Планировка площадки, отрывка котлованов и возведение железобетонных фундаментов зданий
Министерство образования и науки
Российской Федерации
Федеральное государственное бюджетное
образовательное учреждение высшего профессионального образования
Московский Государственный
Строительный Университет (МГСУ)
Факультет ПГС ф
Кафедра Технология, организация и
управление в строительстве
Курсовой проект
По дисциплине Технология строительного
производства
Тема: Планировка площадки, отрывка
котлованов и возведение железобетонных фундаментов зданий
Москва 2015 г.
Оглавление
Исходные данные
1. Определение положения
линии нулевых работ
2. Определение объемов
грунта в планировочных выемке и насыпи, в откосах площадки, котловане, траншеях
и отдельных выемках
3. Составление баланса и
плана распределения земляных масс
4. Определение средней дальности
перемещения грунта на строительной площадке
5. Выбор механизмов для
производства основных видов земляных работ
6. Составление
спецификации конструктивных элементов фундаментов
7. Технология арматурных
работ. составление спецификации арматурных элементов
8. Определение количества
фундаментов на одной захватке
9. Выбор комплекта
опалубки
10. Определение параметров
бетонирования в зимних условиях
11. Технологическая карта
Список литературы
Исходные данные
Таблица 1 Задание по планировке площадки.
|
Рабочие отметки в вершинах квадратов.
|
Схема площадки.
|
|
№ вершин
|
Отметки уровня
|
|
|
1
|
0,62
|
|
|
2
|
-0,58
|
|
|
3
|
-0,49
|
|
|
4
|
-0,52
|
|
|
5
|
-0,44
|
|
|
6
|
0,54
|
|
|
7
|
0,48
|
|
|
8
|
0,24
|
|
|
9
|
-0,37
|
|
|
10
|
0,62
|
|
|
11
|
0,74
|
|
|
12
|
0,35
|
|
|
13
|
-0,41
|
|
|
14
|
-0,28
|
|
|
15
|
-0,33
|
|
|
16
|
-0,44
|
|
Грунт: суглинок.
Расстояние до отвала (резерва): 7 км.
Квадрат котлована: IV.
Задание на возведение монолитных конструкций подземной части
Рис. 1
Таблица 2
|
Размеры в осях, м
|
Размеры № фундамента, м
|
Глубина котлована, м hk
|
Диметр арматуры, мм
|
Температура, 0С
|
|
L xN
|
l xn
|
a1
|
b1
|
a2
|
b2
|
h1
|
h2
|
|
|
|
|
6x6
|
6x11
|
2,5
|
2,5
|
1,4
|
1,0
|
1,0
|
1,4
|
2,5
|
37
|
-15
|
1. Определение положения линии нулевых работ
Планируемая площадка представляет собой прямоугольник, условно разбитый
на квадраты размером 100х100м. Заданием курсового проекта определены рабочие
отметки вершин квадратов, которые представляют собой разность между проектными
отметками (красными) и отметками существующей поверхности грунта (черными).
Положительные по знаку рабочие отметки соответствуют насыпи, отрицательные -
выемке.
Линия нулевых работ (ЛНР) соединяет точки с рабочими отметками, равными
0, которые располагаются на сторонах квадратов, соединяющих вершины с рабочими
отметками противоположных знаков. (рис.1.)
Рис. 1
Привязка точек с нулевыми рабочими отметками определяется из пропорции:

, откуда 
,
где X - расстояние от вершины квадрата с
положительной рабочей отметкой до точки нулевых работ, м;

и 
-
значения рабочих отметок вершин квадратов насыпи и выемки соответственно, м;
-
ширина квадрата площадки, м.
Рис.2. Положение линии нулевых работ
2. Определение объемов грунта в планировочных выемке и
насыпи, в откосах площадки, котловане, траншеях и отдельных выемках
Объемы грунта отдельных фигур, располагающихся в пределах насыпи и
выемки, V, м3, определяют путем
умножения площади основания каждой фигуры на среднюю высоту ее рабочей отметки:
где

-
рабочие отметки всех вершин фигуры, в том числе и нулевые, м;- количество всех
вершин фигуры;

-
средняя величина рабочих отметок, м;- площадь фигуры, м2.
Объем
грунта в откосах выемки (насыпи) V, м3 (рис.3), определяется по формуле:
где

-
периметр сторон насыпи (выемки), м;- коэффициент заложения откоса в зависимости
от грунта и глубины котлована;

-
абсолютная величина средней рабочей отметки по периметру выемки (насыпи), м.
Объем
грунта в угловых откосах выемки (насыпи) V, м3,
определяется по формуле:
где h - высота пирамиды, м.
Рис.3. Определение объёмов грунта в откосах выемки (насыпи)
На основании расчетов заполняется таблица 1. При отсыпке насыпи учитывают
остаточное разрыхление грунта. Ввиду того, что при укладке насыпи и интенсивном
уплотнении его катками не удается достичь естественной плотности грунта, то для
укладки насыпи объемом VH требуется объем грунта равный V/K, где V - объем грунта естественной плотности; K - коэффициент остаточного
разрыхления (для суглинка легкого принимаем K = 1,04).
Таблица 3 Расчет объемов грунта насыпи и выемки
|
№
|
Выемка (m = 0,5)
|
Насыпь (m = 0,67; K = 1,04)
|
|
( ) / nhср, мF,
м2V, м3( ) / nhср, мF,
м2V, м3V/K, м3
|
|
|
|
|
|
|
|
|
|
I
|
|
0,193
|
1248
|
240,9
|
|
0,206
|
1508
|
310,6
|
298,7
|
|
|
0,147
|
945
|
138,9
|
|
0,108
|
6299
|
680,3
|
654,1
|
|
II
|
|
0,2675
|
5150
|
1377,6
|
|
0,255
|
4850
|
1236,8
|
1189,2
|
|
III
|
|
0,2525
|
5950
|
1502,4
|
|
0,18
|
4050
|
729
|
701
|
|
IV
|
|
0,2025
|
4100
|
830,3
|
|
0,29
|
5900
|
1711
|
1645,2
|
|
V
|
|
|
|
|
|
0,595
|
104
|
5950
|
5721,2
|
|
VI
|
|
|
|
|
|
0,4525
|
104
|
4525
|
4351
|
|
VII
|
|
0,212
|
7826,5
|
1659,2
|
|
0,206
|
2173,5
|
447,7
|
430,5
|
|
VII
|
|
0,1525
|
3100
|
472,8
|
|
0,34
|
6900
|
2346
|
2255,8
|
|
IX
|
|
0,1925
|
4350
|
837,4
|
|
0,2725
|
5650
|
1539,6
|
1480,4
|
|
Отк
|
верх
|
(0+3Ч0+0,52+0,49++0,58)/7
|
0,227
|
|
4,1
|
верх
|
(0+0+0,62)/3
|
0,207
|
|
1,6
|
1,5
|
|
низ
|
(0+0,44+0,33+0,28+ +0,41+0,37+0,44+0Ч6)/12
|
0,189
|
|
5,4
|
низ
|
(0Ч10+0,24+0,35+0,48+0,74+0,62+0,54)/16
|
0,184
|
|
2
|
1,9
|
|
Итого:
|
7069,0
|
Итого:
|
19479,6
|
18730,5
|
Общий объем насыпи и выемки находится как сумму объемов грунта отдельных
фигур, лежащих в пределах планируемой площадки.
объём грунта в откосах выемки (кроме угловых):
верх:

;
низ:

;
объем
грунта в угловых откосах выемки:

,

;

;
- объем грунта в откосах выемки:
верх:
;
низ:
;
объём
грунта в откосах насыпи (кроме угловых):
верх:

;
низ:

;
объем
грунта в угловых откосах насыпи:

,
- объем грунта в откосах насыпи:
верх:

.
низ:

Для
принятия решения об устройстве земляного сооружения (общего котлована под
фундаменты, траншей под ряды фундаментов или отдельных котлованов под каждый
фундамент) вычерчиваются продольные профили отдельных котлованов под каждый
фундамент по рядам в обоих направлениях (см. рис.4а и 4б).
Земляное
сооружение проектируется с учетом крутизны откосов для данного вида грунта и
глубины заложения фундамента. Расстояние от подошвы откоса до близлежащего
фундамента с установленной опалубочной формой принимается не менее 0,2м. В
нашем случае точка пересечения линий откоса в обоих направлениях выше уровня
земли, поэтому принимаются ямы под отдельные фундаменты.
Рис.4а. Продольный профиль разреза фундаментов (фрагмент)
Рис.4б. Поперечный профиль разреза фундаментов (фрагмент)
После определения типа и размеров земляного сооружения в плане,
необходимо рассчитать объемы земляных работ при его разработке (V, м3). При разработке
отдельных ям под каждый фундамент их объём определяется по формуле:
где

-
глубина котлована по заданию, м;

-
площадь котлована по низу, м2;

-
площадь котлована по верху, м2.
На весь фундамент:
После возведения фундаментов оставшийся объем котлована в виде пазух
заполняется грунтом, который называется обратной засыпкой (Vобр.зас, м3). Её объём
определяется по формуле:
где

- объем
конструкций ж/б фундаментов до планировочной отметки, м3;

-
коэффициент остаточного разрыхления грунта после уплотнения (для суглинка -
0,04).
На весь фундамент:
3. Составление баланса и плана распределения земляных масс
На основании расчетов объемов разрабатываемого грунта составляется баланс
грунта на строительной площадке (табл.2). При недостатке грунта (отрицательный
баланс) для устройства планировочной насыпи объем недостающего грунта
разрабатывается в карьере, расположенном за пределами площадки, и доставляется
автосамосвалами. Вытесненный фундаментами грунт, может быть уложен в
планировочную насыпь. В случае положительного баланса (превышение выемки над
насыпью) лишний грунт необходимо вывести за пределы площадки в отвал.
Таблица 2 Ведомость сводного баланса грунтовых масс
|
Место разработки грунта
|
Объем грунта, м3
|
Место укладки грунта
|
Объем грунта, м3
|
|
Планировочная выемка
|
7069,0
|
Планировочная насыпь
|
18730,5
|
|
Резерв (карьер)
|
11661,5
|
Отвал
|
-
|
|
Котлован под фундаменты
|
3059,3
|
Обратная засыпка пазух фундаментов
|
2274,7
|
|
|
Планировочная насыпь
|
784,6
|
|
|
Отвал
|
-
|
|
Итого
|
21789,8
|
Итого
|
21789,8
|
На основании полученного баланса грунта на план участка поквадратно
переносятся:
объемы земляных масс (табл.1), для планировочной насыпи объёмы грунта
принимаются с учётом коэффициента остаточного разрыхления;
котлован, объём которого записывается двумя цифрами. Первая цифра -
грунт, оставленный у бровки котлована для обратной засыпки пазух, и вторая -
грунт, который в соответствии с балансом будет перемещаться в планировочную
насыпь.
В соответствии с балансом грунта площадку можно разделить на три зоны,
имеющие при производстве работ самостоятельное значение:
. Зона перемещения грунта из планировочной выемки в планировочную насыпь.
В ней объемы выемки и насыпи равны и примыкают к линии нулевых работ.
. Зона, наиболее удаленная от линии нулевых работ, из которой вывозится
лишний грунт.
. Зона разработки котлована с указанием перемещения лишнего грунта.
В зоне внутренних планировочных работ (зона 1) графически показано
перемещение объёмов земляных масс из каждой фигуры выемки и котлована в
соответствующую фигуру насыпи. Для этого на квадратах и их частях намечены
центры тяжести и соединены их стрелками по правилу перемещения из ближней к ЛНР
фигуры в ближнюю, из дальней в дальнюю. Над стрелкой указан объём перемещаемого
грунта (м3), под стрелкой - дальность перемещения (м).
4. Определение средней дальности перемещения грунта на
строительной площадке
Средняя дальность перемещения грунта при вертикальной планировке есть
расстояние между центрами равновеликих по объему участков насыпи и выемки. В
данном курсовом проекте средняя дальность перемещения определяется
аналитическим методом.
При аналитическом методе сначала находят координаты x и y центров тяжестей объемов выемок и насыпей, заменяя их
центрами тяжести площадей оснований, относительно прямоугольной системы
координат, в качестве осей которой принимают стороны планируемой площадки.
Координаты находят по формуле:
где N - номер элементарной фигуры;

, 
-
координаты центра тяжести фигуры N;

, 
-
координаты вершин фигуры;
n - количество
вершин фигуры.
Затем
определяются дальности перемещения грунта по парам элементарных фигур. При
перемещении из фигуры N1 в N2 дальность перемещения будет равна:
где

, 
-
координаты центров тяжестей соотв. фигур.
Расчетная
формула средней дальности перемещения грунта выглядит следующим образом:
где

- объёмы
выемок в элементарных фигурах;

-
расстояние между центрами тяжести элементарных фигур.
Таблица
3 Координаты центров тяжестей элементарных фигур
|
№ фигуры
|
|
|
|
Iн (Д58 и 52)
|
|
|
|
Iв (Д52 и 48)
|
|
|
|
Iв (Д42 и 45)
|

|
|
Iн
|
|
|
|
IIв
|
|
|
|
IIн
|
|
|
|
IIIв
|
|
|
|
IIIн
|
|
|
|
IVв
|
|
|
|
IVн
|
|
|
|
Vн
|
|
|
|
VIн
|
|
|
|
VIIв
|
|
|
|
VIIн
|
|
|
|
VIIIв
|
|
|
|
VIIIн
|
|
|
|
IXв
|
|
|
|
IXн
|
|
|
|
Откос выемки
|
Верх: (52+100+200+300+300,26Ч2+ 300Ч2)/8==231,6
|
Верх (300+300,29+300,25+300,26Ч2+300+ 232+300)/8=291,6
|
|
Низ: (0-0,22-0,19-0,21Ч2+0+100+200+
300+300,22Ч2+300Ч2+0)/14=128,5
|
Низ: (242+200+100+0-0,21Ч2-0,14-0,17-0,22Ч2+0+56+0+0)/14=42,6
|
|
Откос насыпи
|
Верх: (0-0,42-0,42+0+52+0)/6=8,5
|
(242+300+300,42+300,42+300+300)/6=290,5
|
|
Низ:(300+300,16+300,23+300)/4=300,1
|
(232+200+100+56)/4=147
|
Таблица 4 Схема перемещения грунта
|
Откуда
|
Куда
|
Расстояние, м
|
Объем, м3
|
Осталось вынуть
|
Осталось насыпать
|
|
Iв (Д42 и 45)
|
Iн (Д58 и 52)
|
|
138,9
|
0
|
159,8
|
|
Iв (Д52 и 48)
|
Iн (Д58 и 52)
|
|
159,8
|
81,1
|
0
|
|
Iв (Д52 и 48)
|
Откн (верх)
|
|
1,5
|
79,6
|
0
|
|
Iв (Д52 и 48)
|
Iн
|
|
79,6
|
0
|
574,5
|
|
IIв
|
IIн
|
 1189,2188,40
|
|
|
|
|
IIIв
|
IIIн
|
|
701
|
801,4
|
0
|
|
IVв
|
IVн
|
|
830,3
|
0
|
814,9
|
|
VIIв
|
VIIн
|
|
430,5
|
1228,7
|
0
|
|
VIIв
|
Iн
|
|
574,5
|
654,2
|
0
|
|
VIIв
|
IVн
|
|
30,3
|
623,9
|
784,6
|
|
VIIIв
|
VIIIн
|
|
472,8
|
0
|
1783
|
|
IXв
|
IXн
|
|
837,4
|
0
|
643
|
|
VIIв
|
VIIIн
|
|
623,9
|
0
|
1159,1
|
|
Откв (низ)
|
VIIIн
|
|
5,4
|
0
|
1153,7
|
|
IIв
|
VIIIн
|
|
188,4
|
0
|
965,3
|
|
IIIв
|
VIIIн
|
|
801,4
|
0
|
163,9
|
|
Откв (верх)
|
VIIIн
|
|
4,1
|
0
|
159,8
|
|
котл.
|
IVн
|
21
|
784,6
|
-
|
0
|
|
котл.
|
обр.з.
|
22
|
2274,7
|
-
|
-
|
|
резерв
|
V
|
-
|
5721,2
|
-
|
-
|
|
резерв
|
VI
|
-
|
4351
|
-
|
-
|
|
резерв
|
IXн
|
-
|
643
|
-
|
-
|
|
резерв
|
VIIIн
|
-
|
159,8
|
-
|
-
|
|
резерв
|
Откн (низ)
|
-
|
1,9
|
-
|
-
|
Средняя дальность перемещения грунта:
Рис. 5. Схема распределения грунтовых масс на площадке. Линии перемещений
грунта условно не прямые
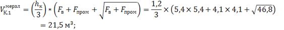
. Выбор механизмов для производства основных видов земляных
работ
Необходимо обосновать выбор следующих основных механизмов:
машин для осуществления планировочных работ;
машин для разработки котлована;
машин для подвозки недостающего грунта из карьера.
По заданию работы производятся в зимний период, разрабатываемый грунт
(суглинок) - мерзлый. Судя по отсутствию в ЕНиР Е-2-1 норм на разработку не
разрыхлённой мёрзлой глины, в начале работ необходимо рыхление подлежащих
выемке участков строительной площадки при помощи рыхлителя с глубиной рыхления
не менее 350 мм.
В соответствии с ЕНиР Е-2-1, указанный в задании грунт (суглинок,
принимаем легкий без примесей) соответствует следующим группам:
Таблица 5 Группы грунта в зависимости от видов работ
|
Разработка грунта:
|
Группа
|
|
одноковшовым экскаватором предварительно разрыхленного
грунта
|
IIм
|
|
бульдозером предварительно разрыхленного грунта
|
Iм
|
|
рыхление грунта бульдозерами-рыхлителями
|
Iм
|
|
рыхление грунта клин-молотом
|
IIм
|
|
разработка одноковшовым экскаватором ниже глубины
промерзания
|
I
|
Выбор машин для планировочных работ.
При выборе машины для планировочных работ основным критерием является
дальность перемещения грунта. При дальности перемещения от 51 м до 80 м
используют бульдозер мощностью до 160 л.с. Для этого предварительно выбираем
бульдозеры ДЗ-14 (108 л.с.) на тракторе Т-100 и ДЗ-27с (160 л.с.) на тракторе
Т-130. Но, судя по ЕНиР (§ Е2-1-23), для перемещения предварительно
разрыхленного мерзлого грунта необходимо использовать только бульдозеры Д-384;
Д-385; ДЗ-34С (Д-572С) на тракторе ДЭТ-250. Соответственно выбор механизма для
перемещения грунта будем производить для бульдозеров Д-384; Д-385; ДЗ-34С
(Д-572С) на тракторе ДЭТ-250.
Максимальная требуемая глубина рыхления при планировочных работах
составляет 35 см. Глубину промерзания (т.к. она не задана) будем считать равной
120 см (глубина промерзания глины в Московской области).
Также бульдозер используется при обратной засыпке пазух после возведения
фундаментов. Согласно ЕНиР, с трактором ДЭТ-250 для этих целей используются
бульдозеры ДЗ-118; ДЗ-34С (Д-572С).
По ЕНиР определяется норма времени. Норма времени на 100м3 грунта дается
составной - основная до 100 м перемещения и дополнительная на каждые 10 м
перемещения (сверх 100).
Время работы в маш-см. на весь объём перемещаемого грунта определяется по
следующей формуле:
где ТР - трудоёмкость работ по перемещению грунта из выемки в
насыпь, маш-см;ПГ - объём перемещаемого грунта из выемки в насыпь,
100м3;
НВР - норма времени на перемещение 100 м3,
маш-ч/100м3;
ТСМ - продолжительность смены принимается равной 8 ч/см.
Стоимость 1 маш-ч принимается на основании справочного материала [4].
Принимается для дальнейшей работы тот вариант, который имеет минимальную
стоимость эксплуатации, которая определяется, как:
где СМ-ч - стоимость 1 маш-ч.
Сведем
все сведения в таблицу 6, учитывая, что дальность перемещения равна 
м объем
перемещаемого грунта равен 
. Средняя
дальность перемещения при обратной засыпке составляет 21 м или 
, объём
перемещаемого грунта 
.
Таблица
6 Выбор машин для планировочных работ
|
Модель
|
ЕНиР
|
Объем грунта, 100м3
|
Норма времени на 100м3 (HВР)
|
Трудоёмкость работ (TР)
|
Стоимость смены (СМ-Ч)
|
Стоимость работ (СЭ)
|
|
Рыхление грунта выемки
|
|
Рыхлитель ДЗ-121 (с трактором ДЭТ-250)
|
Е2-1-2
|
70,69
|
0,66
|
5,83
|
2898-36
|
135 179-51
|
|
Перемещение грунта
|
|
Бульдозер ДЗ-34С (с трактором ДЭТ-250)
|
Е2-1-23
|
69,9
|
0,38+0,2* *6 = 1,18
|
10,43
|
2562-05
|
213 777-45
|
|
Обратная засыпка пазух
|
|
Бульдозер ДЗ-34С (с трактором ДЭТ-250)
|
Е2-1-34
|
22,75
|
0,2+4*0,1 = 0,6
|
1,71
|
2562-05
|
35 048-84
|
|
Итого:
|
384 005-80
|
Выбор экскаватора.
а) для разработки ям под фундаменты.
При выборе экскаватора учитываются два основных критерия -
разрабатываемое сооружение и предполагаемый вид (тип) экскаватора. В
зависимости от объёма грунта в котловане подбирается емкость ковша экскаватора,
а затем и его марка.
При разработке выемки под сооружение целесообразно применять для ям под
отдельно стоящие фундаменты одноэтажный промышленных зданий экскаватор обратная
лопата. При объёме разрабатываемого грунта от 1500 до 5000 м3
принимается емкость ковша экскаватора 0,5 м3.
Норма времени для экскаватора определяется в зависимости от типа работ
как «в транспорт» и «навымет». В нашем случае при разработке грунта,
подлежащего перемещению в зону планировочной насыпи, берется норма времени «в
транспорт» (объем грунта 784,6 м3); при разработке ям под котлованы
- «навымет» (объем обратной засыпки 2274,7 м3).
Объем мерзлого грунта в ямах под фундаменты:
Сравниваем два экскаватора с объёмом ковша 0,5 м3:
экскаватор механический Э-504, оборудованный обратной лопатой с объемом
ковша с зубьями 0,5м3;
экскаватор гидравлический ЭО-3322А, оборудованный обратной лопатой, с
объемом ковша 0,5м3.
Таблица 7 Выбор экскаватора (для разработки ям под фундаменты)
|
Модель
|
ЕНиР
|
Объем грунта, 100м3
|
Норма времени на 100м3 (HВР)
|
Трудоёмкость работ (TР)
|
Стоимость смены (СМ-Ч)
|
Стоимость работ (СЭ)
|
|
Рыхление
|
|
Рыхление клин-молотом
|
Е2-1-3
|
18,06
|
9,5
|
21,45
|
1 242-77
|
213 259-33
|
|
Разработка ям под фундаменты
|
|
Экскаватор механич. Э-504 с ковшом с зубьями ёмкостью 0,5
м3
|
Е2-1-11
|
18,06
|
4,6
|
10,38
|
797-83
|
66 251-80
|
|
Е2-1-11
|
12,533
|
3,6
|
5,64
|
797-83
|
35 998-09
|
|
Итого:
|
16,02
|
|
102 249-89
|
|
Экскаватор гидравлич. ЭО-3322А с ковшом 0,5 м3
|
Е2-1-11
|
18,06
|
4,2
|
9,48
|
729-56
|
55 329-83
|
|
Е2-1-11
|
12,533
|
3,3
|
5,17
|
729-56
|
30 174-60
|
|
Итого:
|
14,65
|
|
85 504-43
|
|
Итого (по выгодному варианту):
|
298 763-76
|
Окончательно принимаем вариант №2 одноковшовый экскаватор ЭО-3322А,
оборудованный обратной лопатой с гидравлическим приводом, с вместимостью ковша
0,5м3 под управлением машиниста 6-го разряда.
б) для разработки грунта из карьера
Сравниваем два экскаватора с разным объёмом ковша:
экскаватор с гидравлическим приводом Э-5122, оборудованный обратной
лопатой с объемом ковша 1,25 м3;
экскаватор с гидравлическим приводом Э-5122, оборудованный обратной
лопатой с объемом ковша 1,6 м3;
В результате выбираем для разработки грунта карьера одноковшовый
экскаватор ЭО-5122, оборудованный обратной лопатой с гидравлическим приводом, с
вместимостью ковша 1,6м3 под управлением машиниста 6-го разряда.
Таблица 8
|
Модель
|
Объем грунта, 100м3
|
Норма времени на 100м3 (HВР)
|
Трудоёмкость работ (TР)
|
Стоимость смены (СМ-Ч)
|
Стоимость работ (СЭ)
|
|
Рыхление
|
|
Рыхление клин-молотом
|
Е2-1-3
|
10,8769
|
9,5
|
12,92
|
1 242-77
|
128 452-71
|
|
Разработка грунта из карьера
|
|
Экскаватор ЭО-5122 с ковшом 1,25 м3
|
Е2-1-9
|
10,8769
|
3
|
4,08
|
1 337-91
|
43 669-38
|
|
Итого:
|
|
|
43 669-38
|
|
Экскаватор ЭО-5122 с ковшом 1,6 м3
|
Е2-1-9
|
10,8769
|
2
|
2,72
|
1 576-83
|
34 311-82
|
|
Итого:
|
|
|
34 311-82
|
|
Итого (по выгодному варианту):
|
162 764-53
|
Выбор самосвалов для перевозки грунта.
а) для перевозки грунта из котлована в планировочную насыпь.
Для отвозки лишнего грунта из котлована в тело планировочной насыпи
необходимо подобрать марку самосвала, определить их количество, обеспечивающее
бесперебойную работу ведущего механизма - экскаватора.
Объём грунта VГ, м3, в плотном теле в ковше
экскаватора:
где VКОВШ - емкость ковша принятого экскаватора; для
экскаватора ЭО-3322А ёмкость ковша VКОВШ=0,5м3;НАП
- коэффициент наполнения ковша, принимаемый для обратной лопаты 0,9;П.Р.
- коэффициент первоначального разрыхления грунта, принимаем равный 1, т.к.
грунт уже предварительно разрыхлен.
Масса грунта в ковше экскаватора Q, т:
где

-
плотность грунта, равная 1700 кг/м3.
В
кузов самосвала должно быть загружено от 3 до 8 ковшей с грунтом. При загрузке
трех ковшей самосвала масса грунта составит 
, при
засыпке восьми ковшей в кузов самосвала масса грунта составит 
.
Следовательно, грузоподъёмность самосвала должна быть от 2,3т до 6,12 т. Подбор
марки осуществляется на основании этого условия по справочному материалу.
Количество
ковшей с грунтом, загружаемых в самосвал:
где
ГП - грузоподъемность самосвала, т.
Объём
грунта в плотном теле, загружаемый в кузов самосвала:
Время
погрузки грунта в самосвал определяется как:
=4,2 -
норма времени работы экскаватора (ЭО-3322А) в транспортное средство
Продолжительность
цикла работы самосвала в минутах, начиная с погрузки и кончая снова установкой
под погрузку:
где
tПОГР - время погрузки грунта в самосвал;РАЗГР - время
разгрузки самосвала в отвал, включая необходимые развороты перед установкой,
принимаем 2 мин;МАН - время установки самосвала под погрузку включая
маневрирование, принимаем 2 мин;

- время
самосвала в пути соответственно в груженном и порожнем состоянии, мин;

-
скорость движения самосвала соответственно в груженном и порожнем состоянии,
км/ч;- дальность перемещения грунта самосвалами, равная 7 км.
Расчетное
количество самосвалов:
Таблица
9 Выбор самосвалов для перевозки грунта
|
Модель
|
ГП, т
|
n, шт
|
Vсам, м3
|
tпогр, мин
|
 , км/ч tразгр, мин
|
 , км/ч tман, мин
|
ТЦ, мин
|
N, шт
|
|
|
|
|
|
МАЗ-555402-220
|
7
|
9
|
4,05
|
10,2
|
42
|
10
|
2
|
60
|
7
|
2
|
31,2
|
3
|
|
КамАЗ-6520
|
14,4
|
18
|
8,10
|
20,4
|
55
|
7,64
|
|
|
|
|
39,0
|
2
|
|
КрАЗ-53605
|
7,5
|
9
|
4,05
|
10,2
|
52
|
8,08
|
|
|
|
|
29,3
|
3
|
|
ГАЗ-САЗ-35072
|
4,1
|
5
|
2,25
|
5,7
|
45
|
9,33
|
|
|
|
|
26,0
|
5
|
|
ЗИЛ-ММЗ-45085
|
5,5
|
7
|
3,15
|
7,9
|
42
|
10
|
|
|
|
|
28,9
|
4
|
Принимаем вариант с наименьшим количеством машин и с наименьшим временем
ожидания - КамАЗ-6520 - 2 шт.
б) для подвозки грунта из карьера.
Для разработки грунта в карьере необходимо подобрать марку самосвала,
определить их количество, обеспечивающее бесперебойную работу ведущего
механизма - экскаватора.
Объём грунта VГ, м3, в плотном теле в ковше
экскаватора:
где VКОВШ - емкость ковша принятого экскаватора; для
экскаватора ЭО-5122, ёмкость ковша VКОВШ=1,6 м3;НАП
- коэффициент наполнения ковша, принимаемый для обратной лопаты 0,9;П.Р.
- коэффициент первоначального разрыхления грунта, принимаем равный 1, т.к.
грунт уже предварительно разрыхлен.
Масса грунта в ковше экскаватора Q, т:
где

-
плотность грунта, равная 1700 кг/м3.
В
кузов самосвала должно быть загружено от 3 до 8 ковшей с грунтом. При загрузке
трех ковшей самосвала масса грунта составит 
, при
засыпке восьми ковшей в кузов самосвала масса грунта составит 
.
Следовательно, грузоподъёмность самосвала должна быть от 7,4т до 19,6 т. Подбор
марки осуществляется на основании этого условия по справочному материалу.
Количество
ковшей с грунтом, загружаемых в самосвал:
где
ГП - грузоподъемность самосвала, т.
Объём
грунта в плотном теле, загружаемый в кузов самосвала:
Время
погрузки грунта в самосвал определяется как:
=2,0 -
норма времени работы экскаватора (экскаватор ЭО-5122) в транспортное средство
Продолжительность
цикла работы самосвала в минутах, начиная с погрузки и кончая снова установкой
под погрузку:
где
tПОГР - время погрузки грунта в самосвал;РАЗГР - время
разгрузки самосвала в отвал, включая необходимые развороты перед установкой,
принимаем 2 мин;МАН - время установки самосвала под погрузку включая
маневрирование, принимаем 2 мин;

- время
самосвала в пути соответственно в груженном и порожнем состоянии, мин;

-
скорость движения самосвала соответственно в груженном и порожнем состоянии,
км/ч;- дальность перемещения грунта самосвалами, равная 7 км.
Расчетное
количество самосвалов:
Таблица
10 Выбор самосвалов для перевозки грунта
|
Модель
|
ГП, т
|
n, шт
|
Vсам, м3
|
tпогр, мин
|
 , км/ч tразгр, мин
|
 , км/ч tман, мин
|
ТЦ, мин
|
N, шт
|
|
|
|
|
|
КрАЗ-7133С4
|
22,5
|
9
|
12,96
|
15,6
|
40
|
10,5
|
2
|
60
|
7
|
2
|
37,1
|
2
|
|
КрАЗ-65032
|
18
|
7
|
10,08
|
12,1
|
45
|
9,33
|
|
|
|
|
32,4
|
3
|
|
МАЗ-551603-2121
|
20
|
8
|
11,52
|
13,8
|
50
|
8,40
|
|
|
|
|
33,2
|
2
|
|
КамАЗ-6540
|
18,5
|
7
|
10,08
|
12,1
|
55
|
7,64
|
|
|
|
|
30,7
|
3
|
|
КрАЗ-6130С4
|
20,5
|
8
|
11,52
|
13,8
|
40
|
10,5
|
|
|
|
|
35,3
|
3
|
Принимаем вариант с наименьшим количеством машин и с наименьшим временем
ожидания - МАЗ-551603-2121- 2 шт.
6. Составление спецификации конструктивных элементов
фундаментов
Согласно заданию все возводимые фундаменты однотипны (рис.6). Все параметры
монолитного железобетонного, отдельно стоящего фундамента сведены в
спецификацию (табл.11).
Таблица 11 Спецификация конструктивных элементов фундамента
|
№ п/п
|
Конструктивные элементы
|
Размеры элементов, м
|
Объем, м3
|
Объем ж\б «в деле», м3
|
Площадь соприкосновения опалубки с бетоном, м2
|
|
|
Ширина
|
Длина
|
Высота
|
|
|
|
|
1
|
Первая ступень
|
2,5
|
2,5
|
1,0
|
6,25
|
6,25
|
|
|
2
|
Вторая ступень
|
1,4
|
1,0
|
1,4
|
1,96
|
1,96
|
|
|
Итого:
|
8,21
|
16,72
|
Рис.6. Опалубочный чертеж фундамента
7. Технология арматурных работ. Составление спецификации
арматурных элементов
Проектом предусмотрено армирование фундаментов готовыми арматурными
сетками, доставленными на строительную площадку автотранспортом. Размеры сеток
не должны превышать размеров кузова автомобиля более чем на 1,5м. Размеры
кузова КАМАЗ-5515 - 4,1х2,50м, грузоподъемность - 10 т.
По
конструкциям фундаментов и конструктивным характеристикам арматурных сеток определяют
количество, габаритные размеры и массу сеток. Размеры сеток должны учитывать
толщину защитного слоя (50мм) с каждой стороны наружной грани элемента
фундамента. Для армирования 1 ступени фундамента 2,4х2,5 м потребуется сетка
размером 
м. Для
армирования второй ступени, вдоль широкой стороны: 
м; вдоль
узкой стороны (учитывая сетку вдоль широкой): 
м.
Размеры сеток размеров кузова автомобиля не превышают, сетки используются
неразрезные.
Рис.7. Схема армирования фундамента
Подсчитываем количество стержней, слагающих сетку, и их общую погонную
длину. Принятые характеристики требуемых арматурных изделий заносим в
спецификацию арматурных изделий (табл.6), принимая арматуру Ш37 (вес 1
мп=8,44кг/м), шаг сетки 200х200.

,

,

,

.

,

.
Таблица
12 Спецификация арматурных элементов
|
Наименование элемента
|
Марка
|
Размеры элемента, м
|
Масса 1 эл-та, т
|
Количество, шт.
|
Масса, т
|
|
|
длина
|
ширина
|
|
на 1 фундамент
|
на 1 захватку
|
на объект
|
на 1 фундамент
|
на 1 захватку
|
общая
|
|
Горизонтальная сетка первой ступени
|
С-1
|
2,4
|
2,4
|
0,5267
|
1
|
12
|
84
|
0,5267
|
6,32
|
44,24
|
|
Вертикальная сетка второй ступени
|
С-2-1
|
1,3
|
1,3
|
0,1536
|
2
|
24
|
168
|
0,3072
|
3,67
|
25,80
|
|
С-2-2
|
1,3
|
0,8
|
0,1021
|
2
|
24
|
168
|
0,2042
|
2,45
|
17,15
|
|
Итого:
|
|
|
|
|
|
|
|
1,038
|
12,44
|
87,21
|
. Определение количества фундаментов на одной захватке
Основные принципы при назначении захваток:
. Кратность. Количество захваток должно быть равно или кратно числу
производственных потоков (в данном случае три: опалубливание, армирование и
бетонирование).
. Равновеликость. Трудоемкость процессов производимых на различных
захватках не должна отличаться более чем на 25%.
. Оптимальная занятость. Размер захватки должен составлять или должен
быть равен выработке бригады за одну или большее количество равных смен.
. Возможность. Размер захватки должен соответствовать возможному
конструктивному решению блока бетонирования.
Принимаем 7 захваток по одному ряду фундаментов в количестве 12, исходя
из выполнения фундаментов по цифровым осям.
9. Выбор комплекта опалубки
Конструкция опалубки определяет её оборачиваемость (количество циклов
бетонирования до износа опалубки). В нашем случае требуемая величина
оборачиваемости -7. Принимаем не утепленные опалубочные щиты из обрезных досок
толщиной 40мм.
Таблица 13 Спецификация опалубочных элементов
|
Наименование элемента
|
Марка
|
Размеры элемента, м
|
Площадь пов-ти, м2
|
Масса одного эл-та, кг
|
Количество элементов, шт.
|
Масса, кг
|
|
|
длина
|
ширина
|
|
|
на 1 фунд-т
|
на 1 захватку (12 ф-тов)
|
для 1 ф-та
|
общая (на 1 зах-ку)
|
|
Щит 1-й ступени
|
Щ-1
|
2,5
|
1,0
|
2,5
|
62,5
|
4
|
48
|
250
|
3000
|
|
Ригель подколонника
|
Р-1
|
2,5
|
0,4
|
1
|
12,5
|
2
|
24
|
25
|
300
|
|
Щит 2-й ступени
|
Щ-2
|
1,4
|
1,4
|
1,96
|
49
|
2
|
24
|
98
|
1176
|
Щ-3
|
1,4
|
1,0
|
1,40
|
35
|
2
|
24
|
70
|
840
|
|
Итого:
|
|
10
|
120
|
|
5316
|
. Определение параметров бетонирования в зимних условиях
Производство бетонных работ в зимних условиях требует применения
специальных методов бетонирования. Наиболее простой и экономичный - метод
термоса. При этом подогретая бетонная смесь укладывается в опалубку, за время
остывания до температуры замерзания воды она набирает заданную прочность (не
ниже критической), после чего конструкция распалубливается. Задачей расчета
метода термоса является определение параметров бетонирования и необходимого
коэффициента теплопередачи опалубки, позволяющих обеспечить набор прочности
бетона к концу остывания. Применение метода термоса рекомендуется для
конструкций с модулем поверхности не более 10м-1.
Поскольку в условии не оговорены определённые параметры, принимаем
следующее: сила ветра - 0 м/с, начальная температура бетона при отгрузке с
бетонорастворного узла - 45 0С, материал для фундаментов - бетон В15
на портландцементе М300.
. Объем бетона конструкции - сумма по графе объём железобетона «в деле»
табл.5, V = 8,21 м3.
. Площадь поверхности теплоотдачи конструкции (при этом площадь контакта
конструкции с основанием - площадь подошвы фундамента не учитывается):

м2.
.
Модуль поверхности конструкции:
Возможно применение метода термоса.
. Средняя температура бетона за время остывания:
где

-
конечная температура бетона к концу остывания, (
= 0°С,
т.к. не используются добавки, понижающие температуру замерзания воды);

-
температура бетона после укладки в опалубку.
где

-
начальная температура бетона, при отгрузке с бетонорастворного узла;

- потери
температуры при укладке бетонной смеси, выгрузке и уплотнении, принимаются
равными +5 °С при ветре 0...5 м/с.
.
Время 
набора
критической прочности бетоном В15 на портландцементе М300, равной 40 %, при
средней температуре бетона за время остывания 24,4 0С - трое суток,
или 72 часов.
.
Находим необходимый коэффициент теплопередачи опалубки:
где

-
поправочный коэффициент на силу ветра и другие условия производства;

-
удельная теплоемкость тяжелого конструкционного бетона;

-
плотность тяжелого конструкционного бетона;
Ц
- расход цемента на 1 м3 бетонной смеси (принимаем 300 кг/м3);
Э
- тепловыделение цемента за время остывания бетона, кДж/кг;

-
заданная температура наружного воздуха, 0С.
.
С полученным расчетным коэффициентом теплопередачи сравниваем коэффициент
теплопередачи опалубки Коп, который должен удовлетворять условию К
> Коп. В нашем случае 7,24 > 2,03, поэтому используем не
утепленные опалубочные щиты из досок толщиной 40 мм. Кроме того,
предусматриваем укрытие не опалубленных поверхностей утеплителем (его
коэффициент теплопередачи заведомо больше расчетного).
. Технологическая карта
. Область применения.
Технологическая карта составлена на планировочные работы на строительной
площадке размером 300х300 м, расположение и величина рабочих отметок на которой
указаны на рис.2, а так же на возведение в квадрате IV фундамента в виде отдельных монолитных бетонных опор с
размерами и глубиной залегания как на рис.4, расположенных в 7 рядов, по 12
опор в ряду, с расстояниями между осями опор по длине ряда, равными 6 м и
расстоянием между осями рядов, равным 6 м. Геометрические размеры фундаментов
(описанного параллелепипеда) - 2,5 х 2,5 х 2,4 м; глубина заложения фундаментов
- -2,5 м; фундаменты армированы готовыми сетками с ячейкой 200х200 мм из
арматуры диаметром 37 мм.
Работы производятся в условиях естественной влажности грунта (суглинок
легкий без примесей), при температуре воздуха -15 °C и слабом (менее 5 м/с)
ветре. Глубина промерзания грунта - не более 1,2 м.
Работы включают в себя рыхление грунта перед выемкой, планировочные
работы, привоз грунта из карьера (на расстояние 7 км), выемку грунта из
котлована, установку опалубки и арматуры, бетонирование опор, снятие опалубки и
засыпку пазух.
Материалы для устройства фундаментов - бетон класса В15 на
портландцементе М300. Поставка товарного бетона осуществляется с завода
автобетоносмесителями, отпускная температура бетона равна 45°С. Время набора
критической прочности, равной 40%, - трое суток.
. Организация и технология выполнения работ.
.1. Настоящий комплексно-механизированный технологический процесс состоит
из подготовительных, основных и отделочных операций.
.2. К подготовительным операциям относятся:
геодезическая разбивка контуров планировки и нулевой линии с установкой
разбивочных знаков и реперов;
осуществление мероприятий по ограждению планируемой территории от
поступления поверхностных вод;
устройство ограждения площадки;
устройство освещения площадки;
устройство временных подъездных землевозных автодорог;
предварительная разбивка осей и контура котлована;
очистка площади котлована от снега (при необходимости);
окончательные разбивочные работы;
завоз, разгрузка, складирование, сортировка арматурных сеток и комплектов
опалубки;
организация отвода поверхностных вод от котлована;
устройство подъездных путей и автодорог;
обозначение в пролете пути движения механизмов, места складирования,
укрупнения арматурных сеток и опалубки, подготовлены монтажная оснастка и
приспособления;
устройство временного электроосвещения рабочих мест и подключения
электросварочных аппаратов.
.3. К основным операциям относятся:
предварительное рыхление верхнего мерзлого слоя грунта;
разработка грунта планировочной выемки;
привоз грунта из карьера;
отсыпка грунта планировочной насыпи.
предварительное рыхление верхнего мерзлого слоя грунта котлована;
разработка котлована до проектных отметок;
транспортирование разработанного грунта для отсыпки планировочной насыпи;
арматурные работы;
опалубочные работы;
работы по бетонированию.
.4. К отделочным операциям относится планировка площади и откосов выемки,
откосов и верха насыпи, зачистка дна котлована.
.5. Состав комплекса машин, применяемых для основных операций.
.5.1. Выбор автомобиля с краном-манипулятором.
Для перевозки арматурных сеток и щитов опалубки с места складирования к
месту производства работ, а также для их установки предполагается использовать
грузовой автомобиль с открытым кузовом с установленным краном-манипулятором.
Параметры крана-манипулятора:
- грузоподъемность: по наиболее тяжелому элементу - 526,7 кг;
вылет стрелы - 7 м;
высота подъема стрелы - 2 м.
Данным условиям удовлетворяет кран-манипулятор Palfinger PK4501B.
Таблица 14 Технические характеристики:
|
Макс. грузовой момент
|
4,4 тм/43,2 кНм
|
|
Макс. грузоподъемность
|
3150 кг/ 30,9 кН
|
|
Макс. гидравлический вылет стрелы
|
9,0 м
|
|
Макс. механический вылет стрелы
|
12,6 м
|
|
Угол поворота
|
400°
|
|
Момент поворота
|
0,6 т.м./5,9 кНм
|
|
Ширина опоры стандарт
|
2,9 м/максим. 5,0 м
|
|
Необходимая площадь для монтажа (стандарт)
|
0,66 м
|
|
Ширина крана в сложенном виде
|
2,10 м
|
|
Собственный вес (стандарт)
|
698 кг
|
Параметры автомобиля:
грузоподъемность: масса опалубки и арматуры на одну захватку плюс масса
манипулятора - 18,454 т;
размеры кузова: по сумме размеров самых больших элементов опалубки и
арматуры - 2,5х2,5 м.
Рис. 8 Диаграмма грузоподъемности:
Данным условиям удовлетворяет автомобиль КАМАЗ-6530-47.
Таблица 15 Технические характеристики:
|
Весовые параметры и нагрузки
|
|
Снаряженная масса а/м, кг
|
14850
|
|
Грузоподъемность а/м, кг
|
20100
|
|
Полная масса а/м, кг
|
37100
|
|
Максимальная масса прицепа, кг
|
12000
|
|
Максимальная масса автопоезда, кг
|
40000
|
|
Двигатель
|
|
Модель
|
740.632-400
|
|
Тип
|
V-8, дизельный, с турбонаддувом, ОНВ, электронным
управлением
|
|
Максимальная полезная мощность, кВт (л. с.)
|
294 (400)
|
|
Максимальный полезный крутящий момент, Нм (кг·см)
|
1765 (180)
|
|
Рабочий объем, л
|
11,76
|
|
Система питания
|
|
Вместимость топливных баков, л
|
2Ч350
|
|
Электрооборудование
|
|
Напряжение, B
|
24
|
|
Аккумуляторы, В/А·ч
|
2x12/190
|
|
Генератор, В/Вт
|
28/3000
|
|
Платформа
|
|
Платформа
|
бортовая, металлическая, с откидными бортами, оборудована
съемным каркасом и тентом
|
|
Внутренние размеры, мм
|
7258 х 2470
|
|
Высота бортов, мм
|
730
|
|
Характеристика а/м полной массой 38 000 кг
|
|
Максимальная скорость, не менее, км/ч
|
90
|
|
Угол преодолеваемого подъема, не менее, %
|
31
|
|
Внешний габаритный радиус поворота, м
|
16,9
|
.5.2. Выбор автобетононасоса.
Предполагаем, что автобетононасос встает в середине будущего фасада по
цифровым осям сначала с одной стороны, производит бетонирование фундаментов на
трех захватках, после чего переезжает на противоположную сторону и производит
бетонирование оставшихся.
Длина половины котлована - 33 м; длина половины фундамента и отступа от
откоса - 1,25+0,2 = 1,45 м; необходимый отступ от основания откоса до
ближайшего аутригера в соответствии со СНиП 12-03-2001 - 2,0 м; половина
размаха аутригеров - принимаем 3,0 м. Тогда необходимая дальность подачи
бетонной смеси:
Высота подъема значения не имеет.
Данным условиям удовлетворяет автобетононасос Putzmeister М 58-5.
Таблица 16 Технические характеристики:
|
Объем подачи
|
200 м3/ч
|
|
Давление подачи
|
85 бар
|
|
Диаметр цилиндра
|
280 мм
|
|
Ход поршня
|
2100 мм
|
|
Высота подачи
|
57,6 м
|
|
Дальность подачи
|
53,6 м
|
|
Глубина подачи макс.
|
42,4 м
|
|
Длина концевого распредшланга
|
3,0 м
|
|
Количество секций распредстрелы
|
5
|
|
Тип складывания распредстрелы
|
Z-R образное
|
|
Диаметр бетоновода
|
125 мм
|
.5.3. Состав средств механизации.
Таблица 14
|
Технологическая операция
|
Состав средств механизации
|
Кол-во
|
|
Рыхление грунта
|
Рыхлитель ДЗ-121 (с трактором ДЭТ-250)
|
1
|
|
Разработка грунта планировочной выемки
|
Бульдозер ДЗ-34С (с трактором ДЭТ-250)
|
1
|
|
Разработка грунта и привоз его из карьера
|
Экскаватор с гидравлическим приводом ЭО-5122 с ковшом 1,6
м3
|
1
|
|
Автомобиль-самосвал МАЗ-551603-2121
|
2
|
|
Рыхление грунта котлована
|
Рыхлитель ДЗ-121 (с трактором ДЭТ-250)
|
1
|
|
Разработка грунта котлована
|
Одноковшовый экскаватор с гидравлическим приводом ЭО-3322А
с установленным клин-молотом
|
1
|
|
Автомобиль-самосвал КамАЗ-6520
|
2
|
|
Транспортировка части грунта котлована в планировочную
насыпь
|
Бульдозер ДЗ-34С (с трактором ДЭТ-250)
|
1
|
|
Транспортировка и установка арматуры и опалубки
|
Автомобиль КАМАЗ-6530-47 с бортовой платформой и краном-манипулятором
Palfinger PK 4501 B
|
1
|
|
Подача бетонной смеси
|
Автобетононасос Putzmeister М 58-5
|
1
|
Рис. 9 Технология производства работ.
.6. Схемы.
Рис. 10 Схема рыхления грунта.
Рис. 11 Схема разработки грунта планировочной выемки и отсыпки насыпи.
Рис. 12 Схема складирования и строповки.
Рис. 13 Схема механизации по устройству котлована с разбивкой на
захватки.
3. Требования к качеству и приемке работ.
.1. Систематические контрольные наблюдения в процессе производства
земляных работ ведут строительная организация и представители технического
надзора заказчика.
В результате наблюдения устанавливают соответствие выполнения работ
проектной документации и соблюдение требований технических условий.
.2. В зимнее время должен быть обеспечен повседневный контроль за
качеством уплотнения, влажностью и составом грунта.
По результатам проверки составляется акт, в котором указывают
геологические и гидрогеологические характеристики грунтов и их отклонения от
принятых в проекте. К акту прилагаются результаты лабораторных определений
характеристик грунтов основания.
.3. При приемке материалов, изделий и инвентаря на объекте проверяют их
размеры, предельные отклонения положения элементов опалубки, арматуры
относительно разбивочных осей или ориентирных рисок. Отклонения не должны
превышать величин, указанных в СНиП 3.03.01-87, ГОСТ Р 52085-2003, ГОСТ Р
52086-2003.
При приемке работ предъявляют журналы работ, документы лабораторных
анализов и испытаний строительных лабораторий, акты освидетельствования скрытых
работ.
.4. Наименование процессов, подлежащих контролю, предметы контроля
приведены в табл. 15.
Таблица 15
|
Наименование процессов, подлежащих контролю
|
Предмет контроля
|
Инструмент и способ контроля
|
Время контроля
|
Ответственный контролер
|
Технические критерии оценки качества
|
|
Подготовительные работы
|
Качество очистки территории
|
Визуальный
|
До разбивочных работ
|
Мастер
|
-
|
|
Разбивка осей и контуров площадки, нулевой линии
|
Точность выноса
|
Теодолит, стальная рулетка
|
До начала разработки и отсыпки грунта
|
Геодезист
|
Отклонение границ нижнего контура и верхней бровки
относительно осей не должны превышать в плане 5 см
|
|
Устройство временных землевозных автодорог
|
Точность выноса
|
Теодолит, стальная рулетка
|
До начала разработки и отсыпки грунта
|
Геодезист
|
-
|
|
Рыхление грунта
|
Глубина разрыхляемого слоя, расстояние между бороздами
|
Металлический щуп, стальная рулетка
|
В процессе рыхления
|
Мастер
|
-
|
|
Разработка планировочной выемки
|
Геометрические размеры в плане, высотные отметки, крутизна
откосов
|
Нивелир, стальная рулетка, уклономер, откосник
|
В процессе разработки выемки
|
Геодезист
|
Отклонение отметок ±5 см. Увеличение крутизны откосов не
допускается
|
|
Отсыпка планировочной насыпи
|
Толщина слоя отсыпки, геотехнические свойства грунта,
геометрические размеры в плане, высотные отметки, крутизна откосов
|
Нивелир, стальная рулетка, уклономер, откосник, плотномер,
влагомер
|
В процессе отсыпки насыпи
|
Геодезист
|
Отклонение отметок ±5 см. Увеличение крутизны откосов не
допускается
|
|
Откопка ям под фундаменты
|
Соблюдение проектных отметок, геометрические размеры в плане,
крутизна откосов
|
Нивелир, нивелирная рейка, теодолит, стальная рулетка,
уклономер, откосник
|
В процессе откопки
|
Геодезист
|
Отклонение отметок дна котлована ±5 см. Увеличение крутизны
откосов не допускается
|
|
Приемка арматуры
|
Соответствие арматурных стержней и сеток проекту
|
Визуально
|
До начала установки сеток и сборки подколонников
|
Производитель работ
|
В соответствии с требованиями ГОСТа или ТУ (рабочие
чертежи)
|
|
Диаметры и расстояния между рабочими стержнями в сетках
|
Штангенциркуль, линейка измерительная
|
То же
|
Мастер
|
То же
|
|
Складирование арматурных сеток
|
Правильность складирования, хранения
|
Визуально
|
До установки сеток
|
То же
|
В соответствии с требованиями СНиП III-4-80
|
|
Сборка армокаркасов
|
Правильность установки арматурных сеток подколонников.
Проверка геометрических размеров армокаркасов
|
То же
|
При сборке армокаркасов
|
Мастер
|
В соответствии с проектом
|
|
Приварка арматурных сеток
|
Соответствие проекту порядка сварки и типа применяемых
электродов. Качество сварки, наличие и правильность ведения журнала сварочных
работ
|
Визуально
|
Периодически в процессе сборки
|
Мастер
|
В соответствии с требованиями ГОСТа (рабочие чертежи)
|
|
Установка сеток и армокаркасов
|
Соответствие проекту
|
Визуально, отвес, рулетка
|
В процессе установки
|
То же
|
В соответствии с проектом
|
|
Приемка опалубки и сортировка
|
Наличие комплектов элементов опалубки. Маркировка элементов
|
Визуально
|
В процессе разгрузки
|
Производитель работ
|
В соответствии с ППР
|
|
Установка опалубки и навесных площадок
|
Соответствие установки элементов опалубки проекту.
Допускаемые отклонения положения установленной опалубки по отношению к осям и
отметкам. Правильность положения вертикальных плоскостей
|
Теодолит, нивелир, рулетка, отвес
|
После установки опалубки
|
Мастер, геодезическая служба
|
В соответствии с требованиями СНиП 3.03.01-87, ГОСТ Р
52085-2003, ГОСТ Р 52086-2003 и проектом
|
|
Укладка бетонной смеси
|
Качество бетонной смеси
|
Конус, лабораторный контроль
|
До бетонирования
|
Мастер, лаборант
|
В соответствии с требованиями СНиП 3.03.01-87 и проектом
|
|
Правильность технологии укладки бетонной смеси
|
Визуально
|
В процессе укладки
|
Мастер
|
То же
|
|
Шаг перестановки и глубина погружения вибраторов,
правильность установки вибраторов, толщина бетонного слоя при уплотнении
|
То же, стальная линейка
|
В процессе уплотнения
|
То же
|
«
|
Соблюдение влажностного и температурного режимов
|
Термометр, влагомер. Лабораторный контроль
|
В процессе твердения
|
Мастер, лаборант
|
«
|
|
Разборка опалубки
|
Технологическая последовательность разборки элементов
опалубки
|
Визуально. Лабораторный контроль
|
После набора прочности бетона
|
То же
|
В соответствии с требованиями СНиП 3.03.01-87, ГОСТ Р
52085-2003, ГОСТ Р 52086-2003 и проектом
|
|
Подготовка опалубки
|
Очистка элементов опалубки от бетонных наплывов
|
Визуально
|
После разборки опалубки
|
Мастер
|
То же
|
Таблица 16 Калькуляция затрат труда и машинного времени
|
Наименование процесса
|
Обоснование
|
Ед. изм.
|
Объем работ
|
Норма времени
|
Расценка, руб.-коп./ед.изм.
|
Затраты труда
|
Заработная плата, руб.-коп.
|
Время пребывания машины на объекте, маш.-ч
|
З/п машиниста с учетом пребывания машины на объекте,
руб.-коп.
|
|
|
|
|
рабочих чел.-ч/ ед. изм.
|
машиниста чел.-ч (маш.-ч)/ ед.изм.
|
рабочих
|
машиниста
|
рабочих, чел.-ч
|
машиниста чел.-ч (маш.-ч)
|
рабочих
|
машиниста
|
|
|
|
Рыхление мерзлого грунта выемки группы Iм рыхлителем
|
Е2-1-2 т.2, №3а
|
100 м3
|
70,69
|
-
|
0,66 (0,66)
|
-
|
0-79,9
|
-
|
46,66 (46,66)
|
-
|
56-48
|
46,66
|
56-48
|
|
Перемещение разрыхленного мерзлого грунта бульдозерами на
расстояние 22 м
|
Е2-1-23 №1а + №2а
|
100 м3
|
69,9
|
-
|
1,18 (1,18)
|
-
|
1-91
|
-
|
82-48 (82,48)
|
-
|
133-51
|
82,48
|
133-51
|
|
Разработка грунта в карьере экскаватором (ёмкость ковша 1,6
м3), оборудованным обратной лопатой, с погрузкой в транспорт.
|
§Е2-1-9 т.3 п.5в
|
100м3
|
116,62
|
-
|
2,0 (1,0)
|
-
|
2-04
|
-
|
233-23 (116,62)
|
-
|
237-89
|
116,62
|
475-81
|
|
Привоз грунта 1 категории из карьера на расстоянии 7 км
самосвалом грузоподъемностью 20 т по дорогам III категории
|
ЕНВ[11] т.16
|
1 т·км
|
129435
|
-
|
0,0035 (0,0035)
|
-
|
0-00,3
|
-
|
453-02 (453,02)
|
-
|
388-31
|
453,02
|
388-31
|
|
Рыхление мерзлого грунта группы IIм клин-молотом на глубину 1,2 м
|
Е2-1-3 №3б
|
100 м3
|
18,06
|
-
|
9,5 (9,5)
|
-
|
10-07
|
-
|
171-57 (171,57)
|
-
|
181-86
|
171,57
|
181-86
|
|
Разработка грунта групп IIм и I в
котлованах экскаватором с механическим приводом с ковшом обратная лопата 0,5
м3
|
Е2-1-11 т.3, №2и
|
100 м3
|
18,06
|
-
|
5,8 (5,8)
|
-
|
5-28
|
-
|
104-75 (104,75)
|
-
|
95-36
|
104,75
|
95-36
|
|
Е2-1-11 т.3, №2ж
|
100 м3
|
12,533
|
-
|
3,3 (3,3)
|
-
|
3-00
|
-
|
41-36 (41,36)
|
-
|
37-60
|
41,36
|
37-60
|
|
Установка опалубки для устройства первой ступени
фундаментов площадью щитов свыше 2 м2
|
Е4-1-34 т.2, №3а
|
1 м2
|
840
|
0,4
|
-
|
0-28,6
|
-
|
336-00
|
-
|
240-24
|
-
|
-
|
-
|
|
Установка опалубки для устройства второй ступени
фундаментов площадью щитов свыше 2 м2
|
Е4-1-34 т.2, №3а
|
1 м2
|
564,48
|
0,51
|
-
|
0-36,5
|
-
|
287-88
|
-
|
206-04
|
-
|
-
|
-
|
|
Установка арматурных сеток первой ступени массой до 1,0 т
из арматуры Ш37 краном горизонтально
|
Е4-1-44 т.1, №4в
|
1 сетка
|
84
|
1,3
|
-
|
0-88,1
|
-
|
109-20
|
-
|
74-00
|
-
|
-
|
-
|
|
Установка арматурных сеток второй ступени массой до 1,0 т
из арматуры Ш37 краном вертикально
|
Е4-1-44 т.1, №5в
|
1 сетка
|
336
|
2,1
|
-
|
1-42
|
-
|
705-60
|
-
|
477-12
|
-
|
-
|
-
|
|
Укладка бетонной смеси фундамента при подаче
автобетононасосом в фундамент до 10 м3
|
Е4-1-49 т.1, №3
|
1 м3
|
689,64
|
0,33
|
-
|
0-23,6
|
-
|
227-58
|
-
|
162-76
|
-
|
-
|
-
|
|
Выдерживание бетона с поливкой поверхности водой
|
3 дня
|
|
|
-
|
|
-
|
|
-
|
|
-
|
|
|
|
|
Разборка опалубки фундаментов площадью щитов свыше 2 м2
|
Е4-1-34 т.2, №3б
|
1 м2
|
840
|
0,1
|
-
|
0-06,7
|
-
|
84-00
|
-
|
56-28
|
-
|
-
|
-
|
|
Разборка опалубки фундаментов площадью щитов до 2 м2
|
Е4-1-34 т.2, №2б
|
1 м2
|
564,48
|
0,13
|
-
|
0-08,7
|
-
|
73-38
|
-
|
49-11
|
-
|
-
|
-
|
|
Обратная засыпка пазух бульдозерами, расстояние перем-я 25
м
|
Е2-1-34 №11а + №11г
|
100 м3
|
22,75
|
-
|
0,6 (0,6)
|
-
|
1-21
|
-
|
13-65 (13,65)
|
-
|
27-53
|
13,65
|
27-53
|
|
Итого:
|
1118,04
|
1146,72 (1030,11)
|
1265,55
|
1158,54
|
1030,11
|
1396,46
|
|
|
|
|
|
|
|
Таблица 17. График производства работ
|
Наименование процесса
|
Ед. изм.
|
Объем работ
|
Норма времени чел.-ч маш.-ч
|
Трудоемкость чел.-дн. маш.-см.
|
Состав звена
|
Прод-ть дн.
|
Рабочие дни
|
|
|
|
|
|
|
|
1- 5
|
6-10
|
11-15
|
16-20
|
21-25
|
26-30
|
31-35
|
36-40
|
41-45
|
46-50
|
51-55
|
56-60
|
|
Рыхление грунта
|
100 м3
|
70,69
|
0,66
|
5,83
|
Тракторист 6р - 1
|
5,83
|
|
|
|
|
|
|
|
|
|
|
|
|
|
|
|
0,66
|
5,83
|
|
|
|
|
|
|
|
|
|
|
|
|
|
|
|
Перемещение грунта бульдозерами
|
100 м3
|
69,9
|
2,0
|
17,48
|
Машинист 6р - 1 Пом. маш-та 5р - 1
|
8,74
|
|
|
|
|
|
|
|
|
|
|
|
|
|
|
|
1,0
|
8,74
|
|
|
|
|
|
|
|
|
|
|
|
|
|
|
|
Разработка грунта экскаватором (в карьере)
|
100 м3
|
116,62
|
2,0
|
29,16
|
Машинист 6р - 1 Пом. маш-та 5р - 1
|
14,58
|
|
|
|
|
|
|
|
|
|
|
|
|
|
|
|
1,0
|
14,58
|
|
|
|
|
|
|
|
|
|
|
|
|
|
|
|
Привоз грунта из карьера самосвалами
|
1 т·км
|
129435
|
0,0035
|
56,63
|
Водитель III
кат - 2 2 самосвала в звене
|
28,32
|
|
|
|
|
|
|
|
|
|
|
|
|
|
|
|
0,0035
|
56,63
|
|
|
|
|
|
|
|
|
|
|
|
|
|
|
|
Перемещение оставшегося грунта бульдозерами
|
100 м3
|
116,62
|
1,18
|
17,2
|
Машинист 6р - 1
|
17,2
|
|
|
|
|
|
|
|
|
|
|
|
|
|
|
|
1,18
|
17,2
|
|
|
|
|
|
|
|
|
|
|
|
|
|
|
Примечания.
. Пунктирная линия указывает на неполное использование механизмов в
течение смены.
. Где не указано особо, используется одна машина в звене.
. Материально-технические ресурсы.
.1. Потребность в машинах и механизмах
Таблица 18
|
Наименование машин
|
Тип
|
Марка, ГОСТ
|
Кол-во
|
Техническая характеристика
|
|
Рыхлитель
|
С гидравлическим управлением. На тракторе класса 15 - 25 т
|
ДП-9С
|
1
|
Трактор ДЭТ-250, ширина рыхления 1500 мм, глубина рыхления
700 мм
|
|
Бульдозер
|
С неповоротным отвалом, управление гидравлическое. На
тракторе класса 15 - 25 т
|
ДЗ-34С
|
1
|
Трактор ДЭТ-250, длина отвала 4540 мм
|
|
Экскаватор
|
Одноковшовый, с гидравлическим приводом, на гусеничном ходу
|
ЭО-5122
|
1
|
Вместимость ковша 1,6 м3
|
На стреле экскаватора с ковшом вместимостью 0,5-0,65 м3
|
-
|
1
|
-
|
|
Экскаватор
|
Одноковшовый экскаватор с гидравлическим приводом,
пневмоколесный
|
ЭО-3322А
|
1
|
Вместимость ковша 0,5 м3
|
|
Автомобиль- самосвал
|
-
|
КамАЗ-6520
|
2
|
Грузоподъемность 14,4 т
|
|
Автомобиль- самосвал
|
-
|
МАЗ-551603-2121
|
2
|
Грузоподъемность 20 т
|
|
Грузовик
|
С бортовой платформой, с установленным краном-манипулятором
|
КАМАЗ-6530-47
|
1
|
Размеры платформы 7258x2470 мм; грузоподъемность 20,1 т.
|
|
Кран-манипулятор
|
Для установки на стандартные грузовые шасси
|
Palfinger PK 4501 B
|
1
|
Грузоподъемность 3150 кг; макс. вылет стрелы 12,6 м.
|
|
Автобетононасос
|
-
|
Putzmeister М 58-5
|
1
|
Объем подачи 200 м3/ч; дальность подачи 53,6 м.
|
.2 Потребность в инструменте, инвентаре и приспособлениях.
Таблица 19
|
Наименование
|
Марка, техническая характеристика, ГОСТ,
|
Кол-во
|
Назначение
|
|
Теодолит
|
Т-15 ГОСТ 10529-86
|
1
|
Производство геодезических работ и проверка планировочных
работ
|
|
Нивелир
|
Н-10 ГОСТ 10528-76
|
1
|
То же
|
|
Рейка нивелирная
|
РН-10 ГОСТ 11158-83
|
2
|
«
|
|
Вешка геодезическая
|
|
3
|
«
|
|
Плотномер
|
ПГМ-1
|
1
|
Проверка характеристик грунта
|
|
Влагомер
|
НВУ-1 ГОСТ 26375-84
|
1
|
То же
|
|
Вибратор глубинный
|
ИВ-47А ТУ-22-4666-80
|
1
|
Вибрирование уложенной бетонной смеси
|
|
Строп двухветвевой
|
2СК-5,0,500 ГОСТ 25573-82
|
1
|
Подъем элементов
|
|
Строп четырехветвевой
|
4СК1-0,8 ГОСТ 25573-82
|
1
|
То же
|
|
Площадка навесная
|
ЦНИИОМТП 2493.01.100
|
2
|
Бетонирование фундаментов
|
|
Лестница приставная
|
Промстальконструкция Шифр 29800-12
|
2
|
То же
|
|
Уровень строительный
|
Тип УС2 ГОСТ 9416-83
|
1
|
Геодезическая проверка установки элементов опалубки
|
|
Ключ гаечный разводной
|
ГОСТ 7275-75
|
2
|
Установка опалубки
|
|
Термометр стеклянный технический
|
ГОСТ 2823-73*Е (СТ СЭВ 2944-81)
|
1
|
Проверка температурного режима при твердении бетона
|
|
Влагомер
|
ГОСТ 15528-86
|
1
|
Проверка влажного режима при твердении бетона
|
|
Отвес строительный
|
ОТ-400 ГОСТ 7948-80
|
1
|
Проверка установки опалубки и армокаркасов
|
|
Метр складной деревянный
|
РСТ 149-76
|
2
|
Обмер конструктивных элементов
|
|
Рулетка металлическая
|
РС-20 ГОСТ 7502-80*
|
1
|
То же
|
|
Молоток слесарный
|
ГОСТ 2310-77*Е
|
2
|
Крепление элементов опалубки
|
|
Щетка стальная
|
ТУ-36-2460-82
|
10
|
Очистка опалубки
|
|
Кисть маховая
|
КМ-65 ГОСТ 10597-87
|
2
|
Смазка поверхности опалубки эмульсией
|
|
Лом стальной
|
ЛО-24 ГОСТ 1405-83
|
1
|
Установка опалубки
|
|
Поливочный рукав
|
Длина 40 м
|
1
|
Поливка бетонных поверхностей фундаментов
|
4.3 Потребность в материалах и полуфабрикатах для выполнения работ по
устройству монолитных фундаментов приведена в табл. 20.
Таблица 20
|
Наименование материала, полуфабриката, конструкции (марка,
ГОСТ)
|
Исходные данные
|
Потребность в материалах
|
|
Ед. изм.
|
Объем работ в нормативных ед.
|
Принятая норма расхода материалов
|
|
|
Разборно-переставная щитовая опалубка из досок 40 мм
|
1 фундамент
|
12
|
0,75 м3
|
9,00 м3
|
|
Арматурные сетки
|
1 фундамент
|
84
|
1,038 т
|
87,21 т
|
|
Бетонная смесь В15
|
м3
|
689,64
|
1,015 м3
|
700,00 м3
|
|
Эмульсия ЭКС
|
м2 опалубки
|
1404,48
|
0,30 л
|
421,35 л
|
. Техника безопасности.
.1. При производстве работ следует соблюдать требования СНиП III-4-80
"Техника безопасности в строительстве".
.2. Разрешается работать только на исправных машинах.
Машины с топливными баками и обогревающими устройствами, в том числе для
обогрева кабины машиниста, должны быть снабжены огнетушителями.
Категорически запрещается разогревать двигатель зимой огнем. Для
разогрева его следует залить в радиатор горячую воду, а в картер - подогретое
масло.
Заправлять бак машины топливом разрешается только при остановленном
двигателе.
.3. Во время работы экскаватора запрещается изменять вылет стрелы и
регулировать тормоза при заполненном ковше.
.4. Во избежание повреждения рабочего оборудования платформу экскаватора
с наполненным ковшом можно поворачивать только после выхода ковша из забоя.
.5. Перед кратковременной остановкой или по окончании работ стрелу
экскаватора следует расположить вдоль оси, а ковш опустить на землю.
При совместной работе экскаватора и бульдозера последний не должен
находиться в радиусе действия стрелы экскаватора.
.6. Находиться под поднятым отвалом бульдозера, удерживаемым только
стальным канатом или гидравлическим приводом, запрещается.
В случае необходимости осмотра и выполнения работ под поднятым отвалом в
поднятом положении отвал поддерживают специальными упорами или устанавливают
его на клеть из брусьев.
.7. Устройство монолитных фундаментов необходимо выполнять в соответствии
со СНиП 12-03-2001 «Безопасность труда в строительстве. Часть 1. Общие
требования», СНиП 12-04-2002 «Безопасность труда в строительстве. Часть 2.
Строительное производство», «Правилами противопожарного режима в РФ» и ПБ
10-257-98 «Правила устройства и безопасной эксплуатации грузоподъемных
кранов-манипуляторов». Применяемое оборудование должно отвечать требованиям
безопасности в соответствии со СНиП 12-03-2001.
. Технико-экономические показатели.
. Объем возведенных конструкций - 689,64 м3.
. Площадь возведенных конструкций - 1404,48 м2.
. Затраты труда рабочих и времени работы машин - 1118,04 чел.-ч; 1030,11
маш.-см.
. Выработка на одного рабочего в смену - 0,305 м3/чел.-ч
. продолжительность выполнения работ - 138 дней при работе в 1 смену.
грунт котлован арматурный фундамент
Список литературы
1. Планировка площадки, отрывка котлованов и возведение
железобетонных фундаментов зданий, методические указания по дисциплине
«Технология строительных процессов» для студентов специальности 270102 ПГС МГСУ
/ проф. Сборщиков С.Б. // МГСУ «МИСИ», Москва, 2010.
. Единые нормы и расценки на строительные, монтажные и
ремонтно-строительные работы. Сборник Е2 «Земляные работы». Выпуск 1
«Механизированные и ручные земляные работы» // ВПТИтрансстрой.
. Единые нормы и расценки на строительные, монтажные и
ремонтно-строительные работы. Сборник Е4 «Монтаж сборных и устройство
монолитных железобетонных конструкций». Выпуск 1 «Здания и промышленные
сооружения» // ЦНОТ и УП Минтяжстроя СССР.
. Сборник средних сметных цен для Краснодарского края. №4
(2014). Перевозка грузов для строительства и капитального ремонта зданий и
сооружений. Эксплуатация строительных машин и механизмов // ГБУ КК
"Управление ценообразования в строительстве", Краснодар, 2014.
. Типовые технологические карты на производство отдельных
видов работ. Раздел 01. Типовая технологическая карта на земляные и
буровзрывные работы. 1.01.01.68 Комплексно-механизированный процесс
вертикальной планировки строительной площадки объемом от 50 до 100 тыс. м3
в грунтах II группы / ВНИПИИСТРОМСЫРЬЕ // Москва,
1989.
. Типовые технологические карты на производство отдельных
видов работ. Раздел 01. Типовая технологическая карта на земляные и
буровзрывные работы. 1.01.01.79 Комплексно-механизированный технологический
процесс устройства котлованов промышленных объектов объемом до 100,0 тыс. м3
в зимних условиях / Красноярский ПромстройНИИпроект // Москва, 1989.
. Типовые технологические карты на производство отдельных
видов работ. Раздел 04. Типовая технологическая карта на бетонные и
железобетонные работы (монолитный железобетон). 4.01.01.61 Устройство
столбчатых монолитных железобетонных фундаментов объемом 5, 10, 25 м3
и более под стальные колонны одноэтажных промышленных зданий с использованием
разборно-переставной мелкощитовой опалубки / Промстройпроект // Москва, 1989.
. Единые нормы времени на перевозку грузов автомобильным
транспортом и сдельные расценки для оплаты труда водителей // утверждены
постановлением госкомитета СССР по труду и социальным вопросам и секретариата
ВЦСПС от 13 марта 1987 г. № 153/6-142.