Анализ финансово-хозяйственной деятельности АО 'Кубаньжелдормаш'

  • Вид работы:
    Дипломная (ВКР)
  • Предмет:
    Эктеория
  • Язык:
    Русский
    ,
    Формат файла:
    MS Word
    1020,94 Кб
  • Опубликовано:
    2016-04-27
Вы можете узнать стоимость помощи в написании студенческой работы.
Помощь в написании работы, которую точно примут!

Анализ финансово-хозяйственной деятельности АО 'Кубаньжелдормаш'

Введение

Анализ финансовой отчетности заключается в применении аналитических инструментов и методов к показателям финансовых документов с целью выявления существенных связей и характеристик, необходимых для принятия какого-либо решения. Главное, анализ финансовой отчетности позволяет в меньшей степени полагаться на догадки, предчувствия и интуицию, уменьшить неизбежную неопределенность, которая присутствует в любом процессе принятия решения. Анализ финансовой отчетности не устраняет потребности в деловом чутье, но создает прочную и систематическую основу для его рационального применения. В этой работе объектом финансово-хозяйственного анализа является предприятие АО «Кубаньжелдормаш»

Актуальность выбранной темы состоит в том, что анализ финансово-хозяйственной деятельности является необходимым элементом в системе управления предприятия, поскольку является той базой, на которой строится разработка экономической стратегии предприятия.

Основой современного развития хозяйственной деятельности является перевод производства товаров (работ, услуг) на интенсивный путь функционирования в условиях рыночных отношений. В этих условиях изучение основ анализа хозяйственной деятельности и овладение практическими навыками его проведения является актуальным и вызывает необходимость изучения

Целью данной работы является проведение анализа финансовой отчетности компании АО «Кубаньжелдормаш»

Для достижения поставленной цели необходимо решить ряд задач:

оценить динамику состава и структуры активов, их состояния и движения, а также источники их формирования;

провести анализ финансовой устойчивости компании;

провести анализ платежеспособности компании и ликвидности активов его баланса;

провести анализ и оценку финансовых результатов компании;

провести анализ эффективности деятельности компании;

комплексно изучается бухгалтерская отчетность предприятия;

усваиваются взаимосвязи содержащихся в ней данных.

1. Анализ хозяйственной деятельности

.1 Анализ объёма производства

Объем производства и объем реализации продукции являются взаимозависимыми показателями. В условиях ограниченных производственных возможностей и неограниченного спроса на первое место выдвигается объем производства продукции. Предприятие должно производить только те товары и в таком объеме, которые оно может реально реализовать.

Таким образом, можно выразить основные задачи экономического анализа объема производства и реализации продукции, это:

оценка степени выполнения плана и динамики производства и реализации продукции;

определение влияния факторов на изменения величины этих показателей.

выявление внутрихозяйственных резервов увеличения выпуска и реализации продукции;

разработка реализаций по освоению выявленных резервов.

Объектами анализа являются:

объем производства и реализации продукции в целом и по ассортименту;

качество и конкурентоспособность продукции;

структура производства и реализации продукции;

ритмичность производства и реализации продукции.

Основными показателями объема производства являются товарная и валовая продукция.

Валовая продукция - стоимость всей продукции и выполненных работ, включая незавершенное производство, выраженная в сопоставимых ценах.

Товарная продукция - валовая продукция за минусом внутризаводского оборота и незавершенного производства.

Реализованная продукция - стоимость реализованной продукции, отгруженной и оплаченной покупателями.

Цель анализа объёма производства - оценка динамики ТП и влияния на стоимость ТП изменений объёма производства товаров работ и услуг в натуральном выражении и изменений цен реализации. При анализе объема производства расчеты проводятся по валовой и товарной продукции, выраженных в стоимостном и натуральном выражении.

Анализ следует начинать с общей оценки достигнутого уровня на основе сопоставления его с запланированным уровнем и уровнем предыдущего периода. В первом случае получаем информацию о качестве работы предприятия (уровень выполнения плана), во втором - о его развитии (динамике темпов роста). Источниками информации для анализа объема производства и реализации продукции являются формы 1 и 2 бухгалтерской отчетности.

Для проведения анализа занесем данные предприятия в таблицу 1.1.

экономический хозяйственный финансовый

Таблица 1.1 - Анализ динамики объема производства


Сначала заносятся сведения о выпуске продукции (в натуральном выражении) и цена каждого вида продукции.

Далее произведем расчет некоторых показателей.

Рассчитаем объем производства в стоимостном выражении по формуле:


где, Ni- объем продукции в натуральном выражении

Цi- цена

ТП2008=21*33877+20*46964+19*200000+18*37913=2713131тыс. руб.

ТП2009=20*36858+29*51097+11*21760+17*41249=3159570тыс. руб.

ТП2010=18*40102+17*55593+10*23675+5*44879=2128063тыс. руб.

Определим объемы производства в ценах за вычетом инфляции по формуле:


ТПинф2009=737164/1,088= 677540тыс. руб.

ТПинф2010=721831/1,088= 663447тыс. руб.

Определим цепные темпы роста в текущих ценах, по формуле:


Тр2009=737164/711417=103,62 %

Тр2010=721831/737164= 97,92%

Далее рассчитываем темп роста в ценах за вычетом инфляции:

Тринф2009=677540/711417=95,24%

Тринф2010=663447/677540=97,92%

И определяем среднегодовые темпы роста с помощью среднегеометрической по продукту лебёдка ручная РЛ-500М


где, х - темпы роста в текущих ценах и в ценах за вычетом инфляции соответственно.

хтек.цен = √(1,0362*0,9792)=0,507

хинф.=√(0,9524*,9792)=0,466

Далее расчеты производятся аналогично.

Результаты представлены на рисунке 1.

Рисунок 1- Среднегодовой индекс роста объемов товарной продукции

Проанализировав таблицу 1.1 и рисунок 1, можно сделать вывод, что объем производства в течение трех лет имеет тенденцию к снижению. Далее по сформированным в таблице 1.1 данным произведем методом цепных подстановок факторный анализ изменения объема производства в стоимостном выражении.

Способ цепных подстановок заключается в определении ряда промежуточных значений обобщающего показателя путем последовательной замены базисных значений факторов на отчетные.

В общем виде факторная модель имеет вид:


где, Ni - выпуск продукции i-й номенклатурной позиции в натуральном выражении;

Цi - цена единицы продукции i-й номенклатурной позиции;

Кинф - коэффициент инфляции;

Ккон - коэффициент конъюнктуры.

Определяем общее изменение объема производства в стоимостном выражении:


Рассчитываем изменение выпуска товарной продукции по фактору изменения выпуска продукции в натуральном выражении при неизменных удельных весах и цене:


Находим изменение объема товарной продукции вследствие изменения структуры ее производства в натуральном выражении:


Вычисляется изменение объема товарной продукции за счет изменения цен под влиянием инфляции и конъюнктуры:

экономический хозяйственный финансовый

Далее находим изменение объема продаж под влиянием инфляции, учитывая, что для базисных периодов коэффициенты инфляции и средний коэффициент конъюнктуры равны единице.


В завершение факторного анализа рассчитываем по остаточному принципу изменение объема продаж под влиянием учета конъюнктуры рынка:


Все данные, полученные методом цепных подстановок представлены в таблице 1.2.

Таблица 1.2 - Факторный анализ объема производства


Исходные данные показывают, что в 2010 году по сравнению с 2008 годом изменились и физический объём выпуска продукции и цены на продукцию по каждому наименованию продукции.

По результатам анализа можно сделать вывод о том, что объем товарной продукции в 2009 году по сравнению с 2008 повысился на 25747тыс. руб. А в 2009 году по сравнению с 2010 годом объем товарной продукции снизился на 15328 тыс. руб.

В большей степени на уменьшение объемов товарной продукции в 2009 году повлияло изменение цен под влиянием инфляции и общее изменение цен, а также уменьшение выпуска продукции в натуральном выражении. Тенденция изменения цены на единицу продукции представлена на рисунке 2.

Рисунок 2 - Изменение цены на единицу продукции

Основным источником поступления денежных средств в 2010 году является реализация такой продукции, как плита вибрационная и лебедка ручная РЛ-500/1000-60, так как их удельный вес в общем объеме реализации составляет 36% и 10% соответственно.

2. Анализ затрат

Процесс хозяйственной деятельности предполагает некоторые расходы, т. е. затраты предприятия или экономическую стоимость ресурсов, необходимых для полноценного функционирования. Природа возникновения затрат и издержек в каждой компании носит разный характер. Расходы на производство продукции можно условно разделить на постоянные и переменные. Постоянные затраты не зависят от количества произведенной продукции, а переменные - прямо пропорциональны объему выпуска.[3]

В основе анализа производственных затрат лежит их классификация по тому или иному признаку или нескольким признакам одновременно. Форма №5 Бухгалтерской отчетности служит главным источником информации в процессе анализа, а также имеют место быть данные объема товарной продукции из раздела 1.1.Анализ начинается с занесения в таблицу сумм затрат по годам. Затем определяются показатели динамики этих затрат, такие как цепной индекс роста затрат, структура затрат в процентном отношении, ее изменение по годам. Определяется изменение структуры затрат в отчетном году, относительно базисного. Все вышеперечисленные затраты заносят в таблицу 2.1

Таблица 2.1 - Анализ затрат


Исходя из таблицы 2.1 можно сделать вывод что в 2009 году по сравнению с 2008 материальные затраты уменьшились, а в 2010 по сравнению с 2009 увеличились. Это связано с тем, что в 2009 году объем товарной продукции увеличился, а в 2010 уменьшился.

На втором этапе рассматриваются затраты по видам продукции в разрезе условно-постоянных и условно-переменных издержек. Это разделение производится по указанию преподавателя в соответствии с видом продукции, сформированной в разделе 1.1.

Затем эти данные заносятся в таблицу 2.2, после чего рассчитывают суммы затрат по видам продукции, полной себестоимости единицы продукции и единичные затраты по элементам и видам продукции.

Таблица 2.2 - Данные о затратах на производство продукции


Прежде всего, на основе исходных данных таблицы 2.2 определяется коэффициент пересчета объемов выпуска продукции в безубыточные объемы - k.

k= Пр/Зпост+1,

где

Пр - прибыль от продаж, тыс. руб.

k2008 = 1,619

k2009 = 1.975

k2010 = 1.08

На основе этого показателя определяется объем продукции в натуральном выражении в точке безубыточности:

Niб = Ni / k

Все данные заносятся в таблицу.

ТПб = ∑ Niб * Цi

ТПб2008 =

1675564,5 тыс.руб

ТПб2009 =

1599599 тыс.руб

ТПб2010 =

1970000 тыс.руб


На основе этих показателей определяется запас операционной устойчивости - ∆ОУ как разность анализируемого объема реализации и безубыточного объема.

ΔОУ2008=

1037566,5 тыс. руб

ΔОУ2009=

1559971,32 тыс. руб

ΔОУ2010=

158062,181 тыс. руб


Таким образом, объем товарной продукции значительно превышает пороговый уровень, что говорит об успешной деятельности предприятия. Но в отчетном году, по сравнению с базисным годом, запас операционной устойчивости значительно ниже. Это связано с трендом уменьшения объема выпуска продукции.

Затем рассчитывается коэффициент операционной устойчивости:

Коу2008=

0,38

Коу2009=

0,49

Коу2010=

0,07


Эти данные еще раз подтверждают уменьшение операционной устойчивости в 2010 г. относительно базисного года почти в два раза.

Все вышеперечисленные показатели заносят в таблицу 2.3

Таблица 2.3 - Маржинальный анализ объема производства и затрат

3. Анализ основных фондов

.1 Анализ состояния, структуры и движения основных фондов

Под структурой основных фондов понимается удельный вес каждой из групп основных фондов в общей их совокупности. В процессе анализа определяют удельный вес активной части основных фондов, непосредственно участвующих в процессе производства, и пассивной их части, которая создает материальные условия для процесса производства.

Определяют, в каком направлении изменяется структура фондов и соответствует ли она производственной специализации хозяйства.

Структура основных производственных фондов зависит от особенностей данной отрасли, концентрации производства, специализации, размеров и местоположения предприятий. Данные о наличии, износе и движении основных средств служат основным источником информации для оценки производственного потенциала организации.

Анализ движения основных фондов проводится на основе таких показателей как коэффициент обновления и коэффициент выбытия основных средств.

Для анализа состояния основных фондов рассчитываются коэффициент годности и коэффициент износа.

В процессе анализа изучается динамика перечисленных показателей. С целью более глубокого анализа эффективности использования основных фондов показатель фондоотдачи определяется по всем основным фондам, фондам производственного назначения, активной их части (машинам и оборудованию).

Целью данного анализа является оценка состояния, структуры и динамики основных фондов предприятия.

Данные о первоначальной стоимости основных фондов заносят в таблицу 3.1.

Определим удельный вес каждой части в общей сумме основных средств.

Далее рассчитаем изменения в абсолютном и относительном выражении. После этого внесем в таблицу данные о начисленном износе (форма № 5) и остаточной стоимости (форма№1) и определим коэффициент износа основных фондов. Результаты, полученные при расчете, представлены в таблице 3.1.

Таблица 3.1 - Анализ структуры и состояния основных фондов


Далее необходимо определить динамику суммы и структуры основных фондов и оценить тенденции происходящих изменений. При этом структура основных фондов характеризуется соотношением активной и пассивной частей.

Из приведенных в таблице данных видно, что наибольшую долю в стоимости основных фондов составляют машины и оборудование, их стоимость составила 480407 тыс.руб. (50,30% стоимости основных фондов) на начало 2008г. и 771003 тыс.руб. (55,94% стоимости основных фондов) на конец 2010г.

При этом наибольшую долю в структуре основных фондов занимает активная часть (машины и оборудование, транспортные средства) - 54,1 %, а пассивная часть (здания, сооружения, передаточные устройства, прочие ОФ) составляет 45,9% соответственно.

Далее состояние основных фондов оценим следующими коэффициентами:

коэффициент износа (амортизации)

КИЗН = АФНАЧ.ИЗН/ФПЕРВ

где, АФНАЧ.ИЗН - начисленный износ ОФ (начисленная амортизация),

ФПЕРВ - первоначальная стоимость ОФ.

К изннач2008= 53,68%

К изннач2008акт=61,29%

К изнкон2010=54,85%

К изнкон2010акт=56,19%

Далее расчет производим аналогично, и полученные результаты вносим в таблицу.

коэффициент годности (доля остаточной стоимости в первоначальной стоимости ОС)

КГОДН = 1 - КИЗН

Кгодн нач2007=46,32%

Кгодн нач2007акт=38,71%

Кгодн кон2009=45,15%

Кгод кон2009акт=43,81%

Коэффициент износа основных средств показывает, насколько амортизированы основные средства, т.е. в какой мере профинансирована их возможная будущая замена по мере износа.

Затем анализируется движение ОФ на предприятии по указанным ниже показателям:

коэффициент обновления:

КОБНОВ = ФП/ ФК

К обнов2008 = 165393 / 1101979 = 15,01 %

К обнов2009= 195 998/ 1 283 183=15,27%

К обнов2010= 123 821/ 1 378 333=8,98%

коэффициент интенсивности обновления:

КИНТ.ОБНОВ = ФВ/ ФП

КИНТ.ОБНОВ2008 = 18492/165393=11,18%

КИНТ.ОБНОВ2009= 14 794/ 617118=7,55%

КИНТ.ОБНОВ2010= 28 671/ 773903=23,16%

Далее произведем расчет коэффициента интенсивности по активной части и внесем полученные результаты в таблицу.

коэффициент темпа поступления (коэффициент прироста),

КТЕМПАПОСТ = (ФП - ФВ)/ФН

КТЕМПАПОСТ2008 = (165393-18492)/955078 = 15,38%

КТЕМПАПОСТ2009=(195998-14794)/1101979=16,44%

КТЕМПАПОСТ2010=(123821-28671)/1283183=7,42%

Далее произведем расчет коэффициента темпа поступления по активной части и внесем полученные результаты в таблицу.

коэффициент выбытия

КВЫБЫТ = ФВ/ ФН

Квыб2008 = 18492/955078= 1,68%

Квыб2009 =14794/1101979=1,5%

Квыб2010 =28671/1283183=1,2%

где, ФК - стоимость основных фондов на конец года;

ФН - стоимость основных фондов на начало года;

ФП - стоимость поступивших в анализируемом периоде основных фондов;

ФВ - стоимость выбывших в анализируемом периоде основных фондов.

Далее произведем расчет коэффициентам выбытия поступления по активной части и внесем полученные результаты в таблицу.

Период обновления рассматривают с коэффициентом выбытия основных фондов. Так как этот коэффициент имеет тенденцию к уменьшению, период обновления рассматривать нецелесообразно.

Все вышеперечисленные коэффициенты сведены в таблицу 3.2

Таблица 3.2 - Анализ движения и обновления основных фондов


Из таблицы 3.2 видно, что всего было введено основных фондов в 2008 году 165393тыс.р., в 2009 году 195998 тыс.р., в 2010 123821 тыс.р. Коэффициент обновления составляет 15,01%,15,27% и 8,98% соответственно. Выбывшие основные фонды в стоимостной оценке составили 18492 тыс.р.,14794 тыс.р. и 28671 тыс.р. соответственно по годам.

3.2 Анализ использования основных фондов

Анализ использования основных фондов проводится в целях результативности применения основных фондов в производстве. Анализ производится по следующим показателям:

фондоотдача (характеризует выпуск продукции на рубль основных фондов):


где, ТП- объем продукции, относительно которого определяется фондоотдача,

Фср год - фонд среднегодовой, определяется по формуле:


ФОТД2008=2713131/1028529=2,64руб.

ФОТД2009=3159570/1192581=2,65руб.

ФОТД2010=2128063/1330758=1,6руб.

В отчетном периоде показатель фондоотдачи равен 1,6 руб. Фондоотдача в 2010 снизилась по сравнению с 2008 на 1,03 руб., это говорит о снижении темпов производства, увеличении затрат на воспроизводство новых фондов, следовательно, увеличении издержек производства.

рентабельность основных фондов:

RОФ = Пр / ОССР.ГОД

Rоф08= 1028529/427313=41,55%

Rоф09= 1192581/778180=62,25%

Rоф10=1330758/67454 =5,07%

Результаты представлены на рисунке 3.

Рисунок 3 - Динамика показателя «Рентабельность ОФ»

Как видно из рисунка, показатель рентабельности основных фондов в предыдущем году по сравнению с базисным увеличилась на23,71%, а в отчетном по сравнению с предыдущим резко уменьшилась на 53,05%, что означает неэффективное использование ОФ.

изменение объема производства в связи с изменением фондоотдачи


Результаты расчета представлены в таблице.

изменение объема производства в связи с изменением объема основных фондов

ОФ - индекс роста основных фондов.

Результаты расчета представлены в таблице.

относительная экономия/перерасход основных фондов за счет изменения фондоотдачи:


Исходные данные и аналитические расчеты сводятся в таблице 3.3.

Таблица 3.3 - Анализ использования основных фондов


Прирост продукции за счет изменения фондоотдачи составил 505531,2тыс. руб. в 2009 году по сравнению с 2008, и в 2010 году по сравнению с 2008 -468173,86 тыс. руб.

Относительный перерасход основных фондов за счет изменения фондоотдачи составил

,93 тыс. руб. в 2009 году по сравнению с 2008, и 329877,977 тыс. руб. в 2010 по сравнению с 2008 годом.

Можно сделать вывод, что динамика изменений использования основных фондов носит негативный характер, на это указывает снижение к 2010 году по сравнению с 2007 таких показателей, как фондоотдача (2,64-1,6 руб.), рентабельность основных фондов (41,55-5,07%).

Чтобы увеличить показатель фондоотдачи нужно снизить условно-постоянные издержки путем увеличения объема выпуска продукции. Также постоянно модернизировать основные средства и обеспечивать более полную их загрузку (введение большего количества производственных смен).

4. Оценка факторов экстенсивного и интенсивного развития предприятия

С позиции оценки ресурсного потенциала организации как способности выполнять предусмотренный технологический процесс и генерировать требуемые результаты, удобно подразделять всю совокупность ресурсов на три группы: средства производства, которые в свою очередь делятся на предметы труда и средства труда, и рабочую силу. Именно эти три вида ресурсов, объединяясь в производственно-технологическом процессе, обеспечивают достижение заданных целевых установок.

Ресурсы двух первых групп представлены в балансе, т.е. имеют однозначную стоимостную оценку. Трудовые ресурсы в бухгалтерской отчетности не представлены (если не считать расходов и задолженности по заработной плате, которые являются объектами управленческого учета и внутреннего анализа), но представлены в статистической отчетности.

Технический прогресс вынуждает организации быстрее обновлять свой основной капитал в условиях новых технологий, поэтому оценка ресурсного обеспечения и технологического уровня производства является первостепенной задачей экономического анализа. Как известно, экономический рост организации базируется на сочетании экстенсивных (прирост массы используемых в производстве ресурсов) и интенсивных (повышение эффективности использования ресурсов) факторов.

К экстенсивным относятся такие факторы экономического развития, как увеличение числа работников, основных средств, потребляемых материальных ресурсов.

К интенсивным относятся факторы, обеспечивающие повышение эффективности использования ресурсов:

рост производительности труда в результате сокращения потерь рабочего времени, снижения трудоемкости, высвобождения персонала;

снижение материалоемкости товара вследствие ликвидации потерь материалов, применения более прогрессивных предметов труда, повышения коэффициента использования материалов, совершенствовании ценообразования;

снижение фондоемкости при повышении коэффициента загрузки и использования оборудования, росте его производительности, улучшении использования производственной мощности, вводе экономически эффективных основных средств.

В данном разделе производится анализ соотношения экстенсивных и интенсивных факторов в развитии предприятия.

Доля экстенсивных факторов в развитии предприятия равна:


Где, Дзп0 - доля ЗП с отчислениями в расходах по обычным видам деятельности в базисном периоде;

Тзппр - темп прироста ЗП и отчислений в анализируемом периоде относительно базисного;

Дмк0 - доля материалов и комплектующих в расходах по обычным видам деятельности в базисном периоде;

Тмкпр- темп прироста данных расходов в анализируемом периоде относительно базисного;

Дэн0- доля энергозатрат в базисном периоде;

Тэнпр- темп прироста энергозатрат в анализируемом периоде относительно базисного;

Да0- доля амортизационных отчислений;

Тапр- темп прироста амортизационных отчислений;

Ттппр-темп прироста товарной продукции

Э=1,1%

И= 100%-Э

И= 100%-1,14%=98,86%

Интенсивное развитие преобладает, так как И>Э.

По другим анализируемым периодам расчет производится аналогично. Результаты занесены в таблицу 4.1.

Таблица 4.1 - Оценка экстенсивных и интенсивных факторов развития предприятия


По результатам данного анализа можно сделать вывод о том, что в отчетном 2010 году так же, как и в базисном 2008 предприятие АО «Кубаньжелдормаш» развивается за счет интенсивных факторов, так как И>Э, то есть за счет совершенствования использования производственных ресурсов, технологии и организации производства. То есть при интенсивном развитии основной упор делается именно на повышение качества, а не количества благодаря технико-экономическому прогрессу.

5. Анализ использования капитала

.1 Анализ эффективности использования капитала

Бизнес в любой сфере деятельности начинается с определенной суммы денежной наличности, за счет которой приобретается необходимое количество ресурсов, организуется процесс производства и сбыт продукции. Капитал в процессе своего движения проходит последовательно три стадии кругооборота: заготовительную, производственную и сбытовую.

На первой стадии предприятие приобретает необходимые ему основные фонды, производственные запасы, на второй- часть средств в форме запасов поступает в производство, а часть используется на оплату труда работников, выплату налогов, платежей по социальному страхованию и другие расходы. Заканчивается эта стадия выпуском готовой продукции. На третьей стадии готовая продукция реализуется и на счет предприятия поступают денежные средства, причем, как правило, больше первоначальной суммы на величину полученной прибыли от бизнеса. Следовательно, чем быстрее капитал сделает кругооборот, тем больше предприятие получит и реализует продукции при одной и той же сумме капитала за определенный отрезок времени. Задержка движения средств на любой стадии ведет к замедлению оборачиваемости капитала, требует дополнительного вложения средств и может вызвать значительное ухудшение финансового состояния предприятия.

Информационными источниками для анализа капитала предприятия являются баланс предприятия (форма №1), приложения к балансу (форма №5). Достигнутый в результате ускорения оборачиваемости эффект выражается в первую очередь в увеличении выпуска продукции без дополнительного привлечения финансовых ресурсов. Кроме того, за счет ускорения оборачиваемости капитала происходит увеличение суммы прибыли, так как обычно к исходной денежной форме он возвращается с приращением. Если производство и реализация продукции являются убыточными, то ускорение оборачиваемости средств ведет к ухудшению финансовых результатов и "проеданию" капитала.

Из сказанного следует, что нужно стремиться не только к ускорению движения капитала на всех стадиях кругооборота, но и к его максимальной отдаче, которая выражается в увеличении суммы прибыли на один рубль капитала. Повышение доходности капитала достигается рациональным и экономным использованием всех ресурсов, недопущением их перерасхода, потерь на всех стадиях кругооборота. В результате капитал вернется к своему исходному состоянию в большей сумме, т.е. с прибылью.

Таким образом, эффективность использования капитала характеризуется его доходностью (рентабельностью) - отношением суммы прибыли к среднегодовой сумме основного и оборотного капитала.

Анализ эффективности использования капитала проводится по показателям рентабельности активов и рентабельности собственного капитала предприятия.



Где, Прпрод- прибыль от продаж

Аср- среднегодовая стоимость активов

ROA 2008=427313/566905,5=0,75

ROA 2009=778180/695510,5=1,12

ROA 2010=67454/796125=0,08

Динамика изменения данного показателя представлена на рисунке 4.

Рисунок 4 - Динамика рентабельности капитала

Можно сделать вывод о том, что данный показатель имеет тенденцию к снижению, так как изменения в отчетном периоде, по сравнению с базисным составили - 2 %.

Далее оцениваем эффективность использования капитала через прирост чистых активов на единицу примененного капитала:


Где, ЧА1 - чистые активы на конец года (периода);

ЧА0 - чистые активы на начало года (периода);

ДИВВЫП - выплаченные за анализируемый год дивиденды (из формы №4 с учетом определенных выше процентных выплат);

Аср - среднегодовая стоимость активов (капитала).

Чистые активы должны быть не просто положительные, но и превышать уставный капитал организации. На начало анализируемого периода чистые активы составляли 2249770 тыс.руб., а на конец 2769634 тыс.руб. То есть произошло их увеличение. Данные сводят в таблицу 5.1

Таблица 5.1 - Расчет чистых активов


5.2 Анализ интенсивности использования капитала

Данный анализ позволит выявить влияние факторов на изменение интенсивности использования капитала. Интенсивность использования капитала оценивается показателями оборачиваемости и продолжительности оборота.

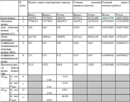
Рассчитаем коэффициент оборачиваемости оборотных активов (количество оборотов в анализируемом периоде) определяется по формуле:


К обоа2008=2427308,5/6775352=0,358

К обоа2009=2946422/7595171=0,388

К обоа2010=2660856/7367756=0,361

Как видно, данный показатель в отчетном периоде, повысился по сравнению с базисным (0,358 и 0,361).

Расчет коэффициентов оборачиваемости оборотных активов и их элементов представлены в таблице 5.2.

Таблица 5.2 - Расчет оборачиваемости оборотных активов


Коэффициент оборачиваемости капитала определяется по формуле:


Где, Уоа -доля оборотных активов в валюте баланса;

Кобоа - коэффициент оборачиваемости оборотных активов.

Кобк2008=0,82*0,87=0,71

Кобк2009=0,82*0,94=0,78

Кобк2010=0,81*0,89=0,72

Изменения коэффициента оборачиваемости капитал за счет изменения удельного веса в 2009 году по сравнению с 2008 составили 0,004, и в отчетном 2010 по сравнению с 2008 -0,041, а за счет изменения коэффициента оборачиваемости оборотных активов в 2009 году по сравнению с 2008 составили 0,057, и в 2010 по сравнению с 2008 составили -0,041

Определим период оборота капитала по формуле:


Где, Тобоа - период оборота оборотных активов

Тобк2008 = 419,5 дн.

Тобк2009 = 388,3 дн.

Тобк2010 = 410,1 дн.

Период оборота оборотных активов в 2010 году по сравнению с 2008 уменьшился на 9,4 дня.

Изменения Тобк за счет изменения удельного веса в 2009 году составили -2,725, а в 2010 году - 8,834 по сравнению с 2008 годом.

Изменения Тобк за счет изменения коэффициента оборачиваемости составили в 2009 году 38,087, а в 2010 году -26,452 по сравнению с базисным.

Результаты расчетов представлены в таблице 5.3.

Таблица 5.3 - Оценка изменений интенсивности использования капитала


В результате прирост прибыли за счет изменения оборачиваемости капитала составил в 2009 году - 24829,9 тыс.р., а в 2010 году прирост - -26007,66 тыс.р. по сравнению с базисным периодом. Можно сделать вывод об отрицательной тенденции деятельности предприятия.

6. Анализ платежеспособности по агрегированному балансу и коэффициентам ликвидности

Одним из показателей, характеризующих финансовую устойчивость предприятия, является его платежеспособность, т.е. возможность наличными денежными ресурсами своевременно погашать свои платежные обязательства. Платежеспособность является внешним проявлением финансового состояния предприятия, его устойчивости.

Анализ платежеспособности производится при помощи финансовых коэффициентов, характеризующих ликвидность баланса. Различные показатели ликвидности не только дают характеристику устойчивости финансового состояния организации при разных методах учета ликвидности средств, но и отвечают интересам различных внешних пользователей аналитической информации. Для поставщиков сырья и материалов наиболее интересен коэффициент абсолютной ликвидности. Банк, дающий кредит организации, больше внимания уделяет коэффициенту «критической оценки». Покупатели и держатели акций предприятия в большей мере оценивают финансовую устойчивость организации по коэффициенту текущей ликвидности. Для внешних пользователей оценка платежеспособности осуществляется на основе характеристики ликвидности предприятия.

Ликвидность - термин, который характеризует способность отдельных видов имущественных ценностей быстро и без значительных потерь своей стоимости превращаться в денежные средства.[9]

Считается, что предприятие ликвидно, если имеющееся покрытие в виде оборотных и внеоборотных активов, превышает потребность в платежных средствах либо, по меньшей мере, совпадает с ней (то есть, имеется возможность платить по своим обязательствам). Уточняя понятие ликвидности следует отметить, что оно характеризует такое финансовое состояние, при достижении которого предприятие не только сможет выполнить свои финансовые обязательства, но ему гарантировано продолжение производственно-хозяйственной деятельности в определенном периоде времени в будущем. Если же потребность в платежных средствах неоднократно превышает их поступление, возникают разрыв ликвидности, что может привести к неплатежеспособности предприятия. Рассмотрим, как понимать ликвидность предприятия подробнее.

Источником информации для определения платежеспособности (ликвидности) предприятия служит бухгалтерский баланс. Для удобства чтения данных и проведения анализа производят преобразование стандартной формы баланса в агрегированную (укрупненную) форму. Главное отличие агрегированного баланса от обычного в том, что статьи группируются по их экономическому содержанию. Обычный баланс - это детали, агрегированный - картина в целом.

Форма агрегированного баланса более удобна для чтения и проведения анализа, она позволяет выделить ключевые элементы, характеризующие состояние компании. Кроме того, подобная форма представления информации близка к используемым в мировой практике формам балансовых отчетов. Для проведения качественного анализа необходимо корректное агрегирование баланса. Структура бухгалтерского баланса остается прежней, точно так же выделяются текущие и постоянные активы, капитал - заемный и собственный, сохраняется основное равенство бухгалтерского баланса, но при этом внутри разделов отдельные статьи группируются.

Ликвидность баланса означает наличие оборотных средств в размере, потенциально достаточном для погашения краткосрочных обязательств. Ликвидность баланса является основой платежеспособности организации.

Далее произведем расчет коэффициента абсолютной ликвидности, который показывает, какая часть текущей задолженности может быть погашена в ближайшее к моменту составления баланса время, что является одним из условий платежеспособности:


где, Д - денежные средства;

КФВ - краткосрочные финансовые вложения;

Р(V) -раздел Vбаланса;

ДБТ-доходы будущих периодов;

РПР-резервы предстоящих расходов

Кална нач=(72771+171200)/(543856-76)=0,45

Кална кон=(61856+460554)/(753999-68)=0,69

В целом наблюдается повышение этого коэффициента, и его уровень выше нормативного (Кал>0,1) и следовательно, предприятие способно погасить имеющуюся краткосрочную задолженность.

Далее рассчитаем коэффициент быстрой (критической) ликвидности, который показывает, какую часть принятых к расчету обязательств покрывают активы различной срочности:


где, Р(II)- раздел IIбаланса

Зап-запасы;

НДС-налог на добавленную стоимость по приобретенным ценностям;

Р(V) -раздел V баланса;

ДБТ-доходы будущих периодов;

РПР-резервы предстоящих расходов

Кблна нач=(2325704-(1308491+37532))/(543856-(76-0))=1,80

Кблна кон=(3031558 -(1708582+12672))/(3644366-(68-0))=0,36

Так как в начале анализируемого периода значение коэффициента выше нормативного (Кбл>0,8), то из этого следует, что риски на начало анализируемого периода невыполнения в срок обязательств минимальны.

Рассчитаем коэффициент текущей ликвидности, который показывает, в какой степени текущие активы покрывают краткосрочные обязательства.:


Ктлна нач= (2325704-37532)/(543856-(76+0))=4,21

Ктлна кон= (2932543-12672)/(753999-(68+0))=3,87

Значения вышеперечисленных показателей соответствуют норме.

Затем расчитывается коэффициент утраты платежеспособности за период равный 3 месяцам.


Куп=(3.87+3/36*(3,87-4,21))/1,5=2,56

Значение коэффициента больше единицы, поэтому находим период времени, через который значение коэффициента «пробьет» нормативный уровень.


Хт=((1,5-3,87)*36)/(3,87-4,21)=254,97

Следовательно предприятие утратит свою платежеспособность нескоро, а именно через 254,97 лет.

Затем проводится анализ динамики удовлетворительности структуры баланса. Для этого дополнительно рассчитываются доли собственных оборотных средств в оборотных активах:

Коэффициенты доли собственных оборотных средств в оборотных активах определяются на начало и конец базисного года, а также на конец предыдущего и отчетного годов.

Дсос нач баз=(2249694-577867)/2325704=0,72

Дсос кон баз=(2614783-639800)/3231981=0,61

Дсос кон пред=(3024706-691832)/3031558=0,77

Дсос кон отч=(2795367-711823)/2932543=0,71

Рекомендуемое значение Дсос больше 0,1, значит оценка этого показателя в данной ситуации положительна.

На заключительном этапе данного анализа рассчитываем коэффициент доли утраты СОС.


КДутр сос=(0,71+3/36*(0,71-0,72))/0,1=7,1

Проанализировав полученные показатели, можно сделать вывод о том, что структура баланса на соответствующую дату (на конец 2010 года) является удовлетворительной, так как оба коэффициента (Ктл и Дсос) соответствуют нормативному уровню. Следовательно, риск банкротства мал.

7. Анализ финансовой устойчивости

Цель анализа - оценить способность предприятия выполнять свои платежные обязательства

Применяются три способа анализа:

- оценка типа финансовой устойчивости;

- коэффициентный анализ;

методика М. Дюрана.

Насколько устойчиво либо не устойчиво то, либо иное предприятие можно сказать, зная насколько сильную зависимость предприятие испытывает от заемных средств, насколько свободно оно может маневрировать собственным капиталом, без риска выплаты лишних процентов и пени за неуплату, либо неполную выплату кредиторской задолженности вовремя.

Финансовая устойчивость формируется в процессе всей производственно-хозяйственной деятельности и является главным компонентом общей устойчивости предприятия.[11]

Финансовая устойчивость - составная часть общей устойчивости предприятия, сбалансированность финансовых потоков, наличие средств, позволяющих организации поддерживать свою деятельность в течение определенного периода времени, в том числе обслуживая полученные кредиты и производя продукцию.[10]

Для оценки типа финансовой воспользуемся классификацией, приведенной в таблице 7.1, расположенной ниже.

В данном случае на начало анализируемого периода выполняется третье условие, то есть у предприятия АО «Кубаньжелдормаш» нормальное (удовлетворительное) финансовое состояние, так как запасы сформированы за счет собственных оборотных средств, долгосрочных и краткосрочных кредитов и займов.

Таблица 7.1 - Типы финансовой устойчивости

Типыфин. устойчивости

Характеристика типов

Признаки типа

1.«Абсолютная» финансовая устойчивость

Запасы сформированы за счет собственных оборотных средств

З ≤ СОС

2.Нормальная финансовая устойчивость

Запасы сформированы за счет собственных оборотных средств и краткосрочных кредитов и займов

З ≤ СОС+ККЗ,

3.Неустойчивое финансовое состояние

Запасы сформированы за счет собственных оборотных средств и краткосрочных обязательств

З ≤ СОС + КО

4.Кризисное финансовое состояние

Запасы не обеспечиваются источниками их формирования, предприятие на грани банкротства

З > СОС + КО





Анализ финансовой устойчивости по коэффициентам будет производиться за базисный и отчетный год анализируемого периода и результате чего будет определена тенденция изменения финансовой устойчивости по отдельным коэффициентам.

Определим коэффициент автономии или финансовой независимости.

Кск=СК/ВБ,

Где СК-собственные средства

ВБ-валюта баланса

Кск баз=2249694/3871781=0,58

Кск отч=0,77

Определим коэффициент отношения заемных и собственных средств (финансовой устойчивости):


Где, ДЗ - долгосрочные кредиты, займы и т.п. (долгосрочные заимствования),

К зk/сkбаз=(1/0,58)-1=0,72

Кзк/ск отч=0,3

Данный коэффициент означает, что на каждый рубль собственных средств, вложенных в активы предприятия, приходится 0,72 руб. заемных средств. Это указывает на низкую зависимость предприятия от внешних кредиторов и инвесторов и на высокую финансовую устойчивость.

Далее определим коэффициент маневренности, который отражает степень мобильности («финансовой гибкости») долгосрочного капитала:


Кман баз=1671827/2249694

Кман отч=0,75

В течение всего анализируемого периода Кман больше 0,5, это означает, что у предприятия есть собственного капитал для финансирования текущей деятельности.

8. Стохастические модели оценки финансового состояния по риску банкротства

Любой хозяйствующий субъект современной рыночной экономики сталкивается с финансовыми рисками как возможными негативными воздействиями на финансовую эффективность его деятельности. В силу этого главным выводом общей теории финансов является утверждение, что финансовый риск вездесущ, и ему подвержены лица, фирмы и правительства почти в любой сфере их деятельности. Являются крайне актуальными научные исследования в области математического моделирования оценки финансовых рисков и процессов управления ими, основанные на методах стохастической финансовой математики. Определения степени риска банкротства является актуальной задачей как для собственников предприятия, так и для его кредиторов.

Произведем оценку финансовой устойчивости по моделям прогнозирования банкротства. Расчет произведен подвум из указанных ниже моделей:

. Модель прогнозирования банкротства организаций Великобритании британского экономиста Лиса (разработана в 1972 г.):

л = 0,063 K1+ 0,692 K2 + 0,057К3 + 0,601К4,

где K1 - Оборотный капитал/ Сумма активов;- Прибыль от реализации/Сумма активов;

К3 - Нераспределенная прибыль/ Сумма активов;

К4 - Собственный капитал/ Заемный капитал.

Zл(2008)=0,063*2325704/2903571+0,692*427313/2903571+0,057*0+0,601*2249694/(110021+543856)=2,22л(2010)=0,063*2932543/3644366+0,692*778180/3644366+0,057*549134/3644366+0,601*2795367/(95000+753999)=2,19

Интерпретация результатов:< 0,037 - вероятность банкротства высокая;> 0,037 - вероятность банкротства малая.

В данном случае, в результате расчета, можно сделать вывод о том, что вероятность банкротства предприятия мала. Но следует обратить внимание на то, что данная модель является зарубежной методикой диагностики. В этом случае механический перенос американской практики в условия российской экономики может привести к значительным отклонениям в расчетах от реальных условий. Поэтому зарубежные модели не всегда обеспечивают достаточную точность вероятности банкротства.

. Двухфакторная модель прогнозирования банкротства Лео Хао Суан, разработана по данным российских предприятий. Данная модель дает возможность оценить риск банкротства предприятий среднего класса производственного типа.

= 0,3872 + 0,2614КТЛ + 1,0595КФН,

где Кфн - коэффициент финансовой независимости СК/ВБ.

Интерпретация результатов:< 1,3257 - вероятность банкротства очень высокая;

,3257 < Z < 1,5457 - вероятность банкротства высокая;

,5457 < Z < 1,7693 - вероятность банкротства средняя;

,7693 < Z < 1,9911 - вероятность банкротства низкая;> 1,9911 - вероятность банкротства очень низкая.

Zбаз=0,3872+0,2614*4,21+1,0595*0,58=2,1

Zотч=0,3872+0,2614*3,87+1,0595*0,77=2,21

Судя по данным вероятность банкротства очень низкая.

Заключение

В данном курсовом проекте проводился комплексный анализ производственно-хозяйственной деятельности на примере АО «Кубаньжелдормаш»

В данной работе изложены принципы, задачи и цели финансового анализа. Изучена финансовая отчетность необходимая для анализа предприятия, а также рассмотрены основные методы, используемые при финансовом анализе. Рассмотрена методика анализа финансового состояния предприятия, в которой включены такие разделы, как оценка финансового состояния и его изменения за отчетный период, анализ баланса предприятия. Также рассмотрена методика анализа финансовых результатов и рентабельности предприятия.

В ходе работы были решены следующие задачи:

.Анализ объема производства, в котором была дана оценка роста товарной продукции, на прирост которой, в большей степени, повлияло изменение цен под влиянием инфляции. А основным источником поступления денежных средств является реализация услуг Телефония и Интернет.

.Анализ основных средств предприятия, в котором был сделан вывод о снижении эффективности использования основных фондов на исследуемом предприятии в 2009 году, о чем свидетельствуют показатели рентабельности и фондоотдачи.

.Оценка факторов экстенсивного и интенсивного развития предприятия показала, что предприятие развивается за счет интенсивных факторов, то есть за счет повышения качества, а не количества благодаря технико-экономическому прогрессу

. Анализ платёжеспособности по коэффициентам ликвидности показал, что структура баланса на соответствующую дату (на конец 2009 года) является неудовлетворительной, так как все коэффициенты (Ктл и Дсос) не превышают выбранный нормативный уровень.

. Анализ использования капитала показал, что доля заемных средств на предприятии превышает долю собственных. Что свидетельствует о финансовой неустойчивости предприятия.

. Стохастические модели оценки финансового состояния по риску банкротства показали невысокую вероятность банкротства.

Таким образом, можно говорить об удовлетворительном развитии предприятия на протяжении всего анализируемого периода.

Список используемой литературы

1. Бухгалтерская отчетность предприятия АО «Кубаньжелдормаш»

. Герасименко, С. Э. Маркарьян Экономический анализ хозяйственной деятельности: учебное пособие- Москва: КноРус, 2010

. Ершова С.А. Анализ и диагностика финансово-хозяйственной деятельности предприятия: учебное пособие. - СПб.: СПбГAСУ, 2007.

. Киреева, Н. В. Комплексный экономический анализ хозяйственной деятельности: учебное / Н. В. Киреева. - Москва: Социальные отношения, 2007

. Любушин, Н. П. Комплексный экономический анализ хозяйственной деятельности: учебное пособие / Н. П. Любушин. - Москва: ЮНИТИ-ДАНА, 2009

. Пожидаева Т.А., Коробейникова Л.С., Купрюшина О.М. Экономический анализ: Практикум. - Воронеж: Изд-вo ВГУ, 2005

. Савицкая, Г. В. Методика комплексного анализа хозяйственной деятельности: учебное пособие / Г. В. Савицкая. - Москва: Инфра-М, 2007

. Савицкая, Г. В. Экономический анализ: учебник / Г. В. Савицкая. - Москва: Инфра-М, 2011

. http://www.audit-it.ru/finanaliz/terms/liquidity/sos.html-собственные оборотные средства

. http://bizkiev.com/content/view/941/205/ - финансовая устойчивость предприятия

. http://knigi-uchebniki.com/finansovyiy-analiz_729/neustoychivoe-finansovoe-sostoyanie.html- неустойчивое финансовое состояние предприятий.

Похожие работы на - Анализ финансово-хозяйственной деятельности АО 'Кубаньжелдормаш'

 

Не нашли материал для своей работы?
Поможем написать уникальную работу
Без плагиата!
Без нейросетей!