Организация ассортиментной политики на предприятии (на примере ООО 'СпортРитейлПроект' магазин 'Nike')
Реферат
Ассортиментный перечень, рынок, ассортимент,
номенклатура товаров, рентабельность, спрос
Объект исследования - ООО «СпортРитейлПроект».
Предмет исследования - роль ассортиментной
политики в коммерческой деятельности торговой организации.
Цель работы: рассмотрение процесса организации
ассортиментной политики и путей ее совершенствования.
Предметом исследования является формирование
ассортиментов товаров в розничной торговой организации.
Целью исследования является поиск и обоснование
путей организации и совершенствования ассортиментной политики на исследуемом
объекте.
Методы исследования: анализ учебных пособий,
изучение и обобщение отечественной практики.
Исследования и разработки: раскрыты
теоретические процессы формирования номенклатуры товаров, определена оценка
эффективности торговли.
Элементы научной новизны: рассмотрены пути
возможного дальнейшего развития магазина «NIKE».
Область возможного практического применения:
результаты, полученные в курсовой работе, могут быть использованы при изучении
курса «Коммерческая деятельность».
Содержание
Введение
. Теоретические основы формирования
ассортимента товаров
.1 Понятие товарного ассортимента и
факторы, влияющие на него
.2 Принципы и этапы формирования
ассортимента товаров
.3 Оптимизация ассортимента и
управление товарными запасами
. Анализ ассортиментной политики на
примере магазина «NIKE»
.1 Организационно-экономическая
характеристика организации
.2 Формирование ассортимента товаров
в ООО «СпортРитейлПроект»
.3 Анализ показателей ассортимента
продукции
. Рекомендации по улучшению
ассортиментной политики в магазине «NIKE»
Заключение
Список использованной литературы
Приложение А. План магазина
Приложение Б. Ассортиментный
перечень
Приложение В. Положение о порядке
разработки и соблюдения ассортиментного перечня товаров
Приложение Г Анкета покупателя
Введение
Торговля занимает важное место в экономике
страны и является одной из наиболее динамично развивающихся отраслей. Розничная
торговля, будучи завершающим этапом многосложного процесса товародвижения,
выявляет необходимые по цене и потребностям товары производственно-технического
назначения и широкого потребления, т.е. является индикатором спроса. Именно
розничная торговля позволяет не только динамично реагировать на изменения в
рыночной среде, но и повышать качество жизни общества.
Одним из важнейших условий наиболее полного
удовлетворения спроса населения, ускорения реализации товаров и повышения
эффективности труда в торговле является проведение правильной ассортиментной
политики.
Развитие конкуренции и возрастание
неопределенной внешней среды по отношению к предприятию, обуславливает
актуальность стратегического подхода к управлению ассортиментом. Ассортиментная
политика организации - система мер, направленная на формирование
конкурентоспособной модели, обеспечивающей устойчивые позиции предприятия на
рынке и получение необходимой прибыли.
Такая политика является центральным элементом
коммерческой стратегии предприятия на рынке. Главной ее целью в современных
условиях хозяйствования является определение набора товаров, наиболее
предпочтительных для обслуживаемого сегмента рынка.
Целью курсовой работы является разработка
рекомендаций по совершенствованию ассортиментной политики в соответствии с
стратегическими целями торговой организации.
Для достижения поставленной цели
предусматривается решить следующие задачи:
овладеть теоретическими знаниями в области
ассортиментной политики;
определить особенности формирования ассортимента
в розничных торговых организациях;
проанализировать ассортиментную политику на
основе организации ООО «СпортРитейлПроект»;
внести рекомендации по повышению эффективности
ассортиментной политики организации.
Объектом исследования является ООО
«СпортРитейлПроект» магазин «Nike».
Методика исследования основана на использовании
следующих методов исследования: аналитический, расчетно-логический и
контент-анализа различных источников научной и специальной литературы,
статистической отчетности и документации.
ассортимент запас экономический
1. Теоретические основы формирования ассортимента
товаров
.1 Понятие товарного ассортимента и факторы,
влияющие на него
Формирование ассортимента товаров является одним
из основных направлений коммерческой деятельности, так как его результаты
непосредственным образом влияют на экономическую эффективность работы
организаций торговли, удовлетворение потребностей населения и имидж
организации.
Товар - сложное, многоаспектное понятие,
включающее совокупность многих свойств, главными среди которых являются
потребительские свойства, то есть способность товара удовлетворять потребности
того, кто им владеет.
Потребительская ценность товара выступает как
совокупность свойств, связанных непосредственно как с самим товаром, так и
сопутствующими услугами. Эти свойства, так или иначе, предстают перед покупателем
и определяют его намерение купить товар и стать постоянным клиентом данного
производителя. Одной из важнейших характеристик товаров является ассортимент,
которым определяется принципиальное различие между товарами разных видов и
наименований.
В условиях стабильно развивающейся конкуренции
преимуществом организации торговли является постоянное наличие в них
устойчивого, широкого ассортимента максимально соответствующего спросу
покупателей. Ассортимент товаров мобилен и постоянно проходит структурные изменения.
Это обусловлено, прежде всего, развитием производства, изменением
покупательского спроса, благосостоянием населения и культурно-бытовыми
условиями.
Ассортимент товаров - это набор товаров,
объединенных по какому-либо одному или совокупности признаков.
Формирование ассортимента товаров - сложный,
развивающийся во времени процесс, осуществляемый на всех стадиях
товародвижения. В первую очередь он направлен на удовлетворение спроса
обслуживаемого контингента покупателей и обеспечение высокой прибыльности
торговой деятельности. Формирование ассортимента - это процесс подбора групп,
видов и разновидностей товара.
С целью изучения порядка формирования
ассортимента необходимо его классифицировать:
а) Местонахождение товара:
промышленный
торговый
Промышленный ассортимент - перечень товаров,
выпускаемых изготовителем исходя из производственных возможностей.
Торговый ассортимент - перечень товаров,
формируемый организацией торговли с учетом ее специализации, потребительского
спроса и материально-технической базы. В отличие от промышленного ассортимента,
торговый ассортимент включает, как правило, товары разных изготовителей,
исключением являются фирменные магазины. Торговому ассортименту присуще такое
понятие как сбалансированность. Сбалансированным является такой ассортимент,
сочетающий в себе виды и сбалансированность товаров в группе и разные группы в
торговом предложении. Торговый ассортимент формируется на основе спроса и
предназначения целевых рынков товаров.
б) Широта охвата товаров:
простой
сложный
групповой
развернутый
сопутствующий
смешанный
Широта охвата товаров, входящих в ассортимент,
определяется количеством групп, подгрупп, видов, разновидностей, марок, типов и
наименований.
Простой ассортимент - это набор товаров,
представленных небольшим количеством групп, видов и наименований, которые
удовлетворяют ограниченное число потребителей. Как правило, простой ассортимент
представлен такими видами, которые классифицируются не более чем по 3
признакам.
Сложный ассортимент - это набор товаров,
представленных значительным количеством групп, видов и наименований товаров,
которые удовлетворяют разнообразные потребности в товарах и классифицируются
более чем по 3 признакам. Таким образом, сложный ассортимент - это ассортимент
товаров, имеющих нужную классификацию по различным признакам. Например, класс
товаров - ткани, группа товаров - шелковые, вид товаров - платьевые,
разновидность - по рисунку, по отделке и т.д.
Развернутый ассортимент - это набор товаров,
которые включают значительное количество подгрупп, видов, разновидностей,
наименований, относящихся к группе однородных, но отличающихся индивидуальными
признаками.
Сопутствующий ассортимент - это набор товаров,
которые выполняют вспомогательные функции и не относятся к основным товарам для
данной организации.
Смешанный ассортимент - это набор товаров разных
классов, групп, видов, разновидностей, наименований, отличающихся большим
разнообразием функционального назначения.
в) Глубина охвата товаров:
видовой
марочный
Видовой ассортимент - это набор однородных
товаров, объединенных общностью признаков и удовлетворяющих аналогичны
потребности. Наиболее часто в качестве общего признака выступает функциональное
или социальное назначение.
Марочный ассортимент товаров - это набор товаров
одного вида марочных наименований или относящихся к группе марочных. Такие
товары нацелены на удовлетворение социальных и психологических потребностей,
нежели физических. Например, брендовые товары.
г) Степень удовлетворения потребностей:
рациональный
оптимальный
Рациональные и оптимальные ассортименты
характеризуют его качественную сторону.
Рациональный ассортимент - это набор товаров
наиболее полно удовлетворяющих реально обоснованные потребности, которые
обеспечивают максимальное качество жизни при определенном развитии науки, техники
и технологии. Формирование рационального ассортимента требует учета большого
количества факторов и показателей, многие из которых непосредственно влияют на
ассортиментную политику.
Оптимальный ассортимент - это набор товаров,
удовлетворяющих реальные потребности с максимально полезным эффектом для
потребителя при минимальных затратах на их проектирование, разработку
производства и доведения до потребителя. Товары оптимального ассортимента
отличаются повышенной конкурентоспособностью.
Процесс становления товарного ассортимента в
магазине должен исходить из формы и размеров торговой площади, технологической
оснащенности, условий товароснабжения, численности обслуживаемого населения,
транспортных условий и т.д.
Изначально при формировании ассортимента необходимо
определить:
общую стратегию магазина
концепцию магазина
позиционирование магазина
Далее нужно разработать товарный классификатор и
ассортиментную матрицу, определить роли категории товара. Затем выбрать
стратегию ценообразования. После этого требуется постоянный анализ продаж и
прибыли с последующей корректировкой ценовой и ассортиментной политики.
Ассортиментная политика торговой организации -
система мер, направленных на формирование конкурентоспособной модели,
обеспечивающей устойчивые позиции организации на рынке и получение прибыли.
Современная ассортиментная политика предполагает
решение трех взаимосвязанных задач:
удовлетворение спроса конкретных групп
потребителей,
гибкое реагирование на требование рынка,
обеспечение финансовой устойчивости торговой
организации.
Элементы ассортиментной политики:
сегментация рынка и выбор целевых рыночных
сегментов;
изучение требований потребителей к товарам,
методам продажи, сервису, услугам;
определение ассортиментов товаров наиболее
предпочтительного для потребителей и обеспечивающего экономическую
эффективность деятельности организации;
определение оптимального соотношения набора
товаров находящихся на разных стадиях своих жизненных циклов;
разработка стратегии реализации товаров.
Факторы, влияющие на формирование ассортимента
товаров организации, можно разделить на следующие группы:
общие, т.е. не зависящие от деятельности
конкретной организации и к которым она вынуждена приспосабливаться, не имея
возможности влиять на них. К ним относятся социальные (состав населения,
уровень культуры, социальное обеспечение, характер трудовой деятельности),
экономические (производство товаров, уровень доходов населения, развитие
экономики района, цена на товары и др.), демографические (половозрастной состав
населения, количество и структура семей, профессиональный состав населения и
др.), национально-бытовые (национальный состав населения, традиции, обычаи,
нравы), природно-климатические (географическое положение, климат, природные
ресурсы);
специфические, т.е. отражающие конкретные
условия работы организации. Эта группа включает такие факторы, как
специализацию организации, тип и мощность организации, присутствие конкурентов
в зоне деятельности организации, материально-техническую базу, обслуживаемый
контингент покупателей, спрос покупателей, транспортные связи и др.
Среди множества факторов, влияющих на
формирование ассортимента товаров, особое место занимают покупательский спрос и
производство товаров народного потребления.
Покупательский спрос и формирование ассортимента
товаров в организации в своем развитии взаимосвязаны. Изменение в спросе
населения должны сопровождаться изменениями в формировании ассортимента
товаров. При наличии неудовлетворенного спроса следует определять регулярность
и массовость запросов данных товаров и оперативно организовывать поставку их в
магазин. Включение в ассортимент организации товаров, спрос на которые
находится на стадии формирования, зависит от приверженности потребителей к
модным направлениям, способности менять свои привычки и вкусы.
Формирование ассортимента должно быть
согласовано с изменением денежных потоков, вызванных изменением ассортимента.
Расширение ассортимента неизбежно приводит к увеличению расходов. При этом
положительные финансовые результаты от изменения в ассортименте могут иметь
место только в будущем.
Ассортиментный профиль магазина определяется его
типом и характеризуется товарами, предназначенными для реализации в данном
магазине.
Рациональное построение ассортимента товаров в
магазине предусматривает комплексное удовлетворение спроса покупателей в рамках
избранного сегмента потребительского рынка. Осуществление этого принципа
предполагает формирование ассортимента товаров с учетом комплексности их
потребления в рамках определённых потребительских комплексов или микрокомплексов.
.2 Принципы и этапы формирования ассортимента
товаров
Ассортимент любого магазина можно
охарактеризовать по ряду показателей. Это позволит осуществлять процесс
управления торговым ассортиментом на научной основе, т.е. планировать,
организовывать его формирование, контролировать и регулировать ассортимент,
совершенствовать мотивацию продавцов и стимулирование продаж.
Торговой организации, прежде всего, необходимо
оценить принципиальную возможность реализации своего товара на потребительском
рынке: выявить качественные характеристики товара и его конкурентоспособность,
соответствие требованиям покупателей.
Стратегия реализации товара включает:
· определение
возможных объемов и цен реализации;
· ожидаемый
уровень конкуренции;
· выбор
методов продажи;
· подбор
средств стимулирования продаж;
· определение
перечня услуг и сервисного обслуживания;
· срок
окупаемости затрат.
Реализация товаров и услуг является показателем
эффективности хозяйственно-финансовой деятельности и конкурентоспособности организации.
Каждое предприятие должно иметь мобильную и в высшей степени адаптивную
ассортиментную политику, позволяющую оптимально управлять всеми имеющимися в
его распоряжении ресурсами.
Решения, принимаемые торговой организацией, в
области формирования ассортимента:
1. Сокращение (сужение) ассортимента, т.е.
изменение в ассортименте в связи с уменьшением его широты.
Причины: падение спроса, недостаточное
предложение со стороны поставщиков, убыточность.
2. Расширение ассортимента.
Причины: изменение стратегии торговой
организации, расширение материально-технической базы, изменение в спросе,
появление новых товаров и т.д.
3. Уменьшение или увеличение длины товарной
группы (изменение глубины). Чем больше товарных наименований в одной группе, тем
товар глубже.
4. Обновление ассортимента: повышается
показатель обновляемости. При этом формируется ассортимент, который способен
удовлетворить изменчивые потребности за счет новых товаров.
Причина: замена морально устаревших товаров
товарами лучшего качества.
5. Достижение гармоничности ассортимента.
Изменение ассортимента связано со степенью близости отдельных групп товаров с
точки зрения их назначения или других признаков. Гармоничный ассортимент для
покупателя связан с большим удобством пользования и поиска товаров, а для
продавца - с упрощением в управлении ассортиментом. В то же время отсутствие
гармоничности не является недостатком для торговой организации, если
предложенные товары пользуются активным спросом.
6. Стабилизация: высокая устойчивость и низкая
степень обновляемости. Используется в течении периода на товары повседневного
спроса.
7. Совершенствование структуры производства.
В рамках оптимизации ассортимента принимаются
меры в результате которых стратегии ассортимента в большей мере будут
соответствовать структуре и содержанию спроса и задаче максимизации прибыли
предприятия.
В процессе подбора для магазина необходимого
ассортимента товаров следует руководствоваться рядом общих принципов:
- обеспечение ассортимента соответствующего
характеру спроса, предъявляемого избранными для обслуживания контингентами
покупателей, так как успешное проникновение и закрепление торгового предприятия
на потребительском рынке связано с поиском и полнотой освоения той или иной
ниши.
- обеспечение достаточной широты и глубины. Под
широтой ассортимента понимают число товарных групп и подгрупп, входящих в
формируемый ассортиментный перечень, а под глубиной - число разновидностей
товаров по отдельным потребительским или качественным признакам (фасонам,
моделям, размерам и другим показателям).
-обеспечение устойчивости ассортимента.
Устойчивый ассортимент товаров в магазине обусловливает сокращение затрат
времени покупателей на поиск товаров, позволяет стандартизировать все важнейшие
торгово-технологические процессы и операции, организовывать их выполнение с
минимальными затратами трудовых, материальных и финансовых ресурсов.
- обеспечение условий рентабельной деятельности.
При построении ассортимента необходимо учитывать издержкоемкость и налогоемкость
реализации отдельных групп товаров, возможные размеры торговых надбавок,
оборачиваемость запасов и другие экономические факторы.
Процесс формирования ассортимента товаров в
магазине можно разделить на 3 этапа:
1. Устанавливается групповой ассортимент товара,
т.е. определяется ассортиментный профиль магазина. Эта работа проводится с
учетом действующих принципов размещения сети и обосновывается маркетинговыми
исследованиями целевого рынка. С учетом этого определяется место и роль
магазина в общей системе торгового обслуживания.
2. Установление количественного соотношения
отдельных групп товаров в магазине.
3. Определяется внутригрупповой ассортимент.
Осуществляется подбор конкретных разновидностей товара каждой группы по
конкретным признакам. Учитывают влияние различных факторов на построение
ассортимента товара в каждой конкретной розничной торговой организации.
С учетом отмеченных подходов и этапов может быть
сформирована ассортиментная модель, отвечающая современной концепции управления
ассортимента в организациях торговли. Схематично эта работа представлена на
рисунке 1.
Рисунок 1 - Ассортиментная модель торговой
организации: А - основная группа товаров; Б - сопутствующие товары; В -
стратегические товары; Г - товары, стимулирующие продажу основной группы; Д -
товары на стадии спада продаж. Примечание - Источник: [10, с.105].
Современная ассортиментная политика предприятий
требует включения в ассортиментную модель товаров, находящихся на разных стадиях
жизненного цикла в определенном соотношении. Такой подход позволяет снизить
коммерческий риск, связанный с неполучением или недополучением прибыли от
реализации товаров, находящихся на начальных стадиях жизненного цикла, а также
наличием в ассортименте зрелых и стареющих товаров в долгосрочном периоде
времени и таким образом гарантировать предприятию относительно устойчивые
объемы продаж и стабильное положение на рынке.
В соответствии с концепцией жизненного цикла
товар проходит ряд стадий:
· первая
стадия - внедрение, т.е. появление товара на рынке и первые продажи;
· вторая
стадия - рост. На этой стадии происходит увеличение реализации до желаемого
уровня;
· третья
стадия - зрелость, при которой достигается предельный уровень продаж;
· четвертая
стадия - спад. Данная стадия характеризуется уменьшением объема реализации,
связанным с вытеснением товара более конкурентоспособным.
1.3 Оптимизация ассортимента и управление
товарными запасами
Ассортимент товаров, предлагаемых организациями
розничной торговли, непостоянен, находится в развитии, в результате воздействия
на него многочисленных факторов. В связи с этим управление ассортиментом
является одним из важнейших направлений коммерческой деятельности и самым
сложным процессом, от которого зависят результаты деятельности организации. Оно
связано с постоянными изменениями на потребительском рынке и необходимостью
укрепления позиции организации в конкурентном соперничестве.
Инструментом с помощью которого осуществляется
регулирование продукции на складе является ассортиментный перечень.
Ассортиментный перечень - это перечень товаров,
которые должны быть в продаже в торговом объекте, в котором осуществляется
розничная торговля, постоянно или в течение периода, предназначенного для их
продажи. В ассортиментный перечень включен список товаров в соответствии с
установленной широтой ассортимента.
Ассортиментный перечень необходимо разрабатывать
на год и его разработка включает 3 этапа:
1. Определяется перечень ассортиментных позиций,
при этом учитывается номенклатура товара, прошедшая через организацию в
отчетном году и номенклатура, указывающая спецификацию к договорам на
предстоящем году.
2. Рассчитывается число разновидностей каждого
товара по основному признаку, т.е. определяется их количество по каждой позиции
товаров, поступивших за год.
3. Определяется количество разновидностей
каждого товара для неснижаемого ассортимента. При этом включается такое их
количество, которое постоянно должно быть в запасах и которое в любое время
может быть предложено покупателю.
Ассортиментный перечень разрабатывается в
Республике Беларусь в соответствии с Положением о порядке разработки и
утверждения ассортиментного перечня товаров, ассортиментного перечня продукции
продукции общественного питания от 22.07.2014. [ПРИЛОЖЕНИЕ В]
С помощью ассортиментного перечня торговая
организация может осуществлять систематический контроль над полнотой и
стабильностью товаров на складе и своевременному предоставлению их покупателям
своего целевого рынка. Контроль над соблюдением соответствия фактического
товара товару, предусмотренному ассортиментным перечнем осуществляют
товароведы-коммерсанты. Для этого используются карточки учета или программное
обеспечение.
Управление ассортиментом товаров строится на
тщательном экономическом анализе хозяйственных процессов, исследование рынка и
рыночной конъектуры, влияющих на получение торговым предприятием прибыли. Такой
анализ должен проводиться постоянно, так как рынок подвержен колебаниям и
изменениям, и необходимо адекватно и своевременно на них реагировать. Основные
параметры, которые необходимо анализировать в ходе управления ассортиментом
товаров, это ситуация на рынке, соотношение между спросом и предложением,
инфляция, емкость рынка, деятельность конкурирующих фирм, их ассортимент,
поведение потребителей, уровень цен, сезонные колебания и т.д.
Управление ассортиментом основывается на том,
что спрос покупателей и номенклатура товаров находятся в тесной взаимосвязи:
изменения в спросе сопровождаются изменениями в ассортименте товаров и
отражаются на его сбалансированности. Поэтому целью управления ассортиментом
является обеспечение устойчивого и своевременного предложения
высококачественных товаров покупателям и эффективная работа организации.
Для эффективного управления ассортиментом
товаров в организациях торговли необходимо:
· наличие
информационно-компьютерной системы, обеспечивающей коммерческих работников
необходимой информацией для принятия своевременных управленческих решений;
· систематическое
изучение спроса покупателей и конъюнктуры торговли для оперативного внесения
коррективов в ассортимент реализуемых товаров;
· определение
потребности в товарах;
· выявление
потенциальных поставщиков товаров номенклатуры организации и возможность
установления с ними взаимовыгодных хозяйственных связей по поставкам;
· создание
оптимальных товарных запасов, способствующих устойчивой и ритмичной реализации
товаров.
Управление ассортиментом товаров в организациях
торговли представляет собой систему, в которую входят следующие подсистемы:
планирование, организация, контроль. Схематично это представлено на рисунке 2.
Рисунок 2 - Система управления ассортиментом
товаров
Примечание - Источник: [10, с.118].
Все подсистемы управления ассортиментом товаров
взаимосвязаны. Любое воздействие на отдельный элемент системы управления
ассортиментом будет влиять на всю систему в целом.
Система управления ассортиментом товаров
народного потребления носит цикличный характер, в котором повторяются следующие
элементы:
· корректировка
целей и задач;
· сбор,
обработка и анализ информации;
· разработка
и оценка вариантов решения;
· принятие
решения и контроль за его выполнением.
Процесс реализации товаров также требует
постоянного наличия на предприятиях торговли товарных запасов. Формирование
необходимых размеров товарных запасов позволяет торговому предприятию
обеспечивать устойчивость ассортимента товаров, осуществлять определенную
ценовую политику, повышать уровень удовлетворения спроса покупателей. Все это
требует поддержания на каждом предприятии оптимального уровня и достаточной широты
ассортиментных позиций товарных запасов.
Чем выше оборачиваемость запасов, тем меньше
вероятность убытков из-за морального износа и порчи товаров и выше ликвидность
организации. Кроме того больше высвобождается денег на приобретение новых
товаров, совершенствование и расширение деятельности торговой организации.
Высокоэффективная торговля возможна лишь при условии продуманной и системной
организации сбыта, управления запасами на основе научных методов,
компьютеризации учета, анализа, прогноза, обработки всей документации,
позволяющей не только оптимизировать товарные запасы, снизить расходы по их
хранению, но и ускорить обслуживание покупателей.
Для того чтобы торговое предприятие могло
работать бесперебойно и обеспечивать постоянное наличие товаров, необходимо
правильно организовать управление товарными запасами. Эффективное управление
товарными запасами обеспечивает не только наличие товаров в магазинах, но и
устойчивость ассортимента, позволяет осуществлять выбранную компанией ценовую
политику, в полной мере удовлетворяя запросы потребителей.
Отсутствие в продаже нужных товаров, их узкий,
нестабильный или несоответствующий запросам потребителей ассортимент порождают
неудовлетворенный спрос, что отрицательно сказывается на эффективности работы организации.
Сбалансированным является ассортимент, сочетающий различные виды и
разновидности товаров в группе и разные группы товаров в торговой организации.
На процесс формирования товарных запасов
оказывают влияние следующие факторы: • объем дневной реализации товаров; •
скорость доставки; • наличие и состояние складских помещений, холодильного
оборудования; • физико-химические свойства товаров.
Управление в отношении ассортимента и объема
подлежащих хранению товаров включает выбор наиболее экономичной системы
пополнения запасов. При этом могут использоваться следующие системы:
· с
фиксированным размером заказа. В этом случае количество товаров для пополнения
запасов является постоянной величиной, которую определяет покупатель или
поставщик (в виде нормы отгрузки). Интервалы поставки будут зависеть от
расходования запаса товаров в организации торговли;
· с
фиксированным интервалом между заказами (один раз в день, неделю, месяц и
т.д.). Решение о количестве заказываемых товаров принимается в зависимости от
степени расходования запасов в предыдущем периоде;
· система
«точно в срок». По ней товары заказываются заранее на длительный период с
фиксированным количеством в партии и доставляются поставщиком по установленному
графику (молоко, хлебобулочные изделия и др.). Запасы в организации торговли не
создаются (или создаются на несколько дней реализации);
· без
фиксированной периодичности заказа. Период между заказами и размер партии
товара в этой системе не устанавливаются. Заказ на доставку товаров определяет
оптовый покупатель исходя из необходимости пополнения товарных запасов;
· с
двумя контрольными уровнями запасов без фиксированной периодичности завоза. При
этой системе заказ предъявляется поставщику, когда уровень запаса меньше
необходимого и достиг так называемой точки заказа. Период между заказами и
размер заказа в этой системе не фиксируются.
При любой системе пополнения запасов необходимо
решить, сколько товара заказать. Оптимальный размер заказа предусматривает
количество товара, при котором стоимость получения и хранения единицы товара
является (с учетом всех факторов) минимальной.
Для определения заказа устанавливают и фиксируют
в карточках учета или памяти компьютера величину максимального запаса для
каждого товара. Наличный запас плюс ожидаемый приход по предыдущему заказу
должны быть достаточными для удовлетворения спроса покупателей до следующего
пополнения запаса.
Требуемый запас = Количество товара, реализуемое
за период контроля + Количество товара, реализуемое за период поставки +
Страховой запас.
Отсюда следует:
Размер заказа = Требуемый запас - (Наличный
запас + Ожидаемый приход).
Контроль над состоянием товарных запасов должен
проводиться по каждому наименованию товаров, так как запасы нельзя представить
как единую товарную массу. Организовать такой контроль над товарными запасами
без современной компьютерной системы невозможно из-за огромного количества
товаров, входящих в ассортимент организации. От результатов проведения контроля
над состоянием товарных запасов зависит своевременное устранение дефицита или
затоваривания.
Инструмент, с помощью которого осуществляется
регулирование продукции на складе, является ассортиментный перечень
2. Анализ ассортиментной политики на примере
магазина «NIKE»
.1 Организационно-экономическая характеристика
организации
Общество с ограниченной ответственностью
«СпортРитейлПроект» создано и осуществляет свою деятельность в соответствии с
Уставом и действующим законодательством.
Месторасположение предприятия: г. Минск, ул.
Кирова, дом 8, корпус 4, помещение 25.
ООО «СпортРитейлПроект» является юридическим
лицом, имеет в собственности обособленное имущество, несет самостоятельную
ответственность по своим обязательствам, может от своего имени приобретать и
осуществлять имущественные и личные неимущественные права, исполнять
обязанности, быть истцом и ответчиком в суде.
Общество является юридическим лицом, имеет
самостоятельный баланс, расчетный, валютный и иные счета в учреждениях банков.
Общество имеет печать со своим наименованием, печати специального назначения,
информационные штампы, товарный знак и иные реквизиты.
Общество приобретает права юридического лица с
момента государственной регистрации в установленном законом порядке. Общество
несет ответственность по своим обязательствам любым принадлежащим ему
имуществом. Общество не несет ответственности по обязательствам Учредителя, за
исключением случаев, предусмотренных законодательством.
В обществе создаются следующие органы управления
и контроля:
) высший орган управления - Общее
собрание участников;
) единоличный исполнительный орган -
Директор;
) орган ревизий и контроля - Ревизор.
В Обществе может создаваться
контрольно-ревизионная служба.
Основной целью деятельности Общества является
получение прибыли для удовлетворения социальных и экономических интересов
участников.
Общество преследует коммерческие и иные
социально-значимые цели, а именно:
- стремится повысить уровень
благосостояния своих участников и работников;
- стремится к дальнейшему повышению
уровня ведения торговли в Республике Беларусь.
Основной вид деятельности организации -
розничная торговля.
Реализация продукции осуществляется через
магазин «NIKE»,
расположенный по адресу: Минский район, пересечение Логойского тракта и МКАД,
Выставочный блок Главного выставочного павильона, магазин 75.
Режим работы:
Понедельник - воскресенье с 10.00 до 22.00 (по
режиму торгового центра).
Метод торговли: самообслуживание.
Характер разделения труда внутри организации и
координация взаимодействия в направлении общих целей отражается в
организационной структуре предприятия. Организационная структура характеризует
внутреннее строение организации и представляет собой совокупность
взаимосвязанных звеньев, выполняющих закрепленные за ними функциями. Наибольшее
распространение в торговле получила линейно-функциональная структура
управления. В линейно-функциональной структуре управления линейные связи
обеспечивают единство целей, а функциональные - специализацию управленческой
деятельности, что позволяет решать сложные задачи.
Для принятия и реализации управленческих решений
в ООО «СпортРитейлПроект» создана линейно-функциональная структура управления.
Организационная структура предприятия разработана с учетом численного и
квалифицированного состава работников, а также характера выполняемых работ.
Система управления персоналом направлена на
решение задач:
оперативное удовлетворение потребностей магазина
в трудовых ресурсах необходимой специальности и уровня квалификации;
формирование и обеспечение комплекса
организационных, экономических, социально-психологических усилий для
надлежащего исполнения сотрудниками функций и повышения эффективности труда;
обеспечение связи между управлением персоналом и
другими направлениями менеджмента.
Основным направлением деятельности магазина
является наиболее полное удовлетворение потребностей покупателей, которое
осуществляется путем расширения ассортимента реализуемых товаров, повышения
культуры торговли, увеличения товарооборота за счёт введения новых товарных
групп.
Проведем анализ основных результатов
деятельности предприятия за 2013-2014 гг. на основании отчета о
финансово-хозяйственной деятельности организации в таблице 2.1.
Таблица 2.1 - Основные экономические показатели
хозяйственной деятельности ООО «СпортРитейлПроект» за 2013 - 2014 гг.
|
Показатели
|
2013
г.
|
2014
г.
|
Отклонение
|
Темп
роста, %
|
|
Выручка
от реализации продукции, работ, услуг (за минусом НДС, акцизов и др.):
|
|
|
|
|
|
в
действ. ценах, млн.руб.
|
9193,3
|
12096,4
|
2
903,1
|
131,6
|
|
в
сопост. ценах, млн. руб.
|
-
|
10410,0
|
1
216,7
|
113,2
|
|
Себестоимость
проданных товаров, млн.руб.
|
6674,3
|
8624,7
|
1950,4
|
129,2
|
|
в
% к выручке от реализации продукции, работ, услуг, %
|
72,6
|
71,3
|
-1,3
|
-
|
|
Валовая
прибыль, млн. руб.
|
2519,0
|
3471,7
|
952,7
|
137,8
|
|
в
% к выручке от реализации продукции, работ, услуг, %
|
27,4
|
28,7
|
1,3
|
-
|
|
Расходы
на реализацию, млн. руб.
|
1351,4
|
1766,1
|
414,7
|
130,7
|
|
в
% к выручке от реализации продукции, работ, услуг, %
|
14,7
|
14,6
|
-0,1
|
-
|
|
Прибыль
от реализации, млн.бел.руб.
|
707,9
|
1125,0
|
417,1
|
158,9
|
|
в
% к выручке от реализации продукции, работ, услуг, %
|
7,7
|
9,3
|
1,6
|
-
|
|
Чистая
прибыль, млн.руб.
|
535,2
|
880,8
|
345,6
|
164,6
|
|
в
% к выручке от реализации продукции, работ, услуг, %
|
5,8
|
7,3
|
1,5
|
-
|
|
Рентабельность,
%
|
8,0
|
10,2
|
2,2
|
127,4
|
|
Численность
работников, чел
|
16
|
17
|
1
|
106,3
|
|
Торговая
площадь, м2
|
213,0
|
213,0
|
0,0
|
100,0
|
|
Выручка
от реализации продукции, работ, услуг на 1 м2 торговой площади, млн. руб./м2
|
43,2
|
56,8
|
13,6
|
131,6
|
|
Выручка
от реализации продукции, работ, услуг на 1 работника, млн. руб.
|
574,6
|
711,6
|
137,0
|
123,8
|
Примечание - Источник: собственная разработка
Товарооборот в 2014 г. по сравнению с 2013 г. в
действующих ценах возрос на 31,6% (за минусом НДС, акцизов и др.). Однако на
развитие товарооборота значительное влияние оказало повышение продажных цен.
Индекс цен на покупные товары в 2014 году к 2013 составил 1,162. Фактический
товарооборот отчетного года в сопоставимых ценах равен 10410 млн.рублей (за
минусом НДС, акцизов и др.). Таким образом, за счет ценового фактора
товарооборот предприятия увеличился на 1686,4 млн. руб., что составляет 18,3% к
товарообороту прошлого года. Рост товарооборота повлиял на уровень валового
дохода предприятия который также возрос.
Прибыль магазина за 2013 год составила 535,2
млн.рублей, за 2014 год - 880,8 млн.рублей, т.е. увеличилась на 64,6%.
Увеличение
данного показателя является положительной тенденцией в развитии организации,
т.к. прибыль выступает источником финансовых ресурсов, является источником
материального стимулирования трудового коллектива, выступает источником
образования капитала, а также от ее величины зависит размер фондов предприятия.
Чтобы измерить влияние ценового фактора на
прибыль, следует изменение товарооборота за счет цен умножить на базисный
уровень прибыли от реализации и разделить на 100:
, (1)
где Тотч - товарооборот отчетного
года в действующих ценах;
Тс - товарооборот отчетного года в
сопоставимых ценах;
Рб - прибыль от реализации базисного
года в процентах к товарообороту.
Произведем расчеты:
) ((12096,4-10410,0)*9,3/100=156,8
млн.руб.
Таким образом, прирост прибыли от
реализации на 156,8 млн.руб. обусловлен ростом цен.
Прирост прибыли за счет увеличения
физического объема рассчитывается по следующей формуле.
, (2)
где Тс -
товарооборот отчетного года в сопоставимых ценах,
Тб - товарооборот базисного года,
Рб - прибыль от реализации базисного
года в процентах к товарообороту.
Произведем расчеты:
) (10410,0-9193,3)*9,3/100=113,2
млн.руб.
Таким образом, прирост прибыли от
реализации на 113,2 млн.руб. обусловлен ростом физического объема
товарооборота.
Однако для оценки эффективности
работы предприятия недостаточно использования показателя прибыли. Абсолютная
величина прибыли не позволяет судить о доходности и рентабельности предприятия.
Поэтому для оценки эффективности работы предприятия удобен показатель
рентабельности. Рентабельность - это относительный показатель, который
характеризует процентное отношение суммы прибыли к одному из показателей и
отражает взаимосвязь прибыли с другими показателями. Показатель рентабельности
товарооборота рассчитывается следующим образом

, (3)
где Пр -
прибыль данного года,
ВТ - валовой товарооборот данного
года.
Произведем расчеты:
) 535,2/9193,3*100=5,82%
) 880,8/12096,4*100=7,28%
Таким образом, в 2014
г. рентабельность
товарооборота составила 7,28 %, в 2013г. - 5,82 %, за 2013-2014 гг. данный
показатель увеличился на 25%, что является положительной тенденцией.
Также рентабельность можно
представить как отношение прибыли к валовому доходу:
, (4)
где Пр - прибыль данного года,
ВД - валовой доход данного года.
Произведя расчеты можно отметить,
что данный показатель в 2014 г. составил 25,4%, а в 2013 г. 21,2%, т.е. возрос
на 19,8%. Значения результатов свидетельствуют о повышении рентабельности
предприятия.
Увеличение товарооборота, а
соответственно валового дохода и прибыли, связаны с мероприятиями, которые
проводит руководство магазина по совершенствованию работы организации:
расширение ассортимента, введение новых видов продукции, усовершенствование
выкладки, улучшение культуры обслуживания и др. Однако увеличение данных
показателей связано также и с увеличением цен.
Метод торговли: самообслуживание, позволяет
ускорить операции по продаже товаров, увеличить пропускную способность,
расширить объем реализации товаров.
Функции обслуживающего персонала состоят в
консультировании покупателя, выкладки товаров, контроле за их сохранностью и
выполнение расчетных операций.
Общая площадь магазина «NIKE»
составляет 279,9 кв.м., в нее входит складская площадь 66,9 кв.м. и торговая
213 кв.м.
Торговый зал функционально разделен на:
зона узла расчета;
товары для мужчин;
товары для женщин;
инициативная зона.
Зональное деление позволяет не только эффективно
использовать торговую площадь магазина, организовывать движение покупательских
потоков, рационально размещать торговое оборудование, обеспечивать свободный
доступ к товару, но еще и рационально использовать визуальный мерчендайзинг.
[Приложение А]
Цель, которого заключается в создании связи с
потребителем при помощи интересных историй и презентаций продукта. История
начинается с товара. Магазины являются идеальным местом для того, чтобы рассказывать
истории об одежде, обуви и аксессуарах. Визуальный мерчендайзинг «оживляет» эти
истории для потребителей.
На исследуемом объекте имеется своя «фирменная»
технология обслуживания. Торговый зал имеет комбинированную планировку:
линейную и островную, оборудование располагается вдоль стен и в виде отдельных
островков. Этот вид планировки позволяет не только обеспечить свободный доступ
к товару, увеличить демонстрационную и эффективно использовать торговую
площадь.
Торговое оборудование, располагаемое в торговом
зале представлено в виде: пристенных панелей, стеллажей, кронштейнов, островных
конструкций, столов и т.д. Все конструкции сборно-разборные - это дает
возможность изменять не только выкладку и развеску товаров, но и менять
размещение продукции в целом на торговой площади. Факторами, влияющими на
размещение торгового оборудования, являются традиции, характер и
привлекательность внешнего вида товара, рентабельность, удобство работы для
торгового персонала и покупателей.
.2 Формирование ассортимента товаров в ООО
«СпортРитейлПроект»
Формирование ассортимента товаров - процесс
подбора и установления номенклатуры товаров, соответствующей спросу покупателей
и обеспечивающей высокую прибыльность предприятия. Важнейшим принципом
формирования ассортимента товаров является обеспечение его соответствия
характеру спроса населения, обслуживаемого клиентами предприятия. Оно должно
предусматривать комплексное удовлетворение спроса покупателей в рамках
избранного сегмента рынка. В связи с этим ассортимент товаров, предлагаемых
покупателям, должен обладать достаточной широтой и глубиной. При этом широта
ассортимента определяется числом товарных групп, подгрупп и наименований
товаров, включённых в номенклатуру, а глубина - числом разновидностей товаров.
Основной стратегией в ООО «СпортРитейлПроект» в
отношении потребителя выступает привлечение покупателей за счет расширения
ассортимента товаров, нацеленного на разные уровни доходов населения. Основой
проводимой ассортиментной политики является увеличение ассортимента реализуемых
товаров как в ширину (разнообразие товарных позиций), так и в глубину (рост
товарных разновидностей в пределах одной товарной группы).
Процесс формирования ассортимента товаров в ООО
«СпортРитейлПроект» осуществляется по следующим четырем этапам:
- определяется перечень основных групп и подгрупп
товаров, реализуемых в магазине;
- осуществляется распределение
отдельных групп и подгрупп товаров в разрезе потребительских микрокомплексов;
- определяется количество видов и
разновидностей товаров в рамках отдельных потребительских микрокомплексов;
- разрабатывается конкретный
ассортиментный перечень товаров для данного магазина, предлагаемый для
реализации обслуживаемым контингентам покупателей.
Ассортиментная политика - это определение набора
товарных групп, наиболее предпочтительного для успешной работы на рынке и
обеспечивающего экономическую эффективность деятельности предприятия.
Задачи ассортиментной политики ООО
«СпортРитейлПроект» включают:
- удовлетворение запросов потребителей;
- оптимальное использование знаний и
опыта предприятия;
- оптимизация финансовых результатов
предприятия - формирование ассортимента основывается на ожидаемой
рентабельности и величине прибыли;
Заключительным этапом формирования ассортимента
является разработка конкретного перечня товаров, реализуемых в магазине.
Основой для разработки конкретного ассортиментного перечня товаров в рамках
отдельных групп и определенного количества разновидностей являются материалы
изучения спроса на товары на данном региональном потребительском рынке и
результаты внутри группового анализа оборачиваемости товарных запасов.
В ассортиментный перечень включается часть
торгового ассортимента товаров, которые должны быть в продаже постоянно.
Исследование рынка на предприятии заключается в
сборе и анализе вторичной информации. За каждый месяц в магазине отслеживается
динамика продажи тех или иных товаров. На ее основе строится план закупки
следующей партии товара.
Сегментирование рынка - разбивка рынка на четкие
группы покупателей, для каждой из которых могут потребоваться отдельные товары.
Рынки состоят из покупателей, а покупатели
отличаются друг от друга по самым разным параметрам. Разными могут быть
потребности, ресурсы, географическое положение, покупательские отношения и
привычки. И любой из этих переменных можно воспользоваться в качестве основы
для сегментирования рынка.
При сегментировании спроса на рынке
потребительских услуг, а именно, продажи одежды, можно выделить следующие
критерии:
1) географическое положение - потенциальными
потребителями являются преимущественно жители города, проживающие в районе
местоположения магазина.
2) возраст - ассортимент одежды отдела
рассчитан в основном на 2 возрастные категории покупателей: подростков (14-17
лет) и мужчин и женщин (18-45 лет), но также покупателями могут быть также
мужчины и женщины старшего возраста.
) время года - так же влияет на
сегментацию рынка. В течение года меняется потребность в одежде. В период
осень-весна объем продаж примерно одинаков. В летнее время, в период отпусков
наплыв покупателей снижается, объем продаж падает.
) уровень дохода - средняя цена единицы
товара находится в пределах 1.500.000 бел.руб., соответственно и уровень дохода
покупателя, который может позволить приобрести себе этот товар будет средним
или высоким.
Итак, основная масса потребителей - жители
микрорайона Зеленый Луг в возрасте от 14 до 45 лет со средним уровнем дохода,
желающие приобрести спортивную одежду и обувь хорошего качества.
Выбор целевых сегментов.
Выбор целевых сегментов рынка - оценка и отбор
одного или нескольких сегментов рынка для выхода на них со своими товарами. Выбрав
целевые сегменты, организация должна решить, какую стратегию охвата рынка
избрать.
Магзин концентрирует все усилия на нуждах
потребителей в возрасте от 12 до 35 лет, осуществляет продажу одежды, которая
являются привлекательной данным категориям потребителей, т. е. обращается к
одному сегменту рынка.
Ценовая стратегия.
Ценовые стратегии на предприятии являются
наиболее оперативным приёмом из всего арсенала коммерческой деятельности. Цена
играет двойную роль: подобно рекламе она является инструментом стимулирования
спроса и одновременно представляет собой главный фактор рентабельности.
Поэтому при выборе ценовой стратегии необходимо
учитывать как внутренние ограничения, накладываемые издержками и
рентабельностью, так и внешние ограничения, определяемые покупательной
способностью рынка и ценой товаров-конкурентов.
Магазин придерживается ценовой стратегии
«следование за ценой конкурентов». Такая стратегия основана на установлении
цены, ориентированной на доминирующие, на рынке города цены. Эта стратегия
целесообразна для рынка города, так как на нем нет большой разницы между
ценами. Снижение цены может привести к потере прибыли и потребует обоснование
такому снижению, подтверждающее сохранение качества. Завышение цены может
привести к резкому падению объема продаж.
Ценовая тактика.
Для формирования оптимальных цен магазин
установил тактику «дифференцированных цен». В магазине есть товары, как по
высоким ценам, так и аналогичные товары по более низким ценам.
Внешнее окружение.
Рассмотрим влияние шести внешних STEEPV
факторов.
S) Социальные.
Уровень доходов, семейное положение, количество человек в семье, пол покупателя
оказывают сильное влияние.
Т) Технологические. Эти факторы оказывают
влияние. Усовершенствование технологий пошива одежды и обуви улучшают качество
продукции, но при этом повышают ее цену.
Е) Экономические. В связи с нестабильной
экономической ситуацией люди отказываются от большого числа покупок. Объем
продаж одежды снижается, но незначительно.
Е) Экологические. Одежда не является тем
товаром, который покупатель не захотел бы покупать из-за того, что он принесет
вред окружающей среде. И сам отдел не является объектом, загрязняющим
окружающую среду.
Но на уровень продаж влияет смена сезонов года.
В зависимости от сезона меняется ассортимент и объем продаж.
Р) Политические. Данные факторы влияют на работу
магазина посредством законодательства в сфере торговли и защиты прав
потребителей.
PV) Учет
влияния ключевых фигур. Так как магазин работает в сфере розничной торговли, то
ключевые фигуры влияния на него не оказывают.
Конкурентная среда.
Попробуем описать конкурентную среду с помощью
модели Майкла Портера.
) Магазин сильно зависит от покупателей. Если их
объединить в одну группу, то она обладает большой силой. Так как группа хорошо
информирована и если где-то появится товар и услуги лучше, то она перейдет туда
и соответственно прибыльность магазина резко упадет.
) Магазин зависит от поставщиков. С каждым
поступлением растет цена закупки товара, следовательно, повышаются цены продажи
товара.
) Магазин зависит от внутриотраслевой
конкуренции. Соперничество среди существующих конкурентов - магазинов с
аналогичным товаром, сводится к стремлению любыми силами улучшить свое
положение на рынке, завоевать потребителей рынка.
.3 Анализ показателей ассортимента продукции
Рассмотрим подробнее ассортиментную политику
магазина «Nike».
ООО «СпортРитейлПроект» реализует в магазине «Nike»
ассортимент в виде спортивной обуви и одежды, как для мужчин, так и для женщин,
так же осуществляется продажа аксессуаров.
Ассортимент любого магазина можно
охарактеризовать по ряду показателей. Это позволит осуществлять процесс
управления торговым ассортиментом на научной основе, т.е. планировать,
организовывать его формирование, контролировать и регулировать ассортимент,
совершенствовать мотивацию продавцов и стимулирование продаж.
Свойство ассортимента - это специфическая
особенность ассортимента, проявляющаяся при его формировании (глубина, полнота
и т.д.)
Ассортиментный перечень - это перечень товаров,
которые должны быть в продаже в торговом объекте, в котором осуществляется
розничная торговля, постоянно или в течение периода, предназначенного для их
продажи.
Ассортиментный перечень товаров магазина «Nike»
разрабатывается торговым отделом, утверждается Генеральным директором ООО
«СпортРитейлПроект» и согласовывается с начальником отдела торговли и услуг
Советского района. [Приложение Б]
Все показатели ассортимента можно разделить на
количественные и качественные. К количественным показателям относятся: широта,
глубина, полнота и структура, а к качественным - гармоничность, обновляемость и
устойчивость.
Рассмотрим эти показатели.
Широта ассортимента - количество групп и
подгрупп товаров, включенных в ассортимент магазина. По их удельному весу в
товарообороте и запасах различают ассортиментную структуру магазина.
Глубина ассортимента - количество видов и
разновидностей (наименований товаров) внутри групп и подгрупп в ассортименте
магазина. Глубоким ассортимент считается в том случае, если торговая
организация предлагает много разновидностей товара, обычно это крупные и
специализированные магазины.
В магазине «Nike»
с торговой площадью 213м2 широта ассортимента представлена следующими группами
товаров для мужчин и женщин: костюмы спортивные, куртки, брюки, джемпера,
майки, обувь, аксессуары. Глубину ассортимента данного магазина в соответствии
с ассортиментным перечнем определяет 32 разновидности мужских костюмов и 24
женских, 24 разновидности мужских курток и 15 женских, 24 разновидности мужских
брюк и 21 женских, 16 разновидностей мужских джемперов и 10 женских, 24
разновидности мужских спортивных маек и 21 женских, 28 разновидностей мужской
спортивной обуви и 28 женской, а также 8 разновидностей аксессуаров, которые
предусмотрены ассортиментным перечнем.
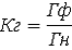
Коэффициент глубины рассчитывается как
соотношение фактического количества торговых марок одного вида и (или) их
модификаций, и (или) товарных артикулов к количеству, предусмотренному
ассортиментным перечнем.
(5)
где Гф - фактическое количество торговых марок
одного вида, их модификаций, товарных артикулов.
Гн - количество торговых марок одного вида, их
модификаций, товарных артикулов, предусмотренное ассортиментным перечнем.
Контроль за соблюдением ассортиментного перечня
осуществляется путем сопоставления фактически представленного ассортимента
товаров с ассортиментов товаров, предусмотренных ассортиментным перечнем.
Для контроля целесообразно использовать
коэффициент устойчивости ассортимента товаров, который характеризует меру
соответствия количества разновидностей товаров, имеющихся в продаже,
предусмотренному ассортиментному перечню:
, (6)
где А1,
…, Аn -
фактическое количество разновидностей товаров из предусмотренных ассортиментным
перечнем в момент проверки, ед.;
А - количество разновидностей
товаров по ассортиментному
перечню,ед.;
n -
количество проверок.
Для коэффициента устойчивости
максимальным значением является единица, если коэффициент устойчивости меньше,
то это говорит о несоответствии фактического наличия товаров, товарам,
представленным ассортиментным перечнем, такое положение вещей отрицательно
влияет на имидж торговой организации и порождает неудовлетворенный спрос.
Была проведена проверка соблюдения
ассортиментного перечня по всем группам товаров, которая представлена в таблице
2.2.
Таблица 2.2 - Результаты проверки соблюдения
ассортиментного перечня по группам товаров
|
Группа
товаров
|
Кол-во
разновидностей по ассортименту
|
Количество
моделей в момент проверки по датам
|
Куст.
|
Кглуб.
|
|
|
25.03
|
01.04
|
07.04
|
16.04
|
24.04
|
|
|
|
Костюмы
спортивные мужские
|
32
|
38
|
33
|
40
|
37
|
32
|
1
|
1,13
|
|
Костюмы
спортивные женские
|
24
|
29
|
24
|
31
|
26
|
24
|
1
|
1,12
|
|
Куртки
мужские
|
24
|
28
|
22
|
29
|
25
|
24
|
1
|
1,07
|
|
Куртки
женские
|
15
|
28
|
17
|
31
|
26
|
19
|
1
|
1,62
|
|
Брюки
мужские
|
24
|
25
|
27
|
28
|
26
|
24
|
1
|
1,09
|
|
Брюки
женские
|
21
|
28
|
24
|
25
|
21
|
25
|
1
|
1,17
|
|
Джемпера
мужские
|
16
|
32
|
17
|
24
|
18
|
21
|
1
|
1,40
|
|
Джемпера
женские
|
10
|
30
|
21
|
24
|
19
|
15
|
1
|
2,18
|
|
Майки
спортивные мужские
|
24
|
31
|
30
|
29
|
24
|
26
|
1
|
1,17
|
|
Майки
женские
|
21
|
33
|
22
|
29
|
24
|
21
|
1
|
1,23
|
|
Обувь
спортивная мужская
|
28
|
36
|
30
|
28
|
29
|
28
|
1
|
1,08
|
|
Обувь
спортивная женская
|
28
|
36
|
31
|
29
|
30
|
28
|
1
|
1,10
|
|
Сопутствующие
товары
|
8
|
25
|
19
|
17
|
19
|
11
|
1
|
2,28
|
Примечание - Источник: собственная разработка
По данным таблицы видно, что коэффициент
устойчивости ассортимента всегда равен 1, что является для него максимальным
значением. Это свидетельствует о полном соответствии фактического наличия
товаров ассортиментному перечню магазина. Коэффициент устойчивости
характеризует постоянное наличие товаров определенного вида.
В результате проверки можно сделать вывод о том,
что коэффициент глубины всех товаров выше единицы, что является не плохим
результатом и предоставляет покупателям возможность выбора. Особенно много
разновидностей представлено в группе сопутствующие товары и мужские джемпера,
что является естественным, так как эти товары пользуются наибольшим спросом среди
покупателей.
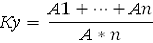
Полнота ассортимента - это число ассортиментных
позиций в каждой конкретной группе, способных удовлетворить одинаковые
потребности. Полнота ассортимента характеризуется количеством видов,
разновидностей и наименований товаров однородной группы или подгруппы. Полнота
ассортимента рассчитывается как соответствие фактического наличия товаров в
магазине утвержденному ассортиментному перечню.
Полнота ассортимента контролируется с помощью ее
коэффициента, который рассчитывается по формуле:

, (7)
где Рф - фактическое количество
разновидностей товаров в момент проверки, ед.;
Рн - количество разновидностей
товаров, предусмотренное ассортиментным перечнем, ед.;
В результате проверки коэффициент полноты
ассортимента принимает значения выше единицы, что говорит о превышении
фактического количества разновидностей товаров, предусмотренного ассортиментным
перечнем магазина, и является позитивным в обеспечении выбора товаров. Полнота
и стабильность ассортимента способствуют популярности магазина, росту сбыта,
валовых доходов и прибыли.
Структура ассортимента - это количественное
соотношение групп, подгрупп или разновидностей товаров в ассортименте магазина.
А так же структура ассортимента определяется удельным весом товаров сходных по
какому-либо признаку. Например, продовольственных и непродовольственных
товаров, импортных или товаров отечественного производства.
Структура ассортимента характеризуется удельной
долей каждого вида наименований товара в общем наборе.
При методике оценки оптимальной структуры
ассортимента следует учитывать способ расчета доли товаров, выбор базового
значения как критерия оптимальной структуры ассортимента. Показатели
оптимальной структуры ассортимента могут иметь натуральное и денежное выражение
и носят относительный характер. Структура ассортимента относится как к
реальному, так и к прогнозируемому ассортименту.
При регулировании структуры ассортимента следует
учитывать экономические выгоды предприятия в случае преобладания дорогих или
дешевых товаров, окупаемость затрат на их доставку и хранение, а так же
платежеспособность потребителя, на которого ориентирована торговая организация.
При анализе прибыльности отдельных видов товаров
учитывают структуру ассортимента в денежном выражении. Показатели структуры
рассчитываются как отношение объема реализации отдельных товаров к общему
объему реализации:
, (8)
где С - доля объема
реализации отдельных товаров в общем объеме реализации;
Аi - объем
реализации отдельных товаров;
S -
общий объем реализации товаров.
Анализ товарооборота в разрезе
ассортиментных групп магазина «Nike» представлен в таблице 5.
Таблица 2.3 - Структура ассортимента
товаров магазина «Nike» за 2013-2014 гг.
|
Товарные
группы
|
Уд.
вес 2013г.
|
Уд.
вес 2014г.
|
Изменение
(+,-)
|
|
Спортивные
костюмы мужские
|
9,21
|
9,20
|
0,01
|
|
Спортивные
костюмы женские
|
5,06
|
5,12
|
-0,06
|
|
Куртки
мужские
|
9,53
|
9,50
|
0,03
|
|
Куртки
женские
|
6,35
|
6,39
|
-0,04
|
|
Брюки
спортивные мужские
|
7,11
|
7,09
|
0,02
|
|
Брюки
спортивные женские
|
9,09
|
9,13
|
-0,04
|
|
Джемпера
мужские
|
9,92
|
9,86
|
0,06
|
|
Джемпера
женские
|
7,21
|
7,18
|
0,03
|
|
Майки
спортивные мужские
|
6,11
|
6,10
|
0,01
|
|
Майки
спортивные женские
|
7,54
|
7,51
|
0,03
|
|
Обувь
спортивная мужская
|
9,30
|
9,32
|
-0,02
|
|
Обувь
спортивная женская
|
9,71
|
9,73
|
-0,02
|
|
Сопутствующие
товары
|
3,86
|
3,87
|
-0,01
|
|
Итого
товаров
|
100
|
100
|
0
|
Примечание - Источник: собственная разработка
По данным таблицы можно отметить, что наибольшую
прибыль магазину «Nike»
приносят мужские джемпера, спортивная женская обувь, мужские куртки, спортивная
мужская обувь, а так же мужские спортивные костюмы и спортивные женские брюки.
Обновляемость ассортимента характеризуется
действительным обновлением, т.е. количеством новых товаров в общем перечне и степенью
обновления, которая выражается через отношение количества новых товаров к их
общему количеству, имеющемуся в ассортименте торговой организации.
Расчет степени обновления ассортимента
производится по формуле:
, (9)
где Н - количество новых товаров в ассортименте
товаров;
А - общее количество товаров в ассортименте
товаров.
Коэффициент обновления ассортимента был
рассчитан на примере спортивной обуви за период времени с 25.03 по 24.04, и
составил 30,4 % (14/46*100%). Данный коэффициент говорит о средней степени
обновляемости ассортимента, что является не очень положительным явлением, т.к.
потребности покупателей постоянно меняются, зачастую новые товары удовлетворяют
не столько физиологические потребности, сколько психологические и социальные. «Nike»
не уделяет должного внимания обновлению ассортимента, по многим позициям
копирует ассортимент магазинов-соседей, что, как следствие, снижает
конкурентоспособность предприятия и уменьшает поток покупателей.
3. Рекомендации по улучшению ассортиментной
политики в магазине «NIKE»
Ассортиментная политика приобретает особую
значимость в нынешних условиях нестабильности экономики страны, когда к товару
со стороны потребителя повышенные требования по качеству, ассортименту, цене и
от эффективности работы с товаром зависят все экономические показатели
организации.
На сегодняшний день, что бы успешно осуществлять
коммерческую деятельность в сложных и многообразных условиях рыночных отношений
организация ООО «СпортРитейлПроект» нуждается в корректировки своей
ассортиментной политики, а именно стоит уделить внимание:
контролю полной широты и глубины ассортимента -
на момент проверки отсутствовали некоторые обязательные товарные единицы,
которые включены в ассортиментный перечень (сопутствующие товары, женские
спортивные майки, мужские и женские спортивные костюмы). От наличия полного
ассортимента зависит максимально возможное предложение ассортимента покупателю
и обеспечение бесперебойной торговли;
обновляемость ассортимента - наличие новой
продукции позволяет создать набор товаров, который способен удовлетворять
изменившиеся потребности покупателей. На сегодняшний день потребители нуждаются
в частом обновлении ассортимента. Именно новые товары позволяют своевременно
изменять структуру ассортимента и поддерживать объем продаж на высоком уровне,
обеспечивающем стабильное финансовое положение организации.
частота пополнения товарных запасов - как видно
из расчетов коэффициентов в предыдущей главе, отсутствие в наличии товаров
сказывается на ассортиментном предложении. Поэтому предприятие должно вести
постоянный контроль за наличием товара, и тем самым обеспечивать своевременное
пополнение единиц, выбывших из наличия. За счет ритмичной поставки в магазине
будет постоянно устойчивый ассортимент товаров, что даст возможность
удовлетворять покупательский спрос. В условиях рынка это дает покупателям быть
уверенным, что товары есть в наличии. Поэтому своевременные допоставки товара
или увеличение первоначальных поставок товара смогут решить эту проблему.
увеличению установочной площади, за счет
введения дополнительного островного оборудования - вешала, столы. Это позволит
разместить на торговом зале большее количество товаров, рационально
использовать торговую площадь и увеличить имеющийся ассортимент товаров, а
значит, и увеличить прибыль предприятия, при этом новое оборудование должно
обеспечивать максимальное удобство для покупателей и персонала.
- исследование первичной информации,
для проведения любого анализа требуется как можно более полная информация о
рынке, о организациях-конкурентах, их финансовом состоянии
<#"890257.files/image018.gif">
Приложение
Б
Обязательный ассортиментный перечень товара
Разрешенный к реализации продукции через
магазин, расположенный по адресу: Минский район, пересечение Логойского тракта
и МКАД, Выставочный блок Главного выставочного павильона, магазин 75.
Режим работы:
Понедельник - воскресенье с 10.00 до 22.00 (по
режиму торгового центра).
Площадь общая 279,9 кв.м.
Метод торговли: самообслуживание.
|
№
п/п
|
Наименование
товара
|
Размеры
|
Кол-во
моделей, разновидностей в размере
|
|
1
|
Костюмы
спортивные мужские
|
88-120
|
4
|
|
2
|
Костюмы
спортивные женские
|
80-104
|
4
|
|
3
|
Куртки
мужские (в сезон)
|
88-120
|
3
|
|
4
|
Куртки
женские (в сезон)
|
88-104
|
3
|
|
5
|
Брюки
спортивные мужские
|
88-120
|
3
|
|
6
|
Брюки
спортивные женские
|
80-104
|
3
|
|
7
|
Джемпера
мужские
|
88-120
|
2
|
|
8
|
Джемпера
женские
|
88-104
|
2
|
|
9
|
Майки
спортивные мужские
|
88-120
|
3
|
Майки
спортивные женские
|
80-104
|
3
|
|
1
|
Обувь
спортивная мужская
|
40-46
|
4
|
|
1
|
Обувь
спортивная женская
|
35-41
|
4
|
|
1
|
Сопутствующие
товары
|
-
|
8
|
Продукция должна реализовываться при наличии
документов, подтверждающих качество.
Удельные вес товаров импортного производства
100%.
Приложение В
УТВЕРЖДЕНО
Постановление Совета Министров Республики
Беларусь
.07.2014 N 703
Положение
О порядке разработки и утверждения
ассортиментного перечня товаров, ассортиментного перечня продукции
общественного питания
1. Настоящим Положением,
разработанным в соответствии с Законом
<consultantplus://offline/ref=2DDA587372E6F650FA659EECA38135BEAFE506F1BB0C3CC7F6C1AF7145C689EFBB07B89F685C290C03D42BDB54ZEs2L>
Республики Беларусь от 8 января 2014 года "О государственном регулировании
торговли и общественного питания в Республике Беларусь" (Национальный
правовой Интернет-портал Республики Беларусь, 21.01.2014, 2/2126), определяется
порядок разработки и утверждения ассортиментного перечня товаров,
ассортиментного перечня продукции общественного питания, а также перечень
случаев, когда ассортиментный перечень товаров не требуется.
. Для целей настоящего Положения
применяются термины и их определения в значениях, установленных Законом
<consultantplus://offline/ref=2DDA587372E6F650FA659EECA38135BEAFE506F1BB0C3CC6F7C4A77145C689EFBB07ZBs8L>
Республики Беларусь от 9 января 2002 года "О защите прав
потребителей" (Национальный реестр правовых актов Республики Беларусь, 2002
г., N 10, 2/839; 2008 г., N 170, 2/1463) и Законом
<consultantplus://offline/ref=2DDA587372E6F650FA659EECA38135BEAFE506F1BB0C3CC7F6C1AF7145C689EFBB07ZBs8L>
Республики Беларусь "О государственном регулировании торговли и
общественного питания в Республике Беларусь", а также следующие термины и
их определения:
вид продукции общественного питания
- совокупность кулинарной продукции, хлебобулочных, кондитерских изделий и
напитков, объединенных общим названием и назначением;
вид товаров - совокупность товаров
определенной группы, объединенных общим названием и назначением;
класс товаров - совокупность
товаров, имеющих аналогичное функциональное назначение;
разновидность товаров - совокупность
товаров определенного вида, выделенных по ряду частных признаков (марка,
модель, артикул, сорт, масса, объем и иные признаки).
. Ассортиментный перечень товаров
разрабатывается и утверждается субъектом торговли для торгового объекта, в
котором осуществляется розничная торговля (далее - розничный торговый объект),
за исключением случаев, указанных в пункте 5 настоящего Положения, исходя из
ассортимента предлагаемых к продаже товаров на основании перечня товаров,
подлежащих включению в ассортиментный перечень товаров, утверждаемого
Министерством торговли (далее - перечень товаров, подлежащих включению в
ассортиментный перечень товаров), в зависимости от вида и типа розничного
торгового объекта, наличия торговой площади и ее размера с указанием классов и
(или) групп товаров, видов товаров и количества их разновидностей (моделей,
размеров, артикулов, сортов и иных разновидностей), которых в таком перечне
должно быть не менее, чем в перечне товаров, подлежащих включению в
ассортиментный перечень товаров, для соответствующего вида и типа розничного
торгового объекта.
Ассортиментный перечень продукции
общественного питания разрабатывается и утверждается субъектом общественного
питания для объекта общественного питания исходя из ассортимента предлагаемой к
продаже продукции общественного питания на основании перечня продукции
общественного питания и товаров, подлежащих включению в ассортиментный перечень
продукции общественного питания, утверждаемого Министерством торговли (далее -
перечень продукции общественного питания и товаров, подлежащих включению в
ассортиментный перечень продукции общественного питания).
Ассортиментный перечень продукции
общественного питания разрабатывается в зависимости от типа и класса объекта
общественного питания с указанием видов продукции общественного питания и
количества их наименований, видов товаров и количества их разновидностей,
которых в таком перечне должно быть не менее, чем в перечне продукции
общественного питания и товаров, подлежащих включению в ассортиментный перечень
продукции общественного питания, для соответствующего типа и класса объекта
общественного питания.
. Ассортиментный перечень товаров,
ассортиментный перечень продукции общественного питания размещаются в розничном
торговом объекте, объекте общественного питания на доступном для покупателей
месте.
. Ассортиментный перечень товаров не
требуется при продаже товаров:
на рынках на торговых местах;
в розничных торговых объектах, в
которых осуществляется продажа непродовольственных товаров, бывших в
употреблении, в том числе при комиссионной торговле;
в розничных торговых объектах, в
которых реализуется ограниченный ассортимент морально устаревших, не проданных
в сезон остатков единичных размеров непродовольственных товаров (магазин
"Сток", стоковый магазин);
в фирменных магазинах, в которых
осуществляется продажа не менее 80 процентов товаров производителя, создавшего
такой магазин, либо созданных субъектом торговли, получившим право продажи
товаров исключительно определенного производителя с использованием товарного
знака либо фирменного наименования этого производителя, в том числе на условиях
договора комплексной предпринимательской лицензии (франчайзинга);
с использованием передвижных средств
разносной торговли;
при осуществлении розничной торговли
без (вне) торгового объекта;
в принадлежащих на любом законном
основании субъекту торговли розничных торговых объектах, представляющих часть
неизолированной площади магазина (павильона), торгового центра, иного здания
(сооружения);
в магазинах беспошлинной торговли,
реализующих товары иностранным дипломатическим представительствам, приравненным
к ним представительствам и органам международных организаций и
межгосударственных образований, консульским учреждениям иностранных государств,
а также дипломатическим агентам, консульским должностным лицам и членам их
семей, которые проживают вместе с ними (магазины беспошлинной торговли типа 2).
. Новый ассортиментный перечень
разрабатывается и утверждается субъектом торговли, субъектом общественного
питания в случаях, установленных законодательными актами, а также при изменении
ассортимента предлагаемых к продаже товаров с соблюдением обязательных
требований, установленных законодательством.
Приложение Г
Пример анкеты для покупателей.
|
Вопросы
|
Ответы
|
|
1.
Расскажите, пожалуйста, немного о себе:
|
|
|
пол
|
Женский
|
|
мужской
|
|
возраст
|
До
18
|
|
18-45
|
|
Больше
45
|
|
2.
Как часто вы делаете покупки в нашем магазине?
|
Несколько
раз в месяц
|
|
1.
|
От
случая к случаю
|
|
1.
|
Впервые
|
|
3.
Что вы думаете об ассортименте в магазине?
|
Есть
возможность выбора
|
|
1.
|
Плохо
представлен
|
|
4.
Линейку, какого стиля, по Вашему мнению, необходимо расширить в нашем
магазине?
|
Повседневная
|
|
1.
|
Вещи
для бега
|
|
1.
|
Вещи
для тренинга
|
|
5.
Ваш размер одежды?
|
XS L
|
|
1.
|
S XL
|
|
1.
|
M XXL
|
|
6.
Какой вид товара вы приобретаете чаще?
|
Обувь
|
|
1.
|
Одежда
|
|
1.
|
Аксессуары
|
|
7.
Сколько в среднем вы тратите на покупки в нашем магазине?
|
До
1 500 000 руб.
|
|
1.
|
1
500 000 - 3 500 000 руб.
|
|
1.
|
Свыше
3 500 000 руб.
|
|
8.
Охарактеризуйте наши цены.
|
Низкие
|
|
1.
|
Приемлемые
|
|
1.
|
Высокие
|
|
Благодарим
за ответы!
|