Эконометрическое моделирование социально-экономических процессов
Содержание
Введение
Глава 1. Основные понятия эконометрического моделирования
социально-экономических систем
1.1 Методы исследования и моделирования социально-экономических
систем
1.2 Этапы эконометрического моделирования и классификация
эконометрических моделей
1.3 Задачи экономики и социологии труда как объект
эконометрического моделирования и прогнозирования
Глава 2. Прогнозирование экономических и социально-экономических
показателей с помощью эконометрических моделей
2.1 Модель парной регрессии
2.1.1 Постановка задачи
2.1.2 Процесс построения модели парной регрессии
2.1.3 Расчёт и анализ значений линейного коэффициента парной
корреляции и средней ошибки аппроксимации
2.2 Модель множественной регрессии
2.2.1 Постановка задачи
2.2.2 Процесс построения модели множественной регрессии
Заключение
Список литературы
Введение
Такое понятие как "экономическая система" более или
менее сложилось и трактуется как система общественного производства и
потребления материальных благ.
Под социально-экономической системой понимается сложная
вероятностная динамическая система, охватывающая процессы производства, обмена,
распределения и потребления материальных и других благ. Она относится к классу
кибернетических систем, т.е. управляемых систем.
Центральным понятием кибернетики является понятие
"система". Единого определения этого понятия нет, но возможна такая
формулировка: системой называется комплекс взаимосвязанных элементов вместе с
отношениями между элементами и между их атрибутами. Исследуемое множество элементов
можно рассматривать как систему, если выявлены следующие четыре признака:
· целостность системы, т.е. принципиальная
несводимость свойств системы к сумме свойств составляющих её элементов;
· наличие цели и критерия исследования
данного множества элементов;
· наличие более крупной, внешней по
отношению к данной, системы, называемой "средой";
· возможность выделения в данной системе
взаимосвязанных частей (подсистем).
Основным методом исследования систем является метод
моделирования, т.е. способ теоретического анализа и практического действия,
направленный на разработку и использование моделей.
При этом под моделью понимается образ реального объекта
(процесса) в материальной или идеальной форме (т.е. описанный знаковыми
средствами на каком-либо языке), отражающий существенные свойства моделируемого
объекта (процесса) и замещающий его в ходе исследования и управления. Метод
моделирования основывается на принципе аналогии.
Актуальность данной работы заключается в определении значения
эконометрического моделирования, его применение и особенности построения.
Цель исследования - изучение математико-статистических
инструментов для придания количественного выражения качественным
закономерностям, обусловленным экономической теорией, и т.д.
Основные задачи курсовой работы:
. Построить линейное уравнение парной регрессии от.
. Рассчитать линейный коэффициент парной корреляции и среднюю
ошибку аппроксимации.
. Оценить точность прогноза, рассчитав ошибку прогноза и его
доверительный интервал.
. Оценить статистическую значимость параметров регрессии и
корреляции с помощью - критерия Фишера и - критерия Стьюдента.
. Построить исходные данные и теоретическую прямую.
. Решить поставленные практические задачи.
Объект исследования - процесс прогнозирования экономических и
социально-экономических показателей реальных объектов, имитация различных
сценариев социально-экономического развития этих объектов.
Предмет исследования - методы построения и анализа различных
эконометрических моделей.
Методы исследования:
. Теоретические: изучение и анализ литературы,
подготовка исходных даны;
2. Эмпирические: математическое моделирование.
Глава 1.
Основные понятия эконометрического моделирования социально-экономических систем
1.1 Методы
исследования и моделирования социально-экономических систем
Под социально-экономической системой понимается сложная
вероятностная динамическая система, охватывающая процессы производства, обмена,
распределения и потребления материальных и других благ. Она относится к классу
кибернетических систем, т.е. систем управляемых. Рассмотрим ряд основных
понятий, связанных с такими системами и методами их исследования.
Центральным понятием кибернетики является понятие
"система". Единого определения этого понятия нет; возможна такая
формулировка: системой называется комплекс взаимосвязанных элементов вместе с
отношениями между элементами и между их атрибутами. Исследуемое множество
элементов можно рассматривать как систему, если выявлены следующие четыре
признака:
) целостность системы, т.е. принципиальная не сводимость
свойств системы к сумме свойств составляющих ее элементов;
) наличие цели и критерия исследования данного множества
элементов;
) наличие более крупной, внешней по отношению к данной,
системы, называемой средой;
) возможность выделения в данной системе взаимосвязанных
частей (подсистем).
Основным методом исследования систем является метод
моделирования, т.е. способ теоретического и практического действия,
направленного на разработку и использование моделей. При этом под моделью будем
понимать образ реального объекта (процесса) в материальной форме или описанный
знаковыми средствами на каком-либо языке, отражающий существенные свойства
моделируемого объекта (процесса) и замещающий его в ходе исследования и
управления. Метод моделирования основывается на принципе аналогии, т.е.
возможности изучения реального объекта не непосредственно, а через рассмотрение
подобного ему и более доступного объекта, его модели. В дальнейшем мы будем
говорить только об экономико-математическом моделировании, т.е. об описании
знаковыми математическими средствами социально-экономических систем.
Практическими задачами экономико-математического
моделирования являются, во-первых, анализ экономических объектов и процессов;
во-вторых, экономическое прогнозирование, предвидение развития экономических
процессов; в-третьих, выработка управленческих решений на всех уровнях
хозяйственной иерархии. Следует, однако, иметь в виду, что далеко не во всех
случаях данные, полученные в результате экономико-математического
моделирования, могут использоваться непосредственно как готовые управленческие
решения. Они скорее могут быть представлены как "консультирующие"
средства. Принятие управленческих решений остается за человеком. Таким образом,
экономико-математическое моделирование является лишь одним из компонентов
(пусть очень важным) в человеко-машинных системах планирования и управления
экономическими системами.
Важнейшим понятием при экономико-математическом
моделировании, как при всяком моделировании, является понятие адекватности
модели, т.е. соответствия модели моделируемому объекту или процессу.
Адекватность модели является в какой-то мере условным понятием, так как полного
соответствия модели реальному объекту быть не может, что характерно и для
экономико-математического моделирования. При моделировании имеется в виду не
просто адекватность, но соответствие тем свойствам, которые считаются
существенными для исследования. Следует отметить, что проверка адекватности
экономико-математических моделей является весьма серьезной проблемой, тем более
что эту проблему осложняет трудность измерения экономических величин. Однако
без такой проверки применение результатов моделирования в управленческих
решениях может не только оказаться малополезным, но и принести существенный
вред.
Социально-экономические системы относятся, как правило, к так
называемым сложным системам. Сложные системы в экономике обладают рядом
свойств, которые необходимо учитывать при их моделировании, иначе невозможно
будет говорить об адекватности построенной экономико-математической модели. Важнейшими
из этих свойств являются следующие:
· эмерджентность, как проявление в наиболее
яркой форме свойства целостности системы, т.е. наличие у системы таких свойств,
которые не присущи ни одному из составляющих систему элементов, взятому в
отдельности, вне системы. Эмерджентность есть результат возникновения между
элементами системы так называемых синергических связей, которые обеспечивают
увеличение общего эффекта до величины большей, чем сумма эффектов элементов
системы, действующих независимо. Поэтому социально-экономические системы
необходимо исследовать и моделировать в целом;
· массовый характер экономических явлений и
процессов. Закономерности экономических процессов не обнаруживаются на
основании небольшого числа наблюдений. Поэтому моделирование в экономике должно
опираться на массовые наблюдения;
· динамичность экономических процессов,
заключающаяся в изменении параметров и структуры экономических систем под
влиянием среды (внешних факторов);
· случайность и неопределенность в развитии
экономических явлений. Поэтому экономические явления и процессы носят в
основном вероятностный характер, и для их изучения необходимо применение
экономико-математических моделей на базе теории вероятностей и математической
статистики;
· невозможность изолировать протекающие в
экономических системах явления и процессы от окружающей среды, с тем чтобы
наблюдать и исследовать их в чистом виде;
· активная реакция на появляющиеся новые
факторы, способность социально-экономических систем к активным, не всегда
предсказуемым действиям в зависимости от отношения системы к этим факторам,
способам и методам их воздействия.
1.2 Этапы
эконометрического моделирования и классификация эконометрических моделей
Процесс моделирования носит циклический характер, и в каждом
цикле выделяется несколько этапов. Рассмотрим последовательность и содержание
этапов экономико-математического моделирования.
. Постановка экономической проблемы и ее качественный анализ.
На этом этапе требуется сформулировать сущность проблемы, принимаемые
предпосылки и допущения. Необходимо выделить важнейшие черты и свойства
моделируемого объекта, изучить его структуру и взаимосвязь его элементов, хотя
бы предварительно сформулировать гипотезы, объясняющие поведение и развитие
объекта.
. Построение математической модели. Это этап формализации
экономической проблемы, т.е. выражения ее в виде конкретных математических
зависимостей (функций, уравнений, неравенств и др.). Построение моделей
подразделяется, в свою очередь, на несколько стадий. Сначала определяется тип экономико-математической
модели, изучаются возможности ее применения в данной задаче, уточняются
конкретный перечень переменных и параметров и форма связей. Для некоторых
сложных объектов целесообразно строить несколько разноаспектных моделей, при
этом каждая модель выделяет лишь некоторые стороны объекта, а другие стороны
учитываются агрегировано и приближенно. Оправдано стремление построить модель,
относящуюся к хорошо изученному классу математических задач, что может
потребовать некоторого упрощения исходных предпосылок модели, не искажающего
основных черт моделируемого объекта. Однако возможна и такая ситуация, когда
формализация проблемы приводит к неизвестной ранее математической структуре.
. Математический анализ модели. На этом этапе чисто
математическими приемами исследования выявляются общие свойства модели и ее
решений. В частности, важным моментом является доказательство существования
решения сформулированной задачи. При аналитическом исследовании выясняется,
единственно ли решение, какие переменные могут входить в решение, в каких
пределах они изменяются, каковы тенденции их изменения и т.д. Однако модели
сложных экономических объектов с большим трудом поддаются аналитическому
исследованию; в таких случаях переходят к численным методам исследования.
. Подготовка исходной информации. В экономических задачах это
чаще всего наиболее трудоемкий этап моделирования, поскольку дело не сводится к
пассивному сбору данных. Математическое моделирование предъявляет жесткие
требования к системе информации, при этом надо принимать во внимание не только
принципиальную возможность подготовки информации требуемого качества, но и
затраты на подготовку информационных массивов. В процессе подготовки информации
используются методы теории вероятностей, теоретической и математической
статистики для организации выборочных обследований, оценки достоверности данных
и т.д. При системном экономико-математическом моделировании результаты
функционирования одних моделей служат исходной информацией для других.
. Численное решение. Этап включает разработку алгоритмов
численного решения задачи, подготовку программ на ЭВМ и непосредственное
проведение расчетов, при этом значительные трудности вызываются большой
размерностью экономических задач. Обычно расчеты на основе экономико-математической
модели носят многовариантный характер. Многочисленные модельные эксперименты,
изучение поведения модели при различных условиях возможно проводить благодаря
высокому быстродействию современных ЭВМ. Численное решение существенно
дополняет результаты аналитического исследования, а для многих моделей оно
является единственно возможным.
. Анализ численных результатов и их применение. На этом этапе
прежде всего решается важнейший вопрос о правильности и полноте результатов
моделирования и применимости их как в практической деятельности, так и в целях
усовершенствования модели. Поэтому в первую очередь должна быть проведена
проверка адекватности модели по тем свойствам, которые выбраны в качестве
существенных (другими словами, должна быть произведена верификация и валидация
модели). Применение численных результатов моделирования в экономике направлено
на решение практических задач (анализ экономических объектов, экономическое
прогнозирование развития хозяйственных и социальных процессов, выработка
управленческих решений на всех уровнях хозяйственной иерархии).
Перечисленные этапы экономико-математического моделирования
находятся в тесной взаимосвязи, в частности, могут иметь место возвратные связи
этапов. Так, на этапе построения модели может выясниться, что постановка задачи
или противоречива, или приводит к слишком сложной математической модели; в этом
случае исходная постановка задачи должна быть скорректирована. Наиболее часто
необходимость возврата к предшествующим этапам моделирования возникает на этапе
подготовки исходной информации.
Перейдем к вопросам классификации экономико-математических
моделей. Общепринятой системы такой классификации в настоящее время не
существует, однако можно выделить примерно десять классификационных рубрик
таких моделей; рассмотрим некоторые из них.
По степени агрегирования объектов моделирования модели
разделяются на макроэкономические и микроэкономические. Хотя между ними и нет
четкого разграничения, но к первым из них относят модели, отражающие
функционирование экономики как единого целого, в то время как
микроэкономические модели связаны, как правило, с такими звеньями экономики,
как предприятия и фирмы.
По предназначению, т.е. по цели создания и применения,
выделяют балансовые модели, выражающие требование соответствия наличия ресурсов
и их использования; трендовые модели, в которых развитие моделируемой
экономической системы отражается через тренд (длительную тенденцию) ее основных
показателей; оптимизационные модели, предназначенные для выбора наилучшего
варианта из определенного или бесконечного числа вариантов производства,
распределения или потребления; имитационные модели, предназначенные для
использования в процессе машинной имитации изучаемых систем или процессов, и
др.
По типу информации, используемой в модели, экономико-математические
модели делятся на аналитические, построенные на априорной (т.е. известной до
опыта) информации, и идентифицируемые, построенные на апостериорной информации.
По учету фактора времени модели подразделяются на
статические, в которых все зависимости отнесены к одному моменту времени, и
динамические, описывающие экономические системы в развитии.
По учету фактора неопределенности модели распадаются на
детерминированные, если в них результаты на выходе однозначно определяются
управляющими воздействиями, и стохастические (вероятностные), если при задании
на входе модели определенной совокупности значений на ее выходе могут
получаться различные результаты в зависимости от действия случайного фактора.
Экономико-математические модели могут классифицироваться
также по характеристике математических объектов, включенных в модель, другими
словами, по типу математического аппарата, используемого в модели. С этой точки
зрения могут быть выделены следующие модели: матричные, линейного и нелинейного
программирования, корреляционно-регрессионные, теории массового обслуживания,
сетевого планирования, теории игр и т.д.
Если рассмотреть в качестве примера экономико-математическую
модель межотраслевого баланса затрат труда, то с учетом приведенных выше
классификационных рубрик это макроэкономическая, аналитическая, балансовая,
матричная детерминированная модель, при этом такие модели могут быть как
статическими, так и динамическими.
1.3 Задачи
экономики и социологии труда как объект эконометрического моделирования и
прогнозирования
Переходя к рассмотрению задач экономики и рынка труда как
объекта математического моделирования и прогнозирования, следует отметить, что
им присущи все основные свойства социально-экономических систем, рассмотренные
выше. Однако в этих задачах социальная составляющая значительно более важна,
чем в других областях экономического анализа. В качестве примера можно назвать
задачи воспроизводства трудовых ресурсов, распределения семей по уровню
среднедушевого дохода и т.д. Социальная сторона задач экономики и социологии
труда принимает еще большее значение в условиях рыночной экономики, когда рынок
труда выступает в качестве самостоятельного раздела экономического анализа и
прогнозирования.
Перечислим основные задачи в области рынка труда:
анализ состава и показателей численности трудовых ресурсов, в
том числе анализ занятости и безработицы;
эконометрическое моделирование социальный экономический
анализ показателей рабочего времени, включая вопросы научной
организации труда и анализа трудовых затрат;
расчет фактической и планируемой производительности труда,
анализ факторов, влияющих на производительность труда;
анализ форм и систем оплаты труда, распределения работающих
по уровню заработной платы;
анализ динамики оплаты труда и его производительности при
изучении влияния их соотношения на себестоимость и конкурентоспособность
продукции;
построение системы балансов труда, включая баланс трудовых
ресурсов, баланс использования рабочего времени, баланс движения численности
работающих, межотраслевой баланс затрат труда;
изучение основных показателей уровня жизни населения, в том
числе анализ закономерностей и связей доходов и потребления.
Перечисленные задачи экономики и социологии труда определяют
методологические основы исследования рынка труда. Эти основы включают в себя
общенаучные методы (системный анализ, комплексный подход, программно-целевое
планирование), аналитико-прогностические методы (математическое
программирование, теория вероятностей и математическая статистика, теория
массового обслуживания, методы экспертных оценок и др.), а также методы,
заимствованные из других областей знаний, таких как социология, психология,
экология и др. Указанные методологические основы исследования рынка труда
определяют особенности применения экономико-математического моделирования и
прогнозирования для решения названных выше задач в области экономики и
социологии труда.
Прежде всего следует отметить, что статистические данные по
всем разделам экономики и социологии труда (перекрестные данные, временные
ряды) служат основой для исследования явлений в области экономики труда с
количественной стороны, и, следовательно, установление закономерностей должно
происходить на базе эконометрики, которая использует методы теории вероятностей
и математической статистики. Поэтому при моделировании задач экономики труда
нельзя обойтись без основных понятий и методов указанных наук: случайная
величина, математическое ожидание, дисперсия, генеральная и выборочная
совокупности, статистические критерии согласия, законы и кривые распределения и
т.д. Отметив этот общий для всех задач анализа трудовых показателей момент,
рассмотрим отдельные задачи экономики и социологии труда как объекты
математического моделирования.
Многие задачи экономики и социологии труда являются
оптимизационными, когда из возможных вариантов решения нужно отобрать
оптимальный с точки зрения выбранных критериев оптимальности. При решении таких
задач используются различные методы программирования: линейного и нелинейного,
динамического, стохастического, целочисленного и др. В качестве примера таких
задач можно привести задачу о диете, задачу о назначениях и т.д.
Особое место в анализе труда занимает система отчетных
балансов, среди которых основным является баланс трудовых ресурсов. Основным
инструментом анализа балансов, в том числе балансов в области труда, являются
балансовые модели, как статические, так и динамические. В частности,
межотраслевой баланс затрат труда моделируется на основе
экономико-математической модели межотраслевого материального баланса (модели
Леонтьева), которая путем ввода коэффициентов прямой и полной трудоемкости
преобразуется в экономико-математическую модель межотраслевого баланса затрат
труда.
Важное место в анализе трудовых показателей занимает анализ
производительности труда, являющейся ведущим показателем эффективности
общественного производства. Не затрагивая всех аспектов изучения
производительности труда количественными методами, отметим лишь следующие
направления исследования динамики производительности труда методами математического
моделирования: прогнозирование производительности труда на основе временных
рядов (трендовые и адаптивные модели), с помощью метода экспоненциального
сглаживания, на базе авторегрессионных моделей, многофакторное прогнозирование
многомерной динамики производительности труда (регрессионные модели, метод
главных компонент и др.).
В задачах анализа использования рабочего времени, кроме общих
методов математической статистики, могут быть широко использованы методы теории
массового обслуживания. Расчет основных характеристик систем массового
обслуживания (СМО) различного типа позволяет определить оптимальное количество
каналов обслуживания, коэффициенты загрузки и простоев этих каналов и другие
показатели функционирования СМО, что напрямую связано с вопросами организации и
нормирования труда. В случае невозможности построения аналитических моделей СМО
в задачах экономики труда исследуются методами имитационного моделирования в
процессе машинной имитации этих задач.
Во многих задачах организации труда, включая вопросы его
нормирования и оплаты, могут быть полезны методы теории игр, направленной на
разработку математических моделей принятия решения в конфликтных ситуациях,
когда интересы участников или противоположны (антагонистические игры), или не
совпадают, хотя и не противоположны (игры с непротивоположными интересами). В
частности, эти методы применяются в условиях неопределенности и риска, когда
поведение противоположной стороны (необязательно враждебное) просто неизвестно
(так называемые игры с природой); такие ситуации довольно часто встречаются в
задачах экономики труда.
При анализе распределения работников по месту работы и
проживания прежде всего проводится анализ данных о затратах времени на
передвижение между местами работы и жительства; эта проблема в настоящее время
приобретает все большее значение. При моделировании и прогнозировании
распределения работников по затратам времени на дорогу от дома на работу и
обратно применяются кривые распределения с правосторонней асимметрией,
например, кривые Пирсона.
Анализ бюджетов внерабочего (свободного) времени может быть
качественно проведен с помощью методов дисперсионного анализа, которые дают
возможность разложить общую вариацию свободного времени на дисперсии за счет
отдельных влияющих факторов, их совокупного воздействия и остаточную дисперсию,
складывающуюся под влиянием случайных факторов. В качестве влияющих факторов
могут быть выбраны пол, возраст, размер заработной платы, уровень образования и
др.
Широкое поле для применения экономико-математических методов
и моделей представляют задачи анализа уровня жизни населения. Так, при
моделировании интегрированных характеристик жизненного уровня используются
методы корреляционно-регрессионного анализа. Моделирование распределения
работников по уровню заработной платы и семей по уровню среднедушевого дохода
осуществляется на базе ряда асимметрических распределений, например, на базе
логарифмически нормальной модели. В задачах анализа потребления и спроса
используются два основных вида моделей: корреляционные и структурные. При
моделировании социально-демографической структуры потребителей используется
математический аппарат, описывающий марковские процессы. Замыкает систему
моделей жизненного уровня населения блок дифференцированного баланса доходов и
потребления, представляющий собой совокупность балансовых уравнений, решаемых
методами матричной алгебры.
Названные выше методы и модели не исчерпывают всего
математического аппарата, используемого при экономико-математическом
моделировании и прогнозировании в задачах экономики и социологии труда.
Основные из используемых методов и моделей рассматриваются в следующих главах
учебного пособия.
Глава 2.
Прогнозирование экономических и социально-экономических показателей с помощью
эконометрических моделей
2.1 Модель парной
регрессии
Дана модель парной регрессии:
Табл. 1.1
|
Номер региона
|
Среднедушевой
прожиточный минимум в день одного трудоспособного, руб., Среднедневная заработная плата, руб.,
|
|
|
1
|
75
|
133
|
|
2
|
78
|
125
|
|
3
|
81
|
129
|
|
4
|
93
|
153
|
|
5
|
86
|
140
|
|
6
|
77
|
135
|
|
7
|
83
|
141
|
|
8
|
94
|
152
|
|
9
|
88
|
133
|
|
10
|
99
|
156
|
|
11
|
80
|
124
|
|
12
|
112
|
130
|
2.1.1
Постановка задачи
По территориям региона приводятся данные за 2009 г.
Требуется:
) Построить линейное уравнение парной регрессии от.
) Рассчитать линейный коэффициент парной корреляции и среднюю
ошибку аппроксимации.
) Оценить статистическую значимость параметров регрессии и
корреляции с помощью - критерия Фишера и - критерия Стьюдента.
) Выполнить прогноз заработной платы при прогнозном значении
среднедушевого прожиточного минимума, составляющем 107% от среднего уровня.
) Оценить точность прогноза, рассчитав ошибку прогноза и его
доверительный интервал.
) На одном графике построить исходные данные и теоретическую
прямую.
2.1.2 Процесс
построения модели парной регрессии
Решение
. Для расчета параметров уравнения линейной регрессии строим
расчетную таблицу 1.2.
Таблица 1.2
|
     
|
|
|
|
|
|
|
|
|
1
|
75
|
133
|
9975
|
5625
|
17689
|
132
|
0,59
|
0,4
|
|
2
|
78
|
125
|
9750
|
6084
|
15625
|
134
|
-8,69
|
6,9
|
|
3
|
81
|
129
|
10449
|
6561
|
16641
|
135
|
-5,96
|
4,6
|
|
4
|
93
|
153
|
14229
|
8649
|
23409
|
140
|
12,94
|
8,5
|
|
5
|
86
|
140
|
12040
|
7396
|
19600
|
137
|
2,91
|
2,1
|
|
6
|
77
|
135
|
10395
|
5929
|
18225
|
133
|
1,74
|
1,3
|
|
7
|
83
|
141
|
11703
|
6889
|
19881
|
136
|
5, 19
|
3,7
|
|
8
|
94
|
152
|
14288
|
8836
|
23104
|
140
|
11,51
|
7,6
|
|
9
|
88
|
133
|
11704
|
7744
|
17689
|
138
|
-4,94
|
3,7
|
|
10
|
99
|
156
|
15444
|
9801
|
24336
|
143
|
13,39
|
8,6
|
|
11
|
80
|
124
|
9920
|
6400
|
15376
|
135
|
-10,54
|
8,5
|
|
12
|
112
|
130
|
14560
|
12544
|
16900
|
148
|
-18,14
|
14,0
|
|
Итого
|
1046
|
1651
|
144457
|
92458
|
228475
|
1651
|
0,00
|
69,83
|
|
Среднее
значение
|
87,17
|
137,58
|
12038,08
|
7704,83
|
19039,58
|
137,58
|
0,00
|
5,82
|
|
10,3310,51------
|
|
|
|
|
|
|
|
|
|
106,81110,41------
|
|
|
|
|
|
|
|
|
2.1.3 Расчёт
и анализ значений линейного коэффициента парной корреляции и средней ошибки
аппроксимации

.
Получено уравнение регрессии:
.
С увеличением среднедушевого прожиточного минимума на 1 руб.
среднедневная заработная плата увеличивается в среднем на 4,3% руб.
1. Тесноту линейной связи оценит коэффициент
корреляции:
Это означает, что 1,7% вариации заработной платы (
) объясняется вариацией фактора
- среднедушевого прожиточного минимума.
Качество модели определяет средняя ошибка аппроксимации:
Качество построенной модели оценивается как хорошее, так как
не превышает 8-10%.
3. Оценку
значимости уравнения регрессии в целом проведем с помощью
-критерия Фишера. Фактическое значение
-критерия:
Табличное значение критерия при пятипроцентном уровне значимости и
степенях свободы
и
составляет
. Так как
, то уравнение регрессии признается статистически не значимым.
Оценку статистической значимости параметров регрессии проведем с помощью
-статистики Стьюдента и путем расчета
доверительного интервала каждого из показателей. Табличное значение
-критерия для числа степеней свободы
и
составит
.
Определим случайные ошибки
,
,
:
Тогда
Фактические значения критерия 
-статистики превосходит табличное значение:

;

поэтому параметр
, не случайно отличаются от нуля, и является статистически
значимым.
Рассчитаем доверительные интервалы для параметров регрессии
и
. Для этого определим предельную ошибку для каждого показателя:
Доверительные интервалы
Анализ верхней и нижней границ доверительных интервалов приводит к
выводу о том, что с вероятностью
параметры
и
, находясь в указанных границах, не принимают нулевых значений,
т.е. не являются статистически незначимыми и существенно отличны от нуля.
4. Полученные оценки уравнения регрессии позволяют
использовать его для прогноза. Если прогнозное значение прожиточного минимума
составит:
5. 
руб., тогда прогнозное значение заработной платы составит: 
руб.
5. Ошибка прогноза составит:
Предельная ошибка прогноза, которая в
случаев не будет превышена, составит:
Доверительный интервал прогноза:
Выполненный прогноз среднемесячной заработной платы является
надежным
и находится в пределах от 114,85 руб. до
165,50 руб.
6. В заключение решения задачи построим на одном
графике исходные данные и теоретическую прямую (рис. 1.1):
2.2 Модель
множественной регрессии
Дана модель множественной регрессии:
Табл. 1.3
|
Номер
предприятия
|
  Номер предприятия 
|
|
|
|
|
|
|
|
1
|
7
|
3,8
|
11
|
11
|
10
|
6,8
|
21
|
|
2
|
7
|
3,8
|
12
|
12
|
11
|
7,4
|
23
|
|
3
|
7
|
3,9
|
16
|
13
|
11
|
7,8
|
24
|
7
|
4,1
|
17
|
14
|
12
|
7,5
|
26
|
|
5
|
7
|
4,6
|
18
|
15
|
12
|
7,9
|
28
|
|
6
|
8
|
4,5
|
18
|
16
|
12
|
8,1
|
30
|
|
7
|
8
|
5,3
|
19
|
17
|
13
|
8,4
|
31
|
|
8
|
9
|
5,5
|
20
|
18
|
13
|
8,7
|
32
|
|
9
|
9
|
6,1
|
20
|
19
|
13
|
9,5
|
33
|
|
10
|
10
|
6,8
|
21
|
20
|
14
|
9,7
|
35
|
2.2.1
Постановка задачи
Требуется:
. Построить линейную модель множественной регрессии.
Записать стандартизованное уравнение множественной регрессии. На основе
стандартизованных коэффициентов регрессии и средних коэффициентов эластичности
ранжировать факторы по степени их влияния на результат.
2. Найти коэффициенты парной, частной и множественной
корреляции. Проанализировать их.
. Найти скорректированный коэффициент множественной
детерминации. Сравнить его с нескорректированным (общим) коэффициентом
детерминации.
4. С помощью
-критерия Фишера оценить статистическую надежность уравнения
регрессии и коэффициента детерминации
.
. С помощью частных
-критериев Фишера оценить целесообразность включения в уравнение
множественной регрессии фактора
после
и фактора
после
.
. Составить уравнение линейной парной регрессии, оставив
лишь один значащий фактор.
2.2.2 Процесс
построения модели множественной регрессии
Решение:
|
№
|
       
|
|
|
|
|
|
|
|
|
|
1
|
7
|
3,8
|
11
|
26,6
|
77
|
41,8
|
14,44
|
121
|
49
|
|
2
|
7
|
3,8
|
12
|
26,6
|
84
|
45,6
|
14,44
|
144
|
49
|
|
3
|
7
|
3,9
|
16
|
27,3
|
112
|
62,4
|
15,21
|
256
|
49
|
|
4
|
7
|
4,1
|
17
|
28,7
|
119
|
69,7
|
16,81
|
289
|
49
|
|
5
|
7
|
4,6
|
18
|
32,2
|
126
|
82,8
|
21,16
|
324
|
49
|
|
6
|
8
|
4,5
|
18
|
36
|
144
|
81
|
20,25
|
324
|
64
|
|
7
|
8
|
5,3
|
19
|
42,4
|
152
|
100,7
|
28,09
|
361
|
64
|
|
8
|
9
|
5,5
|
20
|
49,5
|
180
|
110
|
30,25
|
400
|
81
|
|
9
|
9
|
6,1
|
20
|
54,9
|
180
|
122
|
37,21
|
400
|
81
|
|
10
|
10
|
6,8
|
21
|
68
|
210
|
142,8
|
46,24
|
441
|
100
|
|
11
|
10
|
6,8
|
21
|
68
|
210
|
142,8
|
46,24
|
441
|
100
|
|
12
|
11
|
7,4
|
23
|
81,4
|
253
|
170,2
|
54,76
|
529
|
121
|
|
13
|
11
|
7,8
|
24
|
85,8
|
264
|
187,2
|
60,84
|
576
|
121
|
|
14
|
12
|
7,5
|
26
|
90
|
312
|
195
|
56,25
|
676
|
144
|
|
15
|
12
|
7,9
|
28
|
94,8
|
336
|
221,2
|
62,41
|
784
|
144
|
|
16
|
12
|
8,1
|
30
|
97,2
|
360
|
243
|
65,61
|
900
|
144
|
|
17
|
13
|
8,4
|
31
|
109,2
|
403
|
260,4
|
70,56
|
961
|
169
|
|
18
|
13
|
8,7
|
32
|
113,1
|
416
|
278,4
|
75,69
|
1024
|
169
|
|
19
|
13
|
9,5
|
33
|
123,5
|
429
|
313,5
|
90,25
|
1089
|
169
|
|
20
|
14
|
9,7
|
35
|
135,8
|
490
|
339,5
|
94,09
|
1225
|
196
|
|
Сумма
|
200,0
|
130,2
|
455,0
|
1391
|
4857
|
3210
|
920,8
|
11265
|
2112
|
|
Ср. знач.
|
10,0
|
6,51
|
22,8
|
69,55
|
242,85
|
160,5
|
46,04
|
563,25
|
105,6
|
|
|
|
|
|
|
|
|
|
|
|
|
|
|
Найдем средние квадратические отклонения признаков:
1. Вычисление параметров линейного уравнения
множественной регрессии.
Для нахождения параметров линейного уравнения множественной
регрессии
необходимо воспользоваться готовыми формулами:
;
;
.
Рассчитаем сначала парные коэффициенты корреляции:
Находим:
Таким образом, получили следующее уравнение множественной
регрессии:
Коэффициенты
и
стандартизованного уравнения регрессии
находятся по формулам:

.
Т.е. уравнение будет выглядеть следующим образом:
Так как стандартизованные коэффициенты регрессии можно
сравнивать между собой, то можно сказать, что ввод в действие новых основных
фондов оказывает большее влияние на выработку продукции, чем удельный вес
рабочих высокой квалификации.
Сравнивать влияние факторов на результат можно также при
помощи средних коэффициентов эластичности:
.
Вычисляем:
Т.е. увеличение только основных фондов (от своего среднего
значения) или только удельного веса рабочих высокой квалификации на 1%
увеличивает в среднем выработку продукции на 0,627% или 0,170% соответственно.
Таким образом, подтверждается большее влияние на результат
фактора
, чем фактора
.
2. Коэффициенты парной корреляции мы уже нашли:
Они указывают на весьма сильную связь каждого фактора с
результатом, а также высокую межфакторную зависимость (факторы
и
явно коллинеарны, т.к. 
). При такой сильной межфакторной зависимости рекомендуется один
из факторов исключить из рассмотрения.
Частные коэффициенты корреляции характеризуют тесноту связи
между результатом и соответствующим фактором при элиминировании (устранении
влияния) других факторов, включенных в уравнение регрессии.
При двух факторах частные коэффициенты корреляции
рассчитываются следующим образом:
Если сравнить коэффициенты парной и частной корреляции, то можно
увидеть, что из-за высокой межфакторной зависимости коэффициенты парной
корреляции дают завышенные оценки тесноты связи. Именно по этой причине
рекомендуется при наличии сильной коллинеарности (взаимосвязи) факторов
исключать из исследования тот фактор, у которого теснота парной зависимости
меньше, чем теснота межфакторной связи.
Коэффициент множественной корреляции определить с помощью
следующих формул:
;
;
Коэффициент множественной корреляции показывает на весьма сильную
связь всего набора факторов с результатом.
3. Нескорректированный
коэффициент множественной детерминации 
оценивает долю вариации результата за счет представленных в
уравнении факторов в общей вариации результата. Здесь эта доля составляет 78,7%
и указывает на весьма высокую степень обусловленности вариации результата
вариацией факторов, иными словами - на весьма тесную связь факторов с
результатом.
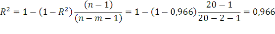
Скорректированный коэффициент множественной детерминации
определяет тесноту связи с учетом степеней свободы общей и
остаточной дисперсий. Он дает такую оценку тесноты связи, которая не зависит от
числа факторов и поэтому может сравниваться по разным моделям с разным числом
факторов. Оба коэффициента указывают на весьма высокую (более 96%)
детерминированность результата
в модели факторами
и
.
4. Оценку
надежности уравнения регрессии в целом и показателя тесноты связи
дает
-критерий Фишера:
.
В нашем случае фактическое значение
-критерия Фишера:
Получили, что
(при
), т.е. вероятность случайно получить
такое значение
-критерия не превышает допустимый уровень
значимости
. Следовательно, полученное значение не
случайно, оно сформировалось под влиянием существенных факторов, т.е.
подтверждается статистическая значимость всего уравнения и показателя тесноты
связи
.
6. С
помощью частных
-критериев Фишера оценим целесообразность
включения в уравнение множественной регрессии фактора
после
и фактора
после
при помощи формул:
;
.
Найдем
и
.
Имеем
Получили, что
. Следовательно, включение в модель фактора
после того, как в модель включен фактор
статистически нецелесообразно: прирост
факторной дисперсии за счет дополнительного признака
оказывается незначительным,
несущественным; фактор
включать в уравнение после фактора
не следует.
Если поменять первоначальный порядок включения факторов в модель и
рассмотреть вариант включения
после
, то результат расчета частного
-критерия для
будет иным.
, т.е. вероятность его случайного
формирования меньше принятого стандарта
. Следовательно, значение частного
-критерия для дополнительно включенного фактора
не случайно, является статистически
значимым, надежным, достоверным: прирост факторной дисперсии за счет
дополнительного фактора
является существенным. Фактор
должен присутствовать в уравнении, в том
числе в варианте, когда он дополнительно включается после фактора
.
Общий вывод состоит в том, что множественная модель с факторами
и
с 
содержит неинформативный фактор
. Если исключить фактор
, то можно ограничиться уравнением парной регрессии:
Заключение
В данной работе были построены две эконометрические модели
парной регрессии:
) Связывающая величину заработной платы с прожиточным
минимумом;
2) Связывающая выработку продукции на 1 работника с
вводом в действие новых фондов и с удельным весом рабочих высокой квалификации.
Из этого следует вывод что, с увеличением среднедушевого прожиточного минимума
на 1 руб. среднедневная заработная плата уменьшается в среднем на 4,3% руб.
Выполненный прогноз среднемесячной заработной платы является надежным и
находится в пределах от 114,85 руб. до 165,50 руб.
Относительно множественной регрессии можно сказать, что ввод
в действие новых основных фондов оказывает большее влияние на выработку
продукции, чем удельный вес рабочих высокой квалификации, а увеличение только
основных фондов или только удельного веса рабочих высокой квалификации на 1%
увеличивает в среднем выработку продукции на 0,627% или 0,170%.
Сложность построения эконометрических моделей связана с
выбором экзогенных и эндогенных переменных, определения вида взаимосвязей, а
также оценкой адекватности построенной модели.
Такие эконометрические модели, обладающие высокой точностью,
применяются для прогнозирования отдельных сфер социально-экономической системы
региона.
Таким образом, для достижения качественных результатов
анализа и прогнозирования региональных систем стоит сочетать различные виды
моделей.
Список
литературы
1.
Стехин А.П. Основы конструирования, моделирования и проектирования систем
управления производственными процессами: Учеб. пособие. - Донецк: ДонГАУ, 2010.
.
Лукас В.А. Основы теории автоматического управления. - М.: "Недра”, 2010.
.
Основы теории оптимального управления: Учеб. Пособие для эконом. вузов/ В.Ф.
Кротов, Б.А. Лагоша, С.М. Лобанов и др.; Под ред. В.Ф. Кротова. - М.: Высш.
Шк., 2011.
.
Иванилов Ю.П., Лотов А.В. Математические модели в экономике. - М.:
"Наука”, 2009.
.
Эконометрика: Учебник / Под ред.И. И. Елисеевой. - М.: Финансы и статистика,
2009. - 344 с.
.
Эконометрика: Учебно-методическое пособие / Шалабанов А.К., Роганов Д.А. -
Казань: ТИСБИ, 2013. - 56 с.
.
Я.Р. Магнус, П.К. Катышев, А.А. Пересецкий "Эконометрика начальный
курс" М.: изд-во "Дело" 2012.