Построение математических моделей экономических процессов методами регрессионного анализа
Правительство Российской Федерации
Федеральное государственное
автономное
образовательное учреждение высшего
профессионального образования
"Национальный исследовательский
университет
"Высшая школа экономики"
Курсовая работа
на тему: "Построение математических
моделей экономических процессов методами регрессионного анализа"
Факультет Компьютерных наук
Отделение Прикладной математики и
информатики
Кафедра Высшей математики на
факультете экономике
Выполнила студентка 272 группы
Кушнир Ирина Вячеславовна
Научный руководитель:
к. ф. - м. н, доцент,
Горяинова Е.Р.
Москва 2014 год
Содержание
Введение
1. Линейная регрессионная модель
2. Выборочный коэффициент корреляции
3. Парная регрессия
4. Метод наименьших квадратов (МНК) для модели множественной регрессии
5. Проверка статистических гипотез
6. Коэффициент детерминации
Заключение
Используемые источники
Приложения
Введение
Одной из главных задач точных наук является описание
каких-либо физических явлений и процессов с помощью математической модели.
Так, например, различные экономические процессы, будь то
повышение налогов или динамика промышленного производства, требуют формализации
и построения соответствующих математических моделей.
Математическая модель - это, безусловно, удобное средство,
облегчающее процесс понимания и интерпретации имеющейся информации, причём суть
построения модели заключается в наиболее точном отображении действительности
происходящего с сохранением основных свойств, законов и взаимосвязей
моделируемых процессов.
Основной задачей данной курсовой работы является построение
математической модели выбранного экономического явления методами регрессионного
анализа.
Постановка
задачи
При обсуждении любой проблемы, требующей решения, в первую
очередь необходимо акцентировать внимание на причинах возникновения этой
проблемы. Так, например, в современном мире довольно часто в качестве основной
причины возникновения множества глобальных проблем называется непомерная
численность населения планеты. Одновременно с этим высказываются небезосновательные
мнения о том, что дальнейшее увеличение численности людей неизбежно приведет к
ухудшению ситуации во многих областях жизнедеятельности человека.
В данной курсовой работе рассматриваются факторы, влияющие на
темп прироста населения, а так же характер их влияния. Объективный анализ
подразумевает необходимость оценки данных избольшой выборки стран мира. Однако
для начального ознакомления были выбраны 30 стран, что не много в масштабах
планеты, но достаточно для предварительного изучения вопроса. В качестве
рабочего материала быливзяты данные за 2011 год, в связи с их доступностью и
все еще сохранившейся актуальностью анализа.
В качестве влияющих факторов были обоснованно выбраны
следующие:
1. Уровень рождаемости (рождённый\1000) [1]. Данный показатель,
безусловно, должен влиять на темп прироста населения.
2. Процент сельского населения [1]. Теоретически, жители сельской
местности более склонны к созданию многодетной семьи, чем посвящению себя
карьере. Таким образом, теоретически, чем больше процент сельского населения,
тем больше темп прироста населения.
3. Место страны в рейтинге по уровню развития [2] По утверждению
некоторых источников, данный всемирный рейтинг является образцовым показателем
цивилизованности стран. При составлении рейтинга учитывалась развитость таких
общественных сфер как здравоохранение, образование, судебная система и т.д.
Очевидно, что темп прироста населения в рамках данного рейтинга растет
параллельно с уровнем развития страны.
. Процент женщин в стране [3]. Вероятно, что чем больше женщин,
тем больше рождается детей, хотя может оказаться и обратное: из-за нехватки
мужского населения женщины будут больше работать, чем заниматься домашним
хозяйством и производить потомство. Данная связь имеет место быть.
. Уровень безработицы в стране (в процентах) [3]. Если нет работы,
то нет и денег содержать семью, следовательно, рождаемость должна быть
небольшой.
Можно подобрать ещё ряд факторов, которые предположительно должны
влиять на темп прироста населения и тем самым учитываться в математической
модели, однако остановимся на вышеупомянутых пяти.
Далее с помощью методов регрессионного анализа необходимо
построить модель и проверить её соответствие действительности способами,
изложенными ниже.
математическая модель экономический регрессия
1. Построение
математической модели
1.1 Линейная
регрессионная модель
Класс линейных по
функций

,
где

- известные функции,s-количество
факторов,
вектор параметров
, называется линейной регрессионной моделью. Рассмотрим модель
наблюдений случайной величины Y, и в этой
модели вектор Х считается неслучайным, но присутствуют случайные ошибки
наблюдений 
, где 
количество наблюдений:
Изначально зависимость между факторами (или регрессорами, как они
называются в регрессионном анализе и обозначаются 
) и темпом прироста населения (переменная Y) всегда представляется линейной. Составляется предварительное
уравнение модели в общем виде:

, 
-
погрешность модели, возникшая вследствие воздействия
неконтролируемых или неучтенных факторов и неточности измерения, s - количество факторов, задействованных в модели (в
рассматриваемом примере s=5).
В нашем случае
.
.2 Выборочный
коэффициент корреляции
Прежде всего, необходимо убедиться, что факторы действительно
влияют на переменнуюY. Для выявления подобной зависимости между

и каждым регрессором используется коэффициент корреляции,
который, однако, мы не можем рассчитать ввиду недостатка сведений о
распределении модели. В таком случае предполагается, что модель имеет нормальное
гауссовское распределение и рассматривается лишь оценка коэффициента корреляции
- выборочный коэффициент корреляции, который вычисляется по следующей формуле:
причём, 
.
Критерий наличия связи (коррелированности) следующий:
Выборочный коэффициент корреляции должен не попадать в интервал (
; 
), если же наблюдается попадание в интервал, то есть 
, то значит имеет место некоррелированность.
Для вычислений используется среда Matlab 2012 и таблицы Excelс исходными
реальными данными за 2011 год. [Приложение 1]
Проверив наличие связи между каждым из пяти регрессорови
переменной Yс помощью выборочного коэффициента
корреляции, мы обнаружили, что парная зависимость есть только между Y и первыми тремя регрессорами, остальные же слишком
несущественны, чтобы их учитывать. Следовательно, уравнение будет иметь вид:

.
1.3 Парная
регрессия
Следующим шагом является определение типа зависимости между
каждым регрессором и независимой переменной в отдельности с помощью парной
регрессии.
Задача восстановления функции - задача простой линейной
регрессии.

+
Если выполняются следующие условия:
. 
=0 
(погрешности в среднем вносят нулевой вклад).
. D
=
. 
при
(между погрешностями нет линейной зависимости), то теоретическое
уравнение линейной модели парной регрессии:
Построим парную регрессию с помощью среды Matlab. [Приложение 2]
Получили следующие графики:
Y (темп прироста населения) и 
(уровень рождаемости):
Можно заметить сходство зависимости междуYипервым регрессором с
логарифмической зависимостью.

(процент сельского населения):
По данному графику нельзя определить какой-либо общеизвестный тип
зависимости, в таком случае оставляется линейная зависимость.

(место страны в рейтинге благополучия):
В этом случае также оставляется линейная зависимость.
Таким образом, с помощью парной регрессии удалось восстановить
(примерно) функции зависимости переменной Yот каждого регрессора. Далее это понадобится для выявления наиболее
лучшей математической модели.
1.4 Метод
наименьших квадратов (МНК) для модели множественной регрессии
Уравнение модели множественной регрессии имеет следующий вид:
где вектор независимой переменнойY
, матрица значений регрессоров X = 
и вектор параметров
Выдвигаются следующие предположения в модели множественной
регрессии:
. Матрица Х имеет полный ранг s+1.
2. 
=0 
(погрешности в среднем вносят нулевой вклад).
3. D
=

при
- некоррелированность ошибок для разных наблюдений.
Часто добавляют следующее условие:
5. Ошибки 
имеют совместное нормальное распределение: 
В этом случае модель называется нормальной линейной регрессионной.
Для нахождения статистических оценок коэффициентов могут быть
использованы метод наименьших модулей, метод максимального правдоподобия или же
метод наименьших квадратов. В данной курсовой работе будет рассматриваться
последний метод - МНК.
В общем случае формула для вектора оценок: 
, причём оценка 
является несмещённой и состоятельной.
Следующий этап построения модели-это оценивание коэффициентов 
уравнения

, 

.
Найдём вектор оценок параметров по данной формуле с помощью Matlab:
[Приложение 3]
Ответ:=
.8402
.1085
.0031
.0047
Найдём погрешности:
Подставляя в модель наблюдаемые значения 
, вычислим расчетные значения 
и ошибки 
= 
:
Вычисления также осуществляются в среде Matlab [Приложение 4]
1.5 Проверка
статистических гипотез
Для определения статистической значимости коэффициентов уравнения
множественной регрессии проверим гипотезы 
о том, что коэффициент
против альтернативы 
о том, что коэффициент 
.
Ранее по МНК нашли вектор эффективных 
в гауссовской регрессионной модели.
Так как 
=А, то 
является несмещённой оценкой А.
Если выполняется условия 4 и 5, то В~N (A,
), где A= 
это вектор неизвестных нам истинных значений параметров.

имеет нормальное гауссовское распределение: В~N (0,
), где 
-ковариационная матрица, вычисляемая по следующей формуле:

=
.
Рассмотрим несмещённую оценку дисперсии 
несмещённые оценки ошибки, то есть 
= 
, а 
это неизвестные истинные значения ошибок.
Тогда при справедливости гипотезы 
статистика
имеет распределение по Стьюденту с к-р степенями свободы:

~t (к-р),
где
элементы матрицы 
’=
Критическая область критерия уровня значимости 
при альтернативе 
о том, что
имеет вид: 
,
Если реализация статистики
попадёт в доверительную область
(-
; 
), то на уровне надёжности 0.95 принимается нуль-гипотеза. Если
попадёт в критическую область, то нуль-гипотеза отвергается в пользу
альтернативы 
о том, что
.
Найдём все необходимые данные для проверки гипотез вMatlab: Вычисление матриц 
, и 
. [Приложение 5]
Получили 
0.2501, 
0.5001.

,

=
.
При справедливости гипотезы 
статистика
~t (к-4) = t (26), где 
элементы матрицы
=
В= 
.
Критические области критерия уровня значимости 
при альтернативе 
о том, что
имеет вид: 
,
В таблице квантилей распределения Стьюдента (файл t-distr. pdf) посмотрим квантиль 
для 26 степеней свободы. [Приложение 6]
В силу симметричностей квантилей 
получили следующий доверительный интервал (-2.056; 2.056), и
соответственно два критических интервала (-
) 
(2.056; +
).
Теперь проверяем гипотезы:

. (?)
Реализация статистики

.
Значение не попало в доверительную область 
на уровне значимости 
нулевая гипотеза отвергается в пользу альтернативы о том, что

. (?)
Реализация статистики

Значение не попало в доверительную область 
на уровне значимости 
нулевая гипотеза отвергается в пользу альтернативы о том, что

. (?)
Реализация статистики:

.
Значение попало в доверительную область
на уровне значимости 
нулевая гипотеза о том, что
принимается

. (?)
Реализация статистики:

Значение снова попало в доверительную область
на уровне значимости 
нулевая гипотеза о том, что
принимается
Результаты проверок статистических гипотез показали, что факторы 
и 
незначительны настолько, что на уровне значимости
ими можно пренебречь и исключить из уравнения. В таком случае
получили новый вид оценки модели:

Пересчитаем заново оценки всех коэффициентов в Matlab [Приложение 7]:
A = 0.8377, 0.0953
Окончательный вид модели: 
6.
Коэффициент детерминации
В качестве характеристики оценки адекватности модели
желательно иметь показатель, отражающий, в какой мере функция регрессии
определяется переменными X. Этот показатель называется коэффициентом
детерминации. Скорректированный коэффициент детерминации вычисляется по
следующей формуле:

,
где к - количество наблюдений, p-количество коэффициентов,
-квадрат оценённой погрешности:

.

,
Если имеются несколько предположений о виде математической модели,
то для каждой из них вычисляется свой коэффициент детерминации, и выбирается та
модель, чей коэффициент наиболее близок к единице.
Судя по графикам парной регрессии можно сделать вывод о
логарифмической зависимости Y от первого
регрессора
, аналогично можно предположить зависимость вида корень квадратный
(или в общем случае корень степени r, r>1).
Таким образом, предстоит проверить, какая из трёх моделей наиболее
реальна - с линейной зависимостью, логарифмической или корнем квадратным:
Первая модель: 
;
Вторая модель: 
;
Третья модель: 
;
Оценки параметров следующие: 
-0.8377, 
0.0953.
Вычислим для каждой модели коэффициент детерминации по формуле:

, так как р=2 (два коэффициента
), к=30.
Вследствие того, что модель множественной регрессии приняла вид
парной регрессии, для нахождения статистических оценок параметров можно
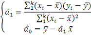
воспользоваться следующими формулами МНК для простой парной регрессии:
Вычислим оценки параметров и затем коэффициент детерминации для
каждой из двух предполагаемых моделей:
Для первой модели. Для каждого уравнения:

:
, 
=>
Значит 
.
Код в Matlab: пересчёт коэффициентов и погрешностей. [Приложение
8]
Получили 
= 0.3129 и 
= - 3.9272.
Коэффициент детерминации в этом случае будет следующим:

=
Для второй модели. Для каждого уравнения


, 
, 
=>
Значит погрешности

.
Код в Matlab: пересчёт коэффициентов и погрешностей. [Приложение
9]
Получили следующий коэффициент детерминации:
Для третьей модели:
Посчитаем


, 
, 
=>
Значит 
.
Также с помощью Matlab:
Вывод:
Наибольшим коэффициентом детерминации оказался коэффициент для первой модели,
следовательно, вопреки ожиданиям, модель остаётся линейной.
Подытоживая результаты регрессионного анализа можно сделать вывод,
что модель имеет линейную зависимость от одного регрессора, и конечный вид
модели следующий:
Y
<=>Y
Заключение
В ходе выполнения данной курсовой работы был рассмотрен ряд
факторов, часть которых оказывает существенное влияние на темп прироста
населения, а часть, как оказалось, является шумами, лишь мешающими построению
модели.
После проверки гипотез о значимости коэффициентов были
построены несколько вариантов моделей и выбрана наилучшая с помощью
коэффициента детерминации.
В итоге была получена простая парная модель
Y
Исходя из получившейся модели можно сделать вывод, что, как
оказалось, на мировой темп прироста населения не влияют ни процент сельского
населения, ни уровень безработицы, ни место страны в рейтинге благополучия.
Получилось, что темп прироста населения зависит лишь от уровня рождаемости и
больше ни от каких факторов из пяти предложенных.
Данная модель является вполне достоверной, но не отвечает на
вопросы о том, что действительно формирует прирост населения на планете, и тем
самым едва ли может помочь в предсказании будущего поведения данного явления.
Используемые
источники
[1] 
[2] сайт
#"880373.files/image157.gif">
) 
) 
Используя пакет Excel составим следующую таблицу, с которой бы было бы
удобнее работать.
|
№
|
страна
|
Y
|
|
|
|
 , y̅ 
|
|
|
|
|
|
1
|
Китай
|
0.49
|
12.29
|
49
|
101
|
14.19933
|
0.52
|
0.79
|
0.42
|
0.36
|
|
2
|
Кипр
|
1.62
|
11.41
|
29
|
31
|
34.1
|
|
|
|
|
|
3
|
Украина
|
-0.62
|
9.62
|
31
|
78
|
61.76667
|
|
|
|
|
|
4
|
Вьетнам
|
1.08
|
17.07
|
69
|
127
|
|
|
|
|
|
|
5
|
Финляндия
|
0.08
|
10.37
|
16
|
21
|
|
|
|
|
|
|
6
|
Великобритания
|
0.56
|
12.29
|
20
|
26
|
|
|
|
|
|
|
7
|
Катар
|
0.81
|
15.48
|
1
|
36
|
|
|
|
|
|
|
8
|
Индия
|
1.34
|
20.97
|
69
|
136
|
|
|
|
|
|
|
9
|
Индонезия
|
1.07
|
18.1
|
49
|
121
|
|
|
|
|
|
|
10
|
Черногория
|
-0.71
|
11
|
37
|
52
|
|
|
|
|
|
|
11
|
Марокко
|
1.07
|
19.19
|
43
|
130
|
|
|
|
|
|
|
12
|
Казахстан
|
0.4
|
16.65
|
46
|
69
|
|
|
|
|
|
|
13
|
США
|
0.96
|
13.83
|
18
|
3
|
|
|
|
|
|
|
14
|
Австралия
|
0.03
|
12.33
|
11
|
2
|
|
|
|
|
|
|
15
|
Сингапур
|
0.82
|
8.5
|
10
|
18
|
|
|
|
|
|
|
16
|
Сербия
|
-0.47
|
9.19
|
44
|
64
|
|
|
|
|
|
|
17
|
Эфиопия
|
3.19
|
42.99
|
83
|
130
|
|
|
|
|
|
|
18
|
Ямайка
|
0.73
|
19.2
|
48
|
85
|
|
|
|
|
|
|
19
|
Перу
|
1.03
|
19.41
|
23
|
77
|
|
|
|
|
|
|
20
|
Таиланд
|
0.57
|
12.95
|
66
|
103
|
|
|
|
|
|
|
21
|
Намибия
|
0.87
|
21.48
|
62
|
128
|
|
|
|
|
|
|
22
|
Испания
|
0.57
|
23
|
23
|
|
|
|
|
|
|
23
|
Болгария
|
-0.78
|
9.32
|
27
|
57
|
|
|
|
|
|
|
24
|
Канада
|
0.79
|
10.28
|
19
|
11
|
|
|
|
|
|
|
25
|
Молдова
|
-0.07
|
11.16
|
52
|
113
|
|
|
|
|
|
|
26
|
Швейцария
|
0.21
|
9.53
|
26
|
9
|
|
|
|
|
|
|
27
|
Бельгия
|
0.07
|
10.06
|
3
|
17
|
|
|
|
|
|
|
28
|
Япония
|
-0.28
|
7.31
|
9
|
10
|
|
|
|
|
|
|
29
|
Франция
|
0.5
|
12.29
|
14
|
20
|
|
|
|
|
|
|
30
|
Россия
|
-0.47
|
11.05
|
26
|
55
|
|
|
|
|
|
[Приложение
2]
%%%%%%%% пример ввода: Парная регрессия YиX3
plot (101,0.49,'*'); hold on;(31,1.62,'*'); hold
on;(78,-0.62,'*'); hold on;(127,1.08,'*'); hold on;(21,0.08,'*'); hold
on;(26,0.56,'*'); hold on;(36,0.81,'*'); hold on;(136,1.34,'*'); hold
on;(121,1.07,'*'); hold on;(52,-0.71,'*'); hold on;(130,1.07,'*'); hold
on;(69,0.4,'*'); hold on;(3,0.96,'*'); hold on;(2,0.03,'*'); hold
on;(18,0.82,'*'); hold on;(64,-0.47,'*'); hold on;(130,3.19,'*'); hold
on;(85,0.73,'*'); hold on;(77,1.03,'*'); hold on;(103,0.57,'*'); hold
on;(128,0.87,'*'); hold on;(23,0.57,'*'); hold on;(57,-0.78,'*'); hold
on;(11,0.79,'*'); hold on;(113,-0.07,'*'); hold on;(9,0.21,'*'); hold
on;(17,0.07,'*'); hold on;(10,-0.28,'*'); hold on;(20,0.5,'*'); hold
on;(55,-0.47,'*'); hold on;;('x3');('y');
title ('тепм прироста населения от места страны в рейтинге
благополучия');
[Приложение
3]
Кодвmatlab:
X= [
12.29 49 101;
1 11.41 29 31;
9.62 31 78;
17.07 69 127;
10.37 16 21;
12.29 20 26;
15.48 1 36;
20.97 69 136;
18.1 49 121;
11 37 52;
19.19 43 130;
16.65 46 69;
13.83 18 3;
12.33 11 2;
8.5 10 18;
9.19 44 64;
42.99 83 130;
19.2 48 85;
19.41 23 77;
12.95 66 103;
21.48 62 128;
10.66 23 23;
9.32 27 57;
10.28 19 11;
11.16 52 113;
9.53 26 9;
10.06 3 17;
7.31 9 10;
12.29 14 20;
11.05 26 55];= [0.49; 1.62; - 0.62; 1.08; 0.08;
0.56; 0.81; 1.34; 1.07; - 0.71; 1.07; 0.4; 0.96; 0.03; 0.82; - 0.47;
.19; 0.73; 1.03; 0.57; 0.87; 0.57; - 0.78; 0.79;
- 0.07; 0.21; 0.07; - 0.28; 0.5; - 0.47];= ( (X'*X) ^ (-1)) * (X'*Y1);
Ответ:
A =
.8402
.1085
.0031
.0047
[Приложение
4]
….
A= ( (X'*X) ^ (-1)) * (X'*Y1);=zeros (30,1);=1:
1: 30(i,1) =A (1,1) +A (2,1) *X (i,2) +A (3,1) *X (i,3) +A (4,1) *X
(i,4);;=zeros (30,1);j=1: 1: 30(j,1) =Y1 (j,1) - As (j,1);;
%погрешности:=
.3206
.2781
.5522
.4523
.1558
.1270
.1372
.3315
.3644
.9333
.3073
.3842
.2576
.4925
.7917
0.4620
.2798
.2616
.0556
.2855
.2098
.2904
.7663
.5075
.0696
.0223
.1105
.2138
.0574
.6503
[Приложение
5]
….=0;v=1: 1: 30=Sum+ (E (v,1). ^2);;= (1/ (30-4))
*Sum;=sqrt (D);
K= ( (X'*X) ^ (-1)) *D; %% это матрица

K1= (X'*X) ^ (-1); %% это матрица K’
>>D
D= 0.2501
>>D1
D1 = 0.5001
>>K
K =
.0480 - 0.0024 - 0.0004 0.0001
.0024 0.0003 - 0.0000 - 0.0000
.0004 - 0.0000 0.0001 - 0.0000
.0001 - 0.0000 - 0.0000 0.0000
>>K1
K1 =
.1917 - 0.0097 - 0.0014 0.0005
.0097 0.0013 - 0.0002 - 0.0000
.0014 - 0.0002 0.0004 - 0.0001
.0005 - 0.0000 - 0.0001 0.0001
[Приложение
6]
X= [
12.29; 1 11.41; 1 9.62; 1 17.07; 1 10.37; 1 12.29; 1 15.48; 1
20.97; 1 18.1;
11; 1 19.19; 1 16.65; 1 13.83; 1 12.33; 1 8.5; 1 9.19; 1
42.99; 1 19.2;
19.41; 1 12.95; 1 21.48; 1 10.66; 1 9.32; 1 10.28; 1 11.16; 1
9.53; 1 10.06;
7.31; 1 12.29; 1 11.05];
Y= [0.49; 1.62; - 0.62; 1.08; 0.08; 0.56; 0.81; 1.34; 1.07; -
0.71; 1.07; 0.4; 0.96; 0.03; 0.82; - 0.47;
.19; 0.73; 1.03; 0.57; 0.87; 0.57; - 0.78; 0.79; - 0.07;
0.21; 0.07; - 0.28; 0.5; - 0.47];
A= ( (X'*X) ^ (-1)) * (X'*Y);
A =
.8377
.0953
[Приложение 8]
X= [
12.29; 1 11.41; 1 9.62; 1 17.07; 1 10.37; 1
12.29; 1 15.48;
20.97; 1 18.1; 1 11; 1 19.19; 1 16.65; 1 13.83; 1
12.33;
8.5; 1 9.19; 1 42.99; 1 19.2; 1 19.41; 1 12.95; 1
21.48;
10.66; 1 9.32; 1 10.28; 1 11.16; 1 9.53; 1 10.06;
1 7.31;
12.29; 1 11.05];= [0.49; 1.62; - 0.62; 1.08;
0.08; 0.56; 0.81; 1.34; 1.07; - 0.71;
.07; 0.4; 0.96; 0.03; 0.82; - 0.47;
.19; 0.73; 1.03; 0.57; 0.87;
.57; - 0.78; 0.79; - 0.07; 0.21; 0.07; - 0.28;
0.5; - 0.47];
% % % %=0;=0;=14.19933;=0.515333;=1: 1: 30=Sum1+
(X (i,2) - xsh) * (Y (i,1) - ysh);=Sum2+ (X (i,2) - xsh).
^2;;=Sum1/Sum2;=ysh-a1*xsh;=zeros (30,1);=zeros (30,1);k=1: 1: 30(k,1) =a0+a1*X
(k,2);(k,1) =Y (k,1) - Ysh (k,1);;=0;n=1: 1: 30=SumE+E (n,1). ^2;;=0;n=1: 1:
30=SumY+ (Y (n,1) - ysh). ^2;;
[Приложение 9]= [
log (12.29); 1 log (11.41); 1 log (9.62); 1 log
(17.07); 1 log (10.37); 1 log (12.29); 1 log (15.48);
log (20.97); 1 log (18.1); 1 log (11); 1 log
(19.19); 1 log (16.65); 1 log (13.83); 1 log (12.33);
log (8.5); 1 log (9.19); 1 log (42.99); 1 log
(19.2); 1 log (19.41); 1 log (12.95); 1 log (21.48);
log (10.66); 1 log (9.32); 1 log (10.28); 1 log
(11.16); 1 log (9.53); 1 log (10.06); 1 log (7.31);
log (12.29); 1 log (11.05)];= [0.49; 1.62; -
0.62; 1.08; 0.08; 0.56; 0.81; 1.34; 1.07; - 0.71;
.07; 0.4; 0.96; 0.03; 0.82; - 0.47;
.19; 0.73; 1.03; 0.57; 0.87;
.57; - 0.78; 0.79; - 0.07; 0.21; 0.07; - 0.28;
0.5; - 0.47];
% % % %=0;=0;=0;=0.515333;j=1: 1: 30=Sumx+log (X
(j,2));;=Sumx/30;=1: 1: 30=Sum1+ (log (X (i,2)) - xsh) * (Y (i,1) - ysh);=Sum2+
(log (X (i,2)) - xsh). ^2;;=Sum1/Sum2;=ysh-a1*xsh;=zeros (30,1);=zeros
(30,1);k=1: 1: 30(k,1) =a0+a1*log (X (k,2));(k,1) =Y (k,1) - Ysh (k,1);;=0;n=1:
1: 30=SumE+E (n,1). ^2;;