|
Год
|
Прибыло
в Пензенскую область
|
Выбыло
из Пензенской области
|
|
2003
|
1521
|
417
|
|
2004
|
1375
|
357
|
|
2005
|
1821
|
304
|
|
2006
|
2097
|
233
|
|
2007
|
2253
|
198
|
Подготовка данных. Находясь в электронной
таблице пакета, следует либо ввести данные таблицы 1 с клавиатуры, либо
загрузить их из уже созданного файла. Если данные таблицы 1 находятся в
текстовом (ASCII) файле курсовая.txt в виде трёх столбцов, первый из которых
содержит года, второй - число прибывших людей в Пензенскую область, а третий -
число выбывших людей. Для загрузки этих данных в пакет SPSS выберем в меню
пакета пункт FILE, а в нем
подпункт Read ASCII Data.... На экран будет выведен запрос открытия файла, его
вид - такой же, как в большинстве Windows-программ. Только в нижней части
запроса имеется переключатель File Format (Формат файла), позволяющий выбирать
между фиксированным (Fixed) и свободным (Freefield) форматами файла. Установим
значение этого переключателя Fixed,
выбрав фиксированный формат файла. Этот формат предполагает, что значения
каждой переменной в строках файла записаны в тех же столбцах, что и в первой
строке файла. Затем щелкнем мышью кнопку запроса «Define» (Определить) и
перейдем к определению формата записи переменных в файле. На экране откроется
диалоговое окно Define Fixed Variables (Определить переменные фиксированного
формата). В этом окне необходимо задать имена переменных. В нашем случае мы
создали: в первом случае переменные Год и Прибыло, а во втором - Год и Выбыло,
а также указали начальную и конечную колонки столбца, в котором лежит каждая
переменная, и формат этой переменной. Завершив описание переменных, щелкнем
мышью кнопку окна ОК. Произойдет загрузка данных в SPSS и они отразятся в
электронной таблице пакета (рис. 1).
Рис. 1. Таблица SPSS
с данными о миграции населения Пензенской области
При загрузке ASCII-файлов могут возникнуть две
проблемы. Первая - несовпадение разделителя целой и дробной части числа в
исходном файле и в установке в Windows. (Обычно для этих целей используется
либо точка либо запятая.) При этом не происходит корректной загрузки данных в
SPSS.
Для исправления ситуации нужно обратиться в
пункт Стандарты (Windows International Settings) Панели Управления (Control
Panel) и поменять тип десятичного разделителя в пункте Формат чисел. Вторая
проблема - частичное (округленное) отображение чисел в электронной таблице. Для
исправления этой ситуации нужно обратиться в пункт меню SPSS Data Define
Variable Type и увеличить в выведенном окне значение поля Decimal Places. Это
значение задает число позиций, отведенных для десятичной части числа в
электронной таблице.
Для определения основной тенденции наука
выработала ряд приёмов, суть которых сводится к сглаживанию исходного временного
ряда. Среди методов, на основе которых производится выравнивание временных
рядов, можно назвать: укрупнение интервалов, метод скользящей средней, метод
наименьших квадратов, интерполяционный полином Лагранжа и другие.
Необходимость сглаживания временного ряда
обусловлена тем, что на колеблемость уровней в течение анализируемого периода
влияют как главные, постоянные факторы, которые в конечном счете и формируют
основную тенденцию, именуемую трендом, так и случайные факторы, вызывающие
отклонение движения показателя от основной тенденции.
В экономических исследованиях динамики
применяются в основном следующие типы функции:
линейная -
степенная-
парабола второго порядка -
показательная -
гиперболическая -
где
- зависимая переменная;
t -
независимая переменная (периоды);
а, b, с -
коэффициент регрессии.
Выбор формы главной траектории в
определенной мере зависит от назначения выявления основной тенденции:
проводится ли оно в целях анализа, интерполяции или экстраполяции.
2. Построение графика числа
мигрантов
Анализ временного ряда начну с
построения графика. Возможности SPSS по построению и оформлению графиков очень
широки, их описание занимает в документации более 250 страниц.
Не буду вдаваться в детали
оформления графиков, а буду излагать лишь общий порядок действий и показывать
полученные результаты. Для построения графика временного ряда в пункте меню
Graphs (Диаграммы) можно выбрать один из двух возможных типов процедур: Simple
Scatterplot (Простой график рассеивания) или Sequence (График
последовательности). В этой задаче будет рассмотрена работа процедуры Simple
Scatterplot. Ее диалоговое окно приведено на рис. 2 и 3.
Рис. 2. Диалоговое окно Процедуры Simple Scatterplot
Рис.3. Диалоговое окно процедуры Sequence Charts
Выделяя щелчком мыши требуемые
переменные и нажимая соответствующие кнопки запроса «►», присвоим
значения переменных Год и Прибыло так же как Год и Выбыло осям X и Y
соответственно. Подобный простой способ выбора переменных используется
практически во всех процедурах SPSS и в ряде других статистических пакетов под
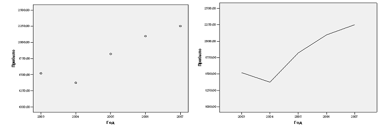
Windows (STADIA, STATGRAPH-ICS). На рисунке 4 изображены полученные результаты
(после небольшого дополнительного оформления).
Рис. 4. Графики числа прибывших и выбывших людей
в Пензенскую область в SPSS
Если во временном ряду проявляется длительная
тенденция изменения экономического показателя, то в этом случае говорят, что
имеет место тренд. Под трендом понимают изменение, определяющее общее
направление развития или основную тенденцию временного ряда. Тренд относят к
систематической составляющей долговременного действия. Во временных рядах часто
происходят регулярные колебания, которые относятся к периодическим составляющим
рядов экономических процессов.
В графике не всегда прослеживается присутствие
тренда. Поэтому в этих случаях необходимо выяснить, существует ли тенденция во
временном ряду или она отсутствует.
Выбор процедуры. На графике рис. 4 не видно
какой тренд содержат анализируемые данные. Тем самым рассмотрим несколько
трендов для наших данных. Для его идентификации следует выбрать в меню пакета
пункт Statistics (Статистика), и далее в открывшемся подменю - пункт Regression
(Регрессия). Здесь в еще одном подменю можно выбрать один из двух методов:
Linear Regression (линейная процедура) или Curve Estimation (оценка кривой).
Процедура Linear Regression предоставляет
широкие возможности при анализе адекватности классической модели простой и
множественной линейной регрессии, включая выделение возможных «выбросов»,
проверку нормальности и некоррелированности остатков. А процедура Curve
Estimation больше нацелена на выделение различных кривых трендов. Поэтому
продолжу свой анализ с помощью процедуры Curve Estimation, диалоговое окно
которой приведено на рис. 5.
Рис. 5. Диалоговое окно процедуры Curve
Estimation в SPSS
Задание параметров процедуры. В окне рис. 5
следует перенести переменную Прибыло в первом случае и Выбыло во втором в поле
Dependent(s) (зависимая переменная). Для этого надо выделить ее щелчком мыши и
нажать кнопку «►». Аналогичным образом в поле Independent (независимая
переменная) надо поместить переменную Год. В прямоугольнике Models (модели)
выберем линейную Linear модель, а также укажем включение константы в эту
модель, установив флажок Include constant in equation. Затем нажмем кнопку окна
«ОК».
Поле независимой переменной можно оставить
незаполненным, поставив переключатель типа независимой переменной в положение
Time - в этом случае зависимая переменная будет трактоваться как временной ряд.
Модели тренда. Рассмотрим формулы моделей
тренда, приведенных в прямоугольнике Models на рис. 5. Пусть х - независимая
переменная или время, bi
и u - константы
(параметры моделей). Тогда формулы моделей можно записать так:
Linear (линейная):
Logarithmic
(логарифмическая):
Inverse (обратная):
Quadratic
(квадратичная):
Cubic
(кубическая):
Pover
(степенная):
или
Compound
(показательная):
или
S (S-образная):
или
Logistic
(логистическая):
или
Growth (роста):
или
Exponential
(экспоненциальная):
или
Кнопка «Save»
диалогового окна (рис. 5) позволяет сохранить в виде отдельных переменных
значения подобранной модели Predicted values, остатки Residuals и доверительные
интервалы Prediction intervals, которые будут помещены в электронную таблицу
пакета.
Результаты. После выполнения
процедуры Curve Estimation в окне Output вывода результатов появится ряд
вычисленных статистических характеристик, включая коэффициент корреляции R,
коэффициент детерминации R2, таблицу анализа вариации, значения оценок
коэффициентов модели и их статистические характеристики (рис. 6, 8).
Одновременно график ряда с подобранной кривой тренда будет помещен в окно Chart
Carousel (рис. 7, 9).
Для нахождения параметров функции
решаются определенные системы уравнений.
Для перевода информации о динамике
изучаемого показателя с языка математики на язык экономики производят
интерпретацию параметров функций. Следует заметить, что не всегда возможно
экономически проинтерпретировать параметры функций. Но иногда это удается.
Уравнение прямой:
применяется
при описании процессов, равномерно развивающихся во времени.
Параметр а характеризует начальный
уровень временного ряда. Параметр b
характеризует постоянный ежепериодный прирост (снижение) изучаемого явления.
Уравнение интерпретируется так: с изменением t на 1 период
«у» изменяется (+,-) на величину b (руб., % и т. д.). Уравнение
параболы 2-го порядка:
Здесь: а - начальный уровень ряда;
b - начальная
скорость роста (снижения);
с - постоянная скорость изменения
прироста.
Парабола второго порядка применяется
для описания движения с равномерным изменением приростов, то есть используется
для описания процессов, характерной особенностью которых является
равноускоренный рост (снижение) уровней ряда.
В уравнении степенной функции:
приведенной
к логарифмическому виду
параметры
интерпретации как и по уравнению прямой. Здесь:
- начальный уровень ряда;
b -
постоянный, ежегодный прирост (снижение) lg изучаемого
показателя.
Уравнение интерпретируется так: с
изменением t на 1
изменится
(+,-) на величину «b». Степенной тип функции
указывает
следующее: при b<0 функция (у) с ростом аргумента
(t) монотонно
убывает; при 0<b<1 функция (у) с ростом аргумента
(t) монотонно
растет с уменьшающейся скоростью; при b>1
функция (у) с ростом аргумента (t) монотонно растет с увеличивающейся
скоростью. Уравнение показательной функции
характеризует постоянные темпы роста
и прироста. Здесь:
а - начальный уровень ряда;
b -
постоянный среднегодовой темп роста, выраженный в коэффициентах. Если этот
коэффициент перевести в проценты и вычесть 100%, то получим среднегодовой темп
прироста.
В уравнении гиперболической функции
параметры
экономически не интерпретируются.
Поскольку выявление основной
тенденции производится с целью планирования и прогнозирования изучаемого
явления на основе интерполяции или экстраполяции рассмотрим суть этих понятий и
приемы их проведения. Интерполяция - это определение неизвестных уровней внутри
временного ряда. Интерполяция производится исходя из предположения об
относительно устойчивой закономерности развития явления в пределах периода.
Для интерполяции надо найти
относительно устойчивый показатель динамики (абсолютный прирост, темп роста,
темп прироста). Интерполирование можно произвести или по конкретным прилегающим
абсолютным приростам (темпам роста) или по средним из них за весь период.
Если в ряду нет резких колебаний, то
интерполяцию лучше произвести по смежным показателям динамики - в них лучше
отражается конкретность изменений уровней ряда. В случае значительных колебаний
лучше использовать средние за весь период показатели. Экстраполяция - это
определение неизвестных уровней, лежащих вне временного ряда. Экстраполяция
может производиться как в сторону будущего, так и в сторону прошлого.
Однако, экстраполяция, как и
интерполяция должна производиться лишь в пределах периодов, в которых действует
одна закономерность развития. Экстраполировать нужно очень осторожно, учитывая
все обстоятельства, вытекающие из факта разнородности периодов. В процессе
планирования и прогнозирования экстраполяцию на будущее следует рассматривать
как один из вспомогательных приемов для получения первоначальных, отправных
данных.
Для линейной модели нам будут
представлены следующие результаты:
Рис. 6. Результаты работы процедуры Curve
Estimation в окно выдачи результатов в SPSS
Рис.
Рис. 7. Окно Chart Carousel с результатом работы
процедуры Curve Estimation в SPSS
Результаты расчетов (см. рис. 6) показывают, что
линейная модель тренда объясняет примерно 86,7% общей вариации данных по модели
Прибыло, а по модели Выбыло - 99,2%, полученные оценки коэффициентов модели
отличаются от нуля.
В частности, значение коэффициента В при
переменной Год (то есть среднее увеличение числа прибывших людей в Пензенскую
область за год), равен в первом случае примерно 218,600, а во втором - 56,200
(среднее снижение выбывших людей) (число людей./год).
Анализ результатов. Дисперсионный анализ
оценивается общее качество полученной модели: ее достоверность по уровню
значимости критерия Фишера - p,
который должен быть меньше, чем 0,05 (столбец Значимость F). Для линейной
модели значение F составляет
19,487 (для прибывших) и F=384,550
(для выбывших). Это говорит о том, что исследуемая модель незначима.
Приводимое значение R-квадрат (коэффициент
детерминации) определяет, с какой степенью точности полученное регрессионное
уравнение аппроксимирует исходные данные. Если R-квадрат > 0,95, говорят о
высокой точности аппроксимации (модель хорошо описывает явление). Если
R-квадрат лежит в диапазоне от 0,8 до 0,95, говорят об удовлетворительной
аппроксимации (модель в целом адекватна описываемому явлению). Если R-квадрат
< 0,6, принято считать, что точность аппроксимации недостаточна и модель
требует улучшения (введения новых независимых переменных, учета нелинейностей и
т. д.). По данным полученных моделей можно сказать, что модель требует
улучшения, т.к. R-квадрат для
линейной модели равен 86,7% (для прибывших) и R-квадрат
равен 99,2% (для выбывших).
Далее необходимо определить значения коэффициентов
моделей. Они определяются из таблицы в столбце Нестандартизированные
коэффициенты (В) - в строке (Константа) приводится свободный член; а в строке
переменной Год приводится значение коэффициента при этой переменной. В столбце
Значения (Знч.) приводится достоверность отличия соответствующих коэффициентов
от нуля. В случаях, когда Знч. > 0,05, коэффициент может считаться нулевым.
Это означает, что соответствующая независимая переменная практически не влияет
на зависимую переменную и коэффициент может быть убран из уравнения.
Уравнения регрессии будут иметь следующий
вид:=218,600t-436480 (для числа
прибывших граждан);=112962,8-56,200t (для числа выбывших граждан).
4. Исследование остатков
Дальнейший анализ модели связан с исследованием
остатков. Для этого нужно выяснить: можно ли считать остатки некоррелированными
и насколько их распределение согласуется с нормальным.
Учитывая небольшую длину исследуемого ряда, вряд
ли можно ожидать здесь высокой точности и достоверности результатов. Однако
подобный анализ позволит понять, как далеко можно отклониться от условий
применения метода наименьших квадратов для удаления, тренда, и, тем самым,
насколько можно верить полученным результатам.
Проверка коррелированности остатков. Выше
упоминалось, что одним из результатов работы процедуры Curve Estimation
является создание новой переменной егг_1, в которой хранятся остатки
подобранной модели. Для выяснения коррелированности остатков вычислим оценки их
автокорреляционной функции. Это можно сделать, например, вызвав процедуру
Autocorrelations из пункта Time Series меню Graphs. Автокорреляция уровней ряда
- это корреляционная зависимость между последовательными уровнями временного
ряда:
,
где
;
- коэффициент автокорреляции
уровней ряда первого порядка;
,
где
;
- коэффициент автокорреляции
уровней ряда второго порядка.
Формулы для расчета коэффициентов
автокорреляции старших порядков легко получить из формулы линейного
коэффициента корреляции.
Последовательность коэффициентов
автокорреляции уровней первого, второго и так далее порядков называют
автокорреляционной функцией временного ряда, а график зависимости ее значений
от величины лага - коррелограммой.
Диалоговое окно процедуры приведено на
рис. 8.
Рис. 8. Диалоговое окно процедуры
Autocorrelations в SPSS
В окно Variables (переменные) поместим
переменную егг_1 со значениями остатков. С помощью кнопки «Options» задам максимальное
число лагов Maximum Numbers of tags равным 10, учитывая небольшую длину
изучаемого ряда. Затем нажмем кнопку «Ок». Программа выведет график
автокорреляционной функции (коррелограмму), см. рис. 9. Из графика видно, что у
нас есть основания считать остатки некоррелированными, так как полученные
оценки лежат не внутри доверительного интервала для нулевых значений
автокорреляционной функции.

Результаты расчетов процедуры помещаются в окно
Output (см. рис. 10). Здесь приводятся значения оценок автокорреляционной
функции, их стандартные ошибки и доверительные интервалы.
Рис. 10. Результаты расчетов процедуры
Autocorrelations в окне вывода результатов в SPSS
Процедура Autocorrelations позволяет вычислять
автокорреляционную и частную автокорреляционную функцию не только для исходного
ряда, но и для прологарифмированного ряда или ряда простых и сезонных
разностей. Все указанные настройки задаются в окне Transform (преобразования).
Проверка нормальности распределения остатков.
Для проверки соответствия распределения остатков нормальному распределению
построим график остатков на нормальной вероятностной бумаге. Выберем в пункте
меню Graphs процедуру Normal P-P (график на нормальной вероятностной бумаге). В
диалоговом окне этой процедуры (рис. 11) надо указать в поле Variables
обрабатываемую переменную.
Рис. 11. Диалоговое окно процедуры Normal P-P в
SPSS
Результаты работы процедуры приведены на рис.
12. Они показывают, что при хорошем согласии распределения данных с нормальным
распределением «на хвостах» (зоны в районе нуля и единицы на графике), а также
в центре, есть определенные отклонения в промежуточных зонах. Подобные
отклонения не сильно влияют на точность полученных результатов. Поэтому
результаты, полученные с помощью метода наименьших квадратов, можно считать
приемлемыми.
Рис. 12. Результаты процедуры Normal P-P в SPSS
Процедура Normal P-P (см. рис. 11) предоставляет
возможность проводить различные преобразования указанной переменной: переходить
к логарифмической шкале, стандартизировать значения переменной, использовать
простые и сезонные разностные операторы.
Малый объем наблюдений, естественно, не
позволяет сделать обоснованных выводов о распределении остатков. Строя график
остатков на нормальной вероятностной бумаге, прежде всего пытаемся выяснить,
насколько сильно нарушается предположение о нормальности. Если эти нарушения
невелики, то полученные выводы можно считать достаточно надежными. В противном
случае возникает вопрос о целесообразности применения выбранного метода
обработки и замене его на методы, не чувствительные к распределению данных и
устойчивые к различным отклонениям.
5. Прогнозирование развития культуры
в системе STATISTICA
Для более чёткого проявления тенденции ряда производится
замена фактических уровней временного ряда расчётными ( сглаживание временного
ряда). Сглаживание временного ряда является одним из методов теории
математических фильтров, имеющей дело с фильтрацией высокочастотных «шумов».
Выравнивание временных рядов может
быть произведено методом экспоненциального сглаживания. Суть метода заключается
в том, что в процедуре нахождения сглаженного уровня используются значения
только предшествующих уровней ряда, взятые с определенным весом, причем вес
наблюдения уменьшается по мере удаления его от момента времени, для которого
определяется сглаженное значение уровня ряда. Если для исходного временного
ряда
,
соответствующие сглаженные значения уровней обозначить St, где
, то
экспоненциальное сглаживание производится по рекуррентному соотношению:
где
- параметр сглаживания, 0 <
< 1,
величина 1 -
называется
коэффициентом дисконтирования.
Используя рекуррентное соотношение
для всех уровней ряда, начиная с первого и кончая моментом уровня t, можно
получить, что экспоненциальная средняя, то есть сглаженное данным методом
значение уровня ряда, является взвешенной средней всех предшествующих уровней:
Обычно для временных рядов в
экономических задачах величину параметра сглаживания выбирают в интервале от
0,1 до 0,3. Начальный параметр S0 принимают равным значению первого
уровня ряда у1 или равным средней арифметической нескольких первых членов ряда,
например, у1, у2, у3:
Указанный порядок выбора величины So
обеспечивает хорошее согласование сглаженного и исходного временных рядов для
первых уровней. Если же при подходе к правому концу ряда сглаженные значения
начинают значительно отличаться от соответствующих значений исходного ряда, то
целесообразно перейти на другой параметр сглаживания
.[2]
Проведём экспоненциальное
сглаживание числа мигрантов и сделаем прогноз развития миграции в области.
В стартовой панели модуля Анализ
временных рядов и прогнозирование системы STATISTICA инициируем кнопку
Exponential Smoothing& Forecasting - Экспоненциальное сглаживание и
прогнозирование.
Рис.13. Таблица результатов
экспоненциального сглаживания числа мигрантов.
Рис.14. Экспоненциальное сглаживание
и прогноз развития миграции в области.
Прогноз был проведён на 10 лет
вперёд. Он показал, что число прибывших людей в Пензенскую область с каждым
годом увеличивается, а число выбывших - уменьшается. В 2017 году число
прибывших составит 4035, а число выбывших -358.
Заключение
Для достижения поставленной цели
были построены эконометрические модели временных рядов на основе исходных
данных торгового предприятии, такие как линейная модель. С помощью
дисперсионного анализа оценили качество полученных моделей (достоверность по
уровню значимости критерия Фишера). Также построили регрессионное уравнение
моделей и оценили степень точности полученных уравнений, выявив, что модель
требует улучшения, т.к. коэффициент детерминации для линейной модели равен
86,7% общей вариации по модели Прибыло, и равен 99,2% общей вариации по модели
Выбыло. В процессе моделирования были рассмотрены прогнозные значения
показателя в сравнении с показателями в отчетном периоде. Среднее увеличение
числа прибывших людей в область за год равно по модели Прибыло 218,600,по
модели Выбыло - 56,200 (чел./год).
В процессе моделирования были
рассмотрены прогнозные значения показателя в сравнении с показателями в
отчетном периоде. Можно сказать, что в будущем периоде число прибывших людей в
Пензу будет расти, а число выбывших - падать.
Реалистичный прогноз миграций,
основывающийся на знании закономерностей этого процесса, крайне важен как для
того, чтобы успешно управлять миграциями, так и для оценки возможности
увеличить численность трудовых ресурсов в районах с низким их приростом.
Список используемой литературы
1. Обработка
статистической информации с помощью SPSS
/ П.Ю. Дубнов. - М: ООО «Издательство ACT»:
Издательство «НТ Пресс», 2004. - 221 с.: ил.
2. Тюрин
Ю.Н., Макаров А.А. Анализ данных на компьютере / под ред. В.Э. Фигурнова. - 3-е
изд., перераб. и доп. - М.: ИНФРА-М, 2003. - 544 с., ил.
. Айвазян
С.А., Мхитарян B.C. Прикладная статистика и основы эконометрики. - М.; ЮНИТИ,
2001.
. Кремер
Н.Ш., Путко Б.А. Эконометрика: Учебник для вузов / Под ред. проф. Н.Ш. Кремера.
- М.: ЮНИТИ-ДАНА, 2005. - 311с.
. Магнус
Я.Р., Катышев П.К., Пересецкий А.А. Эконометрика. Начальный курс, изд. 5-е. -
Москва, Дело, 2001.
. Моделирование
экономических процессов / М.П. Власов, П.Д. Шимко. - Ростов н/Д: Феникс, 2005.-
409с., ил. - (Высшее образование)
. Практикум
по эконометрике: Учеб. пособие / И.И. Елисеева, С.В. Курышева, Н.М. Гордеенко и
др., Под ред. И.И. Елисеевой. - М.: Финансы и статистика, 2005 г. - 192 с., ил.
. Эконометрика:
Учебник / Под ред. И.И Елисеевой. - М.: Финансы и статистика, 2004 г. - 344 с.,
ил.