|
№
|
Наименование оборудования
|
Кол-во
|
|
1
|
Варочный котёл емкостью 6,3м3
|
4
|
|
2
|
Нории НЦГ-10х2
|
2
|
|
3
|
Скребковый транспортёр ТТБ-50
|
3
|
|
4
|
Скребковый транспортёр ДТС-10
|
4
|
|
5
|
Вальцевый станок ЗМП
|
1
|
|
6
|
Охладитель «Зайдак»
|
2
|
|
7
|
Накопитель жидких пищевых отходов
|
2
|
|
8
|
Смеситель кормов ВКС-5м
|
2
|
|
9
|
Пневмонагнетатель емкостью 5,5м3
|
2
|
|
10
|
Компрессор производительностью 5м3\мин
|
3
|
|
11
|
Ресивер емкостью 6,3м3 с p=0,8Мпа
|
3
|
|
12
|
Трактор с бульдозером
|
1
|
|
13
|
Пневмоцилиндры
|
39
|
|
14
|
Электроаппаратура, электрооборудование и КИП
|
|
Устройство и работа варочного котла.
Варочный котёл представляет собой
корпус, сваренный из листовой стали толщиной 8 мм. И полусферическим верхним и
нижним днищами. На верхнем днище имеется люк диаметром 600мм с крышкой, которая
открывается и закрывается пневмоцилиндром. В верхнее днище вварены трубы кормопровода,
подвода воды и пара, воздуха. В нижней части котла на расстоянии 250 мм от
нижнего днища установлен змеевик с отверстиями для равномерного распределения
пара по емкости. В нижней части корпуса имеется люк для очистки и ремонта
котла. Над загрузочным люком устанавливается загрузочная воронка для приема
пищевых отходов, которая направляет отходы непосредственно в люк.
Рабочий процесс в котле происходит
следующим образом: в котёл заливается вода, трактором загружаются пищевые
отходы и включается пар высокого давления 2 атм. Варка производится при
открытой крышке котла, продолжительностью 1 час 30минут. После истечения этого
времени закрывается крышка котла, отключается пар и подаётся сжатый воздух под
давлением 3-4 атм. И сваренные корма передуваются по трубопроводу в охладители
смесительного отделения. После чего процесс повторяется снова.
Варочный котёл для жидких пищевых
отходов имеет ту же конструкцию.
Устройство и работа охладителя
кормов «Зайдак».
Охладитель представляет собой
цилиндр высотой 7,5 метров и диаметром 2,4 метра сварной конструкции. Верхняя
часть имеет полусферическое днище с патрубком для крепления пароотводящей
трубы.
Нижняя часть цилиндра имеет
конусообразную форму, куда осаждаются некоторые тяжелые тела и предметы,
попадающие в пищевые отходы. Верхний конус и нижний соединяются болтами. В
нижнем корпусе в конической части имеется лаз с крышкой для удаления
посторонних предметов.
В нутрии основного нижнего корпуса
находится второй цилиндр диаметром 1880 мм., который приваривается к основному
и образует охладительную рубашку. Между стенками протекает вода снизу вверх,
которая охлаждает корма, а нагретая от кормов вода используется в варочных
котлах.
Корма в охладитель поступают по
питательной трубе, проходящей через специальный патрубок и охлаждаются
воздухом, нагнетаемым вентилятором.
Разгрузка охладителя производится
через специальный патрубок с пневмозадвижкой в смеситель кормов. Патрубок
расположен выше конусной части днища.
а) Проектирование охладителя кормов
и вопросы его эксплуатации.
Сваренные пищевые отходы имеют
температуру 1000С, такие корма давать животным нельзя, необходимо их
охладить до температуры +700С.
В качестве охладителя берём
охладитель - выпариватель типа «Зайлак», применяемой в химической промышленности.
Внутреннею часть удаляем и переоборудываем для охлаждения кормов.
Охладитель имеет корпус сварной
конструкции, разъемный, в нижней части корпуса конусное днище, в котором
собирается при оседании посторонние тяжелые предметы, й находящиеся в пищевых
отходах. Внутри нижней части корпуса вваривается цилиндр, который является
охлаждающей рубашкой.
Между стенками основного корпуса
охлаждающей рубашки циркулирует вода для охлаждения кормов. Холодная вода
подводится через нижний штуцер и отводится через верхний уже нагретая.
Верхний корпус имеет полусферическое
днище, к которому приваривается патрубок с фланцем для крепления пароотводящей
трубы.
С другой стороны под воздушную
решетку подводится труба, по которой вентилятором нагнетается холодный воздух.
Корма попадая на воздушную решетку встречает поток холодного воздуха решетки,
который их охлаждает. Диаметр отверстий 8 мм.
Ножевая решетка выполнена из
клиновидных полос, которые собираются на стяжных болтах. Между ножами
устанавливаются распорные втулки. Решетка в верхней части шарнирно соединяется
с воздушной решеткой и устанавливается на регулируемых расстояниях.
Воздушная решётка изготовлена из
стали 8мм.
Расчетное обоснование.
Технологический расчет.
Для охлаждение кормов в охладителе
используется воздух и вода. Вначале охлаждение производится воздухом на
воздушной решётке, а затем водой.
Температура кормов поступающих в
охладитель 1000С. Температура кормов после охлаждения должна быть 700С.
Принимаем охлаждение кормов при охлаждении воздухом 100С.
Время охлаждения 10 минут.
Первоначальное заполнение охладителя кормом в количестве 20т.
Количество тепла подлежащее удалению
при охлаждении воздухом определяется формулой:
Где Gк - вес кормов в кг., tн - начальная температура
кормов, tк - конечная температура
кормов, с - теплоемкость кормов, t - время охлаждения в минутах.
Определим необходимое количество
воздуха по уравнению:
Где L - количество воздуха м3\г., с - теплоемкость воздуха, γ - удельный вес воздуха.
Отсюда объем воздуха:
Определим количество тепла, которое
может быть передано кормам через рабочую поверхность охлаждающей рубашки в 1
час, если время охлаждения 3 часа. Начальная температура кормов 900С, конечная 700С.
Начальная температура охлаждающей
воды в летнее время +100С, температура воды на
выходе из охладителя +400С.
Где с - теплоемкость кормов.
Рабочая поверхность охлаждения
рассчитывается по формуле:
м3
Где к - коэффициент теплопередачи от
кормов к охлаждающей воде через охладительную рубашку. К = 230ккал\м2*град
= 966кДж\м2*град.
tср - средняя
логарифмическая разность между охлаждаемой и охлаждающей средой.
Средняя логарифмическая разность
температур может быть определена по формуле Граегофа:
Где tн - температура охлаждаемых кормов при входе в зону охлаждения.
tн/ - температура воды при входе в охладитель.
tк - температура кормов при
выходе из охладителя.
tк/ - температура воды при выходе из охладителя.
Тогда рабочая поверхность
охладителя:
Конструктивно поверхность охлаждения
принимается: F=π*d*l=3.14*1.9*3.4=20.3м2.
Расход воды для охлаждения:
Где с1 - теплоемкость
воды.
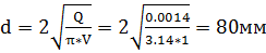
Определим диаметр водопроводных
труб, подводящих воду к охладителю.
Принимаем скорость воды 0,75м\с.
Расход воды
Получаем внутренний диаметр трубы 50
мм.
Устройство и работа смесителя ВСК -
5М
Смеситель служит для смешивания
сваренных и охлаждённых пищевых отходов с кормами.
Смеситель представляет собой
горизонтально расположенный металлический сварной цилиндр емкостью 5м3.
Внутри цилиндра в подшипниках вращается лопастной вал для перемешивания корма,
один конец которого по средствам эластичной муфты соединён с валом редуктора
РМ-400. Редуктор получает вращение от электродвигателя мощностью 7кВт. Через
клиноременную передачу. Для загрузки смесителя имеются три загрузочных люка от
охладителя, от накопителя жидких пищевых отходов и из дозатора концкормов. К
смесителю подводится труба и паропровод. Для слива кормов установлен сливной
патрубок.
Рабочий процесс происходит следующим
образом: вначале заполняется смеситель жидкими кормами с добавлением воды и
молочных отходов, после этого в смеситель засыпается доза концкормов из
дозатора. После заполнения смесителя включается электродвигатель и производится
смешивание кормов. Продолжительность смешивания и выгрузки кормов происходит в
пределах 7 минут.
Устройство и работа
пневмонагнетателя.
Пневмонагнетатель сварной
конструкции из листовой стали толщиной 8 мм диаметром 1820 мм., имеет
полусферическое днище верхнее с загрузочным устройством и нижнюю конусную
часть, которая переходит постепенно в кормопровод через переходный раструб, в
раструбе крепится и монтируется пневмозадвижка.
В верхнем днище вваривается труба
для подвода сжатого воздуха.
После смешивания кормов открывается
задвижка в пневмонагнетателе и корма самотёком перетекают в пневмонагнетатель,
после наполнения его задвижка закрывается и подается сжатый воздух. Корма под
действием сжатого воздуха продуваются по кормопроводу из стальных труб
диаметром 150 мм в бункер - накопитель свинарников.
Оборудование в складе концкормов.
В складе концкормов основным
оборудованием являются транспортёры. Для подачи концкормов служат нории НЦГ -
10х2 производительностью 14т\час. Высота подъема 14 метров, мощность
электродвигателя для привода нории 3Квт., число оборотов двигателя 1400об\мин.
Для перемещения концкормов по
силосам используются скребковые транспортёры ТТБ-50, производительностью
60т\час. Мощность электродвигателя 8кВт, число оборотов 970 об\мин.
Для подачи концкормов к приёмным
бункерам используются скребковые транспортеры ДТС-10 в количестве 4 шт.
производительностью 10 т\час, мощность электродвигателя которых 2,8кВт., число
оборотов 930 об\мин.
Конструкция кормопровода
Для транспортировки кормов к
свинарникам используется пневмокормопровод, идущий из кормоцеха по опорам,
изготовленных из бесшовных стальных труб диаметром 159 мм. кормопровод
монтируется из стальных труб диаметром 150 мм. По опорам монтируется
трубопровод сжатого воздуха диаметром 50 мм для подвода воздуха к
пневмоцилиндрам на кормопроводе и накопителях в свинарниках. Оба трубопровода
покрываются теплоизоляцией.
б) расчет производительной площади
кормоцеха.
Для предварительного расчета
используем формулу:
Где
- сумма площадей занятых установленным оборудованием (по
габаритным размерам), к - коэффициент, определяющий долю площади здания,
необходимую для рабочих мест, проходов и вспомогательных помещений и берётся от
2 до 3.
Приёмная на 2 нории с площадью для
вальцевого станка:
S0=26м2+12м2 = 38м2
S1=38м2 *2=76м2
S1 =
Где S0 - площадь под оборудованием.
Склад концкормов и зерна: S2 = Sбунк* 32=3*3*32=288м2.
S2 =
.
Навес для пищевых отходов с приемкой
для варочных котлов: S0 = 111м2. S2 =111*3=333м2. S3 =
.
Площадка пищевых отходов применяется
для складирования их площадью 1000м2.
Кормоприготовительный отдел: S0 = 40м2. S4 =40*2=80м2. S4 =
.
Компрессорный цех: S0 = 10м2. S4 =10*3=30м2. S5 =
.
Принимаем площадь занятую коридорами
16м2, тогда общая площадь:
S0=F=76+288+333+1000+80+30+16=1823м2.
в.) вопросы автоматизации
производственных процессов кормоцеха.
Автоматизация основных
производственных процессов осуществляется следующим образом: Перед загрузкой
варочных котлов пищевыми отходами в них заливается вода. Её дозирование
контролируется датчиками уровня и оповещается световой и звуковой
сигнализацией. После этого загружаются пищевые отходы и подаётся пар.
Установленная продолжительность варки 1 час 30 минут контролируется реле
времени, после чего отключается пар и подается сжатый воздух для продувки
кормов в охладитель. Момент отключения продувки сигнализируется с помощью
электромагнитного манометра типа ЭКМ, который при снижении давления в котле до
атмосферного автоматически отключает подачу сжатого воздуха на продувку и
открывается крышка загрузочного котла. В случае засорения трубопровода при
продувки из варочного котла, резко возрастает давление в котле и тем же
электромагнитным манометром ЭКМ сигнализируется звуком и световым сигналом,
одновременно отключая подачу воздуха. По этому сигналу вручную открывается
заслонка аварийного трубопровода и корма продуваются на площадку пищевых
отходов.
Управление электродвигателями склада
дистанционное и ведется со щита управления. Так как транспортирующие средства
склада концкормов представляют собой две независимые линии, то для передачи
корма с одной линии на другую, в случае отсутствия кормов силосах одной из линий,
предусмотрен поперечный транспортер имеющий реверсивный механизм.
Проектом предусматривается
блокировка двигателей транспортирующих механизмов в случае вынужденной
остановки одного из электродвигателей, которая исключает возможность завала
продукцией транспортирующих механизмов. Пуск электродвигателей сблокированных
групп, предусмотрен в последовательности обратной технологическому процессу.
Работа электродвигателей сигнализируется на щите управления сигнализирующим
табло.
Смесительное отделение так же имеет
две независимые линии. Для подачи кормов из охладителя в смесительное отделение
со щита управления подаётся сигнал на исполнительный механизм щибера
загрузочного патрубка. Дозирование корма в смесителе обеспечивается
автоматически посредством установленного в смесителе регулятора сигнализатора
уровня ЭРСУ-2. После заполнения смесителя жидким кормом автоматически
открывается шибер дозатора концкормов, в смеситель засыпаются концкорма из
дозатора. После заполнения смесителя автоматически включается электродвигатель
и производится смешивание кормов.
Продолжительность смешивания 7 минут
обеспечивается реле времени типа ВС. Открытие задвижки в пневмонагнетатель
происходит с опережением конца смешивания, что ускоряет выгрузку корма из
смесителя.
Подача сжатого воздуха в
пневмонагнетатель включается автоматически, после закрытия загрузочной
задвижки.
Для управления распределения кормов
по свинарникам в смесительном отделении устанавливается отдельный щит, с
которого подается команда наполнительный механизм задвижки кормопровода того
свинарника, куда следует направить корм. Задвижка кормопровода того или иного
свинарника устанавливается открытой до начала цикла смешивания.
Для контроля за уровнем кормов в
накопителях, установленных в свинарниках, вмонтированы датчики уровня и
сигнализация выведена на щит управления задвижками кормопроводов свинарников.
г.) расчёт вентиляции кормоцеха.
В помещении компрессорной
установлено три компрессора с приводом от электродвигателя по 40 кВт каждый.
Одновременно могут работать 2 компрессора. Принимаем, что в помещении
выделяется 30% тепла от расходуемой энергии:
N1 =N*n*30%
Где N1 - процент от расходуемой энергии; N - мощность одного
электродвигателя; n - количество работающих компрессоров.
N1 =40*2*0,3 = 24кВт.
Тепловыделение от
электрооборудования
Q =N1*860 = 24*860 =
24640ккал\г.
Где 1 КВт = 860ккал\г.
Максимальный расход вентиляционного
воздуха
Где Qизб = 20640 тепловые избытки в ккал\г.
tух = 250С температура уходящего воздуха.
tн = 200С наружная температура воздуха.
γ = 1,169 кг\м3 плотность уходящего воздуха.
Сух=удельная теплоемкость
воздуха = 0,24ккал\кг*град
Объем приточного воздуха:
=
.
Принимаем установку приточной
вентиляции с осевым вентилятором ОВМ №7. Полный напор 27кг\м3. Число
оборотов 1450.
Мощность электродвигателя для
привода вентилятора:
Где V - объем приточного воздуха
НВ - полный напор
вентилятора
В - коэффициэнт запаса для
электродвигателя, для осевых вентиляторов = 1,1
Ŋв- КПД вентилятора
= 0,3
Ŋпр = 1, КПД привода
(на одном валу с электродвигателем)
В помещении для установки вальцевого
станка предусматривается местный отсос при помощи центробежного вентилятора
серии Ц4-70 N2,5 во взрывоопасном исполнении. Для очистки воздуха от пыли и
отработки пищевых отходов предусматривается естественная вентиляция с
устройством вытяжных шахт диаметром 400 мм с с регулирующим клапаном в
количестве 6 штук.
Проектирование механизированного
свинарника - откормника.
Тип свинарника выбран в зависимости
от способа содержания свиней, направления хозяйства и поголовья свиней.
Проектируется свинарник - откормочник на 2000 голов для круглогодичного
содержания свиней по 100 голов в каждом станке.
По проекту в свинарниках
предусмотрено четырёхрядное расположение логов с двумя служебными проходами.
Кормонавозный отсек имеет ширину 1,15 метра и перекрыт чугунными решётками
шириной 1 метр.
а). Компоновка основного
технологического оборудования свинарника.
На каждый свинарник установлен
бункер - накопитель. Он установлен на высоте 5,85м от отметки уровня
расположения узколинейного пути на опорах. Сверху бункер - накопитель закрыт
крышкой с пароотводящей трубой, через которую выходит пар от кормов и воздух из
кормопровода при пневматической транспортировке. Нижняя часть накопителя
конусная, к которой вварены два раздаточных патрубка к кормораздатчикам.
Снизу к конусной части накопителя
подводится кормопровод из кормоцеха.
На каждом отводе кормопровода к
накопителю устанавливается пневмозадвижка. Внутри свинарника прокладывается по
кормовым проходам два узколинейных пути из рельс Р-18. Для раздачи кормов из
бункера - накопителя используется самоходный кормораздатчик, питающийся от
линии с напряжением 36вольт переменного тока. На раме крепится бункер емкостью
0,8 м3 двусторонней раздачей кормов. Внутри бункера имеется шнек для
дополнительного перемешивания массы и двусторонний шнек для принудительной
выдачи через раздаточные воронки (раздача сухих кормов для молодняка).
На раме монтируется редуктор с
электромотором мощностью 0,4КВт и для привода шнека редуктор с
электродвигателем мощностью 2,2КВт.
Сверху на бункере смонтирован
токосъемник. Две фазы тролей выполнены из медного провода сечением 100мм2.
Третей фазой служит заземление и спаренный рельсы пути. На бункере крепится
пульт управления кормораздатчиком. На реле устанавливается с обеих сторон
концевые выключатели. Для автопоения устанавливаются автопоилки, расположенные
для уменьшения загрязнения над щелевым полом. Кормушки изготовлены из
особоцементных труб и перекрыты качающимися решётками.
9. Расчет
производственной площади
Расчет производственной площади
складывается из расчета по 0,5м2 на каждую голову:
Площадь логова Ɵ1 =
0,5*2000 = 1000м2, площадь кормонавозного отсека Ɵ2
= 1*608 = 608м2. Полезная площадь F = 1000+608 = 1608м2, что
вполне удовлетворяет условию.
б). Вопросы автоматизации
производственных процессов в синарнике.
Проектом предусматривается
полуавтоматическое управление работай механизма кормораздатчика. Напряжение на
троли подается от двух пониженных трансформаторов, включенных параллельно.
Управление пуском двигателей передвижение и шнека - кнопочное, ручное.
Автоматически осуществляется реверс
тележки, остановка кормораздатчика в исходном положении и контроль его
заполнения кормами. При достижении крайнего положения кормораздатчика в конце
свинарника, установленный упор воздействует на конечный выключатель, который
своим контактом размыкает цепь питания катушки пускателя одного направления и
замыкает цепь питания другого направления. Двигатель меняет направление вращения
и кормораздатчик перемещается в обратном направлении.
С пункта управления можно изменить
направление двигателя и остановить в любом положении кнопочным управлением.
Заполнение кормораздатчика
контролируется сигнализатором уровня, установленным на бункере кормораздатчика,
при заполнении загорается лампочка на пульте и подается звуковой сигнал.
Электромагнитная задвижка бункера
накопителя имеет кнопочное управление, расположенное на общем щите управления
свинарника. При нажатии кнопки «заполнение» открывается задвижка и корма
поступают в кормораздатчик, как загорится лампочка и раздастся звуковой сигнал
о наполнении, нажимается кнопка «стоп», предварительно перед этим
устанавливается переключатель в положение «задвижка №1» или «задвижка №2», что
соответствует заполнению одного из двух кормораздатчиков.
Электромагнитная задвижка включает
задвижку «Лудло», пневмоцилиндр и электромагнитный золотник. Сжатый воздух
постоянно подведен к электромагнитному золотнику.
в). Расчет вместительности
свинарника.
Расчетные температуры и
относительная влажность наружнего воздуха:
. Зимняя отопительная -260С φ = 84%
2. Переходный период +50С φ = 68%
3. Зимняя вентиляционная -150С φ = 80%
4. Летняя вентиляционная +21,60С φ = 57%
Расчетные температуры и относительная
влажность воздуха внутри
свинарника:
. При tн = -260С tв = +160С φ = 65%
2. При tн = -150С tв = +160С φ = 70%
. При tн = +50С tв = +160С φ = 70%
. При tн = +21,60С tв = +27,60С φ = 60%
В летний период времени внутренняя
температура воздуха принимается на 60С выше
наружной.
Средний вес одного животного принят
50 кг. выделение одного животного:
. Тепловыделение 176ккал\г =
7392Кдж\г
. Углекислый газ 29л\г
. Водяные пары 75г\г
Выделение всего поголовья:
. Тепло 176*2040=360000ккал\г
= 1512000 кДж\г
. Углекислый газ 29*2040 =
59200 л\г
. Водяные пары 75*2040 =
153100 г\г.
Внутренний объем помещения равен
5070м3. Теплопотери свинарника при температуре -260С:
Где k - коэффициент теплопередачи
отдельных элементов здания.
1. Стены k = 1,18 ккал\м2*г*град. F = 2000м2.
2. Потолок (железобетонные
перекрытия) k = 1,18 ккал\м2*г*град. F = 450м2.
3. Окна двойные при деревянных
переплётах k = 2,3 ккал\м2*г*град. F = 200м2.
4. Ворота и двери k = 4 ккал\м2*г*град. F = 21м2.
F - поверхность элементов здания.
tв - температура внутри
здания.
tн - температура наружного
воздуха.
Для здания с учетом обдувания ветром
и расположения делают надбавку в размере 10% (Г. Я. Балнбердин стр 39).
Потери тепла через полы
Где Kц=0,4ккал/м2*г*град условный коэффициент теплопередачи
пола.
Общие потери при:
tн = -150C Qп=617400 кДж/г.
tн = +50C Qп=306600 кДж/г.
tн = +21,60C Qп=28500 кДж/г.
Избытки тепла в помещении равны при
различных температурах:
tн = -260C Qизб=360000 -196297 = 163703ккал/г =687553 кДж/г.
tн = -150C Qизб=360000 -147000 = 213000ккал/г =894600 кДж/г.
tн = +50C Qизб=360000 -73000 = 287000ккал/г =1205400 кДж/г.
При принятой температуре внешнего
воздуха +27,6 тепловыделение уменьшается на 25% и составляет
Q=360000*0,75=270000ккал/г = 1334000кДж/г.
Тогда избытки тепла при tн =+21,60С
Qизб = =270000-28500=241500
ккал/г = 1014300кДж/г.
Вентиляционный объем воздуха в
свинарнике определится из условия ассимиляции вредностей по борьбе с СО2,
влаговыделением и избыточным теплом в помещении.
1. Объем вентиляционного
воздуха по борьбе с углекислым газом (СО2)
Где m - число животных, p - количество углекислого газ,
выделяемого одним животным, P1 - предельно допустимое
количество углекислого газа в воздухе помещения л/м3, p2 - содержание углекислого газа в воздухе.
Кратность объема воздуха:

2. Объем вентиляционного
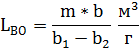
воздуха по борьбе по борьбе с влаговыделением (Н2О)
Где b - количество выделяемых паров одним
животным, b1 - предельно -
допустимое количество водяных паров в воздухе помещения при различной
температуре наружного воздуха в г/ м3., b2 - содержание водяных паров в свежем приточном воздухе г/ м3.
При температуре в -26 градусов
tн= - 150С Lво = 18850м3/г k = 4
tн= + 50С Lво = 38900м3/г k = 8
tн= + 21,60С Lво = 38000м3/г k = 8
. По борьбе с теплоизбытками
Где Qизб - избытки тепла в помещении, с - 0,24ккал/кг*град - теплоемкость
воздуха, γ - 1,23 - плотность воздуха, tдоп = допустимая
температура воздуха внутри свинарника, tпр = 50С - температура
принятого воздуха.
При температуре в -26 градусов
tн= - 150С Lво = 64500м3/г k = 12,7
tн= + 50С Lво = 87000м3/г k = 17
tн= + 21,60С Lво = 133800м3/г k = 26
На основании расчетов видно, что
кратность воздухообмена большая, поэтому принимаем приточно - вытяжную
вентиляцию с механическим побуждением и подогревом приточного воздуха до +50С.
Приточная вентиляция.
В зимний период года при tн = - 150С и ниже проектируется
четыре приточные установки производительностью 15000м3/г каждая. В
свинарник зимой подается в среднем 60000м3/г подогретого до 5
градусов воздуха.
Вытяжная вентиляция - естественная.
Количества тепла для подогрева приточного воздуха до 50С равно: tд= 50С; tн = -260С
Qt=L*c*γ*(tд - tн) = 60000*24*1,23*(5+26)=558000ккал/г =2343600кДж/г
На одну приточную установку расход
тепла равен: 558000:4 =139500кка/г = 585900кДж/г
В качестве теплоносителя служит пар
давлением 3 атм и температурой 132,90С.
Поверхность нагрева калорифера равна
м2
Где Qт1 - расход тепла на одну
установку.
k = 28,4 - коэффициент теплопередачи калорифера.
t - температура теплоносителя.
.
Принимая во внимание потери тепла
паром в трубопроводе, колебание температуры до - 30 градусов и ниже, потери тепла калориферной установки, принимаем
калорифер КФБ-10, поверхностью нагрева 61 м2. Так как на одну
установку приходится приточного воздуха 15000м3/г, то принимаем к
установке центробежный вентилятор Ц4-70N8 n=960об/мин.
Мощность электродвигателя для
привода вентилятора
V - часовая производительность вентилятора
Нв - полный напор
вентилятора в мм. вод. ст.
Подбираем двигатель А-61-6, N которого 7кВт и n = 970об/ мин.
Калориферная установка
устанавливается в отдельной вентиляционной камере.
Вытяжная вентиляция
Мощность вытяжной вентиляции
определяется по летнему режиму и составляет 133800 м3/г.
Для местного отсоса воздуха из места
удаления навоза проектируются 2 вентиляционные камеры., производительность
каждой 10000 м3/г с установкой вентиляторов Ц4-70N7.
Мощность электродвигателя для
приводов вентиляторов имеющих напор 45 мм.вод.ст равен 2,8кВт и имеет 950
об/мин.
На крыше свинарника установлены 4
вытяжные шахты с осевыми вентиляторами МЦ N10 производительностью 30000 м3/г
каждый. Общее количество воздуха удаляемое этими вентиляторами составляет
120000 м3/г.
Сечение вытяжной шахты 2,25 м2.
Скорость воздуха в шахте при полностью открытом клапане составляет 3,7м/с.
Мощьность электродвигателя вентилятора
10. Эксплуатационные
графики загрузки технологического оборудования, расхода воды, пара и
электроэнергии
Снабжение водой предусматривается от
наружного внутрифермерского водопровода, обеспечивающего бесперебойную подачу
воды питьевого качества. Нормы потребления приняты согласно нормативов на
производственные и хозяйственно питьевые нужды.
Расчет водопотребления
рассчитывается следующим образом:) Среднесуточный расход воды каждым
видом потребителей
Q’ср.сут = m’*g’ л/сут.
b) Общий средне суточный расход
воды всеми потребителями
Qср.сут= Σ Q’ср.сут.
c) Ввиду неравномерности
водопотребления в течении суток рассчитывают максимальный суточный расход воды Q’max.сут. для каждого вида потребителей.
Q’max.сут = Q’ср.сут*α л/сут.
α
- коэффициент суточной неравномерности.
Суточный максимальный расход для
хозяйства в целом
Qmax.сут= Σ Q’max.сут.
Затем определяют часовой расход воды
и по хозяйству и секундный расход воды qсек=
л/сек.
Расчет сводят в таблицу.
А) для кормоцеха.
|
Наименование водопотребителей
|
Норма водопотребления в литрах
|
Коэффициэнт часов неравномерности
|
Расход воды. М3
|
|
|
|
Час
|
сутки
|
|
Охладитель
|
3800л/г
|
1
|
3,8
|
57
|
|
Варочный котёл
|
30000
|
1
|
3,0
|
3,0
|
|
Смеситель
|
20000
|
1
|
3,0
|
|
|
Мытье котлов
|
|
|
0,1
|
0,2
|
|
Хоз. Питьевые нужды
|
На 25 человек
|
2,3
|
0,54
|
0,2
|
|
душевая
|
375л
|
1
|
0,375
|
0,75
|
|
Итого
|
|
|
9,81
|
61,15
|
Вода для варочных котлов и
смесителей используется нагретая в охладителях. Qmax сут 1=61,15 м3 что составляет 2,7 л/сек.
Расход воды на поение свиней: при
влажности кормов 80% (по данным ВИЭСХа) составляет 1,5 литра на 1 голову в
сутки при автопоении.
Qmax2 = 20000*1.5=30000 л/ч.
Qmax час= 30000:24 = 1250л/ч =
1,25м3/ч.
Для гидросмыва навоза проектируется
отдельная водонососная станция, установленные насосы 4К-8 производительностью
100м3/ч или 33л/сек создают рабочее давление в сети 50 метров
водяного столба или 5 атмосфер. Включение производится 4 раза в сутки по 40
секунд.
Суточный расход воды на гидросмыв
составит:
Qсут=V*t*n*i
Где V - производительность насоса
t - продолжительность работы насоса в секундах
n - количество включений
i - количество насосов.
Qсут=33*40*4*2 = 10560л/сут = 10,56 м3/сут.
Принимаем для мытья кормушек, смыва
навоза в логове 5м3/ сут
Расход воды на хозяйственно -
бытовые нужды в бытовых помещениях на 50 человек Qбыт = 60*50 = 3000л/сут
Общий расход по свиноферме Qоб =61,15+45,56+3 = 109,71 = 110м3/сут.
Определим диаметр трубопровода
.
Принимаем d=100мм. скорость воды в трубах
1м/сек.
Строим график водопотребления в
зависимости от распорядка дня на ферме и работы механизмов, распределяем по
часам в процентах от максимального суточного расхода воды на ферме.
|
Часы суток
|
Часовое потребление в% от общего расхода
|
Расход воды
|
Часы суток
|
Часовое потребление в% от общего расхода
|
Расход воды
|
|
0-1
|
4
|
4,4
|
12-13
|
3
|
3,3
|
|
1-2
|
4
|
4,4
|
13-14
|
2
|
2,2
|
|
2-3
|
4
|
4,4
|
14-15
|
2
|
2,2
|
|
3-4
|
4
|
4,4
|
15-16
|
2
|
2,2
|
|
4-5
|
4
|
4,4
|
16-17
|
4
|
4,4
|
|
5-6
|
8
|
8,8
|
17-18
|
10
|
11,0
|
|
6-7
|
4
|
4,4
|
18-19
|
5
|
5,5
|
|
7-8
|
10
|
19-20
|
4
|
4,4
|
|
8-9
|
4
|
4,4
|
20-21
|
3
|
3,3
|
|
9-10
|
3
|
3,3
|
21-22
|
5
|
5,5
|
|
10-11
|
2
|
2,2
|
22-23
|
3
|
3,3
|
|
11-12
|
7
|
7,7
|
23-24
|
3
|
3,3
|
Из графика определяется
величина коэффициента часовой неравномерности, как отношение максимальной
ординаты к средней ординате.
Уср =
100:24=4,1
Тогда коэффициент
часовой неравномерности неравномерности равен α = 10:4,1 =
2,44
Максимальное
водопотребление наблюдается в часы кормления, уборки помещения от навоза
гидросмывом.
Затем составляется
суточный график работы всех машин, который дает возможность правильно увидеть
во времени работу отдельных машини оборудования, установить степень загрузки их
и определить взаимосвязь работы кормоприготовительного отделения с режимом
кормления животных. График является основой в проектировании электроэнергии и
оборудования.
Все машины приводятся в
действие от электродвигателей, но энергетические затраты характеризуются общей
установленной и максимально потребляемой мощностью и величиной суточного
расхода энергии. Для определения этих величин по графику загрузки машин
строится график потребления электроэнергии.
Электроснабжение
кормоприготовительного цеха предусматривается от электросети 380\220 В.
Оснащенность кормоцеха согласно техническим нормам для различных помещений
разная.
Установленная мощность
определяется по формуле
N1=F1*g1
Где F1 - площадь помещения в м2
расчетные данные
сводятся в таблицу. Расчетная мощьность освещения свинарников из условия норм
освещенности 1,5 Вт на 1м2. Для всех свинарников Nсв = 2000*1,5*10 = 30000 Вт
Уличное освещение 15
светильников по 75 Вт
Nул=75*15=1125Вт
Таблица мощности электроосвещения
кормоцеха
|
Наименование помещений
|
Площадь, м2
|
Удельная мощность, Вт/м2
|
Общая установленная мощность, кВт
|
|
Склад концкормов
|
270,4
|
4,3
|
1,2
|
|
Приемная концкормов
|
66,1
|
12,7
|
0,8
|
|
Помещение для вальцевого станка
|
170,1
|
10,2
|
1,8
|
|
Помещение для вальцевого станка
|
66,1
|
14,7
|
0,9
|
|
Компресорная
|
28,5
|
16,0
|
0,45
|
|
Гардеробная
|
15,2
|
28,5
|
0,4
|
|
Дежурная
|
15,5
|
21,5
|
0,3
|
|
Диспетчерская
|
9,3
|
28,5
|
0,3
|
|
Бытовые помещения
|
13,4
|
28,5
|
0,36
|
|
Тамбуры
|
6
|
|
0,12
|
|
Навес для пищевых отходов
|
294,0
|
2,5
|
0,8
|
|
Освещение входов
|
|
|
0,3
|
|
Итого
|
|
|
9,51
|
Расход электроэнергии свинофермы на
освещение составляет с 16 часов до 9 часов N0= (30+1.125+9.51)*17=680кВт*ч
В расчет взято зимнее время года.
Общий расход электроэнергии по ферме 730+680 = 1310кВт*ч.
Определяем расход кормоцеха:
количество тепла для варки пищевых отходов в котлах: в котёл загружается 5000
кг отходов, количество воды, добавляемое в отходы 600л в каждый бак котлов.
Начальная температура пищевых
отходов 20С, температура воды 150С. Конечная температура
отходов и воды 1000С.
Расход тепла на нагрев кормов: Q1 =ρ*с*(t-t1) = 5000*0.65*(100-2) = 1337700кДж/ч.
Где ρ
- количество пищевых отходов в кг при температуре 100 градусов, с-
удельная теплоемкость отходов при температуре 2 градуса.
Потери тепла в окружающую среду
Q2 = F*β*(tст-tв)*Т
F - площадь поверхности теплоотдачи = 20м2. β - коэффициент теплоотдачи
β=7,8+0,047*(100-50)=10.
tст - средняя температура
стенок котла,
tв= температура воздуха.
Q2 = 20*10*(100-5)=19000
ккал/г = 79800кДж/г.
Расход тепла на нагрев воды.
Q3=p1*c*(t-t2) = 600*1*(100-15) =
214200кДж/ч.
Общий расход тепла Q=Q1+Q2+Q3=318500+19000+51000=388500 ккал/ч = кДж/ч.
Расход пара в кг:
i - энтальная пара, ik -энтальная конденсата.
В течении смены должно сварится
пищевых отходов с добавлением воды 56000кг. а в сутки 56000*2 = 112000кг. В
один котел загружают 5000кг.
Потребуется котлов 112000:5000 = 23
шт.
Расход пара в сутки: Dсут=690*23=15870кг. В час это составит 1134кг/ч.
Учитывая неравномерность и потери на
утечку пара, разную температуру в зимний период принимаем Dчас = 1500кг/ч.
Удельный расход пара на еденицу
продукции d= 690:5000 = 0,14
.
Это показывает, что на приготовление
1 кг. кормов расход пара составляет 0,14 кг.
Расход тепла на отопление определены
по удельной тепловой характеристике и строительной кубатуре отапливаемой части
здания.
Расход тепла на отопление служебно -
бытовых помещений: Q1 =
0.6*440*(18+26)=11600ккал/ч = 48720кДж/ч.
Расход тепла на отопление
производственных помещений Q2=0,6*1096*(5+26)=20400ккал/ч
= 85680кДж/ч.
Общий расход тепла Q =Q1+Q2 = 11600+20400 = 32000
ккал/ч = 134400кДж/ч.
Учитывая потери тепла
трубопроводами, прокладываемыми в неотапливаемых помещениях, принимаем
коэффициент потерь 1,3.
Тогда Q = 32000*1,3=42000 ккал/ч =
176400кДж/ч.
В помещении бытовок имеется душевая
кабина, где расходуется 500л воды в час с температурой 370С.
Расход тепла для подогрева воды
составит: Q = 500*1*(37-5) = 16000 ккал/ч = 67200кДж/ч.
Количество ткпла для подогрева
приточного воздуха для вентиляции свинарников равно Qt=558000 ккал/ч на
каждый свинарник. Свинарников 5, значит общее количество тепла 5*558000 =
2790000 ккал/ч = 1171800кДж/ч
Количества тепла, расходуемое фермой
на отопление:
Qo = 42000+16000+2790000 = 2848000 ккал/ч = 1196160 кДж/ч
Тогда расход пара D2 =
.
Общий расход пара на ферме D = 505+1500=2005кг/ч.
11.
Архитектурно-строительная часть
Кормоприготовительный цех
запроектирован в составе следующих помещений:
. Приемная на 2 нории, расположенные
в торцовой части здания, имеет два приемника размещающих около 4 тонн
комбикормов.
. Склад комбикормов и зерна
силосного типа, состоит из секций размером 3 х3 метров в количестве 32 штук. В
верхней части предусматривается устройство площадок для обслуживание приводов 2
норий и входов в помещение склада концкормов.
. Навес для пищевых отходов с
приемником для варочных котлов. Под навесом расположены четыре варочных котла и
емкость для жидких кормов. Площадка и полы под навесом имеют уклон в сторону
варочных котлов для стока жидкости от пищевых отходов в варочные котлы.
. кормоприготовительное помещения
примыкает к торцовой части помещения склада конце кормов. Производственная
часть отделение расположено на первом и втором этажах. На первом этаже
предусмотрен приямок для установки пневмонагнетателей.
. Компрессорная расположена в
торцовой части здания кормоцеха, изолирована от других помещений и имеет
самостоятельный вход.
. Бытовые помещения расположены на
первом этаже в торцовой части здания. Вход на второй этаж производственного
отделения запроектирован в одном из отсеков хранилища кормов. На втором этаже
производственного помещения располагается пульт управления. Электрощитовая
расположена в подсилосном помещении и имеет вход с лестничный клетки.
Стены здания кирпичные, за
исключением стен силосов склада концкормов, которые приняты сборные
железобетонные. Стенки склада состоят из сборных железобетонных блоков размером
3х3 метров.
Фундаменты - под кирпичные стены из
бетонных блоков, под колонны железобетонные. Перекрытия в помещении
приготовление кормов деревянные по металлическим балкам, под остальными
железобетонное. Кровля под помещениями рубероидная с уклоном 1:12, в три слоя с
слоем гравия, в топленного в битумную мастику по верхнему слою.
Стены здания свинарников сборные
железобетонные, за исключением стен вентиляционных камер и перегородок, которые
выполняются из красного кирпича. Фундаменты под стены из бетона и бутобетона.
Кровля рулонная по утеплителю с
устройством пароизоляции и гидроизоляции. Полы в логовах кирпичные по
утепленному основанию из керамзита, в остальных помещениях бетонные.
Ограждение станков - сборное
железобетонное толщиной 6 сантиметров. Ограждение перед кормушками - качающаяся
металлическая решетка высотой 0, 9 метра.
Кормушки и лотки в каналах
навозоудаления запроектированы из асбестоцементных труб диаметром 428/2. Окна и
двери окрашиваются масляной краской за 2 раза. Приточная вентиляция
осуществляется по подпольным вентиляционным каналам из бетона и распределение
воздуха по свинарнику осуществляется через приточные тумбы, расположенные вдоль
стен, тумбы кирпичные.
Подземный резервуар для Чистой воды
имеет емкость 100 метров кубических, запроектирован по типовому проекту.
Насосная станция для гидросмыва кирпичная с устройством 2 фундаментов для двух
насосов 4К- 8 производительностью 100 метров кубических в час или 33 литры в
секунду.
Насосная станция канализационная,
Кирпичная с устройством фундаментов для двух насосов 4 НФ производительностью
50 литров в секунду.
12. Прочностной расчёт
Машины для подачи сжатого воздуха
при давлении свыше 3 атм называются компрессорами. По конструкции и принципу
действия различают компрессоры поршневые, центробежные и ротационные.
Поршневые компресоры отличаются
высоким КПД, однако они имеют ряд существенных недостатков, свойственных всем
машинам с возвратно-поступательным принципом действия: тихий ход, большие
габариты, чувствительность к загрязнению.
По принципу работы и чередованию
процессов всасывания и нагнетания поршневые компрессоры ни чем не отличаются от
поршневых насосов.
Компрессоры классифицируются
следующим образом:
. По способу действия:
простого и двойного действия.
. По расположению оси
цилиндра: горизонтальные, вертикальные, звёздчатым расположением.
. По числу ступеней:
одноступенчатые, двухступенчатые, многоступенчатые.
. По числу цилиндров:
одноцилиндровые, много цилиндровые.
. По конечному давлению:
низкого до 10 атм, высокого до 1000атм.
. По способу охлаждени:
водяные, воздушные.
. По числу оборотов:
тихоходные - до 200оборотов в минуту, среднеходные - от 200 до 250 оборотов в
минуту, быстроходные - от 250 до 1000 оборотов в минуту.
. По роду сжимаемого газа:
водушные, кислородные и т. д.
. По установке: стационарные,
передвижные.
Компрессоры как простого так и
двойного действия применяются одноцилиндровые и много цилиндровые.
Компрессоры в которых воздух
сжимается только 1 раз, после чего выталкивается в воздухосборник, называется
одноступенчатыми.
Одноступенчатые компрессоры могут
иметь один или несколько цилиндров. В последнем случае цилиндры работают
параллельно, то есть подают сжатый воздух в один общий воздухопровод.
В нашем кормоцехзе применяется
компрессор 2-х цилиндровый, 2-х ступенчатый, производительностью 10м3/мин
= 0,17м3/с.
Давление нагнетания 0,8Мпа.
Число оборотов 800
Диаметр цилиндров 220мм.
Ход поршня 300мм.
Производительность компрессора
Где F площадь поршня =
= 0.04м2
S - ход поршня = 0,3м
n - число оборотов.
Q=
.
Средняя скорость поршня определяется
формулой
= 8м/с.
Поршневые машины, в том числе
поршневые компрессор, отличаются не равномерностью движения поршня - скорость
его изменяется по закону синусоиды. Компрессоры в течении хода поршня подают
воздух не равномерно и отдельными порциями.
Для получения равномерной струи
воздуха по линии подачи его к потребителю устанавливается вблизи от
компрессора, вне помещения воздухосборник, который представляет собой прочный
закрытый цилиндрический резервуар, выполненный из котельного железа толщиной от
6 до 200мм и снабженный предохранительными клапанами, а так же спусковым
краном.
Определяем объем воздухосборника:
Где K - 0,55для компрессора простого
действия, F - площадь поршня, S - ход поршня,
В нашем компрессоре принята система
водяного охлаждения. Это потребовалось в связи с тем, что увеличились нагрузки
на компрессор.
Расчет воздухопровода.
Расчет воздухопровода заключается в
подборе диаметров труб и определении сумарных потерь воздуха и давления. У нас
есть 5 участков где происходит расход сжатого воздуха.
1. Пневмонагнетатели с
кормопроводом16,8 м3/мин
. Пневмоцилиндры у
пневмонагнетателя 0,06 м3/мин
. Пневмоцилиндры в кормоцехе
0,3 м3/мин
. Пневмоцилиндры у
накопителей в свинарниках 0,6 м3/мин
. Пневмоцилиндры варочного
котла 0,15 м3/мин
Всего 18,11 м3/мин
Общая длинна воздухопровода
составляет 620 м.
участок - 60м
участок - 100м.
участок - 240м.
участок - 120м.
участок - 100м.
Определяем потребную
производительность компрессорной установки. Q = 1,15*18,11 = 20,8 м3/мин.
Но так как пневмоагрегаты работают
не постоянно, то берём 50% производительности то есть 10 м3/мин.
Потери воздуха в неплотностях сети
воздуха qgjn = 20,8-18,11 = 2,69 м3/мин.
Определим расход на отдельных
участках.
1.
м3
м3
.
2.
м3
м3
.
3.
м3
м3
.
4.
м3
м3
.
5.
м3
м3
.
Определим внутренний диаметр
воздухопровода.
Где
скорость воздуха по трубам = 20м/с.
1.
2.
3.
4.
5.
.
Средний диаметр трубы 0,05м.
Принимаем внутренний диаметр трубы 50 мм.
13. Расчет кормопровода
и котла
Скорость транспортировки кормов
2м/с. Расход сжатого воздуха:
.
Где Q = 0,17м3/с -
производительность установки, Δp - потери давления в кормопроводе
0,1*0,42 = 0,042Мпа, φ = 0,2.
.
Вместимость продувного котла
.
Где tц - продолжительность цикла продувки:
.
Примем значение 360 для полноты
продувки.
Определим диаметр и сечение
кормопровода.
.
Принимаем 150 мм.
Вместимость ресивера.
Потребная мощность электродвигателя
для привода компрессора.
.
Где pk- давление
создаваемое компрессором, мПа
Kk - коэффициент запаса мощности 1,12
Ŋк - КПД компрессора
= 0,75
Ŋпр - КПД привода =
1
Изменение величины длинны стального
трубопровода.
Где
= 100С
L =528м.
Расчет тонкостенной цилиндрической
обечайки работающий под внутренним давлением
Где p - внутреннее давление 0,4МПа.
Dв - внутренний диаметр
цилиндрический обечайки 1800мм.
[Gp] - допускаемое
напряжение = 100мПа.
Km - коэффициэнт прочности сварочного шва - 0,7
hk - прибавка на коррозию 3 мм.
Высота выпуклой части h=363мм. Внутренний радиус выпуклой
части R0=(Rн-δ)≤Dн, R0=(1700-8)=1692≤Dн.
Нижний радиус переходной дуги днища rн = 181,6мм.
Высота цилиндрического борта днища
при толщине стенки 8мм составляет H =50мм.
Левое отверстие имеет диаметр 600мм.
Сила выдавливающая прокладку из
фланца:
F=p*π*Dв*δп
Где p = 0,4мПа - давление внутри котла, δп - 1 мм - толщина прокладки, Dв = 189 мм - внутренний диаметр.
F= 0,4*3,14*189=237 Н.
Сила трения препятствующая выдавливанию
прокладки определяется по формуле:
F=f*pуд*Ап.
Где f - коэффициент трения = 0,15, Ап
- поверхность прокладки = 24 мм2., pуд= 29Мпа.
F=0,15*29*24=104,4Н
Условия не выдавливания.
f*pуд(Dн2-Dв2)>4pDвσп
0,15*29*57856>4,04*189
25167>302
Условие выполняется.
Сепаратор
Для отделения металлических
включений из отходов предлагается магнитно-ленточный сепаратор.
Сепаратор установлен перпендикулярно
ленточному конвейеру который подает пищевые отходы в дробилку. Находящиеся
металлические включения притягиваются электромагнитом через прорезиненную
ленту, так как лента двигается, то включения удерживаются на ленточной
поверхности её в зоне действия электромагнита, которое прекратится в точке А и
магнитные включения попадают в бункер.
Расчет электромагнитных грузозахватных
устройств применительно к данному процессу. Учитывая агрессивную среду и
тяжёлые условия работы (вытаскивание металлического предмета из вязкой массы
пищевых отходов) притягивающую силу электромагнита принимаем с запасом на
Н.
Где β
- коэффициент запаса, β=1,1…1,15;
- сила
тяжести груза, Н
F=1.15*500=575Н
Воздушный зазор δ между грузом и полюсами
электромагнита, учитывая толщину ленты, невозможность обеспечение плотного
контакта по всей поверхности металлических включений, неравномерность
расположения пищевых отходов на ленточном конвейере, сопротивление перемещению
включений из пищевых отходов, можно принять 0,5…5см.
По F и δ
определим конструктивный фактор электромагнита
Магнитную индукцию В в воздушном
зазоре принимаем равную 5*103Гс (Гаусс), соотношение площади
внутреннего и наружного полюсов α =
0,7. Коэффициент учитывающий соотношение полезных проводимостей
наружного и внутреннего полюсов принимаем k=0,9.
Площадь внутреннего полюса
.
Площадь наружного полюса
.
Диаметр внутреннего полюса
Диаметр сердечника
.
Необходимое число ампер-витков
катушки электромагнитных
.
Принимаем размер абсолютного
пространства ExН = 50х20 см, т.е 1000см2
Коэффициент заполнения принимаем kзап=0,5.
Диаметр провода среднего витка
обмотки
Длинна провода среднего витка
Удельное электрического
сопротивление медного провода
.
Мощность катушки
Допуская нагрузку на площадь сечения
обмотки - 2А/мм2 выбираем сечение провода f = 30мм2.
Необходимое число витков
n =Jn/J = 1260.
Общая длинна обмоточного провода L=lср=2,2*1260=2700м.
Внутренний диаметр наружного полюса
электромагнита
Dв=Dср+2E=20.4*2*50=120см.
Ширину наружного полюса принимаем
с=8см.
Наружный диаметр электромагнита
Dн=Dв+2С = 120+2*8=136см.
Расчет вращающейся оси ведомого
барабана сепаратора производим на прочность.
Вращающаяся ось с насаженным
барабаном для ленты рассчитывается на изгиб, как балка на шарнирных опорах. За
центры шарнирных опор принимаем середины подшипников.
Сила F1 = F2 = Fмакс/2.
Fмакс = определяется по
эксплуатационным нагрузкам (сила притяжения электромагнита, сила трения ленты,
сила натяжения ленты, сопротивление металлических включений вытягиваемых из
отходов).
Fмакс ≈ 4000Н.
Сила F1=4000/2=2000Н.
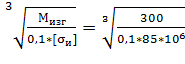
Тогда, изгибающийся момент Мизг
= F1*Q=2000*0,15 = 300Нм.
Принимаем материал оси, для которой
при знакопеременной нагрузке допустимое напряжение на изгиб [
и]=85Мпа.
Требуемый диаметр оси определим из
формулы напряжения в поперечном сечении
и=
, где W - момент сопротивления сечения, откуда получаем
d=
=43мм.
14. Расчет
внутрицехового пневмотранспорта
Расчёт движения кормовой смеси по
трубопроводу плотностью 1000кг/м3, влажностью W = 82% - 84% определяется по
критерию Рейнольда:
Где
- скорость потока смеси,
=
3м/с.
d - диаметр трубопровода, м.
γ - кинематический
коэффициент вязкости структурированных жидкостей, м2/с.
Где µ - динамическая вязкость массы,
µ=0,234Па*с,
-
плотность массы, равна 1000кг/м3.
Диаметр кормопровода находится по
формуле
Где Q - объемная подача установки, м3/ч.
-
скорость массы, м/с.
Объемная подача установки
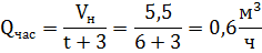
(продуваемого котла)
Где Vраб=Vрасч+0,3*Vрас = 5+0,3*5=6,5м3.
Тогда объемная подача:
Q=50*Vраб = 50*6,5=325м3/ч.
Определим диаметр
В итоге движение массы в
кормопроводе будет равно:
Так как Re=2500>1400, то
для структурированной жидкости режим двигателя турбуляжный, что соответствует
дополнительному перемешиванию массы.
Объем V’рас сжатого воздуха,
предназначенного для обеспечения необходимого расхода воздуха и равномерной
подачи кормов рассчитывается следующим образом:
Где Pраб - рабочее давление, Pраб=Pрас - 40кПа;
Pрас - давление в ресивере =
500кПа;
Vраб - рабочая вместимость
продувочного котла = 6,5м3;
Vт - вместимость
трубопровода для транспортировки смеси, м3.
Где d - диаметр трубопровода кормовой
смеси, м
l - длинна кормопровода, l = 200м.
тогда
м3
Тогда Pраб = 500-40 =160 кПа
Продолжительность опорожнения
продувочного котла
.
Прочность трубопровода по
допускаемому давлению рассчитаем при помощи формулы:
Мпа.
Где
-допустимое напряжение на растяжение для материала трубы.
-
толщина стенки трубопровода для транспортировки кормосмесей под давлением [P] = 5мПа;
-
внутренний диаметр трубы, мм;
Из этой формулы определяем требуемую
толщину кормопровода:
Принимаем трубу диаметром 200мм
стальную бесшовную по ГОСТ 8132-78 толщиной стенки 5мм, длинной кратной 1250мм,
марка стали 5.
Определим полную вместимость
ресивера:
,
.
Расчет на прочность стенок варочного
и продувного котлов, сварных швов. При отношении Дн/Дв
1,5 цилиндрических обегаек относятся к тонкостенным.
Расчет тонкостенных цилиндрических
обегаек, работающих под внутренним давлением, проводят по формуле:
Где p - внутреннее давление, p = 5мПа;
-
допустимое напряжение на растяжение
= 0,5
, для
цилиндрических обегаек можно принять = 100Мпа при температуре стенки t<2500C;
-
коэффициент прочности сварочного шва цилиндрической обегайки при растяжении, он
равен 0,7.
=
0,5…1 мм - прибавка толщины на коррозию.
Изгибающий момент в центре днища
.
Сумбалочный момент в месте стыковки
(сварки) днища и стенки цилиндра (обегайки)
.
Максимальное напряжение
.
Варочные, продувочные котлы имеют электрические
днища и крышки.
Высота h выпуклой части составляет 0,2Dв = 0,2*1600 = 320мм.
Внутренний радиус выпуклой части
R0 =Rн-
=
800-6=794мм
Отверстие для загрузки материала
варочный котёл (пищевые отходы), в продувочный котёл (получающиеся корма)
должны быть расположены по центру.
Стенки конических днищ продувочных
котлов, находящихся под внутренним давлением, разрушаются как по периметру
сечения, так и по образующимся конусам. При этом, напряжение, возникающее вдоль
образующей конуса в два раза выше, чем в поперечном сечении, поэтому их
рассчитывают по прочности сечения, лежащего по образующей конуса.
Толщина конического днища
определяется выражением:
Где α
- половина центрального угла, α = 600
Для соединения кормопровода и крышек
с корпусами применяют соединители состоящие из двух фланцев и зажатой между
ними прокладки.
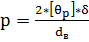
Сила выдавливания прокладки из
фланца
Где p - давление;
- внутренний диаметр прокладки, мм;
- толщина прокладки, мм.
F = 0.5*3.14*200*1.5 = 471Н.
Сила трения препятствующая
выдавливанию прокладки, которая возникает на поверхности фланца под
воздействием нормального давления P1созданного в результате
затяжки болтов определим из формулы:
F = f*p1*Aп
Где f - коэффициент трения о поверхность
фланца, колеблется от 0,1 до 0,15;
P1 - давление необходимое
для деформирования прокладки, P1 = 3Мпа.
Aп - поверхность
прокладки, А = 4549мм2.
F=0.15*3*4549 = 2047 Н
Условие не выдавливания прокладки
0.3*0.15*(2142-2002)>4*3*200*1.5
>2500
Условие выполняется, соединение
герметичное, прокладка не выдавится.
15. Экономическое
обоснование проекта
. Стоимость машин и
оборудования установленного на ферме составляет 63250 рублей. Стоимость
монтажных работ 6325руб.
. Стоимость кормов.
|
Наименование кормов
|
потребность
|
Стоимость 1ц.
|
Суточная стоимость, руб
|
Общая стоимость за год
|
|
Пищевые отходы
|
1000 ц/сут
|
1,8
|
1800
|
667000
|
|
Концкорма
|
400 ц/сут
|
8
|
3200
|
1168000
|
|
Минеральные и др. корма.
|
200 т/сут
|
|
20
|
4000
|
|
|
|
5020
|
1830000
|
3. Стоимость вновь вводимых
построек на ферме:
А) стоимость кормоцеха:
м3 зерносклада и
кормоприготовительного цеха - 11,64руб
5627м3*11,64=65000руб
Б) стоимость 1м3 площадки
пищевых отходов - 8,20 руб.
2924м3*8,20=24000 руб
В) стоимость 5 проектируемых
свинарников, при стоимость 1го - 61500 руб.
*5=307500руб
Г)стоимость канализационной станции
гидроудаления - 10000 руб.
Д) стоимость насосной станции
гидросмыва - 5000 руб.
. Эксплуатационные расходы.
А) оплата труда:
Свинарь за 1 час получает 0,39 руб -
20 чел.
Оператор смесительного цеха 0,413
руб - 2 чел.
Оператор варочного отделения 0,39
руб - 2 чел.
Тракторист 0,6
руб - 1 чел.
Сторож 0,23
руб - 1 чел.
Зав.фермой 0,64
руб - 1 чел.
Свинари затрачивают в год 365*7*20 =
51000 чел.час.
Зарплата составит: 51000*0,39=20000
руб
Операторы смесильного отделения
затрачивают в год 365*7*2 = 5100 чел.час.
Зарплата составит: 5100*0,413=2100
руб
Операторы варочного отделения
затрачивают в год 365*7*2 = 5100 чел.час.
Зарплата составит: 5100*0,39=1990
руб
Трактористы затрачивают в год
365*7*2 = 5100 чел.час.
Зарплата составит: 5100*0,6=3060 руб
Сторожа затрачивают в год 365*7 =
25555 чел.час.
Зарплата составит: 25555*0,23=585
руб
Зав.фермой затрачивают в год
365*7*20 = 51000 чел.час.
Зарплата составит: 51000*0,64=1630
руб
Дополнительная оплата за продукцию в
размере 15% от основной зарплаты всех рабочих, занятых на откорме свиней, кроме
сторожей 38786*0,15=5800 руб.
Общая зарплата составит
38786+5800+585 = 45171 руб.
Начисление на зарплату по
социальному страхованию 5,4% от общей стоимости зарплаты: 45171*0,054 = 2439
руб.
Общая сумма с начислениями составит:
45171*1,385 = 62562 руб.
. Амортизационные отчисления.
Стоимость всех свинарников
составляет 615000 руб. Стоимость кормоцеха 89000 руб. стоимость канализационной
станции 10000 руб. стоимость насосной станции 5000 руб. общая стоимость
составляет 719000 руб.
Средний проект амортизационных
отчислений от стоимости зданий и сооружения - 4%
*0,04=28600 руб.
Норма отчислений на текущий ремонт -
6%
*0,06=43000 руб.
Амортизационные отчисления от
стоимости машин и оборудования - 10%.
63250*0,1=6325 руб.
Отчисления на текущий ремонт - 8%
63250*0,08=5000 руб.
Общая сумма амортизационных
отчислений: 28600+6325=34925 руб.
Общая сумма на текущий ремонт:
4300+5000=48000руб.
. Оплата за водоснабжение.
Общий расход воды на свинарнике 110м3/сут.
За год расход воды составит: 110*365 = 40000м3. Стоимость 1 м3
воды воды по данным бухгалтерии СПК «Дружба» 0,03 руб за м3.
*0,03=1200 руб.
. Затраты на электроэнергию.
В сутки затрачивается электроэнергии
с учётом расхода на вентиляцию 3810кВт*ч. В год это составит: 365*3810 =
1390000кВт*ч. Стоимость 1 кВт*ч составляет 0,07 руб. Общая стоимость
электроэнергии равна:1390000*0,07 = 97300 руб
. Затраты на топливо.
Общий расход пара на ферме составляет
D=2590
кг/ч = 2,59т/ч.
Для получения этого количества пара
требуется сжечь угля P=D/q =2.59:3.4 = 0,76т/ч.
Где q испарительная способность топлива,
то есть показывает сколько пара можно получить при сжигании 1 кг топлива.
В сутки сжигается угля 0,76*14час =
10,6т/сут.
В год: 10,6*356 = 3870 тонн.
Стоимость 1 тонны угля 50 руб.
Тогда за год затраты составят:
3870*50=193500руб.
Затраты на мелкий инвентарь и
спецодежду составляют 1% от стоимости технологического оборудования:
63250*0,01=632,5руб.
. Услуги вспомогательного
производства.
Для подвозки кормов используются
автомобили ГПЗ. В год первозок составляет:
|
Вид корма
|
Масса, т
|
Расстояние доставки, кг
|
|
Пищевые отходы
|
34000
|
60
|
|
Рыбные отходы
|
1400
|
60
|
|
Концкорма
|
13000
|
5
|
|
Минеральные корма
|
200
|
60
|
|
Молочные отходы
|
5400
|
5
|
Стоимость 1т.км в хозяйстве
составляет 0,1руб.
Стоимость перевозки всех кормов
составит: 2232000*0,1 = 223200 руб.
Оплата транспорта за перевозку
свиней на заготовительный пункт который находится на расстоянии 17 км
составляет 40800*18*0,1=69360 руб.
Отчисления на молодняк поставленный
на откорм, если средний вес головы - 20кг, цена 1 кг - 2 руб.
*2*20=400000 руб.
10. Общехозяйственные и
общепроизводственные расходы.
Общехозяйственные и
общепроизводственные расходы составляют соответственно 4% и 6% от прямых затрат
на откорм свиней.
Прямые затраты
|
Стоимость кормов
|
1830000 руб
|
|
Заработная плата
|
47610 руб
|
|
Амортизационные отчисления
|
34925 руб
|
|
Отчисления на текущий ремонт
|
48000 руб
|
|
водоснабжение
|
1200 руб
|
|
Электроснабжение
|
97300 руб
|
|
Топливо
|
193500 руб
|
|
Спецодежда и инвентарь
|
632 руб
|
|
Услуги вспомогательного производства.
|
635500 руб
|
Всего прямых затрат составляет
2888667 руб.
Общехозяйственные расходы:
2679033*0,04 = 108000 руб
Общепроизводственные расходы:
3279033*0,06 = 161000 руб.
. В хозяйстве планируется
довести среднесуточный привес до 450 грамм. Годовой привес составит
10000*0,45*365 = 1642500кг = 16425 центнера.
. Стоимость навоза.
Выход навоза в день от 1 свиньи 3
кг. в год 3*10000*365 = 10950000кг = 10950т. стоимость 1 тонны навоза 20 руб.
Общая стоимость навоза: 10950*20=219000 руб.
. Себестоимость одного
центнера свинины:
К - стоимость кормов.
З - сумма заработной платы с
начислениями.
А - амортизационные отчисления
Р - отчисления на ремонт
В - стоимость воды
Э - стоимость электроэнергии
Т - стоимость топлива
О - стоимость одежды и инвентаря
У - услуги вспомогательных
производств
Qх - общехозяйственные
расходы
Qп - общепроизводственные
расходы
Н - стоимость навоза
Пср.с - общий привес за
год
М - вес поставленного молодняка.
=
=121 руб/ц.
Себестоимость 1 центнера свинины в
СПК «Дружба» составила 130,6руб.
14. Расчёт эффективности по
отдельным показателям.
А) энергоемкость на 1 центнер
привеса F = Q/P = 1390000/16425 =84,63кВт*ч/ц
Q - расход электроэнергии; P - привес за год.
В хозяйстве он составил 32,9кВт*ч/ц.
Б) трудоемкость по производству1 ц
привеса:
Трудоемкость в хозяйстве составила
9,4 на 1 ц. привеса.
В) Производительность труда
определяется из следующего соотношения:
Производительность по хозяйству
составила 0,09ц/ч.
Г) Годовая прибыль:
Реализационная цена 1 ц свинины 192
руб.
Пприб = Д - С
Где Д - стоимость сданной продукции,
С - себестоимость сданной продукции.
Прибыль по проекту: 16425*192 -
16425*121 = 1166175 руб.
Прибыль по себестоимости свинины для
этого же поголовья:
*192 - 16425*130,6 = 1008495 руб.
Дополнительная прибыль составит:
-1008495=157680 руб.
15. Определение срока окупаемости
капиталовложений.
Где К - стоимость вновь возводимых
построек и установленного оборудования.
S0 - себестоимость 1 ц свинины при старой технологии.
Sc - себестоимость 1 ц свинины при новой технологии.
-
общий вес свиней, сданный на мясокомбинат.
16. Годовая экономия: Экгод
= 2145105 - 1987425 = 157680 руб.
. Экономический эффект: Ээф
= 741036-738526 = 2510 руб.
Где Экгод = (Sст - Sн)*П
Ээф = (Пст - Пн)*П
Литература
1. Алексеев С.Ю.; Попова Г.Н. «Машиностроительное черчение».
«Машиностроение» 1986г.
2. Болотнов П.М. «Техника безопасности при работе на
животноводческих фермах», «Высшая школа», Москва 1971г.
3. Евтушенко В.И.; Рыженков В.Н. «Использование пищевых отходов
для откорма свиней», «Московский рабочий» 1985г.
4. Карнаухов И.Е. «Разработка и внедрение малоэнергоёмких
технологий в животноводстве и кормопроизводстве» «Москва» 1993г.
. Русак О.Н. «Безопасность жизнедеятельности» Санкт -
Петербург 1996г.
6. Селидуберский М.С. «Насосы, компрессоры, вентиляторы»
«Высшая школа» Москва 1961г.
. Свечик Ю.К. «Содержание и откорм свиней на малой ферме»
«Агропромиздат» Москва 1989г.
. Степанов В.И; Михайлов Н.В. «Свиноводство и технология
производства свинины» «Агропромиздат» 1991г.
. Тропчук И.С. «Кормление свиней» «Агропромиздат» 1990г.
. Колосов А.М. «Охрана природы в сельском хозяйстве» Москва
1980г.