Проект развития отрасли животноводства (на примере СХПК 'Салтыково')
МИНИСТЕРСТВО СЕЛЬСКОГО ХОЗЯЙСТВА РОССИЙСКОЙ ФЕДЕРАЦИИ
российский государственный аграрный университет
МСха имени К.А. Тимирязева
(ФГБОУ ВПО ргау - МСХА имени К.А. Тимирязева)
УЧЕТНО-ФИНАНСОВЫЙ ФАКУЛЬТЕТ
Кафедра финансов
Курсовая работа
на тему
Проект развития отрасли
животноводства (на примере СХПК «Салтыково»)
Выполнила
студентка 4
курса 404 группы
учётно-финансового
факультета
дневной формы
обучения
Андреева М.А.
Проверила
Гаврилова
Н.Г.
Москва 2013г.
Введение
Животноводство - одна из важнейших отраслей сельского хозяйства,
значительно влияющая на его экономику. В структуре стоимости валовой продукции
сельского хозяйства на долю животноводства, включающего в том числе молочное и
мясное скотоводство, приходится более 55 %. Сельское хозяйство обеспечивает все
население продуктами и предметами первой необходимости - продовольствием,
одеждой и обувью. Поэтому для каждого государства очень важно обеспечить
необходимый уровень развития и стабильность сельского хозяйства, поскольку
правительства всех стран своим первейшим долгом ставят социальную защиту
граждан, а особенно так называемых социально уязвимых групп населения. Это в
свою очередь требует наличия в стране достаточного количества продуктов первой
необходимости, которые население может приобретать по доступной цене. Задача
эта является сложной, так как поддержание стабильности в сельском хозяйстве -
весьма трудное дело. Нестабильность в сельском хозяйстве вызывается многими
природными и экономическими причинами. Прежде всего, это изменчивость погодных
условий, которые во многом определяют результаты деятельности хозяйств и их
финансовое состояние. Сельское хозяйство находится также в зависимости от
колебаний рынка, в условиях которых трудно поддерживать одинаковый уровень
доходности. Современный научно-технический прогресс, который в большинстве
стран в сельском хозяйстве имел более быстрый рост, чем в промышленности,
крайне обострил социальные проблемы, и нестабильность самого села в силу
перепроизводства сельскохозяйственной продукции.
В настоящее время, когда животноводство находится в кризисном состоянии,
развитие скотоводства нужно осуществлять на основе интенсификации. Увеличение
объёмов производства животноводческой продукции необходимо добиваться, прежде
всего, за счёт роста продуктивности скота, повышения уровня воспроизводства
стада, сокращение потерь от падежа животных. Необходимо также восстановить и
развивать производство в крупных животноводческих комплексах и
специализированных сельскохозяйственных предприятиях. Таким образом, актуальность
выбранной темы очевидна.
Целью данной работы является изучение организации животноводства на
сельскохозяйственном предприятии и перспективы его развития в СХПК
"Салтыково".
Предметом исследования является состояние и проект развития
животноводства. Объектом исследования в работе
является СХПК "Салтыково". Теоретической основой работы послужили
учебные пособия Алексеевой М.М., Шакирова Ф.К., Ильина А.И., Минакова И.А. и
др., труды российских авторов: Векленко В.И. и Воронцовой Ю.В., Гайворонской Н.Ф., Куракина С.Г., Бураева Ф.В., Ковыляева К. и других ученых по вопросам
эффективности, совершенствования и значения планирования, проблемам и другим
аспектам производства продукции животноводства. При проведении исследования использовались материалы бухгалтерской
отчетности СХПК "Салтыково".
В работе применялись общие методы исследования - системный подход,
сопоставительный, экономический анализ, метод статистических группировок,
которые в комплексном использовании позволили выявить общие тенденции развития
предприятия в общем и отрасли животноводства в частности, определить
планируемую эффективность производства и составить проект развития отрасли
животноводства СХПК "Салтыково".
Практическая значимость состоит в том, что рекомендации по результатам
исследований могут быть использованы в других организациях АПК России.
1.
Теоретические основы управления инвестиционной деятельностью на предприятии
.1
Классификация инвестиционных проектов
Другими
словами, инвестиционный проект в недвижимости - это, прежде всего, комплексный
план мероприятий, включающий проектирование, строительство, возможно так же и
приобретение технологий и оборудования, подготовку кадров и т.п., направленных
на создание нового или модернизацию существующего объекта недвижимости с целью
получения экономической выгоды.
Классификация
инвестиционных проектов может быть проведена по нескольким признакам.
. Степень
взаимного влияния:
2. Независимые
проекты. Когда решение о принятии одного проекта не влияет на решение о
принятии другого. Для того чтобы один инвестиционный проект был независим от
другого проекта должны выполняться два условия:
3.
должны быть возможности (технические, технологические)
осуществить проект «А» вне зависимости от того, будет или не будет принят
проект «В»;
4.
на денежные потоки, ожидаемые от проекта «А», не
должно влиять на принятие или отказ от проекта «В».
. Иногда
фирма из-за отсутствия средств не может одновременно осуществить два проекта. В
такой ситуации принятие одного проекта повлечет за собой отклонение второго.
Однако называть проекты зависимыми только на том основании, что у инвестора не
хватает средств для их совместной реализации, было бы неправильным.
. Если
же решение осуществить один проект оказывает воздействие на другой проект, то
есть денежные потоки по проекту «А» меняются в зависимости от того, принят или
отклонен проект В, то проекты считаются зависимыми. Таки проекты можно также
подразделить на следующие виды:
. Альтернативные
(взаимоисключающие). Когда два или более анализируемых проектов не могут быть
реализованы одновременно, и принятие одного из них автоматически означает, что
оставшиеся проекты не могут быть реализованы. Например, на выделенном участке
земли может быть выстроен либо цех, либо столовая, либо стоянка для автомобилей
- принятие одного из этих проектов автоматически делает невозможным
осуществление других;
. Взаимодополняющие.
Когда реализация нескольких проектов может происходить лишь совместно. При этом
взаимодополняющие проекты можно подразделить на:
· комплиментарные,
когда принятие одного инвестиционного проекта приводит к росту доходов по
другим проектам; 
· проекты,
связанные между собой отношениями замещения, когда принятие нового проекта
приводит к некоторому снижению доходов по одному или нескольким действующим
проектам.
.2 Срок
реализации
По срокам
создания и функционирования инвестиционные проекты можно разделить на:
краткосрочные
(до 3 лет);
среднесрочные
(3-5 лет);
долгосрочные
(свыше 5 лет).
.3 Масштаб
При
классификации проектов по их масштабам следует учитывать, что масштаб проекта
характеризует его общественную значимость, которая определяется влиянием
результатов реализации проекта на хотя бы один из внутренних или внешних рынков
(финансовых, товаров и услуг, ресурсов), а также на экологическую и социальную
обстановку:
· Глобальные,
реализация которых существенно влияет на экономическую, социальную или
экологическую ситуацию на Земле;
· Народнохозяйственные,
оказывающие влияние на всю страну в целом или ее крупные регионы (Сибирь,Урал,
Поволжье, Дальний восток), и при их оценке можно ограничиться учетом только
этого влияния;
· Крупномасштабные,
охватывающие отдельные отрасли или крупные территориальные образования (субъект
Федерации, города, районы), и при их оценке можно не учитывать влияние этих
проектов на ситуацию в других регионах или отраслях;
· Локальные,
действие которых ограничивается рамками предприятия, реализующего ИП. Их
реализация не оказывает существенного влияния на экономическую, социальную и
экологическую ситуацию в регионе и не изменяет уровень и структуру цен на
товарных рынках.
.4 Основная
направленность
По основной
направленности можно инвестиционные проекты можно разделить на:
· коммерческие,
главной целью которых является получение прибыли;
·
социальные, ориентированные на решение, например, проблем
безработицы в регионе или социальной адаптации бывших военнослужащих и т.п.;
·
экологические, основная направленность которых - улучшение
среды обитания людей, а также флоры и фауны.
1.2 Общая
характеристика методов оценки эффективности
Работа по определению экономической эффективности инвестиционного проекта
является одним из наиболее ответственных этапов прединвестиционных
исследований. Он включает детальный анализ и интегральную оценку всей
технико-экономической и финансовой информации, собранной и подготовленной для
анализа в результате работ на предыдущих этапах прединвестиционных
исследований.
Методы оценки эффективности инвестиционных проектов основаны
преимущественно на сравнении эффективности (прибыльности) инвестиций в
различные проекты. При этом в качестве альтернативы вложения средств в
рассматриваемое производство выступают финансовые вложения в другие
производственные объекты, помещение финансовых средств в банк под проценты или
их обращение в ценные бумаги. С позиции финансового анализа реализация
инвестиционного проекта может быть представлена как два взаимосвязанных
процесса: процесс инвестиций в создание производственного объекта (или
накопление капитала) и процесс получения доходов от вложенных средств. Эти два
процесса протекают последовательно (с разрывом между ними или без него) или на
некотором временном отрезке параллельно. В последнем случае предполагается, что
отдача от инвестиций начинается еще до момента завершения вложений. Оба
процесса имеют разные распределения интенсивности во времени, что в
значительной степени определяет эффективность вложения инвестиций.
Непосредственным объектом финансового анализа являются потоки (cash flow)
, характеризующие оба эти процесса в виде одной совмещенной последовательности.
В случае производственных инвестиций интенсивность результирующего потока
платежей формируется как разность между интенсивностью (расходами в единицу
времени) инвестиций и интенсивностью чистого дохода от реализации проекта.
Под чистым доходом понимается доход, полученный в каждом временном
интервале от производственной деятельности, за вычетом всех платежей, связанных
с его получением (текущими затратами на оплату труда, сырье, энергию, налоги и
т.д.). При этом погашение амортизации не относится к текущим затратам.
Оценка эффективности осуществляется с помощью расчета системы показателей
или критериев эффективности инвестиционного проекта.
Все они имеют одну важную особенность. Расходы и доходы разнесены по
времени, приводятся к одному (базовому) моменту времени. Базовым моментом
времени обычно являются дата реализации проекта, дата начала производства
продукции или условная дата, близкая времени произведения расчетов
эффективности проекта.
Процедура приведения разновременных платежей к базовой дате называется
дисконтированием. Экономический смысл этой процедуры состоит в следующем. Пусть
задана некоторая ставка ссудного процента r и поток платежей (отрицательных или
положительных t), начало которого совпадает с базовым моментом времени
приведения. Тогда дисконтированная величина платежа P(t), выполненного в
момент, отстоящий от базового на величину t интервалов (месяцев, лет), равна
некоторой величине Pd(t), которая, будучи выданной, под ссудный процент r, даст
в момент t величину P(t). Таким образом , Pd(t) (1+r )t = P(t) , или
дисконтированная величина платежа P(t) равна:
Величина ссудного процента r называется нормой дисконтирования
(приведения) и, помимо указанного выше смысла, трактуется в экономической
литературе как норма (или степень) предпочтения доходов, полученных в настоящий
момент, над доходами, которые будут получены в будущем.
При выборе ставки дисконтирования ориентируются на существующий или
ожидаемый усредненный уровень ссудного процента. Практически выбирают
конкретные ориентиры (доходность определенных видов ценных бумаг, банковских
операций и т.д.) с учетом деятельности соответствующих предприятий и
инвесторов.
Например, в США крупнейшие нефтяные компании применяют при анализе
эффективности три варианта ставки: усредненный показатель доходности акций,
существующие ставки по кредиту (средне- и долгосрочные), субъективные оценки,
основанные на опыте фирм. Ставка дисконтирования, используемая в рыночной
экономике, в значительной мере зависит от хозяйственной конъюнктуры, перспектив
экономического развития страны, мирового хозяйства, является предметом
серьезных исследований и прогнозов.
Другим важным фактором, влияющим на оценку эффективности инвестиционного
проекта, является фактор риска. Поскольку риск в инвестиционном процессе
независимо от его конкретных форм, в конечном счете, предстает в виде
возможного уменьшения реальной отдачи от капитала по сравнению с ожидаемой, то
для учета риска часто вводят поправку к уровню процентной ставки, которая
характеризует доходность по безрисковым вложениям (например, по сравнению с
банковскими депозитами или краткосрочными государственными ценными бумагами).
Включение рисковой надбавки в величину процентной ставки дисконтирования
является распространенным, но не единственным средством учета риска. Другим
методом решения этой задачи является анализ чувствительности или устойчивости
инвестиционного проекта к изменениям внешних факторов и параметров самого
проекта.
К внешним факторам относятся: будущий уровень инфляции, изменения спроса
и цен на планируемую к выпуску продукцию, возможные изменения цен на сырье и
материалы, изменения ставки ссудного процента, налоговые ставки и т.д. К
внутренним параметрам проекта относятся: изменения сроков и стоимости
строительства, темпов освоения производства продукции, потребности в различных
видах сырья и материалов, сбытовых расходах и т.д.
Поскольку реализация инвестиционного проекта, включает в себя процессы
капитального строительства, освоения и наращивания производства продукции, его
функционирования в изменяющейся экономической среде, является динамическим, то
для его описания используются имитационные динамические модели, реализуемые с
помощью вычислительной техники. В качестве переменных в этих моделях
используются технико-экономические и финансовые показатели инвестиционного
проекта, а также параметры, характеризующие внешнюю экономическую среду
(характеристики рынков сбыта продукции, инфляции, ставки процентов по кредитам
и т.д.). На основе этих моделей определяются потоки расходов и доходов,
рассчитываются показатели эффективности инвестиционного проекта, строятся годовые
балансы результатов производственной деятельности, а также проводится анализ
влияния различных факторов и внутренних параметров инвестиционного проекта на
результаты производственной деятельности и эффективности проекта.
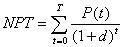
. Показатели экономической эффективности инвестиционного проекта
В основе большинства методов определения экономической эффективности
инвестиционных проектов в рыночной экономике лежит вычисление чистого
приведенного дохода (net present value). Чистый приведенный доход (NPV)
представляет собой разность результированных на один момент времени (обычно на
год начала реализации проекта) показателей дохода и капиталовложений.
Для оценки эффективности производственных инвестиций в основном
применяются следующие показатели: чистый приведенный доход, внутренняя норма
доходности, срок окупаемости капитальных вложений, рентабельность проекта и
точка безубыточности.
Переменные показатели являются результатами сопоставлений распределенных
во времени доходов с инвестициями и затратами на производство.
Рассмотрим определение, смысловое содержание и алгоритм расчета указанных
выше показателей инвестиционного проекта.
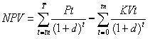
Чистый приведенный доход NPV вычисляется при заданной норме
дисконтирования ( приведения ) по формуле
где t - годы реализации инвестиционного проекта включая этап
строительства ( t = 0, 1, 2, 3, ..., T ); Pt - чистый поток платежей
(наличности) в году t; d - ставка дисконтирования.
Чистый поток платежей включает в качестве доходов прибыль от производственной
деятельности и амортизационных отчислений, а в качестве расходов - инвестиции в
капитальное строительство, воспроизводство выбывающих в период производства
основных, а также на создание и накопление оборотных средств.
Влияние инвестиционных затрат и доходов от них на NPV можно представить в
более наглядном виде, записав формулу (1)в виде
где tn - год начала производства продукции;- год окончания капитального
строительства;- инвестиционные расходы (капитальные вложения ) в году t.
Следует отметить, что вместо годового интервала в этих формулах могут
использоваться и более мелкие временные интервалы - месяц, квартал, полугодие.
Год начала производства продукции tn может не совпадать с годом окончания
строительства.
Случай tn > tc означает временную задержку производства продукции
после завершения строительства, а случай tn < tc означает запуск продукции
до завершения строительства.
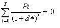
Внутренняя норма доходности ( internal rate of return, IRR )
инвестиционного проекта представляет собой расчетную ставку процентов, при
которой чистый приведенный доход, соответствующий этому проекту, равен нулю.
Экономический смысл этого показателя выражен в следующем: в качестве
альтернативы вложениям финансовых средств в инвестиционный проект
рассматривается помещение тех же средств (так же распределенных по времени
вложения) под некоторый банковский процент. Распределенные во времени доходы
помещаются на депозитный счет в банке под тот же процент.
При ставке ссудного процента, равной внутренней норме доходности,
инвестирование финансовых средств в проект даст в итоге тот же суммарный доход,
что и помещение их в банк на депозитный счет. Таким образом, при этой ставке
ссудного процента альтернативы помещения финансовых средств экономически эквивалентны.
Если реальная ставка ссудного процента меньше внутренней нормы доходности
проекта, то инвестирование средств в него выгодно, и наоборот. Следовательно,
IRR является граничной ставкой ссудного процента, разделяющей эффективные и
неэффективные проекты.
Уровень IRR полностью определяется внутренними данными, характеризующими
инвестиционный проект. Никакие предположения об использовании чистого дохода за
пределами проекта не рассматриваются. За рубежом расчет внутренней нормы
доходности часто применяется в качестве первого шага при финансовом анализе
инвестиционного проекта. Для дальнейшего анализа отбираются те инвестиционные
проекты, которые имеют IRR не ниже порогового значения (обычно 15 - 20%
годовых).
Методика определения внутренней нормы доходности зависит от конкретных
особенностей распределения доходов от инвестиций и самих инвестиций. В общем
случае, когда инвестиции и отдача от них задаются в виде потока платежей, IRR
определяется как решение следующего уравнения относительно неизвестной величины
d*
где d* = IRR - внутренняя норма доходности, соответствующая потоку
платежей Pt.
Оно может быть получено из формулы (1), если ее левую часть приравнять к
нулю. Уравнение (2) эквивалентно алгебраическому уравнению степени T и обычно
решается методом итерации. Существуют многочисленные программы для ПЭВМ,
решающие подобные уравнения.
Очень часто на практике могут встречаться более сложные случаи, когда
уравнение (2) имеет несколько положительных корней. Это может, например,
произойти, когда уже после первоначальных инвестиций в производство возникает
необходимость коренной модернизации или замены оборудования на действующем
производстве. В этом случае следует руководствоваться наименьшим значением из
полученных решений.
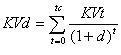
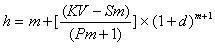
Срок окупаемости инвестиций ( payback method ) - это один из наиболее
применяемых показателей, особенно для предварительной оценки эффективности
инвестиций. Срок окупаемости определяется как период времени, в течение
которого инвестиции будут возвращены за счет доходов, полученных от реализации
инвестиционного проекта. Более точно под сроком окупаемости понимается
продолжительность периода, в течение которого сумма чистых доходов,
дисконтированных на момент завершения инвестиций, равна сумме инвестиций.
Для определения срока окупаемости можно воспользоваться формулой (1*) ,
видоизменив ее соответствующим образом. Левую часть этой формулы приравниваем
нулю и будем полагать, что все инвестиции сделаны в момент окончания
строительства. Известная величина h периода с момента окончания строительства,
удовлетворяющая этим условиям, и будет сроком окупаемости инвестиций.
Уравнение для определения срока окупаемости можно записать в виде
где h - срок окупаемости; KV - суммарные капиталовложения в
инвестиционный проект.
Следует заметить, что в уравнении t=0 соответствует моменту окончания
строительства. Величина h определяется путем последовательного суммирования
членов ряда дисконтированных доходов до тех пор, пока не будет получена сумма,
равная объему инвестиций или превышающая его.
Обозначим
, причем Sm < KV < Sm + 1.
Тогда срок окупаемости приблизительно равен:
Очевидно, что на величину срока окупаемости, помимо интенсивности
поступления доходов, существенное влияние оказывает используемая норма
дисконтирования доходов. Естественно, что наименьший срок окупаемости
соответствует отсутствию дисконтирования доходов, монотонно возрастая по мере
увеличения ставки процента.
На практике могут встретиться случаи, когда срок окупаемости инвестиций
не существует (или равен бесконечности). При отсутствии дисконтирования эта
ситуация возникает, только если срок окупаемости больше периода получения
доходов от производственной деятельности. При дисконтировании доходов срок
окупаемости может просто не существовать (стремиться к бесконечности) при
определенных соотношениях между инвестициями, доходами и нормой
дисконтирования.
Предположим, в формуле (3) Pt постоянная величина, равная P.
Тогда сумма
является суммой членов геометрической прогрессии. При h а эта сумма равна
S = 1+d /d.
При любом конечном h Sh < S . Отсюда следует, что необходимым условием
существования конечного срока окупаемости h является выполнение равенства:
( 1+d / d ) = KV,
что эквивалентно:/ KV = d / 1+d.
Следует отметить, что при определении срока окупаемости инвестиции не
подвергались дисконтированию, а просто суммировались. Иногда полезно определять
срок окупаемости инвестиций, осуществляя их приведение к моменту окончания
срока строительства, наряду с доходами по той же процентной ставке.
В этом случае при норме дисконтирования, равной внутренней норме
доходности, срок окупаемости инвестиций равен производственному периоду, в
течение которого доходы от производственной деятельности положительны. Таким
образом, IRR является предельной нормой дисконтирования, при которой срок
окупаемости существует. Она может быть также ориентиром при оценке предельного
значения нормы дисконтирования, соответствующей существованию срока окупаемости
и в случае отсутствия дисконтирования инвестиций.
Недостаток срока окупаемости как показателя эффективности капитальных
вложений, заключается в том, что этот показатель не учитывает весь период
функционирования производства и, следовательно, на него не влияют доходы,
которые будут получены за пределами срока окупаемости. В частности, такая мера,
как срок окупаемости, должна использоваться не в качестве критерия выбора
инвестиционного проекта, а лишь в виде ограничения при принятии решения. Это
означает, что если срок окупаемости больше некоторого принятого граничного
значения, то инвестиционный проект исключается из состава рассматриваемых.
Рентабельность ( benefit - cost ratio ), или индекс доходности (profita-
bility index) инвестиционного проекта, представляет собой отношение приведенных
доходов к приведенным на ту же дату инвестиционным расходам.
Используя те же обозначения, что и в формуле (1* ), получим формулу
рентабельности ( R ) в виде:
Как видно из этой формулы, в ней сравниваются две части приведенного
чистого дохода - доходная и инвестиционная. Если при некоторой норме
дисконтирования d* рентабельность проекта равна единице, это означает, что
приведенные доходы равны инвестиционным расходам и чистый приведенный доход
равен нулю.
Следовательно, d* является внутренней нормой доходности проекта. При
норме дисконтирования, меньшей IRR, рентабельность больше 1. Таким образом,
превышение над единицей рентабельности проекта означает некоторую его
дополнительную доходность при рассматриваемой ставке процента. Случай, когда
рентабельность проекта меньше единицы, означает его неэффективность при данной
ставке процента.
Все рассмотренные показатели инвестиционного проекта тесно связаны между
собой. Это можно объяснить тем, что все они строятся на основе дисконтирования
потока платежей. Поэтому часто инвестиционный проект, предпочтительный по
одному, пока будет также предпочтительным и по другим показателям.
Вместе с тем это не всегда так, поскольку предпосылки и особенности
расчета каждого показателя различаются.
В качестве примера рассмотрим соответствие между чистым приведенным
доходом и рентабельностью. Используя формулы (1*) и (6), можно записать
выражение для рентабельности в следующем виде:
где
- дисконтированная сумма инвестиций.
Из этой формулы видно, что большие значения рентабельности можно получить
и при меньших значениях NPV, если инвестиции уменьшаются в большей степени, чем
чистый приведенный доход. Вследствие различий в оценке инвестиционного проекта,
которые могут наблюдаться при использовании различных показателей
эффективности, возникает вопрос о предпочтительности тех или иных измерителей
эффективности. Проведенный в 1983 г. опрос 103 крупнейших нефтяных и газовых
компаний США показал, что 98% фирм применяли в качестве основного или
дополнительного по крайне мере один из формальных показателей эффективности, а
многие - несколько.
. Чистый поток платежей ( cash flow )
Из вышесказанного следует, что базой для расчета всех показателей
эффективности инвестиционных проектов является вычисление чистого потока
платежей. Как уже отмечалось, чистый поток платежей определяется как разность
текущих доходов и расходов связанных с реализацией инвестиционного проекта и
измеряемых количеством денежных единиц в единицу времени ( руб/день; млн.руб/
год; USD / год и т.д.).
С финансовой точки зрения потоки текущих доходов и расходов, а также
чистый поток платежей полностью характеризуют инвестиционный проект. Поэтому
вычисление этой характеристики инвестиционного проекта крайне важно. В этой
части представлены основные формулы для расчета чистого потока платежей.
Чистый поток платежей Pt во временном интервале t (год) равен
= ЧПt + Аt + ФИt - KVt - ПОКt
где t = 0, 1, 2, ...,T; ЧПt - чистая прибыль; Аt - амортизационные
отчисления; ФИt - финансовые издержки ( процент за кредит ); KVt - капитальные
вложения.
Рассмотрим в общем виде слагаемые
: ЧПt = Дt - ИПt - Нt
где Дt - общий объем продаж t-го года ( за вычетом НДС ); ИПt - издержки
производства в t-м году; Нt - налог не налогооблагаемую прибыль а t-м году.
Дt = ДВt + ДЭt
где ДВt - доход от продаж на внутреннем рынке в t-м году; ДЭt - доход от
продаж на экспорт в t-м году.
Все доходы определяются за вычетом НДС.
ДВt=
ЦВjt· Q ДЭt =
ЦЭjt · Qj · gt
.3 Управление
инвестиционным проектом предприятия
В последнее десятилетие практика ведения хозяйственной деятельности
предприятий потребовала возникновения и развития нового вида экономического
управления - инвестиционного управления.
Инвестиционное управление на предприятии - это процесс, направленный на
формирование и эффективное использование инвестиционных ресурсов,
осуществляемый путем взаимного информационного обмена между объектом и
субъектом управления. В качестве объекта такого управления современная наука
называет инвестиции и инвестиционную деятельность, при этом нередко подменяя
или даже отождествляя понятия, которые следует различать.
Инвестиции предприятия представляют собой часть денежных и неденежных
средств, которая формируется с целью вложения в различные объекты хозяйственной
деятельности (например, основные фонды, оборотные средства, нематериальные
активы, человеческий капитал, ценные бумаги, финансовые инструменты) для
получения прибыли или достижения иного экономического или неэкономического
эффекта. Соответственно, управление инвестициями можно рассматривать как вид
управленческой деятельности по формированию и эффективному использованию
инвестиционных ресурсов, или как собственно инвестиционную деятельность
предприятия.
Управление инвестиционной деятельностью - это управление деятельностью
работников предприятия, которые прямо или косвенно занимаются формированием
инвестиционных ресурсов и их эффективным использованием. Управление
инвестиционной деятельностью происходит также, как и любым другим видом
опредмеченной управленческой деятельности (маркетинговой, внешнеэкономической,
учетной и т. д.) - путем создания соответствующего структурного подразделения,
определения решаемых им задач, наделения полномочиями и ответственностью за их
выполнение.
Управление каждым (экономическим) объектом осуществляется по особой
технологии, поэтому, различая инвестиционную деятельность предприятия как
таковую и управление этой деятельностью, необходимо выделять также две
технологии управления.
Технология управления - это выполняемая субъектом управления совокупность
работ, процедур, операций и входящих в них информационных преобразований,
соотнесенная с содержанием объекта управления и целесообразная его состоянию.
Из двух технологий управления - инвестициями и инвестиционной деятельностью -
исходной следует признать технологию управления инвестициями, которая по всем
составляющим (структуре информационной системы, обслуживающему ее
документообороту, процедурам выполнения) отличается от технологии управления
финансами, денежными средствами, инновациями и прочими объектами. Именно
сущность инвестиций «задает» целевое назначение, статус, численность,
внутреннюю организацию и характер работы «инвестиционного» (не финансового, не
бухгалтерского, не инновационного и т. д.) подразделения предприятия.
В настоящее время технология управления инвестициями на предприятии
разработана крайне неравномерно: одни управленческие работы получили детальное
и глубокое освещение (процедуры инвестиционного проектирования), другие -
только частичное (продвижение бизнес-планов на инвестиционный рынок), третьи,
относящиеся к формированию и использованию ресурсов в целом по предприятию, -
вообще не рассматриваются. К тому же, современная технология управления
инвестициями имеет разрозненный и несистематизированный вид; нечетко определен
круг работ, входящих в нее и необходимых для достижения результата управления.
По этой причине реализация инвестиций часто подменяется реализацией
инвестиционных проектов.
На наш взгляд, технология управления инвестициями на предприятии включает
шесть управленческих работ (они приведены ниже с соответствующими процедурами).
. Формирование инвестиционных ресурсов из собственных источников.
.1.Формирование инвестиционных ресурсов за счет прибыли от реализации
продукции.
.2.Формирование инвестиционных ресурсов за счет прибыли из других
источников.
. Выбор объектов инвестирования на предприятии.
.1.Выбор объектов неотложенного и альтернативного инвестирования.
.2.Разработка плана обеспечения объектов инвестиционными ресурсами.
. Выбор объектов инвестирования вне предприятия.
.1.Выбор объектов реального инвестирования.
.2.Выбор объектов портфельного инвестирования.
. Разработка бизнес-планов инвестиционных проектов.
.1.Процедуры разработки разделов бизнес-плана.
.2.Расчет показателей эффективности проекта.
. Формирование инвестиционных ресурсов из заемных и привлеченных
средств.
.1. Определение потребности в заемных и привлеченных ресурсах.
.2. Продвижение бизнес-планов и инвестиционных предложений на
инвестиционный рынок.
.3. Принятие мер для получения государственной поддержки.
.4. Составление отчета об обеспеченности планируемых объектов
инвестиционными ресурсами.
.Сбор, обобщение и анализ информации о ходе реализации инвестиционных
ресурсов и их фактической эффективности.
.1. Ведение мониторинга инвестиционной ситуации на предприятии.
.2. Определение фактической эффективности инвестиций.
Ясное представление о том, чем должен заниматься орган управления
инвестициями, позволяет включать инвестиционную деятельность в структуру
управления предприятия в качестве относительно самостоятельного вида
управленческой деятельности. Технология создания соответствующего структурного
подразделения включает работы по:
разработке Положения о структурном подразделении (определение функций и
степени самостоятельности их выполнения, прав, обязанностей и ответственности
исполнителей, перечня используемых документов, каналов связей с другими
подразделениями и т. д.);
формированию системы должностей подразделения (составление должностных
инструкций, штатного расписания, планирование и нормирование инвестиционной
деятельности);
оснащению подразделения средствами выполнения работ;
подбору и расстановке кадров, их материальному и моральному
стимулированию;
некоторые другие.
Четкое разграничение работ по управлению инвестициями и инвестиционной
деятельностью позволяет совершенствовать каждую технологию управления в
отдельности и все инвестиционное управление в целом и таким образом улучшать
обеспеченность предприятия инвестиционными ресурсами - гарантию его
экономической безопасности, залог и основу дальнейшего развития.
2 Анализ
состояния животноводства в ОАО СХПК "Салтыково" Земетчинского района
.1 Анализ
финансового положения СХПК "Салтыково"
Представленный анализ финансового состояния выполнен за период за 2 года.
Качественная оценка финансовых показателей выполнена с учетом принадлежности к
отрасли «Сельское хозяйство».
Таблица 1. Структура имущества и источники его формирования
|
Показатель
|
Значение показателя
|
Изменение за анализируемый период
|
|
в тыс. руб.
|
в % к валюте баланса
|
тыс. руб. (гр.3-гр.2)
|
± % ((гр.3-гр.2) : гр.2)
|
|
31.12.2011
|
31.12.2012
|
на начало анализируемого периода (31.12.2011)
|
на конец анализируемого периода (31.12.2012)
|
|
|
|
1
|
2
|
3
|
4
|
5
|
6
|
7
|
|
Актив
|
|
1. Внеоборотные активы
|
42 504
|
42 344
|
53
|
50,7
|
-160
|
-0,4
|
|
в том числе: основные средства
|
42 504
|
42 344
|
53
|
50,7
|
-160
|
-0,4
|
|
нематериальные активы
|
-
|
-
|
-
|
-
|
-
|
-
|
|
2. Оборотные, всего
|
37 622
|
41 230
|
47
|
49,3
|
+3 608
|
+9,6
|
|
в том числе: запасы
|
36 104
|
36 806
|
45,1
|
44
|
+702
|
+1,9
|
|
дебиторская задолженность
|
892
|
2 748
|
1,1
|
3,3
|
+1 856
|
+3,1 раза
|
|
денежные средства и краткосрочные финансовые вложения
|
626
|
1 676
|
0,8
|
2
|
+1 050
|
+167,7
|
|
Пассив
|
|
1. Собственный капитал
|
65 591
|
71 994
|
81,9
|
86,1
|
+6 403
|
+9,8
|
|
2. Долгосрочные обязательства, всего
|
2 460
|
307
|
3,1
|
0,4
|
-2 153
|
-87,5
|
|
в том числе: заемные средства
|
614
|
307
|
0,8
|
0,4
|
-307
|
-50
|
|
3. Краткосрочные обязательства*, всего
|
12 075
|
11 273
|
15,1
|
13,5
|
-802
|
-6,6
|
|
в том числе: заемные средства
|
-
|
-
|
-
|
-
|
-
|
-
|
|
Валюта баланса
|
80 126
|
83 574
|
100
|
100
|
+3 448
|
+4,3
|
* Без доходов будущих периодов, включенных в собственный капитал
Соотношение основных качественных групп активов организации на последний
день анализируемого периода характеризуется примерно равным соотношением
внеоборотных средств и текущих активов (50,7% и 49,3% соответственно). Активы
организации за весь период изменились несущественно (на 4,3%). Отмечая рост
активов, необходимо учесть, что собственный капитал увеличился еще в большей
степени - на 9,8%. Опережающее увеличение собственного капитала относительно
общего изменения активов следует рассматривать как положительный фактор.
На диаграмме ниже наглядно представлено соотношение основных групп
активов организации
Рост величины активов организации связан с ростом следующих позиций
актива бухгалтерского баланса (в скобках указана доля изменения статьи в общей
сумме всех положительно изменившихся статей):
· дебиторская задолженность - 1 856 тыс. руб. (51,4%)
· денежные средства и денежные эквиваленты - 1 050 тыс. руб.
(29,1%)
· запасы - 702 тыс. руб. (19,5%)
Одновременно, в пассиве баланса прирост наблюдается по строкам:
· уставный капитал (складочный капитал, уставный фонд, вклады
товарищей) - 3 655 тыс. руб. (57,1%)
· резервный капитал - 2 267 тыс. руб. (35,4%)
· нераспределенная прибыль (непокрытый убыток) - 481 тыс. руб.
(7,5%)
Среди отрицательно изменившихся статей баланса можно выделить
"основные средства" в активе и "прочие долгосрочные
обязательства" в пассиве (-160 тыс. руб. и -1 846 тыс. руб.
соответственно).
На 31 декабря 2012 г. значение собственного капитала составило 71 994,0
тыс. руб. При этом на 31.12.2011 собственный капитал организации составлял 65
591,0 тыс. руб. (т.е. изменение +6 403,0 тыс. руб.).
Таблица 2.
Оценка стоимости чистых активов организации
|
Показатель
|
Значение показателя
|
Изменение
|
|
в тыс. руб.
|
в % к валюте баланса
|
тыс. руб. (гр.3-гр.2)
|
± % ((гр.3-гр.2) : гр.2)
|
|
31.12.2011
|
31.12.2012
|
на начало анализируемого периода (31.12.2011)
|
на конец анализируемого периода (31.12.2012)
|
|
|
|
1
|
2
|
3
|
4
|
5
|
6
|
7
|
|
1. Чистые активы
|
65 591
|
71 994
|
81,9
|
86,1
|
+6 403
|
+9,8
|
|
2. Уставный капитал
|
20 535
|
24 190
|
25,6
|
28,9
|
+3 655
|
+17,8
|
|
3. Превышение чистых активов над уставным капиталом
(стр.1-стр.2)
|
45 056
|
47 804
|
56,2
|
57,2
|
+2 748
|
+6,1
|
Чистые активы организации на 31.12.2012 значительно (на 197,6%) превышают
уставный капитал. Такое соотношение положительно характеризует финансовое положение,
полностью удовлетворяя требованиям нормативных актов к величине чистых активов
организации. Более того, определив текущее состояние показателя, следует
отметить увеличение чистых активов на 9,8% за последний год. Превышение чистых
активов над уставным капиталом и в то же время их увеличение за период говорит
о хорошем финансовом положении организации по данному признаку. На следующем
графике наглядно представлена динамика чистых активов и уставного капитал
организации.
Таблица 3.
Анализ финансовой устойчивости по величине излишка (недостатка) собственных
оборотных средств
|
Показатель собственных оборотных средств (СОС)
|
Значение показателя
|
Излишек (недостаток)*
|
|
на начало анализируемого периода (31.12.2011)
|
на конец анализируемого периода (31.12.2012)
|
на 31.12.2011
|
на 31.12.2012
|
|
1
|
2
|
3
|
4
|
5
|
|
СОС1 (рассчитан без учета долгосрочных и краткосрочных
пассивов)
|
23 087
|
29 650
|
-13 017
|
-7 156
|
|
СОС2 (рассчитан с учетом долгосрочных пассивов; фактически
равен чистому оборотному капиталу, Net Working Capital)
|
25 547
|
29 957
|
-10 557
|
-6 849
|
|
СОС3 (рассчитанные с учетом как долгосрочных пассивов, так
и краткосрочной задолженности по кредитам и займам)
|
25 547
|
29 957
|
-10 557
|
-6 849
|
*Излишек (недостаток) СОС рассчитывается как разница между собственными
оборотными средствами и величиной запасов и затрат
Поскольку на последний день анализируемого периода (31.12.2012)
наблюдается недостаток собственных оборотных средств, рассчитанных по всем трем
вариантам, финансовое положение организации по данному признаку можно
характеризовать как неудовлетворительное. Несмотря на неудовлетворительную
финансовую устойчивость, следует отметить, что все три показателя покрытия
собственными оборотными средствами запасов за 2012 год улучшили свои значения.
Таблица 4.
Анализ соотношения активов по степени ликвидности и обязательств по сроку
погашения
|
Активы по степени ликвидности
|
На конец отчетного периода, тыс. руб.
|
Прирост за анализ .период, %
|
Норм. соотношение
|
Пассивы по сроку погашения
|
На конец отчетного периода, тыс. руб.
|
Прирост за анализ.период, %
|
Излишек/ недостаток платеж. Средств тыс. руб., (гр.2 -
гр.6)
|
|
1
|
2
|
3
|
4
|
5
|
6
|
8
|
|
А1. Высоколиквидные активы (ден. ср-ва + краткосрочные фин.
вложения)
|
1 676
|
+167,7
|
≥
|
П1. Наиболее срочные обязательства (привлеченные средства)
(текущ. кред. задолж.)
|
11 273
|
-6,6
|
-9 597
|
|
А2. Быстрореализуемые активы (краткосрочная деб.
задолженность)
|
2 748
|
+3,1 раза
|
≥
|
П2. Среднесрочные обязательства (краткосроч. обязательства
кроме текущ. кредит. задолж.)
|
0
|
-
|
+2 748
|
|
А3. Медленно реализуемые активы (прочие оборот. активы)
|
36 806
|
+1,9
|
≥
|
П3. Долгосрочные обязательства
|
307
|
-87,5
|
+36 499
|
|
А4. Труднореализуемые активы (внеоборотные активы)
|
42 344
|
-0,4
|
≤
|
П4. Постоянные пассивы (собственный капитал)
|
71 994
|
+9,8
|
-29 650
|
Из четырех соотношений, характеризующих соотношение активов по степени
ликвидности и обязательств по сроку погашения, выполняются все, кроме одного. У
организации не имеется достаточно высоколиквидных активов для погашения
наиболее срочных обязательств (разница составляет 9 597 тыс. руб.). В
соответствии с принципами оптимальной структуры активов по степени ликвидности,
краткосрочной дебиторской задолженности должно быть достаточно для покрытия
среднесрочных обязательств (краткосрочной задолженности за минусом текущей
кредиторской задолженности). В данном случае краткосрочные кредиты и займы
отсутствуют.
.2 Анализ
эффективности деятельности организации
Основные финансовые результаты деятельности за последний год приведены
ниже в таблице.
По данным "Отчета о финансовых результатах" за рассматриваемый
период организация получила прибыль от продаж в размере 14 274 тыс. руб., что
равняется 31,5% от выручки. По сравнению с аналогичным периодом прошлого года
прибыль от продаж выросла на 3 523 тыс. руб., или на 32,8%.
По сравнению с прошлым периодом в текущем выросла как выручка от продаж,
так и расходы по обычным видам деятельности (на 12 641 и 9 118 тыс. руб.
соответственно). Причем в процентном отношении изменение расходов (+41,5%)
опережает изменение выручки (+38,6%)
Изучая расходы по обычным видам деятельности, следует отметить, что
организация как и в прошлом году не использовала возможность учитывать
общехозяйственные расходы в качестве условно-постоянных, включая их ежемесячно
в себестоимость производимой продукции (выполняемых работ, оказываемых услуг).
Поэтому показатель "Управленческие расходы" за отчетный период в
форме №2 отсутствует.
Убыток от прочих операций за последний год составил 773 тыс. руб.,что на
2 275 тыс. руб. меньше, чем сальдо прочих дохдов-расходов за аналогичный период
прошлого года.
Таблица 5
|
Показатель
|
Значение показателя, тыс. руб.
|
Изменение показателя
|
Средне-годовая величина, тыс. руб.
|
|
2011
|
2012
|
тыс. руб. (гр.3 - гр.2)
|
± % ((3-2) : 2)
|
|
|
1
|
2
|
3
|
4
|
5
|
6
|
|
1. Выручка
|
32 725
|
45 366
|
+12 641
|
+38,6
|
39 046
|
|
2. Расходы по обычным видам деятельности
|
21 974
|
31 092
|
+9 118
|
+41,5
|
26 533
|
|
3. Прибыль (убыток) от продаж (1-2)
|
10 751
|
14 274
|
+3 523
|
+32,8
|
12 513
|
|
4. Прочие доходы и расходы, кроме процентов к уплате
|
2 026
|
-114
|
-2 140
|
↓
|
956
|
|
5. EBIT (прибыль до уплаты процентов и налогов) (3+4)
|
12 777
|
14 160
|
+1 383
|
+10,8
|
13 469
|
|
6. Проценты к уплате
|
524
|
659
|
+135
|
+25,8
|
592
|
|
7. Изменение налоговых активов и обязательств, налог на
прибыль и прочее
|
142
|
500
|
+358
|
+3,5 раза
|
321
|
|
8. Чистая прибыль (убыток) (5-6+7)
|
12 395
|
14 001
|
+1 606
|
+13
|
13 198
|
|
Справочно: Совокупный финансовый результат периода
|
12 395
|
14 001
|
+1 606
|
+13
|
13 198
|
|
Изменение за период нераспределенной прибыли (непокрытого
убытка) по данным бухгалтерского баланса (измен. стр. 1370)
|
x
|
481
|
х
|
х
|
х
|
Сопоставление чистой прибыли по данным "Отчета о финансовых
результатах" и бухгалтерского баланса показало, что в 2012 г. организация
произвела расходы за счет чистой прибыли в сумме 13 520 тыс. руб. (разница
между показателем чистой прибыли по форме №2 и изменением показателя
нераспределенной прибыли (непокрытого убытка) по балансу).
Судя по отсутствию в бухгалтерской отчетности за отчетный период данных
об отложенных налоговых активах и обязательствах, организация не применяет ПБУ
18/02 "Учет расчетов по налогу на прибыль", что допустимо для
субъектов малого предпринимательства.
Изменение выручки наглядно представлено ниже на графике.
Таблица 6.
Анализ рентабельности
|
Показатели рентабельности
|
Значения показателя (в %, или в копейках с рубля)
|
Изменение показателя
|
|
2011
|
2012
|
коп., (гр.3 - гр.2)
|
± % ((3-2) : 2)
|
|
1. Рентабельность продаж (величина прибыли от продаж в
каждом рубле выручки). Нормальное значение для данной отрасли: 13% и более.
|
32,9
|
31,5
|
-1,4
|
-4,2
|
|
2. Рентабельность продаж по EBIT (величина прибыли от
продаж до уплаты процентов и налогов в каждом рубле выручки).
|
39
|
31,2
|
-7,8
|
-20,1
|
|
3. Рентабельность продаж по чистой прибыли (величина чистой
прибыли в каждом рубле выручки).
|
37,9
|
30,9
|
-7
|
-18,5
|
|
Cправочно: Прибыль от продаж на рубль, вложенный в
производство и реализацию продукции (работ, услуг)
|
48,9
|
45,9
|
-3
|
-6,2
|
|
Коэффициент покрытия процентов к уплате (ICR), коэфф.
Нормальное значение: 1,5 и более.
|
24,4
|
21,5
|
-2,9
|
-11,9
|
В течение анализируемого периода организация получила прибыль как от
продаж, так и в целом от финансово-хозяйственной деятельности, что и обусловило
положительные значения всех трех представленных в таблице показателей
рентабельности.
.3 Оценка
ключевых показателей
Ниже по качественному признаку обобщены важнейшие показатели финансового
положения и результаты деятельности за год.
Среди показателей, имеющих исключительно хорошие значения, можно выделить
следующие:
· чистые активы превышают уставный капитал, к тому же они увеличились
за анализируемый период;
· полностью соответствует нормативному значению коэффициент
текущей (общей) ликвидности;
· положительное изменение собственного капитала относительно
общего изменения активов организации;
· за весь анализируемый период получена прибыль от продаж (14
274 тыс. руб.), более того наблюдалась положительная динамика по сравнению с
аналогичным периодом прошлого года (+3 523 тыс. руб.);
· прибыль от финансово-хозяйственной деятельности за
рассматриваемый период составила 14 001 тыс. руб. (+1 606 тыс. руб. по
сравнению с аналогичным периодом прошлого года).
Среди критических показателей финансового положения организации можно
выделить такие:
· коэффициент быстрой (промежуточной) ликвидности значительно
ниже нормы;
· крайне неустойчивое финансовое положение по величине
собственных оборотных средств.
В качестве одного из показателей вероятности банкротства организации ниже
рассчитан Z-счет Альтмана (для 000 взята 4-факторная модель для частных
непроизводственных компаний):
счет = 6,56T1 + 3,26T2 + 6,72T3 + 1,05T4
где
|
Коэф-т
|
Расчет
|
Значение на 31.12.2012
|
Множитель
|
Произведение (гр. 3 х гр. 4)
|
|
1
|
2
|
3
|
4
|
5
|
|
T1
|
Отношение оборотного капитала к величине всех активов
|
0,36
|
6,56
|
2,35
|
|
T2
|
Отношение нераспределенной прибыли к величине всех активов
|
0,38
|
3,26
|
1,22
|
|
T3
|
Отношение EBIT к величине всех активов
|
0,17
|
6,72
|
1,14
|
|
T4
|
Отношение собственного капитала к заемному
|
6,22
|
1,05
|
6,53
|
|
Z-счет Альтмана:
|
11,24
|
Предполагаемая вероятность банкротства в зависимости от значения Z-счета
Альтмана составляет:
· 1.1 и менее - высокая вероятность банкротства;
· от 1.1 до 2.6 - средняя вероятность банкротства;
· от 2.6 и выше - низкая вероятность банкротства.
3.
Инвестиционный проект по приобретению техники
.1 Общая
характеристика инвестиционного проекта
Таблица 7 - Общая характеристика проекта
|
Наименование проекта
|
Разведение птицы мясного направления, с целью производства
мяса бройлеров
|
|
Инициатор проекта
|
СХПК "Салтыково"
|
|
Суть проекта
|
Проект предусматривает приобретение и разведение птицы, что
будет способствовать новому направлению производства в республике Мордовия
|
|
Сроки и этапы реализации проекта
|
Апрель 2014 - март 2016
|
|
Финансовые ресурсы, необходимые для осуществления проекта
|
8000000 рублей, процентная ставка 14% годовых.
|
|
Объем кредита
|
8000000 рублей.
|
|
Оценка рисков проекта
|
- риск срыва поставок (организация поиска дополнительных
поставщиков); - конкуренция (понижение цены, повышение культуры обслуживания,
предоставление кредита); - пожар (страхование, наличие пожарного щита,
ёмкости с водой); - неплатёжеспособность клиентов (кредит, приемлемые цены,
активный маркетинг, т. е. расширение круга возможных потребителей). -
эпидемия заболеваний (падеж птицы)
|
|
Основные препятствия, способные помешать реализации проекта
|
Отсутствие финансирования за счет кредитования
|
СХПК "Салтыково" будет реализовывать свою продукцию на рынке
республики Мордовия. На данный момент клиентская база фабрики составляет более
500 торговых фирм, компаний и бюджетных организаций.
Корма СХПК "Салтыково" планирует приобретать в основном
государственных предприятий и у коммерческих фирм на основании договоров.
Формой оплаты за сырье и материалы является предоплата или оплата по
факту поставки товара. Корма приобретаются как у местных товаропроизводителей,
так и у производителей других регионов.
Таблица 8 - План маркетинга
|
Задача
|
Открытие нового производства, а именно производства мяса
бройлеров.
|
|
Основной упор в реализации продукции делается на:
|
Цену Качество Проведение рекламных акций Внедрение на новый
рынок сбыта продукции
|
|
Подход к ценообразованию
|
Цены ориентированы на цены конкурентов.
|
|
Ассортимент
|
Бройлерное мясо
|
|
Рекламная кампания
|
При продвижении на рынок основное место в маркетинговой
стратегии уделяется проведению рекламных кампаний. Основной упор в рекламе
делается на местного товаропроизводителя, качество, свежесть и экологическую
чистоту продукта.
|
|
Реализация рекламы
|
Вывески у представителей в оптовых центрах, магазинах;
Рекламные объявления в журналах, газетах; Теле - и радио реклама; Наружная
реклама; PR - кампании: периодические
публикации в местных СМИ, пресс-конференции, рассылка пресс-релизов; Участие
в региональных ярмарках, выставках, конкурсах.
|
Закупка нового высоко технологичного оборудования и высокопродуктивной
птицы мясного направления (бройлер) для открытия нового производства приведет к
производству мяса птицы.
Бройлер - гибридный мясной цыпленок до 60-70-дневного
возраста (безразлично какого пола) живой массой 1,5-1,8 кг, получаемой на
основе специализированного выращивания, обеспечивающего интенсивный рост, мясную
скороспелость, высокую конверсию кормов и отличные мясные качества.
Производство бройлеров по интенсивным технологиям базируется на следующих
основных принципах: использование высокопродуктивной гибридной птицы;
применение полнорационных сухих комбикормов; выращивание поголовья в птичниках,
оснащенных современными техническими средствами, с полной механизацией и
автоматизацией производственных процессов; осуществление процесса производства
на основе технологических карт-графиков, обеспечивающих круглогодовое и
ритмичное выращивание поголовья; строгое выполнение ветеринарно-санитарных
требований, позволяющих добиваться высокой сохранности птицы. В результате
получают в год с каждого квадратного метра площади помещений 120-140 кг мяса
при выращивании на глубокой подстилке, 190-200 кг -на сетчатых полах, 220-260
кг -в клеточных батареях. На 1 ц прироста затрачивают 2,5-3 ц корм. ед.
СХПК "Салтыково" планирует приобрести комплект оборудования для
выращивания бройлеров КПО-Б. В нее входит клеточная батарея для выращивания
бройлеров КБП-Б.
Она предназначена для выращивания бройлеров с регулируемым микроклиматом
и может использоваться во всех природно-климатических зонах.
Комплектность батареи обеспечивает полную механизацию основных
технологических процессов: кормление, поение, уборка помета. Управление
системами обеспечения - ручное, дистанционное или автоматическое.
Раздача корма цепная. Система поения обеспечивает подачу воды птице,
находящейся в клетках батарее и представляет собой систему линий пластиковых труб,
с ниппельными поилками расположенных по центру клетки на каждом из ярусов.
Исключается попадание воды в помет.
Удаление помета производится ленточными транспортерами.
Таблица 9 - План производства продукции
|
Показатели
|
2014 г
|
2015 г
|
2016 г
|
2017 г
|
2018 г
|
|
Поголовье птицы, шт.
|
40000
|
40000
|
40000
|
40000
|
40000
|
|
Выход мяса, кг/гол.
|
1,5
|
1,5
|
1,5
|
1,5
|
1,5
|
|
Валовой выход мяса, кг
|
60000
|
60000
|
60000
|
60000
|
60000
|
|
Себестоимость единицы продукции, руб.
|
51,49
|
51,49
|
51,49
|
51,49
|
51,49
|
|
Себестоимость-всего, тыс. руб.
|
3089
|
3089
|
3089
|
3089
|
3089
|
|
Затраты-всего, тыс. руб.
|
2141
|
2145
|
2145
|
2157
|
2165
|
|
в т.ч.: корма, тыс. руб.
|
1370
|
1370
|
1370
|
1370
|
1370
|
|
оплата труда, тыс. руб.
|
396
|
400
|
400
|
412
|
420
|
|
содержание основных средств, тыс. руб.
|
97
|
97
|
97
|
97
|
97
|
|
Амортизация, тыс. руб.
|
278
|
278
|
278
|
278
|
278
|
Валовой выход мяса не изменяется, т.к. поголовье птицы составляет 40000
штук, исходя из вместимости цеха, выход мяса с 1 головы составляет 1,5 кг.
Предприятие будет реализовывать мясо бройлеров по цене - 95 руб./кг.
Инвесторы и кредиторы придают большое значение оценке
рисков, поэтому целесообразно назвать возможные риски и потери, которые могут
возникнуть при их наступлении, определить, по каким видам рисков и на какую
сумму следует застраховать имущество предприятия.
В процессе разработки бизнес - плана производился
анализ возможных рисков и предприняты усилия по их снижению. Однако возможны
следующие риски:
- риск срыва поставок (организация поиска дополнительных поставщиков);
конкуренция (понижение цены, повышение культуры обслуживания, предоставление
кредита);
пожар (страхование, наличие пожарного щита, ёмкости с водой);
неплатёжеспособность клиентов (кредит, приемлемые цены, активный
маркетинг, т. е. расширение круга возможных потребителей);
эпидемия заболеваний (падеж птицы).
Риск - признак недоработок и недостаточно тщательного
анализа, поэтому следует прикладывать все возможные усилия и средства,
необходимые для избежания рисков.
Финансовый план
Для реализации проекта СХПК "Салтыково" возьмет кредит в
Россельхозбанке на сумму 8000 тыс. руб. под 14% годовых.
Обеспечением кредита будет имущество и оборудование.
Кредит планируется вернуть в течение 5 лет.
График возврата кредита представлен в следующей таблице.
Таблица 10 - График возврата кредита
|
Кредит
|
3,5% (ежеквартально)
|
Погашение кредита
|
Итого
|
Квартал
|
|
2014 г
|
|
8000
|
280
|
500
|
780
|
3
|
|
7500
|
280
|
500
|
780
|
4
|
|
2015 г
|
|
7000
|
280
|
500
|
780
|
1
|
|
6500
|
280
|
500
|
2
|
|
6000
|
280
|
500
|
780
|
3
|
|
5500
|
280
|
500
|
780
|
4
|
|
2016 г
|
|
5000
|
280
|
500
|
780
|
1
|
|
4500
|
280
|
500
|
780
|
2
|
|
4000
|
280
|
500
|
780
|
3
|
|
3500
|
280
|
500
|
780
|
4
|
|
2017 г
|
|
3000
|
280
|
500
|
780
|
1
|
|
2500
|
280
|
500
|
780
|
2
|
|
2000
|
280
|
500
|
780
|
3
|
|
1500
|
280
|
500
|
780
|
4
|
|
2018 г
|
|
1000
|
280
|
500
|
780
|
1
|
|
500
|
280
|
500
|
780
|
2
|
|
Всего
|
4480
|
8000
|
12480
|
|
Таблица 11 - Финансовый отчет о прибылях и убытках, тыс. руб.
|
Показатели
|
2014 г
|
2015 г
|
2016 г
|
2017 г
|
2018 г
|
|
Выручка от реализации произведенного мяса бройлеров
|
5700
|
5700
|
5700
|
5700
|
5700
|
|
Затраты на производство и сбыт продукции
|
2141
|
2145
|
2145
|
2157
|
2165
|
|
Амортизационные отчисления
|
278
|
278
|
278
|
278
|
278
|
|
Финансовый результат
|
3281
|
3277
|
3277
|
3265
|
3257
|
|
Погашение основного долга и выплата процентов за кредит
|
1560
|
3120
|
3120
|
3120
|
1560
|
|
Чистая прибыль
|
1721
|
157
|
157
|
145
|
1697
|
Исходя из данных таблицы 11 видно, что предприятие получает чистую
прибыль.
3.2
Эффективность предлагаемых мероприятий
Расчет эффективности проекта
Для расчета эффективности проекта используют такие показатели как
• чистый дисконтированный доход (NPV)
• индекс доходности (PI)
• внутренняя норма доходности (IRR)
• срок окупаемости дисконтированный
= 5236223
Срок окупаемости:
+2521545+2214189 = 7613804
- 7613804 = 386196
= 3 г и 2 мес
Индекс доходности:
PI =
= 1,87
Внутренняя норма доходности: наиболее точное значение ВНД равно 53%.
Итак, можно определить экономическую эффективность проекта. Она
соответствует следующим условиям:
1. NPV
> 0;
2. IRR > E, Е - ставка рефинансирования;
3. PI > 1;
4. срок окупаемости 3 года и 3 месяца.
Таким образом, данный проект эффективен.
Выводы и
предложения
Динамичное и эффективное развитие инвестиционной деятельности является
необходимым условием стабильного функционирования и развития экономики.
Масштабы, структура и эффективность использования инвестиций во многом
определяют результаты хозяйствования на различных уровнях экономической
системы, состояние, перспективы развития и конкурентоспособность национального
хозяйства.
В наиболее общем смысле под инвестиционным проектом понимают любое
вложение капитала на срок с целью извлечения дохода. В специальной
экономической литературе по инвестиционному проектированию и проектному анализу
инвестиционный проект рассматривается как комплекс взаимосвязанных мероприятий,
направленных на достижение определенных целей в течение ограниченного периода
времени.
СХПК "Салтыково" организованно в целях эффективного
производства сельскохозяйственной продукции.
СХПК "Салтыково" возьмет кредит в Россельхозбанке на сумму 8000
тыс. руб. под 14% годовых для реализации проекта.
При расчете эффективности проекта получены следующие результаты:
NPV =
5236223> 0;
IRR =
53% > E, Е - ставка рефинансирования;
PI =
1,87 > 1;
срок окупаемости 3 года и 2 месяца.
Таким образом, на основании проделанной работы делаем вывод, что данный
проект эффективен.
экономический
эффективность инвестиционный проект
Список
использованной литературы
1. Федеральный
закон от 25.02.99 № 39-ФЗ в ред. от 02.01.2000г. №22-ФЗ. «Об инвестиционной
деятельности в Российской Федерации, осуществляемой в форме капитальных
вложений»
2. Федеральный
закон от 9 июля 1999 г. № 160-ФЗ «Об иностранных инвестициях Российской
Федерации»;
3. Федеральный
закон от 5 марта 1999 г. № 46-ФЗ «О защите прав и законных интересов инвесторов
на рынке ценных бумаг»;
. Федеральный
закон от 29 октября 1998 г. № 164-ФЗ «О финансовой аренде (лизинге)»;
. Федеральный
закон от 16 июля 1998 г. № 102-ФЗ «Об ипотеке (залоге недвижимости)»;
. Федеральный
закон от 25 февраля 1998 г. № 39-ФЗ «Об инвестиционной деятельности в
Российской Федерации осуществляемой в форме капитальных вложений»;
. Федеральный
закон от 21 июля 1997 г. № 112-ФЗ «Об участках недр, право пользования которыми
может быть предоставлено на условиях раздела продукции»;
. Федеральный
закон от 22 апреля 1996 г. № 39-ФЗ «О рынке ценных бумаг»;
. Федеральный
закон от 30 декабря 1995 г. № 225-ФЗ «О соглашениях о разделе продукции».
10. Белянчиков
Н.Н., Смирнов А.И. Механизация животноводства и кормоприготовление. - 3-е изд.,
перераб. и доп. - М.: Агопромиздат, 1990. - 432 с.
11. Блинов
А.О. Факторы инвестиционной привлекательности территориальных рынков
сельскохозяйственной продукции // Экономика сельскохозяйственных и
перерабатывающих предприятий. - 2007. - №8. - с. 71-72.
. Бочаров
В.В. Инвестиционный менеджмент. - СПб: Питер, 2011. - 160 с.
. Виноградов
В.В. Экономическая эффективность в сельском хозяйстве. Переиздание. Учебное
пособие/Нижегородская государственная сельскохозяйственная академия. Нижний
Новгород, 2009. - 207с.
. Водяников
В.Т., Судник Д.Ю. Экономическая оценка инвестиций в агропромышленном комплексе:
Учебное пособие. - М.: ЮРКНИГА, 2009. 200 с.
. Евдовицкий,
Д.А. Практикум по инвестиционному анализу: Учеб. пособие/Д.А. Евдовицкий, Л.С.
Коробейникова, Е.Ф. Сысоева. Под ред. Д.А. Евдовицкого. М.: Финансы и
статистика, 2008. - 240 с.: ил.
. Евсеенко
О.С. Инвестиции в вопросах и ответах: учеб. пособие. - М.: ТК Велби, Изд-во
Проспект, 2009. - 256 с.
. Зимин
Н.Е. Анализ и диагностика финансово-хозяйственной деятельности предприятия:
Учебник / Н. Е. Зимин, В. Н. Солопова. - М.: КолосС, 2010. - 384 с.
. Игонина
Л.Л. Инвестиции: Учеб. пособие/ Под ред. д-ра экон. наук, проф. В. А. Слепова.
- М.: Юристь, 2010. - 480 с.
. Идрисов
А.Б. Планирование и анализ эффективности инвестиций. - М.: PRO - invest
Consulting, 2009. - 244 с.
. Инвестиции:
Системный анализ и управление/ Под ред. проф. К. В. Балдина. - 2-е изд. - М.:
Издательство - торговая корпорация «Дашков и К0», 2007. - 288 с.
. Инвестиции:
Учеб. / А.Ю. Андрианов, С.В. Валдайцев, П. В. Воробьев [и др.]; отв. ред. В. В.
Ковалев, В. В. Иванов, В. А. Ляпин. - 2-е изд., перераб. и доп. - М.: ТК Велби,
Изд-во Проспект, 2011. 584 с.
. Инвестиционная
деятельность: Учебное пособие/ Н. В. Киселева, Т. В. Боровикова, Г. В. Захарова
и др.; Под ред. Г. П. Подшиваленко и Н. В. Киселевой. - М.: КНОРУС, 2012. - 432
с.
. Крылов
Э.И., Власова В.М., Журавкова И.В. Анализ эффективности инвестиционной и
инновационной деятельности предприятия: Учеб. Пособие. - 2-е изд., перераб. и
доп. - М.: Финансы и статистика, 2009. - 608
. Савицкая
Г.В. Анализ производственно-финансовой деятельности сельскохозяйственных
предприятий: Учебник. - 2-е изд., доп. и перераб. / Г. В. Савицкая. - М.: ИНФРА
- М, 2010. 368 с.
. Финансирование
и инвестиции на предприятиях АПК: учеб. пособие./З. Бадевитц, Е.А. Безверхая,
Д.С. Алексанов и др- Омск: Изд - во ОиГАУ, 2009. 340 с.
. Финансовый
менеджмент: теория и практика: Учебник / Под. ред. Е.С. Стояновой. - 5 е изд.,
перераб. и доп. - М.: Изд-во «Перспектива», 2010. - 656с.
. Хачатуров
Т.С. Эффективность капитальных вложений. - М.: 2008.- 336с.
. Шеремет
В.В. Управление инвестициями. М.: Проект Менеджмент Консалтинг, 2009. - 413 с.
. Шумилин
С.И. Инвестиционное проектирование. - М.: Финстатинформ, 2006. 134 с.