Системы организации транспортного процесса

  • Вид работы:
    Курсовая работа (т)
  • Предмет:
    Транспорт, грузоперевозки
  • Язык:
    Русский
    ,
    Формат файла:
    MS Word
    228,43 Кб
  • Опубликовано:
    2014-09-20
Вы можете узнать стоимость помощи в написании студенческой работы.
Помощь в написании работы, которую точно примут!

Системы организации транспортного процесса

Содержание

 

Введение

Глава 1. Использование математических методов линейного программирования

.1 Алгоритм решения транспортной задачи линейного программирования

.2 Алгоритм разработки оптимальных маршрутов движения

Глава 2. Решение транспортной задачи на минимизацию стоимости доставки

.1 Расчет средней стоимости доставки продукции на склады

Глава 3. Маршрутизация перевозок

Глава 4. Расчет маршрутов

Глава 5. Задача о назначениях

Заключение

 

Введение


Логистика (logistics) - наука о планировании, контроле и управлении транспортированием, складированием и другими материальными и нематериальными операциями, совершаемыми в процессе доведения сырья и материалов до производства, внутрипроизводственной переработки сырья, материалов и полуфабрикатов, доведение готовой продукции до потребителя в соответствии с интересами и требованиями последнего, а также передачи, хранения и обработки соответствующей информации. С таким определением мы сталкиваемся, приступая к изучению логистики. Мы видим, что одной из основных функциональных областей является транспортировка продукции. Иначе говоря, потребителю нужен качественный товар в нужном количестве, в нужном месте, в нужное время и доставленный с минимальными затратами. Все перечисленные выше моменты указывают на значимость критерия логистической системы "точно в срок".

Данный критерий предполагает оптимальный выбор вида транспорта и составление графика обслуживания потребителей, что позволяет успешно выполнять задачи снабжения точно в срок.

В своей работе я рассмотрела различные транспортные аспекты, необходимые при разработке стратегии прохождения материалопотока, виды транспортных систем, управление системой доставки и сервисное транспортное обслуживание.

Перспективной областью логистики считалась разработка эффективных методов оптимизации взаимодействия - человек/машина. Такие методы могут одновременно использовать интуицию человека и понимание проблемы и способность компьютеров быстро обрабатывать информацию. По мнению специалистов логистики, компьютеры - один из факторов, который в значительной мере содействовал побуждению интереса к логистике

Информационная система рассчитана на обработку информации о простоях транспорта, о возможностях загрузки при обратном пробеге, контроль движения груза в пути, его доставка потребителю, учет сбоев в транспортной системе. Информационные системы специализируются на решении проблем вывоза и доставки грузов в режиме реального времени, т.е. по графику доставки продукции потребителю с учетом его производственного процесса.

Интересная перспектива для будущих исследований в области логистики заключается в объединении экспертной системы с транспортно-маршрутной на базе взаимосвязанной оптимизации.

Задачи, решаемые логистической системой, и выработка по ним стратегии можно разделить на три группы:

. Задачи, связанные с формированием рыночных зон обслуживания, прогнозом материалопотока, его обработкой в обслуживающей системе (склад поставщика/потребителя, предприятия оптовой торговли) и другими работами по оперативному управлению и регулированию материального потока.

. Задачи, включающие разработку системы организации транспортного процесса (план перевозок, план распределения вида деятельности, план формирования грузопотоков, график движения транспортных средств и др.).

. Задачи, связанные с управлением запасами на предприятиях, фирмах, складских комплексах, размещение запасов и их обслуживание транспортными средствами, информационными системами.

Решение этих задач особенно актуально в условиях рынка.

 

Глава 1. Использование математических методов линейного программирования


Органическими частями транспортной сети являются железные дороги, речные и морские, судоходные пути, автомобильные дороги и трубопроводы для транспортировки нефти и газа, сеть воздушных линий. Каждый из этих видов представляет совокупность средств и путей сообщения, различных технических устройств и сооружений для обеспечения эффективной работы.

В зависимости от задач и стратегии компании осуществляется выбор транспорта для доставки продукции. При этом учитывается размещение производства, технико-экономические особенности различных видов транспорта, определяющие сферы их рационального использования.

На практике для транспортировки продукции можно применять не только один, но и несколько видов транспорта. Проблема смены видов транспорта решается с помощью интегрирующих систем.

Одна из них предполагает, что оборудование, применяемое при перевозке на одном виде транспорта, является продолжением технологической линии обработки груза на другом виде транспорта. Это означает, что, например, контейнер, перевозимый грузовиком, может использоваться на железнодорожном терминале для дальнейшей транспортировки груза.

Перспективной областью логистики считалась разработка эффективных методов оптимизации взаимодействия - человек/машина. Такие методы могут одновременно использовать интуицию человека и понимание проблемы и способность компьютеров быстро обрабатывать информацию.

По мнению специалистов логистики, компьютеры - один из факторов, который в значительной мере содействовал побуждению интереса к логистике. Нигде больше их влияние не оказывалось столь заметно, как в решении транспортных задач. Что касается цен, то в их структуре значительное место занимает стоимость обслуживания, что позволяет сделать выгодной перевозку мелких партий на небольшие расстояния. Кроме того, цены формируются в условиях конкуренции, поэтому они зависят от скорости, надежности, снижения потерь, сфер деятельности различных транспортных компаний, оказывающих услуги по упаковке, сортировке, контейнеризации, складированию и контролю над запасами.

Решая транспортные проблемы, необходимо использовать теоретические и методологические достижения в этой области. Однако важно применять не только имеющиеся достижения, но и выработать свою транспортную стратегию и определить ее главные принципы. В основе логистической модели должны лежать проблемы транспортного процесса, которые включали бы в эту модель реалистические предложения.

Важной областью является обработка аналитических результатов для распределения эвристики маршрутизации транспортных средств, изучение компромиссов между запасами ресурсов, их транспортировкой и размещением.

 

.1 Алгоритм решения транспортной задачи линейного программирования

транспортный перевозка маршрут затраты

С практической точки зрения наши действия должны выглядеть следующим образом:

. Производим анализ использования транспортных средств, обслуживающих предприятие оптовой торговли. Здесь необходимо:

определим динамику изменения объема перевозок и удельный вес перевозок

проанализируем технико-эксплуатационные показатели работы автотранспорта при перевозке продукции

определим неравномерность вывоза и ввоза продукции на складской комплекс за определенный период времени (квартал, месяц)

определим возможности по погрузочным работам на складском комплексе и выгрузочным у потребителя

. Определяем потребителей продукции

Здесь необходимо выделить постоянных потребителей, сезонных и временных. Составляем карточку потребителя, в которую заносим его данные.

. Определяем суточный объем поставок продукции

Суточная поставка определяется путем деления годовой потребности потребителей на число дней в году. После этого полученные данные согласовываем с потребителями.

. Составляем карту дислокации потребителей, предприятий оптовой торговли и автотранспортных предприятий

Этот этап выполняем с помощью карты города, на которую наносим координаты потребителей продукции, предприятие оптовой торговли и обслуживающее его автотранспортное предприятие.

. Определяем расстояния перевозки груза (с предприятия оптовой торговли до потребителей)

После нанесения на карту дислокации потребителей, предприятия оптовой торговли и автотранспортного предприятия, определяем расстояния перевозки с базы и складов потребителей. Обосновывают среднее расстояние перевозки продукции с предприятий оптовой торговли к потребителю.

. Группируем потребителей по направлениям и величине поставок

Группировка по направлениям дает возможность определить грузопотоки в различные районы города. Объемы перевозок в различные районы определяют составлением картограмм.

Решаем полученную транспортную задачу распределительным методом

Выбираем грузы, которые необходимо перевозить на общем типе подвижного состава (ПС) в одно и то же время и требующих одинаковые условия погрузки, разгрузки и хранения.

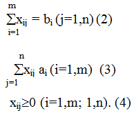
В качестве критерия оптимальности задачи взята минимальная стоимость перевозок всего груза. Обозначим через Сц тарифы перевозки единицы груза из i-го пункта отправления в j-й пункт назначения, через А - отправителей продукции, через В - склады (РЦ)а, - запасы груза в i-м пункте отправления, не через bj - потребности в грузе в У-м пункте назначения, а через хij -количество единиц груза, перевозимого из 1-го пункта отправления в j-й. пункт назначения. Тогда математическая постановка транспортной задачи состоит в определении минимального значения функции


при условиях:


Исходные данные транспортной задачи записывают в виде таблицы. Очевидно, общее наличие груза на складах åаi, а общая потребность в грузе в пунктах назначения равна åbj, единиц.

åai=åbj (5)

Таблица 1 - Исходные данные транспортной задачи


Обосновываем и выбираем тип подвижного состава для перевозки продукции. Выбору типа подвижного состава должен предшествовать тщательный анализ характера и условий перевозок. В данном случае наша цель - обеспечение полного и качественного удовлетворения нужд фирм и снабженческо-сбытовых организаций в перевозках при наиболее эффективном типе подвижного состава.

1.2 Алгоритм разработки оптимальных маршрутов движения


Основой решения задач в логистике является разработка стратегии и логистической концепции построения модели транспортного обслуживания потребителей и фирм, которая основывается на рациональных маршрутах перевозки и составления графиков доставки продукции потребителям, т.е. маршрутизация перевозок.

Маршрутизация перевозок - это наиболее совершенный способ организации материалопотоков грузов с предприятий оптовой торговли, оказывающий существенное влияние на ускорение оборота автомобиля при рациональном и эффективном его использовании.

Создание маршрутов позволит точно определить объем перевозок грузов со снабженческо-сбытовых предприятий, количество автомобилей, осуществляющих эти перевозки, способствует сокращению простоя автомобилей под загрузкой и разгрузкой, эффективному использования подвижного состава и высвобождению из сфер обращения значительных материальных ресурсов потребителей. Вместе с тем маршрутизация позволяет повысить производительность автомобилей при одновременном снижении количества подвижного состава, поступающего на предприятие при том же объеме перевозок.

Если маршруты созданы, определены и соблюдаются сроки поставки, то производственные запасы потребителей могут сокращаться в 1.5-2 раза, снижая тем самым затраты на складирование.

Необходимость маршрутизации перевозок грузов обосновывается еще и тем, что маршруты дают возможность составления проектов текущих планов и оперативных заявок на транспорт, исходящих из действительных объемов перевозок.

Таким образом, разработка обоснованных маршрутов и проектов планов перевозок будут способствовать своевременному и бесперебойному выполнению поставок продукции и эффективному взаимодействию снабсбытовых и автотранспортных организаций.

Для разработки маршрутов используют экономические и математические методы, методы сетевого планирования, практические материалы и иные источники. Конечным результатом должен стать документ, характеризующий согласованный график работы снабсбытовых, транспортных организаций и предприятий.

При составлении графика доставки необходимо учитывать следующие условия:

. Наличие необходимой продукции на складских комплексах, предприятиях оптовой торговли.

. Наличие транспортных средств для обслуживания складского комплекса, предприятий оптовой торговли с учетом перевозимой продукции и средней загрузки автомобиля. Расчет должен быть произведен не только на ходовое количество транспортных средств, а и на запас в случае поломок и других обстоятельств.

. Потребители продукции должны обеспечивать своевременный прием продукции и разгрузочные работы.

Оптимальные маршруты разрабатываются методом совмещенных планов. В матрицу с оптимальным вариантом распределения наносится план-заявка другим цветом. Клетка, где стоят цифры разного цвета, указывает на маятниковый маршрут.

Маятниковый маршрут - движение подвижного состава между двумя пунктами. Объем перевозок маятникового маршрута берется по наименьшей загрузке, независимо от загрузки клеток и вычитается из этих цифр.

Сумма загрузок в кружочках всегда должна быть равна сумме загрузок без кружочков как по строкам, так и по столбцам. Итоговые цифры в расчетах не участвуют.

Приступаем к разработке кольцевых маршрутов.

Кольцевой маршрут разрабатывается с помощью построения контура замкнутой линии под прямыми углами, все вершины которого должны лежать в загруженных клетках поочередно в кружочках и без кружочков.

Из вершин выбирается наименьшая загрузка, которая является объемом перевозок по данному маршруту и вычитается из всех вершин. Далее действия повторяются до тех пор, пока останется один последний маршрут.

Рассчитываем рациональный маршрут

Здесь мы делаем выбор в пользу маятниковой или кольцевой схемы движения. Составляем согласованные графики доставки продукции потребителям и разрабатываем показатели экономического стимулирования работников, участвующих в транспортном процессе.

Глава 2. Решение транспортной задачи на минимизацию стоимости доставки


Имеется 4 производителя продукции (обозначаются буквой П с соответствующим индексом - П1, П2, П3, П4), имеется 6 складов (обозначаются буквой А с соответствующим индексом - А1, А2, А3, А4, А5, А6), в дальнейшем они будут выступать в роли поставщиков продукции. Имеются шесть потребителей готовой продукции соответственно В1, В2, В3, В4, В5, В6.

Рисунок 1. Участники логистического процесса


Целью является оптимизация совокупного материального потока для получения дополнительной прибыли за счёт снижения затрат на каждом участке движения материального потока по логистической цепочке.

Существующая схема доставки продукции следующая: производитель П1 доставляет продукцию на склад А1 в размере 100 т., на склад А2 в объёме 100 т., на склад А3 в объёме 50 т., П2 ® А4 в размере 130 т., производитель П3 на склад А1 в размере 100 т. и на склад А5 в размере 170 т., производитель П4 на склад А3 в размере 80 т. и на склад А6 в размере 100 т Общий объём материального потока составляет 830 т.

В Таблице 2 представлен оптимальный вариант закрепления производителей за РЦ.

Таблица 2 - Оптимальный вариант закрепления производителей за РЦ.

.1 Расчет средней стоимости доставки продукции на склады

Рассчитаем первоначальную существующую стоимость доставки продукции на склады:

С1=100×9+100×17+50×7+130×18+100×7+170×12+80×8+100×14=10070 у.е.

Рассчитаем оптимизированную стоимость доставки продукции:

Сопт=130×7+120×8+100×6+30×7+200×7+70×11+10×9+170×6=5960 у.е.

Из расчёта видно, что затраты доставки продукции на склады снизились на 4110 у.е.

Произведем расчёт средней стоимости доставки груза для участников логистической цепочки.

Расчёт производится по следующей методике:


где С - стоимость доставки в у.е., Q - объём продукции определённого поставщика в тоннах, S - существующая стоимость доставки 1 тонны продукции для каждого поставщика.

 

где  - общая стоимость доставки Qm продукции;

 

Сср - средняя стоимость доставки 1 тонны продукции.

Рассчитаем первоначальную среднюю стоимость доставки продукции на склады:


А затем оптимальную среднюю стоимость доставки продукции на склады:

Получается, что каждый производитель вместо 12,1 у.е. за 1 т. заплатит 7,2 у.е.

 

Глава 3. Маршрутизация перевозок


Необходимо со складов (теперь они уже являются поставщиками) отправить продукцию потребителям таким образом, чтобы оптимизировать суммарные транспортные расходы.

Есть 6 поставщиков продукции и 6 потребителей, имеются объёмы поставок и объём потребности продукции, расстояния между поставщиками и потребителями.

Составим транспортную задачу при условии, что поставщик А1 должен отправить груз потребителю В2 в размере 100 т. и потребителю В5 - 100 т., А2 потребителю В4 - 100 т., А3 потребителю В1 - 130 т., А4 потребителю В3 в размере 60 т и потребителю В6 - 70 т., А5 потребителю В3 - 80 т. и потребителю В4 - 90 т., А6 потребителю В6 - 100 т.

Составим по исходным данным матрицу.

Таблица 3 - Матрица по исходным данным


Проверим матрицу на оптимальность с помощью вспомогательных коэффициентов строки и столбца. Все коэффициенты строки и столбца определятся однозначно, т.к. число загруженных клеток равно +n-1=6+4-1=9,

где m - число строк, n - число столбцов.

Данная матрица является оптимальной, т.к. сумма двух вспомогательных коэффициентов в незагруженных клетках меньше или равна расстоянию.

Оптимальные маршруты разрабатываются методом совмещенных планов. Метод совмещенных планов заключается в том, что в матрицу с полученным оптимальным планом движения подвижного состава без груза из пунктов разгрузки в пункты погрузки другим цветом заносится план перевозок (откуда, куда и сколько требуется перевезти груза). В таблице 4 дана матрица с совмещенными планами.

Таблица 4 - Матрица с совмещенными планами


Обычным шрифтом обозначен оптимальный план движения ПС без груза (числа проставлены в верхних левых углах клеток матрицы), а жирным план перевозок (числа проставлены в нижних левых углах клеток матрицы). Если в одной клетке матрицы стоят два числа разного цвета, то это означает, что имеет место маятниковый маршрут. Количество перевозимого по маршруту груза определяется меньшим числом.

В таблице в клетке А1В2 стоят 2 числа. Они показывают, что из пункта А1 в пункт В2 должно быть перевезено 100 т. груза, а из пункта В2 в пункт А1 должны проследовать автомобили без груза общей грузоподъемностью в 100 т. Таким образом, имеется маятниковый маршрут А1В22А1, по которому необходимо перевезти 100 т. груза.

Аналогично маятниковые маршруты

А1В5 - В5А1 =100 т.,

А2В4 - В4А2 =100 т.,

А5В3 - В3А5 =80 т.,

А5В4 - В4А5 =90 т.,

А6В6 - В6А6 =100 т.

Для нахождения кольцевого маршрута в матрице необходимо построить замкнутый контур, который должен состоять из горизонтальных и вертикальных отрезков прямой и все вершины контура должны лежать в загруженных клетках, причем у вершин контура должны попеременно стоять значения плана перевозок груза и значения оптимального плана движения порожнего подвижного состава.

В таблице 5 построены такие замкнутые контуры.

Таблица 5 - Замкнутый контур по данным

Они определяют собой маршруты:


Из таблицы видно, что после этого шага решения все загрузки клеток матрицы использованы при определении маршрутов и в ней не осталось загруженных клеток. Решение закончено и определены оптимальные маршруты.

Глава 4. Расчет маршрутов


Исходные данные к расчёту: нулевые пробеги: l0'=3 км, l0''=4 км. На маршруте перевозится груз первого класса (gc=gg=1). Грузоподъёмность автомобиля qH=7 т; техническая скорость Vm=26 км/ч; время простоя под погрузкой-разгрузкой tn-p=0,3; время в наряде TH=11,5 ч.

Рассчитаем первый кольцевой маршрут:


Таблица 6 - Исходные данные

Маршрут

Объём перевозок, т

Пробег по маршруту

К-во ездок, Z

Пробег за смену

 bе /bСМ

К-во автом.

Откуда

Куда


С гр.

Без гр.

C гр.

Без гр.

C гр.

Без гр.



ГАП

А3





1


3

0,508 /0,511

1

А3

В1

60

9


4


36




В1

А4



20


4


80



А4

В3

60

20


4


80




В3

А3



8


3


24



В3

ГАП





1


4





120

29

28


116

111





57


227



Определяем время работы подвижного состава (ПС) на маршруте:


Рассчитываем время движения ПС - tДВ (час).

 

где: LМ - длина маршрута материального потока (км)

Рассчитываем время одного маршрута, (час)

 

где: tn-p - время на погрузочно-разгрузочные операции (час),- количество погрузок-разгрузок (заездов) на маршруте.

Рассчитываем количество маршрутов за смену (т.е. за время работы на маршруте).

 

где: TM - время работы на маршруте (час),е - время работы на одном маршруте (час).

Рассчитаем коэффициент использования пробега ПС за смену и за один маршрут bСМ и bе.

 

где: - суммарный груженый пробег ПС за смену, км;0 - нулевой пробег автомобиля, км.гр - груженый пробег автомобиля за смену, км;x - пробег автомобиля без груза за смену, км.


 

где: lгр - груженый пробег автомобиля за один маршрут, км;x - пробег автомобиля без груза за один маршрут, км.

Рассчитаем потребное количество ПС (автомобилей) для выполнения заданного объёма перевозок - А.

 

где:  - суммарный объём перевозок по одному маршруту за смену, т;  - производительность ПС, т.

 

где: Z - число маршрутов за смену;- число заездов на маршруте;

gC - коэффициент использования грузоподъёмности ПС (берётся по прейскуранту в зависимости от класса перевозимого груза);H - номинальная грузоподъёмность ПС (берётся по технической характеристике ПС), т.

Рассчитаем второй кольцевой маршрут:


Таблица 7 - Данные после расчетов

Маршрут

Объём перевозок, т

Пробег по маршруту

К-во ездок, Z

Пробег за смену

bе /bСМ

К-во автом.

Откуда

Куда


С гр.

Без гр.

C гр.

Без гр.

C гр.

Без гр.



ГАП

А3





1


3

0,57 / 0,65

3

А3

В1

70

9


3


27




В1

А4



20


3


60



А4

В6

70

28


3


84




В6

А3



10


2


20



В6

ГАП





1


4





140

37

30


111

87





67


198



Определяем время работы подвижного состава (ПС) на маршруте:

Рассчитываем время одного маршрута, (час)

Рассчитываем количество маршрутов за смену (т.е. за время работы на маршруте).

Рассчитаем коэффициент использования пробега ПС за смену и за один маршрут bСМ и bе.

 

Рассчитаем потребное количество автомобилей для выполнения заданного объёма перевозок.

Расчёт маятниковых маршрутов с обратным холостым пробегом:

Первый маятниковый маршрут

А1В2 - В2А1 = 100 т.

Таблица 8 - Данные маятникового маршрута

Маршрут

Объём перевозок, т

Пробег по маршруту

К-во ездок, Z

Пробег за смену

 bе /bСМ

К-во автом.

Откуда

Куда


С гр.

Без гр.

C гр.

Без гр.

C гр.

Без гр.



ГАП

А1





1


3

0,5 / 0,503

1

А1

В2

100

8


12


96




В2

А1



8


11


88



В2

ГАП





1


4






16


191



Время работы подвижного состава на маршруте:

Время одного маршрута:

Количество маршрутов за смену (т.е. за время работы на маршруте):

Коэффициент использования пробега ПС за смену и за один маршрут:

 

Потребное количество автомобилей для выполнения заданного объёма перевозок

Второй маятниковый маршрут:

А1В5 - В5А1 =100 т.

Таблица 9 - Данные второго маятникового маршрута

Маршрут

Объём перевозок, т

Пробег по маршруту

К-во ездок, Z

Пробег за смену

 bе /bСМ

К-во автом.

Откуда

Куда


С гр.

Без гр.

C гр.

Без гр.

C гр.

Без гр.



ГАП

А1





1


3

0,5 / 0,513

1

В5

100

13


9


117




В5

А1



13


8


104



В5

ГАП





1


4






26


228



Время работы подвижного состава на маршруте:

Время одного маршрута:

Количество маршрутов за смену (т.е. за время работы на маршруте):

Коэффициент использования пробега ПС за смену и за один маршрут:

 

Потребное количество автомобилей для выполнения заданного объёма перевозок

Третий маятниковый маршрут:

А2В4 - В4А2 =100 т.

Таблица 10 - Данные третьего маятникового маршрута

Маршрут

Объём перевозок, т

Пробег по маршруту

К-во ездок, Z

Пробег за смену

 bе /bСМ

К-во автом.

Откуда

Куда


С гр.

Без гр.

C гр.

Без гр.

C гр.

Без гр.



ГАП

А2





1


3

0,5 / 0,509

1

А2

В4

100

11


10


110




В4

А2



11


9


99



В4

ГАП





1


4






22


216



Время работы подвижного состава на маршруте:

Время одного маршрута:

Количество маршрутов за смену (т.е. за время работы на маршруте):

Коэффициент использования пробега ПС за смену и за один маршрут:

 

Потребное количество автомобилей для выполнения заданного объёма перевозок

Четвертый маятниковый маршрут:

А5В4 - В4А5 =90 т.

Таблица 11 - Данные четвертого маятникового маршрута

Маршрут

Объём перевозок, т

Пробег по маршруту

К-во ездок, Z

Пробег за смену

 bе /bСМ

К-во автом.

Откуда

Куда


С гр.

Без гр.

C гр.

Без гр.

C гр.

Без гр.



ГАП

А4





1


3

0,5 / 0,507

1

А4

В3

90

10


10


100




В3

А4



10


9


90



В3

ГАП





1


4






20


197



Время работы подвижного состава на маршруте:

Время одного маршрута:

Количество маршрутов за смену (т.е. за время работы на маршруте):

Коэффициент использования пробега ПС за смену и за один маршрут:

 

Потребное количество автомобилей для выполнения заданного объёма перевозок

Время работы подвижного состава на маршруте:

Время одного маршрута:

Пятый маятниковый маршрут:

А5В3 - В3А5 =80 т.

Количество маршрутов за смену (т.е. за время работы на маршруте):

,

принимаем количество ездок, равное 1.

Таблица 12 - Данные пятого маятникового маршрута

Маршрут

Объём перевозок, т

Пробег по маршруту

К-во ездок, Z

Пробег за смену

 bе /bСМ

К-во автом.

Откуда

Куда


С гр.

Без гр.

C гр.

Без гр.

C гр.

Без гр.



ГАП

А4





1


3

0,5 / 0,505

1

А4

В3

80

9


11


99




В3

А4



9


10


90



В3

ГАП





1


4






18


196



Коэффициент использования пробега ПС за смену и за один маршрут:

 

Потребное количество автомобилей для выполнения заданного объёма перевозок

Шестой маятниковый маршрут

А6В6 - В6А6 = 100 т.

Таблица 13 - Данные шестого маятникового маршрута

Маршрут

Объём перевозок, т

Пробег по маршруту

К-во ездок, Z

Пробег за смену

 bе /bСМ

К-во автом.

Откуда

Куда


С гр.

Без гр.

C гр.

Без гр.

C гр.

Без гр.



ГАП

А1





1


3

0,5 / 0,503

1

А1

В2

100

8


12


96




В2

А1



8


11


88



В2

ГАП





1


4






16


191



Время работы подвижного состава на маршруте:

Время одного маршрута:

Количество маршрутов за смену (т.е. за время работы на маршруте):

Коэффициент использования пробега ПС за смену и за один маршрут:

 

Потребное количество автомобилей для выполнения заданного объёма перевозок

Определяем суммарное количество ПС для заданного объёма перевозок:

А = 1+3+1+1+1+1+1+1= 9 автомобилей.

Глава 5. Задача о назначениях

Третья задача - оптимизация движения сквозного материального потока направлена на сокращение времени выполнения объёма перевозок, т.е. сокращение времени выполнения заказов при максимальной производительности транспортных средств.


Воспользуемся венгерским методом решения задач.

Имеется 5 поставщиков и 5 пунктов потребления. Матрица затрат времени i-той машины и j-ому потребителю имеет вид (5.1).

Шаг 1. Т.к. задача о назначении формулируется, как задача максимизации, то сводим её к задаче на минимум следующим образом: в матрице эффективности С находим максимальный элемент d=max cij и строим матрицу D=||dij|| по следующему правилу:

=d-cij; i,j= (5.2).

В нашем случае d=max cij=13. Пользуясь правилом (5.2) строим матрицу D:

Шаг 2. От полученной матрицы D переходим к приведенной матрице D’. Матрица D’ называется приведенной, если она получена из данной матрицы D путем следующих преобразований:

1.     В каждой строке находим минимальный элемент и вычитаем его из всех элементов соответствующей строки. Получаем D’:


2.     В каждом столбце находим минимальный элемент и вычитаем его из элементов соответствующего столбца. Получим D":


Шаг 3. В приведенной матрице D" выбираем строку, имеющую наименьшее число нулей. В этой строке выбираем один из нулей и отмечаем его (*), а остальные нули строки и столбца зачеркиваем. Эту процедуру проводим последовательно для всех строк.


Шаг 4. В оставшейся, состоящей из незачеркнутых элементов матрице находим минимальное значение элемента (в нашем случае min x=1). Прибавляем его (min x=1) к элементам матрицы, стоящим на пересечении зачеркнутого столбца и строки и вычитаем из всех незачеркнутых элементов.

Получим следующую модифицированную матрицу:


Суммарное время выполнения заказа на перевозку равно:


Суммарная максимальная производительность труда равна:


Следовательно, время выполнения заказа получилось равным 19 часам, а производительность труда стала равной 46 т.

Итак, решив три задачи по логистической оптимизации материального потока получилась дополнительная прибыль только за счёт рационального управления материальным потоком, без дополнительных капитальных вложений.

Заключение


Сбытовая функция в сфере логистики осуществляется посредством выполнения 6 условий: груз, качество, количество, время, затраты, пункт назначения. Это говорит нам о том, что мы имеем дело с управлением материальным потоком и связанным с ним потоком информации от ввода в систему до конечной продажи. Если рассматривать поставленную задачу с позиции критерия логистической системы "точно в срок", то можно с уверенностью сказать, что мы ориентированы на удовлетворение потребностей потребителя, т.е. учитываем его запросы, ряд специальных условий, наличие продукции на рынке при заранее определенных затратах и параметрах обслуживания.

Решая транспортные проблемы, необходимо использовать теоретические и методологические достижения в этой области. Однако важно применять не только имеющиеся достижения, но и выработать свою транспортную стратегию и определить главные ее принципы. В основе логистической модели должны лежать проблемы транспортного процесса, которые бы включали в эту модель реалистические предположения. Важной областью исследований является разработка аналитических результатов для распределения эвристики маршрутизации транспортных средств, изучение компромиссов между запасами ресурсов, их транспортировкой и размещением. Отсюда видно, что перспективным направлением исследований может послужить объединение экспертной системы с транспортно-маршрутной системой на основе взаимосвязанной оптимизации.

К предложениям нужно так же отнести компьютеризацию различных звеньев логистической системы, подключение их к единой информационной сети (обладающей высокой скоростью передачи данных и позволяющей эффективно работать с удаленными терминалами), что позволит отслеживать движение груза и контролировать транспортные потоки. Все эти меры призваны снизить величину транспортных расходов и доставить груз точно в срок. С уверенностью можно сказать, что рассмотренное в этой работе направление логистики позволяет снизить величину затрат на содержание запасов и транспортировку продукции к ее получателю при грамотном управлении материалопотоком и потоком продукции от источника до потребителя. Задача об оптимальном назначении позволяет назначить каждого поставщика на один и только один пункт потребителя так, чтобы суммарные затраты были минимальными.

Похожие работы на - Системы организации транспортного процесса

 

Не нашли материал для своей работы?
Поможем написать уникальную работу
Без плагиата!
Без нейросетей!