Розрахунок підпірної стінки для транспортного будівництва
ЗМІСТ
1.
Загальні положення
1.1
Основні положення розрахунку
.2
Визначення тисків на стінку
.3
Конструктивні вимоги
.4
Розрахункові характеристики ґрунтів
.5
Інші розрахункові характеристики
2.
Розрахунок підпірної стінки
2.1
Завдання
.2
Вихідні дані
.3
Визначення характеристик ґрунтів
.4
Визначення тиску на стінку
.5
Визначення ваги частин стінки
.6
Оцінка стійкості стінки
Список
використаної літератури
1. ЗАГАЛЬНІ ПОЛОЖЕННЯ
.1 Основні положення розрахунку
Підпірними стінками називають
споруди, що призначені для утримання ґрунту від обрушення. У конструктивному
відношенні розрізняють три типи підпірних стінок: масивні, кутові та шпунтові
(рисунок 1.1).
Рисунок 1.1 Основні типи підпірних
стінок: а - масивна; б - кутова; в - шпунтова; 1 - підпірна стінка; 2 -
ґрунтова засипка
Масивні підпірні стінки мають
поперечний переріз з розмірами приблизно одного порядку і спороджуються із
монолітного бетону, каменю або цегли на цементному розчині. Кутові підпірні
стінки складаються із двох плит - вертикальної (огороджуючої) та горизонтальної
(фундаментної) і споруджуються із залізобетону. Шпунтові підпірні стінки
являють собою металева, залізобетонні або дерев’яні бруски, які забивають в
ґрунт і створюють суцільний ряд. Берегові опори мостів (устої) також належать
до підпірних стінок.
Мета розрахунку підпірної стінки -
визначення її геометричних розмірів виходячи із стійкості стінки та міцності її
конструкції.
Підпірна стінка може утримувати
ґрунт від обрушення, якщо вона має достатню стійкість проти перекидання та
зсуву.
Зовнішні навантаження, які дають на
підпірну стінку, складаються з активного і пасивного тиску, привантаження на
його поверхні та тиску води. Для забезпечення стійкості стінки вона повинна
мати достатню власну вагу. Економія матеріалу досягається раціональним
конструюванням стінки.
Підпірну стінку розраховують як
плоску систему. При розрахунку розглядають ділянку стінки довжиною 1 м.
Навантаження, які діють на стінку та на поверхню ґрунту за стінкою, приводять до
ділянки стінки довжиною 1 м.
Стійкість конструкцій проти
перекидання розраховують за формулою 1.1.
, (1.1)
де Мі - момент
перекидаючих сил відносно осі можливого повороту (перекидання) конструкції,
який проходить через крайні точки спирання;- коефіцієнт умов роботи, що
дорівнює для конструкцій на нескельних ґрунтах 0,8;
- коефіцієнт
надійності за призначенням, який при розрахунках у стадії постійної
експлуатації береться рівним 1,1 і у стадії будівництва - 1,0;
Мz - момент утримуючих
сил відносно осі можливого повороту конструкції
До перекидаючих сил слід віднести
силу активного ґрунту, тиск від навантаження на зовнішній поверхні ґрунту та
від ґрунтової води у засипці. Ці сили прикладені до задньої поверхні (грані)
стінки. Решта сил є утримуючими. Стійкість конструкції проти зсуву розраховують
за формулою 1.2.
, (1.2)
де
-
зсувна сила, що дорівнює сумі проекцій утримуючих сил на напрям можливого
зсуву.
До зсувних сил слід віднести ті, що
й до перекидаючих. Так, для масивної стінки (див. рисунок 1.1, а) розрахунок на
стійкість проти перекидання повинен виконуватись відносно осі, що проходить
через точку А, та перпендикулярній до площі креслення, а розрахунок на
стійкість проти зсуву - відносно переміщення стінки вліво при зсуву підошви
фундаменту АВ по ґрунту.
Із нерівностей (1.1) та (1.2)
випливає, що конструкції на нескельних ґрунтах, які призначені для постійної
експлуатації, повинні мати запас на стійкість проти перекидання та зсуву по
основі не менше:
.
1.2
Визначення тисків на стінку
Для визначення перекидаючого моменту
та зсуваючи сил попередньо повинен бути визначений боковий тиск на стінку з
боку ґрунтової засипки (активний тиск).
При розрахунку підпірної стінки
набережної найбільший вплив на стінку виникає, коли на поверхні ґрунтової
«засипки» знаходиться тимчасове навантаження у вигляді транспортних засобів,
ґрунт засипки зволожений і вода у засипці знаходиться вище від рівня води у
річці (рисунок 1.2).
Оскільки реальний рівень води (при
раптовому спаді води у річці або надходженні води у засипку через аварії
водопровідних магістралей) передбачити важко, то вважають, що рівень ґрунтової
води у річці (див. рисунок 1.2).
Рисунок 1.2 Тиск на підпірну стінку
набережної: 1 - підпірна стінка; 2 - обріз фундаменту стінки; 3 - підошва
фундаменту стінки; 4 - ґрунт засипки; 5 - річка
Тиск на стінку з боку набережної
складається з горизонтального тиску ґрунтової засипки; горизонтального тиску,
зумовленого дією тимчасового навантаження від проїжджаючих по набережній
автомобілів і горизонтального тиску ґрунтової води. Розглянемо докладніше
визначення цих тисків.
Під дією ґрунтової засипки, яка
прагне зсунути та повернути стінку від ґрунту, стінка сприймає з боку засипки
тиск, який називається активним. Активний тиск ґрунту визначають на основі
гіпотези Кулона про плоску поверхню зсуву, яка проходить через нижнє ребро
задньої грані підпірної стінки (рисунок 1.3).
При визначенні тиску ґрунтової
засипки на стінку часто використовують два спрощених допущення, які йдуть у
запас міцності: 1 - нехтують питомим зчепленням ґрунту (тобто беруть С=0),
вважаючи його незв’язним; 2 - вважають задню грань стінки гладкою.
У разі незначного зсуву стінки
ґрунту отримує поперечне розширення і в ньому настає гранична рівновага на
зсув, яка характеризується умовою Кулона, вираженою через головні напруги:
або
, (1.3)
Якщо зчеплення відсутнє, то
, (1.4)
де
- головні
напруги у ґрунті;
- кут
внутрішнього тертя ґрунту, град.
Рисунок 1.3 Схема розрахунку тиску
від власної ваги ґрунту засипки на підпірну стінку: 1 - підпірна стінка; 2 -
площина зсуву утримуючої призми обрушення при активному тиску; 3 - площина
зсуву при пасивному тиску; 4 - передня грань стінки; 5 - задня грань підпірної
стінки
Оскільки вертикальна грань стінки
вважається гладкою, вертикальна площина на контакті ґрунту із стінкою є однією
з трьох головних площин. Тому найменша головна напруга у ґрунті
спрямлена
горизонтально (див. рисунок 1.3); найбільша
-
вертикально (проміжна
- перпендикулярно
до площі креслення), тобто
Вертикальна напруга
у
ґрунті засипки від дії його власної ваги лінійно збільшується з глибиною від
поверхні ґрунту:
, (1.5)
де
- щільність
ґрунту; g - прискорення вільного падіння; z - глибина точки, в якій
визначається напруга, від поверхні засипки.
Якщо підставити (1.5) у
(1.4), дістанемо горизонтальну напругу у ґрунті, розміщеному за задньою гранню
стінки:
(1.6)
Ця напруга у ґрунті дорівнює
горизонтальному тиску ґрунту на задню вертикальну грань підпірної стінки (див.
рисунок 1.3), який досягає найбільшого значення p
біля нижнього ребра задньої грані стінки (на глибині z=h):
(1.7)
При проектуванні підпірних
стін додатково вводиться коефіцієнт надійності від навантаження
, з урахуванням якого
, (1.8)
де
Рівнодіюча
горизонтального
активного тиску від власної ваги ґрунту на вертикальну задню грань стінки
прикладена в центрі ваги трикутної епюри тиску (див. рисунок 1.3), яка дорівнює
площі епюри і визначається (з розрахунку на одиницю довжини стінки) за формулою
1.9.
, (1.9)
де p
знаходять за формулою 1.8
Вплив тимчасового навантаження від
автомобілів враховують, замінюючи їх еквівалентним вертикальним навантаженням,
рівномірно розміщеним за шириною і довжиною дороги з інтенсивністю
(рисунок
1.4).
Рухоме навантаження від транспортних
засобів на автомобільній дорозі розміщують безпосередньо за задньою гранню (фактичною
або фіктивною) стіни, впритул до цієї грані.
Рисунок 1.4 Схема розрахунку тиску
ґрунту засипки на підпірну стінку від тимчасового навантаження на поверхню
засипки
Для спрощення можна вважати, що
виникла вимушена зупинка колони автомобілів. Довжина автомобілів Д, ширина Ш,
причому за шириною дороги відстань З між кузовами сусідніх автомобілів дорівнює
0,5м, а відстань між сусідніми автомобілями уздовж дороги дорівнює довжині
автомобіля. Тоді один автомобіль з вантажем припадає на відстань (Ш+З) за
шириною дороги і на відстані за довжиною, тобто інтенсивність еквівалентного
рівномірно розподіленого вертикального навантаження
(1.10)
Значення
для деяких поширених автомобілів наведені у таблиці 1.1.
Таблиця
1.1
Параметри вантажних автомобілів
|
Марка автомобіля
|
Довжина Д, м
|
Ширина Ш, м
|
Маса з вантажем mв,
т
|
|
ЗІЛ-133-Г2
|
9,00
|
2,50
|
17,2
|
|
ЗІЛ-133-ГЯ
|
9,04
|
2,50
|
17,8
|
|
КамАЗ-53212
|
8,53
|
2,50
|
18,4
|
|
МАЗ-5335
|
7,25
|
2,50
|
15,0
|
|
МАЗ-53352
|
8,53
|
2,50
|
16,0
|
|
КрАЗ-257БЛ
|
9,64
|
2,65
|
22,5
|
|
КрАЗ-260
|
9,03
|
2,72
|
22,0
|
Вертикальне рівномірно розподілене
навантаження з інтенсивністю
викликає у ґрунті
засипки вертикальну нормальну напругу
на
будь-якій глибині
від поверхні
засипки. Тому з урахуванням формули (1.4) горизонтальний тиск на стінку
від
тимчасового навантаження за висотою стінки не змінюється
і
становить
, (1.11)
де коефіцієнт надійності за
навантаженням до тимчасового автомобільного рівномірно розподіленого
навантаження
.
Рівнодіюча горизонтального тиску від
тимчасового рівномірно розподіленого навантаження на вертикальну задню грань
стінки прикладена у центрі ваги прямокутної епюри тиску (див.рисунок 1.4),
дорівнює площі цієї епюри і визначається (з розрахунку на одиницю довжини
стінки) за формулою 1.12.
, (1.12)
де pв знаходиться за
формулою (1.11).
Оскільки вважається, що в засипці на
рівні h1, від підошви фундаменту стінки знаходиться ґрунтова вода
(див. рисунок 1.2), то слід врахувати її вплив на горизонтальний тиск, який
виявляється у такому:
а) вода чинить виштовхуючу дію на
частинки ґрунту (якщо ґрунт повністю водонасичений), що рівнозначне зменшенню
ваги ґрунтових частинок, а, отже, й зменшенню ваги ґрунту і його
горизонтального тиску на стінку;
б) вода, що заповнює пори ґрунту,
створює гідростатичний тиск, який збільшується лінійно з глибиною від
горизонтальної поверхні води;
в) при водонасиченні вологість
ґрунту збільшується, що впливає на кут внутрішнього тертя ґрунтуφ.
Об’єм частинок, які знаходяться в
одиниці об’єму ґрунту,
,
(ρd,
ρs
- щільність відповідно скелету і частинок ґрунту). Тому маса води, витісненої
частинками, які знаходиться в одиниці об’єму ґрунту, розміщеного нижче від
рівня ґрунтових вод, становить
(ρw
- щільність води), а на одиницю об’єм ґрунту, за законом Архімеда, діє
виштовхуюча сила -
, (знак «-»
відповідає напрямку вверх, тобто зменшенню ваги ґрунту завдяки виштовхуючій
силі).
На глибині h1 від рівня
ґрунтових вод (див. рис. 1.2) поправка до вертикальної напруги від ваги ґрунту,
враховуючи виштовхуючу дію води:
(1.13)
Відповідна поправка до
горизонтального активного тиску ґрунту засипки на стінку біля нижнього ребра
стінки з урахуванням формул (1.4),
(1.6),
(1.7)
, (1.14)
з коефіцієнтом надійності від
навантаження -
, (1.15)
де
Тепер візьмемо до уваги
гідростатичний тиск води, яка знаходиться у ґрунтовій засипці. Цей тиск лінійно
збільшується за глибиною від рівня ґрунтових вод (РГВ) і за законом Паскаля є
однаковим у всіх напрямках. Тому на глибині h1 від РГВ поправка як
до вертикального, так і до горизонтального тиску однакова:
, (1.16)
Вплив вологості на коефіцієнт
внутрішнього тертя залежить від типу ґрунту: величина
із
збільшенням вологості для пісків збільшується, досягає максимуму, а потім
зменшується; для глинистих ґрунтів із збільшенням вологості
зменшується.
Якщо міра вологості
(відношення
об’єму води до загального об’єму пор) ґрунту над РГВ перевищує 0,8<Sr<1,
має приблизно такий самий кут внутрішнього тертя, тобто зменшенням
у ґрунті
нижче РГВ можна знехтувати.
Таким чином, сумарний тиск на
задню грань стінки, зумовлений наносом ґрунтової води у засипці, з урахуванням
(1.15) і (1.16) визначається за формулою:
,
(1.17)
Рівнодіюча тиску, зумовленого
присутністю ґрунтової води у засипці, на вертикальну задню грань прикладена в
центрі ваги трикутної епюри (рисунок 1.5), дорівнює площі цієї епюри і
визначається (з розрахунку на одиницю довжини стінки) за формулою:
,
(1.18)
Рисунок 1.5 Схема визначення тиску
на підпірну стінку, зумовленого присутністю води у засипці
Якщо задня грань стінки нахилена у
напрямку від насипу або фундамент має виступ, розглядають тиск на фіктивну
вертикальну грань (див. рисунок 1.5).
Тиск на стінку з боку річки
складається з гідростатичного тиску води і пасивного тиску ґрунту (рисунок
1.6).
Рисунок 1.6 Схема визначення тиску
на підпірну стінку з боку річки
Гідростатичний тиск води лінійно
збільшується з глибиною від рівня поверхні води у річці і на глибині h2
від цього рівня:
(1.19)
Рівновага горизонтального тиску води
прикладена у центрі ваги трикутної епюри тиску (див.рис.6) і визначається за
формулою.
(1.20)
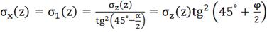
Якщо активний тиск ґрунту
реалізується при переміщенні стінки від ґрунту, то пасивний - при переміщенні
стіни на ґрунт.
Пасивний тиск ґрунту на передню
грань підпірної стінки виникає внаслідок опору, який чинить ґрунт з боку річки
при невеликому переміщені стінки у напрямку річки. У цьому випадку горизонтальна
напруга у ґрунті, яка виникає при переміщенні на нього стінки (див. рисунок
1.3), є найбільшої головною
, а вертикальна
напруга від власної ваги ґрунту за передньою гранню стінки - найменшою головною
.
Тоді з умови граничної рівноваги за
законом Кулона (див. формулу 1.4) впливає, що горизонтальна напруга у ґрунті за
передньою гранню стінки:
(1.21)
Вертикальна напруга від власної ваги
ґрунту лінійно збільшується з глибиною і з урахуванням виштовхуючої сили води
становить:
(1.22)
Підставивши формулу(1.22)
в формулу(1.21), отримаємо
горизонтальну напругу в ґрунті, що розміщений за передньою гранню стінки:
(1.23)
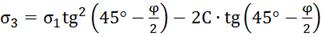
Отже, нижнього ребра передньої грані
стінки при z=h3 пасивний тиск ґрунту на стінку становить
, (1.24)
де рисочки над параметрами ґрунту
відповідають ґрунту, розміщеному з боку річки.
Рівнодіюча горизонтального пасивного
тиску ґрунту прикладена в центрі ваги трикутної епюри трикутної епюри тиску
(див. рисунок 1.6) визначається за формулою:
(1.25)
1.3 Конструктивні вимоги
Товщина підпірної стінки за її
верхньою гранню повинна бути не менш ніж 0,4 м, якщо стінка з бетону, і не менш
ніж 0,6 м, якщо вона з кам’яної або бутобетонної кладки.
До фундаменту товщина стінки
збільшується і на рівні обрізу фундаменту звичайно становить не менше
(0,3...0,4) H/H - висота стінки.
Обріз фундаменту (див. рис. 2)
повинен покриватися водою на глибину не менше ніж 0,5 м, а підошва фундаменту
повинна бути закладена на глибину не менше ніж 1м в ґрунт основи.
.4 Розрахункові характеристики
ґрунтів
Вважатимемо, що засипка
спороджується із місцевого ґрунту, тип якого відомий, тому що можуть бути
встановлені в лабораторії вологості на межі текучості та пластичності цього
ґрунту.
У розрахунках тиску на підпірну
стінку беруть участь такі характеристики ґрунту засипки:
Щільність часток ґрунту
формула
(1.17);
Щільність ґрунту - формула
(1.8);
Щільність скелета ґрунту
- формула
(1.17);
Кут внутрішнього тертя ґрунту
- формули
(1.8), (1.11), (1.17).
Щільність часток ґрунту
коливається в досить вузьких межах і може бути вибрана за даними таблиці 1.2.
Таблиця
1.2
Щільність часток ґрунту
|
Ґрунт
|
Щільність часток ґрунту ,
г/см3
|
|
Діапазон
|
Середня
|
|
Пісок
|
2,65-2,67
|
2,66
|
|
Супісок
|
2,68-2,72
|
2,70
|
|
Суглинок
|
2,69-2,73
|
2,71
|
|
Глина
|
2,71-2,76
|
2,74
|
Щільність ґрунту і скелета
ґрунту засипки не можуть бути визначені в натурі до проектування підпірної
стінки набережної, оскільки засипку роблять після спорудження підпірної стінки.
Тому значення
і
повинні бути
розраховані.
При визначенні
слід
врахувати, що ґрунт засипки підпірної стінки набережної одночасно є ґрунтом
земляного полотна автомобільної дороги (див. рисунок 1.4). Тому можна
скористатися нормативними значеннями коефіцієнта ущільнення ґрунту земляного
полотна і формулою (1.26).
,
(1.26)
Де Ky -
коефіцієнт ущільнення ґрунту;
- максимальна
щільність скелета ґрунту при стандартному ущільненні.
Найменше значення Ку
нормується залежно від дорожньо-кліматичної зони, типу дорожнього одягу та
глибини розміщення шару від поверхні покриття. У середньому для оцінки
ґрунту
засипки можна взяти Ку = 0,95.
Максимальна щільність скелета
ґрунту при стандартному ущільненні визначається за формулою (1.27).
,
(1.27)
де
- оптимальна
вологість стандартного ущільнення, долі одиниці.
За прийнятими у нашій країні
параметрами стандартного ущільнення, оптимальна вологість.
, (1.28)
де
-
коефіцієнт, який береться для супісків 0,7, суглинків легких - 0,6, суглинків
важких - 0,55, глин - 0,5;
- межа текучості.
Таким чином, щільність
скелету ґрунту засипки можна визначити за формулою (1.26)
з урахуванням формул(1.27),
(1.28).
Щільність ґрунту можна тепер
знайти за формулою
, (1.29)
де w - вологість ґрунту, долі
одиниці.
Вологість ґрунту засипки w
також не може бути визначена у натурі до проектування підпірної стінки. Але
можна вважати, що в ґрунті вище від рівня ґрунтових вод доля заповнених водою,
тобто міра вологості ґрунту
- не перевищує 0,84, оскільки цьому
значенню відповідає створення системи повітряних бульбашок, не зв’язаних між
собою і з атмосферним повітрям. Тоді з формули для міри вологості не мерзлого
ґрунту.
, (1.30)
При
маємо формулу для визначення найбільшої вологості грунту засипки.
,
(1.31)
де e -
коефіцієнт щільності ґрунту, що зв’язаний із щільністю скелета залежністю.
(1.32)
З урахування формули(1.32)
для оцінки вологості трифазного ґрунту засипки маємо вираз
(1.33)
Таким чином, визначивши вологість з
допомогою (1.33), можна знайти
щільність ґрунту за формулою (1.20).
Механічні характеристики ґрунтів, у
тому числі кут внутрішнього тертя, при відсутності можливості проведення
лабораторних випробувань визначають, користуючись присутніми кореляційними
зв’язками між їх механічними та фізичними властивостями. У таблицях 1.3, 1.4
наведено нормативні значення механічних характеристик кількох ґрунтів
осадочного походження, які отримані шляхом статичної обробки результатів
випробувань ґрунтів. Щоб знайти кут внутрішнього тертя для піщаних ґрунтів,
досить знайти за формулою (1.32) коефіцієнт шпаруватості, а для
пилувато-глинистих ще й показник консистенції.
(1.34)
де W - вологість ґрунту, яка уже
знайдена за формулою (1.33).
Таким шляхом можуть бути встановлені
необхідні значення характеристик
для
ґрунту засипки.
Аналогічні характеристики
присутні
при розрахунку тиску на підпірну стінку з боку річки для ґрунту річкового русла
(формула 1.24). Однак
щільність
і вологість
цього
грунту в умовах природного залягання бути встановлені шляхом добору зразків
грунту непорушеного залягання. Оскільки
і
відомі,
щільність скелета становить:
(1.35)
коефіцієнт шпаруватості
, (1.36)
де
можна
визначити за даними табл.2.
Потім з таблиць 1.3, 1.4
визначається кут внутрішнього тертя ґрунту річкового русла
.
Таблиця
1.3
Нормативні значення питомого
зчеплення
(кПа), кута
внутрішнього тертя
(град.) і модуля
деформації Е (МПа) піщаних ґрунтів четвертинних відкладень
|
Піщані ґрунти
|
Позначення
|
Характеристики ґрунтів при коефіцієнті
шаруватості е, що дорівнює
|
|
|
0,45
|
0,55
|
0,65
|
0,75
|
|
Гравелисті та крупні
|
|
2
|
1
|
-
|
-
|
|
|
43
|
40
|
38
|
-
|
|
|
50
|
40
|
30
|
-
|
|
Середньої крупності
|
|
3
|
2
|
1
|
-
|
|
|
40
|
38
|
35
|
-
|
|
|
50
|
40
|
30
|
-
|
|
Мілкі
|
|
6
|
4
|
2
|
-
|
|
|
38
|
36
|
32
|
28
|
|
|
48
|
38
|
28
|
18
|
|
Пилуваті
|
|
8
|
6
|
4
|
2
|
|
|
36
|
34
|
30
|
26
|
|
|
39
|
28
|
18
|
11
|
Примітка. Характеристики піщаних
ґрунтів належать до кварцових пісків із зернами різної округленості незалежно
від міри вологості ґрунтів
.
підпірний стійка тиск
ґрунт вода
Таблиця
1.4
Нормативні значення питомого
зчеплення
(кПа) і кута
внутрішнього тертя
(град)
пилувато-глинистих нелісових ґрунтів четвертинних відкладень
|
Ґрунти і межі нормативних значень їх показника
консистенції
|
Позначення
|
Характеристики ґрунтів при коефіцієнті
шаруватості е, що дорівнює
|
|
|
0,45
|
0,55
|
0,65
|
0,75
|
0,85
|
0,95
|
1,05
|
|
Супіски
|
|
|
|
|
21
|
17
|
15
|
13
|
-
|
-
|
-
|
|
|
30
|
29
|
27
|
24
|
-
|
-
|
-
|
|
|
|
19
|
15
|
13
|
11
|
9
|
-
|
-
|
|
|
28
|
26
|
24
|
21
|
18
|
-
|
-
|
|
Суглинки
|
|
|

|
47
|
37
|
31
|
25
|
22
|
19
|
-
|
|
|
26
|
25
|
24
|
23
|
22
|
20
|
-
|
|
|
|
39
|
34
|
28
|
23
|
18
|
15
|
-
|
|
|
24
|
23
|
22
|
21
|
19
|
17
|
-
|
|
|
|
-
|
-
|
25
|
20
|
16
|
14
|
12
|
|
|
-
|
-
|
19
|
18
|
16
|
14
|
12
|
|
Глини
|
|
|
|
|
-
|
81
|
68
|
54
|
47
|
41
|
36
|
|
|
-
|
21
|
20
|
19
|
18
|
16
|
14
|
|
|
|
-
|
-
|
57
|
50
|
43
|
37
|
32
|
|
|
-
|
-
|
18
|
17
|
16
|
14
|
11
|
|
|
|
-
|
-
|
45
|
41
|
36
|
33
|
29
|
|
|
-
|
-
|
15
|
14
|
12
|
10
|
7
|
Примітка. Характеристики
пилувато-глинистих ґрунтів, які мають міру вологості
.
.5 Інші розрахункові характеристики
При встановленні стійкості проти
перекидання власна вага стінки є утримуючою силою. Для її визначення можуть
бути використані значення щільності різних матеріалів стінки (таблиці 1.5).
Таблиця
1.5
Щільність матеріалів стінки
|
Матеріал
|
Щільність ,
т/м3
|
|
Цементний бетон на щебені з природного каменя
|
2,4
|
|
Кладка із тесаного або колотого каменя:
|
|
|
граніту
|
2,7
|
|
піщаника
|
2,4
|
|
вапняку
|
2,2
|
|
Кладка бутова або бутобетон на:
|
|
|
на граніті чи базальті
|
2,4
|
|
на піщанику або кварциті
|
2,2
|
|
на вапняку
|
2,0
|
|
Кладка цегляна
|
1,8
|
Вага ґрунту між фіктивною
вертикальною і фактичною задньою граннями стінки враховується як вага стінки.
При визначенні утримуючих
навантажень від власної ваги стінки і ґрунту коефіцієнт надійності від навантаження
беруть
При визначенні стійкості
стінки проти зсуву по основі - ґрунту річкового русла - утримуючою є сила тертя
підошви фундаменту стінки об основу, що пропорційна сумі вертикальних сил від
власної ваги. Коефіцієнт тертя матеріалу стінки об ґрунт беруть 0,25 для глин,
0,3 - для суглинків та супісків, і 0,4 для пісків.
2.
РОЗРАХУНОК ПІДПІРНОЇ СТІНКИ
.1 Завдання
Розрахувати на стійкість
підпірну стінку, зображену на рисунку 2.1.
.2 Вихідні
дані
. Виписка з бурового журналу
та відомості випробування ґрунтів.
Ґрунт засипки:
· Межа текучості
-
21,80%;
· Межа пластичності
-
16,10%.
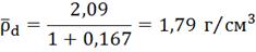
Ґрунт річкового русла:
Щільність ґрунту
2,09
г/см3, вологість ґрунту
16,7%.
У сухому стані - сипучий, у вологому
- не пластичний.
Таблиця
2.1
Результати вираження зернового
складу польовим методом
|
Склад ґрунтових фракцій, %
|
|
гравійної
|
піщаної
|
пилуватої
|
глинистої
|
|
11
|
82
|
5
|
2
|
Таблиця
2.2
Результати ситового аналізу
|
Розмір частинок, мм
|
10-5
|
5-2
|
2-1
|
1-0,5
|
0,5-0,25
|
|
|
Масова доля, %
|
4,0
|
7,3
|
16,0
|
26,6
|
15,4
|
30,7
|
2. Навантаження на автомобільній
дорозі - колона вантажних автомобілів КрАЗ-260.
Параметри стінки:
§ Матеріал - кладка
цегляна;
§ Висота(H)
- 7,0 м;
§ Ширина по поверхні (b)-
0,7 м;
§ Ширина по нижній
частині(d)
- 2,1 м;
§ Ширина фундаменту(B)
- 3,2 м;
§ Глибина закладання
підошви фундаменту відносно дна річки(H3)
- 3,4 м;
§ Висота фундаменту(a)
- 3,0 м;
§ Відстань від верху
стінки до рівня води у річці(l)
- 1,4 м.
.3 Визначення характеристик ґрунтів
Ґрунт засипки
Число пластичності ґрунту засипки:
%
Відповідно класифікації
пилувато-глинистих ґрунтів ґрунт засипки є супіском.
За даними таблиці 1.2, щільність
часток ґрунту засипки:
Визначимо щільність скелета ґрунту
засипки. Спочатку розрахуємо приблизно оптимальну вологість за формулою(1.28):
а потім - максимальну щільність
скелета ґрунту при стандартному ущільненні за формулою (1.27):
Щільність скелета ґрунту засипки за
формулою (1.26):
Вологість трифазного ґрунту у
засипці за формулою(1.33):
Щільність ґрунту засипки за формулою
(1.29):
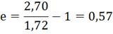
Коефіцієнт шпаруватості ґрунту
засипки за формулою (1.32):
Показник консистенції ґрунту при
вологості 18% за формулою (1.34):
Кут внутрішнього тертя ґрунту
засипки за даними таблиці 1.4:
Отже, розрахункові характеристики
ґрунту засипки:
Ґрунт річкового русла
За візуальними ознаками (сипучість у
сухому і не пластичність у вологому станах), а також у зв’язку з відсутності
вмісту часток глинистої фракції даний ґрунт належить до підгрупи піщаних. За
результатами ситового аналізу, підсумовуючи наявні частини, знаходимо:
понад 0,5 мм: 4,0+7,3+16,0+26,6=53,9%
- більше 50% - пісок крупний ;
понад 0,25 мм:
4,0+7,3+16,0+26,6+15,4=69,3% - більше 50% - пісок середній.
Щільність часток ґрунту річкового
русла за даними таблиці 1.2:
Щільність ґрунту та його вологість:
Щільність скелета ґрунту за формулою
(1.35):
Коефіцієнт шпаруватості ґрунту за
формулою (1.36):
Для піску крупного при цьому
значенні коефіцієнта шпаруватості за даними таблиці 1.3 знаходимо кут
внутрішнього тертя:
Отже, розрахункові характеристики
ґрунту річкового русла:
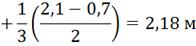
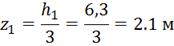
2.4 Визначення тиску на стінку
Із вихідних даних виписуємо
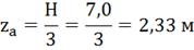
геометричні параметри і зображуємо стінку (рисунок 2.2): H=7,0
м; b=0,7 м; d=2,1
м; B=3,2 м; a=3,0
м; l=1,4 м.
Оскільки грані стінки похилені, то
активний тиск ґрунту встановлюємо на фіктивні вертикальні грані (переривчасті
лінії на схемі) висотою H=7,0
м, а вага ґрунту в об’ємі призми між фіктивною і фактичними гранями
враховується як вага стінки.
Рівень ґрунтових вод у засипці
беремо посередині між верхом стінки і рівнем води у річці. Тому
Рівень води у річці відносно підошви
фундаменту стінки:
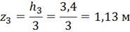
Висота передньої грані h3=3,4
м.
Автомобільне навантаження розміщуємо
безпосередньо за фіктивною гранню. Інтенсивність еквівалентного рівномірно
розподіленого вертикального навантаження на поверхні засипки для колони
автомобілів КрАЗ-260 знаходимо за формулою (1.10):
Визначаємо розрахункові сили тиску
на підпірну стінку, розглядаючи її ділянку довжиною 1 м. Рівнодіюча
горизонтального активного тиску від власної ваги ґрунту засипки на фіктивну
вертикальну задню грань з урахуванням формул (1.8) і (1.9):
Рівнодіюча Ea
прикладена від підошви фундаменту стінки на висоті
тому що епюра активного тиску
трикутна (див. рис. 1.3).
Рівнодіюча горизонтального тиску від
тимчасового автомобільного навантаження, яка замінена на рівномірно
розподілену, визначається за формулами (1.11), (1.12):
Рівнодіюча EBприкладена
посередині фіктивної вертикальної задньої грані, тому що епюра тиску від
тимчасового навантаження прямокутна (див. рис. 1.4). Тому від підошви
фундаменту EB
прикладена на висоті:
Рівнодіюча тиску, зумовленого
наявністю ґрунтової води у засипці визначається за формулами (1.17), (1.18).
Оскільки епюра цього тиску трикутна
(див. рис. 1.5), рівнодіюча знаходиться на висоті:
Визначаємо рівнодіючу
гідростатичного тиску води на передню грань стінки за формулами (1.19), (1.20).
Рівнодіюча E2
(див. рис. 1.6) прикладена на рівні:
Визначаємо рівнодіючу пасивного
відтиску ґрунту, викликаного по передній грані висотою h3=3,4м.
За формулами (1.24), (1,25).
Рівнодіюча E3прикладена
на рівні (див. рис. 1.6):
Рівнодіючі тисків Ea,
EB,E1,E2,E3зображена
на рисунку 2.2.
2.5 Визначення ваги частин стінки
Визначаємо вагу частин стінки (рис.
2.3), причому до них будемо відносити також ґрунт між фіктивною і фактичною
гранями стінки.
Оскільки матеріал стінки - кладка
цегляна, то за даними таблиці 1.5 беремо щільність матеріалу
,
а коефіцієнт надійності по навантаженню для сили власної ваги, яка є
утримуючою,
.
Розрахункова вага одиниці довжини:
- двох трикутних частин стінки,
які знаходяться вище від обрізу фундаменту:
- прямокутної частини стінки, яка
знаходиться вище від обрізу фундаменту:
- фундаменту:
- трикутної частини ґрунту між
фіктивною та фактичними гранями:
(
- щільність ґрунту засипки),
- прямокутної частини ґрунту між
фіктивною та фактичною гранями:
Плечі сил
відносно
точки А (див. рис. 2.3):
2.6 Оцінка стійкості стінки
Перевіряємо стійкість стінки проти
перекидання відносно осі, яка проходить через крайню точку опори (точка А
на рис. 2.2, 2.3) і перпендикулярної у поперечному перерізі стінки.
До перекидаючих відносимо сили
які
прагнуть повернути стінку відносно точки А проти годинникової стрілки
(тобто від ґрунту засипки). Момент перекидаючих сил:
Така розмірність моменту пов’язана з
тим, що розглядається ділянка стіни довжиною 1 м.
Утримуючими від перекидання є сили,
які прагнуть повернути стінку за годинниковою стрілкою (тобто до утримуючого
стінкою ґрунту засипки). Момент утримуючих сил відносно точки А:
Момент утримуючих сил більший, ніж
перекидаючих, отже умова стійкості проти перекидання (нерівність (1.1)), яка
передбачає, крім того, запас стійкості, виконується.
Перевіряємо стійкість стінки проти
зсуву по підошві фундаменту стінки. До зміщувальних належать сили
які
прагнуть змістити стінку від засипки.
Зміщувальна сила:
Утримуючими від зміщення (сковзання)
підошви фундаменту стінки по ґрунту річкового русла є сила тертя, пропорційна
вазі частин стінки, та сили
які прикладені
протилежно напрямку можливого зміщення. Коефіцієнт тертя матеріалу фундаменту
стінки по піщаному ґрунту річкового русла береться
.
Утримуюча сила:
Оскільки утримуюча сила більша за
зміщувальну, то це означає, що стійкість проти зміщування забезпечена.
Висновок: Стійкість стінки з даними
розмірами проти перекидання та проти зміщування за основою забезпечена.
СПИСОК ВИКОРИСТАНОЇ ЛІТЕРАТУРИ
1. Строительные
нормы и правила. Мосты и трубы. СНиП 2.05.03-84.М.: Госстрой СРСР, 1983. - 200
с.
2. Гибшман
М.Е. Проектирование транспортных сооружения. - М.: Транспорт, 1980. - 391 с.
3. Технические
указания по проектированию подпорных стен для транспортного строительства. ВБН
167-70. - М.: Минтрансстрой СРСР, Оргтрансстрой, 1970. - 36 с.
4. Руководство
по проектированию подпорных стен и стен подвалов для промышленного и
гражданского строительства. - М.: Стройиздат, 1984. - 115 с.
5. Основы,
фундаменты и подземные сооружения: Справочник проектировщика / Н.И. Горбунов -
Посадов, В.А. Ильичев, В.И. Крутов и др. - М.: Стройиздат, 1985. - 480 с.
6. Строительные
нормы и правила. Автомобильные дороги. СНиП 2.05.02-85. - М.: Госстрой СРСР,
1986. - 56 с.
7. Строительные
нормы и правила. Основы строений и сооружений. СНиП 2.02.01-83. - М.: Госстрой
СРСР, 1985. - 40 с.
8. Робоча
програма та методичні вказівки до вивчення дисципліни «Дорожнє ґрунтознавство
та механіка ґрунтів» для студентів спеціальностей 2910 і 2911/ Укладачі Б.С.
Радовский. - К.: КАДІ, 1989. - 56 с.
9. Фізичні
властивості ґрунтів: Методичні вказівки до проведення лабораторних робіт
«Ґрунтознавство і механіка ґрунтів» з дисципліни «Інженерна геологія, дорожнє
ґрунтознавство та механіка ґрунтів» /Укладачі: Б.С. Радовский, С.Я. Походіна. -
К.: КАДІ, 1989. - 59 с.