Оценка рыночной стоимости земли в России

  • Вид работы:
    Реферат
  • Предмет:
    Эктеория
  • Язык:
    Русский
    ,
    Формат файла:
    MS Word
    64,64 Кб
  • Опубликовано:
    2016-05-31
Вы можете узнать стоимость помощи в написании студенческой работы.
Помощь в написании работы, которую точно примут!

Оценка рыночной стоимости земли в России

Оглавление

Введение

Рыночная стоимость в РФ

Рыночная стоимость земельного участка

Метод определения рыночной стоимости права аренды застроенного земельного участка

Заключение

Список использованной литературы

Введение


Как правило, когда заходит речь об оценке земли, требуется определить либо рыночную стоимость земельного участка, либо рыночную стоимость права аренды земельного участка. Очевидно, что оценка объекта недвижимости, такого как земельный участок, в первую очередь, зависит от его местоположения и влияния внешних факторов, а также от спроса и предложения на рынке и характера конкуренции продавцов и покупателей, и не может превышать наиболее вероятные затраты на приобретение другого участка эквивалентной полезности.

Рыночная оценка стоимости земли так же зависит от ожидаемой величины, срока и вероятности получения дохода от его эксплуатации за определенный период времени при наиболее эффективном его использовании земельного участка без учета доходов от иных факторов производства, привлекаемых к объекту для предпринимательской деятельности.

Необходимо учитывать, что рыночная стоимость участка изменяется во времени и оценка земли всегда проводится по состоянию на конкретную дату, при этом, при изменении целевого назначения участка (разрешенного использования), рыночная стоимость земли также изменяется.

Тема данной работы актуальна, потому что сегодня земля все чаще и чаще выступает объектом различных сделок и проектов, в которых требуется оценить ее стоимость. Денежная оценка стоимости земли или земельного участка зависит от многих факторов.

Рыночная стоимость в РФ


Понятие рыночной стоимости дано в Федеральном законе ФЗ-135 и Федеральном стандарте ФСО №2, согласно которым «под рыночной стоимостью объекта оценки понимается наиболее вероятная цена, по которой данный объект оценки может быть отчужден на открытом рынке в условиях конкуренции, когда стороны сделки действуют разумно, располагая всей необходимой информацией, а на величине цены сделки не отражаются какие-либо чрезвычайные обстоятельства, то есть когда:

·              одна из сторон сделки не обязана отчуждать объект оценки, а другая сторона не обязана принимать исполнение;

·              стороны сделки хорошо осведомлены о предмете сделки и действуют в своих интересах;

·              объект оценки представлен на открытом рынке посредством публичной оферты, типичной для аналогичных объектов оценки;

·              цена сделки представляет собой разумное вознаграждение за объект оценки и принуждения к совершению сделки в отношении сторон сделки с чьей-либо стороны не было;

·              платеж за объект оценки выражен в денежной форме.

Возможность отчуждения на открытом рынке означает, что объект оценки представлен на открытом рынке посредством публичной оферты, типичной для аналогичных объектов, при этом срок экспозиции объекта на рынке должен быть достаточным для привлечения внимания достаточного числа потенциальных покупателей.

Разумность действий сторон сделки означает, что цена сделки - наибольшая из достижимых по разумным соображениям цен для продавца и наименьшая из достижимых по разумным соображениям цен для покупателя.

Полнота располагаемой информации означает, что стороны сделки в достаточной степени информированы о предмете сделки, действуют, стремясь достичь условий сделки, наилучших с точки зрения каждой из сторон, в соответствии с полным объемом информации о состоянии рынка и объекте оценки, доступным на дату оценки.

Рыночная стоимость определяется оценщиком, в частности, в следующих случаях:

·              при изъятии имущества для государственных нужд;

·              при определении стоимости размещенных акций общества, приобретаемых обществом по решению совета директоров (наблюдательного совета) общества;

·              при определении стоимости объектов залога, в том числе ипотека;

·              при определении стоимости не денежных вкладов в уставный капитал;

·              при определении стоимости имущества должника в ходе процедуры банкротства;

·              и других случаях (ознакомьтесь с ситуациями, при которых необходимы услуги независимого оценщика <#"878279.files/image001.jpg">

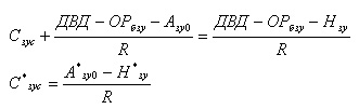
Сзус - рыночная стоимость права собственности на земельный участок;

Сзуа - рыночная стоимость права аренды земельного участка;

Сзд - рыночная стоимость здания;

ДВД - действительный валовый доход от объекта недвижимости;

ОРбзу - операционные расходы без учета расходов по содержанию ЗУ;

Нзу - налог на землю;

Азу - арендная плата за ЗУ;- коэффициент капитализации для объекта недвижимости.


где- ставка доходности для объекта недвижимости;

, 2,…, n, n+1 - номера прогнозных и постпрогнозного периодов.

Следует отметить, что вывод рассмотренных выше зависимостей основан на одинаковом использовании ЗУ. Поскольку право аренды застроенного ЗУ предполагает определение стоимости этого права в текущем использовании, то и стоимость права собственности на земельный участок должна определяться исходя из аналогичного использования.

Другая особенность состоит в том, что стоимость права собственности на ЗУ представляет собой рыночную стоимость ЗУ (для текущего использования), а стоимость права аренды зависит от величины арендной платы и в общем случае не соответствует рыночной величине.

Если разделить обе части уравнений (3) и (4) на площадь ЗУ, то получим зависимости для расчета удельной стоимости права аренды от удельной стоимости права собственности и удельной ставки налога на землю (руб. / кв. м).

Зависимости (3) и (4) могут использоваться при расчете стоимости права аренды (прав владения и пользования ЗУ переданных арендатору) застроенного земельного участка с учетом назначенной арендной платы. Эти же зависимости могут быть использованы для обоснования компенсационной выплаты за земельный участок при принудительном выкупе застроенного арендованного земельного участка, поскольку имеют место не рыночные условия сделки с земельным участком обладающим определенной ценностью для конкретного арендатора. Поскольку ставка налога на землю обычно пропорциональна кадастровой стоимости земли, то разделив обе части уравнений (3) и (4), приведенные к удельным стоимостям, на удельную стоимость права собственности, можно получить зависимости относительной величины рыночной стоимости права аренды ЗУ от относительной величины кадастровой стоимости. Зависимость принимает вид:


где

* - верхний индекс, обозначающий удельную величину стоимости;

С*кад - кадастровая стоимость ЗУ;

Кн - ставка земельного налога (процент от кадастровой стоимости).

Результаты расчета по зависимости (5) при Кн = 1,5% [5] и R = 15% приведены на Рис. 1.

Рис. 1 Зависимость относительной величины стоимости права аренды ЗУ от относительной величины кадастровой стоимости при ставке земельного налога 1,5% и коэффициенте капитализации для объекта недвижимости 15%.

Анализ зависимостей приведенных на Рис. 1 позволяет сделать следующие выводы. При сдаче в аренду ЗУ по ставке равной ставке земельного налога, стоимости права аренды и права собственности совпадают.

Принципиально существует ставка аренды ЗУ, при которой стоимость права его аренды равна нулю (при фиксированной относительной кадастровой стоимости). Это соответствует условию, при которых собственник земли изымает у арендатора все доходы, которые относятся к земельному участку. По видимому, эту величину ставки аренды ЗУ следует рассматривать, как теоретический предел деловой активности девелопера. Превышение этого предела приводит к тому, что стоимость строительства здания превышает капитализированную стоимость доходов, отнесенных к зданию. Действительно из зависимости (2) при Сзуа = 0 следует:


Где Азу0 - арендная плата за ЗУ, соответствующая нулевой стоимости права его аренды.

Подставляя это соотношение в зависимость (1), и переходя к удельным значениям получаем:


Однако на практике (в рыночных условиях) предел деловой активности должен наступить несколько раньше (при меньшей величине арендной платы), поскольку для перехода от права аренды ЗУ к праву собственности обычно назначается стоимость выкупа. Поэтому практическое соотношение имеет вид:


Зависимость (6) по сути отражает рыночные условия, при которых собственник ЗУ имеет возможность назначить максимальную стоимость арендной платы за землю, с которой арендатор (девелопер) должны согласиться. Таким образом, рыночная ставка арендной платы для застроенного ЗУ определяется как:


В свою очередь, собственник, передав арендатору права владения и пользование, может продать застроенный ЗУ (реализовать оставшееся у него право распоряжения) в любое время. Однако наличие долгосрочного арендатора обычно при совершении сделки купли-продажи рассматривается как обременение, поэтому по рыночной стоимости собственник ЗУ может его продать лишь после окончания срока жизни здания. Поэтому рыночная (обоснованная) величина стоимости выкупа может быть определена, как дисконтированная на дату оценки стоимость реверсии ЗУ с учетом возможных затрат на рекультивацию земли. Расчетная зависимость в удельных единицах имеет вид:


Где С*вык_р - удельная рыночная стоимость выкупа ЗУ арендатором;

С*рев - удельная стоимость реверсии ЗУ;

С*рвк - удельная стоимость рекультивации ЗУ;зу - ставка доходности для ЗУ.

Стоимость реверсии может быть определена путем капитализации арендной платы за ЗУ в последний год жизни здания с учетом добавления годового темпа ее роста, либо путем прямого прогноза текущей стоимость права собственности на ЗУ с учетом темпов ее роста.

Заключение


Земля выступает основой жизни и деятельности человеческого общества. Она является сложным и специфическим объектом оценки, что обусловлено особенностями земли, такими как неподвижность, уникальность, многофункциональность, ограниченность предложения, а также необходимостью учета при оценке многих других факторов.

В работе были предложены зависимости, позволяющие на основе данных регионального рынка земли определить стоимость права аренды (прав владения и пользования ЗУ переданных арендатору) застроенного земельного участка с учетом назначенной арендной платы. Приведено обоснование метода расчета рыночной ставки арендной платы и рыночной выкупной стоимости застроенного земельного участка для арендатора. Полученные зависимости могут быть использованы при практической оценке объектов недвижимости и для назначения обоснованной арендной платы за земельный участок. Полученные зависимости могут быть так же использованы для обоснования компенсационной выплаты за земельный участок при принудительном выкупе застроенного арендованного земельного участка.

Список использованной литературы


1.      Гражданский Кодекс Российской Федерации, ч. I-II., М., Инфра, 2009.

.        Налоговый Кодекс Российской Федерации. М., Ось -89, 2006.

.        Федеральный стандарт оценки (ФСО № 3) «Требования к отчету об оценке». Утвержден приказом Минэкономразвития России от 20.05.2015г. № 299.

.        Методические рекомендации по определению рыночной стоимостью земельных участков. Утв. распоряжениемМинимущества России от 06.03.2002г №568-р.

.        Методические рекомендации по определению рыночной стоимости права аренды земельных участков. Утв. распоряжениемМинимущества России от10.04.2003г №1102-р.

.        Петров В.И. Оценка земельных участков. Изд. ООО «КноРус»,2012.

.        Верхозина А.В. Правовое регулирование оценочной деятельности. М., 2010.

.        Право на заключение договора аренды земельного участка. Материалы дискуссии на сайте www.appraiser.ru

Похожие работы на - Оценка рыночной стоимости земли в России

 

Не нашли материал для своей работы?
Поможем написать уникальную работу
Без плагиата!
Без нейросетей!