Экономическое моделирование составления портфеля инвестиций
ПОНЯТИЕ
ИНВЕСТИЦИОННОГО ПОРТФЕЛЯ
Инвестиционный
портфель
Инвестиционный портфель –
это целенаправленно сформированная совокупность объектов реального и
финансового инвестирования, предназначенных для осуществления инвестиционной
деятельности в соответствии с разработанной инвестиционной стратегией
предприятия. Основная цель формирования инвестиционного портфеля может быть
сформулирована как обеспечение реализации разработанной инвестиционной политики
путем подбора наиболее эффективных и надежных инвестиционных вложений. В
процессе формирования портфеля комбинированием инвестиционных активов
достигается новое инвестиционное качество: обеспечивается требуемый уровень
дохода при заданном уровне риска. В зависимости от направленности избранной
инвестиционной политики и особенностей осуществления инвестиционной деятельности
определяется система специфических целей. При формировании любого
инвестиционного портфеля инвестор ставит определенные цели:
- достижение необходимого
уровня доходности;
- прирост капитала;
- минимизация
инвестиционных рисков;
- ликвидность
инвестированных средств на приемлемом для
инвестора уровне.
Учет приоритетных целей
при формировании инвестиционного портфеля лежит в основе определения
соответствующих нормативных показателей, служащих критерием при отборе вложений
для инвестиционного портфеля и его оценке. В зависимости от принятых
приоритетов инвестор может установить в качестве такого критерия предельные
значения прироста капитальной стоимости, дохода, уровня допустимых
инвестиционных рисков, ликвидности. В составе инвестиционного портфеля могут сочетаться
объекты с различными инвестиционными качествами, что позволяет получить
достаточный совокупный доход при консолидации риска по отдельным объектам
вложений.
Как и в общем случае при
осуществлении инвестиционной деятельности, так и при формировании инвестиционного
портфеля инвестор ожидает прибыль (доход), действуя в рамках приемлемого для
него риска. Доход же может иметь не только форму текущих выплат или прибыли от
реализации инвестиционных проектов, получаемых с известной степенью
регулярности и определенности (предсказуемости) в установленные промежутки
времени, но и в виде прироста стоимости приобретаемых активов.
Минимизация
инвестиционных рисков, или безопасность инвестиций, означает неуязвимость
инвестиций от потрясений на рынке инвестиционного капитала и стабильность
получения дохода. Подбор объектов, по которым наиболее вероятны возврат
капитала и получение дохода планируемого уровня, и позволяет достичь указанной
цели.
Однако минимизация рисков
не всегда позволяет полностью устранить вероятность негативных последствий, а
лишь способствует достижению их допустимого уровня при обеспечении требуемой
инвестором доходности. Она зависит от отношения инвестора к риску.
Обеспечение достаточной
ликвидности инвестируемых средств предполагает возможность быстрого и
безубыточного (без существенных потерь в стоимости) обращения инвестиций в
наличные деньги или возможность их быстрой реализации. Эта цель не обязательно
связана с предыдущими целями, она наиболее достижима при размещении средств в
финансовые активы, пользующиеся устойчивым спросом на фондовом рынке (акции и
облигации известных компаний, государственные ценные бумаги).
Вместе с тем ни одна из
инвестиционных ценностей не обладает перечисленными выше свойствами в
совокупности, что обусловливает альтернативность названных целей формирования
инвестиционного портфеля. Так, безопасность обычно достигается в ущерб высокой
доходности и росту вложений.
Учитывая альтернативность
инвестиционных целей, невозможно добиться их одновременного достижения. Поэтому
инвестор должен установить приоритет определенной цели при формировании своего
портфеля.
Различие целей
формирования инвестиционных портфелей, видов включаемых в них объектов
инвестирования и других условий определяет многообразие вариантов
направленности и состава этих портфелей в отдельных компаниях..
Портфель ценных бумаг
содержит определенную совокупность ценных бумаг, этот портфель отличают:
- высокий уровень риска,
который распространяется не только на доход, но и на весь инвестированный
капитал;
- более низкий уровень
доходности;
- отсутствие в
большинстве случаев возможностей реального воздействия на доходность (кроме
возможности реинвестирования
капитала в другие
инструменты фондового рынка);
- низкая инфляционная
защищенность;
- ограниченность вариантов
выбора отдельных финансовых инструментов.
Сбалансированный портфель
характеризуется полной реализацией целей инвестора путем отбора инвестиционных
проектов или финансовых инструментов, наиболее полно отвечающих этим целям.
Формирование
портфеля инвестиций
Инвестиционный портфель
предприятия в общем случае формируется на таких принципах, как:
- обеспечение реализации
инвестиционной стратегии. Формирование инвестиционного портфеля должно
соответствовать инвестиционной стратегии предприятия, обеспечивая
преемственность долгосрочного и среднесрочного планирования инвестиционной
деятельности предприятия;
- обеспечение
соответствия портфеля инвестиционным ресурсам, т.е. перечень выбираемых
объектов инвестиций должен ограничиваться возможностями обеспечения их
ресурсами;
- оптимизация соотношения
доходности и ликвидности, что означает соблюдение определенных инвестиционной
стратегией предприятия пропорций между доходом и риском;
- оптимизация соотношения
доходности и риска, или соблюдение определенных инвестиционной стратегией
предприятия пропорций между доходом и ликвидностью;
- обеспечение
управляемости портфелем – соответствие объектов инвестирования кадровому
потенциалу и возможности осуществления оперативного реинвестирования средств.
Инвестиционный портфель
формируется после того, как четко поставлены цели инвестиционной политики,
определены приоритетные цели формирования инвестиционного портфеля с учетом
сложившегося инвестиционного климата и рыночной конъюнктуры.
В результате проведенного
анализа задаются основные характеристики инвестиционного портфеля (степень
допустимого риска, размеры ожидаемого дохода, возможные отклонения от него и
пр.), осуществляется оптимизация пропорций различных видов инвестиций в рамках
всего инвестиционного портфеля с учетом объема и структуры инвестиционных
ресурсов.
Процесс формирования
портфеля ценных бумаг и управления им складывается из пяти этапов:
а) определение
инвестиционной политики или инвестиционных целей инвестора;
б) проведение анализа
ценных бумаг. Существуют два основных метода выбора ценных бумаг –
фундаментальный и технический.
Фундаментальный анализ и
технический анализ не являются взаимоисключающими, они могут дополнять друг
друга, но, как правило, аналитики специализируются на применении либо первого,
либо второго метода. Фундаментальный анализ в целом используется при выборе
соответствующей ценной бумаги, технический анализ – при определении подходящего
момента времени для инвестирования в эту ценную бумагу;
в) формирование
портфеля. На этом этапе производится отбор инвестиционных активов для включения
их в портфель на основе результатов проведенного анализа с учетом целей
конкретного инвестора. При этом учитываются такие факторы, как:
- тип инвестиционного
портфеля,
- требуемый уровень
доходности портфеля,
- допустимая степень
риска,
- масштабы диверсификации
портфеля,
- требования к
ликвидности,
- налогообложение доходов
и операций с различными видами активов;
г) ревизия
портфеля. Портфель подлежит периодическому пересмотру с тем, чтобы его состав
не противоречил изменившейся общеэкономической ситуации, положению секторов и
отраслей, инвестиционным качествам отдельных объектов инвестирования, целям
инвестора. Пересмотр портфеля сводится к определению соотношения доходности и
риска входящих в него бумаг. По результатам анализа принимается решение о
возможности продажи какой-нибудь инвестиционной ценности. Как правило, ценная
бумага продается в том случае, если:
- она не принесла
ожидаемого дохода и нет надежды на его рост в будущем,
- ценная бумага выполнила
свою функцию,
- появились более
эффективные пути использования ресурсов.
Институциональные
инвесторы проводят ревизию своих портфелей довольно часто, нередко даже
ежедневно;
д) оценка фактической
эффективности портфеля с точки зрения полученного дохода по нему и риска,
сопровождающего инвестирование средств в выбранные объекты.
Оценка инвестиционного
портфеля по критерию риска производится с учетом коэффициентов риска и объемов
вложений в соответствующие виды инвестиций. Вначале по каждому виду инвестиций
рассчитываются конкретные значения показателей риска. Совокупный риск
инвестиционного портфеля предприятия определяется как соотношение сумм
инвестиций по различным направлениям, взвешенным с учетом риска, и общей суммы
инвестиций.
Совокупный риск инвестиционного
портфеля в существенной мере зависит от уровня риска портфеля ценных бумаг,
поскольку последний характеризуется повышенным риском, распространяющимся не
только на доход, но и на весь инвестированный капитал. При росте количества
разнообразных ценных бумаг в портфеле уровень риска портфеля Ценных бумаг может
быть уменьшен, но не ниже уровня систематического риска (определение
систематического риска далее). Данное положение справедливо для случая
независимости ценных бумаг в портфеле; если ценные бумаги в портфеле
взаимозависимы, то возможны два варианта. В случае прямой корреляционной
зависимости при увеличении количества ценных бумаг в портфеле уровень риска не
изменяется, так как доходность всех ценных бумаг падает или растет с одинаковой
вероятностью. В случае обратной корреляционной зависимости наименее рискованный
портфель ценных бумаг может быть сформирован при определении в нем оптимальных
долей ценных бумаг разного типа.
Диверсификация
портфеля
Диверсификация инвестиций
– вид инвестиционной стратегии, связанной с расширением или изменением
инвестиционной деятельности.
Портфели ценных бумаг,
построенные по принципу диверсификации, предполагают комбинацию из достаточно
большого количества ценных бумаг с разнонаправленной динамикой движения курсовой
стоимости (дохода). Такая диверсификация может носить отраслевой или
региональный характер, а также проводиться по различным эмитентам.
Диверсификация, призванная снизить инвестиционные риски при обеспечении
максимальной доходности, основана на различиях в колебаниях доходов и курсовой
стоимости ценных бумаг.
Диверсификация —
сознательное комбинирование инвестиционных объектов, при котором достигается не
просто их разнообразие, но и определенная взаимосвязь между доходностью и
риском.
По портфелю, состоящему
из различных групп акций, диверсификация сокращает риск по отдельным группам
акций, но, как правило, не может устранить его полностью.
В портфельной теории
существует несколько подходов к диверсификации инвестиционных портфелей.
Традиционный подход к
диверсификации состоит в том, что инвестор вкладывает средства в некоторое
количество активов и надеется, что вариация ожидаемой доходности, портфеля
будет невелика. Например, такая диверсификация предусматривает владение
различными видами ценных бумаг (акции, облигации), ценными бумагами отдельных
предприятий, компаний различных отраслей. Такой подход может привести к выводу,
что лучшей диверсификацией является вложение средств в как можно большее
количество ценных бумаг различных компаний. Однако практикой доказано, что
максимальное сокращение риска достижимо, если в портфеле имеется 10-15
различных ценных бумаг, при этом достигается достаточный уровень диверсификации
без значительного увеличения издержек портфеля. Дальнейшее увеличение состава
портфеля нецелесообразно, так как возникает эффект излишней диверсификации,
которая может привести к таким отрицательным результатам, как:
- невозможность
качественного портфельного управления;
- покупка недостаточно
надежных, доходных, ликвидных ценных бумаг;
- рост издержек,
связанных с подбором ценных бумаг (расходы на предварительный анализ,
консалтинг и т.д.):
- высокие издержки при
покупке небольших партий ценных бумаг и т.д.
Меньшее количество ценных
бумаг в портфеле приводит к повышенному риску за счет роста вероятности
одновременного отклонения инвестиционных качеств цепных бумаг в сторону
снижения.
Эффект излишней
диверсификации характеризуется превышением темпов прироста издержек по ее
осуществлению над темпами прироста доходности портфеля.
Оценка инвестиционных качеств финансовых инструментов
Методы
анализа
В портфель финансовых
инвестиций предприятия могут входить различные ценные бумаги или другие
финансовые инструменты (сберегательные и депозитные сертификаты, залоговые
свидетельства, страховые полисы и пр.).
Финансовые инструменты на
рынке должны оцениваться с точки зрения их инвестиционных качеств, то есть
соответствовать целям и ожиданиям инвесторов, вкладывающих в них финансовые
средства.
Оценка инвестиционных
качеств финансовых инструментов проводится по критериям:
- безопасности вложений.
Под безопасностью вложений понимается их определенная защищенность в условиях
изменений на рынке и стабильность получения дохода. Безопасность и доходность
вложений в финансовые инструменты находятся в обратной зависимости.
- доходности вложений.
Доходность вложений определяется прибылью и ростом курсовой стоимости
финансовых инструментов по сравнению с вложенными средствами. Доходность
вложений в финансовые инструменты на этапе предварительного инвестиционного
анализа оценивается на основе показателей эффективности ликвидности вложений.
- ликвидность вложений.
Под ликвидностью финансовых инвестиционных вложений понимается их способность
быстро и без потерь превращаться в наличные деньги.
Риск и
доходность финансовых инвестиций
Риск и доходность
рассматриваются в управлении финансовыми инвестициями как две взаимосвязанные
категории. Рассмотрим специфические риски в предпринимательской деятельности,
связанной с инвестированием средств в ценные бумаги.
Риск может быть определен
как уровень определенной финансовой потери или недополучения планируемых
доходов. Возможна и другая интерпретация риска как степени вариабельности
доходности (уровня дохода в процентах или долях единицы, получаемого на
вложенный капитал).
Потенциальный доход, то
есть доход, на который рассчитывает инвестор, осуществляя финансовые инвестиции
в ценные бумаги, зачастую находится в прямой зависимости от величины риска, т.
е. наибольшей доходностью обладают наиболее рискованные вложения. Оценка надежности
(рискованности) и эффективности (доходности) финансовых инвестиций находятся в
тесной связи. Рискованность вложений в ценные бумаги также зависит от
количества различных типов ценных бумаг в портфеле предприятия.
Риски на рынке ценных
бумаг как для эмитента, так и для инвестора разделяются на систематические,
несистематические и общие.
Общие риски включают
риски одинаковые для всякого вида предпринимательской деятельности, в том числе
политический риск, риск изменения законодательства, риски экологических
катастроф и пр.
Систематический риск –
риск, связанный с изменчивостью цен на акции эмитента, вызванный общерыночным
колебанием цен. Он объединяет риск изменения процентных ставок, риск падения
общерыночных цен и риск инфляции.
Риск изменения процентных
ставок – потенциальные потери, которые могут возникнуть из-за сокращения чистой
прибыли вследствие изменения государственных и банковских кредитных ставок.
Риск изменения процентной ставки в большей степени относится к облигациям,
уровень цен на которые тесно связан с ежедневно меняющимся уровнем процентных
ставок по заемным капиталам.
Риск падения общерыночных
цен – риск, связанный с возможностью падения цен на все обращающиеся на рынке
ценные бумаги одновременно и недополучением по этой причине ожидаемого дохода.
Возникновение этого риска связано с общей мировой экономической
нестабильностью, ростом цен на ресурсы (в первую очередь энергетические), а
также с политическими изменениями. Появление риска падения общерыночных цен
вызвано взаимозависимостью между ценами на акции различных обществ. Можно
выделить производства и сферы экономической деятельности, относительно в
меньшей степени зависящие от состояния экономики страны в целом – это
коммунальные службы, транспорт, энергетика, пищевая промышленность и др. Акции
этих отраслей имеют меньшую прибыль, зато более надежны и стабильны. Финансовые
организации более чутко реагируют на динамику цен на рынках. У них в большей
степени проявляется падение доходности.
Риск инфляции – риск,
вызванный тем, что падение покупательной способности денег корректирует все
реальные доходы по инвестициям, в значительной мере обесценивая их. В этом
смысле рискованной, т. е. подверженной возможным убыткам, может оказаться
инвестиция даже в наиболее устойчивые и стабильные государственные ценные
бумаги.
Несистематический риск
эмитентов – риск финансовых инвестиций, не зависящий от состояния рынка ценных
бумаг и определяющийся спецификой конкретного предприятия-эмитента. Различаются
отраслевой и структурно-финансовый риски.
Отраслевой риск – риск,
вызванный изменением состояния дел в той или иной отрасли. В основе такого
риска цикличность развития отраслей. Причины цикличности – переориентация
экономики, истощенно каких-либо ресурсов, изменение спроса на рынках и др.
Структурно-финансовый
риск – риск, зависящий от соотношения собственных и заемных средств в структуре
финансовых ресурсов предприятия-эмитента. Чем больше доля заемных средств, тем
выше риск акционеров остаться без дивидендов. Структурно-финансовые риски
связаны с операциями на финансовом рынке и производственно-хозяйственной
деятельностью предприятия-эмитента и включают: кредитный риск, процентный риск,
валютный риск, риск упущенной финансовой выгоды.
Далее рассматривается
доходность А комплекта ценных бумаг, приобретенного (или рассматриваемого к
приобретению) инвестором у одного эмитента. Смысл доходности заключается в
оценке общего процента дохода на затраченные (инвестированные) средства по
ценным бумагам определенном эмитента.
Расчет вероятности
получения определенного уровня доходности (или наступления потери) опирается
на:
- статистические данные
(как правило, статистики или нет, или она непредставительна – не дает
возможности сделать достоверные оценки);
- экспертные оценки, что
более реализуемо.
Оценка статистическими
методами включает два направления:
- оценка вероятностных
распределений доходности (ущерба) от вложения финансовых средств в различные
виды ценных бумаг различных эмитентов,
- оценки по
β-коэффициентам (принятая в развитых странах оценка), оценивающая риск
инвестиции в конкретную ценную бумагу по отношению к уровню фондового рынка в
целом. Данные по β-коэффициентам публикуются в открытой печати в развитых
странах.
Величина риска
оценивается величинами:
- математического
(среднего) ожидания значения доходности, определяемого по формуле:
M(A)=∑(Ai·pi), (1)
где
Ai – диапазон значений
доходности;
pi – соответствующие вероятности реализации величины доходности.
- дисперсии значения
доходности C2ko, определяемой по формуле:
C2ko=∑(Ai-M(Ai))2,
(2)
где Ai – диапазон значений доходности;
pi –
соответствующие вероятности реализации величины доходности;
M(A) – математическое (среднее) ожидание значения доходности.
- среднеквадратичного
отклонения доходности Cko, определяемого по формуле:
Cko = √C2ko, (3)
где C2ko – дисперсия значения доходности.
В общем случае, когда
значения математического ожидания уровней доходности по сравниваемым ценным
бумагам не совпадают, инвестор должен принять волевое решение по выбору
направления инвестиций с учетом различия между математическими ожиданиями по
каждому виду ценных бумаг и соответствующими значениями вариаций по каждому
варианту, или провести оценку другим методом, например с применением β –
коэффициентов или экспертных методов.
Показатель β используется
при оценке рискованности вложений в ценные бумаги в сравнении с систематическим
риском всего фондового рынка. Расчет показателя осуществляется по формуле:
β=(Kp·Cko)/Cкор,
(4)
где Кр –
корреляция между доходностью конкретной ценной бумаги и средним уровнем
доходности ценных бумаг на рынке;
Ско –
среднеквадратичное отклонение доходности по конкретной ценной бумаге;
Скор –
среднеквадратичное отклонение доходности по рынку ценных бумаг в целом.
Уровень риска отдельных
ценных бумаг определяется на основе следующих значений:
β = 1 – средний
уровень риска,
β >1 – высокий
уровень риска,
β < 1 – низкий
уровень риска.
Количественные аспекты портфельного анализа
Портфель
– это просто совокупность активов. С каждым активом портфеля связаны средняя доходность
и дисперсия доходности. Кроме того, с каждой парой доходностей связан
коэффициент корреляции. Коэффициентом корреляции доходностей измеряют степень
линейной корреляции между двумя доходностями. Коэффициент корреляции должен
находиться в пределах от -1 до +1. В любом из крайних случаев мы имеем полную
корреляцию. В случае с полной корреляцией флуктуации доходности одного актива
полностью определяются флуктуациями доходности другого актива. Если коэффициент
корреляции равен +1, то говорят, что доходности полностью положительно
коррелированы, если он равен -1, то говорят, что доходности полностью
отрицательно коррелированы. Естественно, что доходность любого актива полностью
положительно коррелирована сама с собой.
Если корреляция доходностей не совпадает с -1 или +1, то говорят,
что доходности не полностью (частично) коррелированы. Если коэффициент
корреляции находится посредине между двумя крайними значениями, т.е. он равен
нулю, то говорят, что доходности не коррелированы..
Как и в случае со средними и дисперсиями, коэффициенты корреляции
вычисляются с помощью электронных таблиц, статистических пакетов и специальных
калькуляторов. Для подсчета коэффициента корреляции необходимо сначала
вычислить ковариацию между двумя доходностями. Ковариация между доходностями
актива i
и актива j
обозначается через σi,j. Формула для вычисления
ковариация σi,j дается соотношением:
σi,j=∑(ri(t)-μi)rj(t)-μj)/n-1,
(5)
где ri и rj - доходность актива i и j;
μi и μj- среднее величин ri и rj;
n – число активов.
Коэффициент корреляции ſi,j
рассчитывается через ковариацию и стандартные отклонения по формуле:
ſi,j= σi,j / σi, σ,j, (6)
где σi,j - ковариация между
доходностями актива i и актива j;
σi,, σ,j - стандартные
отклонения i
и j.
Обозначим доходность портфеля через rp, среднюю доходность
портфеля через μr и дисперсию доходности портфеля через σ2p. Обозначим вес актива
через wi и будем считать, что всего в портфель включено n активов. Сумма
используемых весов должна равняться единице (100%). (Если сумма весов меньше
единицы, то это означает, что часть средств оставалась без дела).
Доходность портфеля rp рассчитывается по формуле:
rp=∑wiri, (7)
где wi - вес актива i;
ri - доходность актива i.
Средняя доходность портфеля μr рассчитывается по
формуле:
μp=∑wiμi, (8)
где wi - вес актива i;
μij- среднее величины ri.
Дисперсия доходности портфеля σ2p рассчитывается по
формуле:
σ2p=∑∑wiwj σi, σ,j ſi,j, (9)
где wi и wj - веса активов i и j;
σi,, σ,j - стандартные отклонения
i и j;
ſi,j - коэффициент корреляции.
Доходность портфеля rp и средняя доходность
портфеля μr легко интерпретируются. Обе эти величины являются
взвешенными средними соответствующих характеристик для отдельных активов. Более
сложно воспринять смысл дисперсии доходности σ2p. Она является суммой
произведений (каждое из которых состоит из пяти сомножителей). Первые два
сомножителя в произведении являются весами, вторые два – стандартными
отклонениями, а последний сомножитель представляет собой коэффициент
корреляции. Эти произведения подсчитываются для любой пары i и j. Всего под знаками
суммирования должно быть п • п или n2 таких произведений.
Формулу (9) можно упростить (при этом уменьшится объем необходимых
вычислений), если учесть два обстоятельства. Во-первых, при совпадении i и j произведение wiwj σi,σ,j ſi,j превращается в wi2 σi2. Это происходит в силу
того, что корреляция любой доходности с самой собой, по определению, равна
единице. Во-вторых, при разных i и j произведения wiwj σi, σ,j ſi,j и wjwi σj, σ,i ſj,i равны между собой и их можно один раз
включить в сумму с удвоением коэффициента. Имея это в виду, можно переписать
формулу (9) в виде формулы (10):
σ2p=∑w2iσ2i,+2∑∑wiwj σi, σ,j ſij, (10)
где wi и wj - веса активов i и j;
σi,, σ,j - стандартные
отклонения i
и j;
ſi,j - коэффициент корреляции.
Наиболее экономичная запись дисперсии портфеля получается с
помощью матричных обозначений. Матричную форму также легче всего реализовать в Excel для больших портфелей. В
таком представлении матрицу, содержащую элемент σi,j (ковариация между
доходностями активов i и j) на пересечении i–й строки и j-го столбца, можно
назвать ковариационной матрицей.
σ11 σ12 σ13
σ14…. σ1N
S= ……………………..
σ,N1 σN2 σ,N3 σN3 … σ,NN
В этом случае дисперсия портфеля активов описывается формулой:
σ2p = Xт * S * X , (11)
где Х – вектор-столбец долей активов i и j
Xт – транспонированный вектор-строка долей активов i и j
Нерасположенность к риску и портфельный анализ
Основным
постулатом финансовой теории является то обстоятельство, что рационально
действующий субъект не расположен к риску. Иными словами, рациональные люди (с
«правильными» функциями полезности) не любят рисковать. Однако не все субъекты
одинаково не расположены к риску. Некоторые совсем не расположены к риску и
совсем не хотят рисковать, чтобы получить доходность выше средней. Другие не
расположены к риску в умеренной степени и готовы подвергать себя риску для
получения доходности выше средней. Первых мы будем называть консервативными в
финансовом отношении, а вторых — агрессивными. Теперь мы рассмотрим такое
отношение к риску в более формальном плане и сделаем это в контексте
портфельной теории.
Во-первых, предположим,
что нам удалось построить множество портфелей, которые для каждого уровня
доходности характеризуются наименьшим риском. Это множество портфелей
называется множеством минимальной дисперсии. Можно показать, что множество
минимальной дисперсии для портфелей имеет квадратичную форму и на графике
выглядит как парабола. Эффективное множество портфелей является подмножеством
множества минимальной дисперсии, которое лежит выше точки портфеля с
минимальной дисперсией (minimum variance
portfolio (MVP), рисунок 1. Эти портфели построены и координатах
«риск-доходность» (на вертикальной оси откладывается средняя доходность, а на
горизонтальной – стандартное отклонение). В каждый заданный момент времени
получаемое эффективное множество портфелей может рассматриваться как отражение
текущего состояния экономики.
Рисунок 1
– Множество минимальной Дисперсии
В
качестве примера эффективное множество портфелей представлено на рисунке 2.
Рисунок 2
– Эффективное множество портфелей
Моделирование инвестиционного портфеля
Разработка инвестиционной стратегии всегда основывается на анализе
доходности от вложения средств, времени инвестирования и возникающих при этом
рисков. Эти факторы во взаимосвязи определяют эффективность вложений в тот или
иной инструмент фондового рынка. Принятая инвестиционная стратегия определяет
тактику вложения средств: сколько средств и в какие ценные бумаги следует
инвестировать и, следовательно, всегда является основой операций с ценными
бумагами.
На
первом этапе инвестиционного процесса выбираются
потенциальные виды финансовых активов для включения в основной портфель.
Мною были выбраны 20 предприятий, акции которых находятся в открытой
продаже на Московской Международной Валютной Бирже (ММВБ). Для получения
наибольшей объективности в расчетах берутся предприятия из различных отраслей:
Транснефть, Аэрофлот, Аптечная сеть 36.6, Банк Москвы, Росбанк, Верофарм,
Волгателеком, Сбербанк, Газпром, ГМК Норильский Никель, Татнефть, ГУМ,
Ростелеком, Камаз ,Лебедянский, Лукойл, Магнит, МТС, Новатэк, Роснефть. Данные
о котировках акций за период с 09 января 2009 года по 30 апреля 2010 года
представлены в Приложении А(в расчёт берутся недельные значения за каждую
среду). Данный период включает 68 недель, что даёт наиболее отражение изменения
котировок акций и возможность более точного определения оптимального портфеля
инвестиций.
Второй этап инвестиционного процесса, известный как анализ ценных бумаг,
включает изучение отдельных видов ценных бумаг (или групп бумаг – пакетов
акций). Для данного анализа найдём значение доходности по каждому предприятию
за неделю (Приложение 1), воспользовавшись следующей формулой:
Ri= (Рконечная
-Рначальная)/ Рначальная ( 12 )
где Рначальная - начальная стоимость акции, руб.;
Рконечная - конечная стоимость акции, руб.
Примечание: Под доходностью понимается доход, получаемый
инвестором от курсовой разницы акции, в расчётах не учитываются выплачиваемые
по имеющимся акциям дивиденды.
Используя полученные значения доходностей за каждую неделю, найдём
средне-недельное значение доходности, дисперсию доходности за неделю (риск
акции) и стандартное отклонение котировок акций по каждому предприятию.
Полученные данные представлены в таблице 1.
Таблица 1 – Распределение предприятий по уровню средней
доходности, дисперсии и стандартному отклонению
|
Предприятие
|
Средняя
доходность за неделю
|
Дисперсия
за неделю
|
Стандартное
отклонение за неделю
|
|
Транснефть
|
-0,9%
|
0,31%
|
5,55%
|
|
Аэрофлот
|
0,9%
|
0,23%
|
4,83%
|
|
Аптечная
сеть 36.6
|
-0,54%
|
0,2%
|
4,44%
|
|
Банк
Москвы
|
0,25%
|
0,61%
|
7,84%
|
|
Росбанк
|
0,18%
|
0,1%
|
3,22%
|
|
Верофарм
|
0,67%
|
0,26%
|
5,06%
|
|
Волгателеком
|
-0,39%
|
0,18%
|
4,29%
|
|
Сбербанк
|
-0,01%
|
0,18%
|
4,25%
|
|
Газпром
|
0,18%
|
0,16%
|
3,94%
|
|
ГМК
Норильский Никель
|
0,94%
|
0,25%
|
4,97%
|
|
Татнефть
|
0,6%
|
0,24%
|
4,87%
|
|
ГУМ
|
0,17%
|
0,26%
|
5,09%
|
|
Ростелеком
|
-0,56%
|
0,38%
|
6,18%
|
|
Камаз
|
1,77%
|
0,5%
|
7,04%
|
|
Лебедянский
|
-0,09%
|
0,12%
|
3,48%
|
|
Лукойл
|
0,14%
|
0,18%
|
4,28%
|
|
Магнит
|
0,32%
|
0,21%
|
4,61%
|
|
МТС
|
0,48%
|
0,2%
|
4,46%
|
|
Новатэк
|
0,38%
|
0,2%
|
4,47%
|
|
Роснефть
|
0,11%
|
0,16%
|
4,05%
|
Любой инвестор при выборе оптимального портфеля инвестиций исходит
из критериев максимальной доходности и минимального риска. Эти цели противоречивы, поскольку
чаще всего портфели с высоким ожидаемым доходом имеют также и высокий риск.
В данной работе мы формируем инвестиционный портфель, состоящий из
10 акций. В основе выбора активов в портфель лежит принцип диверсификации.
Сущность диверсификации состоит в формировании инвестиционного портфеля таким
образом, чтобы он при определённых ограничениях удовлетворял заданному
соотношению риск/доходность. Из полученных значений средней доходности выберем
акции тех предприятий, имеющих положительное значение средней доходности.
Следовательно, из дальнейшего анализа исключаются Транснефть, Аптечная сеть
36.6, Волгателеком, Сберабнк, Ростелеком, Лебедянский. Нецелесообразно
инвестору включать в инвестиционный портфель акции с отрицательной доходностью.
Как указывалось ранее для оценки рискованности вложений в ценные
бумаги кроме дисперсии значений доходности и стандартного отклонения
доходности, используется β
– коэффициент, учитывающий систематический риск на фондовом рынке.
Для
нахождения данного коэффициента найдём значения коэффициента корреляции между
котировками акций оставшихся предприятий и индексом ММВБ. Полученные значения
представлены в таблице 2.
Таблица
2 – Значение коэффициента корреляции
|
Предприятие
|
Коэффициент
корреляции
|
|
Аэрофлот
|
0,5476
|
|
Банк
Москвы
|
0,4697
|
|
Росбанк
|
0,3858
|
|
Верофарм
|
0,2637
|
|
Газпром
|
0,8548
|
|
ГМК
Норильский Никель
|
0,7352
|
|
Татнефть
|
0,7922
|
|
ГУМ
|
0,2001
|
|
Камаз
|
0,1445
|
|
Лукойл
|
0,8508
|
|
Магнит
|
0,4298
|
|
МТС
|
0,7853
|
|
Новатэк
|
0,6608
|
|
Роснефть
|
0,8055
|
Исходя из полученных значений коэффициентов, можно увидеть, что
практически все акции предприятий положительно скоррелированы с индексом ММВБ.
Из этого следует, что при общерыночном снижении, ухудшении ситуации на фондовом
рынке, котировки акций данных предприятий будут снижаться, и, наоборот, при
улучшении ситуации, экономическом росте, расти.
Используя
ранее указанную формулу (4) найдем значения β – коэффициента для каждого
предприятия – таблица 3.
Таблица
3
|
Предприятие
|
β
– коэффициент
|
Средняя
доходность за неделю
|
|
Аэрофлот
|
0,7786
|
0,9%
|
|
Банк
Москвы
|
1,0843
|
0,25%
|
|
Росбанк
|
0,3655
|
0,18%
|
|
Верофарм
|
0,3926
|
0,67%
|
|
Газпром
|
0,9921
|
0,18%
|
|
ГМК
Норильский Никель
|
1,0129
|
0,94%
|
|
Татнефть
|
1,1368
|
0,6%
|
|
ГУМ
|
0,2997
|
0,17%
|
|
Камаз
|
0,2998
|
1,77%
|
|
Лукойл
|
1,0724
|
0,14%
|
|
Магнит
|
0,5841
|
0,32%
|
|
МТС
|
1,0308
|
0,48%
|
|
Новатэк
|
0,8698
|
0,38%
|
|
Роснефть
|
0,9607
|
0,11%
|
НА
основе полученных данных выберем предприятия с наибольшей доходностью и с
наименьшим β – коэффициентом. Из дальнейшего расчёта исключим следующие
предприятия: Банк Москвы, Газпром, Лукойл, Роснефть (высокий уровень риска
исходя из β – коэффициента при невысокой доходности по сравнению с другими
предприятиями). Повторюсь, что при более точном расчёте инвестору необходимо
также учитывать дивиденды, выплачиваемые акционерам, поэтому данные предприятия
с высокой долей вероятности вошли в окончательный инвестиционный портфель.
Следовательно
в окончательный инвестиционный портфель могут войти следующие предприятия: Аэрофлот, Росбанк, Верофарм, ГМК Норильский Никель,
Татнефть, ГУМ, Камаз , Магнит, МТС, Новатэк.
Для
нахождения эффективной границы портфеля далее по формуле (5) вычислим
ковариацию между доходностями. Полученные данные представим в виде
ковариационной матрицы – таблица 4
Таблица
4
|
Аэрофлот
|
РОСБАНК
|
Верофарм
|
ГМК Норильский Никель
|
ГУМ
|
Камаз
|
Магнит
|
МТС
|
Новатэк
|
|
Аэрофлот
|
0,0023
|
0,0003
|
0,0011
|
0,0012
|
0,0009
|
0,0002
|
0,0006
|
0,0005
|
0,0013
|
0,0005
|
|
РОСБАНК
|
0,0003
|
0,0010
|
0,0001
|
0,0007
|
0,0005
|
0,0004
|
0,0002
|
0,0007
|
0,0005
|
0,0004
|
|
Верофарм
|
0,0011
|
0,0001
|
0,0026
|
0,0003
|
0,0006
|
-0,0002
|
0,0008
|
0,0005
|
0,0005
|
0,0006
|
|
ГМК
Норильский Никель
|
0,0012
|
0,0007
|
0,0003
|
0,0025
|
0,0014
|
0,0004
|
0,0003
|
0,0007
|
0,0014
|
0,0008
|
|
Татнефть
|
0,0009
|
0,0005
|
0,0006
|
0,0014
|
0,0024
|
0,0003
|
0,0003
|
0,0008
|
0,0013
|
0,0014
|
|
ГУМ
|
0,0002
|
0,0004
|
-0,0002
|
0,0004
|
0,0003
|
0,0026
|
0,0009
|
0,0006
|
0,0004
|
0,0002
|
|
Камаз
|
0,0006
|
0,0002
|
0,0008
|
0,0003
|
0,0003
|
0,0009
|
0,0050
|
0,0006
|
0,0003
|
0,0003
|
|
Магнит
|
0,0005
|
0,0007
|
0,0005
|
0,0007
|
0,0008
|
0,0006
|
0,0006
|
0,0021
|
0,0007
|
0,0006
|
|
МТС
|
0,0013
|
0,0005
|
0,0005
|
0,0014
|
0,0013
|
0,0004
|
0,0003
|
0,0007
|
0,0020
|
0,0009
|
|
Новатэк
|
0,0005
|
0,0004
|
0,0006
|
0,0008
|
0,0014
|
0,0002
|
0,0003
|
0,0006
|
0,0009
|
0,0020
|
Чтобы
построить эффективную границу разделим расчет на два этапа. В начале найдем два
портфеля (х и у) на огибающей реализуемого множества, а затем построим
эффективную границу.
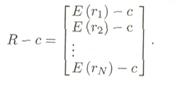
Поиск
двух портфелей на огибающей
Согласно
теореме 2 [Приложение Б], для нахождения всей
эффективной границы необходимо найти два эффективных портфеля. По теореме 1 [Приложение В] для этого нужно решить систему (13):
R - с = Sz (13)
где R – средний доход;
c - константа;
относительно
z для двух различных значений с. Для
каждого из c путем решения системы находим вектор
z, а затем для нахождения
эффективного портфеля принимаем xi=zi/∑zh.
Значения
с, для которых следует решить систему, могут выбираться более-менее
произвольно. Будем учитывать, что с = 0,0025
Используя
указанные теоремы и пакетные средства Microsoft Excel
я построила график эффективной границы инвестиционного портфеля в зависимости
от среднего дохода и среднего отклонения портфеля – рисунок 3. Описание
построения графика эффективной границы в Microsoft Excel - Приложение Г.
Рисунок
3 – график средних значений и стандартных отклонений инвестиционного портфеля,
эффективная граница.
Заключительным
этапом моделирования инвестиционного портфеля является нахождение долей акций,
составляющих этот портфель. Для этого воспользуемся функцией «Поиск решения» в Microsoft Excel.
Необходимо
минимизировать дисперсию дохода инвестиционного портфеля σ2p при условии, что ожидаемы доход
составит не менее 0,35%. Данное значение было получено при построении графика
эффективной границы.
Будем
также исходить из предположения, что доля каждой из акций не должна превышать 25%
в инвестиционном портфеле (данное ограничение устанавливается инвестором,
исходя из собственных соображений, чем меньше значение, тем меньший уровень
риска приходится на одну акцию). В нашем же случае при наличии сильной
скоррелированности между котировками акций изучаемых предприятий можно выбрать
любое значение данного ограничения. Особое значение данного ограничения
проявляется при учёте дивидендов с каждой акции при расчёте средней доходности.
Указав
обозначенные ограничения, я получила следующее оптимальное решение – таблица 5.
|
Аэрофлот
|
РОСБАНК
|
Верофарм
|
ГМК Норильский Никель
|
Татнефть
|
ГУМ
|
Камаз
|
Магнит
|
МТС
|
Новатэк
|
|
|
Средний доход
|
0,90%
|
0,18%
|
0,67%
|
0,94%
|
0,60%
|
0,17%
|
1,77%
|
0,32%
|
0,0048
|
0,0038
|
Всего
|
|
Решения
|
4,77%
|
25,00%
|
18,50%
|
1,38%
|
0,00%
|
18,77%
|
4,23%
|
4,26%
|
8,59%
|
14,51%
|
100,00%
|
|
Ограничения
|
25,00%
|
25,00%
|
25,00%
|
25,00%
|
25,00%
|
25,00%
|
25,00%
|
25,00%
|
25,00%
|
25,00%
|
100,00%
|
|
Ожидаемый доход
|
0,0428%
|
0,0450%
|
0,1246%
|
0,0129%
|
0,0000%
|
0,0326%
|
0,0748%
|
0,0135%
|
0,0416%
|
0,0557%
|
0,4434%
|
Как
видно из таблицы, решение предусматривает, что примерно 4,77% портфеля будут
составлять акции Аэрофлота, 25% - акции РОСБАНКа, 18,5% - акции Верофарма,
1,38%- акции ГМК Норильский Никель, 18,77% - акции ГУМ, 4,23% - акции Камаз,
4,26% - акции Магнит, 8,59% - акции МТС, 14,51% - акции Новатэк. Ожидаемый
доход будет равен 0,4434% в неделю. Оптимальное значение целевой функции показывает,
что дисперсия недельного дохода инвестиционного портфеля составляет примерно
0,000645, таким образом, стандартное отклонение равно 2,54%. Если считать, что
данная модель правильна, и предположить, что доход инвестиционного портфеля
является нормально распределенной величиной со средним значением 0,4434% и
стандартным отклонением 2,54%, то согласно теории вероятностей с достаточной
уверенностью (доверительный уровень 95%) можно ожидать, что данный портфель в
следующие недели будет давать доход от -4,6371% до +5,5239% (т.е. 0,4434% ±2x2,54%).
Приложение
А
Значение котировок акций
20 предприятий за период с 10.01.2009 по 30.04.2009(каждая среда)
|
Транснефть
|
Аэрофлот
|
Аптечная сеть 36.6
|
Банк Москвы
|
РОСБАНК
|
|
неделя
|
Курс
|
Доход
|
неделя
|
Курс
|
Доход
|
неделя
|
Курс
|
Доход
|
неделя
|
Курс
|
Доход
|
неделя
|
Курс
|
Доход
|
|
10.01.2009
|
58715
|
|
1
|
59,85
|
|
1
|
1498,99
|
|
1
|
1234
|
|
1
|
175
|
|
|
17.01.2009
|
57999,99
|
-1,22%
|
2
|
63,35
|
5,85%
|
2
|
1530
|
2,07%
|
2
|
1849,5
|
49,88%
|
2
|
194
|
10,86%
|
|
24.01.2009
|
61400
|
5,86%
|
3
|
74,8
|
18,07%
|
3
|
1575,99
|
3,01%
|
3
|
1748
|
-5,49%
|
3
|
189,99
|
-2,07%
|
|
31.01.2009
|
62700
|
2,12%
|
4
|
74,55
|
-0,33%
|
4
|
1590
|
0,89%
|
4
|
1698,95
|
-2,81%
|
4
|
174,76
|
-8,02%
|
|
07.02.2009
|
65700
|
4,78%
|
5
|
71,3
|
-4,36%
|
5
|
1579
|
-0,69%
|
5
|
1625
|
-4,35%
|
5
|
183
|
4,72%
|
|
14.02.2009
|
62800
|
-4,41%
|
6
|
71,9
|
0,84%
|
6
|
1554,79
|
-1,53%
|
6
|
1598
|
-1,66%
|
6
|
180
|
-1,64%
|
|
21.02.2009
|
60400
|
-3,82%
|
7
|
72
|
0,14%
|
7
|
1679,91
|
8,05%
|
7
|
1655
|
3,57%
|
7
|
177
|
-1,67%
|
|
28.02.2009
|
57500
|
-4,80%
|
8
|
69,5
|
-3,47%
|
8
|
1621
|
-3,51%
|
8
|
1586
|
-4,17%
|
8
|
168
|
-5,08%
|
|
07.03.2009
|
54200
|
-5,74%
|
9
|
70,77
|
1,83%
|
9
|
1613,88
|
-0,44%
|
9
|
1411
|
-11,03%
|
9
|
159,45
|
-5,09%
|
|
14.03.2009
|
53000
|
-2,21%
|
10
|
76,5
|
8,10%
|
10
|
0,38%
|
10
|
1420
|
0,64%
|
10
|
160
|
0,34%
|
|
21.03.2009
|
53377
|
0,71%
|
11
|
78,29
|
2,34%
|
11
|
1665
|
2,78%
|
11
|
1471
|
3,59%
|
11
|
172,4
|
7,75%
|
|
28.03.2009
|
54600
|
2,29%
|
12
|
73,98
|
-5,51%
|
12
|
1745
|
4,80%
|
12
|
1434,47
|
-2,48%
|
12
|
168,55
|
-2,23%
|
|
04.04.2009
|
53130
|
-2,69%
|
13
|
75,8
|
2,46%
|
13
|
1777
|
1,83%
|
13
|
1396
|
-2,68%
|
13
|
165,95
|
-1,54%
|
|
11.04.2009
|
52185
|
-1,78%
|
14
|
77,5
|
2,24%
|
14
|
1810
|
1,86%
|
14
|
1700
|
21,78%
|
14
|
174,17
|
4,95%
|
|
18.04.2009
|
55280
|
5,93%
|
15
|
77,33
|
-0,22%
|
15
|
1965
|
8,56%
|
15
|
1630
|
-4,12%
|
15
|
171,35
|
-1,62%
|
|
25.04.2009
|
51270
|
-7,25%
|
16
|
75,6
|
-2,24%
|
16
|
2090
|
6,36%
|
16
|
1672,99
|
2,64%
|
16
|
170,5
|
-0,50%
|
|
02.05.2009
|
49400
|
-3,65%
|
17
|
74
|
-2,12%
|
17
|
2160
|
3,35%
|
17
|
1579
|
-5,62%
|
17
|
177,14
|
3,89%
|
|
10.05.2009
|
47299
|
-4,25%
|
18
|
72
|
-2,70%
|
18
|
2330,01
|
7,87%
|
18
|
1599
|
1,27%
|
18
|
178,49
|
0,76%
|
|
16.05.2009
|
46000
|
-2,75%
|
19
|
69,5
|
-3,47%
|
19
|
2379
|
2,10%
|
19
|
1573,75
|
-1,58%
|
19
|
176,11
|
-1,33%
|
|
23.05.2009
|
44530
|
-3,20%
|
20
|
69
|
-0,72%
|
20
|
2346
|
-1,39%
|
20
|
1502
|
-4,56%
|
20
|
176,6
|
0,28%
|
|
30.05.2009
|
38500
|
-13,54%
|
21
|
62,06
|
-10,06%
|
21
|
2265
|
-3,45%
|
21
|
1415
|
-5,79%
|
21
|
170
|
-3,74%
|
|
06.06.2009
|
37810,15
|
-1,79%
|
22
|
64,1
|
3,29%
|
22
|
2484
|
9,67%
|
22
|
1490
|
5,30%
|
22
|
171,01
|
0,59%
|
|
13.06.2009
|
37000
|
-2,14%
|
23
|
64,2
|
0,16%
|
23
|
2454,55
|
-1,19%
|
23
|
1479,52
|
-0,70%
|
23
|
171
|
-0,01%
|
|
20.06.2009
|
43651
|
17,98%
|
24
|
72,82
|
13,43%
|
24
|
2438
|
-0,67%
|
24
|
1524,45
|
3,04%
|
24
|
175,47
|
2,61%
|
|
27.06.2009
|
42161,64
|
-3,41%
|
25
|
74,09
|
1,74%
|
25
|
2338
|
-4,10%
|
25
|
1525
|
0,04%
|
25
|
187,88
|
7,07%
|
|
04.07.2009
|
42780,02
|
1,47%
|
26
|
74,5
|
0,55%
|
26
|
2301
|
-1,58%
|
26
|
1496
|
-1,90%
|
26
|
195,6
|
4,11%
|
|
11.07.2009
|
42110
|
-1,57%
|
27
|
76,9
|
3,22%
|
27
|
2268
|
-1,43%
|
27
|
1503
|
0,47%
|
27
|
190,95
|
-2,38%
|
|
18.07.2009
|
44500
|
5,68%
|
28
|
75,1
|
-2,34%
|
28
|
2198
|
-3,09%
|
28
|
1484
|
-1,26%
|
28
|
187,99
|
-1,55%
|
|
25.07.2009
|
47150
|
5,96%
|
29
|
73,25
|
-2,46%
|
29
|
2230
|
1,46%
|
29
|
1469,9
|
-0,95%
|
29
|
188
|
0,01%
|
|
01.08.2009
|
45992,2
|
-2,46%
|
30
|
68,01
|
-7,15%
|
30
|
2046
|
-8,25%
|
30
|
1399,99
|
-4,76%
|
30
|
188,63
|
0,34%
|
|
08.08.2009
|
46598,99
|
1,32%
|
31
|
73,44
|
7,98%
|
31
|
2155
|
5,33%
|
31
|
1372,9
|
-1,94%
|
31
|
188,75
|
0,06%
|
|
15.08.2009
|
43000
|
-7,72%
|
32
|
70,5
|
-4,00%
|
32
|
2101
|
-2,51%
|
32
|
1318
|
-4,00%
|
32
|
176,2
|
-6,65%
|
|
22.08.2009
|
40610
|
-5,56%
|
33
|
71
|
0,71%
|
33
|
2040
|
-2,90%
|
33
|
1300
|
-1,37%
|
33
|
-2,38%
|
|
29.08.2009
|
38399,99
|
-5,44%
|
34
|
69,07
|
-2,72%
|
34
|
2050
|
0,49%
|
34
|
1255
|
-3,46%
|
34
|
176,75
|
2,76%
|
|
05.09.2009
|
40300
|
4,95%
|
35
|
70
|
1,35%
|
35
|
2020
|
-1,46%
|
35
|
1229,99
|
-1,99%
|
35
|
179
|
1,27%
|
|
12.09.2009
|
40995
|
1,72%
|
36
|
70,7
|
1,00%
|
36
|
1911
|
-5,40%
|
36
|
1160
|
-5,69%
|
36
|
173
|
-3,35%
|
|
19.09.2009
|
42500
|
3,67%
|
37
|
76,49
|
8,19%
|
37
|
1915
|
0,21%
|
37
|
1190,27
|
2,61%
|
37
|
169,8
|
-1,85%
|
|
26.09.2009
|
44500
|
4,71%
|
38
|
77,97
|
1,93%
|
38
|
1830
|
-4,44%
|
38
|
1200
|
0,82%
|
38
|
172,5
|
1,59%
|
|
03.10.2009
|
45749,99
|
2,81%
|
39
|
77,48
|
-0,63%
|
39
|
1895
|
3,55%
|
39
|
1197
|
-0,25%
|
39
|
180
|
4,35%
|
|
10.10.2009
|
46500
|
1,64%
|
40
|
76,2
|
-1,65%
|
40
|
1869
|
-1,37%
|
40
|
1224,92
|
2,33%
|
40
|
178,7
|
-0,72%
|
|
17.10.2009
|
44800
|
-3,66%
|
41
|
84,19
|
10,49%
|
41
|
1963,15
|
5,04%
|
41
|
1294,99
|
5,72%
|
41
|
182
|
1,85%
|
|
24.10.2009
|
42920,05
|
-4,20%
|
42
|
82,24
|
-2,32%
|
42
|
1870,12
|
-4,74%
|
42
|
1305
|
0,77%
|
42
|
182,35
|
0,19%
|
|
31.10.2009
|
48049,99
|
11,95%
|
43
|
85,17
|
3,56%
|
43
|
1883
|
0,69%
|
43
|
1410
|
8,05%
|
43
|
187,07
|
2,59%
|
|
07.11.2009
|
50800
|
5,72%
|
44
|
85,75
|
0,68%
|
44
|
1875,1
|
-0,42%
|
44
|
1410,9
|
0,06%
|
44
|
184
|
-1,64%
|
|
14.11.2009
|
49415
|
-2,73%
|
45
|
86,77
|
1,19%
|
45
|
1900
|
1,33%
|
45
|
1400
|
-0,77%
|
45
|
179,5
|
-2,45%
|
|
21.11.2009
|
46100
|
-6,71%
|
46
|
87
|
0,27%
|
46
|
1830,99
|
-3,63%
|
46
|
1370
|
-2,14%
|
46
|
173,9
|
-3,12%
|
|
28.11.2009
|
45500,02
|
-1,30%
|
47
|
87,02
|
0,02%
|
47
|
1800
|
-1,69%
|
47
|
1379,99
|
0,73%
|
47
|
173,4
|
-0,29%
|
|
05.12.2009
|
47546,96
|
4,50%
|
48
|
86,91
|
-0,13%
|
48
|
1670,02
|
-7,22%
|
48
|
1404
|
1,74%
|
48
|
181,3
|
4,56%
|
|
12.12.2009
|
51680
|
8,69%
|
49
|
88,1
|
1,37%
|
49
|
1849,97
|
10,78%
|
49
|
1440
|
2,56%
|
49
|
177,94
|
-1,85%
|
|
19.12.2009
|
49450
|
-4,32%
|
50
|
86,5
|
-1,82%
|
50
|
1819
|
-1,67%
|
50
|
1420
|
-1,39%
|
50
|
173,9
|
-2,27%
|
|
26.12.2009
|
49411,01
|
-0,08%
|
51
|
91,79
|
6,12%
|
51
|
1759
|
-3,30%
|
51
|
1369
|
-3,59%
|
51
|
180
|
3,51%
|
|
09.01.2010
|
49060
|
-0,71%
|
52
|
94,12
|
2,54%
|
52
|
1779
|
1,14%
|
52
|
1358
|
-0,80%
|
52
|
177,02
|
-1,66%
|
|
16.01.2010
|
47700,01
|
-2,77%
|
53
|
96,55
|
2,58%
|
53
|
1705
|
-4,16%
|
53
|
1305,99
|
-3,83%
|
53
|
177
|
-0,01%
|
|
23.01.2010
|
40101
|
-15,93%
|
54
|
86
|
-10,93%
|
54
|
1509
|
-11,50%
|
54
|
1050
|
-19,60%
|
54
|
170
|
-3,95%
|
|
30.01.2010
|
40950
|
2,12%
|
55
|
90,87
|
5,66%
|
55
|
1505
|
-0,27%
|
55
|
1144
|
8,95%
|
55
|
169,99
|
-0,01%
|
|
06.02.2010
|
41502
|
1,35%
|
56
|
99,4
|
9,39%
|
56
|
1445
|
-3,99%
|
56
|
1209
|
5,68%
|
56
|
171,5
|
0,89%
|
|
13.02.2010
|
41800
|
0,72%
|
57
|
6,84%
|
57
|
1440
|
-0,35%
|
57
|
1224,34
|
1,27%
|
57
|
172,5
|
0,58%
|
|
20.02.2010
|
38400
|
-8,13%
|
58
|
108
|
1,69%
|
58
|
1418
|
-1,53%
|
58
|
1195,49
|
-2,36%
|
58
|
181,5
|
5,22%
|
|
27.02.2010
|
35850
|
-6,64%
|
59
|
107
|
-0,93%
|
59
|
1388
|
-2,12%
|
59
|
1199
|
0,29%
|
59
|
182,5
|
0,55%
|
|
05.03.2010
|
31301
|
-12,69%
|
60
|
105,5
|
-1,40%
|
60
|
1340
|
-3,46%
|
60
|
1222,5
|
1,96%
|
60
|
187
|
2,47%
|
|
12.03.2010
|
33389
|
6,67%
|
61
|
105,49
|
-0,01%
|
61
|
1320
|
-1,49%
|
61
|
1222
|
-0,04%
|
61
|
187,5
|
0,27%
|
|
19.03.2010
|
32489,99
|
-2,69%
|
62
|
98,54
|
-6,59%
|
62
|
1245
|
-5,68%
|
62
|
1220
|
-0,16%
|
62
|
186,75
|
-0,40%
|
|
26.03.2010
|
32355,02
|
-0,42%
|
63
|
96,49
|
-2,08%
|
63
|
1234,98
|
-0,80%
|
63
|
1210
|
-0,82%
|
63
|
188
|
0,67%
|
|
02.04.2010
|
32805
|
1,39%
|
64
|
100,7
|
4,36%
|
64
|
1254,99
|
1,62%
|
64
|
1230,96
|
1,73%
|
64
|
188,91
|
0,48%
|
|
09.04.2010
|
31700
|
-3,37%
|
65
|
100,76
|
0,06%
|
65
|
1092
|
-12,99%
|
65
|
1225
|
-0,48%
|
65
|
190
|
0,58%
|
|
16.04.2010
|
30398
|
-4,11%
|
66
|
100,6
|
-0,16%
|
66
|
1055
|
-3,39%
|
66
|
1229,9
|
0,40%
|
66
|
189,4
|
-0,32%
|
|
23.04.2010
|
29680
|
-2,36%
|
67
|
101
|
0,40%
|
67
|
982
|
-6,92%
|
67
|
1218,25
|
-0,95%
|
67
|
190,2
|
0,42%
|
|
30.04.2010
|
28914,01
|
-2,58%
|
68
|
101
|
0,00%
|
68
|
977,12
|
-0,50%
|
68
|
1221,1
|
0,23%
|
68
|
190,75
|
0,29%
|
Продолжение
А
|
Верофарм
|
Волгателеком
|
Сбербанк
|
Газпром
|
ГМК Норильский Никель
|
|
неделя
|
Курс
|
Доход
|
неделя
|
Курс
|
Доход
|
неделя
|
Курс
|
Доход
|
неделя
|
Курс
|
Доход
|
неделя
|
Курс
|
Доход
|
|
10.01.2009
|
900
|
|
1
|
148
|
|
1
|
82,59999
|
|
1
|
291,77
|
|
1
|
3722,94
|
|
|
17.01.2009
|
901
|
0,11%
|
2
|
157
|
6,08%
|
2
|
92,4
|
11,86%
|
2
|
279,19
|
-4,31%
|
2
|
4065,01
|
9,19%
|
|
24.01.2009
|
973,5
|
8,05%
|
3
|
167,78
|
6,87%
|
3
|
91,35
|
-1,14%
|
3
|
287,59
|
3,01%
|
3
|
4369,99
|
7,50%
|
|
31.01.2009
|
1020
|
4,78%
|
4
|
168,3
|
0,31%
|
4
|
87,37999
|
-4,35%
|
4
|
285
|
-0,90%
|
4
|
4399,99
|
0,69%
|
|
07.02.2009
|
950
|
-6,86%
|
5
|
161,97
|
-3,76%
|
5
|
90,9
|
4,03%
|
5
|
286,39
|
0,49%
|
5
|
4807,99
|
9,27%
|
|
14.02.2009
|
1035
|
8,95%
|
6
|
170
|
4,96%
|
6
|
91,91
|
1,11%
|
6
|
281,87
|
-1,58%
|
6
|
4705
|
-2,14%
|
|
21.02.2009
|
970
|
-6,28%
|
7
|
164,49
|
-3,24%
|
7
|
92,8
|
0,97%
|
7
|
280,2
|
-0,59%
|
7
|
4790
|
1,81%
|
|
28.02.2009
|
950
|
-2,06%
|
8
|
155,99
|
-5,17%
|
8
|
96,705
|
4,21%
|
8
|
267,42
|
-4,56%
|
8
|
4648
|
-2,96%
|
|
07.03.2009
|
965
|
1,58%
|
9
|
154,3
|
-1,08%
|
9
|
91,3
|
-5,59%
|
9
|
254,09
|
-4,98%
|
9
|
4315
|
-7,16%
|
|
14.03.2009
|
985
|
2,07%
|
10
|
154
|
-0,19%
|
10
|
90
|
-1,42%
|
10
|
253,8
|
-0,11%
|
10
|
4365
|
1,16%
|
|
21.03.2009
|
1020
|
3,55%
|
11
|
157,5
|
2,27%
|
11
|
90,28
|
0,31%
|
253,12
|
-0,27%
|
11
|
4680
|
7,22%
|
|
28.03.2009
|
1059
|
3,82%
|
12
|
159,81
|
1,47%
|
12
|
92,599
|
2,57%
|
12
|
271,97
|
7,45%
|
12
|
4790
|
2,35%
|
|
04.04.2009
|
1070,1
|
1,05%
|
13
|
160,49
|
0,43%
|
13
|
93,2
|
0,65%
|
13
|
268,6
|
-1,24%
|
13
|
5045,93
|
5,34%
|
|
11.04.2009
|
1050
|
-1,88%
|
14
|
165,1
|
2,87%
|
14
|
100,36
|
7,68%
|
14
|
273,81
|
1,94%
|
14
|
5315,01
|
5,33%
|
|
18.04.2009
|
1290
|
22,86%
|
15
|
167
|
1,15%
|
15
|
100,49998
|
0,14%
|
15
|
257,6
|
-5,92%
|
15
|
5110
|
-3,86%
|
|
25.04.2009
|
1200
|
-6,98%
|
16
|
165
|
-1,20%
|
16
|
102,627
|
2,12%
|
16
|
260,25
|
1,03%
|
16
|
5145
|
0,68%
|
|
02.05.2009
|
1200
|
0,00%
|
17
|
162,2
|
-1,70%
|
17
|
102,8
|
0,17%
|
17
|
254,7
|
-2,13%
|
17
|
4930
|
-4,18%
|
|
10.05.2009
|
1202
|
0,17%
|
18
|
161,66
|
-0,33%
|
18
|
103,001
|
0,20%
|
18
|
247,7
|
-2,75%
|
18
|
5078
|
3,00%
|
|
16.05.2009
|
1070,05
|
-10,98%
|
19
|
158,98
|
-1,66%
|
19
|
98,14495
|
-4,71%
|
19
|
245,8
|
-0,77%
|
19
|
5030
|
-0,95%
|
|
23.05.2009
|
1068
|
-0,19%
|
20
|
156
|
-1,87%
|
20
|
93,4
|
-4,83%
|
20
|
241,6
|
-1,71%
|
20
|
4805,9
|
-4,46%
|
|
30.05.2009
|
975
|
-8,71%
|
21
|
144
|
-7,69%
|
21
|
87,9
|
-5,89%
|
21
|
227,99
|
-5,63%
|
21
|
4553
|
-5,26%
|
|
06.06.2009
|
982
|
0,72%
|
22
|
140,99
|
-2,09%
|
22
|
96,40102
|
9,67%
|
22
|
244
|
7,02%
|
22
|
5108,9
|
12,21%
|
|
13.06.2009
|
1000
|
1,83%
|
23
|
137,8
|
-2,26%
|
23
|
95,662
|
-0,77%
|
23
|
246,64
|
1,08%
|
23
|
5063
|
-0,90%
|
|
20.06.2009
|
1080
|
8,00%
|
24
|
136
|
-1,31%
|
24
|
100,85
|
5,42%
|
24
|
268,24
|
8,76%
|
24
|
5302
|
4,72%
|
|
27.06.2009
|
1095
|
1,39%
|
25
|
132
|
-2,94%
|
25
|
98,968
|
-1,87%
|
25
|
260,34
|
-2,95%
|
25
|
5326,87
|
0,47%
|
|
04.07.2009
|
1082
|
-1,19%
|
26
|
142
|
7,58%
|
26
|
100,401
|
1,45%
|
26
|
270,45
|
3,88%
|
26
|
5598,52
|
5,10%
|
|
11.07.2009
|
1084,77
|
0,26%
|
27
|
141,1
|
-0,63%
|
27
|
104,14995
|
3,73%
|
27
|
276,3
|
2,16%
|
27
|
5427
|
-3,06%
|
|
18.07.2009
|
1080
|
-0,44%
|
28
|
135
|
-4,32%
|
28
|
107
|
2,74%
|
28
|
286,4
|
3,66%
|
28
|
5375,43
|
-0,95%
|
|
25.07.2009
|
1067
|
-1,20%
|
29
|
132,24
|
-2,04%
|
29
|
109,63
|
2,46%
|
29
|
283,5
|
-1,01%
|
29
|
5713
|
6,28%
|
|
01.08.2009
|
1089
|
2,06%
|
30
|
129
|
-2,45%
|
30
|
101,59
|
-7,33%
|
30
|
269,95
|
-4,78%
|
30
|
5550
|
-2,85%
|
|
08.08.2009
|
1210
|
11,11%
|
31
|
131
|
1,55%
|
31
|
102,8
|
1,19%
|
31
|
280,03
|
3,73%
|
31
|
5500
|
-0,90%
|
|
15.08.2009
|
1200
|
-0,83%
|
32
|
129
|
-1,53%
|
32
|
94,5
|
-8,07%
|
32
|
263,75
|
-5,81%
|
32
|
5279
|
-4,02%
|
|
22.08.2009
|
1140
|
-5,00%
|
33
|
124,99
|
-3,11%
|
33
|
93,6
|
-0,95%
|
33
|
263,56
|
-0,07%
|
33
|
5335,91
|
1,08%
|
|
29.08.2009
|
1151
|
0,96%
|
34
|
119,55
|
-4,35%
|
34
|
93,94
|
0,36%
|
34
|
261,58
|
-0,75%
|
34
|
5517,99
|
3,41%
|
1145
|
-0,52%
|
35
|
119,2
|
-0,29%
|
35
|
95
|
1,13%
|
35
|
262
|
0,16%
|
35
|
5603
|
1,54%
|
|
12.09.2009
|
1135
|
-0,87%
|
36
|
117,74
|
-1,22%
|
36
|
94,2
|
-0,84%
|
36
|
262,01
|
0,00%
|
36
|
5619,64
|
0,30%
|
|
19.09.2009
|
1100
|
-3,08%
|
37
|
118,01
|
0,23%
|
37
|
103,77
|
10,16%
|
37
|
276,54
|
5,55%
|
37
|
6076,8
|
8,14%
|
|
26.09.2009
|
1080
|
-1,82%
|
38
|
119,49
|
1,25%
|
38
|
100,89
|
-2,78%
|
38
|
273,55
|
-1,08%
|
38
|
6447
|
6,09%
|
|
03.10.2009
|
1072
|
-0,74%
|
39
|
133,61
|
11,82%
|
39
|
103,31
|
2,40%
|
39
|
280,3
|
2,47%
|
39
|
6725,55
|
4,32%
|
|
10.10.2009
|
1074
|
0,19%
|
40
|
138,5
|
3,66%
|
40
|
105,73
|
2,34%
|
40
|
292
|
4,17%
|
40
|
6839,9
|
1,70%
|
|
17.10.2009
|
1080
|
0,56%
|
41
|
143,4
|
3,54%
|
41
|
108,44
|
2,56%
|
41
|
293,2
|
0,41%
|
41
|
6800,01
|
-0,58%
|
|
24.10.2009
|
1098
|
1,67%
|
42
|
135,49
|
-5,52%
|
42
|
105,6
|
-2,62%
|
42
|
284,19
|
-3,07%
|
42
|
6827
|
0,40%
|
|
31.10.2009
|
1175
|
7,01%
|
43
|
140,11
|
3,41%
|
43
|
106,48
|
0,83%
|
43
|
306,68
|
7,91%
|
43
|
7270
|
6,49%
|
|
07.11.2009
|
1190
|
1,28%
|
44
|
147,4
|
5,20%
|
44
|
106,58
|
0,09%
|
44
|
317,61
|
3,56%
|
44
|
7410
|
1,93%
|
|
14.11.2009
|
1185
|
-0,42%
|
45
|
155,47
|
5,47%
|
45
|
105,41
|
-1,10%
|
45
|
320,7
|
0,97%
|
45
|
7498
|
1,19%
|
|
21.11.2009
|
1198
|
1,10%
|
46
|
146,25
|
-5,93%
|
46
|
99,3
|
-5,80%
|
46
|
306,5
|
-4,43%
|
46
|
6905
|
-7,91%
|
|
28.11.2009
|
1201,5
|
0,29%
|
47
|
142,48
|
-2,58%
|
47
|
101,14
|
1,85%
|
47
|
311,43
|
1,61%
|
47
|
6936
|
0,45%
|
|
05.12.2009
|
1220
|
1,54%
|
48
|
142,3
|
-0,13%
|
48
|
104,28
|
3,10%
|
48
|
345,1
|
10,81%
|
48
|
6760,2
|
-2,53%
|
|
12.12.2009
|
1290
|
5,74%
|
49
|
143,6
|
0,91%
|
49
|
108,45
|
4,00%
|
49
|
357,2
|
3,51%
|
49
|
6645
|
-1,70%
|
|
19.12.2009
|
1282
|
-0,62%
|
50
|
141,6
|
-1,39%
|
50
|
105,52
|
-2,70%
|
50
|
345,06
|
-3,40%
|
50
|
6421
|
-3,37%
|
|
26.12.2009
|
1280
|
-0,16%
|
51
|
142,7
|
0,78%
|
51
|
103,62
|
-1,80%
|
51
|
347,64
|
0,75%
|
51
|
6472,01
|
0,79%
|
|
09.01.2010
|
1260,61
|
-1,51%
|
52
|
143,76
|
0,74%
|
52
|
101,85
|
-1,71%
|
52
|
352,69
|
1,45%
|
52
|
6420,01
|
-0,80%
|
|
16.01.2010
|
1300
|
3,12%
|
53
|
137,37
|
-4,44%
|
53
|
101,8
|
-0,05%
|
53
|
342,45
|
-2,90%
|
53
|
6199
|
-3,44%
|
|
23.01.2010
|
1155
|
-11,15%
|
54
|
113
|
-17,74%
|
54
|
90,5
|
-11,10%
|
54
|
296
|
-13,56%
|
54
|
5296,02
|
-14,57%
|
|
30.01.2010
|
1169
|
1,21%
|
55
|
110,5
|
-2,21%
|
55
|
91,99
|
1,65%
|
55
|
305,95
|
3,36%
|
55
|
5830
|
10,08%
|
|
06.02.2010
|
1189
|
1,71%
|
56
|
107,4
|
-2,81%
|
56
|
88,2
|
-4,12%
|
56
|
297,7
|
-2,70%
|
56
|
6570
|
12,69%
|
|
13.02.2010
|
1349,87
|
13,53%
|
57
|
105,6
|
-1,68%
|
57
|
85,45
|
-3,12%
|
57
|
307,81
|
3,40%
|
57
|
7071
|
7,63%
|
|
20.02.2010
|
1339,99
|
-0,73%
|
58
|
98
|
-7,20%
|
83,09
|
-2,76%
|
58
|
313,3
|
1,78%
|
58
|
7185
|
1,61%
|
|
27.02.2010
|
1326,26
|
-1,02%
|
59
|
99,22
|
1,24%
|
59
|
83,78
|
0,83%
|
59
|
314,47
|
0,37%
|
59
|
7215
|
0,42%
|
|
05.03.2010
|
1360
|
2,54%
|
60
|
99,45
|
0,23%
|
60
|
78,32
|
-6,52%
|
60
|
315,44
|
0,31%
|
60
|
7199
|
-0,22%
|
|
12.03.2010
|
1365
|
0,37%
|
61
|
98,93
|
-0,52%
|
61
|
78,5
|
0,23%
|
61
|
310,1
|
-1,69%
|
61
|
7017
|
-2,53%
|
|
19.03.2010
|
1350
|
-1,10%
|
62
|
104,2
|
5,33%
|
62
|
74,5
|
-5,10%
|
62
|
294,77
|
-4,94%
|
62
|
6571,25
|
-6,35%
|
|
26.03.2010
|
1340
|
-0,74%
|
63
|
107,5
|
3,17%
|
63
|
72,98
|
-2,04%
|
63
|
292,64
|
-0,72%
|
63
|
6502
|
-1,05%
|
|
02.04.2010
|
1315
|
-1,87%
|
64
|
116,67
|
8,53%
|
64
|
78,75
|
7,91%
|
64
|
300,49
|
2,68%
|
64
|
6596
|
1,45%
|
|
09.04.2010
|
1319
|
0,30%
|
65
|
114,2
|
-2,12%
|
65
|
78,55
|
-0,25%
|
65
|
308,91
|
2,80%
|
65
|
6982,1
|
5,85%
|
|
16.04.2010
|
1309
|
-0,76%
|
66
|
114,49
|
0,25%
|
66
|
75
|
-4,52%
|
66
|
314,53
|
1,82%
|
66
|
6881,54
|
-1,44%
|
|
23.04.2010
|
1280
|
-2,22%
|
67
|
110,9
|
-3,14%
|
67
|
74,19
|
-1,08%
|
67
|
315,5
|
0,31%
|
67
|
6794
|
-1,27%
|
|
30.04.2010
|
1300
|
1,56%
|
68
|
106,57
|
-3,90%
|
68
|
77,1
|
3,92%
|
68
|
312,49
|
-0,95%
|
68
|
6408
|
-5,68%
|
Продолжение
А
|
Татнефть
|
ГУМ
|
Ростелеком, ап
|
Камаз
|
Лебедянский
|
|
неделя
|
Курс
|
Доход
|
неделя
|
Курс
|
Доход
|
неделя
|
Курс
|
Доход
|
неделя
|
Курс
|
Доход
|
неделя
|
Курс
|
Доход
|
|
10.01.2009
|
110,51
|
|
1
|
64
|
|
1
|
85
|
|
1
|
50
|
|
1
|
2090
|
|
|
17.01.2009
|
110,75
|
0,22%
|
2
|
70
|
9,38%
|
2
|
86,98
|
2,33%
|
2
|
51,71
|
3,42%
|
2
|
2035,99
|
-2,58%
|
|
24.01.2009
|
115,16
|
3,98%
|
3
|
67,5
|
-3,57%
|
3
|
88,88
|
2,18%
|
3
|
52,75
|
2,01%
|
3
|
2040
|
0,20%
|
|
31.01.2009
|
115,39
|
0,20%
|
4
|
68
|
0,74%
|
4
|
92,43
|
3,99%
|
4
|
50,5
|
-4,27%
|
4
|
2010
|
-1,47%
|
|
07.02.2009
|
118,5
|
2,70%
|
5
|
67,75
|
-0,37%
|
5
|
87,99
|
-4,80%
|
5
|
52,4
|
3,76%
|
5
|
2150
|
6,97%
|
|
14.02.2009
|
112,69
|
-4,90%
|
6
|
68,7
|
1,40%
|
6
|
85,62
|
-2,69%
|
6
|
56,97
|
8,72%
|
6
|
2130
|
-0,93%
|
|
21.02.2009
|
111,55
|
-1,01%
|
7
|
86,5
|
25,91%
|
7
|
87,5
|
2,20%
|
7
|
61,749
|
8,39%
|
7
|
2190
|
2,82%
|
|
28.02.2009
|
115,69
|
3,71%
|
8
|
72
|
-16,76%
|
8
|
77,5
|
-11,43%
|
8
|
59,5
|
-3,64%
|
8
|
2069,99
|
-5,48%
|
|
07.03.2009
|
107,18
|
-7,36%
|
9
|
69
|
-4,17%
|
9
|
68,89
|
-11,11%
|
9
|
60,1
|
1,01%
|
9
|
2070
|
0,00%
|
|
14.03.2009
|
105,61
|
-1,46%
|
10
|
66,27
|
-3,96%
|
10
|
79,35
|
15,18%
|
10
|
60,11
|
0,02%
|
10
|
2086,05
|
0,78%
|
|
21.03.2009
|
114,7
|
8,61%
|
11
|
67,19
|
1,39%
|
11
|
84,61
|
6,63%
|
11
|
60,5
|
0,65%
|
11
|
2046,02
|
-1,92%
|
|
28.03.2009
|
123
|
7,24%
|
12
|
67,93
|
1,10%
|
12
|
87,71
|
3,66%
|
12
|
60,21
|
12
|
2072
|
1,27%
|
|
04.04.2009
|
117,98
|
-4,08%
|
13
|
68,28
|
0,52%
|
13
|
88,5
|
0,90%
|
13
|
66,55
|
10,53%
|
13
|
2101
|
1,40%
|
|
11.04.2009
|
124,45
|
5,48%
|
14
|
69,14
|
1,26%
|
14
|
89
|
0,56%
|
14
|
67
|
0,68%
|
14
|
2161
|
2,86%
|
|
18.04.2009
|
126
|
1,25%
|
15
|
66,45
|
-3,89%
|
15
|
87
|
-2,25%
|
15
|
70,99
|
5,96%
|
15
|
2230
|
3,19%
|
|
25.04.2009
|
128,25
|
1,79%
|
16
|
65,95
|
-0,75%
|
16
|
92,18
|
5,95%
|
16
|
69,49
|
-2,11%
|
16
|
2329
|
4,44%
|
|
02.05.2009
|
120
|
-6,43%
|
17
|
64,5
|
-2,20%
|
17
|
80,79
|
-12,36%
|
17
|
73,9
|
6,35%
|
17
|
2285
|
-1,89%
|
|
10.05.2009
|
119,72
|
-0,23%
|
18
|
64
|
-0,78%
|
18
|
81,35
|
0,69%
|
18
|
76,56
|
3,60%
|
18
|
2288
|
0,13%
|
|
16.05.2009
|
113,68
|
-5,05%
|
19
|
63,51
|
-0,77%
|
19
|
80,76
|
-0,73%
|
19
|
78
|
1,88%
|
19
|
2170
|
-5,16%
|
|
23.05.2009
|
114,37
|
0,61%
|
20
|
60,48
|
-4,77%
|
20
|
75,6
|
-6,39%
|
20
|
82,3
|
5,51%
|
20
|
2130
|
-1,84%
|
|
30.05.2009
|
111,6
|
-2,42%
|
21
|
57,74
|
-4,53%
|
21
|
70,11
|
-7,26%
|
21
|
80,57
|
-2,10%
|
21
|
2026
|
-4,88%
|
|
06.06.2009
|
117
|
4,84%
|
22
|
56,71
|
-1,78%
|
22
|
73,1
|
4,26%
|
22
|
90,7
|
12,57%
|
22
|
1995
|
-1,53%
|
|
13.06.2009
|
118,73
|
1,48%
|
23
|
57
|
0,51%
|
23
|
76,4
|
4,51%
|
23
|
116,999
|
29,00%
|
23
|
2045
|
2,51%
|
|
20.06.2009
|
125,25
|
5,49%
|
24
|
57,4
|
0,70%
|
24
|
78,44
|
2,67%
|
24
|
104
|
-11,11%
|
24
|
2198
|
7,48%
|
|
27.06.2009
|
119,03
|
-4,97%
|
25
|
55,25
|
-3,75%
|
25
|
75,36
|
-3,93%
|
25
|
110,001
|
5,77%
|
25
|
2160
|
-1,73%
|
|
04.07.2009
|
121,9
|
2,41%
|
26
|
56,3
|
1,90%
|
26
|
77,2
|
2,44%
|
26
|
111
|
0,91%
|
26
|
2145
|
-0,69%
|
|
11.07.2009
|
127,47
|
4,57%
|
27
|
61
|
8,35%
|
27
|
75,38
|
-2,36%
|
27
|
116,12
|
4,61%
|
27
|
2333
|
8,76%
|
|
18.07.2009
|
132,51
|
3,95%
|
28
|
60,31
|
-1,13%
|
28
|
75,05
|
-0,44%
|
28
|
122
|
5,06%
|
28
|
2359
|
1,11%
|
|
25.07.2009
|
135,3
|
2,11%
|
29
|
59,2
|
-1,84%
|
29
|
73,89
|
-1,55%
|
29
|
115,5
|
-5,33%
|
29
|
2420
|
2,59%
|
|
01.08.2009
|
124,7
|
-7,83%
|
30
|
56,96
|
-3,78%
|
30
|
68,31
|
-7,55%
|
30
|
116,5
|
0,87%
|
30
|
2375
|
-1,86%
|
|
08.08.2009
|
127,95
|
2,61%
|
31
|
57,87
|
1,60%
|
31
|
72
|
5,40%
|
31
|
117
|
0,43%
|
31
|
2520
|
6,11%
|
|
15.08.2009
|
123,79
|
-3,25%
|
32
|
56,56
|
-2,26%
|
32
|
70,05
|
-2,71%
|
32
|
115
|
-1,71%
|
32
|
2439
|
-3,21%
|
|
22.08.2009
|
124,29
|
0,40%
|
33
|
55
|
-2,76%
|
33
|
69
|
-1,50%
|
33
|
114,4
|
-0,52%
|
33
|
2235
|
-8,36%
|
|
29.08.2009
|
128,68
|
3,53%
|
34
|
56,47
|
2,67%
|
34
|
66
|
-4,35%
|
34
|
109,6
|
-4,20%
|
34
|
2230
|
-0,22%
|
|
05.09.2009
|
128,01
|
-0,52%
|
35
|
57,9
|
2,53%
|
35
|
63,7
|
-3,48%
|
35
|
112
|
2,19%
|
35
|
2294
|
2,87%
|
|
12.09.2009
|
124,12
|
36
|
56,98
|
-1,59%
|
36
|
59,08
|
-7,25%
|
36
|
106,997
|
-4,47%
|
36
|
2285
|
-0,39%
|
|
19.09.2009
|
129,71
|
4,50%
|
37
|
57,11
|
0,23%
|
37
|
60,92
|
3,11%
|
37
|
106
|
-0,93%
|
37
|
2249,97
|
-1,53%
|
|
26.09.2009
|
138,65
|
6,89%
|
38
|
57,5
|
0,68%
|
38
|
64,52
|
5,91%
|
38
|
105,25
|
-0,71%
|
38
|
2220
|
-1,33%
|
|
03.10.2009
|
140
|
0,97%
|
39
|
56,05
|
-2,52%
|
39
|
65,74
|
1,89%
|
39
|
95
|
-9,74%
|
39
|
2168
|
-2,34%
|
|
10.10.2009
|
138,46
|
-1,10%
|
40
|
55,8
|
-0,45%
|
40
|
63,7
|
-3,10%
|
40
|
95,16
|
0,17%
|
40
|
2161,1
|
-0,32%
|
|
17.10.2009
|
143,4
|
3,57%
|
41
|
55,43
|
-0,66%
|
41
|
63,94
|
0,38%
|
41
|
96,499
|
1,41%
|
41
|
2189
|
1,29%
|
|
24.10.2009
|
135,87
|
-5,25%
|
42
|
55,24
|
-0,34%
|
42
|
61,9
|
-3,19%
|
42
|
97,25
|
0,78%
|
42
|
2340
|
6,90%
|
|
31.10.2009
|
152,5
|
12,24%
|
43
|
55,76
|
0,94%
|
43
|
64,48
|
4,17%
|
43
|
103,47
|
6,40%
|
43
|
2299
|
-1,75%
|
|
07.11.2009
|
152,01
|
-0,32%
|
44
|
54,99
|
-1,38%
|
44
|
63,79
|
-1,07%
|
44
|
100,798
|
-2,58%
|
44
|
2300
|
0,04%
|
|
14.11.2009
|
147,48
|
-2,98%
|
45
|
54,61
|
-0,69%
|
45
|
66,64
|
4,47%
|
45
|
105,8
|
4,96%
|
45
|
2170
|
-5,65%
|
|
21.11.2009
|
139,98
|
-5,09%
|
46
|
54,35
|
-0,48%
|
46
|
63,07
|
-5,36%
|
46
|
108
|
2,08%
|
46
|
2121
|
-2,26%
|
|
28.11.2009
|
142,56
|
1,84%
|
47
|
53,99
|
-0,66%
|
47
|
65,09
|
3,20%
|
47
|
108
|
0,00%
|
47
|
2085
|
-1,70%
|
|
05.12.2009
|
151,06
|
5,96%
|
48
|
54
|
0,02%
|
48
|
66,3
|
1,86%
|
48
|
110
|
1,85%
|
48
|
2075
|
-0,48%
|
|
12.12.2009
|
153,25
|
1,45%
|
49
|
54,22
|
0,41%
|
49
|
77
|
16,14%
|
49
|
117,029
|
6,39%
|
49
|
2182,5
|
5,18%
|
|
19.12.2009
|
143,2
|
-6,56%
|
50
|
53,39
|
-1,53%
|
50
|
73,6
|
-4,42%
|
50
|
117,1
|
0,06%
|
50
|
2212
|
1,35%
|
|
26.12.2009
|
146,2
|
2,09%
|
51
|
52
|
-2,60%
|
51
|
71,84
|
-2,39%
|
51
|
126,33
|
7,88%
|
51
|
2125
|
-3,93%
|
|
09.01.2010
|
154,6
|
5,75%
|
52
|
51,8
|
-0,38%
|
52
|
69,13
|
-3,77%
|
52
|
131,5
|
4,09%
|
52
|
2215
|
4,24%
|
|
16.01.2010
|
148,5
|
-3,95%
|
53
|
55,5
|
7,14%
|
53
|
69,55
|
0,61%
|
53
|
173
|
31,56%
|
53
|
2191,02
|
-1,08%
|
|
23.01.2010
|
118
|
-20,54%
|
54
|
52
|
-6,31%
|
54
|
51,34
|
-26,18%
|
54
|
143
|
-17,34%
|
54
|
2060
|
-5,98%
|
|
30.01.2010
|
123,72
|
4,85%
|
55
|
50
|
-3,85%
|
55
|
56,5
|
10,05%
|
55
|
146,49
|
2,44%
|
55
|
2031
|
-1,41%
|
|
06.02.2010
|
123,71
|
-0,01%
|
56
|
50,45
|
0,90%
|
56
|
51,9
|
-8,14%
|
56
|
142,5
|
-2,72%
|
56
|
2017,5
|
-0,66%
|
|
13.02.2010
|
127,08
|
2,72%
|
57
|
49
|
-2,87%
|
57
|
55,25
|
6,45%
|
57
|
149
|
4,56%
|
57
|
2010
|
-0,37%
|
|
20.02.2010
|
135,34
|
6,50%
|
58
|
54,5
|
11,22%
|
58
|
55,06
|
-0,34%
|
58
|
149,4
|
0,27%
|
58
|
1975,5
|
-1,72%
|
|
27.02.2010
|
145,46
|
7,48%
|
59
|
53,5
|
-1,83%
|
59
|
56,8
|
59
|
143,71
|
-3,81%
|
59
|
1974
|
-0,08%
|
|
05.03.2010
|
151,5
|
4,15%
|
60
|
53,25
|
-0,47%
|
60
|
55,33
|
-2,59%
|
60
|
146,28
|
1,79%
|
60
|
2090
|
5,88%
|
|
12.03.2010
|
150,22
|
-0,84%
|
61
|
53,93
|
1,28%
|
61
|
56,83
|
2,71%
|
61
|
146,3
|
0,01%
|
61
|
2189,5
|
4,76%
|
|
19.03.2010
|
148,92
|
-0,87%
|
62
|
56,5
|
4,77%
|
62
|
57,75
|
1,62%
|
62
|
140,9
|
-3,69%
|
62
|
2160
|
-1,35%
|
|
26.03.2010
|
150,57
|
1,11%
|
63
|
58,98
|
4,39%
|
63
|
56,99
|
-1,32%
|
63
|
135
|
-4,19%
|
63
|
2109
|
-2,36%
|
|
02.04.2010
|
153,37
|
1,86%
|
64
|
58,5
|
-0,81%
|
64
|
57,46
|
0,82%
|
64
|
144,5
|
7,04%
|
64
|
1973,01
|
-6,45%
|
|
09.04.2010
|
151,82
|
-1,01%
|
65
|
63,49
|
8,53%
|
65
|
58,37
|
1,58%
|
65
|
147,95
|
2,39%
|
65
|
1930
|
-2,18%
|
|
16.04.2010
|
149,98
|
-1,21%
|
66
|
64,43
|
1,48%
|
66
|
56,55
|
-3,12%
|
66
|
153
|
3,41%
|
66
|
1870
|
-3,11%
|
|
23.04.2010
|
153,91
|
2,62%
|
67
|
68,49
|
6,30%
|
67
|
53,15
|
-6,01%
|
67
|
150
|
-1,96%
|
67
|
1884
|
0,75%
|
|
30.04.2010
|
151,91
|
-1,30%
|
68
|
66,2
|
-3,34%
|
68
|
51,07
|
-3,91%
|
68
|
139
|
-7,33%
|
68
|
1895
|
0,58%
|
Продолжение
А
|
Лукойл
|
Магнит
|
МТС
|
Новатэк
|
Роснефть
|
|
неделя
|
Курс
|
Доход
|
неделя
|
Курс
|
Доход
|
неделя
|
Курс
|
Доход
|
неделя
|
Курс
|
Доход
|
неделя
|
Курс
|
Доход
|
|
10.01.2009
|
2073,69
|
|
1
|
900,01
|
|
1
|
218,15
|
|
1
|
149,5
|
|
1
|
227
|
|
|
17.01.2009
|
2027
|
-2,25%
|
2
|
1075
|
19,44%
|
2
|
225,98
|
3,59%
|
2
|
151
|
1,00%
|
2
|
232,3
|
2,33%
|
|
24.01.2009
|
2128,51
|
5,01%
|
3
|
990,01
|
-7,91%
|
3
|
257,9
|
14,13%
|
3
|
154,93
|
2,60%
|
3
|
237,67
|
2,31%
|
|
31.01.2009
|
2111,99
|
-0,78%
|
4
|
980
|
-1,01%
|
4
|
250,5
|
-2,87%
|
4
|
146,75
|
-5,28%
|
4
|
234,7
|
-1,25%
|
|
07.02.2009
|
2224
|
5,30%
|
5
|
1100
|
12,24%
|
5
|
256,98
|
2,59%
|
5
|
154,49
|
5,27%
|
5
|
238,69
|
1,70%
|
|
14.02.2009
|
2139
|
-3,82%
|
6
|
1083
|
-1,55%
|
6
|
253,22
|
-1,46%
|
6
|
146,1
|
-5,43%
|
6
|
228,9
|
-4,10%
|
|
21.02.2009
|
2093
|
-2,15%
|
7
|
1069,8
|
-1,22%
|
7
|
257,4
|
1,65%
|
7
|
144,6
|
-1,03%
|
7
|
232
|
1,35%
|
|
28.02.2009
|
2081,96
|
-0,53%
|
8
|
1031
|
-3,63%
|
8
|
238,5
|
-7,34%
|
8
|
142
|
-1,80%
|
8
|
221,5
|
-4,53%
|
|
07.03.2009
|
2052
|
-1,44%
|
9
|
1040
|
0,87%
|
9
|
226,01
|
-5,24%
|
9
|
133,5
|
-5,99%
|
9
|
212,5
|
-4,06%
|
|
14.03.2009
|
2029,77
|
-1,08%
|
10
|
1030
|
-0,96%
|
10
|
232
|
2,65%
|
10
|
134,9
|
1,05%
|
10
|
205,7
|
-3,20%
|
|
21.03.2009
|
2078
|
2,38%
|
11
|
1120
|
8,74%
|
11
|
256,79
|
10,69%
|
11
|
139,97
|
3,76%
|
11
|
216,3
|
5,15%
|
|
28.03.2009
|
2203
|
6,02%
|
12
|
1120
|
0,00%
|
12
|
252,86
|
-1,53%
|
12
|
153,5
|
9,67%
|
12
|
216,3
|
0,00%
|
|
04.04.2009
|
2174
|
-1,32%
|
13
|
1130
|
0,89%
|
13
|
260
|
2,82%
|
13
|
145,79
|
-5,02%
|
13
|
-0,02%
|
|
11.04.2009
|
2187
|
0,60%
|
14
|
1135
|
0,44%
|
14
|
258,76
|
-0,48%
|
14
|
147,7
|
1,31%
|
14
|
214,06
|
-1,02%
|
|
18.04.2009
|
2154,2
|
-1,50%
|
15
|
1198
|
5,55%
|
15
|
245
|
-5,32%
|
15
|
154
|
4,27%
|
15
|
227,16
|
6,12%
|
|
25.04.2009
|
2114,5
|
-1,84%
|
16
|
1220
|
1,84%
|
16
|
249,9
|
2,00%
|
16
|
143,5
|
-6,82%
|
16
|
233,35
|
2,72%
|
|
02.05.2009
|
1988
|
-5,98%
|
17
|
1216,1
|
-0,32%
|
17
|
244,5
|
-2,16%
|
17
|
134,9
|
-5,99%
|
17
|
220
|
-5,72%
|
|
10.05.2009
|
1956,17
|
-1,60%
|
18
|
1205
|
-0,91%
|
18
|
239
|
-2,25%
|
18
|
133,65
|
-0,93%
|
18
|
214,35
|
-2,57%
|
|
16.05.2009
|
1907,11
|
-2,51%
|
19
|
1191
|
-1,16%
|
19
|
244,4
|
2,26%
|
19
|
126,52
|
-5,33%
|
19
|
211,97
|
-1,11%
|
|
23.05.2009
|
1940,11
|
1,73%
|
20
|
1146,02
|
-3,78%
|
20
|
238
|
-2,62%
|
20
|
124,5
|
-1,60%
|
20
|
207,5
|
-2,11%
|
|
30.05.2009
|
1894
|
-2,38%
|
21
|
1086
|
-5,24%
|
21
|
236
|
-0,84%
|
21
|
120,49
|
-3,22%
|
21
|
199,85
|
-3,69%
|
|
06.06.2009
|
1964,5
|
3,72%
|
22
|
1035
|
-4,70%
|
22
|
239,45
|
1,46%
|
22
|
133,15
|
10,51%
|
22
|
205,8
|
2,98%
|
|
13.06.2009
|
1956
|
-0,43%
|
23
|
1045,11
|
0,98%
|
23
|
239,79
|
0,14%
|
23
|
128
|
-3,87%
|
23
|
203,9
|
-0,92%
|
|
20.06.2009
|
2073
|
5,98%
|
24
|
1115
|
6,69%
|
24
|
259,37
|
8,17%
|
24
|
132,55
|
3,55%
|
24
|
208,2
|
2,11%
|
|
27.06.2009
|
1990
|
-4,00%
|
25
|
1118
|
0,27%
|
25
|
255,49
|
-1,50%
|
25
|
130,75
|
-1,36%
|
25
|
203,7
|
-2,16%
|
|
04.07.2009
|
2015
|
1,26%
|
26
|
1141,33
|
2,09%
|
26
|
264,7
|
3,60%
|
26
|
134,01
|
2,49%
|
26
|
204,99
|
0,63%
|
|
11.07.2009
|
2085,2
|
3,48%
|
27
|
1190
|
4,26%
|
27
|
270,45
|
2,17%
|
27
|
136,15
|
1,60%
|
27
|
212,87
|
3,84%
|
|
18.07.2009
|
2138
|
2,53%
|
28
|
1199
|
0,76%
|
28
|
270,5
|
0,02%
|
28
|
147,02
|
7,98%
|
28
|
220,13
|
3,41%
|
|
25.07.2009
|
2128
|
-0,47%
|
29
|
1204,01
|
0,42%
|
29
|
266,37
|
-1,53%
|
29
|
143,5
|
-2,39%
|
29
|
218,8
|
-0,60%
|
|
01.08.2009
|
1993
|
-6,34%
|
30
|
1164
|
-3,32%
|
30
|
259,04
|
-2,75%
|
30
|
136,5
|
-4,88%
|
30
|
207,4
|
-5,21%
|
|
08.08.2009
|
2016,33
|
1,17%
|
31
|
1157
|
-0,60%
|
31
|
267,94
|
3,44%
|
31
|
136,77
|
0,20%
|
31
|
212,25
|
2,34%
|
|
15.08.2009
|
1910,94
|
-5,23%
|
32
|
1110
|
-4,06%
|
32
|
256,9
|
-4,12%
|
32
|
130,48
|
-4,60%
|
32
|
206,2
|
-2,85%
|
|
22.08.2009
|
1894
|
-0,89%
|
33
|
1041
|
-6,22%
|
33
|
258
|
0,43%
|
33
|
128,35
|
-1,63%
|
33
|
207,58
|
0,67%
|
|
29.08.2009
|
1887
|
-0,37%
|
34
|
1030
|
-1,06%
|
34
|
263,54
|
2,15%
|
34
|
124,49
|
-3,01%
|
34
|
207,5
|
-0,04%
|
|
05.09.2009
|
1908
|
1,11%
|
35
|
1083,5
|
5,19%
|
35
|
270,23
|
2,54%
|
35
|
129,81
|
4,27%
|
35
|
210
|
1,20%
|
|
12.09.2009
|
1899,5
|
-0,45%
|
36
|
1087
|
0,32%
|
36
|
266,74
|
-1,29%
|
36
|
125
|
-3,71%
|
36
|
209,97
|
-0,01%
|
|
19.09.2009
|
2015,5
|
6,11%
|
37
|
-1,10%
|
37
|
289,58
|
8,56%
|
37
|
126,85
|
1,48%
|
37
|
220,1
|
4,82%
|
|
26.09.2009
|
2036
|
1,02%
|
38
|
1046
|
-2,70%
|
38
|
286,97
|
-0,90%
|
38
|
131,5
|
3,67%
|
38
|
213,2
|
-3,13%
|
|
03.10.2009
|
2095
|
2,90%
|
39
|
1047
|
0,10%
|
39
|
288,86
|
0,66%
|
39
|
134,16
|
2,02%
|
39
|
212,2
|
-0,47%
|
|
10.10.2009
|
2175
|
3,82%
|
40
|
1064,99
|
1,72%
|
40
|
304,99
|
5,58%
|
40
|
141,84
|
5,72%
|
40
|
212,17
|
-0,01%
|
|
17.10.2009
|
2210
|
1,61%
|
41
|
1138,5
|
6,90%
|
41
|
309
|
1,31%
|
41
|
134,5
|
-5,17%
|
41
|
221
|
4,16%
|
|
24.10.2009
|
2084,1
|
-5,70%
|
42
|
1154
|
1,36%
|
42
|
309,5
|
0,16%
|
42
|
132,5
|
-1,49%
|
42
|
211,8
|
-4,16%
|
|
31.10.2009
|
2237,01
|
7,34%
|
43
|
1155
|
0,09%
|
43
|
337,5
|
9,05%
|
43
|
141
|
6,42%
|
43
|
217,09
|
2,50%
|
|
07.11.2009
|
2308
|
3,17%
|
44
|
1131
|
-2,08%
|
44
|
343,17
|
1,68%
|
44
|
145,89
|
3,47%
|
44
|
225
|
3,64%
|
|
14.11.2009
|
2187
|
-5,24%
|
45
|
1181,1
|
4,43%
|
45
|
352,17
|
2,62%
|
45
|
145,31
|
-0,40%
|
45
|
223,5
|
-0,67%
|
|
21.11.2009
|
2069,49
|
-5,37%
|
46
|
1165
|
-1,36%
|
46
|
336,98
|
-4,31%
|
46
|
145,9
|
0,41%
|
46
|
211,25
|
-5,48%
|
|
28.11.2009
|
2102,99
|
1,62%
|
47
|
1138
|
-2,32%
|
47
|
351,75
|
4,38%
|
47
|
156
|
6,92%
|
47
|
212,3
|
0,50%
|
|
05.12.2009
|
2162,97
|
2,85%
|
48
|
1139
|
0,09%
|
48
|
365,7
|
3,97%
|
48
|
169,7
|
8,78%
|
48
|
226,8
|
6,83%
|
|
12.12.2009
|
2267,77
|
4,85%
|
49
|
1195,99
|
5,00%
|
49
|
375,5
|
2,68%
|
49
|
185,02
|
9,03%
|
49
|
239
|
5,38%
|
|
19.12.2009
|
2111,99
|
-6,87%
|
50
|
1216
|
1,67%
|
50
|
360,16
|
-4,09%
|
50
|
183,3
|
-0,93%
|
50
|
224,39
|
-6,11%
|
|
26.12.2009
|
2108
|
-0,19%
|
51
|
1226,6
|
0,87%
|
51
|
369,38
|
2,56%
|
51
|
182,5
|
-0,44%
|
51
|
228,02
|
1,62%
|
|
09.01.2010
|
2079
|
-1,38%
|
52
|
1310
|
6,80%
|
52
|
374,75
|
1,45%
|
52
|
196
|
7,40%
|
52
|
227,74
|
-0,12%
|
|
16.01.2010
|
1892
|
-8,99%
|
53
|
1331
|
1,60%
|
53
|
358,05
|
-4,46%
|
53
|
193,6
|
-1,22%
|
53
|
212,99
|
-6,48%
|
|
23.01.2010
|
1600
|
-15,43%
|
54
|
1135
|
-14,73%
|
54
|
302
|
-15,65%
|
54
|
174
|
-10,12%
|
54
|
175,68
|
-17,52%
|
|
30.01.2010
|
1736
|
8,50%
|
55
|
1168,02
|
2,91%
|
55
|
322
|
6,62%
|
55
|
168,97
|
-2,89%
|
55
|
180,8
|
2,91%
|
|
06.02.2010
|
1715,01
|
-1,21%
|
56
|
1139,02
|
-2,48%
|
56
|
314,8
|
-2,24%
|
56
|
169,5
|
0,31%
|
56
|
176,8
|
-2,21%
|
|
13.02.2010
|
1807,04
|
5,37%
|
57
|
1159
|
1,75%
|
57
|
328
|
4,19%
|
57
|
173,68
|
2,47%
|
57
|
186,3
|
5,37%
|
|
20.02.2010
|
1775,22
|
-1,76%
|
58
|
1183
|
2,07%
|
58
|
316,45
|
-3,52%
|
58
|
181
|
4,21%
|
58
|
198,1
|
6,33%
|
|
27.02.2010
|
1832
|
3,20%
|
59
|
1237,8
|
4,63%
|
59
|
326,5
|
3,18%
|
59
|
188,5
|
4,14%
|
59
|
199,87
|
0,89%
|
|
05.03.2010
|
1724
|
-5,90%
|
60
|
1212
|
-2,08%
|
60
|
313,49
|
-3,98%
|
60
|
-1,38%
|
60
|
201,96
|
1,05%
|
|
12.03.2010
|
1821
|
5,63%
|
61
|
1185
|
-2,23%
|
61
|
313,09
|
-0,13%
|
61
|
195,49
|
5,16%
|
61
|
204,14
|
1,08%
|
|
19.03.2010
|
1803,43
|
-0,96%
|
62
|
1165
|
-1,69%
|
62
|
305,43
|
-2,45%
|
62
|
184,49
|
-5,63%
|
62
|
193,81
|
-5,06%
|
|
26.03.2010
|
1863,99
|
3,36%
|
63
|
1160
|
-0,43%
|
63
|
303,09
|
-0,77%
|
63
|
186,32
|
0,99%
|
63
|
198,2
|
2,27%
|
|
02.04.2010
|
1972
|
5,79%
|
64
|
1100
|
-5,17%
|
64
|
305,6
|
0,83%
|
64
|
190,28
|
2,13%
|
64
|
213,77
|
7,86%
|
|
09.04.2010
|
2015,88
|
2,23%
|
65
|
1064,7
|
-3,21%
|
65
|
302,3
|
-1,08%
|
65
|
183,98
|
-3,31%
|
65
|
220,6
|
3,20%
|
|
16.04.2010
|
2133,51
|
5,84%
|
66
|
1054,99
|
-0,91%
|
66
|
282,94
|
-6,40%
|
66
|
181,12
|
-1,55%
|
66
|
231,9
|
5,12%
|
|
23.04.2010
|
2125,15
|
-0,39%
|
67
|
1052,91
|
-0,20%
|
67
|
285,39
|
0,87%
|
67
|
180,67
|
-0,25%
|
67
|
233,8
|
0,82%
|
|
30.04.2010
|
2137
|
0,56%
|
68
|
1038
|
-1,42%
|
68
|
282,1
|
-1,15%
|
68
|
180,88
|
0,12%
|
68
|
231,2
|
-1,11%
|
Приложение Б
Теорема 1. Пусть с — некоторая константа. Тогда обозначение R - с
относится к следующему
вектору-столбцу:
Пусть вектор z
является решением системы линейных уравнений R - с
= Sz. Тогда
из этого решения можно получить портфель х на огибающей реализуемого
множества:
Теорема
2.
Согласно
этой теореме, впервые доказанной Блэком (В1аск, 1972), зная любые два
портфеля на огибающей, можно восстановить всю огибающую. Если заданы два
портфеля, х={ х1 ,..., хn} и у={y1 , ..., у2},
то все портфели на огибающей являются выпуклыми линейными комбинациями х и
у. Это означает, что для любой заданной константы а приведенный далее
портфель лежит на огибающей
эффективной границы:
Приложение
Г
Описание построения
графика эффективной границы
Каждая ячейка
вектора-столбца под заголовком «Средне минус константа» содержит средний доход
актива за вычетом константы с (в нашем случае с = 0,0025).
Для получения значений z (ячейки В174-В183) необходимо
выделить область B174:B183, ввести формулу
“=МУМНОЖ(МОБР(А160:J169);L160:L169)” и нажать одновременно Ctrl+Shift+Enter.
В ячейку С174
вписывается формула “=B174/СУММ($B$174:$B$183)”, затем эта формула необходимо
скопировать в ячейки С175-С183. Автоматически поменяется значение В174 на
соответствующее строке В175-В183.
Аналогично находятся
значения в ячейки Е174-Е183. Необходимо только в выделенную область (Е174:Е183)
ввести формулу “=МУМНОЖ(МОБР(A160:J169);M160:M169)”
и нажать одновременно Ctrl+Shift+Enter.
В ячейки F174:F183 вводится формула “=E174/СУММ($E$174:$E$183)”.
Далее найдём
транспонированные векторы х и у. Они получены с использованием
функции ТРАНСП. Для этого выделяем область В188:К188 и вводим в нее формулу
“=ТРАНСП(С174:С183)”, затем нажимаем Ctrl+Shift+Enter – получили транспонированный вектор-строку х.
Аналогично находим
транспонированный вектор-строку у, выделив область В191:К191 и введя в
неё формулу “=ТРАНСП(F174:F183)”.
Теперь средние, дисперсии и
ковариации вычисляются таким образом:
Сред (х) — по формуле МУМНОЖ (трансп.х,
средние);
Дисп(x) —
по формуле МУМНОЖ(МУМНОЖ(трансп.х, ковар.матр.), х);
Сигма(х) — по формуле КОРЕНЬ (дисперсия);
Ковар(x,у) —
по формуле МУМНОЖ(МУМНОЖ(трансп.х, ковар.матр.), у);
Корр(x, у) — по
формуле КОВАР (х,у) / (сигма_х * сигма_у)
Согласно теореме 2 [Приложение Б], огибающую реализуемого множества
(включающую в себя эффективную границу) можно получить, составив выпуклую
линейную комбинацию двух портфелей. Пусть р -портфель,
в котором доля средств а вложена в портфель х, а доля (1 —а)
— в портфель у. Тогда среднее значение и дисперсия
доходов от портфеля р составят:
В ячейку В207 вводим формулу “=B206*C193+(1-B206)*F193”
В ячейку В208 вводим формулу “=КОРЕНЬ(B206^2*C194+(1-B206)^2*F194+2*B206*(1-B206)*C197)”
На основании этого расчета можно построить следующую таблицу данных
Для построения таблицы
данных для эффективного графика необходимо выделить область таблицы D208:F245, выбрать в меню Данные команду Таблица подстановки.
Откроется диалоговое окно, в котором необходимо указать подстановку значений по
строкам в ячейку $B$206.
Затем в столбцах
Е209:Е245 и F209:F245 строится график эффективной границы.