Биполярный транзистор в схеме с общим эмиттером
САНКТ-ПЕТЕРБУРГСКИЙ
ГОСУДАРСТВЕННЫЙ ПОЛИТЕХНИЧЕСКИЙ УНИВЕРСИТЕТ
ОТЧЕТ ПО
ЛАБОРАТОРНОЙ РАБОТЕ
Биполярный
транзистор в схеме с общим эмиттером
Группа: 33422/1.
Студент:
Скробов Леонид Артемьевич
1.
Цель работы и краткая программа измерений
Целью данной работы является ознакомление с
принципом измерения вольтамперных характеристик биполярного транзистора, с
методами получения параметров транзистора по снятым характеристикам, с
принципами и особенностями работы БТ, включенного по схеме ОЭ.
В процессе работы будут проведены измерения
зависимости выходного тока (Iк)
от выходного напряжения (Uкэ),
при различных фиксированных входных токах (Iб),
и построено по ним семейство выходных ВАХ.
Так же будет построено семейство входных ВАХ -
зависимость входного тока (Iб)
от входного напряжения (Uбэ),
при различных фиксированных выходных напряжениях.
Построено семейство характеристик прямой
передачи тока: Iк
= f(Iб),
при Uкэ
= const.
Построено семейство характеристик обратной связи
по напряжению при помощи семейства входных характеристик: Uбэ
= f(Uкэ),
при Iб
= const.
Определены по характеристикам h
- параметры, в зависимости от режима работы. А так же построены характеристики:
h11э
= f(Iб),
при Uкэ
= const; h12Э
= f(Uкэ),
при Iб
= const; h21Э
= f(Iб),
при Uкэ
= const.
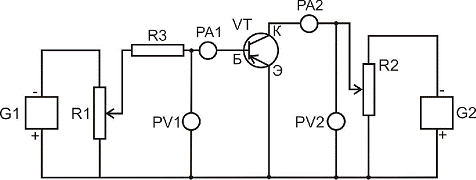
. Схема измерительной цепи
Рис. 1
G1 - источник
питания 1-15 В; R1 -
потенциометр 0-100 Ом;
G2 - источник
питания 1-50 В; R1 -
потенциометр 0-1 кОм;, PA2 - цифровые амперметры; R3 - резистор 1 кОм;, PV2 -
цифровые вольтметры. VT - исследуемый транзистор;
Предельно допустимые значения токов, напряжений
и мощностей в цепях отдельных электродов прибора.
UСИ МАКС =
10 В; P МАКС =
0.12 Вт;
IС МАКС =
6.6 мА; IЗИ МАКС =
10 мА;
. Контрольные вопросы (методическая
справка)
Особенностью работы БТ в режиме общего эмиттера
являются большие коэффициенты усиления как по току, так и по напряжению. Важной
особенностью такого включения является инвертирование фазы выходного сигнала на
180 градусов. Важной особенностью каскада с общим эмиттером, который следует
отнести к его недостаткам, является низкое входное сопротивление и высокое
входное.
Биполярный транзистор в схемотехнических
приложениях представляют как четырехполюсник и рассчитывают его параметры для
такой схемы. Для транзистора как четырехполюсника характерны два значения тока I1
и
I2 и
два значения напряжения U1
и
U2
Рис. 2
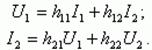
При измерении системы h-параметров,
для удобства расчета, выбираются режим короткого замыкания на выходе (U2=0)
и режим холостого хода на входе (I1=0).
Таким образом, для расчета системы в качестве
входных параметров выступают I1
и U2,
а рассчитываются I2
U1:
Коэффициенты в уравнении имеют напрямую зависят
от схемы включения, так как для разных схем включения величины I1,
U1,
I2,
U2
- оказываются неодинаковы.
Связь h-параметров
для схем с общей базой и общим эмиттером приведена ниже:
Таблица 1
Параметр h21 - это усиление по току. Для ОБ
усиление близко к 1, но всегда меньше ее, так как сигнал поступает на вход
эмиттера, однако в случае с ОЭ - источник сигнала подключается к базе, а через
транзистор протекает большой ток э-к.
4.
Необходимые расчеты
Снятые данные:
Таблица 2
Рис. 3 Выходная ВАХ:
Рис. 4 Входная ВАХ:
Рис. 5 Семейство передаточных характеристик
тока: Iк=f(Iб),
при Uкэ
= const.
Рис. 6 Семейство характеристик обратной связи.
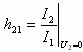
Определение h-параметров.
Независимо от схемы включения транзистора:
Значения коэффициентов в уравнении для
h-параметров имеют следующий вид:
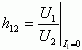
- входное
сопротивление при коротком замыкании на выходе;
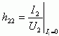
- выходная
проводимость при холостом ходе во входной цепи;
- коэффициент
обратной связи при холостом ходе во входной цепи;
- коэффициент
передачи тока при коротком замыкании на выходе.
Частная производная
определяет
зависимость входного падения напряжения от входного тока при постоянном
выходном напряжении u2; этот
параметр называется входным сопротивлением и обозначается h11.
h11 = 

dUкэ = const
Частная производная
определяет
зависимость входного напряжения от выходного напряжения при постоянном входном
токе i1; этот
параметр безразмерный, он называется коэффициентом обратной связи и
обозначается h12.
h12 =
dIб =const
Частная производная
определяет
зависимость выходного тока от входного при постоянном выходном напряжении u2. Этот
параметр безразмерный, он называется коэффициентом передачи тока и обозначается
h21.
h21 = 

dUкэ = const
Частная производная
определяет
зависимость выходного тока от выходного напряжения при постоянном входном токе.
Этот параметр имеет размерность проводимости, называется выходной проводимостью
транзистора и обозначается h22.
h22 = 

dIб= const
Таблица 3
|
Uкэ = 0 В
|
Uкэ = 1 В
|
Uкэ = 10 В
|
|
Iб[мкА]
|
dUбэ[мВ]
|
dIб[мкА]
|
H11[Ом]
|
dUбэ[мВ]
|
H11[Ом]
|
dUбэ[мВ]
|
dIб[мкА]
|
H11[Ом]
|
|
28,75
|
81,25
|
57,5
|
1413,043
|
86,25
|
57,5
|
1500
|
97,5
|
57,5
|
1695,652
|
|
86,25
|
26,25
|
57,5
|
456,5217
|
48,75
|
57,5
|
847,8261
|
32,5
|
57,5
|
565,2174
|
|
143,75
|
22,5
|
57,5
|
391,3043
|
32,5
|
57,5
|
565,2174
|
20
|
57,5
|
347,8261
|
|
201,25
|
15
|
57,5
|
260,8696
|
17,5
|
57,5
|
304,3478
|
17,5
|
57,5
|
304,3478
|
|
258,75
|
13,75
|
57,5
|
239,1304
|
12,5
|
57,5
|
217,3913
|
8,75
|
57,5
|
152,1739
|
Рис. 7
Таблица 4
|
h22
(Iб=50мкА)
|
h22
(Iб=100мкА)
|
h22
(Iб=150мкА)
|
h22
(Iб=200мкА)
|
|
Uкэ[В]
|
dUкэ[В]
|
dIк[мА]
|
h22[См]
|
Iк[мА]
|
h22[См]
|
Iк[мА]
|
h22[См]
|
Iк[мА]
|
|
0,5
|
1
|
1,46
|
1,46
|
3,1
|
3,1
|
4,6
|
4,6
|
6,1
|
6,1
|
|
1,5
|
1
|
0,05
|
0,05
|
0,1
|
0,1
|
0,14
|
0,14
|
0,23
|
0,23
|
|
3,5
|
1
|
0,03
|
0,03
|
0,1
|
0,1
|
0,14
|
0,14
|
0,23
|
0,23
|
|
8,5
|
1
|
0,03
|
0,03
|
0,1
|
0,1
|
0,14
|
0,14
|
0,27
|
0,27
|
Рис. 8
Таблица 5
|
h21(Uct=5В)
|
|
Iк[мА]
|
dIк[мА]
|
dIб[мкА]
|
h21
|
dIб[мкА]
|
|
0,8
|
1,6
|
50
|
32
|
25
|
|
2,55
|
1,9
|
50
|
38
|
75
|
|
4,33
|
1,66
|
50
|
33,2
|
125
|
|
6,05
|
1,78
|
50
|
35,6
|
175
|

транзистор ток эмиттер вольтамперный
Выводы
Полученные измерения позволили провести
достаточно полные расчеты характеристик транзистора. Получив входную
характеристику, можно наблюдать пересечение характеристиками при Uкэ
оси абсцисс не в нулевой точке. Это можно объяснить так. Когда напряжение на
коллекторе равно нулю, при нулевом токе базы в транзисторе установившееся
равновесие все токи взаимноскомпенсированы, и суммарного тока нет. Однако когда
мы подаем на коллектор напряжение при нулевом напряжении на базе, то в цепи
базы будет существовать неуправляемый ток коллектора, обусловленный не
идеальностью процесса запирания обратносмещенного перехода коллектора. При
подаче напряжения база-эмиттер эмиттерный переход начинает открываться и
инжектировать в базу неосновные для нее заряды, появляется положительная
составляющая тока базы, называемая током рекомбинационных потерь базы.
Дальнейшее увеличение напряжения коллектор-эмиттер к незначительно смещает
характеристики вправо, так как при увеличении напряжения коллектор-эмиттер, за
счет модуляции базы(уменьшения ее линейных размеров) уменьшается
рекомбинационный ток базы. Увеличивается коэффициент передачи тока (в схеме с
общей базой) и ток базы стремится к неуправляемому току коллектора, при
стремлении коэффициента усиления к 1).
Наблюдаемое схлестывание входных характеристик
вероятнее все го происходит по причине влияния температуры на эмиттерный барьер
и его уменьшение вследствие нагрева. Следовательно увеличению инжектируемых в
базу носителей и увеличению тока базы. К тому же надо обратить внимание на то
что входные характеристики располагаются чрезвычайно плотно, поэтому даже
незначительное изменение ширины потенциального барьера, может привести к
заметному росту тока базы.