Оптимизация транспортных потоков доставки продукции

  • Вид работы:
    Дипломная (ВКР)
  • Предмет:
    Маркетинг
  • Язык:
    Русский
    ,
    Формат файла:
    MS Word
    1,89 Мб
  • Опубликовано:
    2016-02-16
Вы можете узнать стоимость помощи в написании студенческой работы.
Помощь в написании работы, которую точно примут!

Оптимизация транспортных потоков доставки продукции

МИНИСТЕРСТВО ОБРАЗОВАНИЯ И НАУКИ РОССИЙСКОЙ ФЕДЕРАЦИИ

Федеральное государственное бюджетное образовательное учреждение

высшего профессионального образования

"КУБАНСКИЙ ГОСУДАРСТВЕННЫЙ УНИВЕРСИТЕТ"

(ФГБОУ ВПО "КубГУ")

Кафедра мировой экономики и менеджмента





ВЫПУСКНАЯ КВАЛИФИКАЦИОННАЯ РАБОТА БАКАЛАВРА

ОПТИМИЗАЦИЯ ТРАНСПОРТНЫХ ПОТОКОВ ДОСТАВКИ ПРОДУКЦИИ

Работу выполнил Каландина Наталья Александровна

Научный руководитель

к. п. н., доцент кафедры О.В. Засядко




Краснодар 2015

Содержание

 

Введение

1. Управление транспортными потоками доставки продукции на предприятии

1.1 Сущность, роль и задачи транспортной логистической системы предприятия

1.2 Транспортно-логистическое проектирование и управление системами доставки продукции

1.3 Системный анализ и его роль в организации логистики на предприятии

2. Оптимизация логистических процессов управления транспортными потоками на примере промышленных предприятий

2.1 Методы системного анализа для решения оптимизационных задач

2.2 Постановка транспортной задачи на примере транспортировки кирпича ведущих заводов Краснодарского края в различные города Южного Федерального Округа

2.3 Задача многокритериальной оптимизации транпортных потоков

3. Пути повышения эффективности логистических транспортных потоков предприятия

3.1 Разработка мероприятий по совершенствованию системы грузоперевозок для промышленных предприятий Краснодарского края

3.2 Экономическая эффективность предложенных мероприятий

3.3 Проблемы и перспективы развития транспортной логистики в Краснодарском крае

Заключение

Список использованных источников

Приложение

Введение

В современном мире транспорт является одним из ключевых факторов экономически эффективного функционирования промышленной отрасли. С точки зрения системного подхода - транспорт представляет сложную адаптивную экономическую систему, состоящую из взаимосвязанных в едином процессе транспортного логистического обслуживания региональных материальных и людских потоков.

Транспортная логистика, как отдельная составляющая, предназначена для управления материальными потоками транспортировки продукции на транспортных участках. С помощью транспортной логистики решаются такие важные вопросы, как: создание транспортных систем, обеспечение технологического единства работы транспорта и склада, а так же определение рационального маршрута доставки продукции. Так как транспортная логистика не имеет четких границ, она может применяться при любых типах и видах перевозок.

Наиболее актуальной становится задача ускорения транспортировки продукции между производителем и потребителем. С целью минимизации затрат на транспортировку и оптимизации транспортных потоков доставки продукции на предприятии создаются логистические отделы, которые занимаются планированием и разработкой оптимальных маршрутов и рациональным распределением ресурсов в логистической цепи.

Актуальность темы заключается в том, что транспортная логистика на данный момент времени занимает важнейшее место в обеспечении практически всех сфер деятельности экономики и общества. Таким образом, повышение эффективности функционирования и оптимизации транспортных потоков является необходимым условием развития и совершенствования экономики и качества жизни населения.

транспортный поток доставка продукция

Цель работы - определить необходимые мероприятия для оптимизации транспортных потоков доставки продукции для промышленных предприятий Краснодарского края.

Для достижения поставленной цели необходимо решить ряд вопросов, таких как:

-       Раскрыть сущность транспортной логистики на предприятии, рассмотрев основные аспекты ее функционирования;

-       Изучить основные методики оптимизации транспортировки продукции;

-       Рассмотреть транспортно-логистическое проектирование и управление систем доставки продукции;

-       Дать характеристику промышленным предприятиям Краснодарского края;

-       Составить оптимальный маршрут транспортировки продукции между элементами логистической цепи;

-       разработать мероприятия и рекомендации по совершенствованию системы грузоперевозок для промышленных предприятий Краснодарского края.

Объектом исследования являются кирпичные заводы Краснодарского края: ООО "Славянский кирпич", ОАО "Губский кирпичный завод", ОАО "Новокубанский завод керамических стеновых материалов", ОАО "Краснодарский кирпич".

Предмет исследования - оптимизация транспортных потоков доставки продукции кирпичных заводов Краснодарского края.

Для написания выпускной квалификационной работы были использованы труды отечественных ученых, экономистов по вопросам транспортной логистике в виде учебной литературы, монографий и материалов периодических изданий. Это работы таких известных ученых: как Савенкова Т.И., Плоткин Б.К., Миротин Л. Б, Аникин, Б.А. и Швецов В. И.

Для проведения данного исследования были использованы такие приемы как системный анализ структуры транспортировки продукции, постановка и решение транспортной задачи, а так же решение многокритериальной оптимизации транспортировки груза методом весовых коэффициентов и построение оптимального маршрута доставки продукции.

Структура выпускной квалификационной работы соответствует поставленным задачам и состоит из трех глав.

В первой главе данной работы рассмотрены теоретические основы транспортной логистики на предприятии, транспортно-логистическое проектирование, а так же роль системного анализа в логистике.

Вторая глава содержит постановку и решение транспортной задачи на примере кирпичных заводов Краснодарского края.

В третьей главе рассмотрены перспективы и проблемы развития транспортной логистики Краснодарского края. А так же описаны мероприятия и даны рекомендации по оптимизации транспортных потоков транспортировки продукции для промышленных предприятий, которые занимаются производством кирпича.

В заключении подведены результаты проведенной работы и сформулированы основные выводы.

1. Управление транспортными потоками доставки продукции на предприятии

 

.1 Сущность, роль и задачи транспортной логистической системы предприятия


На сегодняшний день транспортная логистика - это важнейшая часть транспортной отрасли каждого современного государства.

Главным связывающим элементом является - транспорт. Ему принадлежит особая роль в народном хозяйстве, так как благодаря транспорту осуществляется перемещение сырья между всеми элементами производства и доставки продукции. Следовательно, транспорт - это связующее звено между элементами логистических систем, осуществляющий передвижение материальных ресурсов.

Главной функцией транспортной логистики является: доставка продукции из начального пункта отправления в конечный пункт, с наименьшими затратами в кратчайший срок, с наименьшей степенью риска для окружающей среды.

Основным объектом в логистической системе является материальный поток. Материальный поток представляет собой материальные ресурсы, незавершенное производство или готовую продукцию, которая находится в состоянии постоянного движения и к которой применяются логистические операции (погрузка, разгрузка, затаривание, перевозка, сортировка, консолидация, разукрупнение и т.д.).

Транспортная логистика на предприятии играет особо важную роль. В крупных фирмах в этой отрасли задействованы опытные логисты, которые используя системный анализ, разрабатывают наиболее оптимальные пути транспортировки доставки продукции. В сферу их деятельности входит организация четкого взаимодействия предприятия и перевозчика, разработка оптимального маршрута, разгрузка/погрузка сырья, хранения и маркировка груза.

Рассмотрим основные задачи транспортной логистики на предприятии:

. Разработка транспортной системы.

Транспортную систему можно разделить на транспортные коридоры и транспортные сети. В широком смысле, транспортная сеть - это стадия перевозки от одного пункта в другой в определенном районе или области страны. Следовательно, транспортный коридор - это группа транспортных сетей.

. Выбор складских помещений.

Склады являются одним из главных звеньев в логистической системе. Благодаря им, осуществляется временное размещение груза по маршруту следования транспорта.

. Определение типа и вида транспортного средства.

Существует целый ряд факторов влияющих на выбор транспортного средства: срок доставки, периодичность отправки груза, транспортные тарифы, возможность доставки груза во все регионы страны, возможность перевозить различные виды грузов. Характеристика видов транспортных средств представлена в таблице 1.1.

Таблица 1.1 - Характеристика транспортных средств

Вид транспортного средства

Достоинства транспортного средства

Недостатки транспортного средства

 

Автомобильный транспорт

высокая маневренность; скорость перевозки груз; регулярность поставок;

высокая себестоимость перевозки; риск угона автомобиля и хищения груза; малая грузоподъемность;

 

Вид транспортного средства

Достоинства транспортного средства

Недостатки транспортного средства

Железнодорожный транспорт

низкая себестоимость перевозки; возможность перевозки на большое расстояние; регулярность перевозок; независимость от погодных условий;

низкая маневренность;

Морской транспорт

низкие транспортные тарифы; высокая грузоподъемность;

строгие требования к упаковке груза; зависимость от погодных условий; малая частота поставок;

Воздушный транспорт

скорость перевозки груза; возможность доставки в отдаленные районы;

высокие тарифы на перевозку; зависимость от природных условий;

Трубопроводный транспорт

высокая скорость доставки;

узкая специализация; частые аварийные ситуации, угрожающие окружающей среде.


. Определение вида/типа транспортировки сырья.

Перевозки могут осуществляться как самим предприятием, так и сторонней организацией, например перевозчиком или экспедитором. Перевозчики осуществляют только непосредственно транспортировку груза, а экспедиторы оказывают ряд дополнительных услуг, таких как: оформление документов на транспортировку сырья, выполнение таможенных формальностей, разгрузка и погрузка груза, а так же страхование, хранение и комплектация груза.

С целью оптимизировать процесс транспортировки, грузовладелец может выбрать наиболее оптимальный вид перевозки груза. Характеристика видов/типов транспортировки груза представлены в таблице 1.2.

Таблица 1.2 - Характеристика видов/типов транспортировки груза

Вид/тип транспортировки

Количество используемого транспорта

Характеристика данного типа/вида транспортировки.

Уномодальная

один

Применяется при точном определении начального и конечного пункта транспортировки продукции (без промежуточных операций и грузопереработки).

Смешанная

два

Грузовладелец заключает договор с первым перевозчиком, который действует от своего лица и от лица следующего транспортировщика. Особенности: наличие нескольких транспортных документов, последовательная схема взаимодействия участников транспортировки, отсутствие единой ставки фрахта.

Комбинированная

два и более

Отличается от смешенной транспортировки количеством транспортировщиков.

Уномодальная. / Мультимодальная

два и более

Грузовладелец заключает договор с одним лицом (оператором) на весь путь транспортировки. Особенности: единая сквозная ставка фрахта, единый транспортный документ, единая ответственность за груз и исполнение договора перевозки.


. Выбор оптимального маршрута доставки.

Главными условиями рационального выбора маршрута являются: цена, скорость и безопасность. При выборе маршрута завоза товаров анализируют: территориальное расположение поставщиков и получателей товаров, объемы завоза товаров к каждому из них и пытаются обеспечить перевозку товаров кратчайшим путем и согласно утвержденному графику. При этом из нескольких возможных маршрутов выбирают короткие, которые начинаются и заканчиваются в пункте расположения склада и проходят лишь по одному разу через каждый из пунктов расположения.

Для достижения поставленной логистической задачи на предприятии требуется выполнение шести правил логистики:

.        Груз - нужный товар;

2.      Качество - необходимого качества;

.        Количество - в необходимом количестве;

.        Время - должен быть доставлен в нужное время;

.        Место - в нужное место;

.        Затраты - с минимальными затратами. [17]

Только при условии выполнения этих критериев работу логистической цепочки можно считать эффективной.

Логистическая деятельность на предприятии имеет интегрированный характер и простирается от момента возникновения потребности в товаре до момента удовлетворения данной потребности.

Логистическое управление на предприятии выполняет такие важные функции как: организация, планирование, регулирование, координацию, контроль и анализ. Таким образом, важнейшая задача логистического менеджмента - это координация логистических функций, а так же согласование целей с поставщиками, подрядчиками и потребителями.

Основным аспектом в логистическом управлении предприятия является возможность непрерывного мониторинга всей логистической цепи. Посредством мониторинга руководство предприятия имеет возможность, отслеживать насколько эффективно используются предоставляемые ресурсы, с целью выявления источников потерь. Это позволяет компании оптимизировать деятельность всех сотрудников предприятия, для того что бы улучшить конечные результаты и высвободить дополнительные средства для дальнейшего инвестирования компании. Так же мониторинг позволяет снизить уровень товаров в снабжении, производстве и сбыте, ускорить оборачиваемость вложенного капитала, снизить себестоимость производства, обеспечить удовлетворение потребностей конечного потребителя.

Немаловажную роль играет качество логистического обслуживания. Оно обеспечивает удовлетворенность потребителей, которое выражается в надлежащем выполнении заказов, отсутствии ошибок, эффективном и своевременном предоставлении услуг, а так же в постоянном стремлении к повышению уровня обслуживания, выполнении заявленным стандартам обслуживания и условиям заключенного договора.

В настоящее время система управления логистических обслуживаний основана на следующих основных принципах:

-       ориентация на потребителя;

-       ориентация на предотвращение ошибок и сбоев;

-       ориентация на постоянное совершенствование.

Одной из главных проблем в организации службы логистики на предприятии является отсутствие ее организационной и функциональной гибкости. В современных условиях экономической обстановки, постоянно растущей конкуренции на рынке, изменений конъюнктуры самого рынка организационная структура службы логистики на предприятии или в организации должна быть предельно гибкой, а также способной в короткие сроки реагировать на любые изменения внешней среды.

Для эффективного функционирования службы логистики, необходим ряд условий, которые обеспечивают условия для достижения успеха логистического направления деятельности на предприятие, которые складываются из следующих составляющих:

-       точная формулировка функций для каждого отдельного сотрудника службы логистики;

-       наличие необходимой информации о количестве сотрудников службы логистики, которые потребуются в ближайшее или отдаленное будущее для выполнения поставленных задач;

-       прогнозирование будущих логистических операций, процедур, работ и функций, которые носят в основном инновационный характер.

В настоящее время значимость логистических услуг постоянно растет и расширяется. Следовательно, сфера услуг должна функционировать таким образом, что бы удовлетворять потребностям конечного покупателя при минимальных затратах на транспортировку продукции.

Исходя из вышесказанного, логистика на предприятии является неотъемлемой частью производственного процесса, так как благодаря ей решаются такие важные задачи как:

.        Разработка научных принципов рационального управления материальными и информационными потоками;

2.      Изучение конъюнктуры рынка и прогнозирование транспортных связей;

.        Определение оптимального объема запасов продукции на складах;

.        Разработка стратегии и технологии перемещения груза от производителя до потребителя;

.        Сокращение времени требуемого для хранения и перемещения груза;

.        Формирование рациональной системы материальных потоков доставки продукции и требуемых ресурсов;

.        Снижение затрат на организацию, планирование и управление материальных и информационных потоков.

Отсюда можно сделать вывод, что транспортная логистика является верным спутником любого современного предприятия, так как без наличия логистического отдела, предприятие рискует потерять огромные средства из-за нерационального распределения своих ресурсов. Этот фактор в будущем помешает предприятию осуществить поставленные тактические цели и выполнить запланированные показатели развития.

1.2 Транспортно-логистическое проектирование и управление системами доставки продукции


Процесс проектирования системы транспортировки продукции берет начало с поступления заявки. Стандартная заявка содержит следующие реквизиты:

-       информация о заказчике;

-       информация о грузе (название, количество, условия хранения);

-       место отправление и место назначения;

-       время отправления и прибытия;

-       дополнительные услуги и замечания заказчика.

Проанализировав требования заказчика, оператор-диспетчер фирмы разрабатывает несколько возможных вариантов плана доставки продукции, определяя схемы доставки продукции и провайдеров, которые могут быть привлечены для достижения этой цели. В ходе работы диспетчера исключаются планы, которые не соответствуют заявленным требованиям заказчика, и на основе оставшийся вариантов выбирается самый оптимальный. После этого при получении согласия заказчика на данный план доставки товара между сторонами заключается договор на доставку.

Для наилучшего представления рассмотрим схему проектирования системы доставки грузов (см. рисунок 1.1).

Рисунок 1.1 - Схема проектирования системы доставки продукции

Проанализировав работу множества фирм, можно выделить основные требования, которые предъявляют заказчики к системе доставки грузов. Прежде всего, это многообразие требований предъявляются непосредственно к самому процессу доставки продукции. На рисунке 1.2 показаны основные приоритетные критерии оценки выбора поставщика:

Рисунок 1.2 - Диаграмма приоритетов требований клиентов к системе доставок

.        Оказание помощи про проведение процедуры таможенного контроля;

2.      Обеспечение необходимого требования времени доставки продукции;

.        Сохранность груза при перевозке и хранении продукции;

.        Минимальные затраты на доставку продукции;

.        Оказание дополнительных услуг;

6.      Репутация перевозчика;

7.      Гибкость в системе оплаты.

Для заказчиков характер целей доставки может меняться в зависимости от конкретного времени. Рассмотрев рисунок 1.2 можно сделать вывод, о том что вторую по значимости роль играет время доставки груза, но при стабильном спросе и в зависимости от степени срочности заказа, на первое место выходят затраты на доставку продукции и сохранность груза. Следовательно, многокритериальная модель задач выбора системы доставки груза (ВСДГ) должна предоставлять возможность оперировать с переменным составом критериев и выделять наиболее приоритетные.

Одной из особенностей задачи ВСДГ является ее много вариантность, так как в современных условиях многие фирмы принимают участие в доставки продукции, таким образом, увеличивается количество возможных вариантов доставки груза.

Процесс организации продвижения материальных потоков включает следующие аспекты:

-       определение системы перемещения грузов;

-       выбор способов транспортировки продукции;

-       выбор места хранения и переработки продукции;

-       введение системы управления запасами;

-       установление процедуры обработки заказов и др.

Для эффективной организации логистического процесса каждый из данных аспектов планируется и реализуется как неотъемлемая часть построенной, сбалансированной по всем параметрам и саморегулируемой общей системы. Все элементы этой системы связанны между собой, и поэтому пренебрежение каким-либо из них может привести к серьезному нарушению функционирования потокопроводящей коммуникации, а так же негативно повлиять на весь процесс управления логистикой.

Транспортно-технологический процесс состоит из последовательно выполняемых действий, которые подразумевает под собой доставку продукции. То есть, это перевозка, складирование, хранение, упаковка и агрегирование продукции. Сюда же входит такие операции, как выбор схемы маршрута, разработка графика движения и так далее. Главной целью всех этих действий является исключение территориального разрыва между производством и потребителем.

Таким образом, транспортно-технологический процесс представляет собой единую систему доставки груза. Главным критерием будет являться удовлетворение требований предъявляемых клиентом к системе поставок. На практике основными участниками доставки являются экспедиторы, перевозчики, склады и так далее.

В зависимости от наличия посредников в системе транспортировки грузов можно выделить три вида логистических систем:

¾      Система с прямыми связями: материальный поток проходит непосредственно от поставщика до заказчика, т.е. без посредников (см. рисунок 1.3.).

Рисунок 1.3 - Схема системы с прямыми связями

¾      Эшелонированная система (в таких системах присутствует хотя бы один посредник) (см. рисунок 1.4.).

Рисунок 1.4 - Схема эшелонированной системы

¾      Гибкие логистические системы: в таких системах материальный поток может осуществлять движение, как с посредником, так и без него (см. рисунок 1.5.)

Рисунок 1.5 - Схема гибкой логистической системы

Главная задача организатора транспортного процесса заключается в проектировании процесса доставки и координации всех участников логистической цепи. Необходимо отметить, что существует два варианта транспортировки груза от поставщика к потребителю (см. рисунок 1.6).

Рисунок 1.6 - Логистическая цепь поставок

Исходя из рисунка 1.6. можно сделать вывод, о том, что транспортировка груза происходит непосредственно двумя путями: продукция поступает к потребителю сразу из производственного цеха, либо со складских помещений предприятия-поставщика.

Склад - это сложное техническое сооружение, предназначенное для приемки, размещения, накопления, хранения и распределения продукции между потребителями. Складские помещения играют важную роль в транспортной логистике, и должны соответствовать установленным технологическим требованиям:

-       соответствие емкости и площади складских помещений;

-       соответствие параметров и конфигурации складских зданий требованиям оптимальной технологии выполняемых операций.

Складские системы могут создаваться как в начале, в ходе движения, а так же и в конце транспортных грузопотоков для временного накопления или же непрерывного обеспечения производственных структур материальными ресурсами.

Важнейшими элементами логистической системы является - система хранения и переработки. Они представляют под собой, комплекс складов и вспомогательных сооружений, а так же персонал, который осуществляет прием материальных ресурсов, их размещение, хранение, учет, проверку состояния, подготовку к общественному потреблению и отпуск потребителю. Данная система может быть самостоятельной единицей, а может принадлежать промышленному, строительному или транспортному предприятию.

С помощью систем хранения и переработки решается проблема временных, количественных и качественных несоответствий между наличием и потребностью в материалах в процессах производства, реализации и потребления.

Транспортный процесс, включает в себя, не только перемещения груза от поставщика до потребителя, но и подразумевает собой выполнение погрузочно-разгрузочных работ и экспедиционное обслуживание. Экспедитор играет посредническую роль и выполняет все необходимые вспомогательные операции Так же экспедитор может выступать как главный организатор процесса транспортировки продукции. Действуя по принципу доставки "от двери до двери", он может обеспечить своевременную доставку продукции с наименьшими затратами.

Экспедиторы принимают участие в перевозках посредством заключения договора купли-продажи, и занимаются выполнением процедур таможенного оформления груза, а так же осуществляют расчеты за доставку продукции и заполнением соответствующих документов.

Составной частью системы цен за логистические услуги являются грузовые тарифы. Как экономическая категория транспортные тарифы являются формой цены на продукцию транспорта.

Главной целью тарифного регулирования является воздействие на систему отношений между участниками товарного и транспортного рынков в процессе производства, транспортировки и сбыта товаров.

Все затраты, которые непосредственно связаны с транспортировкой груза, можно разделить на две условные группы. Для наглядности данные представлены в таблице 1.3.

Таблица 1.3 - Виды транспортных затрат

Название затраты

Содержание

Постоянные затраты

Затраты на содержание дорог, шоссе и т.д.; Затраты на содержание транспортных терминалов; Затраты на содержание транспортного оборудования; Затраты на управление транспортировкой.

Переменные затраты

Затраты на топливо; Оплата труда; Затраты на техническое обслуживание транспортных средств и оборудования; Затраты на погрузку или разгрузку.


Транспортные тарифы включают в себя:

-       непосредственно плату, взимаемую за перевозку грузов;

-       сборы за дополнительные операции, связанные с перевозкой грузов.

Транспортные тарифы должны разрабатываться, а в дальнейшем постоянно корректироваться с учетом некоторых важнейших для развития принципов. В конечном счете, транспортные тарифы должны быть выстроены таким образом, чтобы обеспечить, с одной стороны нормально работающему перевозчику возмещение себестоимости перевозок и возможность получения прибыли, а с другой, заказчику транспортных услуг выгодность связей транспортом общего пользования.

При планировании тарифной политики очень важно обеспечить экономически обоснованные соотношения по трем направлениям:

-       перевозки различных грузов;

-       перевозки различными видами транспорта;

-       перевозки однородных грузов, но различными видами транспорта.

Тарифное соотношение, сложившееся на определенный момент, не остается надолго стабильным. Помимо вышеуказанных причин это вызвано неустойчивостью затрат на производство транспортной продукции в процессе функционирования различных видов транспорта. Искомые затраты зависят от ряда факторов, в том числе от:

-       дальности перевозок;

-       степени использования живого и овеществленного труда;

-       технической оснащенности;

-       уровня производительности труда;

-       деловой активности и т.д.

Традиционно транспортные тарифы делят на две группы:

-       Тарифы по отношению к объему перевозимого груза;

-       Тарифы по отношению к расстоянию.

Первый вид транспортных тарифов подразумевает под собой снижение общих издержек за счет объема перевозимого груза. Выделяют два случая при формировании таких тарифов:

.        Оговаривается минимальный объем груза: при перевозке V кратных таре, либо вместимости транспортного средства.

2.      Когда помимо объема перевозимого груза учитывается его номенклатура.

Выделяют три типа тарифов по отношению к расстоянию перевозимого груза. Данные представлены в таблице 1.4.

Таблица 1.4 - Виды тарифов по отношению к расстоянию транспортировки

Название вида тарифа

Характеристика тарифа

Единый тариф

Не зависит от расстояния и перевозки. Действует вне зависимости от пункта отправления или назначения.

Пропорциональный тариф

Устанавливаются в виде единых ставок за единицу транспортной продукции на всех расстояниях перевозки. Провозная плата за перевозку груза возрастает прямо пропорционально расстоянию перевозки.

Сужающийся тариф

Характерны для железнодорожного транспорта по той причине, что основными в структуре издержек - являются постоянные издержки. Чем больше расстояние, тем меньше постоянных издержек приходится на км. пути.


Наиболее наглядно сущность транспортных тарифов можно увидеть на рисунке 1.3 Данные представлены в виде графиков.

Рисунок 1.7 - Графики транспортных тарифов

а) единый тариф; б) пропорциональный тариф; в) сужающийся тариф.

Исходя по данным из рисунка 1.7 (а) можно увидеть, что при применении единого тарифа цена не меняется в зависимости от расстояния, т.е. является фиксированной. Это объясняется тем, что большая доля затрат приходится на затраты по переработке в конечных пунктах (до 90 %).

Использование пропорционального тарифа (см. рисунок 1.7 б) наиболее подходит тем видам транспорта, для которых общие затраты формируются за счет выполнения рейсов (автомобильный или воздушный транспорт). Такой тариф является компромиссом между затратами на обслуживание и легкостью назначения тарифов.

Общая структура сужающихся тарифов (см. рисунок 1.7 в) построена на принципе "сужения". Так как конечные затраты включаются в издержки на линии, тариф, соответствующий им, увеличивается с расстоянием, но затем динамика роста постепенно снижается. Основной причиной этого является постепенное распределение конечных и других постоянных затрат на большое расстояние. Степень "сужения" зависит от уровня постоянных издержек, которые несет перевозчик, и величины экономии в масштабе рейса. Это значит, что для железнодорожного и водного транспорта такое "сужение" будет сильнее, чем для автомобильного и воздушного транспорта.

Еще одним важным фактором транспортировки груза является выбор оптимальной системы поставки (см. табл. 1.2). Как отмечалось ранее, системы доставки делаться на одновидовую (уномодальную) и многовидовую (мультимодальную и уномодальную).

У каждого вида систем поставки имеются свои особенности в управлении, технологии и организации, но они имеют общую технологическую основу в виде технологических схем доставки продукции.

На рисунке 1.8 и рисунке 1.9 изображена схема процесса перевозки груза. Она имеет циклический характер. Следовательно, перемещение грузов совершается повторяющимися производственными циклами, которые следуют друг за другом. Ритм этих циклов зависит от частоты, которая зависит от средней продолжительности одного цикла. Каждый цикл очень динамичен, и характеризуется непрерывной сменой состояния и изменением состава элементов. Каждый повторяющийся цикл перевозки складывается из множества отдельных этапов, которые находятся в тесной взаимосвязи и одинаково направленных. Конечной целью этих циклов является достижение пространственной смены положения грузов. Таким образом, совокупность этих циклов, слагающихся в цикл перевозки, создает перевозочный процесс.

Рисунок 1.8 - Технологическая схема перевозки грузов автомобильным транспортом (одним видом)

Рисунок 1.9 - Технологическая схема перевозки грузов автомобильным транспортом (несколькими видами транспорта)

Проанализировав схемы процесса перевозок груза, можно сделать вывод, о том, что в любом процессе перевозки существуют этапы, которые присущи только грузу, только подвижному составу, но так же имеются и совместные этапы. К таким этапам можно отнести этап погрузки, транспортировки и разгрузки. Например: подача подвижного состава под погрузку, подготовка груза к отправке, хранение груза в пункте производства и промежуточных пунктах, складирование, экспедиторские операции и т.д.

Таким образом, для оптимизации транспортных потоков доставки продукции необходимо учитывать все факторы, влияющие на доставку груза от поставщика до потребителя. Предприятия, участвующие в логистической цепи, должны стремиться к максимальной загрузке транспортных средств и минимальной протяженности маршрутов грузоперевозки при обязательном удовлетворении всех сервисных ожиданий потребителей.

 

.3 Системный анализ и его роль в организации логистики на предприятии


Логистическая организация товародвижения - это регулярный, целенаправленный процесс воздействия на всех уровнях и на всех стадиях оборота товаров и услуг на факторы и условия, обеспечивающие достижение и поддержание экономного и эффективного процесса физического продвижения товара на рынке. Все организационные усилия, которые обеспечивают увеличение эффективности товародвижения на предприятии, сводятся к двум аспектам: оперативному и стратегическому.

Таким образом, логистическую организацию товародвижения можно охарактеризовать как систему. В широком смысле, система - это упорядоченная совокупность элементов, между которыми существуют или могут существовать некие связи и отношения.

В управлении организацией логистической системы предприятия целесообразно использовать системный подход. Системный подход позволяет рассматривать изучаемый объект как комплекс взаимосвязанных подсистем, которые объединены общей целью. В основе данного подхода лежит конкретная цель, ради которой строится вся система.

Следовательно, системный подход предполагает:

-       интеграция, синтез, рассмотрение различных сторон явления или объекта;

-       адекватное представление, разработку и исследование объекта.

Системный логистический анализ - это совокупность методов и средств выработки, принятия и обоснования решений при исследовании, создании и управлении логистическими системами. [15, c 16]

Таким образом, применение системного анализа в организации логистической системы можно разделить на несколько этапов:

-       анализ логистической проблемы;

-       определение логистической системы, ее структуры и анализ;

-       формирование общей цели логистической системы и анализ критерия ее эффективности;

-       декомпозиция цели, определение требуемых ресурсов;

-       прогнозирование и анализ будущих условий;

-       оценка целей и средств;

-       отбор наилучших вариантов;

-       анализ существующей логистической системы;

-       моделирование комплексной системы развития.

Системный анализ не может существовать в виде строгой методологической концепции. Это своего рода совокупность познавательных принципов, соблюдая которые, появляется возможность определенным образом сориентировать конкретные исследования.

В отличие от классического подхода, в котором используется метод индукции, системный подход применяет метод дедукции. Таким образом, любая проблема рассматривается как система, состоящая из подсистем.

При формировании логистических систем необходимо учитывать следующие принципы системного подхода:

-       принцип последовательного продвижения по этапам создания системы;

-       принцип согласования информационных, ресурсных и других характеристик проектируемых систем;

-       принцип отсутствия конфликтов между целями отдельных подсистем и целями всей системы. [15, c 18]

Системный анализ очень тесно связан с моделированием. Моделирование - это процесс построения модели реального объекта.

Основой методологии системного анализа является четкое выявление структурных элементов при исследовании логистических систем:

-       определение цели или совокупность целей;

-       выбор наилучшей альтернативы, для достижения поставленной цели;

-       использование ресурсов, необходимых для достижения цели;

-       построение математической и логистической модели;

-       определения критерия выбора предпочтительной альтернативы.

-       При системном подходе выявляются логистические проблемы системного анализа. Такие проблемы различаются по следующим признакам:

-       ясность и осознание постановки проблемы;

-       степень детализации элементов логистической системы и их взаимосвязь;

-       соотношение количественных и качественных факторов, задействованных в постановке проблемы.

Таким образом, можно выделить три класса логистических проблем:

.        хорошо структурированные (количественно сформулированы);

2.      неструктурированные (качественно выраженные);

3.      слабо структурированные (содержит и количественные и качественные элементы).

Основной задачей системного анализа является правильно сформулировать проблему и перевести ее из неструктурированного класса проблем в структурированный класс. Далее, собрать как можно больше информации о проблеме для того что бы разработать комплекс действий для ее решения, а так же разработать несколько вариантов развития логистической системы при различных условиях. В последнюю очередь, аналитики выявляют основные цели и критерии эффективности деятельности логистической системы.

Таким образом, системный анализ в логистической деятельности предприятия играет важнейшую роль. Потребность в системном подходе возникает, когда решение логистической проблемы предусматривает увязку цели с множеством средств для ее достижения. Так же, системный анализ помогает оценить возможные последствия в различных звеньях логистической цепи, учитывая факторы неопределенности и риска. Следует отметить, что системный анализ используется для построения новых логистических систем, а так же с целью улучшить бизнес.

Так как, системный анализ тесно связан с моделированием, он позволяет трезво оценивать ситуацию в перспективе, когда принимаются решения на долгосрочной основе. Так же системный подход применяется всегда при выработке критериев оптимальности с учетом целей развития и функционирования логистической системы.

Самой главной задачей принятия логистического решения является выбор из нескольких альтернатив действия наилучшей альтернативы. Выбранная альтернатива должна лучше всего способствовать осуществлению цели логистической системы.

2. Оптимизация логистических процессов управления транспортными потоками на примере промышленных предприятий


2.1 Методы системного анализа для решения оптимизационных задач


Самой распространенной и востребованной из оптимизационных задач в логистике является транспортная задача. В классическом виде она предполагает нахождение оптимального (т.е. сопряженного с минимальными затратами) плана грузоперевозок.

Таким образом, транспортная задача (задача Монжа - Канторовича) представляет собой - математическую задачу линейного программирования специального вида о поиске оптимального распределения однородных объектов из аккумулятора к приемникам с минимизацией затрат на перемещение.

Значительная часть логистических операций на пути движения материальных потоков от начального источника сырья до конечного потребителя осуществляется с применением различных транспортных средств. Затраты средств на такие операции могут составлять до 50% от общих затрат на логистику. Основными решаемыми задачами в области логистики являются: определение оптимального плана перевозок однородной продукции, задача размещения с учетом транспортных и производственных затрат, определение рациональных маршрутов.

Таким образом, при решении задач, которые возникают в транспортной логистике, зачастую используется модель транспортной задачи и ее различные модификации. Так как, транспортная задача является одной из самых распространенных задач линейного программирования и находит обширное применение на практике.

Теперь рассмотрим постановку транспортной задачи.

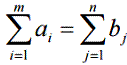
Математическая формулировка ТЗ может быть представлена следующим образом: некоторый однородный продукт, который находится у m поставщика Ai количестве ai (i=1. m) единиц соответственно, необходимо доставить n потребителям Bj в количестве bj (j=1. n) единиц. Известна стоимость cij перевозки единицы груза от i-го поставщика к j-му потребителю.

Нам необходимо составить план перевозок, который позволит вывести все грузы с минимальными затратами, а так же позволит удовлетворить все потребности заказчика.

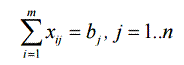
Обозначим через xij количество единиц груза, запланированных к перевозке от i-го поставщика к j-му потребителю. Тогда стоимость перевозки составит cijxij.

Стоимость всего плана перевозок можно выразить двойной суммой:

(1)

Систему ограничений получаем из следующих условий задачи:

а) все грузы должны быть перевезены, т.е.

(2)

б) все потребности должны быть удовлетворены, т.е.

(3)

Таким образом, математическая модель транспортной задачи имеет следующий вид:

Найти минимальное значение линейной функции:

 (4)

При ограничениях:

(5)  (6)

 (7)

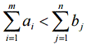
В рассмотренной модели предполагается, что суммарные запасы равны суммарным потребностям, т.е.:

(8)

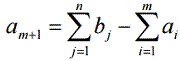
Транспортная задача, в которой суммарные запасы и потребности совпадают, т.е. выполняется условие (8), называется закрытой моделью; в противном случае - открытой. Для открытой модели может быть два случая:

а) Суммарные запасы превышают суммарные потребности:

(9)

б) Суммарные потребности превышают суммарные запасы:

(10)

Линейная функция одинакова в обоих случаях, изменяется только вид системы ограничений. Найти минимальное значение линейной функции:

(11)

При ограничениях:

В случае "а":

 (12)

(13)

(14)

В случае "б":

(15)

Открытая модель решается приведением к закрытой модели.

В случае (а), когда суммарные запасы превышают суммарные потребности, вводится фиктивный потребитель Bn+1, потребность которого

(16)

В случае (б), когда суммарные потребности превышают суммарные запасы, вводится фиктивный поставщик Am+1, запасы которого:

(17)

Как стоимость перевозки единицы груза до фиктивного потребителя (Cin+1, i=1,.,m), так и стоимость перевозки груза от фиктивного поставщика (Cm+1j, j=1,.,n) полагаются равными нулю, так как груз в обоих случаях не перевозится.

Транспортная задача имеет n+m уравнений с mn неизвестными.

Матрицу X= (xij) m,n, удовлетворяющую условиям (5) - (7), называют планом перевозок транспортной задачи.

1.      Определение. План X*, при котором целевая функция (4) обращается в минимум, называется оптимальным;

2.      Определение. План транспортной задачи называется опорным, если из его основных коммуникаций (ij; Xij>0) невозможно составить замкнутый маршрут. [2, c 3-7]

Для решения транспортной задачи по одному из методов необходимо составить опорный план. Опорный план транспортной задачи должен содержать не более m+n-1 положительных перевозок.

2.2 Постановка транспортной задачи на примере транспортировки кирпича ведущих заводов Краснодарского края в различные города Южного Федерального Округа


В настоящее время транспортная задача линейного программирования получила широкое применение в теоретических обработках, а так же в практическом применении на транспорте и промышленности. Транспортная задача, посредством системного анализа, помогает решать такие важные задачи, как рационализация постановок важнейших видов промышленной и сельскохозяйственной продукции. С ее помощью осуществляется создание оптимального плана грузопотоков и работы различных видов транспорта.

Рассмотрим на примере, у нас есть несколько складов заводов-поставщиков, где хранится требуемая продукция. Нам известны объем запасов требуемой продукции, а так же тарифы на перевозку товара от каждого склада к каждому магазину. Нам требуется разработать такой план перевозок, что бы магазины-заказчики получили требуемое количество продукции при минимальных затратах на транспортировку. Следовательно, именно в таких случаях целесообразно решить транспортную задачу.

Рассмотрим решение транспортной задачи на примере доставки кирпича ведущих заводов Краснодарского края в различные города Южного Федерального Округа.

У нас имеется четыре завода-производителя кирпича и других строительных материалов:

-       ОАО "Славянский кирпич";

-       ОАО "Новокубанский завод керамических стеновых материалов”;

-       ОАО "Губский кирпичный завод";

-       ОАО "Краснодарский кирпич".

Опишем краткую характеристику деятельности каждого из вышеперечисленных заводов.

ОАО "Славянский кирпич" - крупнейшее предприятие по производству керамического кирпича на Юге России.

Основным видов деятельности предприятия является - производство всех видов керамического кирпича методом пластического формования. В состав ОАО "Славянский кирпич" входит два завода по производству кирпича:

-       Производство №1 в х. Галицын Славянского района Краснодарского края;

Совокупная мощность заводов компании составляет 140 миллионов штук условного кирпича в год. [19]

ОАО "Новокубанский завод керамических стеновых материалов” построен и введен в эксплуатацию в 1987 году. Завод располагает первоклассным оборудованием и технологией ведущей итальянской фирмы "Евроимпианти” и оборудованием отечественных предприятий по производству строительных машин.

Продукция ОАО "НЗКСМ" отнесена к кирпичу улучшенного качества и рекомендована:

-       для возведения зданий повышенной этажности;

-       в сейсмических зонах.

Производительность завода 65-70 млн. штук условного кирпича в год. Формование кирпича осуществляется методом пластического прессования.

ОАО "Губский кирпичный завод" был построен в 1996 году в станице Губской Мостовского района в живописной юго-восточной зоне Краснодарского края.

Технологический процесс ведется непрерывным способом и включает в себя ряд мероприятий от добычи компонентов глинистого сырья до сдачи готовой продукции на склад:

-       добыча и первичная переработка глинистого сырья в карьерах, складирование в бурты;

-       поставка сырья автомобильным транспортом из карьера в крытый глинозапасник;

-       подготовка сырья: дробление, измельчение, перемешивание;

-       сушка кирпича-сырца в туннельной печи;

-       обжиг в туннельной печи;

-       разгрузка на деревянные поддоны, упаковка в полиэтиленовую пленку готовой продукции;

-       отгрузка вилочными погрузчиками кирпича на склад готовой продукции.

Мощность завода позволяет выпускать в год более 30 млн. шт. керамического кирпича различных цветов, а так же около 600 тыс. шт. песчано-цементной продукции.

ОАО "Краснодарский кирпичный завод" - старейшее и известнейшее предприятие по производству строительных материалов Краснодарского края и Юга России. Завод включает в себя четыре расположенных в разных частях края цеха по выпуску кирпича марок М-75, М-100, М-125, В состав шихты для производства кирпича входят: глина, "шамот" (дроблённый до фракции не более 5мм кирпичный щебень), лузга, опилки. Также ККЗ имеет цех, специализирующийся на обработке природного камня, в частности мрамора, гранита и некоторых других пород. Из природного камня на заводе изготавливаются плиты облицовочные пиленые, различные классические архитектурно-строительные изделия с фигурной фаской - ступени, столешницы, подоконники.

Продукция Краснодарского кирпичного завода:

-       кирпич и камни керамические и силикатные;

-       материалы стеновые.

На собственной базе завод предлагает различную продукцию: кирпич керамический и клинкерный полнотелый, кирпич керамический и клинкерный высокопрочный, торговые поставки кирпича для строительства. [18]

Благодаря такому масштабному производству, продукция заводов транспортируется по всему Краснодарскому краю, а так же за его пределы. Кирпич доставляется как напрямую к известным строительным фирмам, так и в специализированные магазины, которые занимаются его продажей.

Для постановки транспортной задачи, мы возьмем несколько магазинов-заказчиков, которые осуществляют закупку кирпича на вышеперечисленных кирпичных заводах, с целью его реализации на рынке.

Наиболее крупными магазинами являются: "Кирпичная компания" (г. Краснодар), ТД "Фазенда" (п. Энем), "Супермаркет кирпича" (г. Армавир) и "ЮГСТРОЙТОРГ" (г. Анапа).

Эти компании специализируются на продаже кирпича, а так же других необходимых для строительства материалов. Основой деятельности являются оптовые, розничные продажи облицовочного кирпича, натурального природного камня для всех типов строительства. Компании имеют в своем распоряжении собственные складские помещения, которые оборудованы стеллажами, а так же необходимой техникой для оперативной и качественной работы.

Для того что бы облегчить постановку транспортной задачи мы возьмем только один вид продукции заводов производителей - облицовочный кирпич красного цвета. В таблице 2.1 будет описана его характеристика.

Таблица 2.1 - Характеристика кирпича

Название критерия

Характеристика критерия

Формат

1 NF

Цвет

Красный

Марка прочности

М 125

Размер

250х120х65

Вес

2,4 кг


Цена и запасы кирпича на представленных нами заводах отличается. Для удобства данные представлены в таблице 2.2.

Таблица 2.2 - Цены и запасы продукции

Завод-производитель

Цена на 1 штуку, руб.

Предложение поставщиков, штук

ОАО "Славянский кирпич"

23

50 000

ОАО "Губский кирпичный завод"

19, 95

55 000

ОАО "Новокубанский завод керамических стеновых материалов”

17, 43

50 000

ОАО "Краснодарский кирпич"

20

40 000


Для постановки транспортной задачи необходимо узнать расстояние от начального пункта до конечного пункта доставляемой продукции. Рассмотрим данные представленные в таблице 2.3.

Таблица 2.3 - Расстояние от поставщика до заказчика (расчет производится в километрах)

Завод-производитель/ магазин-заказчик

"Кирпичная компания" (г. Краснодар)

"Супермаркет кирпича" (г. Армавир)

ТД "Фазенда" (п. Энём)

"Югстрой-торг" (г. Анапа).

ОАО "Славянский кирпич"

82

301

124

87

ОАО "Губский кирпичный завод"

225

109

227

337

Завод-производитель/ магазин-заказчик

"Кирпичная компания" (г. Краснодар)

"Супермаркет кирпича" (г. Армавир)

ТД "Фазенда" (п. Энём)

"Югстрой-торг" (г. Анапа).

ОАО "Новокубанский завод керамических стеновых материалов"

219

15

208

376

ОАО "Краснодарский кирпич"

5

219

19

161


Главной составляющей является расход топлива на транспортировку продукции от производителя до потребителя. В таблице 2.4 представлен расчет стоимости доставки продукции исходя из транспортных тарифов.

Таблица 2.4 - Расценки предприятий-поставщиков на автомобильную доставку продукции

Завод (поставщик) / компания (заказчик)

Стоимость перевозки (до 50 км), руб.

Стоимость перевозки (свыше 51 км), руб.

ОАО "Славянский кирпич"

1 500

40 руб. +200 рублей/ пакет (разгрузка)

ОАО "Губский кирпичный завод"

2 000

45 руб. +200 рублей/ пакет (разгрузка)

ОАО "Новокубанский завод керамических стеновых материалов”

3 000

40 руб. + 150 рублей/ пакет (разгрузка)

ОАО "Краснодарский кирпич"

2 500

50 руб. +100 рублей/ пакет (разгрузка)


Для процесса транспортировки необходимо знать объемы заказываемой продукции. Спрос на продукцию определяется индивидуально каждым заказчиком. Исходя из спроса потребителя, завод формирует свои запасы и оптимизирует производство, для того что бы предоставить необходимое количество товара в назначенный срок. Данные о спросе магазинов-заказчиков предоставлены в таблице 2.5.

Таблица 2.5 - Необходимый объем заказываемой продукции

Название предприятия

Объем товара, штук

"Кирпичная компания" (г. Краснодар)

40 000

"Супермаркет кирпича" (г. Армавир)

35 000

ТД "Фазенда" (п. Энем)

42 000

"Югстрой-торг" (г. Анапа)

60 000


Для решения поставленной задачи нам необходимо рассчитать стоимость транспортировки продукции двумя методами.

Для расчетов будут использованы такие критерии как:

-       расстояние между начальным и конечным пунктом транспортировки товара;

-       стоимость кирпича;

-       транспортные тарифы на перевозку и загрузку/разгрузку товара (автомобильным транспортом);

-       предложение товара завода-поставщика;

-       спрос на товар магазина-заказчика.

Первый метод рассматривает оптимальный вариант доставки продукции от начального пункта до конечного потребителя, исходя из стоимости партии товара, его транспортировки и загрузки.

Данный метод поможет нам оптимизировать и рационально распределить весь объем продукции, которую производят кирпичные заводы, с целью максимально снизить стоимость транспортировки и полностью доставить продукцию каждому из заказчиков.

Стоимость продукции играет ключевую роль в определении оптимального маршрута. Исходя из данных представленных в таблице 2.2 и таблице 2.5., можно рассчитать стоимость заказа с учетом цены за 1 штуку кирпича и объемом заказа магазина. Расчеты приведены в таблице 2.6.

Таблица 2.6 - Стоимость кирпича с учетом спроса и цены за 1 кирпич (расчет произведен в рублях)

Завод (поставщик) / компания (заказчик)

"Кирпичная компания" (г. Краснодар)

"Супермаркет кирпича" (г. Армавир)

ТД "Фазенда" (п. Энем)

"Югстрой-торг" (г. Анапа)

ОАО "Славянский кирпич"

920 000

805 000

966 000

1 380 000

ОАО "Губский кирпичный завод"

798 000

698 250

837 900

1 197 000

ОАО "Новокубанский завод керамических стеновых материалов”

697 200

610 050

732 060

1 045 800

ОАО "Краснодарский кирпич"

800 000

700 000

840 000

1 200 000


После расчета стоимости кирпича, производится расчет транспортировки груза с учетом тарифной ставки производителя. Каждый из производителей товара назначает свой тариф на перевозку продукции. Стоимость транспортировки продукции зависит от ряда факторов таких как, грузоподъемность автомобильного транспорта и вместимость.

В таблице 2.7 отражены расчеты стоимости перевозки с учетом расстояния между населенными пунктами, в которых находятся заказчики и поставщики. Для расчета нам потребуются данные о тарифных ставках, которые ранее указывались в таблице 2.4.

Таблица 2.7 - Стоимость доставки продукции за один заезд (расчеты произведены в рублях)

Завод (поставщик) / компания (заказчик)

"Кирпичная компания" (г. Краснодар)

"Супермаркет кирпича" (г. Армавир)

ТД "Фазенда" (п. Энем)

"Югстрой-торг" (г. Анапа)

ОАО "Славянский кирпич"

2 780

11 740

4 460

2 980

ОАО "Губский кирпичный завод"

9 875

4 655

9 965

14 915

ОАО "Новокубанский завод керамических  стеновых материалов"

9 760

3 000

9 320

16 040

ОАО "Краснодарский кирпич"

2 500

10 950

2 500

8 050



В таблице 2.7 стоимость доставки рассчитывалась с учетом километража, т.е. в расчетах зафиксирована стоимость, которая определялась как единая ставка за 50 первых километров, позже прибавлялась цена за каждый последующий километр.

Как указывалось ранее, важным критерием является грузоподъемность задействованного транспорта. Для того что бы доставить необходимый объем продукции до поставщика, необходимо так же определить количество транспорта которое понадобится для перевозки. Заводы-производители зачастую используют несколько видов автомобильного транспорта для транспортировки продукции.

Для малых объемов товара используются малогабаритные машины, следовательно, для большого количества продукции используется специальная грузовая техника, которая за один заезд может перевезти до 20 поддонов с кирпичами. Таким образом, мы условно рассчитаем количество грузовых машин, которые нам понадобятся для транспортировки заданных объемов продукции. Исходя из того, что 20 поддонов это приблизительно 10 000 штук кирпича, нам понадобятся 4 грузовых машины для доставки в Краснодар, Энем и Армавир и 6 грузовых машин для доставки кирпича в Анапу. Таким образом, используя таблицу 2.7, в которой указывается стоимость доставки за один заезд, можно легко узнать стоимость транспортировки продукции несколькими грузовыми машинами. Данные рассчитаны в таблице 2.8.

Таблица 2.8 - Стоимость доставки несколькими грузовыми машинами (расчет произведен в рублях)

Завод (поставщик) / компания (заказчик)

"Кирпичная компания" (г. Краснодар)

"Супермаркет кирпича" (г. Армавир)

ТД "Фазенда" (п. Энем)

"Югстрой-торг" (г. Анапа)

ОАО "Славянский кирпич"

11 120

46 960

13 340

17 880

ОАО "Губский кирпичный завод"

39 500

18 620

39 860

89 490.

ОАО "Новокубанский завод керамических стеновых материалов"

39 040

12 000

37 280

96 240

ОАО "Краснодарский кирпич"

10 000

43 800

10 000,00

48 300


Теперь необходимо определить стоимость разгрузки/загрузки кирпича. Для этого обратимся к таблице 2.4 Так как вместимость одной грузовой машины это 20 поддонов, то при доставке продукции на четырех машинах приходится выгружать 80 поддонов. Таким образом, при расчете стоимости разгрузки мы учитываем тариф на разгрузку/загрузку и количество задействованных грузовых машин (см. табл. 2.9).

Таблица 2.9 - Стоимость загрузки/разгрузки (расчет производится в рублях)

Завод (поставщик) / компания (заказчик)

"Кирпичная компания" (г. Краснодар)

"Супермаркет кирпича" (г. Армавир)

ТД "Фазенда" (п. Энем)

"Югстрой-торг" (г. Анапа)

ОАО "Славянский кирпич"

16 000

16 000

16 000

24 000

ОАО "Губский кирпичный завод"

16 000

16 000

16 000

24 000

Завод (поставщик) / компания (заказчик)

"Кирпичная компания" (г. Краснодар)

"Супермаркет кирпича" (г. Армавир)

ТД "Фазенда" (п. Энем)

"Югстрой-торг" (г. Анапа)

ОАО "Новокубанский завод керамических стеновых материалов"

12 000

12 000

12 000

18 000

ОАО "Краснодарский кирпич"

8 000

8 000

8 000

12 000


Транспортная задача называется открытой, если не соблюдается баланс между объемом спроса и объемом предложения. Например, если запасы на всех складах меньше или больше потребностей всех магазинов - потребителей, то имеем дело с открытой транспортной моделью.

Для того, чтобы применить к задаче метод потенциалов, необходимо привести открытую транспортную задачу к закрытой модели. Т.е. необходимо выполнить преобразования, при которых, "то, что есть, станет равным, тому, что надо".

Так как, в поставленной задаче предложение поставщика превышает спрос потребителя, потребуется ввести фиктивного потребителя. Это необходимо для того, что бы привести открытую транспортную задачу к закрытому (замкнутому) виду. Так как в реальности фиктивный поставщик (потребитель) не существует, то стоимость доставки до него от любого пункта равна нулю.

Так как общее предложение поставщиков превышает потребность магазинов-заказчиков, то для фиктивного потребителя вводиться разница между запасом и потребностями. То есть:

.        40 000 + 35 000 + 42 000 + 60 000 = 177 000 (спрос на продукцию)

2.      50 000 + 55 000 + 50 000 + 40 000 = 195 000 (предложение поставщиков)

.        195 000 - 177 000 = 18 000 (невостребованная продукция)

Для того что бы приступить непосредственно к решению транспортной задачи, остается сложить вышеуказанные критерии между собой. Тогда получим таблицу (см. приложение А), в котором рассчитаны общие затраты на транспортировку продукции. Сюда входит стоимость кирпича, затраты на доставку и разгрузку/загрузку продукции.

Составим целевую функцию транспортных затрат, таким образом получим задачу минимизации транспортных затрат:

F = 947 120X11 + 867 960X12 + 995 340рX13 + 1 421 880X14 + 853 500X21 + 732 870X22 + 893 760X23 + 1 310 490X24 + 748 240X31 + 634 050X32 + 634 050X33 + 1 160 040X34 + 818 000X41 + 751 800X42+858 000X43 + 1 260 300X44 → min. При ограничениях:

X11 + X12 + X13 + X14 = 50 000

X21 + X22 + X23 + X24 = 55 000

X31 + X32 + X33 + X34 = 50 000

X41 + X42 + X43 + X44 = 40 000

X11 + X21 + X31 + X41 = 40 000

X12 + X22 + X32 + X42 = 35 000

X13 + X23 + X33 + X43 = 42 000

X14 + X24 + X34 + X44 = 60 000

Где, выполняется условие:

Xij ≥ 0, i, j = 1,2,3,4.

С помощью программы Microsoft Excel 2010, составляем таблицу и вводим в нее исходные данные, таким образом получаем таблицу, которая учитывает спрос заказчиков и предложения поставщиков (см. приложение Б).

Для расчета оптимизации затрат необходимо применить функцию "сервис → поиск решения". Таким образом, получаем таблицу (см. приложение В) в которой содержится решение транспортной задачи.

Исходя из решения, представленного таблице (см. приложение В), можно сделать вывод о том что минимальные суммарные затраты на перевозку груза равны 169 858 490 000 руб.

Они достигаются путем распределения поставок между поставщиками и заказчиками. То есть, например, поставщик ОАО "Новокубанский завод керамических стеновых материалов" должен доставить груз только потребителю "Югстрой-торг" (г. Анапа) в колличестве 50 000 единиц. ОАО "Губский кирпичный завод" доставит продукцию в два пункта в "Супермаркет кирпича" (г. Армавир) в размере 35 000 ед. и "Югстрой-торг" (г. Анапа) в размере 20 000 ед.

Услугами ОАО "Краснодарский кирпич" так же возпользуются, такие магазины как: "Кирпичная компания" (г. Краснодар), ТД "Фазенда" (п. Энем) и "Югстрой-торг" (г. Анапа). Кирпичный завод ОАО "Славянский кирпич" организует поставку в размере 32 000 ед. заказчику ОАО "Краснодарский кирпич", а 18 000 ед. останется невостребована (фиктивный потребитель).

Для решения траспортной задачи вторым методом, будут использованы два критерия: стоимость кирпича и стоимость его загрузки. Такой метод актуален для предприятий которые практикуют самовывоз продукции.

Строим новую таблицу, в которой будет отражена суммарная стоимость киприча и стоимость его загрузки.

Данные по этим критериям представлены в таблицах 2.6 и 2.9.

Таблица 2.10 - Суммарная стоимость кирпича и его загрузки (расчет производится в рублях)

Завод (поставщик) /компания (заказчик)

"Кирпичная компания" (г. Краснодар)

"Супермаркет кирпича" (г. Армавир)

ТД "Фазенда" (п. Энем)

"Югстрой-торг" (г. Анапа)

Запас, штук

ОАО "Славянский кирпич"

936 000

821 000

982 000

1 404 000

50 000

ОАО "Губский кирпичный завод"

814 000

714 250

853 900

1 221 000

55 000

ОАО "Новокубанский завод керамических стеновых материалов"

709 200

622 050

744 060

1 063 800

50 000

ОАО "Краснодарский кирпич"

808 000

708 000

848 000

1 212 000

40 000


Составим целевую функцию транспортных затрат, таким образом получим задачу минимизации транспортных затрат при расчете вторым методом:

= 936 000X11 + 821 000X12 + 982 000X13 + 1 404 000X14 + 814 000X21 + 714 250X22 + 853 900X23 + 1 221 000X24 + 709 200X31 + 622 050X32 + 744 060X33 + 1 063 800X34 + 808 000X41 + 708 000X42 + 848 000X43 + 1 212 000X44 → min

При тех же органичениях.

С помощью программы Microsoft Excel 2010, снова составляем подобную таблицу (см. приложение Б), и испозуя "Поиск решения" аналогично находим оптимизацию траспортных затрат, в которой используется только стоимость кирпича и загрузка кирпича в транспортное средство (см. приложение Г).

Из представленной таблицы (см. приложение Г), можно сделать вывод о том что без учета стоимости транспортировки, распределение продукции кадинально изменилось. Теперь для заказчика "Супермаркет кирпича" (г. Армавир) целесообразней пользоваться услугами кирпичного завода ОАО "Славянский кирпич". А для заказчика "Кирпичная компания" (г. Краснодар) выгоднее закупать продукцию у кирпичных заводов ОАО "Губский кирпичный завод" и ОАО "Краснодарский кирпич".

Таким образом, при расчете стоимости заказа при наличии только двух критериев (стоимость кирпича и стоимость разгрузки), общие затраты составят 161 967 800 546,95р.

Следовательно, при условии самовывоза продукции предприятия имеют возможность сэкономить, за счет снижения транспортных издержек около 5 млн. руб. (условно).

2.3 Задача многокритериальной оптимизации транпортных потоков


Задачи многокритериальной оптимизации возникают в тех случаях, когда имеется несколько целей, которые не могут быть отражены одним критерием (например, стоимость и надежность). Требуется найти точку области допустимых решений, которая минимизирует или максимизирует все такие критерии.

Некоторые частные критерии могут противоречить друг другу, другие действуют в одном направлении, третьи - индифферентны, безразличны друг к другу. Поэтому процесс решения многокритериальных задач неизбежно связан с экспертными оценками как самих критериев, так и взаимоотношений между ними

Основная трудность принятия решений в условиях определенности связана с наличием нескольких критериев. Так как у нас имеются несколько критериев нам необходимо свести решение транспортной задачи к выбору наилучшего критерия. Для того что бы решить задачу многокритериальной оптимизации необходимо ввести метод весовых коэффициентов.

Этот метод также является относительно простым. Он применяется в том случае, если ответить на прямые вопросы по каким-то причинам не представляется возможным, и все, что можно сделать - это ранжировать факторы в порядке приоритетности.

Суть метода заключается в том, что каждому из показателей критериев, исходя из его относительной важности, лицо, принимаемое решение, присваивает свой весовой коэффициент, причем сумма весовых коэффициентов равна единице.

Недостатком данного метода является то, что весовые коэффициенты подбираются субъективным путем, в то время как небольшое приращение коэффициента оказывает существенное влияние на изменение функции.

Построение единого показателя производится путем суммирования произведений имеющихся показателей на "весовые" коэффициенты (коэффициенты важности показателей). Исходя из его относительной важности, лицо, принимающее решение, присваивает свой весовой коэффициент, причем сумма весовых коэффициентов равна единице.

Пусть имеется совокупность критериев: , которые необходимо максимизировать, и  принадлежит допустимой области .

Если все критерии измеряются в одной шкале, то компромиссный критерий можно записать в виде взвешенной суммы критериев:

 

(18)

 

где  - вес соответствующего критерия.

Математическая модель нахождения компромиссного решения, в которой две целевые функции и система ограничений линейны имеет следующий вид.

Найти компромиссное решение по двум показателям:

 

(19)

 

При ограничениях:

  (20)

 

Недостатком данного метода является то, что весовые коэффициенты подбираются субъективным путем, в то время как небольшое приращение коэффициента оказывает существенное влияние на изменение функции. [25]

Рассмотрим применение данного метода на практике. Так как в поставленной транспортной задачи, рассматриваются два метода транспортировки продукции, выбираем более приоритетный. Исходя из логических рассуждений, выбираем засчет главного критерия стоимость кирпича и стоимость его загрузки в транспорт (2 метод). Тогда получим:

Тогда будем считать что первый метод (критерий) имеет вес ƛ1= 1/3, а второй метод имеет вес ƛ2=2/3. Таким образом, в качестве главного критерия будет использоваться второй критерий.

Далее переходим к решению задачи. Для решения многокритериальной задачи, ее необходимо преобразовать ее в однокритериальную. С помошью программы Microsoft Excel 2010 строим таблицу в которой объединяем оба критерия используя функцию: F3= F1* ƛ1+F2* ƛ2. Данные представлены в таблице 2.11.

 

Таблица 2.11 - Объединение критериев методов весовых коэффициентов (расчет производится в рублях)

Завод (поставщик) / компания (заказчик)

"Кирпичная компания" (г. Краснодар)

"Супермаркет кирпича" (г. Армавир)

ТД "Фазенда" (п. Энем)

"Югстрой-торг" (г. Анапа)

ОАО "Славянский кирпич"

930 310

828 287

976 582

1 395 860

ОАО "Губский кирпичный завод"

818 895

713 252

858 515

ОАО "Новокубанский завод керамических стеновых материалов"

714 991

619 790

748 922

1 084 921

ОАО "Краснодарский кирпич"

803 220

715 374

842 820

1 215 819


Теперь выполняем "Поиск решения" в Microsoft Excel 2010 и находим оптимальное решение для данной задачи (см. приложение Д).

Таким образом, исходя из табличного изображения (см. приложение Д), можно сделать вывод о том что общие затраты на транспортировку продукции составят 163 275 918 300р. Распределение продукции между заказчиками снова изменилось, теперь для "Кирпичной компании" (г. Краснодар) необходимо доставить придукцию только с завода ОАО "Славянский кирпич" в размере 32 000 ед. А для заказчика "Супермаркет кирпича" (г. Армавир) поставка будет производится с кирпичного завода ОАО "Губский кирпичный завод" в размере 35 000 ед. Торговому дому "Фазенда" (п. Энем) целесообразней закупать продукцию у двух производителей: ОАО "Губский кирпичный завод" и ОАО "Краснодарский кирпич". А для развивающейся компании "Югстрой-торг" (г. Анапа) большая часть продукции будет поступать от ОАО "Новокубанский завод керамических стеновых материалов", а остальная часть от ОАО "Краснодарский кирпич". На долю невостребованной продукции в размере 18 000 ед. будет приходится часть продукции ОАО "Славянский кирпич".

Решив многокритериальную задачу с помощью метода весовых коэффициентов можно увидеть, что при объединении двух критериев значительно понижается стоимость затрат на транспортировку продукции, за счет более рационального распределения продукции между заказчиками и поставщиками.

Данный метод системного анализа помогает оптимизировать траспортные потоки доставки продукции, посредством рационального распределения продукции между торговыми точками. Таким образом, транспортная задача позволит разработать наиболее экономичный план транспортировки продукции одного вида из нескольких пунктов отправления в пункты назначения.

3. Пути повышения эффективности логистических транспортных потоков предприятия


3.1 Разработка мероприятий по совершенствованию системы грузоперевозок для промышленных предприятий Краснодарского края


В настоящее время рынок торговли стремительно развивается, и все чаще сталкивается с рядом проблем, которые касаются автоматизации информационных и материальных потоков. Для вышеуказанных промышленных предприятий Краснодарского края, логистика является неотъемлемым элементом, ведь именно благодаря ей осуществляется связь между производителем и потребителем данного рода продукции.

С целью минимизировать затраты на транспортировку груза, промышленные компании стремятся оптимизировать всю логистическую цепь, применяя для этого различные методы, такие как системный анализ всей отдельных частей транспортировочного процесса, так и всей логистической системы в целом.

На примере промышленных предприятий Краснодарского края, будут сформированы основные мероприятия по улучшению эффективности транспортировки грузов, между отдельными заводами по производству кирпича и крупными торговыми фирмами, осуществляющих закупку продукции на данных заводах.

Одной из самых главных задач стоящих перед промышленным предприятием в сфере доставки продукции является выбор оптимального маршрута. Решение данной задачи позволит улучшить ряд факторов:

-       снижение затрат на топливо;

-       позволит более рационально использовать ресурсы автопарка предприятия;

-       обеспечит своевременную доставку груза заказчику.

Таким образом, оптимизация маршрута позволит предприятия существенно сократить расходы на транспортировку груза, а так же затраченное время в пути от поставщика к потребителю и существенно уменьшит время простоя машин в очередях на разгрузку и загрузку продукции. Заблаговременная разработка рациональных маршрутов упрощает оперативное планирование перевозок и повышает их эффективность.

В ходе организации перевозок необходимо выявить основные требования к качеству маршрутов:

-       перевозка должна осуществляться по кратчайшему расстоянию;

-       обеспечивать минимальную долю холостых и нулевых пробегов в суммарном пробеге автомобиля;

-       снижать нерациональные гружёные пробеги за счёт исключения встречных перевозок;

-       максимально использовать грузоподъёмность подвижного состава;

-       время работы автомобиля должно соответствовать времени в наряде;

-       возможность диспетчерского руководства.

В первую очередь необходимо выявить возможность маятниковых маршрутов на постоянных грузопотоках. Маятниковым маршрутом с обратным гружёным пробегом следует отдавать предпочтение, так как они более высокое значение коэффициента использования пробега, а организовать их легче, чем кольцевые маршруты.

Таким образом, исходя из решенной во 2 главе многокритериальной задачи оптимизации (см. приложение Д), рассмотрим основные маршруты следования грузового транспорта от начального пункта до конечного пункта.

На долю кирпичного завода ОАО "Славянский кирпич" приходится только один условный маршрут транспортировки продукции в фирму "Кирпичная компания", которая располагается в городе Краснодар. При организации маршрута следования исходящего из населенного пункта Славянска-на-Кубани в город Краснодар целесообразно применить построение маятникового маршрута. Для наглядности на рисунке 3.1 представлена карта расстояний между этими городами.

Рисунок 3.1 - Маршрут транспортировки продукции "г. Славянск-на-Кубани - г. Краснодар"

Исходя из рисунка 3.1 необходимо отметить, что при построении маршрута предлагается несколько вариантов прохождения данного расстояния. Но так как цель предприятия это минимизация затрат, то выбирается тот маршрут, который позволит затратить меньшее количество времени, и в свою очередь поможет снизить затраты на топливо для грузового автотранспорта.

Для организации перевозки продукции кирпичного завода ОАО "Новокубанский завод керамических стеновых материалов" в строительную фирму "Югстрой-торг" (г. Анапа) так же применяется маятниковый маршрут. Данные представлены на рисунке 3.2.

Рисунок 3.2 - Маршрут транспортировки продукции "г. Новокубанск - г. Анапа"

Для реализации маршрута (рисунок 3.2.) предоставлены три варианта прохождения этого расстояния. Оптимальным маршрутом будет является тот, при котором затраты на транспортировку минимальны. Так как, расстояния приблизительно равны, то для более рационального решения необходимо проанализировать пропускную способность трасс и другие критерии оптимизации транспортного маршрута.

При построении маршрута для кирпичного завода ОАО "Краснодарский кирпич" важно учитывать, что груз будет доставляться по двум направлениям к заказчику ТД "Фазенда" (п. Энем) и "Югстрой-торг" (г. Анапа). Маршрутная карта представлена на рисунке 3.3.

Рисунок 3.3 - Маршрут транспортировки продукции "г. Краснодар - п. Энем - г. Анапа"

На рисунке 3.3 маршрут простроен, таким образом, что грузопоток проходит последовательно через поселок Энем, а затем грузовой транспорт следует в конечную точку в город Анапа. Такое построение маршрута позволяет значительно сократить затраты на транспортировку продукции.

Кольцевой маршрут следует организовывать при невозможности построения маятниковых маршрутов. Для оптимизации транспортировки груза необходимо выбрать такой начальный и конечный пункт, при которых, нулевые пробеги будут минимальными. Примером построения кольцевого маршрута можно представить оптимальный маршрут следования грузового транспорта из начального пункта ОАО "Новокубанский завод керамических стеновых материалов" (ст. Губская) по основным направлениям доставки продукции в конечные пункты "Кирпичная компания" (г. Краснодар), "Супермаркет кирпича" (г. Армавир) и ТД "Фазенда" (п. Энем). На рисунке 3.1 представлена карта, с проложенным маршрутом от завода-производителя до фирм-заказчиков.

Рисунок 3.4 - Маршрутная карта "ст. Губская - Энем - Краснодар-Армавир"

Важнейшим преимуществом кольцевого маршрута является минимальное количество холостых пробегов при перевозке заданного объема груза. Следовательно, при кольцевом - развозочном маршруте главной задачей является - сокращение загруженного пробега и времени объезда всех заказчиков, при изначально максимальной загруженности транспортного средства.

С помощью маршрутизации транспортировки продукции решается ряд задач, таких как:

-       определение пути следования грузовых автомобилей;

-       определение последовательности объезда пунктов;

-       составление расписания движения автомобильного транспорт.

Методы создания маршрута способствует рациональному распределению объема транспортировки груза с заводов Краснодарского края, а так же позволяет установить оптимальное количество грузовых машин, которые задействованы в перевозке. Вместе с тем маршрутизация перевозок позволяет повысить производительность автомобиля, при одновременном сокращении количества транспортных средств, поступающих на предприятие оптовой торговли.

Правильное составление маршрутов обеспечит достижение наивысшего коэффициента использования пробега, а, следовательно, обеспечивает снижение себестоимости перевозок.

Одной из приоритетных областей введения инноваций является ввод терминальной технологии. Терминал - это специальный комплекс сооружений, персонала, технических и технологических устройств, организационно взаимоувязанных и предназначенных для выполнения логистических операций, связанных с приемом, погрузкой-разгрузкой, хранением, сортировкой, грузопереработкой различных партий грузов, а также коммерческо-информационным обслуживанием грузополучателей, перевозчиков и других логистических посредников в перевозках.

Для оптимизации транспортных потоков и снижении стоимости перевозок терминалы следует расположить в основных узлах грузопотоков Краснодарского края. Изучив спрос на транспортные услуги в крае, наиболее целесообразно расположить терминалы в следующих населенных пунктах: Краснодар, Анапа, Славянск-на-Кубани, Туапсе, Сочи, Майкоп, Новороссийск и Армавир. Так как эти города находятся на основных магистралях региона и охватывают весь Краснодарский край.

3.2 Экономическая эффективность предложенных мероприятий


В современных условиях социально-экономических преобразований, которые происходят в Краснодарском крае, степень важности грузового автотранспорта неуклонно растет. Численность зарегистрированного грузового транспорта за последние годы представлена на рисунке 3.5.

Рисунок 3.5 - Численность зарегистрированного грузового транспорта в Краснодарском крае

Таким образом, рост автомобильных перевозок в Краснодарском крае имеет положительную тенденцию. С целью оптимизации транспортных потоков создаются благоприятные условия для внедрения совершено новых технологий в логистическую систему.

Одной из таких технологий является создание терминальной системы. Терминалы в разы увеличат эффективность транспортной логистики, помогут снизить затраты на транспортировку, загрузку/отгрузку и хранение грузов.

Сущность терминальной технологии заключается в расчленении процесса доставки груза на три взаимосвязанных под процесса: развоз мелкопартионных грузов между клиентами и грузовыми терминалами, формирование (расформирование) крупнотоннажных отправок на терминалах, межтерминальные перевозки грузов автопоездами большой грузоподъемности.

Исходя из опыта зарубежных стран, можно отметить тот факт, что после появления автотранспортных терминалов некоторые промышленные предприятия вообще отказались от содержания складских помещений. Это произошло по причине того что терминалы стали выполнять роль промежуточных складов, а для некоторых отраслей и баз снабжения. Установлено, что клиентура пользуется их услугами исключительно благодаря возможности складирования грузов на терминалах. Особенно характерен такой род деятельности для компаний, работающих по долгосрочным соглашениям.

Необходимость строительства терминалов так же обуславливается нарастающим темпом развития края. Рост объема выпуска продукции промышленных предприятий Краснодарского края предполагает внедрение новых технологий для транспортировки груза в различные районы края, так и в целом по региону.

При помощи системного анализа были выявлены основные критерии экономической эффективности создания терминалов на территории Краснодарского края (см. приложение Е)

Таким образом, исходя из приложения Е необходимо отметить тот факт, что строительство терминалов на территории Краснодарского края позволит существенно сократить затраты на транспортировку продукции.

Для совершенствования организации перевозок грузов было предложено осуществить проект построения терминальной системы перевозок грузов в Краснодарском крае. Проект планируется осуществить при поддержке местных органов власти и на основе реализации федеральной инвестиционной программы "Российская система транспортно-экспедиционного обслуживания" (Терминал), заказчиком которой является Министерство транспорта России. [24]

Целью создания грузовых терминалов в Краснодарском крае является создание современных условий, отвечающих существующим требованиям и стандартам для оказания качественных, экономически эффективных услуг по обработке грузов, которые перевозятся на территории края.

 

.3 Проблемы и перспективы развития транспортной логистики в Краснодарском крае


В настоящее время современные транспортно-логистические концепции успешно применяются ведущими российскими компаниями в стратегическом и оперативном управлении основными сферами бизнеса.

Использование этих концепций позволяет существенно увеличить организационно-экономическую устойчивость предприятий на рынке. А так же служит своеобразным резервом для снижения уровня общих затрат ресурсов предприятия.

Большая часть логистических операций от начала движения материального потока до конечного потребителя осуществляется с применением различных видов транспортных средств. Затраты на транспортировку продукции составляют до 50% от общих затрат на логистику.

К основным задачам транспортной логистики относят задачи, решение которых усиливает согласованность действий непосредственных участников транспортного процесса. Рассмотрим их на примере Краснодарского края.

Краснодарский край - мощный транспортный узел на юге России, богатейшие залежи природных ископаемых, лесных массивов, плодородных сельскохозяйственных угодий, промышленный и сельскохозяйственный потенциал, морские порты, развитая сеть железнодорожных и автомобильных дорог - все это создает необходимые условия для выгодного вложения инвестиций в экономику Краснодарского края.

Доля транспорта в производственной инфраструктуре Краснодарского края составляет 13% валового регионального продукта и 14% налоговых поступлений во все уровни бюджетов.

Транспортный комплекс Краснодарского края - это:

-       26 тыс. км автомобильных дорог;

-       более 31 тысячи автобусов;

-       около 170 тысяч грузовых автомобилей;

-       более 1,1 млн. легковых автомобилей;

-       более 70 крупных специализированных предприятий автомобильного и городского электрического транспорта;

-       более 8,5 тысяч владельцев автобусов и легковых автомобилей осуществляют пассажирские перевозки;

-       перевозится свыше 360,6 млн. пассажиров в год;

-       24 специализированных автотранспортных предприятия. [22]

Наиболее распространенным видом транспортировки продукции является автомобильный транспорт. Так как включает в себя не только перевозку грузов, но и пассажиров. На рисунке 3.1 изображен график отображающий грузооборот и объем перевозимого груза, а так же пассажирооборот и объем перевозки пассажиров за 2014 год.

Рисунок 3.1 - Анализ транспортировки груза и пассажиров за 2014 г.

В Краснодарском крае, как и в целом по Российской Федерации, структура автогрузовой отрасли пережила существенные изменения. Произошло явное перераспределение объема грузовых перевозок, ранее выполняемого специализированными автотранспортными предприятиями, к частным перевозчикам и индивидуальным предпринимателям, доля которых увеличилась до 80%.

Крупнейшие специализированные автогрузовые предприятия, не выдерживая конкуренции с "частными" перевозчиками, уходят с рынка, их подвижной состав практически не обновляется, износ достиг 80% и продолжает нарастать, структура же автомобильного парка порой не соответствует запросам грузоотправителей. Анализ международных перевозок Краснодарского края показывает огромный бюджетный потенциал, который практически не используется по отношению к транзитным международным перевозкам.

По данным экспертов, общего объема грузов на внутрироссийских перевозках Краснодарским краем и другими регионам России местные перевозчики перевозят лишь 20-25%. На международных маршрутах этот показатель еще меньше и составляет 3%. Одной из важнейших причин этой ситуации является несоответствие структуры грузового парка специализированных предприятий края потребностям грузоотправителей. Для оптимизации работы и обеспечения безопасности в условиях увеличения движения грузового автотранспорта по территории края, администрацией Краснодарского края разработаны меры по решению проблемных вопросов транспортного комплекса.

Перспективы развития инфраструктурного потенциала отрасли транспорта и связи Краснодарского края предполагает масштабное привлечение инвестиций в реализацию крупных инфраструктурных проектов. Приоритетными задачами данного направления являются:

-       создание в крае новых дорог европейского уровня;

-       развитие инфраструктуры морских портов;

-       развитие железнодорожной инфраструктуры;

-       создания в крае опорной транспортной сети без разрывов и "узких мест" на основе логистических центров и развитой инфраструктуры;

-       внедрения новейших технологий в транспортных процессах при доставке грузов различной номенклатуры.

Что касается автодорожной инфраструктуры, Краснодарский край занимает лидирующее место в России по плотности, количеству и качеству автомобильных дорог. Общая протяженность, которых достигает около 45 тысяч километров.

Увеличение интенсивности движения по дорогам Краснодарского края, напрямую зависит от ряда факторов, таких как: увеличение количества автомобильного транспорта, рост предприятий промышленного производства и развитие туризма в летний сезон.

Наиболее загруженными направлениями на текущий момент являются автодороги "Краснодар-Новороссийск", "Джубга-Сочи", магистраль "Дон" и "Кавказ".

Важнейшей проблемой, которая тормозит развитие транспортной логистики автомобильного транспорта, низкая пропускная способность старых трасс, которая уже не удовлетворяет растущие объемы грузоперевозок. Автодорожная сеть Краснодарского края за последнее время не получила должного развития. И, следовательно, не соответствует социальным, экономическим и политическим потребностям региона.

Нельзя не отметить так же, что автодороги Краснодарского края проложены без учета возможности перевозки негабаритных, тяжеловесных и длинномерных грузов.

Актуальна так же проблема высоких транспортных затрат в себестоимости продукции. В Краснодарском крае доля транспортных затрат в себестоимости продукции составляет 20-25%, по сравнению со странами с развитой рыночной экономикой, так доля затрат составляет 7-8%. Такая ситуация наблюдается не только в конкретном крае, но и по всей России.

Для грузовых перевозок автомобильным транспортом приоритетными направлениями являются:

-       создание благоприятных условий для развития автотранспортных, экспедиторских и логистических услуг, экспорта услуг за пределы территории края и России;

-       повышение инвестиционной привлекательности сектора перевозки грузов автомобильным транспортом, его инфраструктуры.

В настоящее время на Кубани значительная нехватка современных логистических центров и качественных складских помещений. Таким образом, данный фактор оказывает негативное влияние на развитие Краснодарского края, а так же на развитие всего Южного федерального округа в целом.

Для решения вышеуказанных проблем в октябре 2012 года была разработана государственная программа РФ "Развитие транспортной системы". Она представляет собой документ, в котором определены основные цели, задачи и направления развития транспортной логистики на долгосрочной основе, окончание проекта планируется в 2020 году. Объем инвестиций из федерального бюджета для реализации данного проекта увеличился с 0,48 до 0,63% ВВП, а это 80% всех инвестиций из федерального бюджета в транспортный комплекс.

Основные усилия направлены по следующим направлениям:

-       устранение "узких мест" транспортной инфраструктуры;

-       обеспечение нормативного содержания и ремонта объектов транспортной инфраструктуры;

-       удовлетворение транспортных потребностей внешней торговли.

Так же реализуются проекты, направленные на строительство автомобильных дорог стратегического действия, которые ведут к Черноморскому побережью. Примером может послужить строительство платной автодороги Краснодар - Абинск - Кабардинка. Данный проект поможет увеличить в несколько раз мощность юго-восточной части морского порта Новороссийска, а так же позволит сократить расстояния между Краснодаром и Геленджиком на 54 километра. Эксплуатация данной дороги позволит сократить транспортные расходы на 53 млн. евро за первый год.

За прошедшие 5 лет инвестиции в экономику Кубани составили около 3,5 трлн рублей. В 2015 году будут завершены 83 инвестиционных проекта на сумму более 109 млрд рублей.

Одним из крупнейших инвестиционных проектов был реализован в 2012 году группой компаний "Danone-Юнимилк". В Краснодаре производилось строительство офисного центра, а так же складского комплекса. Объем инвестиций проекта составил более 300 млн рублей.

За период с 2011-2012 года на Кубани начали функционировать пять логистических центров: ООО "Адва", ЗАО "ЕврАзЭС Краснодар", ООО "Логоцентр Кубань" и другие. Данные логистические центры обладают обширной складской площадью, а так же возможностью выполнять до 50 погрузочно-разгрузочных операций единовременно.

Необходимо выделить еще один важный для Краснодара инвестиционный проект. Британский фонд London & Regional Properties (L&RP) заявил о реализации ряда крупных проектов в Краснодаре. Фонд планирует строительство логистических центров и отелей. Таким образом, в Краснодаре должно появиться 100 тыс. м2 новых складских помещений. [8]

Таким образом, проблема нехватки складских помещений на Кубани будет решена. Крупные складские комплексы позволят обеспечить эффективное функционирование экономики всего южного региона в целом.

В заключение необходимо отметить, что транспортно-логистическая система Краснодарского края является приоритетным направлением, с точки зрения инвестирования. Так как, именно инвестиции в транспортный комплекс помогут снизить затраты на транспортировку и обеспечить стабильный рост экономики по краю в целом.

Заключение


В квалификационной работе рассмотрена оптимизация транспортных потоков доставки продукции на примере промышленных предприятий Краснодарского края. В ходе работы были рассмотрены основные методики оптимизации транспортировки продукции, был проведен системный анализ деятельности кирпичных заводов Краснодарского края и предложены мероприятия с целью повышения эффективности транспортной логистики в целом по краю.

В настоящее время развитие транспортной логистики в Краснодарском крае набирает обороты. В перспективе развития края наблюдается ряд изменений, связанных в первую очередь с инвестированием многочисленных проектов по оптимизации транспортных потоков доставки продукции. В первую очередь это связано, с обновлением автопарка, строительством складских помещений и новых автомобильных дорог.

По итогам работы необходимо отметить, полноту решения поставленных задач. Полностью рассмотрены основные аспекты транспортной логистики на примере промышленных предприятий Краснодарского края, дана характеристика кирпичных заводов края: ООО "Славянский кирпич", ОАО "Губский кирпичный завод", ОАО "Новокубанский завод керамических стеновых материалов", ОАО "Краснодарский кирпич" и предложены необходимые мероприятия для оптимизации их деятельности в сфере транспортной логистики.

Для кирпичных заводов Краснодарского края с помощью решения транспортной задачи был разработан оптимальный маршрут доставки продукции, при котором было осуществлено рациональное распределение продукции между поставщиками и заказчиками. Следовательно, предприятия смогут минимизировать свои расходы на транспортировку продукции, повысив при этом результативность своей деятельности, за счет более эффективного управления имеющимися ресурсами.

При создании оптимального маршрута доставки продукции из кирпичных заводов до конечного потребителя были учтены следующие требования: перевозка осуществляется по кратчайшему расстоянию, по возможности были исключены холостые пробеги. Одной из самых главных задач стоящих перед промышленным предприятием в сфере доставки продукции является выбор оптимального маршрута. Решение данной задачи позволит улучшить ряд факторов: снижение затрат на топливо, позволит более рационально использовать ресурсы автопарка предприятия и обеспечит своевременную доставку груза заказчику.

С помощью многокритериальной оптимизации методом весовых коэффициентов были найдены наиболее оптимальные пути следования транспортных потоков, с учетом рационального распределения запасов предприятия между фирмами-заказчиками. Правильное составление маршрутов обеспечит достижение наивысшего коэффициента использования пробега, а, следовательно, обеспечивает снижение себестоимости перевозок. Таким образом, можно сделать вывод о том, что в итоговой квалификационной работе полностью достигнута поставленная цель.

Актуальной проблемой на сегодняшний день является нехватка логистических центров на территории края. Строительство логистических центров в первую очередь позволит оптимизировать работу всей логистической транспортной системы Краснодарского края, посредством осуществления ряда функций, таких как: анализ и контроль за конфигурацией грузопотоков, совершенствование тарификационной политики, обеспечение рационального распределения продукции между участниками логистической цепи.

Необходимо так же построить транспортные терминалы, так как они позволят создать благоприятные условия для оказания качественных услуг по переработке грузов, которые перевозятся на территории края. Строительство терминальной системы позволит снизить себестоимость продукции, за счет минимизации транспортных затрат, а так же позволит сократить время транспортировки груза и решит проблему складирования продукции. Необходимость строительства терминалов так же обуславливается нарастающим темпом развития края. Рост объема выпуска продукции промышленных предприятий Краснодарского края предполагает внедрение новых технологий для транспортировки груза в различные районы края, так и в целом по региону.

Исходя из вышесказанного, можно сделать вывод о том, что на данный момент времени, транспортная логистика в Краснодарском крае является приоритетным направлением развития. Оптимизация транспортных потоков доставки продукции является ключевым фактором в повышении потенциала края, так как на территории Краснодарского края расположены мощнейшие промышленные предприятия, которые поставляют свою продукцию во все регионы страны. Развитие транспортной логистической системы в Краснодарском крае послужит мощным толчком к переходу промышленных предприятий на более высокий уровень, тем самым обеспечив для региона благоприятную экономическую обстановку.

Список использованных источников


1        Аникин, Б.А. Логистика: учебник. - М: Инфра, 2014. - 123 с.

2       Белобродский А.В., Гриценко М.А. Поиск решений с Excel 2000. - M: Воронеж, 2011. - 6 с.

         Гаджинский А.М. Практикум по логистике: учебник. - М: Инфра, 2012. - 238 с.

         Гольштейн Е.Г., Юдин Д.Б. Задачи линейного программирования транспортного типа. - М: Наука-город, 2013. - 56 с.

         Евремов Д.В. Системный анализ и метод проектирования информационной логистической системы транспортного предприятия. - М: диссертация кандидата технических наук, 2013. - 67 с.

         Дрогобыцкий И.Н. Системный анализ в экономике.2-е изд., перераб. и доп. - М: 2014. - 65 с.

         Исследование операций в экономике: учебное пособие для студентов вузов / под ред.Н.Ш. Кремера. - М: Маркет ДС, 2012. - 402 с.

         Кизим А.А., Кизим К.А., Еременко И.Л. Инвестиционное сопровождение логистических проектов. - М: Наука и образование, 2013. - 55 с.

         Кизим А.А. Еременко И.Л. Проблемы и перспективы реализации инвестиционных проектов в сфере логистики: региональный аспект. - М: Наука и образование, 2013. - 45 с.

         Коновалова Т.В., Надирян С.Л. Состояние и перспективы развития транспортного комплекса Краснодарского края. - М: Наука и образование, 2013. - 45 с.

         Константинова М.А., Тутарова В.Д. О контроле транспортных перевозок грузов современными информационными. - М: Айсинг, 2013. - 13 с.

         Константинова М.А., Тутарова В.Д. Применение информационных технологий в транспортной логистике. - М: Бизнес-Наука-Общество, 2013. - 25 с.

         Лубенцова В.С. Математические методы в логистике. - М: под редакцией В.П. Радченко, 2014. - 65 с.

         Логистика на предприятии: электронная библиотека. URL: http://wiki-work.ru/optovaya-torgovlya/logistika-na-predpriyatii.html

15     Миротин Л.Б. Транспортная логистика - М: Экзамен, 2003. - 16 с.

         Никифоров В.В. Логистика. Транспорт и склад в цепи поставок. - М: ГроссМедиа, 2011. - 35 с.

         ООО "Краснодарский кирпич" официальный сайт. URL: http://www.slavkirp.com/? yclid=5874144076112253836

         OOO "Славянский кирпич" официальный сайт URL: http://www.slavkirp.com/? yclid=5874144076112253836

         Плоткин Б.К. Основы логистики: Учебник. - М: ЛФЭИ, 2007. - 27 с.

         Савенкова Т.И. Логистика. - М: Омега-Л, 2010. - 56 с.

         Сербин В.Д. Основы логистики Учебное пособие. - М: ТРТУ, 2014.

         Сиротинский М.С. Основы управления материальными и информационными потоками. - М: МАИ, 2011. - 87 с.

         Стратегия развития внешнеэкономической деятельности Краснодарского края до 2020 г. Краснодар. URL: https: // docviewer. yandex.ru/? url=yaserp%3A%2F%2Fwww.kubanexport.ru%2Fdownload%2Flaw%2FStrateg_VED_KK. pdf&lang=ru&c=557ace90f074&page

         Теория игр и исследование операций. - M: Новосибирский Государственный университет, 2013. - 8 с.

         Швецов В.И. Математическое моделирование транспортных потоков. - М: Мир, 2010. - 10 с.

         Шепелева А.И., Азимов К.И., Шаш Н.А. Логистика: конспект лекций/ Электронный путеводитель/ URL: http://www.tinlib.ru/delovaja_literatura/logistika_konspekt_lekcii/index. php

         Энциклопедия производственного менеджера: электронный ресурс / URL: http://www.up-pro.ru/encyclopedia/materialnyj-potok-logistika.html

         Эффективность логистических транспортных потоков: электронный путеводитель/ 2011-2014 URL: http://uvd45.ru/3-kurs/tema-effektivnost-logisticheskikh-transportnykh-potokov/6

Приложение


Показатели эффективности создания терминальной системы в Краснодарском крае

Название критерия

Наименование показателя

Значение показателя

Изменение показателя

1. Выработка подвижного состава

Выработка подвижного состава при сквозной технологии


Выработка подвижного состава при терминальной технологии

2,3

увеличиться


Относительное изменение выработки ПС при переходе к терминальной технологии

2,8

на 21%

2. Время выполнения заявки на перевозку грузов

Среднее время перевозки грузов при сквозной технологии


Среднее время перевозки грузов при терминальной технологии

9,2

уменьшится


Среднее ожидаемое изменение времени выполнения заявки при терминальной технологии

8

на 3,4 часа

3. Средняя продолжительность смены водителя в системе

Средняя продолжительность смены водителя при сквозной технологии


Средняя продолжительность смены водителя при терминальной технологии

14

сократится


Изменение средней продолжительности смены водителя при внедрении терминальной технологии

4

в 3,5 раза

4. Производительность труда в системе (выработка)

Относительное изменение числа водителей при переходе от сквозной к терминальной технологии




Относительное изменение числа водителей при переходе от сквозной к терминальной технологии

0,93

сократится на 7%


Относительное изменение выработки на одного рабочего при внедрении терминальной технологии

1,11

Увеличится на 11 %

5. Себестоимость единицы транспортной работы

Изменение себестоимости единицы транспортной работы при внедрении терминальной технологии

0,25

Уменьшится на 75%

 

Похожие работы на - Оптимизация транспортных потоков доставки продукции

 

Не нашли материал для своей работы?
Поможем написать уникальную работу
Без плагиата!
Без нейросетей!