Реализация инвестиционного портфеля
Расчет доходов от
реализации продукции
Доходы предприятия от операционной
деятельности формируются за счет реализации продукции на внутреннем и внешнем
рынках

,
инвестиционный портфель
доход
где Двнут -доходы,
полученные на внутреннем рынке, тыс. руб.;
Двнеш - доходы от
экспорта продукции, тыс. руб.
Для расчета доходов в
рассматриваемом периоде необходимо предварительно определить объем реализации
продукции внутри страны и за рубежом по годам (шагам) рассматриваемого периода,
которые, в свою очередь, зависят от освоения производственной мощности и
экспортной квоты.

,

,
где цвнут, цвнеш -
внутренняя и внешняя цена продукции, соответственно, (перевод доллара в рубли -
по текущему курсу валют) руб./ед.; внутt, Wвнешt - объем продаж на внутреннем и
внешнем рынке, соответственно, на шаге t, тыс. ед;- номер шага;расчетный период
(год условной ликвидации объекта).

,
где Wt - проектный объем
производства на шаге t, в тыс.ед.;освt - коэффициент освоения производственной
мощности объекта на шаге t, в долях единицы;эксt - экспортная квота на шаге t,
в долях единицы.

.
Расчет доходов
производится по каждому инвестиционному проекту Результаты расчета представлены
в таблицах 1 и 2
Таблица 1 - Доходы от
реализации продукции по первому инвестиционному проекту
|
Показатель, единицы измерения
|
Шаг (год)
|
Итого
|
|
0
|
1
|
2
|
3
|
4
|
5
|
6
|
|
|
Объем производства продукции, тыс. ед.
|
0
|
24,2
|
55
|
110
|
110
|
110
|
110
|
519,2
|
|
Объем реализации на внешнем рынке, тыс.ед.
|
0
|
4,84
|
11
|
22
|
22
|
22
|
22
|
103,84
|
|
Объем реализации на внутреннем рынке, тыс. ед.
|
0
|
19,36
|
44
|
88
|
88
|
88
|
88
|
415,36
|
|
Доходы на внешнем рынке, тыс.руб.
|
0
|
2461,14
|
5593,5
|
11187
|
11187
|
11187
|
11187
|
52802,64
|
|
Доходы на внутреннем рынке, тыс.руб.
|
0
|
8286,08
|
18832
|
37664
|
37664
|
37664
|
37664
|
177774,1
|
|
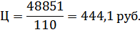
Итого доходов, тыс.руб.
|
0
|
10747,22
|
24425,5
|
48851
|
48851
|
48851
|
48851
|
230576,7
|
Таблица 2 - Доходы от реализации продукции
по второму инвестиционному проекту
|
Показатель, единицы измерения
|
Шаг (год)
|
Итого
|
|
0
|
1
|
2
|
3
|
4
|
5
|
6
|
7
|
8
|
9
|
|
|
Объем производства продукции, тыс. ед.
|
0
|
24
|
72
|
120
|
120
|
120
|
120
|
120
|
120
|
120
|
936
|
|
Объем реализации на внешнем рынке, тыс.ед.
|
0
|
5,28
|
15,84
|
26,4
|
26,4
|
26,4
|
26,4
|
26,4
|
26,4
|
26,4
|
205,92
|
|
Объем реализации на внутреннем рынке, тыс. ед.
|
0
|
18,72
|
56,16
|
93,6
|
93,6
|
93,6
|
93,6
|
93,6
|
93,6
|
93,6
|
730,08
|
|
Доходы на внешнем рынке, тыс.руб.
|
0
|
2863,87
|
8591,62
|
14319,4
|
14319,4
|
14319,4
|
14319,4
|
14319,4
|
14319,4
|
14319,4
|
111691
|
|
Доходы на внутреннем рынке, тыс.руб.
|
0
|
8798,4
|
26395,2
|
43992
|
43992
|
43992
|
43992
|
43992
|
43992
|
43992
|
343138
|
|
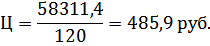
Итого доходов, тыс.руб.
|
0
|
11662,3
|
34986,8
|
58311,4
|
58311,4
|
58311,4
|
58311,4
|
58311,4
|
58311,4
|
58311,4
|
454829
|
Распределение инвестиций
по годам расчетного периода
Реальные инвестиции (капитальные
вложения) включают в себя инвестиции в приобретение земли, в основной капитал и
в первоначальный оборотный капитал. При определении инвестиций по шагам
расчетного периода учесть комментарии в параграфе 3.1.2. Земля приобретается на
начальном (нулевом) этапе реализации проекта. Инвестиции в оборотные средства
на первом шаге зависят от потребности в сырье и материалах и соответствующих
транспортно-заготовительных расходов. Величина капитальных вложений в пополнение
оборотных средств определяется исходя из прироста объема производства.
Распределение инвестиций по годам
представлены в таблицах 3 и 4.
Таблица 3 - Инвестиции по первому
инвестиционному проекту в тыс.руб.
|
Показатель
|
Год (шаг)
|
Итого
|
|
0
|
1
|
2
|
3
|
4
|
5
|
6
|
|
|
Земля
|
3800
|
0
|
0
|
0
|
0
|
0
|
0
|
3800
|
|
Здания и сооружения
|
9200
|
0
|
0
|
0
|
0
|
0
|
0
|
9200
|
|
Оборудование отечественное
|
0
|
2288
|
2912
|
5200
|
0
|
0
|
0
|
10400
|
|
Оборудование импортное
|
0
|
3132,36
|
3986,64
|
7119
|
0
|
0
|
0
|
14238
|
|
Итого оборудования
|
0
|
5420,36
|
6898,64
|
12319
|
0
|
0
|
0
|
24638
|
|
Первоначальный запас оборотных средств
|
0
|
542,036
|
689,864
|
1231,9
|
0
|
0
|
0
|
2463,8
|
|
Всего инвестиций
|
13000
|
5962,396
|
7588,504
|
13550,9
|
0
|
0
|
0
|
40101,8
|
Оборотные средства составляют 10% от
стоимости оборудования, включая импортное и российское.
Здания и сооружения предполагается
приобрести на начальном этапе реализации инвестиционного проекта.
Оборудование покупается в
соответствии с пунктом 2 в исходных данных, пропорционально освоению
производственной мощности.
Таблица 4 - Инвестиции по второму
инвестиционному проекту в тыс.руб.
|
Показатель
|
Год (шаг)
|
Итого
|
|
0
|
1
|
2
|
3
|
4
|
5
|
6
|
7
|
8
|
9
|
|
|
Земля
|
3400
|
0
|
0
|
0
|
0
|
0
|
0
|
0
|
0
|
0
|
3400
|
|
Здания и сооружения
|
8800
|
0
|
0
|
0
|
0
|
0
|
0
|
0
|
0
|
0
|
8800
|
|
Оборудование отечественное
|
0
|
1760
|
5280
|
1760
|
0
|
0
|
0
|
0
|
0
|
0
|
8800
|
|
Оборудование импортное
|
0
|
3525,6
|
10360,8
|
3741,6
|
0
|
0
|
0
|
0
|
0
|
0
|
17628
|
|
Итого оборудования
|
0
|
5285,6
|
15640,8
|
5501,6
|
0
|
0
|
0
|
0
|
0
|
0
|
26428
|
|
Первоначальный запас оборотных средств
|
0
|
528,56
|
1564,08
|
550,16
|
0
|
0
|
0
|
0
|
0
|
0
|
2642,8
|
|
Всего инвестиций
|
12200
|
5814,16
|
17204,88
|
6051,76
|
0
|
0
|
0
|
0
|
0
|
0
|
41270,8
|
Определение чистого
дохода и чистого дисконтированного дохода (ЧД И ЧДД)
Чистый доход и чистый
дисконтированный доход рассчитываются как сальдо денежных потоков,
соответственно, реальных и дисконтированных. При этом отдельно рассматривается
операционная деятельность, инвестиционная и финансовая. Приток денежных средств
учитывается с плюсом, отток - с минусом.
При расчете сальдо денежных потоков
необходимо учесть тот факт, что амортизация остается на предприятии, т.е. отток
денежных средств уменьшается на величину амортизационных отчислений. Норматив
дисконтирования (Е) принять равным 10%.
Результаты расчета ЧД и ЧДД
представлены в таблицах 5.
Таблица 5 - Потоки денежных средств
по первому инвестиционному проекту в тыс.руб
|
Показатель
|
Шаг (год)
|
|
0
|
1
|
2
|
3
|
4
|
5
|
6
|
|
|
1.Доходы от реальзованной продукции
|
0
|
10747,22
|
24425,5
|
48851
|
48851
|
48851
|
48851
|
230576,7
|
|
2.Издержки по проеку,всего
|
0
|
18531,6
|
30790
|
52680
|
52680
|
52680
|
52680
|
260041,6
|
|
В т.ч. переменные
|
0
|
9631,6
|
21890
|
43780
|
43780
|
43780
|
43780
|
43780
|
|
Постоянные
|
0
|
8900
|
8900
|
8900
|
8900
|
8900
|
8900
|
53400
|
|
3.Прибыль
|
0
|
-7784,3
|
-6364,5
|
-3829
|
-3829
|
-3829
|
-3829
|
-29464,9
|
|
4.Коэффициенты дисконтирования
|
1
|
0,909
|
0,826
|
0,751
|
0,683
|
0,6201
|
0,564
|
5,351
|
|
5.Дисконтированная прибыль
|
0
|
-7076,71
|
-5259,9
|
-2876,78
|
-2615,2
|
-2377,5
|
-2161,37
|
-22367,5
|
|
6. Инвестиции
|
13000
|
5962,44
|
7588,4
|
13550,9
|
0
|
0
|
0
|
40101,8
|
|
7. Дисконтированные инвестиции
|
13000
|
5419,8
|
6268
|
10176,7
|
|
|
|
|
|
8.Чистый дисконтированный доход (ЧДД)
|
ЧДД=-57240,3
|
|
9.Индекс дисконтированной доходности (ИДД)
|
ИДД=-0,64
|
Проект не эффективен, так как ЧДД
отрицательный. Если проект имеет социальную значимость, то его нужно
пересмотреть, поменять параметры.
Оценка устойчивости
инвестиционного проекта
Проект считается устойчивым, если
при всех возможных вариантах развития событий он остается эффективным и
финансово реализуемым. Существуют различные методы оценки устойчивости проекта:
а) расчет уровней безубыточности;
б) метод вариации параметров;
в) оценка ожидаемого эффекта от
реализации проекта с учетом количественных характеристик неопределенности и др.
Для определения устойчивости
выбранного инвестиционного проекта установить критический (безубыточный)
годовой объем производства - минимальный объем, при котором предприятие будет
иметь нулевой финансовый результат, т.е. доходы равны суммарным издержкам. При
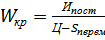
расчете критического объема (Wкр) затраты, относимые на себестоимость
продукции, предварительно подразделяются на переменные и условно-постоянные
(зависящие и не зависящие от объема производства).

где Ц - усредненная цена
единицы продукции, руб./ед.

Расчеты ведутся по 3ему
году:
Расчет безубыточности
делается по годовым показателям, при этом предприятие должно работать на полную
стоимость.
Проверить полученное
значение Wкр можно, используя графический метод (рис 1).
Расчеты по второму
инвестиционному проекту:
Формирование
инвестиционного портфеля
Кс=0,75*(К+К2)
Таблица 6 - Формирование
инвестиционного портфеля
|
Номер инвестиционного проекта
|
ИДД
|
Капитальные вложения
|
Доля собственного капитала
|
ЧДД Тыс.руб
|
|
2
|
1,39
|
Собственные
|
Заемные
|
|
|
|
|
41270,8
|
-
|
100%
|
14239,02
|
|
1
|
-0,64
|
19758,65
|
20343,15
|
49,2%
|
-28168,09
|
|
Итого
|
|
61029,45
|
20343,15
|
|
-13929,07
|
Другая очередность реализации
проекта приведет к ухудшению результатов
Таблица 7
|
Номер инвестиционного проекта
|
ИДД
|
Капитальные вложения
|
Доля собственного капитала
|
ЧДД Тыс.руб
|
|
1
|
-0,64
|
Собственные
|
Заемные
|
|
|
|
|
40101,8
|
-
|
100%
|
-57485,9
|
|
2
|
1,39
|
20927,65
|
20343,15
|
52,1%
|
7404,29
|
|
Итого
|
|
61029,45
|
20343,15
|
|
-50081,60
|
Вывод
При реализации портфеля в первую
очередь нужно реализовывать второй инвестиционный проект, так как его
показатели выше.
ЧДД = -13929,07, заёмные средства=
20343,15 ИДД=1,39, коэффициент устойчивости = 2,3, что гораздо больше, чем в
первом инвестиционном проекте.