Проектирование городских улиц

  • Вид работы:
    Курсовая работа (т)
  • Предмет:
    Строительство
  • Язык:
    Русский
    ,
    Формат файла:
    MS Word
    198,62 Кб
  • Опубликовано:
    2015-12-26
Вы можете узнать стоимость помощи в написании студенческой работы.
Помощь в написании работы, которую точно примут!

Проектирование городских улиц

1. Анализ исходных данных

Карта масштаб 1:10000

- район проектирования - Пенза

карта городской улицы МУРД + МУПТ

перспективная интенсивность и состав движения (в обоих направлениях) в часы "пик", авт./час 2005 + 390

интенсивность пешеходного движения, чел./час 1400 + 1000

состав транспортного потока, %:

до 2 т 14 + 9

от 2 до 6 10 + 5

от 6 до 8 5 + 6

от 8 до 14 2 + 3

автобусов 11 + 17

троллейбусов 3 + 7

легковых 55 + 53

Расстояние до перекрестка, м 460 + 200

Фазы работы светофора, сек:

зеленый 25 + 45

желтый 5

красный 45 + 25

2. Характеристика природных условий района проектирования

.1 Климат

Климат района строительства умеренно континентальный. Глубина промерзания составляет 150 см. Дорожно-климатическая зона II.

Таблица 1 - Характеристика природных условий района проектирования

№ п/п

Наименования показателей

Ед. изм.

Вели-чина

1

2

3

4

1

Абсолютная температура воздуха  -минимальное  -максимальное

 0С

 -43




39

2

Средняя температура наружного воздуха холодной пятидневки.  0,98  0,92

 0С

 -32




-29

3

Преобладающее направление ветра:  декабрь-февраль  июнь-август


 Ю




СЗ

4

Максимальное из средних скоростей ветра по румбам за январь

м/с

4,8

5

Минимальное из средних скоростей ветра по румбам за июль

м/с

-

6

Средне месячная относительная влажность воздуха:  - наиболее холодного месяца  - наиболее жаркого месяца

  %

 84




67

7

Количество осадков за:  - ноябрь-март  - апрель-октябрь

 мм

 221




378

8

Расчётная толщина снежного покрова обеспеченностью 5%

м

0,5

9

Глубина промерзания

м

1,5


Таблица 2 - Среднемесячная температура воздуха

месяц

I

II

III

IV

V

VI

VII

VIII

IX

X

XI

XII

Средняя температура, °С

-12,2

-11,3

-5,6

4,9

13

17,6

19,6

18,0

11,9

4,4

-2,9

-9,1


Таблица 3 - Повторяемость и скорость ветра за январь

Направление

С

СВ

В

ЮВ

Ю

ЮЗ

З

СЗ

Повторяемость, %

9

3

3

20

29

14

6

16

Скорость, м/с

5,1

2,6

2,3

4,6

4,9

5,3

5,5

5,6


Рисунок 1 - Роза ветров за январь

Таблица 4 - Повторяемость и скорость ветра за июль

Направление

С

СВ

В

ЮВ

Ю

ЮЗ

З

СЗ

Повторяемость, %

18

6

7

12

10

10

11

26

Скорость, м/с.

3,9

2,6

2,3

2,9

3,0

3,3

4,4

4,7



Рисунок 2 - Роза ветров за июль

Рисунок 3 - Дорожно-климатический график

2.2 Рельеф

На основе тщательного изучения топографической карты можно сделать вывод по рельефу района проектирования автомобильной дороги. Рельеф в районе проектирования улицы относится к холмистому с колебаниями отметок от 60 до 15. Район проектирования представляет собой возвышенное плато с уклонами на юго-запад.

.3 Растительность и почвы

Растительность представлена широколиственными (дуб, липа, клён, осина) и хвойными (сосна) лесами.

В Пензенской области распространены в основном черноземные почвы, которые образовались под степной растительностью. Для пояса наиболее характерны серые и бурые лесные почвы, подзолисто-бурые лесные почвы, коричневые чернозёмы, дерново-карбонатные почвы.

.4 Инженерно-геологические условия

Холмистый характер поверхности обеспечивает сток воды. Физико-механические свойства грунтов благоприятны для дорожного строительства. Грунтовые воды ожидаются на глубине 3 - 5,0 м.

.5 Заключение по природным условиям

В целом район изысканий благоприятен для строительства сети улиц.

3. Основные технические нормативы на проектирование улиц и дорог

По исходным данным имеется две категории городских улиц: МУРД- магистральная улица регулируемого движения и МУПТ магистральная улица пешеходно-транспортная. Из СП 42.13330.2011 (актуализация СНиП 2.07.01-89*) в таблицу 5 вносятся необходимые для дальнейших расчетов данные.

Таблица 5 - Основные технические нормативы на проектирование улиц

Показатель

Ед. изм.

МУРД

МУПТ

Расчетная скорость движения

км/ч

80

50

Ширина полосы движения

м

3,5

4,0

Ширина полосы, предназначенной для общественного транспорта

м

4,0

4,0

Наибольший продольный уклон

50

40

Наименьший радиус кривых в плане

м

400

125

Число полос движения

-

4-8

2

Ширина пешеходной части тротуара

м

3,0

3,0


.1 Плотность улично-дорожной сети

Плотность улично-дорожной сети:

,

где L =4,93 км - суммарная протяженность улиц;

F = 1,42 км² - площадь улично-дорожной сети;

 км/км².

Вывод: плотность улично-дорожной сети 3,47 км/км², это говорит о том, что на 1 км² приходится 3,47 км дороги.

3.2 Коэффициент непрямолинейности путей сообщения

Коэффициент непрямолинейности путей сообщения:

,

где - это расстояние между основными пунктами города, измеренное по сети городских улиц;

 - это расстояние между теми же пунктами измеренными по воздушной линии.

Таблица 6 - Коэффициент непрямолинейности

Пара точек

Фактическая длина (м)

Длина по ВЛ (м)

AC

1800

1080

1,67

AD

1750

1560

1,12

AB

1250

1240

1,01

AE

1450

1430

1,01

BC

550

550

1

BD

500

500

1

BE

200

200

1

CE

750

610

1,23

CD

1050

1050

1

DE

700

550

1,4

Сумма



11,44



Из полученных данных  т.е. малая степень непрямолинейности.

4. Обоснование элементов поперечных профилей улиц

.1 Расчет пропускной способности одной полосы движения

Определим пропускную способность одной полосы для МУТП:

,

где - расчетная скорость движения потока, м/с,

L - динамический габарит автомобиля, 118,50 м,

К - коэффициент снижения пропускной способности из-за задержек на перекрестке;

L= l1 + l2 + l3 + l4 = 22,2+87,92+3+5=118,5 м, где

 м/с, где t = 1c время реакции водителя,

 м, где

 м - запасное расстояние,

 м- длина легкового автомобиля,

φ = 0,5 - коэффициент сцепления,

0,01 - продольный уклон,

=1,4;

,

где - продолжительность цикла регулирования, с;

с,

где  - продолжительность зеленой, желтой, красной фаз светофора,

 м/с² - ускорение при разгоне,

 м/с² - замедление при торможении,

- средняя продолжительность задержки перед светофором, с;

с

 м - расстояние между регулируемыми перекрестками;

,

Пропускная способность:

авт./час

Пропускная способность у стоп-линии:

 авт./час,

где  с - промежуток времени между включением зеленого сигнала и пересечением стоп линии первым автомобилем,

с - средний интервал между автомобилями при пересечении ими стоп линии;

,

где - расчетная скорость движения потока, м/с,

L - динамический габарит автомобиля, 50 м,

К - коэффициент, учитывающий наличие перекрестков на всем протяжении улицы;

L= l1 + l2 + l3 + l4 = 13,9+27,94+3+5=50,0 м, где

 м/с,

где t = 1c - время реакции водителя;

 м,

φ = 0,5 - коэффициент сцепления,

0,006 - продольный уклон;

,

где - продолжительность цикла регулирования, с;

с, где

 - продолжительность зеленой, желтой, красной фаз светофора,

 м/с² - ускорение при разгоне,

 м/с² - замедление при торможении,

- средняя продолжительность задержки перед светофором, с;

с

 м - расстояние между регулируемыми перекрестками;

;

м - запасное расстояние,

м - длина легкового автомобиля;

Пропускная способность:

авт./час

Пропускная способность у стоп-линии:

 авт./час, где

 с - промежуток времени между включением зеленого сигнала и пересечением стоп линии первым автомобилем,

с - средний интервал между автомобилями при пересечении ими стоп линии;

.2 Определение необходимого числа полос движения

Таблица 7 - Определение необходимого числа полос движения

Состав потока

%

Перспективная интенсивность, авт./час

Коэффициент приведения

Приведенная интенсивность, авт./час

МУРД = 2810

легковых

55

1102,75

1

1102,75

до 2т

14

280,7

1,3

364,91

от 2 до 6

10

200,5

1,4

280,7

от 6 до 8

5

100,25

160,4

от 8 до 14

2

40,1

1,8

72,2

автобусов

11

220,55

2,5

551,38

троллейбусов

3

60,15

4,6

276,69

ВСЕГО



 

2809,03

МУПТ = 630

легковых

53

206,7

1

206,7

до 2т

9

35,1

1,3

45,63

 от 2 до 5

5

19,5

1,4

27,3

от 5 до 8

6

23,4

1,6

37,44

от 8 до 14

3

11,7

1,8

21,06

автобусов

17

66,3

2,5

165,75

троллейбусов

7

27,3

4,6

125,58

ВСЕГО




629,46


Количество полос движения для МУРД (в одном направлении):

,

Где  авт/час - приведенная интенсивность движения;

 авт/час - расчетная пропускная способность;

Количество полос движения МУПТ (в одном направлении):

Вывод: согласно СП 42.13330.2011 (актуализация СНиП 2.07.01-89*), принимается 3 полосы движения на МУРД в двух направлениях, и 1 полоса движения в двух направлениях на МУПТ.

Количество полос движения у перекрестка в сечении стоп-линии для МУРД:

Количество полос движения у перекрестка в сечении стоп-линии для МУПТ:

Вывод: согласно СП 42.13330.2011 (актуализация СНиП 2.07.01-89*), принимается 2 полосы движения на МУРД в сечении стоп-линии, и 1 полосу движения в сечении стоп-линии на МУПТ.

4.3 Определение ширины проезжей части

Ширина проезжей части на перегоне:

 м;

 м ;

.4 Определение ширины тротуаров

Ширина тротуара определяется по формуле:

,

где - интенсивность пешеходного движения, чел./час,

 - пропускная способность одной полосы пешеходного движения, чел./час;

Для МУРД:

м

Расчётное значение получилось меньше рекомендуемого, следовательно, принимаемм.

Для МУПТ:

Расчётное значение получилось меньше рекомендуемого, следовательно, принимаемм.

Вывод: Руководствуясь СП 42.13330.2011(актуализация СНиП 2.07.01-89*) ширину тротуара для МУРД принимаем 4,5 м, для МУПТ 3 м.

.5 Выбор типа примыкания улицы

Размеры перекрестка зависят от ширины примыкающих улиц и принятой схемы организации движения с учетом мероприятий, обеспечивающих безопасность движения. Вертикальная и горизонтальная планировка перекрестка показана на листе 1 графической части.

5. Проектирование продольного плана и поперечных профилей улиц

.1 Разработка плана улицы

Проектирования плана городской улицы в значительной степени отличается от проектирования плана загородной автомобильной дороги. В городских условиях транспортирование каждой улицы или дороги не выполняется в отдельности, а решается в общем комплексе, при проектировании улично-дорожной сети и генерального плана города.

Границами городских улиц является "красная линия", т.е. линия, определяющая крайнее положение застройки. В некоторых случаях, "красные линии" могут относиться из-за возникающих новых требований к размещению отдельных элементов дороги, ее обустройству или инженерным сетям и т.д. Трассы городских улиц состоят из отрезков прямых, в углы которых вписаны горизонтальные кривые.

Протяжённость МУРД - 1450 метров. На ПК 5+80 находится ВУ 1. Радиус закругления равен 3000 метров. ПК НЗ - 0+24, ПК КЗ 11+36. Длина круговой кривой 1099 метров.

Протяжённость МУПТ - 1050 метров.

.2 Проектирование продольных профилей

Продольный профиль проектируется в соответствии со СНиП 2.05.02-85 и СНиП 2.07.01-89*.

Положение проектной линии начинается с руководящей отметки. Для лучшего отвода поверхностных вод с территорией прилегающей застройки проектную линию целесообразно прокладывать в небольшой выемке. Для отвода поверхностной воды рекомендуется соблюдать продольный уклон не менее 5 промилле.

В месте пересечения проектируемых улиц их продольные профили имеют общую проектную отметку равную 54,13 метра.

Продольный уклон МУРД на перекрёстке равен 9,5 ‰. На ПК 2+45 устраивается вогнутая кривая радиусом 10000 метров и длиною 110 метров. На ПК 7+45 устраивается выпуклая кривая радиусом 15000 метров и длиною 300 метров.

Продольный уклон МУПТ равен 6 ‰.

Продольные профили улиц показаны на листе 3 графической части.

5.3 Ведомость черных отметок

Таблица 8 - Ведомость отметок земли по оси

МУРД

МУПТ

ПК +

Отметка,м

ПК +

Отметка,м

0+00

27,50

0+00

51,05

1+00

29,50

1+00

51,90

2+00

31,30

2+00

52,60

3+00

33,50

3+00

53,20

4+00

36,20

4+00

53,30

5+00

38,60

5+00

54,20

6+00

41,40

5+60

54,40

7+00

44,80

6+00

54,70

8+00

48,60

7+00

55,30

9+00

50,80

8+00

56,00

10+00

52,30

9+00

56,60

11+00

53,30

10+00

57,00

12+00

54,10

10+50

57,35

12+50

54,50

 

13+00

54,80

 

14+00

55,50

 

14+50

56,10

 

 

 

5.4 Проектирование поперечных профилей улиц

 

Размеры отдельных элементов улиц и их взаимное расположение должны соответствовать требованиям СП 42.13330.2011 (актуализация СНиП 2.07.01-89*). Количество полос движения, ширина проезжей части и тротуаров приняты в соответствии с расчетами.

Для МУРД: количество проезжих частей - 2, количество полос - 3, ширина проезжей части - 11 метров, ширина тротуаров - 4,5 метра.

Для МУПТ: количество проезжих частей - 1, количество полос - 2, ширина проезжей части - 8 метров, ширина тротуаров - 3,0 метра.

Поперечные профили улиц показаны на листе 2 графической части.

5.5 Прокладка подземных инженерных сетей

В поперечных профилях улиц, инженерные сети должны быть расположены под специальными техническими полосами или разделительными полосами. Нельзя допускать прокладку сетей под проезжей частью улиц и дорог, так как ремонтные работы вызовут необходимость разрушения конструкции дорожной одежды. В пределах проезжей части допускается расположение только дренажей мелкого и глубокого заложения.

Инженерные сети следует прокладывать: кабельные между красной линией и линией застройки; тепловые сети и проходные коллекторы под техническими полосами или тротуарами; газопровод и хозяйственно бытовые коммуникации, а также водопровод под разделительными техническими полосами или полосами озеленения.

В проекте требуется расположить следующие инженерные сети:

МУРД: разводящий водопровод из чугунных труб d=500 мм; силовой кабель 10 кВ; кабель связи; магистральный теплопровод d=500 мм в канале; самотечная канализация d=1000 мм.

МУПТ: Газопровод низкого давления; разводящий водопровод из чугунных труб d=250 мм; электрокабель наружного освещения 0,6 кВ; разводящий теплопровод d=250 мм в канале; самотечная канализация d=1000 мм.

Расположение заданных инженерных сетей представлено на листе 2 графической части.

.6 Горизонтальная планировка перекрестка

Безопасность движения на перекрестке обеспечивается достаточной видимостью водителем пересекаемой улицы. При построении треугольника видимости его стороны откладывают от точек пересечения трассы, проложенных по осям полос проезжей части, которые наиболее близко расположены к линии застройки.

Расстояние видимости определяется по формуле:

,

где  - скорость движения расчетная или допустимая, м/с,

 - время реакции водителя (1 с),

 - коэффициент эксплуатационного состояния тормозов (1,2),

 - коэффициент сцепления (0,5),

i - продольный уклон,

f - сопротивление качению (0,02),

 - расстояние между остановившимися автомобилями (2,0 м);

Для транспортно-транспортного пересечения:

 м,

 м,

м,

м,

Треугольники видимости представлены на листе 1 графической части.

.7 Озеленение улиц

Озеленение площадей и улиц выполняют в соответствии с санитарно-гигиеническими и эстетическими нормами. В городах создается целая система зеленых насаждений. Растения положительно влияют на микроклимат, их используют в борьбе с городским шумом, загрязнением атмосферного воздуха, для защиты от ветров, укрепления грунтов и осушения территорий. Озеленение является одним из элементов архитектурного ландшафта улиц и площадей города. Тип озеленения выбирают в зависимости от назначения насаждений.

Озеленение подлежат в первую очередь улицы с наибольшей интенсивностью движения пешеходов и транспорта, а также улицы, находящиеся вблизи промышленных предприятий, которые выбрасывают в воздух дым, пыль и другие загрязнения.

При разработке плана озеленения следует руководствоваться требованиями СП 42.13330.2011(актуализация СНиП 2.07.01-89*). На перекрестках и поворотах улиц посадки не должны мешать пешеходам и водителям видеть дорогу и движущийся транспорт.

На проектируемой МУРД устраивается газон.

На МУПТ принимаем газон с двухрядной посадкой яблонь. Высота деревьев 4 метра. Шаг посадки 2,5 метра.

5.8 Освещение улиц

Для освещения проезжей части и тротуара МУРД принимаем светильники ЖКУ 16-400-001, мощностью 400 Вт. Высота мачт 12 метров. Шаг установки светильников 50 метров.

Для освещения проезжей части МУПТ принимаем светильники ЖКУ 77-150 с/с, мощностью 150 Вт. Высота мачт 8 метров. Шаг установки 50 метров. Для тротуара МУПТ принимаем светильники ЖКУ 77-150 с/с, мощностью 150 Вт. Высота мачт 6 метров. Шаг установки светильников 20 метров.

6. Вертикальная планировка перекрестка и прилегающих улиц

Сечение горизонталей 0,1м.

Этапы построения вертикальной планировки:

1       Определяем величину заложения проектных горизонталей:

,

где  - сечение горизонталей,

 - проектный продольный уклон;

2       Определяем расстояние от начальной точки с известной отметкой до ближайшей горизонтали:

,

где - отметка начальной точки,

- отметка ближайшей горизонтали;

         Определяем смещение первой горизонтали  по оси лотка за счет поперечного уклона проезжей части:

,

где - ширина проезжей части,

- поперечный уклон проезжей части;

4       Определяем смещение первой горизонтали за счет установки бортового камня:

,

где см - высота бортового камня;

5       Определяем смещение первой горизонтали за счет поперечного уклона тротуара (газона):

,

где - ширина тротуара или газона,

- поперечный уклон тротуара или газон.

Расчет МУРД:

1   Определяем величину заложения проектных горизонталей:

м, где

 - сечение горизонталей,

 - проектный продольный уклон;

) Определяем расстояние от начальной точки с известной отметкой до ближайшей горизонтали:

м,

) Определяем смещение первой горизонтали  по оси лотка за счет поперечного уклона проезжей части:

м,

) Определяем смещение первой горизонтали за счет установки бортового камня:

 м,

) Смещение за счет поперечного уклона тротуара:

м,

Расчет МУПТ:

1)  Определяем величину заложение проектных горизонталей:

м, где

 - сечение горизонталей,

 - проектный продольный уклон;

) Определяем расстояние от начальной точки с известной отметкой до ближайшей горизонтали:

м,

) Определяем смещение первой горизонтали  по оси лотка за счет поперечного уклона проезжей части:

м,

) Определяем смещение первой горизонтали за счет установки бортового камня:

 м,

) Смещение за счет поперечного уклона газона и тротуара:

м;

7. Проектирование земляного полотна и дорожной одежды нежесткого типа

Дорожная одежда - это инженерная многослойная конструкция, воспринимающая нагрузку от транспортных средств и передающая ее на грунтовые основания или на подстилающий грунт.

В курсовом проекте разработан один вариант дорожной одежды. При расчете дорожной одежды руководствуемся ОДН 218.046-01 "Проектирование нежестких дорожных одежд"[6]. Рассчитаем конструкцию дорожной одежды по четырём условиям - по допускаемому упругому прогибу, на растяжение при изгибе монолитных слоев, на сдвиг несвязных грунтов дорожной одежды и на морозоустойчивость.

Исходные данные:

) Район проектирования - город Пенза;

) Проектируется одежда для дороги II категории (МУРД);

) Дорожно-климатическая зона - II;

) Грунт земляного полотна в активной зоне - суглинок тяжёлый;

) Местность по условиям увлажнения - 1 тип;

) Перспективная интенсивность автомобилей составляет 2005 авт./ч;

) В соответствии с ГОСТ 52748-2007[7] нагрузка P=115 кН, D=39 см

) Состав движения транспортного потока

Таблица 9 - Состав транспортного потока

Состав

%

Nm

Sm

Nр

до 2 т

14

281

0,005

1,405

от 2 до 6 т

10

201

0,2

100,5

от 6 до 8 т

5

100

0,7

70,0

от 8 до 14 т

2

40

1,25

50,0

автобусы + троллейбусы

14

281

0,7

196,7



Приведенная расчётная интенсивность:

,

 коэффициент, учитывающий число полос движения и распределения движения по ним;

n - общее число марок транспортных средств в составе потока;

 интенсивность на последний год службы;

суммарный коэффициент для приведения автомобиля к расчетным нормированным нагрузкам.

Общее число полос проезжей части 6, поэтому принимаем  для всех полос.

Суммарное расчётное количество приложений расчётной нагрузки за срок службы:


где  коэффициент суммирования;

 приращение интенсивности по годам;

заданный срок службы дорожной одежды;

расчетное число рабочих дней в году;

коэффициент, учитывающий вероятность отклонения суммарного движения от средне ожидаемого.

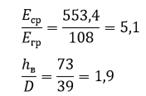
Требуемый модуль упругости:


где  эмпирический параметр при расчетной нагрузке на ось 115 кН.

Принимаем по расчёту  = 307 МПа.

Расчет дорожной одежды

Конструкция дорожной одежды:

1       Верхний слой покрытия: Высокоплотный, горячий, мелкозернистый асфальтобетон Марки II ; БНД 130/200, h=5 см.

2       Нижний слой покрытия: пористый, горячий, крупнозернистый асфальтобетон Марки II на битуме 130/200, h=13 см.

         Чёрный щебень, уложенный по способу заклинки, толщиной h=25 см;

         Слой основания песок средней крупности, толщиной h=30 см;

         Суглинок тяжёлый;

Таблица 10 - Расчетные характеристики материалов

Наименование слоя

hi,см

Eпрог

Eсдв

Растяжение при изгибе






E

R0

α

m

 

1

Асфальтобетон м/з; БНД 130/200

5

3500

1500

3600

9,3

5,8

4,5

 

2

Асфальтобетон к/з;  БНД 130/200

13

1800

2200

7,6

6,6

3,75

 

3

Щебеночно-гравийно-песчаная смесь, укрепленная цементом

25

600

600

600

-

-

-

 

4

Песок средней крупности

30

120

120

120

-

-

-

 

5

Суглинок тяжёлый

-

108

108

108

-

-

-

 


Условие устойчивости на упругий прогиб выполнено.

Расчет на условие сдвигоустойчивости в грунте

Так как дорожная одежда подстилается несвязным грунтом, проверим сдвиг в грунте земляного полотна.

Средний модуль упругости дорожной одежды:


Удельное сопротивление сдвигу  по отношениям:

С= 0,002φ=22º

По номограмме:

Активное напряжение сдвига:

,

где  действующее напряжение сдвига, мПа,

 активное удельное напряжение сдвига,

Р - расчетное давление колеса на покрытие;

Допускаемое предельное напряжение сдвига:


Конструкция удовлетворяет условию прочности по сдвигу в грунте.

Расчет на сопротивление растяжению при изгибе монолитных слоев

Модуль упругости верхнего слоя модели вычисляем по формуле, где значения модулей упругости материалов, содержащих вяжущее назначаем при температуре +20°С.

Средний модуль упругости верхнего слоя модели:


Находим растягивающее напряжение от единичной силы  по отношениям:

По номограмме:

Полное растягивающее напряжение:


коэффициент, учитывающий особенности напряженного состояния покрытия под колесом автомобиля

Допускаемое растягивающее напряжение при изгибе асфальтобетона:


где  значение предельного сопротивления нижнего слоя асфальтобетона;

 коэффициент нормированного отклонения , принимаемый в зависимости от заданного уровня надежности;

коэффициент вариации прочности на растяжение при изгибе асфальтобетона;

 коэффициент, учитывающий снижение прочности вследствие усталостных явлений при многократном приложении нагрузки;


 коэффициент, учитывающий снижение прочности во времени от воздействия погодно-климатических факторов.

Условие прочности на растяжение в монолитных слоях выполняется.

Расчет на морозоустойчивость

Так глубина промерзания > 2 м, по номограмме, по кривой для сильнопучинистых грунтов определяем величину морозного пучения для осредненных условий:

Величина возможного морозного пучения:


Условие морозоустойчивости дорожной одежды обеспечено.

улица дорога инженерный перекресток

Заключение

В данном курсовой работе запроектированы две городские дороги МУРД и МУТП, находящиеся в городе Пенза.

В состав работы входит характеристика природных условий района положения дорог, проектирование земляного полотна и дорожной одежды, вертикальная планировка перекрестка, продольные и поперечные профили улиц.


Список использованных источников

1 Проектирование городских улиц и дорог: учебно-методическое пособие [Электронный ресурс] / сост. В.И. Жуков, С.В. Копылов; под ред. В.И. Жукова. - Электрон. дан. - Красноярск: Сиб. федер. ун-т, 2014. - 80 с.

СП 42.133330.2011 Градостроительство. Планировка и застройка городских и сельских поселений. Актуал. редакция СНиП 2.07.01-89* / Мин-во регионального развития Российской Федерации. - М, 2010. - 113 с.

СП 34.13330.2012 Автомобильные дороги. Актуал. редакция СНиП 2.05.02-85* / Мин-во регионального развития Российской Федерации. - М., 2013. - 139 с.

СП 131.13330.2012 Строительная климатология. Актуал. редакция СНиП 23-01-99* / Мин-во регионального развития Российской Федерации. - М., 2013. - 109 с.

Рекомендации по проектированию улиц и дорог городов и сельских поселений / Центральный научно-иссл. и проектный институт по градостроительству Минстроя России. - М, 1994. - 94 с.

ОДН 218.046-01 Отраслевые дорожные нормы. Проектирование нежестких дорожных одежд. - М, 2001. - 99 с.

ГОСТ Р 52748-2007. Дороги автомобильные общего пользования. Нормативные нагрузки, расчетные схемы нагружения и габариты приближения.

ГОСТ 21.1701-97 Система проектной документации для строительства. Правила выполнения рабочей документации автомобильных дорог. - Москва, Стандартинформ, 1998. - 30 с.

Система менеджмента качества. Общие требования к построению, изложению и оформлению документов учебной и научной деятельности. СТО 4.2-07-2014 / Сиб. федер. ун-т. - Красноярск, 2014. - 59 с.

Похожие работы на - Проектирование городских улиц

 

Не нашли материал для своей работы?
Поможем написать уникальную работу
Без плагиата!
Без нейросетей!