой
площадке достигает огромной величины. В центре площадки плотность мощности:
(2)
где
Р - выходная мощность лазерного излучения;- диаметр объектива оптической
системы;
λ - длина волны;- фокусное расстояние оптической системы.
Излучение
лазера с огромной плотностью мощности, воздействуя на различные материалы,
разрушает и даже испаряет их в области падающего сфокусированного излучения.
Одновременно в области падения лазерного излучения на поверхность материала на
нем создается световое давление в сотни тысяч мегапаскалей.
В
итоге отметим, что фокусируя излучение ОКГ до пятна, диаметр которого
приблизительно равен длине волны излучения, можно получить световое давление в
106МПа, а так же огромные плотности мощности излучения, достигающие величин
1014-1016Вт.см-2, при этом возникают температуры до нескольких миллионов
кельвин.
1.4 Блок схема оптического квантового резонатора
Лазер
состоит из трех основных частей: активная среда, устройство накачки и
оптический резонатор. Иногда добавляют и устройство термостабилизации.
Рисунок
3 - Блок-схема лазера
)
Активная среда.
Для
резонансного поглощения и усиления за счет вынужденного излучения необходимо,
чтобы волна проходила сквозь материал, атомы или системы атомов которого
"настроены" на нужную частоту. Иначе говоря, разность энергетических
уровней E2 - E1 для атомов материала должна быть равна частоте электромагнитной
волны, умноженной на постоянную Планка: E2 - E1 = hn. Далее, для того чтобы
вынужденное излучение преобладало над поглощением, атомов на верхнем энергетическом
уровне должно быть больше, чем на нижнем. Обычно этого не бывает. Более того,
всякая система атомов, на достаточно длительное время предоставленная самой
себе, приходит в равновесие со своим окружением при низкой температуре, т.е.
достигает состояния наинизшей энергии. При повышенных температурах часть атомов
системы возбуждается тепловым движением. При бесконечно высокой температуре все
квантовые состояния были бы одинаково заполнены. Но поскольку температура
всегда конечна, преобладающая доля атомов находится в низшем состоянии, и чем
выше состояния, тем менее они заполнены. Если при абсолютной температуре T в
низшем состоянии находится n0 атомов, то число атомов в возбужденном состоянии,
энергия которого на величину E превышает энергию низшего состояния, дается
распределением Больцмана: n=n0e-E/kT, где k - постоянная Больцмана. Поскольку
атомов, находящихся в низших состояниях, в условиях равновесия всегда больше,
чем в высших, в таких условиях всегда преобладает поглощение, а не усиление за
счет вынужденного излучения. Избыток атомов в определенном возбужденном
состоянии можно создавать и поддерживать, только искусственно переводя их в это
состояние, причем быстрее, чем они возвращаются к тепловому равновесию.
Система, в которой имеется избыток возбужденных атомов, стремится к тепловому
равновесию, и ее необходимо поддерживать в неравновесном состоянии, создавая в
ней такие атомы.
)
Резонатор.
Оптический
резонатор представляет собой систему специально согласованных двух зеркал,
подобранных таким образом, чтобы возникающее в резонаторе за счет спонтанных
переходов слабое вынужденное излучение многократно усиливалось, проходя через
активную среду, помещенную между зеркалами. Вследствие многократных отражений
излучения между зеркалами происходит как бы удлинение активной среды в
направлении оси резонатора, что определяет высокую направленность лазерного
излучения. В более сложных лазерах применяются четыре и более зеркал,
образующих резонатор. Качество изготовления и установки этих зеркал является для
качества полученной лазерной системы. Также, в лазерной системе могут
монтироваться дополнительные устройства дли получения различных эффектов, такие
как поворачивающиеся зеркала, модуляторы, фильтры и поглотители. Их применение
позволяет менять параметры излучения лазера, например, длину волны,
длительность импульсов и т. д.
Резонатор
- основной определяющий фактор рабочей длины волны, а также остальных свойств
лазера. Существуют сотни или даже тысячи различных рабочих тел, на основе
которых можно построить лазер. Рабочее тело подвергается «накачке», чтобы
получить эффект инверсии электронных населённостей, что вызывает вынужденное
излучение фотонов и эффект оптического усиления. В лазерах используются
следующие рабочие тела.
Жидкость,
например в лазерах на красителях состоит из органического растворителя,
например метанола, этанола или этиленгликоля, в которых растворены химические
красители, например кумарин или родамин. Конфигурация молекул красителя
определяет рабочую длину волны.
Газы,
например, углекислый газ, аргон, криптон или смеси, такие как в гелий-неоновых
лазерах. Такие лазеры чаще всего накачиваются электрическими разрядами.
Твёрдые
тела, такие как кристаллы и стекло. Сплошной материал обычно легируется
(активируется) добавкой небольшого количества ионов хрома, неодима, эрбия или
титана. Типичные используемые кристаллы: алюминиевый гранат (YAG),
литиево-иттриевый фторид (YLF), сапфир (оксид алюминия) и силикатное стекло.
Самые распространённые варианты: Nd:YAG, титан-сапфир, хром-сапфир (известный
также как рубин), легированный хромом стронций-литий-алюминиевый фторид
(Cr:LiSAF), Er:YLF и Nd:glass (неодимовое стекло). Твердотельные лазеры обычно
накачиваются импульсной лампой или другим лазером.
Полупроводники.
Материал, в котором переход электронов между энергетическими уровнями может
сопровождаться излучением. Полупроводниковые лазеры очень компактны,
накачиваются электрическим током, что позволяет использовать их в бытовых
устройствах, таких как проигрыватели компакт-дисков.
)
Устройство накачки.
Источник
накачки подаёт энергию в систему. Это может быть электрический разрядник,
импульсная лампа, дуговая лампа, другой лазер, химическая реакция или даже
взрывчатое вещество. Тип используемого устройства накачки напрямую зависит от
используемого рабочего тела, а также определяет способ подвода энергии к
системе. Например, гелий-неоновые лазеры используют электрические разряды в
гелий-неоновой газовой смеси, а лазеры на основе алюмо-иттриевого граната с
неодимовым легированием (Nd:YAG лазеры) - сфокусированный свет ксеноновой
импульсной лампы, эксимерные лазеры - энергию химических реакций. [3]
2. Типы лазеров. Способы накачки
По
типу накачки лазеры можно разделить на полупроводниковые инжекционные (с
накачкой эл. током) и лазеры с оптической накачкой.
Электрическая
накачка газового лазера осуществляется пропусканием через газовую смесь
постоянного, высокочастотного или импульсного тока. Ток через газ может
протекать либо вдоль оси лазера, либо поперек ее.
Полупроводниковые лазеры отличаются от газовых и твердотельных тем, что
излучающие переходы происходят в полупроводниковом материале не между
дискретными энергетическими состояниями электрона, а между парой широких
энергетических зон. Поэтому переход электрона из зоны проводимости в валентную
зону с последующей рекомбинацией приводит к излучению, лежащему в относительно
широком спектральном интервале и составляющему несколько десятков нанометров,
что намного шире полосы излучения газовых или твердотельных лазеров. [10]
Создание инверсной населенности в полупроводниках.
В условиях термодинамического равновесия валентная зона полупроводника
полностью заполнена электронами, а зона проводимости пуста. Предположим, что на
полупроводник падает поток квантов электромагнитного излучения, энергия которых
превышает ширину запрещенной зоны hv>Eg. Падающее излучение поглощается в
веществе, так как образуются электронно-дырочные пары. Одновременно с процессом
образования электронно-дырочных пар протекает процесс их рекомбинации,
сопровождающийся образованием кванта электромагнитного излучения.
Для реализации процесса излучательной рекомбинации необходимо выполнить
два условия. Во-первых, электрон и дырка должны локализоваться в одной и той же
точке координатного пространства. Во-вторых электрон и дырка должны иметь
одинаковые по значению и противоположно направленные скорости. Иными словами,
электрон и дырка должны быть локализованы в одной и той же точке пространства.
Так как импульс образующегося в результате рекомбинации электронно-дырочной
пары фотона значительно меньше по сравнению с квазиимпульсами электрона и
дырки, то для выполнения закона сохранения квазиимпульса требуется обеспечить
равенство квазиимпульсов электрона и дырки, участвующих в акте излучательной
рекомбинации.
Рисунок 4 - Электронно-дырочный переход в полупроводнике
Поток квантов излучения, энергия которых находится в пределах от hv=Ec-Ev
до hv=Fn-Fp , распространяется через возбужденный полупроводник
беспрепятственно.
В случае с оптической накачкой свет от мощной некогерентной лампы с
помощью соответствующей оптической системы передается активной среде. КПД
накачки лазера можно рассматривать состоящим из четырех различных этапов:
) испускания излучения от лампы
) переноса этого излучения к активному стержню
) поглощение его в стержне
) Передачи поглощенной энергии верхнему лазерному уровню
Рисунок 5 - Наиболее широко используемые системы
оптической накачки: а - форма спирали; b - форма цилиндра; в - конфигурация с
плотной упаковкой.
По типу оптической накачки различают лазеры с
продольно накачкой и лазеры с поперечной накачкой. [10]
В непрерывных СО2-лазерах с продольной прокачкой смесь газов
прокачивается со сверхзвуковой скоростью, что дает возможность охлаждать ее
путем быстрого удаления смеси из рабочей зоны в охладитель и тем самым
преодолеть ограничение на выходную мощность. Прокачка с большой скоростью
означает увеличение количества активных центров, что позволяет увеличить
средний ток и тем самым снимаемую мощность. В современных лазерах достигнуты
параметры по мощности ~ 1 кВт/м и больше. За пределами резонатора газ не только
охлаждается, но и проходит необходимую генерацию 2 СО + О2 = 2 СО2 в
присутствии катализатора. В этом режиме лазер работает практически в автономном
режиме. В настоящее время СО2- лазеры с быстрой продольной прокачкой (мощностью
1-3 кВт) нашли широкое применение во многих операциях по обработке и
термообработке материалов и, в частности, для лазерной резки металлов толщиной
до нескольких миллиметров.
Непрерывные С02-лазеры с поперечной прокачкой (ТЕ-лазеры)
1 - газовый контур, 2 - разрядная камера с резонатором, 3 -
теплообменник, 4 - вентилятор, 5 - медленный напуск свежей смеси, 6 - медленная
откачка отработанной смеси.
Рисунок 6 - СО2-лазеры с поперечной прокачкой
Снять ограничения на мощность, присущую лазеру с медленной продольной
прокачкой, можно, если прокачивать газовую смесь перпендикулярно разряду. Если
смесь прокачивать достаточно быстро, то можно решить проблему с охлаждением. В
этом типе лазеров мощность с единицы длины разряда достигает нескольких
киловатт на метр. Оптимальное общее давление ~ 100 мм.рт.ст., что на порядок
больше, чем в системах с продольной прокачкой. В связи с этим схема с
продольным разрядом, применяемая в лазерах, описанных выше неприемлема, так как
для выполнения условия U/p = const (U - приложенное напряжение, р - давление)
потребовались бы электрические поля 100-500 кВ/м. Поэтому делают так, чтобы
разряд протекал перпендикулярно оси резонатора. Эти лазеры в литературе
получили название «ТЕ-лазеры». ТЕ СО2-лазеры обладают высокой выходной
мощностью (1-20 кВт) и широко применяются в технологических операциях,
связанных с обработкой металлов, и имеют довольно простую конструкцию. [4]
Видно, что роль резонатора в создании эффективного
распределения электромагнитного поля в лазере велика. Рассмотрим основные типы
и параметры лазерных резонаторов.
3. Оптические резонаторы
Рисунок 7 - Виды оптических резонаторов
Открытые оптические резонаторы
Назначение резонатора в лазере состоит в создании положительной
оптической обратной связи, т. е. условий для превращения оптического квантового
усилителя в оптический квантовый генератор.
Открытым оптическим резонатором называют систему из двух обращенных друг
к другу отражающих поверхностей, между которыми располагается активное
(рабочее) вещество лазера. Отражающие поверхности могут представлять собой
зеркала различной формы (плоские, сферические, параболические), грани призм
полного внутреннего отражения или границы раздела сред с различными
показателями преломления. Расстояние между отражающими поверхностями
определяется в основном усилительными свойствами используемой в качестве
рабочего вещества среды и может колебаться от долей миллиметра у
полупроводниковых лазеров до нескольких метров, например, у газовых лазеров.
Рисунок 8 - Структурная схема открытого резонатора
Самым простым видом открытого резонатора является система из двух плоских
зеркал, обращенных друг к другу отражающими поверхностями. Для вывода излучения
из резонатора отражающие поверхности делаются либо частично отражающими, либо
одна полностью, а вторая частично отражающей. Обычно отражающие поверхности
зеркал создаются с помощью покрытий, состоящих из нескольких слоев
диэлектрических материалов, число которых может быть более десяти. С помощью
многослойных диэлектрических покрытий удается получить коэффициент отражения
более 99% на рабочей длине волны. Однако у полупроводниковых лазеров
коэффициент отражения зеркал резонатора значительно меньше (для GaAs при выходе
излучения в воздушную среду он оставляет ~ 32 %) и обеспечивается френелевским
отражением границы раздела полупроводник - воздух.
Добротность резонатора
Колебательные системы обычно характеризуются добротностью Q. Добротность
резонатора можно определить несколькими способами, которые эквивалентны при
больших значениях добротности Здесь m w - частота моды; m Dw - ее спектральная
ширина;- энергия, запасенная в резонаторе; Т - период световых колебаний; loss P
- энергия, теряемая в секунду (мощностьпотерь); t - время.
Время жизни фотонов в резонаторе
Запишем закон Бугера в дифференциальной форме:
(3)
Здесь учтено, что dz = cdt , где c - скорость света. Решение уравнения имеет
вид
, (4)
где τph - время жизни фотонов в резонаторе:
(5)
Потери в открытом оптическом резонаторе
Принципиально неустранимые:
• потери на выход излучения через зеркала,
• геометрические потери
• и дифракционные потери.
Обусловленные несовершенством системы:
• потери на поглощение и рассеяние в материале зеркал
• потери из-за разъюстировки.
• рассеяние на неоднородностях активной среды.
• нерезонансное поглощение.
3.1 Устойчивые и неустойчивые резонаторы
Резонатор называется неустойчивым, если произвольный световой луч,
последовательно отражаясь от двух зеркал, удаляется на неограниченно большое
расстояние от оси резонатора. Резонатор, в котором луч после многократных отражений
остается в пределах ограниченной области, называется устойчивым.
Рисунок 9 - Схемы неустойчивого резонатора
Неустойчивые резонаторы. Несмотря на широкую область применений
устойчивых резонаторов, они обладают одним очень серьезным недостатком. Он
состоит в весьма малых поперечных размерах основной моды, что связано с
фокусирующим действием лазерных зеркал. Так, при длине резонатора порядка 1м и
для длины волны, лежащей в видимом диапазоне спектра, радиус пучка основной
моды имеет порядок 1мм. В неустойчивых резонаторах, g-факторы которых меняются
в областях g1g2>1 и g1g2>0, поле не фокусируется вблизи оси и с хорошим
приближением распределение его амплитуды можно считать однородным, а волновой
фронт сферическим. Однако, в случае неустойчивых резонаторов, возникает другая
проблема, которая связана с тем, что лучи стремятся покинуть резонатор,
увеличивая потери энергии. Тем не менее, этот факт можно использовать даже в
качестве преимущества, если эти лучи, уходящие из резонатора, включить в
полезное выходное излучение лазера.
Рисунок 10 - Симметричный двухторцовый неустойчивый резонатор
Для описания полей в неустойчивых резонаторах в силу более медленного,
чем в устойчивых резонаторах, поперечного изменения амплитуды и фазы вполне
подходит геометрооптическое приближение. Рассмотрим симметричный двухторцовый
неустойчивый резонатор. Как и прежде, будем предполагать, что мода образована
суперпозицией двух сферических волн постоянной интенсивности. Центры Р1 и Р2,
из которых исходят эти волны, не совпадают с центрами кривизны зеркал 1 и 2, но
их координаты нетрудно вычислить, используя следующий принцип самосогласования:
сферическая волна, исходящая из точки Р1, после отражения от зеркала 2 должна
давать сферическую волну, выходящую из точки Р2, и наоборот. Чисто
геометрическое рассмотрение приводит к следующему выражению для показанной на
рисунке 10 величины r:

(6)
Нетрудно
видеть, что после того, как пучок пройдет от одного зеркала до другого, размер
пятна от каждой сферической волны увеличивается в М раз, причем величина М
определяется выражением:

(7)
Величину
М называют однопроходным коэффициентом увеличения. Считая поперечное
распределение освещенности однородным, потери за один проход можно записать в
виде:

(8)
где
S1 и S2 - площади поперечного сечения пучка, исходящего из точки Р1,
соответственно на зеркалах 1 и 2.
Резонатор,
показанный на рисунке 10, редко используется на практике. Гораздо шире
применяются асимметричные конфокальные резонаторы. Одна из возможных
конфигураций такого резонатора приведена на рисунке 11.
Рисунок
11 - Конфокальный неустойчивый резонатор
Мода
неустойчивого конфокального резонатора представляет собой суперпозицию
сферической волны, исходящей из общего фокуса и плоской волны. Лучи последней,
покидая резонатор, формируют на выходе узконаправленное излучение. Таким
образом, помимо хорошего заполнения активного вещества излучением неустойчивые
резонаторы обеспечивают малую угловую расходимость выходного излучения,
приближающуюся к дифракционному пределу.
Вышеприведенное рассмотрение свойств оптических резонаторов основывалось
на предположении, что активная среда, находящаяся внутри резонатора, не вносит
существенных искажений в структуру собственных мод. Накопленный в настоящее
время обширный экспериментальный материал подтверждает справедливость этого
предположения для широкого класса лазеров. Однако в ряде случаев, когда
распределение показателя преломления и коэффициента усиления в сильной степени
неоднородно, следует учитывать влияние активной среды. Поскольку неоднородности
активной среды чаще всего носят квадратичный характер, для их учета следует
владеть теорией распространения света в квадратичных средах [2].
С учетом волновых свойств, мода будет устойчива, если фаза волны на
поверхности зеркал одинакова, что достигается, если радиус кривизны фазовых
фронтов на поверхности зеркал совпадает с радиусом кривизны самих зеркал.
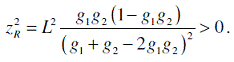
В устойчивый резонатор можно вписать гауссов пучек, у которого радиусы
кривизны фазовых фронтов на поверхности зеркал совпадают с радиусом кривизны
самих зеркал. Для нахождения положений зеркал z1 и z2 при заданных радиусах
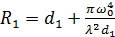
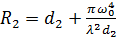
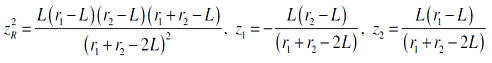
зеркал r1 и r2 необходимо решить систему уравнений
(9)
где Рэлеевскя длина zR также считается неизвестной.
Решение имеет вид:
(10)
Для
физической реализуемости резонатора величина R2z должна быть положительна.
Обозначая
получаем:
(10)
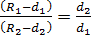
Резонатор будет устойчивым если его параметры удовлетворяют следующим
условиям:
(11)
Здесь r1 и r2 - радиусы кривизны, которые полагаются положительными для
вогнутых и отрицательными для выпуклых зеркал, L - расстояние между зеркалами.
Рисунок 12 - Диаграмма устойчивости резонатора
Прямая АС, образующая с осями координат угол π/4,
соответствует
симметричным резонаторам (r1= r2). Точки А, В и С на границах устойчивости
принадлежат концентрическому (r1 =r2 =r =L/2), конфокальному (r1 =r2 =r =L) и
плоскому (r1, r2 →∞, L - произвольная) резонаторам соответственно.
Точка в начале системы координат соответствует конфокальному резонатору.
Из диаграммы видно, что даже небольшие отклонения от конфокальности делают
резонатор неустойчивым, что может привести к резкому увеличению потерь. В связи
с этим на практике целесообразно делать резонатор слегка неконфокальным.
Достоинства устойчивых резонаторов:
• Малые геометрические потери (малый порог генерации);
• Хорошее качество луча (максимальная интенсивность в центре, малая
расходимость излучения).
Недостатки устойчивых резонаторов:
• поле концентрируется вблизи оси и не охватывает весь объем активного
вещества;
• невозможность использования целиком отражательной оптики.
В лазерах с высоким коэффициентом усиления активной среды и в тех
случаях, когда необходимо получить световые пучки высокой мощности или энергии
находят практическое применение неустойчивые оптические резонаторы.
Достоинства неустойчивых резонаторов:
• поле не стремится сосредоточиться вблизи оси и, как следствие, в режиме
одной поперечной моды можно получить большой модовый объем;
• обеспечивают возможность хорошей селекции поперечных мод;
• возможно использование целиком отражательной оптики (используется в
мощных лазерах и ИК-области излучения).
Недостатки неустойчивых резонаторов
• поперечное сечение пучка имеет форму кольца (в центре пучка темное
пятно;
• распределение интенсивности в пучке неоднородно и имеет вид нескольких
дифракционных колец;
• по сравнению с устойчивым, неустойчивый резонатор более чувствителен к
разъюстировке зеркал.
Конфокальный резонатор
Простейшим примером такого резонатора является
резонатор, состоящий из двух одинаковых сферических вогнутых зеркал, фокусы
которых сопряжены в одной точке. Такая система является типичным примером
резонатора открытого типа.
Рисунок 13 - Структурная схема открытого конфокального
резонатора
На практике лазерный резонатор состоит в большинстве
случаев из двух зеркал, расположенных параллельно. Эти зеркала могут быть с
плоскими или изогнутыми поверхностями. Соответственно радиусу кривизны и
расстоянию различают разные типы резонаторов. Наиболее частый применяемый тип
резонатора - конфокальный резонатор. Конфокальный резонатор отличается от всех
других конфигураций резонаторов минимальными дифракционными потерями. В этом
резонаторе применяется два вогнутых зеркала с одинаковыми радиусами кривизны b.
Длина резонатора L соответствует радиусу кривизны (L=b). Так как у вогнутых
зеркал фокусное расстояние f соответствует половинному значению радиуса
кривизны (f=b/2), то фокусы обоих зеркал резонатора совпадают.
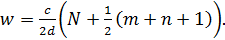
3.2 Моды оптического резонатора
квантовый генератор резонатор зеркало
Для генерации света, как уже указывалось, необходимо в ОКУ осуществить
положительную обратную связь. С этой целью активную среду помещают в так
называемый оптический резонатор, который не только осуществляет положительную
обратную связь, но и играет решающую роль в формировании частотного и
пространственного спектра генерируемого излучения.
Для описания лазерного излучения в резонаторе
требуются данные, относящиеся к следующим параметрам:
) распределение интенсивности в зависимости от длины
волны;
) геометрическом распределении интенсивности излучения
в резонаторе.
Обе эти характеристики относятся к понятию ’’мод’’.
Лазерные моды - это собственные частоты лазерного резонатора.
В первом случае говорят о продольных модах, во втором
- о поперечных модах.
Продольные моды
В оптическом резонаторе, как и во всяком другом
резонаторе, могут быть возбуждены только собственные колебания, у которых целое
число полуволн точно совпадает с геометрической длиной резонатора.
Рисунок 14 - Собственные колебания в оптическом резонаторе
В оптическом резонаторе могут быть усилены только
такие электромагнитные волны, амплитуды которых на зеркалах имеют узел (стоячие
волны). Это условие является выполненным, если расстояние между зеркалами равно
целому числу полуволн.
Таким образом, для лазерного резонатора должно выполняться соотношение:
n∙(λ/2)=L, (12)
где n=1,2,3… λ - длина волны, L - длина резонатора.
В лазерных резонаторах n очень велико, а разность по частоте между двумя
соседними продольными модами составляет:
∆v= c/2L (13)
так, при длине резонатора 0,5 м расстояние между соседними модами
составляет ∆v=300 МГц. Из большого количества возможных собственных
частот оптиче6ского резонатора возбуждаются только те, которые лежат в пределах
контура усиления и полосы пропускания резонатора. Только для этих частот
усиление превышает потери, и достигается генерация лазерного излучения там, где
усиление внутри доплеровской полосы больше, чем потери, осевая мода дает
лазерное излучение.
Количество генерируемых осевых собственных частот в
основном определяется отношением доплеровской полосы к межмодовому интервалу
с/2 L. Чтобы быть уверенным в том, что самовозбуждается лишь одна единственная
частота, следует выбрать L < c/2∆vD.
Для активной среды газового лазера с типичней
доплеровской полосой уширения ∆vD = 1,6*109 Гц нужно, следовательно,
выбрать длину резонатора L менее 15 см.
Поперечные электромагнитные моды
Кроме продольных, мод существуют еще поперечные
электромагнитные моды (TEMln) - эти моды описывают пространственное
распределение интенсивности излучения в резонаторе. Низшая мода - основная мода
TEM00. Для более высоких мод, значение l и/или n отличается от нуля. При
генерации произвольной поперечной моды лазерный пучок расщепляется на l+1или
n+1 луча. Обсуждение лучевой диаграммы в конфокальных резонаторах
целесообразнее всего провести в отношении основной поперечной моды TEМ00, так
как ее полевое распределение описывается простой гауссовой функцией.
В области z'=0 имеется характерное сужение, так
называемая “перетяжка пучка". Ее радиус в случае основной моды имеет
простое наглядное значение: он представляет собой расстояние от оси пучка, на
котором интенсивность излучения уменьшается в е раз и может рассматриваться как
“радиус моды”.
С увеличением расстояния от перетяжки диаметр пучка
увеличивается согласно соотношению:
(z) = W0 (1+ z'2)1/2; z' = 2z/b . (14)
В
плоскости зеркал диаметр моды увеличивается в
раз.
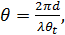
Угол расходимости θ
может быть интерпретирован, как угол
дифракции на аппаратуре с диаметром d0, соответствующим перетяжке пучка. Угол θ рассчитывается по следующей формуле:
θ =2λ/π d0 (15)
При
неконфокальных резонаторах данные соотношения сохраняются, но математическое
описание усложняется.
3.3 Геометрооптическое описание
внутрирезонаторных полей
Рассмотрим симметричный лазерный резонатор со сферическими зеркалами.
Луч, идущий вблизи оси резонатора, усиливается в активной среде и испытывает
периодические отражения от зеркал. При каждом отражении луч частично проходит
через зеркало и покидает резонатор. Отраженный луч усиливается и при следующем
отражении снова частично выходит из резонатора и так далее. Таким образом,
пучок света, выходящий из лазерного резонатора, можно представить в виде
совокупности лучей, являющихся продолжениями первоначального луча после каждого
его отражения от зеркал. Траекторию меридионального луча несложно определить,
используя матричный метод. С точки зрения воздействия на луч зеркало
эквивалентно линзе с фокусным расстоянием f=R/2.
Рисунок 15 - Ход луча в симметричном резонаторе
Оценивая изменение координат луча путем последовательного применения
матриц зеркала и свободного промежутка между зеркалами, можно показать, что
поперечная координата hk луча при k-м отражении, начиная с k=0, определяется
соотношением:

, (16)
где
h0 и σ0
- поперечные линейная и угловая
координаты луча при первом отражении, cos
=g
(0<g<1), где g - так называемый g-фактор резонатора, выражаемый через его
длину d и радиус кривизны зеркала R посредством соотношения. Неравенство
определяет условие устойчивости симметричного резонатора. Если оно нарушено, то
луч после определенного числа отражений обязательно выйдет за границы апертуры
зеркал. Такие резонаторы называются неустойчивыми.
В
общем случае, когда 
не
кратно целому числу π,
точки, в которых происходит отражение
луча на зеркалах резонатора, не повторяются. Луч при этом, несмотря на
дискретный характер отражения, стремится полностью зачертить некоторую область
внутри резонатора.
Приведенный
лучевой анализ структуры поля в устойчивом симметричном резонаторе может быть
распространен и на случай несимметричного резонатора с разными радиусами
кривизны зеркал. Опуская получающиеся при этом соотношения, отметим лишь, что
условие устойчивости резонатора с радиусами кривизны зеркал R1 и R2 имеет вид:
<g1g2<1,
где
g1=1-d/R1 и g2=1-d/R2 - g-факторы несимметричного резонатора.
Лучевые
модели описания внутрирезонаторных полей получили широкое распространение
прежде всего в силу их простоты и наглядности. Однако не всегда при этом дается
отчет в том, что указанные модели не удовлетворяют условиям выполнимости
геометрооптического приближения. Некорректность лучевых моделей особенно
отчетливо проявляется применительно к устойчивым резонаторам. В устойчивом
резонаторе лазерный пучок формируется в приакустической зоне, и значительные
изменения амплитуды поля происходят на масштабе, меньшем первой зоны Френеля.
Отступление от классической трактовки геометрической оптики приводит к тому,
что распространяющиеся в резонаторе лучи оказываются неперпендикулярными
волновому фронту. В этой связи в когерентной оптике сложилось направление,
рассматривающее внутрирезонаторные лучевые модели в виде неких модификаций
геометрической оптики. Разработанная в рамках данного направления теория
позволяет по определенным правилам восстанавливать амплитудно-фазовый профиль
пучка внутри резонатора на основе структуры лучевых пакетов.
3.4 Моды устойчивых резонаторов в приближении
бесконечной апертуры
В
волновой трактовке свойства устойчивых резонаторов во многих случаях
целесообразно рассматривать в приближении бесконечной апертуры зеркал. Такое
приближение является оправданным, когда поле лазерного излучения концентрируется
вблизи оси резонатора и его величина у краев зеркал пренебрежимо мала. Это
обстоятельство освобождает от рассмотрения эффектов дифракции на внешней
апертуре зеркал и позволяет свести моды устойчивых резонаторов к модам
свободного пространства. Эрмито-Гауссовые или Лагерро-Гауссовые моды свободного
пространства имеют область наибольшего сужения (горловину) и расширяются от
этой области в обоих направлениях. Типичный гауссов пучок показан на рисунке
2а.
1,2
- зеркала.
Рисунок
16 - Гаусов пучок: а - в свободном пространстве; b - внутри резонатора
Сплошные
линии характеризуют ширину пучка, а пунктирные линии, перпендикулярные оси,
показывают фазовые фронты в различных точках вдоль пучка. Такой же пучок может
существовать и внутри устойчивого резонатора, если зеркала поместить в тех
местах, где радиусы кривизны фазового фронта пучка совпадают с радиусами
кривизны зеркала.
При каждом отражении от зеркал пучок будет переходить сам в себя, что и
обеспечит формирование моды резонатора. Поскольку все принадлежащие к одному
семейству моды Эрмита-Гаусса и Лагерра-Гаусса характеризуются одними и теми же
значениями радиуса кривизны волнового фронта, можно утверждать, что устойчивому
сферическому резонатору можно поставить в соответствие целый набор собственных
мод ТЕМmn, различающихся поперечными индексами m и n. Входящие в эти выражения
минимальный радиус гауссова пучка ѡ0 и длина волны λ
могут быть найдены из
условия резонанса, обеспечивающего интерференцию на усиление лучей, отраженных
от зеркал резонатора. Условие резонанса будет выполняться, если фазовый сдвиг
внутрирезонаторного пучка за двойной проход по резонатору будет равен целому
числу, умноженному на 2π . Тем самым, при резонансе должно выполняться равенство:
2ΔΦ = 2Νπ, (17)
где ΔΦ - сдвиг фазы при прохождении волны от одного зеркала к другому,
N - целое число. На оси резонатора (r=0)

.(18)
Считается,
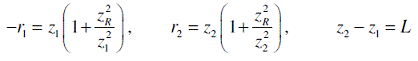
что зеркала расположены на расстояниях d1 и d2 от области сужения пучка и d=d1+
d2. С учетом (18) условие резонанса (17) принимает вид

. (19)
Длина
волны λ
в приведенных соотношениях является не
длиной волны моды гауссова пучка, а длиной волны, которую имела бы
соответствующая плоская волна, если бы она распространялась в той же среде и с
той же частотой, что и мода гауссова пучка. Длина волны гауссова пучка могла
быть определена как расстояние вдоль оси, соответствующее фазовому сдвигу 2π . Ее величина, однако, не является постоянной и зависит,
хотя и незначительно, от положения вдоль оси моды Эрмито-Гаусса.
Условие
резонанса (19) можно выразить непосредственно через параметры резонатора.
Выразим сначала расстояния d1 и d2, радиусы пучков w1 и w2 на зеркалах 1 и 2,
минимальный радиус пучка w0 через радиусы кривизны зеркал R1 и R2 и расстояние
d между ними:

, (20)

, (21)
Освобождаясь
от величины w0 в этих уравнениях, получаем

.
(22)
Присовокупив
к (22) равенство

, (23)
можно
определить неизвестные параметры d1 и d2

, (24)

. (25)
Подстановкой
(24) и (25) в (20) или (21) находим последний неизвестный параметр -
минимальный радиус пучка w0

. (26)
Используя
выражения (24), (25) и (26), легко найти величину радиусов пучков на зеркалах
резонатора

, (27)

, (28)
Вышеприведенные
выражения позволяют условие резонанса (17) записать в форме, включающей в явном
виде параметры резонатора. Воспользуемся известной тригонометрической формулой

, (29)
где

,
(30)

.
(31)
Путем
алгебраических упрощений выражение (29) можно привести к виду

. (32)
С
учетом (32) условие резонанса примет вид

. (33)
Выражение
(33) позволяет определить резонансную частоту (собственную частоту резонатора)

. (34)
Заметим,
что последнее выражение сочетается с условием устойчивости, поскольку член под
знаком корня может быть только действительной величиной, а модуль корня должен
быть меньше единицы. Число N определяет число полуволн, укладывающихся вдоль
оси резонатора. Поэтому число N часто называют порядком продольных мод
резонатора или продольным индексом. Индексы же m и n называют индексами
резонаторных мод, поскольку они определяют число поперечных вариаций поля
эрмито-гауссовых мод. При m=n=0 имеет место чисто гауссова мода. Таким образом,
чтобы охарактеризовать пространственную структуру собственной моды резонатора
помимо параметров d1, d2, w0, w1, w2 нужно обязательно задать один продольный N
и два поперечных индекса m и n.
Если
зафиксировать поперечные индексы m и n, то из (34) легко установить, что
частотный интервал между соседними "продольными" модами равен с/2d.
Если
структуру поля в резонаторе описывать с помощью лагерро-гауссовых мод, то их
параметры по-прежнему будут определяться выражениями (25) - (28). Резонансные
же частоты будут определяться выражением

. (35)
Для
конфокального резонатора (d=R1=R2=b) параметры собственной моды принимают
значения

(36)
собственная
же частота моды будет определяться выражением

(37)
Параметр
b называют конфокальным параметром. Самая важная особенность конфокального
резонатора состоит в том, что в нем достигается высокая степень вырождения
собственных мод: моды, имеющие различный набор индексов m, n, N могут иметь
совпадающие частоты. Действительно, из (37) видно, что значение собственной
частоты резонатора v не изменится, если сумму поперечных индексов m+n увеличить
на целое число 2К (К=1, 2, 3...), а индекс N уменьшить на К. Как следует из
(37), минимальный частотный интервал между четными и нечетными модами
резонатора, сумма поперечных индексов которых m+n является соответственно
четной и нечетной, равен с/4d.
3.5 Моды резонаторов при ограниченной апертуре зеркал
С
уменьшением размеров зеркал резонатора следует считаться с проявлениями
эффектов дифракции. Последние приведут к потерям энергии на внешней апертуре
зеркал. В этом случае мода резонатора представляет собой определенную
конфигурацию медленно затухающего поля с относительным распределением
амплитуды, не изменяющейся во времени. В случае лазерной генерации потери
энергии компенсируются за счет активной среды, что обеспечивает существование
стационарного поля.
Для
расчета поля резонаторов с конечной апертурой зеркал может быть привлечен
принцип Гюйгенса в формулировке Френеля-Кирхгофа. Если распределение поля на
зеркале 1 задать функцией u1, то поле на зеркале 2 будет определяться
дифракционным интегралом:

(38)
где
А - площадь каждого из зеркал. Отразившись от зеркала 2, световая волна начнет
распространяться в обратном направлении. Таким образом, она будет
распространяться в резонаторе вперед и назад, попеременно отражаясь от его
зеркал. После q проходов связь поля у одного зеркала с полем у другого зеркала
будет опять же определяться выражением (38), где поле u1 следует заменить на
uq, а u2 на uq+1.
После
большого числа проходов распределение поля у зеркал будет подвергаться
незначительным изменениям от отражения к отражению и со временем станет
стационарным. На этой стадии поля около зеркал становятся одинаковыми с
точностью до комплексной постоянной, что позволяет записать соотношение:

(39)
где
v - функция распределения, не изменяющаяся от отражения к отражению, и γ - комплексная постоянная, которая не зависит от
координат. Подставляя (39) в (38), получаем интегральное уравнение:

(40)
где
ядро

(41)
Функцию
распределения поля v можно рассматривать как моду резонатора. Дифракционные
потери моды определяются выражением:

(42)
где
θ
- энергия, теряемая при одном прохождении
из-за дифракции на зеркалах. Фазовые набеги моды связаны с величиной γ соотношением:
β =угол γ
, (43)
где
β
- фазовый сдвиг, претерпеваемый волной
при распространении от одного зеркала к другому, в дополнение к фазовому сдвигу
плоской волны, определяемому как 2πd/λ
. Если суммарные потери в резонаторе
малы, добротность резонатора может быть представлена в виде:

(44)
где
θt
- суммарные потери, включая дифракционные
потери, потери на пропускание, поглощение и рассеяние. Резонансная частота
будет определяться соотношением:

(45)
Интегральное
уравнение (40) можно решить численным методом последовательных приближений,
который во многом аналогичен описанному выше физическому процессу возбуждения
начального распределения поля световой волны в резонаторе и распространению его
взад и вперед между зеркалами. Сначала на зеркале 1 задается произвольное
распределение поля, а затем с помощью преобразования (38) последовательно
находятся поля на зеркалах после каждого нового прохода. Расчет показывает, что
после 300 отражений световой волны, флуктуации, наблюдающиеся от прохода к
проходу, составляют менее 0.03% от средней величины, тем самым распределение
амплитуды и фазы после 300 проходов можно поставить в соответствие определенной
моде резонатора.
На
рисунке 17 приведено полученное в результате расчета относительное
распределение поля моды ТЕМ00 симметричного резонатора с круглыми зеркалами
радиуса а. На рисуноке 18 для такого же резонатора приведена зависимость
дифракционных потерь моды ТЕМ00 от числа Френеля Nфр=a2/λd. Число Nфр равно числу зон Френеля, перекрываемых
зеркалом резонатора при помещении точки наблюдения в центр противоположного
зеркала. Цифрами у кривых обозначена величина g-фактора резонатора.
Рисунок
17 - Относительное распределение поля моды ТЕМ00
Рисунок
18 - Относительные потери моды ТЕМ00 на проход
Видно,
что размер зеркал приводит к заметной деформации формы моды по отношению к
рассчитанной в рамках модели бесконечной апертуры. При этом имеет место быстрый
рост дифракционных потерь моды с уменьшением числа Френеля. В области Nфр=10
потери имеют незначительную величину. При этом распределения полей собственных мод
резонатора хорошо описываются эрмито-гауссовыми или лагерро-гауссовыми
функциями.
4. Зеркала оптического
резонатора
В зависимости от усиления активной среды применяются зеркала с
металлической отражающей поверхностью или с диэлектрическим многослойным
покрытием (интерференционные зеркала).
К основным недостаткам металлических зеркал относятся: значительные
потери на поглощение, достигающие 2-3 %, и неселективность отражения,
затрудняющая подавление генерации на конкурирующих переходах. В связи с этим в
большинстве лазеров, особенно с малым коэффициентом усиления, как правило,
применяют интерференционные зеркала. Отражающая поверхность таких зеркал
представляет собой последовательность чередующихся слоев из двух разнородных
материалов, прозрачных для генерируемого излучения, с высоким (nв) и низким
(nн) значениями показателя преломления. Оптическая толщина слоев равняется
четверти длины волны рабочего излучения: (nвЧhв = nнЧhн = l/4), где hв, hн -
толщина соответствующих слоев.
Диэлектрические слои наносятся методом термического или катодного
распыления в вакууме на массивную подложку из высокопрозрачного материала. На
подложку наносится оптически более плотный слой.
Потери, связанные с неточностью установки зеркал:
δφ =
1-exp[-16Δφ/(πd)].
(46)
Неточность установки зеркал определяется техническими возможностями и
нестабильностью положения зеркал из-за тепловых деформаций. В условиях
современного производства можно принять Δφ ≈
2,4∙10-5.
В CO2-лазерах благодаря высокому коэффициенту усиления в качестве глухого
могут применяться зеркала на металлической основе либо кварцевые с
металлическим покрытием. Данные о коэффициенте отражения таких зеркал на длине
волны 10,6 мкм представлены в таблице 1.
Как видно из таблицы, наибольшей отражающей способностью обладают
покрытия из серебра, золота и алюминия. Однако серебряный слой механически
непрочен и химически малоустойчив. На воздухе серебро быстро тускнеет, что
приводит к снижению его коэффициента отражения. Поэтому оно малоприменяется.
Выбор материала зеркал мощных лазеров во многом определяется теплопроводностью.
Обычно для этого выбирают медь или сталь.
Таблица 1 - Коэффициент отражения металлов
|
Материал
|
Al
|
Au
|
Cu
|
Ag
|
Сталь
|
|
Коэффициент отражения, ρ
|
0,97
|
0,98
|
0,98
|
0,99
|
0,94
|
Более высокий чем у металлов, коэффициент отражения может быть обеспечен
применением интерференционных покрытий, наносимых вакуумным напылением на
подложку из материала с высокой прозрачностью на длине волны 10,6 мкм.
Количество слоев из интерференционных материалов для зеркал CO2-лазеров может
колебаться от 1 до 5. Используемые материалы для интерференционных покрытий
зеркал СО2-лазера представлены в таблице 2.
δ1 = ln(1/ρ1). (47)
Потери, связанные с несовершенством поверхности полупрозрачного зеркала:
δз ≈ 0,005.
(48)
Таблица 2 - Материал интерференционных покрытий зеркал CO2-лазеров
|
Материал
|
Na3AlF6
|
MgF2
|
BF2
|
ThF4
|
KBr
|
CsJ
|
|
Коэффициент преломления
|
1,35
|
1,38
|
1,40
|
1,50
|
1,52
|
1,74
|
|
Материал
|
AgCl
|
ThO2
|
ZnS
|
ZnSe
|
CdTe
|
Ge
|
Te
|
|
|
Коэффициент преломления
|
1,98
|
2,00
|
2,30
|
2,50
|
2,67
|
4,3
|
4,9
|
|
|
|
|
|
|
|
|
|
|
|
|
|
|
|
Суммарные потери в активном элементе:
Π = 2βрℓ.
(49)
Найденные значения потерь и значения коэффициента пропускания выходного
зеркала позволяют рассчитать выходную мощность спроектированного лазера.
Величина средней площади генерируемой моды Sср волноводного режима Sср = πd2/4.
Заключительным этапом
является расчет выходного зеркала. Подбором материала подложки, материала
интерференционных покрытий и количества слоев добиваются максимально возможного
соответствия между оптимальным значением коэффициента пропускания. Если по
результатам расчета выходная мощность окажется меньше заданной, либо сильно
завышенной (более чем на 5 %), расчет геометрии лазера следует повторить, введя
необходимые поправки в систему величин, выбор которых оценивается определенным
диапазоном возможных значений.
4.1 Многослойные диэлектрические покрытия
Поверхности зеркал, используемых в качестве высокоотражающих лазерных
зеркал или расщепителей пучков, обычно изготавливают методом осаждения, или
напыления, многослойных диэлектрических покрытий на плоскую или искривленную
оптическую поверхность материала подложки, например, стекла. Тот же метод может
быть использован для уменьшения коэффициента отражения поверхностей оптических элементов
или для изготовления таких оптических элементов, как интерференционные фильтры
или поляризаторы. Покрытия обычно наносят в вакуумной камере путем испарения
определенных диэлектрических материалов, которые затем конденсируются на
подложке в виде тонкой пленки. Широкое использование многослойных
диэлектрических покрытий для лазерных оптических элементов связано с тем, что
слои этих покрытий изготавливаются из прозрачных материалов и потому могут
выдерживать высокую интенсивность лазерного излучения. Этим они отличаются от
тонких металлических пленок. Действительно, металлы и металлические пленки
имеют сильное поглощение (5-10%) в диапазоне от ближней ИК до ультрафиолетовой
областей спектра и не часто используются как материалы для лазерных зеркал. Однако
следует отметить, что потери на поглощение в этих материалах становятся гораздо
ниже в диапазоне от средней до дальней ИК области, например, на длине волны
10,6 мкм СO2 лазера. Поэтому для этого спектрального диапазона часто применяют
высокоотражающие медные зеркала с покрытием из золота или просто полированные
медные зеркала.
Рассмотрим оптическую подложку, например стеклянную, покрытую несколькими
слоями, имеющими попеременно высокий пH и низкий пL показатели преломления по
сравнению с показателем преломления подложки, ns. Если толщины слоев lН и lL
таковы, что nHlH = nLlL = λ0/4, где λ0 - определенная длина волны, то для
падающего излучения с длиной волны λ = λ0 напряженности электрического поля
волн, отраженных на всех границах раздела, складываются в фазе. Рассмотрим,
например, две границы слоя с высоким показателем преломления. Коэффициент
отражения для напряженности электрического поля при переходе от области низкого
к области высокого показателя преломления отрицателен, а напряженность
электрического поля испытывает фазовый сдвиг Φ1=π при отражении. Напротив, коэффициент
отражения при переходе от области высокого к области низкого показателя
преломления положителен, а фазовый сдвиг напряженности отраженной волны равен
нулю. Если оптическая толщина слоя с высоким показателем преломления пнlн равна
λ0/4,
то набег фазы после его
прохождения в прямом и обратном направлениях равен
. (50)
Рисунок 19 - Многократные отражения в многослойном диэлектрическом
покрытии от границ слоя с высоким показателем преломления: a - первые два
отражения на двух границах слоя с высоким показателем преломления в
многослойном диэлектрическом покрытии; б - первые два отражения на двух
границах слоя с низким показателем преломления в многослойном диэлектрическом
покрытии
Это означает, что две отраженных от слоя волны будут иметь одну и ту же
фазу, а соответствующие напряженности полей будут складываться. Можно легко
показать, что такой же вывод справедлив для границ слоя с низким показателем
преломления. Отсюда следует, что все пучки, отраженные многослойным
диэлектрическим покрытием, а также их многократные отражения складываются в
фазе. Таким образом, если напылено достаточное число слоев (λ/4) с попеременно низким и высоким
показателями преломления, то полная отражательная способность, благодаря всем
многократным отражениям, может достичь очень высокой величины. Если
многослойное покрытие начинается и заканчивается слоем с высоким показателем
преломления, так что полное число слоев J нечетно, то результирующий
энергетический коэффициент отражения (при λ = λ0) оказывается равным
(51)
Если длина волны λ падающего излучения отличается от λ0,
то коэффициент отражения
будет, меньше величины, определяемой соотношением (51). В качестве характерных
примеров на рисунке 20 показаны зависимости коэффициента отражения от длины
волны для J=3 и J=15.
Рисунок 20 - Зависимость от длины волны коэффициента отражения
четвертьволновых многослойных диэлектрических покрытий
Диэлектрическое
покрытие изготовлено из TiO2 и SiO2, с полным числом слоев 3 (пунктирная
кривая). Материал подложки - стекло ВК-7. Видно, что с ростом числа слоев
максимальная отражательная способность увеличивается, а область сильного
отражения становится шире и приобретает все более резкие края. Из кривой,
отвечающей более высокому коэффициенту отражения, видно также, что ширина
области сильного отражения отвечает диапазону длин волн 
.
Для
уменьшения отражательной способности данной оптической поверхности можно
использовать однослойное покрытие материалом с показателем преломления меньшим,
чем у подложки. Поскольку nL < ns, то, как видно из рисунка 19б, первые два
отражения при nLlL = 
/4 имеют
теперь противоположные фазы. Полный коэффициент отражения при этом уменьшается,
и если принять во внимание все многократные отражения, то можно показать, что
при при 
= 
он
определяется соотношением

. (52)
Отсюда видно, что нулевое отражение получается при условии nL= (ns)1/2,
которое трудно выполнить на практике из-за ограниченного числа подходящих
материалов с достаточно малой величиной показателя преломления.
Минимальная величина коэффициента отражения, определяемая соотношением
(52), достигается, конечно, при λ=λ0. Однако ширина области с низким
коэффициентом отражения для однослойного покрытия весьма велика. Например, если
λ0 находится в центре видимого
диапазона, то отражательная способность покрытой поверхности, ниже, чем
непокрытой, во всем видимом диапазоне.
Часто для лазерных приложений могут потребоваться даже еще более низкие
коэффициенты отражения (вплоть до, возможно, 0,1%). Этого можно достичь,
используя более одного слоя просветляющего покрытия. Для стекол часто
используют покрытие, состоящее из двух λ/4-слоев с низким и высоким
показателями преломления, расположенных в последовательности пs/пL/пH. Широко
применимым является очень прочное и долговечное двухслойное покрытие
ZrO2(пH=2,l)-MgF2(nL=1,38). Ширина области с низким коэффициентом отражения для
этого типа покрытия уменьшается; действительно, кривая зависимости коэффициента
отражения от длины волны имеет острый V-образный минимум. Такие покрытия обычно
называют покрытиями V-типа [10].
4.2 Основные виды потерь
В связи с малыми значениями коэффициента усиления активной среды для
выполнения условия возникновения генерации требуется обеспечить соответственно
и малый уровень потерь.
Газовая среда отличается высокой однородностью и прозрачностью, поэтому
распределенными потерями на рассеяние и поглощение в ней можно пренебречь.
Использование устойчивых резонаторов обеспечивает и малый уровень дифракционных
потерь. Они становятся заметными (превышают 0,1%) при использовании разрядных
трубок малого диаметра (1…2 мм). Необходимость в целенаправленном увеличении
этих потерь возникает также при реализации одномодового режима генерации
(TEM00), поскольку подавление поперечных мод более высокого порядка основано на
различии в величинах дифракционных потерь. В общем же случае основными видами
потерь являются потери в зеркалах резонатора и прочих внутрирезонаторных
оптических элементах.
Из приведенной оценки допустимого уровня потерь следует, что коэффициент
отражения поверхности зеркал должен быть не менее 98 %. Коэффициенты отражения,
превышающие 98…99 % , достигаются при использовании многослойных
интерференционных зеркал. Потери на поглощение и рассеяние в них не превышают 0,2…0,3%.
Кроме того, селективность отражения интерференционных зеркал обеспечивает
возможность подавления генерации на конкурирующем переходе 3,39 мкм.
Для создания зеркал со столь высоким коэффициентом отражения количество
слоев существенно больше 3. Для слоев с высокими значениями показателя
преломления (nв) в качестве материала покрытия используются TiO2 {2,33}, ThO2
{2}, ZnS {2,3}, HfO2 {1,98}, ZrO2 {1,97} (в скобках указаны значения показателя
преломления n). Для слоев с низкими значениями показателя преломления (nн) -
SiO2 {1,45}, MgF2 {1,38}, Na3AlF6 {1,35}.
Для изготовления подложек зеркал, а также других внутрирезонаторных
элементов, например выходных окон, применяются высокопрозрачные оптические
стекла КВ {1,5} либо КУ {1,46}. В лазерах с внешними зеркалами выходные окна,
герметизирующие объем разрядной трубки, для уменьшения вносимых ими потерь
устанавливаются под углом Брюстера jб = arc tg(n), где n - показатель
преломления материала окна. Волна, поляризованная в плоскости падения, проходит
через такое окно почти без отражения (потери не более 0,1…0,2 %). Лазерное
излучение в этом случае линейно поляризовано [1].
.3 Определение потерь и оптимального
коэффициента пропускания выходного зеркала
При определении числа Френеля в качестве апертуры а следует принять
радиус разрядной трубки или радиус диафрагмы, если её установка потребуется для
выделения основной моды TEM00. Далее представлены экспериментальные результаты
величины потерь в интерференционных зеркалах.
Таблица 3 - Оптические характеристики интерференционных зеркал
|
Материал покрытия
|
Число слоев, N
|
Коэффициент пропускания, T,
%
|
Общие потери, %
|
Термостойкость, 0C
|
|
HfO2 - SiO2,
|
15 17 23 25 27
|
1,6 - 1,9 0,9 - 1,4 0,1 -
0,2 0,1 0,1
|
- - 0,28 0,2 0,2
|
300-350
|
|
ZrO2 - SiO2
|
17 19 27
|
1.35 0,95 <0,1
|
<0,2 <0,2 <0,2
|
250-300
|
|
TiO2 - SiO2
|
9 11 13 15 17 19
|
2,4 0,9 0,4 0,1 0,03 0,01
|
|
|
Потери в окнах, герметизирующих трубку в лазерах с внешними зеркалами или
устанавливаемых в лазерах с внутренними зеркалами для получения поляризованного
излучения, не превышают 0,1...0,2 %.
После определения всех потерь проверяется условие, определяющее режим
работы лазера. При его выполнении режим работы одномодовый, иначе -
многомодовый. Для получения одномодового режима может потребоваться изменение
радиусов кривизны зеркал или установка специальной диафрагмы, чтобы обеспечить
более высокий уровень дифракционных потерь.
4.4 Учет влияния сферичности реальных зеркал
резонатора на параметры формируемого лазерного пучка
Для линейного резонатора произвольной конфигурации рассмотрен вопрос
расчёта характеристик лазерного пучка с учётом аберраций сферических зеркал.
Получены приближённые аналитические выражения распределения поля на зеркалах,
параметров и частотного спектра излучения мод Эрмито- и Лагерра-Гаусса.
Выявлены конфигурации резонаторов, в которых аберрации формы поверхности зеркал
оказывают существенное влияние на характеристики формируемого пучка.
Уже первые эксперименты с лазерами показали, что оптические резонаторы
очень «чувствительны» к воздействию весьма разнообразных возмущений. Это
связано, в первую очередь, с тем, что размеры резонатора намного превышают
длину волны излучения. Поэтому достаточно небольшой неоднородности заполняющей
резонатор среды или отступлений от требуемой формы и геометрии расположения зеркал,
чтобы вариации оптических расстояний (т.е. волновая аберрация) стали сравнимы с
длиной волны.
К настоящему времени влияние неоднородности активной среды, разъюстировки
элементов резонатора и других факторов на пространственно-энергетические
характеристики лазерного пучка исследованы достаточно подробно. Поскольку в
большинстве случаях применяют сферические зеркала, аберрации формы поверхности
оптических элементов резонатора, в совокупности с перечисленными факторами,
влияет на характеристики генерируемого пучка.диаграмма резонатора с учётом
аберраций зеркал
При описании резонаторов часто используют G-плоскость [5]. На рисунке на
G-плоскости с учётом аберраций зеркал резонатора показано положение
конфокальных, концентричных и симметричных схем резонаторов и построена
граничная кривая, отделяющая области устойчивых и неустойчивых (заштрихованы)
резонаторов. Из представленной на рисунке 21 G-диаграммы видно, что имеются
конфигурации устойчивых концентричных (в I четверти) и конфокальных (в III
четверти) резонаторов.
Рисунок 21 - G-диаграмма резонатора
Проведённые расчёты показали, что малые искажения поля формируемого
резонатором пучка имеют место вдали от границы устойчивости. Для резонаторов
близких к конфокальному или концентрическому аберрации сферических зеркал
приводит к значительному искажению поля пучка и отличию параметров лазерного
пучка по отношению к пучку, формируемого идеальным резонатором.
Разработанный метод позволяет проводить расчет характеристик, функций
искажения поля и отклонения параметров [6] пучка с учётом аберраций зеркал
резонатора. Полученные результаты полезны для нахождения распределения поля в
реальном резонаторе численными методами. Это позволит ускорить итерационный
процесс, т.е. обеспечить более быструю сходимость результата к реальному
распределению поля.
5. Экспериментальная часть
Разрабатываемый оптический резонатор для длины волны генерируемого
излучения 1,5 мкм и длиной волны накачки в диапазоне 915-980 нм должен быть
согласован с используемой активной лазерной средой. В качестве активной среды
предполагается использование кристаллов ниобата лития с ионами иттербия и
эрбия. Ионы эрбия, схема уровней энергии которых вместе с длинами волн
переходов приведена на рисунке 22 будет излучать на длине волн 1520-1570 нм.
Рисунок 22 - Схема уровней энергии эрбия
Оптическая накачка самого иона эрбия неэффективна. Поэтому для накачки
лазерного уровня эрбия через его предлазерный уровень 980 нм будет использован
ион иттербия с полосой поглощения от 916 нм до 1060 нм. [11]. Поглощенное на
этой длине волны излучение лазерных диодов накачки будет передано на лазерный
уровень иона эрбия.
Усиление света в эрбиевом усилителе происходит благодаря переходу между
уровнями 2-1 ( 4I13/2 → 4I15/2). Каждый из этих уровней расщеплен на ряд
подуровней из-за взаимодействия ионов эрбия с внутрикристаллическимполем
кварцевого стекла (эффект Штарка). Под действием накачки за счет поглощения
фотонов накачки ионы эрбия переходят из основного состояния (уровень 1) в
верхнее возбужденное состояние (уровень 3), которое является короткоживущим
(время жизни τз=1 мкс), и за счет процессов релаксации переходят в
долгоживущее состояние (на метастабильный уровень 2 энергии). Временем жизни на
этом уровне относительно велико (τ2=10 мс, т.е. τ2=10000τз), поэтому число ионов, находящихся
на уровне 2, при соответствующей мощности накачки может превышать число ионов
на уровне 1.
Если в среду с инверсией населенности попадает излучение с энергией фотона,
совпадающей с энергией перехода из метастабильного состояния в основное, то с
большой вероятностью происходит переход иона с метастабильного уровня 2 на
основной уровень 1 с одновременным рождением еще одного фотона. Увеличение
числа фотонов при их взаимодействии с ионами эрбия означает, что происходит
усиление света, распространяющегося в среде с инверсией населенности.
Не все ионы эрбия находятся в метастабильном состоянии и обеспечивают
усиление. Часть ионов находится на уровне 1 и эти ионы, взаимодействуя с
фотонами, энергия которых совпадает с энергией перехода, эффективно их
поглощают, переходя на уровень 2. При этом спектр усиления ионов эрбия
практически совпадает со спектром поглощения. Если количество ионов,
находящихся на уровне 2, меньше числа ионов, находящихся на основном уровне 1,
то наблюдается поглощение. Именно поэтому необходимым условием усиления света
является создание инверсии населенностей между двумя рабочими уровнями энергии
2 и 1. Для создания инверсии населенностей в эрбиевом усилителе необходимо
перевести примерно половину ионов эрбия на метастабильный уровень 2. Мощность
накачки оптического усилителя, при которой населенность уровней 1 и 2 равны,
называется пороговой мощностью.
Рисунок 23 - спектральная зависимость усиления/поглощения эрбия
Рисунок 24 - Спектры излучения эрбия
При мощности накачки ниже пороговой наблюдается не усиление, а поглощение
светового сигнала. На рисунке 24 представлены спектры поглощения/усиления при
различных значениях относительной населенности уровня 2, определяемой уровнем
мощности накачки. Нижняя кривая, наблюдающаяся в отсутствии накачки (все
частицы находятся в основном состоянии, населенность уровня 2 равно соответствует
«отрицательному усилению», т.е. поглощению во всем рабочем спектральном
диапазоне. По мере увеличения мощности накачки все большее число активных ионов
переходит в возбужденное состояние. Это приводит, как видно из рисунка 24,
сначала к уменьшению коэффициента поглощения, а затем к усилению света. Отметим
также, что спектр усиления несколько сдвинут в длинноволновую область
относительно спектра поглощения. Следовательно, для усиления в длинноволновой
части спектра требуется меньшее значение инверсии. [7]
Спектр поглощения ионов иттербия в ниобате лития приведен на рисунке 25.
Рисунок 25 - Спектр поглощения ионов итербия
Из рисунке 25 видно, что наибольшим значением коэффициента поглощения
обладают переходы на 950 и 980 нм. Значит, разрабатываемый оптический резонатор
должен обеспечить прозрачность для электромагнитных волн данного диапазона.
Ожидаемая длина волны генерации лежит в пределах 1530-1560 нм, значит у
выходного зеркала резонатора коэффициент прозрачности в этом диапазоне должен
быть таким, чтобы эти потери покрывались коэффициентом усиления в активной
среде за один проход. Поскольку коэффициент усиления за один проход с учетом
сложного характера оптической накачки прогнозировать точно достаточно сложно, то
зададим его при конструировании зеркала на уровне 98 %.
При накачке в полосу поглощения иттербия происходит поглощение фотонов и
передача энергии возбуждения ионам эрбия. Скорости передачи определяются
параметрами Cdd=5.04*10-38 см6/с и Cda=2.69*10-40 см6/с, определённых
экспериментально ранее.
Рисунок 26 - Схема уровней атомов эрбия и иттербия
Для появления положительного усиления при накачке в полосу 0,978 мкм
необходимо обеспечить минимальную интенсивность накачки 0,64 кВт/см2. При учёте
потерь в резонаторе равном 2,8 % необходимо превысить этот порог. Кроме того,
параметры Cdd и Cda определяют эффективность переноса энергии от возбужденных
ионов иттербия к ионам эрбия. И эффективность этого переноса в ниобате лития с
иттербием и эрбием, как и в любом другом кристаллическом соединении значительно
слабее, чем скорость переноса в некоторых лазерных стёклах. Поэтому при
выполнении генерационных экспериментов на разрабатываемом стенде, кроме
требования коэффициента усиления за один проход не менее 2,8 % необходимо
каждый раз иметь в виду эффективность переноса энергии от ионов доноров
(иттербия), в полосы поглощения которого идёт накачка, к ионам акцепторам
(эрбия) при переходах которого наблюдается генерация.
Рисунок 27 - Спектр коэффициента усиления ионов иттербия в ниобате лития
Зеркала в соответствии с разработанным техническим заданием были
изготовлены сторонней организацией. Для исследования реального коэффициента
пропускания зеркал на разных длинах волн 900 - 1600 нм.
Для этого использовалась следующая схема, рисунок 28. На данной
однолучевой схеме экспериментальной установки представлены: осветитель ОЗК,
модулятор, интерференционное зеркало, монохроматор МДР - 204 с дифракционными
решетками 600 штрихов/мм, имеющими максимум отражательной способности в
диапазоне 900 - 1600 нм, приемника на основе ПЗС с областью спектральной
чувствительности 190-1100 нм, персонального компьютера.
Рисунок 28 - Схема экспериментальной установки
Сначала излучение с осветителя поступало на модулятор, который
сформировал нужный спектр излучения, отсеивая ненужное излучение. Далее луч
попадал на монохроматор и приемник. После чего данные считывались персональным
компьютером. Далее было произведено измерение спектра пропускания
интерференционного зеркала. Данный образец был размещен между модулятором и
монохроматором таким образом, что бы луч падал перпендикулярно зеркалу.
С помощью программного обеспечения была произведена обработка полученных
данных интенсивности пропускания лампы излучателя и интерференционного зеркала,
показанные на рисунке 29. Из рисунка видно, что на длине волны 1350 - 1400 нм
происходит снижение интенсивности излучения. Это связанно с тем, что луч от
модулятора к монохроматору проходил через воздух, который содержал пары воды.
Рисунок 29 - Интенсивность пропускания лампы излучателя и
интерференционного зеркала
В результате чего был подсчитан коэффициент усиления данного
интерференционного зеркала в процентах. Измерения проводились на длине волны от
900 до 1600 нм, при непрерывном сканировании.
После чего был произведен расчет пропускания интерференционного зеркала,
изображенный на рисунке 30 по формуле:
= ( iзеркала / iлампы )*100%, (47)
где k - коэффициент пропускания интерференционного зеркала, iзеркала -
интенсивность пропускания зеркала, iлампы - интенсивность пропускания лампы.
Рисунок 30 - Коэффициент пропускания интерференционного зеркала
В результате данного эксперимента было обнаружено, что интерференционное
зеркало в диапазоне длин волн от 900 до 1150 нм практически полностью
пропускает падающее на него излучение. Коэффициент пропускания 97-100%. А на
длине волны 1550 нм практически полностью отражается от поверхности
дифракционной решетки, коэффициент пропускания в этой области составил около
2-3%. Это показывает, что данный образец интерференционного зеркала можно
использовать в резонаторе для получения излучения на длине волны 1,5 мкм.
После изучения коэффициентов пропускания каждого зеркала в отдельности
изучались оптические характеристики всего резонатора в целом.
Разрабатываемый резонатор выполнен по схеме полуконфокального
Рисунок 31 - Схема полуконфокального резонатора
Рисунок 32 - Ход лучей в полуконфокальном резонаторе
Прежде чем начать исследование данного резонатора опытным путем на
собранной установке был определен диапазон максимального отражения
интерференционных зеркал резонатора без активной среды в диапазоне длин волн
800-1700 мкм.
Для того, что бы определить спектр пропускания резонатора, сначала
необходимо было измерить спектр излучения самой лампы без резонатора. После
чего, сравнить полученные графики, показанные на рисунке 34.
Рисунок 33 - Схема экспериментальной установки
На рисунке 33 показана экспериментальная установка состоящая из:
осветитель ОЗК, модулятор, интерференционные зеркала резонатора, монохроматор
МДР - 204 с дифракционными решетками 300 штрихов/мм, приемника на основе ПЗС с
областью спектральной чувствительности 190-1100 нм и персонального компьютера.
Рисунок 34 - Спектр излучения лампы, спектр пропускания резонатора без
активного элемента
Сначала излучение с осветителя поступало на модулятор, который
сформировал нужный спектр излучения, отсеивая ненужное излучение. Далее луч
попадал на монохроматор и приемник. После чего данные считывались персональным
компьютером. Далее было произведено измерение спектра пропускания резонатора
состоящего из двух зеркал без активного элемента. Зеркала резонатора были
размещены между модулятором и монохроматором таким образом, что бы луч падал
перпендикулярно зеркалам по центру.
Из полученного графика на рисунке 34 видно данная конструкция резонатора
отражает излучение в диапазоне 1400-1650 мкм, и максимальна на длине волны 1,55
мкм.
После проведенных измерений между зеркалами резонатора был размещен
активный элемент «Эрбий» (Er) и в качестве накачки резонатора был использован
лазер.
Рисунок 35 - Схема резонатора с подключенными устройствами
заключение
В результате выполнения дипломной работы получены следующие результаты:
. Проведен анализ современной научной литературы по типам и
свойствам используемых на сегодняшний день лазерных резонаторов при оптической
накачке.
. Из проведенного анализа сформулированы требования к геометрии
разрабатываемого резонатора и его спектру пропускания при использовании в
качестве активной среды градиентного кристалла ниобата лития с ионами иттербия
и эрбия.
. Измерены спектры пропускания интерференционных зеркал резонатора
в диапазоне длин волн 880-1700 нм.
. В диапазоне длин волн накачки лазерного элемента коэффициент
пропускания зеркал составил величину близкую к 100 %.
. В диапазоне длин волн генерации (1,55 мкм) лазерного элемента
коэффициент пропускания одного из зеркал составил 2,8%, что необходимо для
коэффициента усиления за один проход в активном лазерном элементе не менее 3 %
(0,13 дБ).
. Из исследованных интерференционных зеркал был сконструирован
открытый полуконфокальный резонатор.
Список использованных источников
1 Электронная библиотека -
Расчет и проектирование квантовых генераторов - (Рус.). - URL:
<http://www.metods-rgrtu.ru/index.php/metods0-999/361-72?start=6> [15
апреля 2012].
2 Электронная библиотека -
Введение в технику волоконно-оптических сетей - (Рус.). - URL:
<http://www.network.xsp.ru/5_6.php [20 сентбря 2011>].
Электронная библиотека -
Квантовые генераторы и усилители - (Рус.). - URL:
<http://dic.academic.ru/dic.nsf/enc_colier/6609 [12> апреля 2013].
4 Менушенков
А. П. Физические основы лазерной технологии / А. П. Менушенков, В. Н. Неволин,
В. Н. Петровский. - М.: Лань - 2010. - С. 116-117.
Ананьев Ю. А.
Оптические резонаторы и лазерные пучки / Ю. А. Анапньев. - М.: Наука. Гл. ред.
физ.-мат. лит., 1990. - 264 с.
Пашковский
С.. Вычислительные применения многочленов и рядов Чебышева / С. Пашковский. -
М.: Наука. Гл. ред. физ.-мат. лит., 1983. - 384 с.
Гуртов В. А.
Оптоэлектроника и волоконная оптика / В. А. Гуртов: ПетрГУ, 2005. - С. 146-147.
Пахомов И. И.
Описание, расчет и анализ искажений многомодовых лазерных пучков / И. И.
Пахомов, А. Ф. Ширанков, П. А. Носов // Оптический журнал. 2010 Т. 77, №2. С.
37-43.
Звелто О.
Принципы лазеров. - СПб.: Лань, 2008. С. 160-166, 237,265.
Ахманов С. А.
Физическая оптика / С. А. Ахманов, С. Ю. Никитин. - М.: МГУ, 2004. С. 524 -
526.
Трещиков В.
Н. DWDM-системы Принцип действия EDFA / В. Н. Трещиков, В. Н. Листвин // Фотон-экспресс.
- 2012. - № 7. - С. 30-31.
Голышев В. Ю.
Аналитическая модель иттербий-эрбиевого волоконного усилителя в режиме
насыщения / В. Ю. Голышев // Журнал технической физики. - 2003. - Т. 73. - №
10.