Корреляционно-регрессионный анализ, построение многофакторной регрессионной модели, ряд Фурье. Критерий Дарбина-Уотсона
Негосударственное
образовательное учреждение высшего профессионального образования
«Московский
экономико-финнсовый институт»
Курсовая
работа по Эконометрике
на тему:
«Корреляционно-регрессионный анализ, построение многофакторной регрессионной модели,
ряд Фурье. Критерий Дарбина-Уотсона»
Подготовила:
Говорун Н.А
Проверил: Митин
Ю.В.
г. Москва
2011
Содержание
Введение
1. Парная регрессия и
корреляция
2. Лабораторная работа 1
. Множественная регрессия и
корреляция
. Лабораторная работа 2
. Лабораторная работа 3
Список литературы
Введение
Эконометрика - одна из базовых дисциплин
экономического образования во всем мире. Однако до недавнего времени она не
была признана в СССР и России. Это было связано с тем, что из трех основных
составляющих эконометрики - экономической теории, экономической статистики и
математики - две первые были представлены в нашей стране неудовлетворительно.
Но теперь ситуация изменилась коренным образом.
Существуют различные варианты определения
эконометрики:
) расширенные, при которых к эконометрике
относят все, что связано с измерениями в экономике;
) узко инструментально ориентированные, при
которых понимают определенный набор математико-статистических средств,
позволяющих верифицировать модельные соотношения между анализируемыми
экономическими показателями.
На наш взгляд, наиболее точно объяснил сущность
эконометрики один из основателей этой науки Р. Фриш, который и ввел этот
название в 1926 г.: «Эконометрика - это не то же самое, что экономическая
статистика. Она не идентична и тому, что мы называем экономической теорией,
хотя значительная часть этой теории носит количественный характер. Эконометрика
не является синонимом приложений математики к экономике. Как показывает опыт,
каждая из трех отправных точек - статистика, экономическая теория и математика
- необходимое, но не достаточное условие для понимания количественных
соотношений в современной экономической жизни. Это единство всех трех
составляющих. И это единство образует эконометрику»1.
Эконометрика - это самостоятельная научная
дисциплина, объединяющая совокупность теоретических результатов, приемов,
методов и моделей, предназначенных для того, чтобы на базе экономической
теории, экономической статистики и экономических измерений,
математико-статистического инструментария придавать конкретное количественное
выражение общим (качественным) закономерностям, обусловленным экономической
теорией.
Эконометрическое моделирование реальных
социально- экономических процессов и систем обычно преследует два типа конечных
прикладных целей (или одну из них): 1) прогноз экономических и
социально-экономических показателей, характеризующих состояние и развитие
анализируемой системы; 2) имитацию различных возможных сценариев
социально-экономического развития анализируемой системы (многовариантные
сценарные расчеты,
ситуационное моделирование).
При постановке задач эконометрического
моделирования следует определить их иерархический уровень и профиль.
Анализируемые задачи могут относиться к макро-(страна, межстрановой анализ),
мезо-(регионы внутри страны) и микро- (предприятия, фирмы, семьи) уровням и
быть направленными на решение вопросов различного профиля инвестиционной,
финансовой или социальной политики, ценообразования, распределительных
отношений и т.п.
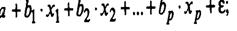
1. Парная регрессия и корреляция
Парная (простая) регрессия представляет собой
модель, где среднее значение зависимой (объясняемой) переменной рассматривается
как функция одной независимой (объясняющей) переменной x , т.е. это
модель вида:
ŷx=f(x).
где у - зависимая переменная
(результативный признак);
х -
независимая, объясняющая переменная (признак - фактор).
Построение линейной регрессии сводится к оценке
ее параметров - a и b. Классический подход к оцениванию
параметров линейной регрессии основан на методе наименьших квадратов
(МНК). МНК позволяет получить такие оценки параметров a и b,
при которых сумма квадратов отклонений фактических значений результативного
признака y от теоретических
S(yi
- ŷ)2 = ® min
Для линейных т не линейных уравнений приводимых
к линейным, решается следующая система относительно a
и b:
Можно воспользоваться готовыми формулами,
которые вытекают из этой системы:
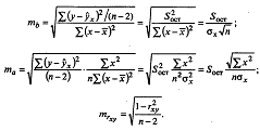
Тесноту связей изучаемых явлений оценивает линейный
коэффициент парной корреляции r xy для линейной регрессии
и индекс корреляции P
xy для линейной регрессии
Оценку качества построенной модели даст
коэффициент (индекс) детерминации, а также средняя ошибка аппроксимация.
Средняя ошибка аппроксимация-
среднее отклонение расчетных значений от фактических:
Допустимый предел значения A не более
8-10% .
Средний коэффициент эластичности Э показывает на
сколько процентов в среднем по совокупности изменяется результат у от
своей средней величины при изменении фактора х на 1% от своего
среднего значения:
Задача дисперсионного анализа состоит в анализе
дисперсии зависимости переменной:
где
-
общая сумма квадратов отклонений;
- сумма квадратных
отклонений, обусловленная регрессией (объясненная либо факторная);
- долю дисперсии
объясняемою регрессией, в общей дисперсии результативного признака у
характеризует коэффициент (индекс) детерминации
Коэффициент детерминации - квадрат коэффициента
или индекса корреляции.
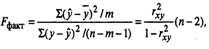
F-тест- оценивание
качества уровня регрессии - состоит в проверки гипотезы
о статической не
значимости уравнение регрессии и показателя тесноты связи. Для этого
выполняется сравнение фактического
и
критического (табличного)
значения F-
критерия Фишера.
определяется из
соотношения значений факторной и остаточной дисперсии, рассчитанных на степень
свободы:
где n
- число единиц совокупности;
m
- число параметров при переменной х.
Для оценки статистической значимости коэффициент
регрессии и корелляции рассчитывается t
критерий
Стьедента и доверительные интервалы каждого из
показателей. Выдвигается гипотеза при
о
случайной природе показателей, т.е о незначимом отличия от нуля. Оценка
значимости коэффициента регрессии и корреляции с помощью t
критерий Стьедента проводится путем сопоставления их значений с величиной
случайной ошибки:
Случайные ошибки линейной
регрессии и коэффициента корреляции определяется по формулам:
Если в границы доверительного интервала попадает
ноль, т.е нижняя граница отрицательная, а верхняя положительная, то оцениваемый
параметр принимается нулевым, так как он не может одновременно принимать
положительное и отрицательное значения.
Прогноз значения
определяется
путем подстановки в уравнение регрессии
соответствующего
(прогнозного) значения
Вычисляется
средняя стандартная ошибка прогноза
2. Лабораторная работа № 1
Построение парной регрессионной модели
Для оценки зависимости y
от х построить линейную и степенную регрессии c
помощью МНК*. Найти коэффициент парной корреляции и индекс корреляции.
Построить линейную и степенную регрессии с помощью ППП Excel
или Stadia. Оценить
каждую модель через среднюю ошибку аппроксимации А и F-критерий
Фишера. Построить график у и у*.
|
Территории
потребителей
|
Продано
(вывезено) тыс. руб. y
|
Заказано
в соответствии с договорами, тыс. руб. X
|
|
Московская
область
|
91,4
|
92
|
|
Республика
Ингушетия
|
84,7
|
90
|
|
Ставропольский
край
|
174,6
|
170
|
|
Ростовская
область
|
91,5
|
91,7
|
|
Республика
Алтай
|
90
|
90
|
|
Кемеровская
область
|
157,5
|
152,1
|
|
Новосибирская
область
|
66393
|
58745,5
|
|
Томская
область
|
360
|
339,8
|
|
Киргизия
(СНГ)
|
460,5
|
457
|
|
Страны
в не СНГ
|
9948
|
8788,5
|
Указания к выполнению лабораторной работы.
Обозначим Y - продано
(вывезено) изделий за год, тыс. руб., Х - заказано в соответствии с договорами
за год, тыс. руб. Будем искать у=а+вх - линейную и у=ахв - степенную
функции регрессии. Найдите коэффициенты а и в. Степенную функцию приведите к
линейному виду, прологарифмировав левую и правую часть. По исходным данным
рассчитайте
,
,
,
и
. Подставьте
эти значения в систему нормальных уравнений и решите.
В Excele
найти коэффициенты линейной регрессии можно с помощью “Сервис/Анализ
данных/Регрессия” или Мастер функция/ статистические / ЛИНЕЙН.
Нелинейные функции предварительно нужно привести к линейному виду через функцию
ln. Встроенная
команда “Регрессия” выдает не только коэффициенты линейной регрессии, но и Fфакт.
Сравните Fфакт
и Fтабл
и сделайте вывод о гипотезе. Рассчитайте среднюю ошибку аппроксимации А для
построенных вами регрессионных моделей, проверьте находятся ли их значения в
допустимых пределах.

. b
= 3988136916.1-7785.12*6901.66/35286868092.284-47632910.76=1.130549364
. a
= 7785.12- 1.130549364*6901.66= -17.54732272
. Уравнение регрессии Y
мод = -17.54732272-1.130549364*х
. Рассчитаем линейный коэффициент парной
корреляции:
=
18785/21230*1.130549364=1
. Коэффициент детерминации:
= 1*1=1
.
=
3.1%.
3. Множественная регрессия и
корреляция
Множественная регрессия - уравнение связи с
несколькими независимыми переменными:
где у - зависимая переменная ((результативный
признак);
- независимые
переменные (факторы).
Для построения уравнения множественной регрессии
чаще используется следующие функции:
линейная - у =
степенная - у =
экспонента - у =
гипербола - у =
Для оценки параметров уравнения множественной
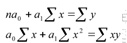
регрессии применяется МНК. Для линейных уравнений и нелинейных уравнений,
приводимым в линейное, строится следующая система нормальных уравнений, решение
которой позволяет получить оценки параметров регрессии:
Другой вид уравнения множественной регрессии - уравнение
регрессии в стандартизованном масштабе:
-
стандартизованные переменные
- стандартизованные
коэффициент регрессии.
расчет частных коэффициентов эластичности
применяется следующая формула:
Тесноту совместного влияния факторов на
результат оценивает индекс множественной корреляции:
Частные коэффициенты или (индексы) корреляции,
измеряющие влияние на у фактора х при неизменном
уровне других факторов, можно определить по формуле:
регрессия корреляция экономический
Скорректированный индекс
множественной детерминации содержит поправку на число
степеней свободы и рассчитывается по формуле
4. Лабораторная работа № 2
Построение многофакторной регрессионной модели
Указания к выполнению лабораторной работы.
Рассмотрим следующие восемь факторов, которые
могут оказывать влияние на цену строящегося жилья:
·
район,
где расположена, строящаяся квартира;
·
количество
комнат в квартире;
·
общая
площадь квартиры;
·
жилая
площадь квартиры;
·
площадь
кухни;
·
этаж
(средний или крайний);
·
дом
(панельный или кирпичный);
·
срок
сдачи квартиры (через сколько месяцев).
Определите минимальный объем выборки nmin.
Фиктивными переменными в исходной таблице уже заданы районы (А или В), этаж
(средний или крайний) и тип дома (панельный или кирпичный), где расположена
квартира. Постройте линейные и нелинейные регрессионные модели в Stadia
через функции: СТАТИСТ=F9/РЕГРЕС.
АНАЛИЗ/МНОЖЕСТ. ЛИНЕЙН. МОДЕЛЬ и СТАТИСТ=F9/РЕГРЕС.
АНАЛИЗ/ОБЩАЯ/НЕЛИНЕЙН. МОДЕЛЬ. Проверьте нашу
модель на мультиколлинеарность. Зайдем в Excele
в Анализ данных/ Корреляция. Если коэффициент парной корреляции rij
больше чем 0,7-0,8, мультиколлинеарная зависимость присутствует. Факторы, для
которых значение rxiy
наименьшее, могут быть потенциально исключены из модели.
Далее для исключения из модели малозначимых
факторов будем использовать процедуру пошагового отбора регрессоров. На выбор
студентов предлагаются три процедуры: присоединения, удаления или
присоединения-удаления. В Stadia
нужно зайти в меню СТАТИСТ = F9/РЕГРЕС.
АНАЛИЗ/ПОШАГОВАЯ РЕГРЕССИЯ. На основе анализа
коэффициентов частной корреляции часть переменных будет предложено исключить, а
часть оставить в модели.
После исключения всех малозначимых факторов в
модели находите еще раз значение коэффициентов в модели, уточните значение
коэффициента корреляции и Fфакт.
Сравните Fфакт
с Fтабл
и сделайте вывод, нужно ли отклонить гипотезу Но о статистической
незначимости уравнения регрессии в целом и показателя тесноты связи Ryx1…xn
с
вероятностью 1-a=1-0,05=0,95. Рассчитайте среднюю
ошибку аппроксимации А для построенной вами регрессионной модели. Проведите
экономическое обоснование полученной вами регрессионной модели через
коэффициенты эластичности.
|
№
п/п
|
х1
|
х2
|
х3
|
х4
|
х5
|
х6
|
х7
|
х8
|
у
|
|
1
|
1
|
1
|
40,5
|
19
|
7,5
|
1
|
2
|
3
|
17,9
|
|
2
|
1
|
1
|
52,4
|
19,3
|
9
|
2
|
1
|
3
|
21,1
|
|
3
|
1
|
1
|
46
|
19,5
|
9,5
|
1
|
2
|
1
|
28,1
|
|
4
|
1
|
1
|
39,5
|
14
|
8
|
2
|
2
|
2
|
22,5
|
|
5
|
2
|
1
|
46
|
17,5
|
9,5
|
2
|
2
|
3
|
14
|
|
6
|
2
|
1
|
57,5
|
22
|
12,5
|
2
|
1
|
1
|
22,4
|
|
7
|
2
|
1
|
52,5
|
21
|
11
|
2
|
2
|
12
|
17,7
|
|
8
|
2
|
1
|
51
|
22,3
|
10,2
|
2
|
2
|
9
|
13,6
|
|
9
|
2
|
1
|
45,5
|
19,4
|
19,5
|
1
|
2
|
6
|
11,9
|
|
10
|
2
|
1
|
42
|
18
|
7,5
|
2
|
1
|
12
|
11,2
|
|
11
|
1
|
1
|
48,5
|
19
|
10
|
2
|
2
|
4
|
30,6
|
|
12
|
1
|
1
|
48,8
|
20
|
9
|
1
|
2
|
4
|
27,5
|
|
13
|
1
|
1
|
56
|
22
|
13,2
|
2
|
1
|
11
|
32,8
|
|
14
|
2
|
2
|
72
|
36,6
|
11,5
|
2
|
2
|
9
|
27,9
|
|
15
|
1
|
2
|
74
|
36
|
12,5
|
2
|
2
|
10
|
36,9
|
|
16
|
2
|
2
|
76
|
41
|
10
|
1
|
1
|
1
|
24,7
|
|
17
|
2
|
2
|
65
|
35,5
|
9
|
2
|
1
|
5
|
26,8
|
|
18
|
1
|
2
|
71
|
41
|
10
|
1
|
1
|
15
|
23,3
|
|
19
|
1
|
93
|
42,3
|
16
|
2
|
2
|
14
|
55,7
|
|
20
|
1
|
2
|
99
|
50
|
14,5
|
1
|
2
|
20
|
39,9
|
|
21
|
2
|
2
|
69
|
34
|
9
|
2
|
2
|
8
|
23,5
|
|
22
|
1
|
3
|
119
|
70,2
|
28,8
|
2
|
1
|
4
|
52,7
|
|
23
|
1
|
3
|
130
|
78
|
24
|
2
|
1
|
4
|
53,5
|
|
24
|
1
|
3
|
132
|
72,5
|
28,5
|
2
|
2
|
4
|
84
|
|
25
|
1
|
3
|
101
|
63,5
|
11,2
|
1
|
2
|
6
|
44,1
|
|
26
|
2
|
3
|
126
|
70,5
|
15
|
2
|
1
|
9
|
43,4
|
|
27
|
2
|
3
|
132
|
75
|
18
|
2
|
2
|
1
|
52,8
|
|
28
|
2
|
3
|
79
|
47
|
11,2
|
1
|
2
|
3
|
19
|
|
29
|
2
|
3
|
104
|
54,8
|
20
|
1
|
2
|
9
|
27
|
|
30
|
2
|
3
|
104
|
54,8
|
20
|
2
|
2
|
11
|
28,5
|
|
31
|
2
|
3
|
111
|
51
|
17,5
|
1
|
1
|
11
|
20,3
|
|
32
|
2
|
3
|
102
|
47
|
9,7
|
2
|
2
|
2
|
25,2
|
|
33
|
2
|
3
|
91,5
|
50
|
9,3
|
2
|
2
|
1
|
23,5
|
|
34
|
2
|
3
|
128
|
68
|
16
|
2
|
2
|
3
|
32,1
|
|
35
|
2
|
3
|
101
|
51,6
|
12,7
|
2
|
2
|
2
|
25,3
|
|
36
|
2
|
3
|
117
|
66
|
14,3
|
1
|
2
|
2
|
38,3
|
|
37
|
2
|
3
|
102
|
58
|
12,1
|
2
|
2
|
2
|
31,2
|
|
38
|
2
|
3
|
117
|
84,5
|
12
|
2
|
2
|
1
|
38,4
|
|
39
|
1
|
3
|
122
|
70
|
18
|
2
|
2
|
10
|
58,3
|
|
40
|
1
|
3
|
135
|
72
|
22,8
|
2
|
2
|
7
|
71
|
|
41
|
1
|
3
|
94,6
|
54
|
11,1
|
2
|
1
|
9
|
29,1
|
|
42
|
1
|
3
|
113
|
59
|
12,8
|
2
|
2
|
10
|
46,7
|
|
43
|
1
|
3
|
134
|
80
|
17,5
|
2
|
2
|
18
|
70,5
|
|
44
|
1
|
3
|
128
|
72
|
24,3
|
2
|
2
|
2
|
128
|
|
45
|
1
|
3
|
133
|
74
|
29,5
|
1
|
1
|
5
|
46,9
|
|
46
|
1
|
3
|
105
|
62
|
20,7
|
2
|
1
|
3
|
45,7
|
|
47
|
1
|
3
|
121
|
59,5
|
20,4
|
1
|
2
|
11
|
75,6
|
|
48
|
1
|
3
|
139
|
80
|
19,5
|
2
|
1
|
24
|
43,4
|
|
49
|
2
|
4
|
149
|
99
|
17,6
|
2
|
2
|
3
|
59,8
|
|
50
|
2
|
4
|
253
|
115
|
31
|
2
|
2
|
2
|
148
|
|
51
|
2
|
4
|
110
|
80,5
|
12,3
|
2
|
1
|
6
|
40,9
|
|
52
|
1
|
4
|
136
|
76,5
|
20,3
|
2
|
2
|
3
|
70,4
|
|
53
|
1
|
4
|
160
|
90
|
13,7
|
2
|
1
|
4
|
54,2
|
|
54
|
1
|
4
|
79,5
|
20
|
2
|
2
|
9
|
60,5
|
|
55
|
2
|
4
|
101
|
65
|
12
|
2
|
2
|
2
|
19,9
|
|
56
|
2
|
4
|
120
|
73,2
|
14
|
2
|
2
|
1
|
56
|
|
57
|
2
|
4
|
78
|
47,5
|
9
|
2
|
1
|
3
|
27,2
|
|
58
|
2
|
4
|
93
|
50
|
11,5
|
2
|
2
|
1
|
29,5
|
|
59
|
1
|
5
|
155
|
77
|
17
|
2
|
1
|
1
|
56,6
|
|
60
|
2
|
5
|
175
|
117
|
24,8
|
1
|
1
|
8
|
42,1
|
|
61
|
1
|
5
|
164
|
85
|
19,5
|
2
|
2
|
1
|
172
|
|
62
|
1
|
5
|
191
|
98,1
|
22,5
|
2
|
2
|
10
|
92,6
|
|
63
|
1
|
5
|
260
|
157
|
37
|
2
|
1
|
2
|
98,1
|
|
64
|
1
|
5
|
235
|
175
|
32,5
|
2
|
2
|
2
|
170
|
|
65
|
1
|
5
|
370
|
174
|
35
|
2
|
2
|
2
|
190
|
|
66
|
2
|
5
|
149
|
100
|
16
|
2
|
2
|
1
|
73,1
|
|
67
|
2
|
5
|
231
|
149
|
30
|
1
|
2
|
2
|
125
|
|
68
|
2
|
6
|
249
|
167
|
30,2
|
2
|
1
|
5
|
142
|
|
Итого
|
102
|
201
|
7885
|
4389
|
1132
|
120
|
114
|
395
|
3512
|
|
Среднее
значение
|
1,5
|
3
|
116
|
64,5
|
16,6
|
1,8
|
1,7
|
5,8
|
51,6
|
|
Номер
района - х
|
|
Кол-во
комнат - х2
|
|
|
Общая
площадь - х3
|
|
|
|
|
|
|
|
|
Жилая
площадь - х4
|
|
|
|
|
|
Площадь
кухни - х5
|
|
|
|
|
|
|
Этаж
средние -крайние - х6
|
|
|
|
|
|
|
Дом
кир/пан - х7
|
|
|
|
|
|
|
Срок
сдачи ч/з мес. - х8
|
|
|
|
|
|
|
Стоимость
квартиры - у
|
|
|
|
|

Тема: Временные ряды в
эконометрических исследованиях
Лабораторная
работа № 3
Ряд
Фурье. Критерий Дарбина-Уотсона
Указания к выполнению лабораторной работы.
Имеется одна объясняющая переменная, значит m=1.
Данные приведены за 2 года, поэтому n=24.
Месячные периоды представляем как части окружности, ряд внутригодовой динамики
будет иметь следующий вид.
|
месяцы
|
периоды,
t
|
периоды,
t
|
|
Январь
|
0
|
0
|
|
Февраль
|
p/6
|
0,523598776
|
|
Март
|
p/3
|
1,047197551
|
|
Апрель
|
p/2
|
1,570796327
|
|
Май
|
2p/3
|
2,094395102
|
|
Июнь
|
5p/6
|
2,617993878
|
|
Июль
|
p
|
3,141592654
|
|
Август
|
7p/6
|
3,665191429
|
|
Сентябрь
|
4p/3
|
4,188790205
|
|
Октябрь
|
3p/2
|
4,71238898
|
|
Ноябрь
|
5p/3
|
5,235987756
|
|
Декабрь
|
11p/6
|
5,759586532
|
Найдите по формулам а0, а1
и в1. Подставьте в модель сезонной волны y.
В Excele зайдите в меню Мастер
диаграмм/График/График с маркерами и постройте график для у и у.
Найдите среднюю ошибку аппроксимации А, проверьте находится ли её значение в
допустимых пределах.
Проверьте полученную модель на автокорреляцию,
используя критерий Дарбина-Уотсона. При 5%-ном уровне значимости для n=24
и m=1 значение
статистик Дарбина-Уотсона будет dн=1,27
и dв=1,45
(табличные значения). Найдите et,
et-1.
Вычислите статистику d
и сравните с dн
и dв.
Список использованной литературы
1. Прктика по эконометрике -
И.И. Елесеева
2. Учебное методическое пособие
Шалабанов А.К., Роганов Д.А.