Проектирование городских улиц

  • Вид работы:
    Реферат
  • Предмет:
    Строительство
  • Язык:
    Русский
    ,
    Формат файла:
    MS Word
    307,04 Кб
  • Опубликовано:
    2013-03-08
Вы можете узнать стоимость помощи в написании студенческой работы.
Помощь в написании работы, которую точно примут!

Проектирование городских улиц

ФЕДЕРАЛЬНОЕ АГЕНТСТВО ПО ОБРАЗОВАНИЮ

Государственное образовательное учреждение

высшего профессионального образования

ВЛАДИМИРСКИЙ ГОСУДАРСТВЕННЫЙ УНИВЕРСИТЕТ

Кафедра «Автомобильные дороги»






РЕФЕРАТ

по дисциплине: «Транспортная система городского хозяйства»

на тему: «Проектирование городских улиц»











Владимир 2010 г.

Содержание

Введение

. Планировка уличной сети и элементы городских улиц

. Поперечные профили городских улиц

. Особенности проектирования городских дорог.

. Горизонтальная и вертикальная планировка

. Проектирование перекрестков и городских площадей

. Водоотвод в городских условиях

Заключение

Список использованной литературы

Введение

Градостроительство охватывает широкий комплекс социально-экономических, санитарно-гигиенических, технических и архитектурных проблем, тесно связанных между собой. Среди них важное место принадлежит городскому дорожному строительству.

Улицы и дороги современного города представляют собой сложное инженерное сооружение. Они имеют наземное и подземное оборудование, предназначенное для обеспечения многообразной деятельности города. К наземному оборудованию улиц относятся дорожные одежды проезжей части и тротуаров, конструктивные элементы освещения, связи и городского электрического транспорта, указатели остановок, устройства и знаки регулирования уличного движения, киоски, будки и павильоны различного назначения, зеленые насаждения. Подземное оборудование улиц включает сети трубопроводов и кабелей различного назначения, проложенные под проезжей частью, тротуарами и зонами зеленых насаждений.

Практика последних лет выявила современную тенденцию комплексного проектирования, строительства и эксплуатации улицы как единого инженерного сооружения.

В настоящее время проезжую часть улиц и дорог, в зависимости от состава, размера, скорости и условий безопасности движения транспорта, проектируют общей для всех видов транспорта или же в виде самостоятельных конструктивно выделяемых полос, предназначенных для отдельных видов транспорта, а также для движения с разными скоростями или в разных направлениях.

Важной задачей в области капитального строительства в городском хозяйстве является наиболее эффективное использование капитальных вложений, ввод в действие объектов высокого качества в оптимальные сроки. Большое значение имеет внедрение технологии строительства, соответствующей современному уровню технического прогресса.

Целью реферата является освоение принципов проектирования городских дорог и улиц в условиях застроенной и незастроенной территории.

1. Планировка уличной сети и элементы городских улиц

План уличной сети города определяется размещением производственных предприятий, жилых кварталов, общественных зданий, вокзалов, пристаней, а также примыканиями загородных дорог.

Планировка старых городов складывалась исторически под влиянием социальных, топографических и климатических условий. При планировке городов в Российской Федерации исходят из основного принципа создания наибольших удобств населению. Планировку новых городов, равно как и развитие и реконструкцию существующих, основывают на всестороннем изучении размещения промышленности, транспортных связей, выборе наиболее пригодных для жилых кварталов участков и создании зеленых массивов.

Различают несколько систем планировки городов: радиальная, радиально-кольцевая, прямоугольная и смешанная.

Рисунок 1. Системы планировки городов

Для большинства старинных городов - крепостей характерна радиально-кольцевая система планировки. Примером такой планировки является Москва. Города, основанные в XVII - XVIII веках, имеют, как правило, прямоугольную планировку.

При смешанной системе правильная прямоугольная планировка сочетается с прокладкой диагональных улиц - лучей, нарушающих некоторое однообразие прямоугольной планировки и создающих красивые площади и перспективы улиц. Примером смешанной планировки города может служить Санкт-Петербург.

Планировка уличной сети оказывает значительное влияние на работу транспорта. По сравнению с кратчайшим направлением (по воздушной линии) прямоугольная планировка удлиняет путь в среднем на 27%, а радиально-кольцевая на 10%.

Уличную сеть города характеризуют общим протяжением и плотностью в километрах на 1 км² площади.

При росте городов в состав уличной сети постепенно включаются загородные дороги. Поэтому уличную сеть новых городских районов планируют с учетом размещения грузообразующих пунктов и расположения сети дорог в пригородной зоне.

При проектировании новых городов сеть улиц намечают, исходя из предполагаемых направлений потоков городского движения. Используя данные о размещении производственных предприятий, учреждений, вокзалов, пристаней и мест общественного пользования, устанавливают направления и размеры грузового потока. В первую очередь по кратчайшему направлению трассируют основные магистрали. Остальные улицы располагают как вспомогательные к основным магистралям из условия обеспечения жилых кварталов удобной транспортной связью с промышленными предприятиями, учреждениями, вокзалами и так далее.

Планировка улиц, перекрестков и площадей составляет ответственную часть общей архитектурной планировки города. При проектировании уличной сети учитывают архитектурное оформление прилегающих площадей, набережных, парков.

Ширину магистральных улиц общегородского значения между красными линиями принимают в пределах 30 - 50 м, магистральных улиц районного значения 25 - 35 м. Ширину жилых улиц назначают в зависимости от этажности (высоты) зданий. При многоэтажной застройке 25 - 30 м, а при малоэтажной или усадебной застройке 14 - 20 м. При устройстве бульваров ширину улицы увеличивают на его ширину соответственно.

Для небольших населенных пунктов и рабочих поселков ввиду малой интенсивности движения требования к ширине улиц и типу проезжей части несколько снижают. Ширину районных и общепоселковых магистральных улиц принимают 25 - 35 м.

К элементам городской улицы относят проезжую часть, трамвайное полотно, тротуары, зеленые насаждения и велосипедные дорожки. Участки автомобильных дорог в пределах населенных пунктов должны отвечать требованиям, предъявляемым как к автомобильным дорогам соответствующей категории, так и городским или поселковым улицам.

Классификация городских улиц исходит из учета их основных признаков: характера застройки, перспективной интенсивности и видов движения, степени развития подземного хозяйства, положения улицы в плане уличной сети и по отношению к вводам загородных дорог. Классификация представлена по СНиП 2.07.01-89 «Градостроительство. Планировка и застройка городских и сельских поселений».

Ширину проезжей части назначают в зависимости от перспективной интенсивности в часы «пик» и пропускной способности одной полосы, определяемой с учетом категории улицы, расстояния между перекрестками и их пропускной способности.

Пропускную способность одной полосы улицы между перекрестками определяют по уравнению для расчета пропускной способности полосы движения на автомобильной дороге, вводя в нее поправочный коэффициент на влияние задержек на перекрестках:


где: N´ - полная пропускная способность на участке между перекрёстками после установления нормальной скорости движения.

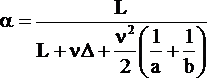
Коэффициент снижения пропускной способности улицы α определяют по формуле:


где: L (м) - расстояние между перекрёстками; ν (м/с) - скорость движения; Δ (с) - продолжительность стоянки автомобиля перед закрытым светофором или в ожидании проезда пересекающего потока автомобилей; a (м/с²) - среднее ускорение при разгоне с места; b (м/с²) - среднее замедление при торможении автомобиля.

Большое значение для повышения пропускной способности имеет разделение улицы по направлениям движения при помощи маркировки или, еще лучше, разделительных полос, покрытых газоном. На улицах, где происходит движение общественного транспорта и расположены общественные учреждения, следует предусматривать дополнительные полосы для остановки и стоянки автомобилей.

Ширину тротуаров устанавливают в зависимости от категории улицы, характера застройки и количества пешеходов, считая, что пешеход при движении занимает полосу шириной 0,75 м. Пропускная способность одной полосы тротуара составляет 600 - 1000 пешеходов в час. Минимальная ширина тротуара - 1м.

В зависимости от общей ширины улицы, тротуары можно располагать рядом с проезжей частью; между полосами зеленых насаждений, отделяющими тротуар от проезжей части и от линии зданий; рядом с линией застройки, но с отделением от проезжей части полосой зеленых насаждений.

Большое значение для украшения улиц и улучшения их санитарно-гигиенических условий имеют зеленые насаждения. Разделительные зеленые полосы повышают безопасность движения. При установлении типа посадок учитывают общую ширину улицы, тротуара, расположение подземных коммуникаций и линий трамвайного движения.

2. Поперечные профили городских улиц

Поперечные профили улиц разрабатывают, исходя из данных о перспективной интенсивности движения, характере будущей застройки и положения улицы в плане уличной сети.

Поперечные профили для каждой категории улицы могут существенно различаться в зависимости от конкретных условий движения и ширины.

Рисунок 2. Поперечные профили для различных категорий улиц

Для повышения пропускной способности городских улиц, иногда выделяют отдельные полосы для транзитного движения. Иногда в полосе транзитного движения в прямом и обратном направлениях устраивают разделительную полосу шириной 3 - 5 м.

Примыкающие к городам автомобильные магистрали по мере приближения к городу постепенно изменяют свой поперечный профиль и внешнее оформление: ширина проезжей части увеличивается с 6 - 7 до 12 - 24 м, конструкция проезжей части совершенствуется, боковые канавы заменяются лотками с подземным отводом воды, появляются зеленые насаждения.

Чтобы увеличить пропускную способность улиц и улучшить условия движения устраивают специальные улицы движения с высокими скоростями - до 100 - 120 км/ч. Улицы скоростного движения изолированы от местного городского движения, все пересечения с другими улицами устраивают в разных уровнях. Чтобы упростить строительство пересечений в разных уровнях, первое время улицы скоростного движения располагали преимущественно в выемках. Теперь скоростные улицы предпочитают устраивать на эстакадах, при этом упрощаются работы по строительству, уменьшается потребность в перестройке подземных коммуникаций, снижается стоимость строительства.

3. Особенности проектирования городских дорог

По характеру, составу и объему изыскательские работы в городских условиях во многом походят на изыскания загородных дорог. Однако имеется и ряд особенностей, обуславливаемых городскими условиями.

При изыскании для строительства новых и реконструкции существующих улиц, общее направление и план улицы устанавливают по данным планировки города. На плане улицы, обычно в масштабе 1:500 намечают базис - основную опорную линию для геодезических работ. Его принимают параллельным оси улицы, размещая так, чтобы движение не мешало работе геодезистов. Начальную и конечную точки и углы поворота базиса закрепляют на местности, привязывая к постоянным точкам.

В связи с большим количеством подземных коммуникаций и инженерных сооружений геодезические работы выполняют в городских условиях с большей точностью, чем на загородных дорогах.

Трассу измеряют по базису, отмечая на местности пикеты через 20 метров. На всех характерных участках намечают плюсовые точки. Для получения подробного и точного плана улицы на всех пикетах и плюсовых точках разбивают нормально к оси проезжей части поперечники до границ красной линии или линии застройки. Трассу нивелируют по базису с обязательной привязкой ко всем имеющимся вблизи реперам. При разбивке и нивелировке поперечников должны быть отмечены: трамвайное полотно, крышки колодцев подземных коммуникаций, входы в здания, въезды во дворы, окна подвальных этажей, водоприемные решетки, канавы, ось и лотки проезжей части. Незастроенные участки нивелируют по линии оси въезда на расстояние 20 м, считая от бровки тротуара.

При изысканиях для проектирования площадей, участок разбивают на квадраты со сторонами 10 - 20 м в зависимости от рельефа и размыва площади. Площадь нивелируют по квадратам.

Одновременно выполняют почвенно-грунтовые и гидрологические обследования. Шурфы закладывают в среднем через 100 м. На участках глубоких выемок или близкого стояния грунтовых вод проводят бурение. По данным этих обследований составляют почвенно-грунтовый профиль и проектируют конструкцию проезжей части или, если необходимо, дренажи и противопучинные мероприятия. Во время изысканий необходимо точно установить местоположение, размеры и состояние действующих подземных сооружений. При этом могут быть использованы материалы (планы, чертежи) организаций, ведающих подземным хозяйством.

На основе собранных во время изысканий материалов и исходных данных, указанных в задании на производство изысканий, разрабатывают одностадийный рабочий проект, а в сложных условиях составляют сначала технический проект, а затем, после дополнительных изысканий, рабочие чертежи. В рабочих чертежах уточняют принятые в техническом проекте решения, более точно и подробно определяют объемы работ с учетом конкретных местных условий.

городской дорога проектирование улица

План улицы определяется ее направлением и линиями существующей или проектируемой застройки. Улицу проектируют на основе технических изысканий и съемки плана, продольных и поперечных профилей. На плане улицы указывают пикеты, поперечники, красные линии застройки, примыкающие улицы, входы в здания, въезды во дворы, мачты и столбы, водоприемные колодцы, смотровые колодцы подземных сооружений, зеленые насаждения, трамвайное полотно, трассы подземных сетей и все элементы улицы.

Примыкающие улицы соединяют кривыми, радиусами не менее 20 м. на пересечениях улиц, борты, отделяющие тротуары от проезжей части, устанавливают по кривым, радиусом 5 - 10 м. На углах улиц, по которым предполагается троллейбусное движение, радиусы кривых желательно увеличивать до 15 - 25 м.

В местах намеченных остановок общественного транспорта следует предусматривать уширения проезжей части (карманы) на 3,0 - 3,5 м.

Вертикальная планировка улиц предусматривает изменение рельефа местности в соответствии с инженерно-техническими и архитектурными требованиями и установление высотных отметок поверхности улиц и площадей, расположения подземных сооружений, входов в здания, въездов во дворы. К вертикальной планировке относят также определение высотного положения мостов, путепроводов, тоннелей и набережных в зависимости от технических и местных условий.

Вертикальная планировка кварталов преследует цель обеспечения стока воды к сети наружных и подземных водостоков. Для уменьшения объема земляных работ проектные решения предельно используют естественный рельеф местности. При малых естественных уклонах местности такую проектировку можно выполнить при прямоугольном очертании кварталов. В пересеченной местности с большими уклонами и оврагами, прямоугольная планировка города создает значительные затруднения при строительстве зданий и подземных сооружений. В таких условиях улицы следует располагать по наиболее пониженным местам, допуская криволинейность в плане и изломы. Это уменьшает объемы земляных работ, улучшает условия отвода воды с прилегающих территорий и раскрывает большие архитектурные возможности для проектирования зданий, расположенных параллельно горизонталям и возвышающихся над улицей.

Продольный профиль составляют обычно по оси проезжей части. Если посередине улицы предусмотрено трамвайное движение, продольный профиль составляют по оси междупутья или по головке трамвайного рельса со стороны междупутья.

На продольном профиле показывают отметки пикетов и плюсовых точек, проектные и рабочие отметки, гидрогеологические и геологические данные.

Радиусы вертикальных кривых назначают возможно большими, не вызывающими чрезмерных планировочных работ.

Нанося проектную линию в продольном профиле, одновременно проверяют ее положение на поперечных профилях, составляемых для каждого пикета, и на характерных промежуточных точках, что позволяет судить об объеме земляных работ, степени использования существующего покрытия, об обеспечении водоотвода с дворовых территорий и о расположении тротуаров у входов и въездов.

При реконструкции улицы необходимо максимально использовать существующую дорожную одежду в качестве основания для нового покрытия, если она не подвержена пучинообразованию. Следует избегать при смягчении уклонов больших выемок, обнажающих фундаменты зданий, и больших насыпей, требующих переустройства входов и въездов и затрудняющих отвод воды с дворовых территорий.

Наглядное изображение проектной поверхности улицы получается при проектировании вертикальной планировки по методу проектных горизонталей. В этом случае на плане улицы, вычерченном в масштабе 1:500 или 1:200, наносят проектные горизонтали, показывающие высотное положение проезжей части, газонов, тротуаров и других элементов улицы. При таком совмещении плановой и вертикальной планировок получают на одном чертеже полное изображение проектируемой улицы в плане, продольном и поперечном направлениях, позволяющее оценить организацию отвода воды.

Горизонтальную и вертикальную планировки ведут совместно. Проектные горизонтали обычно проводят через 10,20 или 50 см. На особо сложных узлах пересечений и при малых проектных уклонах проводят промежуточные горизонтали через 5 см.

Обычно улицу начинают проектировать с лотков проезжей части, чтобы обеспечить отвод воды с нее и прилегающих территорий. Минимальный уклон лотка для всех покрытий принимают равным не менее 3‰, а для булыжной мостовой - не менее 4‰. При поверхностном водоотводе отметки лотка должны обеспечивать отвод воды в примыкающие или пересекающие улицы. При устройстве подземного водостока одновременно проектируют размещение водоприемных колодцев и их высотное положение. Затем вычисляют отметки оси, борта, газонов, тротуаров и проводят проектные горизонтали.

На плане вертикальной планировки надписывают отметки горизонталей, уклоны, отметки переломных точек и водоприемных колодцев.

Объем земляных работ подсчитывают по поперечным профилям. При проектировании площадей составляют картограмму земляных работ, представляющую собой план территории, разбитый на квадраты размером 20×20 или 40×40 м, в углах которого вписаны рабочие отметки грунтового основания, подготовленного для устройства покрытия. На основании этих отметок вычисляют среднюю рабочую отметку для каждого квадрата, а затем и объем земляных работ.

5. Проектирование перекрестков и городских площадей

Перекрестки городских улиц можно проектировать по различным схемам, выбирая конкретную с учетом перспективных размеров и характера движения и, конечно, в зависимости от плана уличной сети.

Рисунок 3. Схемы перекрестков: а - пересечение под прямым углом; б - пересечение под косым углом; в - Т-образное пересечение; г - У-образное пересечение; д - смещенное пересечение; е - вилкообразное пересечение; ж - сложное пересечение.

На перекрестках улиц движение транспортных средств и пешеходов осложняется, что требует мероприятий, обеспечивающих безопасность и удобство движения. Для повышения безопасности пересечения в районах новой застройки, необходимо проектировать с необходимым расстоянием видимости, подобно тому, как это делается на загородных дорогах. Однако весьма часто существующая застройка не позволяет этого, поэтому на всех перекрестках с оживленным светофорным движением обычно устраивают светофоры.

Вертикальная планировка перекрестков зависит от значения и категории пересекающихся улиц и направления продольных уклонов. Отметки оси проезжей части пересекаемой улицы могут сопрягаться или с отметками оси пересекающей улицы, или с отметками лотков пересекающей улицы.

На магистральных улицах нельзя устраивать поперечные лотки. В некоторых случаях можно проектировать односкатный поперечный профиль на перекрестке.

Для движения пешеходов на перекрестках предусматривают переходы, выделенные на покрытии маркировочными знаками (металлическими кнопками, окраской или плитками из цветного асфальтобетона). На улицах с оживленным движением для безопасности пешеходов устраивают подземные переходы или островки безопасности.

Ширину проезжей части и тротуаров на площадях назначают в зависимости от интенсивности и состава движения на примыкающих улицах и от принятой организации движения. Схему организации движения транспорта и пешеходов проектируют на плане площади в масштабе 1:500. При этом устанавливают число полос и направление движения автомобилей, троллейбусов, трамваев, автобусов и предусматривают размещение светофоров, стоянок автомобилей и переходов.

Различают следующие виды площадей: главные площади населенного пункта; площади жилых и промышленных районов; площади перед театрами, клубами и так далее; площади у торговых зданий и рынков; вокзальные площади; транспортные площади; предмостовые площади.

При вертикальной планировке площади в зависимости от общественного характера, рельефа и уклонов примыкающих улиц применяют односкатную, выпуклую, вогнутую или сложную форму, удобную для движения и позволяющую отводить воду.

В связи с развитием автомобильного движения и увеличением числа индивидуальных автомобилей возникла настоятельная необходимость устройства автомобильных стоянок на площадях у вокзалов, стадионов, театров и тому подобное. Автомобильные стоянки должны быть изолированы от транзитного движения, а въезд и выезд сделаны раздельными. Площадь автомобильной стоянки рассчитывают, исходя из числа ожидаемых автомобилей на стоянке и площади места, занимаемого одним автомобилем. Принимают, что легковой автомобиль при однорядной установке занимает 20 м², при многорядной - 40 м², автобус при однорядной установке - 32 м², при многорядной - 40 м². Предстоящее в ближайшие годы резкое увеличение количества легковых автомобилей потребует принятия решительных мер по оборудованию внеуличных подземных и многоэтажных стоянок.

На площадях, образующихся при соединении нескольких улиц или на подъездах к мосту, стоянки транспорта не предусматриваются, так как назначение площади ограничивается распределением движения транспортных потоков, вливающихся с прилегающих улиц. Наиболее распространенная организация движения на таких площадях достигается устройством в центре направляющего островка в форме круга или другой правильной формы. Размер круга назначают возможно большим, в зависимости от размера площади. Однако при этом ширина проезда должна быть достаточной для заданной интенсивности движения на вливающихся улицах. Чем больше улиц примыкает к площади, тем больше должны быть ширина проезда и диаметр круга. При малых размерах центрального островка движение автомобилей регулируют по кругу.

Если форма площади не позволяет устроить центральный островок, организацию движения решают при помощи нескольких направляющих островков в виде разделительных полос или треугольников с обязательным регулированием движения. При большом движении транспорта и пешеходов пересечения на транспортных магистралях делают в разных уровнях, устраивая тоннели или эстакады.

Тоннель строят в центральной части улицы с таким расчетом, чтобы транспорт мог поворачивать направо. Для пешеходов также могут быть устроены специальные тоннели при большой ширине улиц и интенсивном движении транспорта, как, например, сделано на ряде улиц в Москве - на Кутузовском проспекте, Театральном проезде, у проспекта Маркса, Октябрьской и Смоленской площадях и в других городах. Высота тоннелей принята 2,3 м, а ширина - 5 - 8 м.

6. Водоотвод в городских условиях

Рисунок 4. Водоотвод в городских условиях

При поверхностной и открытой системе водоотвода, воду отводят по лоткам или канавам в пониженные места и водотоки. При закрытом водоотводе, вода, собирающаяся в лотках проезжей части, стекает в водоприемные колодцы, устраиваемые в лотках, а затем по трубам подземного водостока в тальвеги и водотоки. Применяют и комбинированную систему, когда на части улиц осуществляется поверхностный водоотвод для последующего сброса воды в подземный водосток.

Открытые канавы в городских условиях устраивать не рекомендуется, так как их трудно содержать в надлежащем санитарном состоянии, а к каждому дому необходимо устраивать переездные мостики. Лучше отводить воду по лоткам, которые в городах образуются при устройстве подзоров - откосов, укрепленных мощением или установкой бордюра. Минимальный уклон канав и лотков принимается 5‰ и в исключительных случаях 3‰.

Закрытый водоотвод широко применяют в городах, особенно при равнинном, плоском рельефе, затрудняющем устройство канав и лотков. Если есть подземный водосток, улицу можно проектировать с уклоном менее 5‰, но в этом случае лотки делают пилообразного профиля с уклонами 4 - 5‰. Этот профиль получается за счет изменения глубины лотка в пределах 10 - 20 см и поперечного уклона проезжей части в полосе, примыкающей к лотку, на ширине 1 - 2 м. Во всех понижениях пилообразного профиля лотка через каждые 40 - 60 м размещаются водоприемные колодцы.

При проектировании водоотвода в населенных пунктах в первую очередь устанавливают направление основных водосточных магистралей, совмещая их с пониженными местами и тальвегами. Магистраль закрытого водостока обычно располагают по направлению улиц и параллельно линии застройки, но бывают случаи, когда по условиям рельефа водосток прокладывают через территорию квартала. Водоотводные устройства на прилегающих территориях проектируют с учетом сброса воды в главную магистраль.

Из водоприемных колодцев, располагаемых в лотках, вода по отводным трубам диаметром 30 - 40 см поступает в трубу водостока. Водосток каждой улицы через разветвленную сеть примыкающих уличных водостоков присоединяют к магистральному водостоку (коллектору), сбрасывающему сточные воды в реку или в тальвег.

Глубину приложения магистрального водостока назначают с таким расчетом, чтобы к нему можно было подвести водосточные трубы с прилегающих улиц. Уклон труб водостока обычно принимают равным уклону местности и проверяют расчетом.

Минимальный продольный уклон определяют из условия, чтобы при заполнении водостока на ¹/3 высоты, скорость воды была не менее 0,75 м/с, во избежание отложения наносов.

Чтобы вода не замерзала в трубах при промерзании грунта, глубину заложения водостоков назначают не менее чем на глубину промерзания грунта, увеличенную на 0,3 метра при диаметрах труб до 500 мм; при больших диаметрах труб разрешается их заглубление на глубину промерзания за вычетом 0,5 м.

Элементы водосточной сети, расстояния между дождеприемными колодцами и размеры труб водостока в городских условиях рассчитывают по методу предельных неровностей, разработанному профессором П.Ф. Горбачевым и принятому для проектирования городских водостоков. Сечения канав, лотков и дорожных труб определяют по формулам гидравлики.

Метод предельных интенсивностей заключается в том, что расчетная интенсивность дождя принимается соответствующей продолжительности дождя, равной по времени протекания воды от наиболее удаленной границы бассейна до расчетного сечения.

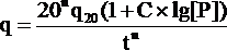
Для определения интенсивности дождя q, л/сек-га, пользуются формулой:


где: n (1) - показатель степени, определяемый по картам изолиний;(л/сек×га) - интенсивность ливня для данного места при продолжительности 20 минут и вероятности превышения 1 раз в год, определяемая для разных районов Российской Федерации по картам изолиний;

С (1) - климатический коэффициент;

Р (лет) - повторяемость расчётного ливня;(мин) - продолжительность ливня.

Расход ливневых вод определяют по формуле:


где: F (га) - площадь водосборного бассейна;(л/сек) - интенсивность дождя;

φ (1) - коэффициент стока, учитывающий потери.

При высоком стоянии грунтовых вод, для осуществления земляного полотна и понижения уровня грунтовых вод в городских условиях устраивают дренажи, конструкция которых и методы расчета аналогичны применяемым на загородных дорогах.

Заключение

Современный строительный процесс, особенно при создании крупных градостроительных комплексов, включающих кроме жилых домов и общественных зданий дорожно-транспортные сооружения, подземные коммуникации, озеленение, освещение и так далее, является в техническом и организационном отношениях весьма сложным, что определяется многими факторами: специализацией и особым ее характером, требующим выполнения каждого вида работ в точно установленное время и в данном месте; большой продолжительностью производственного цикла и требованием всемерного сокращения продолжительности строительства; своеобразием продукции, которая является неподвижной, тогда как орудия труда должны передвигаться в процессе производства; работой на открытом воздухе в разнообразных природных и климатических условиях; многообразием строительных и монтажных работ, определяемым сложностью и разнообразным назначением строящихся объектов; неравномерностью распределения объемов работ по длине улицы; стесненностью фронта работ в условиях существующей городской застройки и интенсивного движения транспорта и пешеходов.

В данной работе сделана попытка последовательно изложить основы проектирования городских улиц, включающие в себя: планировку уличной сети, поперечные профили, особенности горизонтального и вертикального проектирования городских дорог, перекрестков и городских площадей, и сооружение водоотвода в городских условиях.

Список использованной литературы

1. Гольдин Э.М., Дубровин Е.Н. Технология строительства городских улиц. Учебн. пособие для вузов. - М.: «Высшая школа», 1974. - 440 с. с ил.

. Бабков В.Ф. Проектирование автомобильных дорог. - М.: Транспорт, 1987. - 415 с.

. Дубровин Е.Н., Ланцберг Ю.С. Изыскания и проектирование городских дорог. - М.: Транспорт, 1981. - 471 с.

. Андрианов К.А., Воронков А.Г., Леденев В.И. Проектирование городской улицы: метод. указания. - Тамбов: ТГТУ, 2008. - 24 с.

. СНиП 2.07.01-89* Градостроительство. Планировка и застройка городских и сельских поселений. - М.: ФГУП ЦПП, 2004. - 56 с.

. Руководство по проектированию городских улиц и дорог / Центр. ин-т и проектный ин-т по градостроительству Госгражданстроя. - М.: Стройиздат, 1980. - 222 с.

Похожие работы на - Проектирование городских улиц

 

Не нашли материал для своей работы?
Поможем написать уникальную работу
Без плагиата!
Без нейросетей!