Исследование линейного регрессионного анализа грузоперевозок в РБ за 2011-2012 гг.
Реферат
Курсовая работа, 18 страниц, 1 таблица, 1 рисунок, 6 источников.
Ключевые слова: линейный регрессионный анализ, тренд, выбросы,
регрессионные остатки, критерий.
Объект исследования: линейный регрессионный анализ.
Предмет исследования: грузоперевозки транспорта в РБ 2011-2012 г.г.
Цель курсовой работы: Изучение основ регрессионного анализа
статистических данных.
Методы исследования: оценки наименьших квадратов, критерий Аббе-Линника,
критерий Титьена-Мура-Бекмана, анализ регрессионных остатков
Задачи курсовой работы: Построить оценки коэффициентов линейной регрессии
и исследовать уравнение регрессии показателей грузоперевозок по РБ за 2011 год.
Выводы: Была произведена проверка гипотез о значениях коэффициентов
регрессии, построены доверительные интервалы для коэффициентов регрессии, а так
же анализ статистической однородности регрессии и независимости регрессионных
остатков.
Содержание
Введение
1. Линейный
регрессионный анализ
.1
Статистический анализ коэффициентов регрессии
.2 Оценки
наименьших квадратов
.3
Статистический анализ уравнения регрессии
.4 Анализ
регрессионных остатков
.5 Критерии
тренда и случайности
.6 Критерий
Аббе-Линника
.7Оценка
выбросов в регрессии
.
Исследование линейного регрессионного анализа грузоперевозок в РБ за 2011-2012
гг.
Заключение
Список
использованных источников
Введение
Экономическая статистика рассматривает и исследует влияние социальных и
политических процессов на экономическое положение, природных и технических
факторов на количественные изменения в экономике, влияние - развития общества и
производства на окружающую среду. Для изучения явлений и процессов в
экономической статистике применяется система показателей.
Данная курсовая работа является актуальной, так как в средних величинах
отображаются важнейшие показатели товарооборота, товарных запасов, цен.
Актуальность регрессионного анализа заключается в том, что с помощью него можно
построить математическую модель и определить ее статическую надежность. Он
является одним из наиболее распространенных методов обработки наблюдений при
изучении зависимостей в физике, биологии, экономике, технике и других областях.
В курсовой работе рассматривается линейный регрессионный анализ.
Статистический анализ коэффициентов уравнения регрессии исследуется с помощью
оценки наименьших квадратов, применяется критерий Аббе-Линника, исследуются
критерии тренда и наличие выбросов при помощи критерия Титьена-Муре-Бекмана с
помощью имеющихся данных грузооборота транспорта в РБ.
1 Линейный регрессионный анализ
.1 Статистический анализ коэффициентов регрессии
.2 Оценки наименьших квадратов
Статистические выводы относительно коэффициента β
регрессии
(1)
могут быть получены с помощью статистики
, (2)
(3)
, (4)
(5)
(6)
где β - истинное значение коэффициента регрессии;
b -
выборочная оценка коэффициента регрессии.
Статистика
справедливости нулевой гипотезы
имеет распределение Стьюдента с
степени свободы.
Следовательно, с помощью квантилей распределения Стьюдента можно
проверить гипотезу равенства β заданному значению, гипотезу о
значимости коэффициента регрессии (существенности его отклонения от нуля),
построить доверительный интервал для коэффициента β.
Значение коэффициента β
регрессии является
значимым с достоверностью α, если
>
(7)
Гипотеза о равенстве коэффициента β заданному значению
принимается, если
(8)
И, наконец, двусторонний αˑ100%-й доверительный интервал для β
имеет вид
. (9)
Статистические выводы относительно коэффициента
α могут быть
получены с помощью статистики
(10)
(11)
где a, α - соответственно выборочная оценка и
истинное значение коэффициента α;
S и
определены выше для
При
статистика
имеет распределение Стьюдента с
степенями свободы. Проверка гипотез о значениях коэффициента α
и построение
доверительных интервалов для него выполняются по аналогии с коэффициентом β.
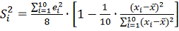
1.3 Статистический анализ уравнения регрессии
Целью статистического анализа уравнения регрессии является установление
его адекватности наблюдаемым экспериментальным данным. Под адекватностью
уравнения регрессии понимается статистическая неразличимость результатов
вычислений по уравнению регрессии и наблюдаемых случайных величин.
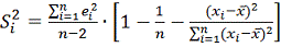
Оценка адекватности регрессии
Количественной мерой адекватности является отношение дисперсии
,определяемой рассеянием значений
вокруг линии регрессии, к дисперсии
естественного рассеяния значений
вокруг своих средних
. На привычном для инженера и
исследователя языке это можно сформулировать так: ошибки, обусловленные заменой
истинной зависимости на выборочную регрессию, находятся на уровне естественного
разброса наблюдаемых случайных величин. Если
(12)
где
- квантиль распределения Фишера с
степенями свободы, то ошибка в
определении регрессии с доверительной вероятностью α
признается статически
значимой (m - объем выборки, по которой выполнена
оценка дисперсии
определяется по дублируемым значениям
то ее оценкой является
средневзвешенная дисперсия
(13)
(14)
(15)
1.4 Анализ регрессионных остатков
Определенную информацию об адекватности уравнения регрессии дает
исследование остатков вида
(16)
(17)
Если выборочная регрессия
удовлетворительно описывает истинную зависимость между
то остатки
должны быть независимыми нормально
распределенными случайными величинами с нулевым средним и в значениях
должен отсутствовать тренд.
Нормальность распределения остатков
может быть установлено одним из
критериев согласия.
Гипотезу о равенстве
можно проверить любым параметрическим или непараметрическим
критерием сравнения среднего с заданным значением (в нашем случае с нулем);
гипотезу об отсутствии тренда - одним из критериев тренда и случайности.
Независимость в последовательности значений
может быть проверена с помощью
сериального коэффициента корреляции Дарбина-Ватсона. Статистика сериальног
коэффициента корреляции Дарбина-Ватсона имеет вид
(18)
Если
>
или
, то с достоверностью α принимается гипотеза о наличии
соответственно отрицательной или положительной корреляции остатков.
1.5 Критерии тренда и случайности
Критерии этого раздела предназначены для проверки гипотез о случайности
расположения полученных выборочных данных, т.е. отсутствия взаимосвязи между
значениями реализации наблюдаемой случайной величины и их номерами в выборочной
последовательности.
В приводимых ниже критериях используются выборочные значения случайной
величины в порядке их появления(т.е. они образуют временной ряд).
Наибольшее применение критерии тренда находят при статическом контроле и
предупредительном регулировании технологических процессов в промышленности,
позволяя заранее статически обоснованно выявить намечающуюся тенденцию
ухудшения качества продукции. Для медика наличие тренда в исследуемом ряду
данных о заболеваниях является объективным критерием оценки надвигающейся эпидемии.
Количество возможных ситуаций, в которых выявление тренда(закономерности, а не
случайности появления ряда данных) дает практически полезную информацию,
велико, и каждый инженер или исследователь повседневно встречается с
необходимостью использовать критерий настоящего раздела в своей работе.
1.6 Критерий Аббе-Линника
Пусть
- ряд значений взаимно независимых нормально распределенных
случайных величин с математическими ожиданиями
соответственно и одинаковыми(но
известными) дисперсиями. Проверяется гипотеза о том, что все выборочные
значения принадлежат одной генеральной совокупности со средним
(19)
против альтернативы тренда
(20)
Статистика критерия Аббе-Линника имеет вид
(21)
(22)
Если
то нулевая гипотеза случайности ряда
отклоняется с доверительной
вероятностью α (критические значения
приведены в таблице 170).
При
справедлива аппроксимация, основанная на том, что случайная
величина
(23)
имеет стандартное нормальное распределение. Поэтому нулевая гипотеза
отклоняется, если
<
. (24)
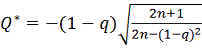
1.7 Оценка выбросов в регрессии
Наличие грубых отклонений (промахов, выбросов) в значениях
, не связанных с естественным
разбросом, может приводить к большим ошибкам при построении регрессии.
Учитывая, что в практике регрессионная модель часто используется для
предсказания поведения исследуемой случайной величины, то наличие выбросов в
данных может привести к грубым ошибкам прогноза.
Будем использовать следующие обозначения:
остатки в точке
(25)
В работе Титьена-Муре-Бекмана предложен критерий обнаружения одного
выброса в линейной модели
основанный на статистике
где
. (26)
Если
то
соответствующее максимальному значению отношения
, признается с вероятностью α
выбросом.
статистический линейный регрессия грузоперевозка
2. Исследование Линейный регрессионный анализ грузоперевозок
в РБ за 2011-2012 гг.
Таблица 1
Динамика грузооборота транспорта РБ в 2011-2012 гг.
|
Месяц
|
Грузооборот транспорта
|
|
1 2 3 4 5 6 7 8 9 10
|
5700,9 5816 5743,8 5686,2 5662 5827,5 5623,3 4934,3 4966
5547,6
|
Рисунок 1
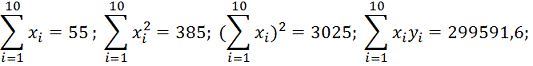
Для приведенных выше данных грузооборота транспорта из таблицы 3 найдем
оценки коэффициентов α и β регрессии
и приведем их статистический анализ
при доверительной вероятности α=0,95.
Вычисляем оценку β с помощью формулы ( 27):
(27)
Имеем
.
Тогда
;
.
Проверим значимость полученных коэффициентов (существенность их
отклонения от нуля). Вычислим предварительно
(
Далее вычисляем дисперсию
, где
В нашем случае
Вычисляем далее
;
Для уровня достоверности α=0,95 имеем
Проверяем значимость коэффициента β:
Следовательно, с достоверностью 0,95 делаем вывод о значимости коэффициента
регрессии.
Проверяем гипотезу
(о равенстве коэффициента регрессии
):
=0,0933
66,0933.
т.е. гипотеза о равенстве
не отклоняется.
Доверительный интервал для β равен
69,0933-2,306
Аналогичные задачи решаем теперь для коэффициента α
. Проверим гипотезу
Следовательно, коэффициент α с вероятностью 0,95 отличается от
нуля и его значение не может быть приравнено к нулю.
Двусторонний доверительный интервал для α имеет вид
2769,657=5930,773-2,306
+2,306
Проверим адекватность регрессии при доверительной вероятности α=0,95.
Ранее мы получили
Находим оценку
(
Далее имеем
.
Из таблиц F-распределения
находим
;
Так как F=0,665711 <
с вероятностью α=0,95
следует сделать выбор о
статистической неразличимости сравниваемых дисперсий, а следовательно, об
адекватности уравнения регрессии.
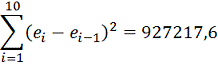
Проверим наличие корреляции регрессионных остатков критерием
Дарбина-Ватсона при доверительной вероятности α=0,95.
Вычислим оценки регрессии методом наименьших квадратов по формулам (27),
(26). Регрессионные остатки
160,78; -23,4133; -20,3067; -31,8; -76,6933; -311,287; -
,18; 443,7267; 342,933; -307,76.
Вычисляем статистику Дарбина-Ватсона
D=
Для α=0,95,
(так как регрессия
имеет один коэффициент регрессии b, не считая свободного члена a) и n=10 имеем
;
В нашем случае
Следовательно, наличие корреляции остатков регрессионной модели
с достоверностью
отклоняется.
Проверим наличие выброса в регрессионной модели критерием
Титьена-Мура-Бекмана при α=0,95.
Имеем, используя значения
получим:
=
=71356,94
- 83,94934
.
Вычисляем последовательность значений
:
и по аналогии
Находим
=0,006285.
Из таблицы для α=0,95 и n=2,35 находим
Так как
, гипотеза о наличии выброса отклоняется.
Проверим гипотезу случайности ряда
критерием Аббе-Линника при
доверительной вероятности α=0,95.
Вычисляем
+
;
=
.
При n=10 и α=0,95 имеем
Так как
, нулевая гипотеза отклоняется, и ряд значений
с достоверностью 0,95, может быть призван
случайным.
Для нормальной аппроксимации имеем
= -1,9374.
Так как
-1,9374<
то этим критерием нулевая гипотеза отклоняется.
Теперь применим критерий Кохрана. Для последовательности пар значений
, равных (2,8), (3,7), (4,5), (5,5),
(6,4), (7,3), (8,2), находим значения:
и
=5498,838;
и
= 5463,843;
и
= 5721,78 и
5379,74;
и
=5267,8;
=5722,814 и
;
и
=5256,8.
Далее вычисляем
=1,6
Из таблицы находим, что
и, следовательно, скачков не обнаружено.
Заключение
В данной курсовой работе был рассмотрен линейный анализ регрессии.
Исследован статистический анализ уравнения регрессии для грузооборота
транспорта РБ с помощью оценки адекватности регрессии, анализа регрессионных
остатков, была произведена оценка выбросов регрессии с помощью критерия
Титьена-Мура-Бекмана. Уравнение было так же исследовано на наличие тренда
критерием Аббе-Линника. Было показано, что уравнение регрессии адекватно, в нем
отсутствуют выбросы, т.е. оно однородно, а так же наличие корреляционных
остатков не обнаружено.
Список использованных источников
1. Феллер, В.
Введение в теорию вероятностей и ее приложения / В. Феллер. - М.: Мир, 1984. -
637с.
2. Ширяев,
А.Н. Вероятность / А.Н. Ширяев. - М.: Наука, 1980. - 637с.
. Гнеденко,
Б.В. Элементарное введение в теорию вероятностей / Б.В. Гнеденко, А.Я Хинчин. -
М.: Наука, 1970. - 168с.
. Крамер,
Г. Математические методы статистики / Г. Крамер. - М.: Мир, 1975. - 648 с.
. Герасимович
А.И. Математическая статистика / А.И. Герасимович, Я.И. Матвеева. - Мн.: Высшая
школа, 1978. - 200 с.
. Самойленко,
А.П. Информационные технологии статистической обработки данных / А.П.
Самойленко// учебное пособие по дисциплине «теория вероятностей и
математическая статистика». - Таганрог.: ТТИ ЮФУ, 2008. - 81 с.